微积分第二章-函数极限与连续答案
- 格式:doc
- 大小:652.50 KB
- 文档页数:9
第二章习题2-11. 试利用本节定义5后面的注3证明:若lim n →∞x n =a ,则对任何自然数k ,有lim n →∞x n +k =a .证:由lim n n x a →∞=,知0ε∀>,1N ∃,当1n N >时,有取1N N k =-,有0ε∀>,N ∃,设n N >时此时1n k N +>有 由数列极限的定义得 lim n k x x a +→∞=.2. 试利用不等式A B A B -≤-说明:若lim n →∞x n =a ,则lim n →∞∣x n ∣=|a|.考察数列x n =-1n ,说明上述结论反之不成立.证:而 n n x a x a -≤- 于是0ε∀>,,使当时,有N n N ∃>n n x a x a ε-≤-< 即 n x a ε-<由数列极限的定义得 lim n n x a →∞=考察数列 (1)nn x =-,知lim n n x →∞不存在,而1n x =,lim 1n n x →∞=,所以前面所证结论反之不成立;3. 利用夹逼定理证明:1 lim n →∞222111(1)(2)n n n ⎛⎫+++ ⎪+⎝⎭=0; 2 lim n →∞2!n n =0.证:1因为222222111112(1)(2)n n n n n n n n n n++≤+++≤≤=+ 而且 21lim0n n →∞=,2lim 0n n→∞=,所以由夹逼定理,得222111lim 0(1)(2)n n n n →∞⎛⎫+++= ⎪+⎝⎭. 2因为22222240!1231n n n n n<=<-,而且4lim 0n n →∞=,所以,由夹逼定理得4. 利用单调有界数列收敛准则证明下列数列的极限存在. 1 x n =11n e +,n =1,2,…;2 x 1,x n +1n =1,2,…. 证:1略;2因为12x =<,不妨设2k x <,则故有对于任意正整数n ,有2n x <,即数列{}n x 有上界,又 1n n x x +-=,而0n x >,2n x <,所以 10n n x x +-> 即 1n n x x +>, 即数列是单调递增数列;综上所述,数列{}n x 是单调递增有上界的数列,故其极限存在;习题2-21※. 证明:0lim x x →fx =a 的充要条件是fx 在x 0处的左、右极限均存在且都等于a .证:先证充分性:即证若0lim ()lim ()x x x x f x f x a -+→→==,则0lim ()x x f x a →=. 由0lim ()x x f x a -→=及0lim ()x x f x a +→=知: 10,0εδ∀>∃>,当010x x δ<-<时,有()f x a ε-<,20δ∃>当020x x δ<-<时,有()f x a ε-<;取{}12min ,δδδ=,则当00x x δ<-<或00x x δ<-<时,有()f x a ε-<, 而00x x δ<-<或00x x δ<-<就是00x x δ<-<, 于是0,0εδ∀>∃>,当00x x δ<-<时,有()f x a ε-<, 所以 0lim ()x x f x a →=.再证必要性:即若0lim ()x x f x a →=,则0lim ()lim ()x x x x f x f x a -+→→==, 由0lim ()x x f x a →=知,0,0εδ∀>∃>,当00x x δ<-<时,有()f x a ε-<,由00x x δ<-<就是 00x x δ<-<或00x x δ<-<,于是0,0εδ∀>∃>,当00x x δ<-<或00x x δ<-<时,有()f x a ε-<.所以 0lim ()lim ()x x x x f x f x a -+→→== 综上所述,0lim x x →fx =a 的充要条件是fx 在x 0处的左、右极限均存在且都等于a .2. 1 利用极限的几何意义确定0lim x → x 2+a ,和0lim x -→1e x; 2 设fx = 12e ,0,,0,xx x a x ⎧⎪<⎨⎪+≥⎩,问常数a 为何值时,0lim x →fx 存在.解:1因为x 无限接近于0时,2x a +的值无限接近于a ,故2lim()x x a a →+=.当x 从小于0的方向无限接近于0时,1e x 的值无限接近于0,故10lim e 0xx -→=. 2若0lim ()x f x →存在,则00lim ()lim ()x x f x f x +-→→=, 由1知 22lim ()lim()lim()x x x f x x a x a a +--→→→=+=+=, 所以,当0a =时,0lim ()x f x →存在;3. 利用极限的几何意义说明lim x →+∞sin x 不存在.解:因为当x →+∞时,sin x 的值在-1与1之间来回振摆动,即sin x 不无限接近某一定直线y A =,亦即()y f x =不以直线y A =为渐近线,所以lim sin x x →+∞不存在;习题2-31. 举例说明:在某极限过程中,两个无穷小量之商、两个无穷大量之商、无穷小量与无穷大量之积都不一定是无穷小量,也不一定是无穷大量.解:例1:当0x →时,tan ,sin x x 都是无穷小量,但由sin cos tan xx x=当0x →时,cos 1x →不是无穷大量,也不是无穷小量;例2:当x →∞时,2x 与x 都是无穷大量,但22xx=不是无穷大量,也不是无穷小量; 例3:当0x +→时,tan x 是无穷小量,而cot x 是无穷大量,但tan cot 1x x =不是无穷大量,也不是无穷小量;2. 判断下列命题是否正确:1 无穷小量与无穷小量的商一定是无穷小量;2 有界函数与无穷小量之积为无穷小量;3 有界函数与无穷大量之积为无穷大量;4 有限个无穷小量之和为无穷小量;5 有限个无穷大量之和为无穷大量;6 y =x sin x 在-∞,+∞内无界,但lim x →∞x sin x ≠∞;7 无穷大量的倒数都是无穷小量;8 无穷小量的倒数都是无穷大量. 解:1错误,如第1题例1; 2正确,见教材§定理3;3错误,例当0x →时,cot x 为无穷大量,sin x 是有界函数,cot sin cos x x x =不是无穷大量; 4正确,见教材§定理2;5错误,例如当0x →时,1x 与1x -都是无穷大量,但它们之和11()0x x+-=不是无穷大量; 6正确,因为0M ∀>,∃正整数k ,使π2π+2k M >,从而ππππ(2π+)(2π+)sin(2π+)2π+2222f k k k k M ==>,即sin y x x =在(,)-∞+∞内无界,又0M ∀>,无论X 多么大,总存在正整数k ,使π>k X ,使(2π)πsin(π)0f k k k M ==<,即x →+∞时,sin x x 不无限增大,即lim sin x x x →+∞≠∞;7正确,见教材§定理5;8错误,只有非零的无穷小量的倒数才是无穷大量;零是无穷小量,但其倒数无意义; 3. 指出下列函数哪些是该极限过程中的无穷小量,哪些是该极限过程中的无穷大量. 1 fx =234x -,x →2; 2 fx =ln x ,x →0+,x →1,x →+∞; 3 fx = 1e x,x →0+,x →0-; 4 fx =2π-arctan x ,x →+∞;5 fx =1x sin x ,x →∞; 6 fx = 21xx →∞. 解:122lim(4)0x x →-=因为,即2x →时,24x -是无穷小量,所以214x -是无穷小量,因而234x -也是无穷大量;2从()ln f x x =的图像可以看出,1lim ln ,limln 0,lim ln x x x x x x +→→+∞→=-∞==+∞,所以,当0x +→时,x →+∞时,()ln f x x =是无穷大量;当1x →时,()ln f x x =是无穷小量;3从1()e x f x =的图可以看出,110lim e ,lim e 0x xx x +-→→=+∞=, 所以,当0x +→时,1()e xf x =是无穷大量; 当0x -→时,1()e xf x =是无穷小量; 4πlim (arctan )02x x →+∞-=, ∴当x →+∞时,π()arctan 2f x x =-是无穷小量;5当x →∞时,1x是无穷小量,sin x 是有界函数, ∴1sin x x是无穷小量; 6当x →∞时,21x 是无穷小量,∴是无穷小量; 习题2-41.若0lim x x →fx 存在,0lim x x →gx 不存在,问0lim x x →fx ±gx , 0lim x x →fx ·gx 是否存在,为什么解:若0lim x x →fx 存在,0lim x x →gx 不存在,则10lim x x →fx ±gx 不存在;因为若0lim x x →fx ±gx 存在,则由()()[()()]g x f x f x g x =--或()[()()]()g x f x g x f x =+-以及极限的运算法则可得0lim x x →gx ,与题设矛盾;20lim x x →fx ·gx 可能存在,也可能不存在,如:()sin f x x =,1()g x x=,则0limsin 0x x →=,01lim x x →不存在,但0lim x x →fx ·gx =01limsin 0x x x→=存在; 又如:()sin f x x =,1()cos g x x =,则π2limsin 1x x →=,π21limcos x x→不存在,而lim x x →fx ·gx π2lim tan x x →=不存在; 2. 若0lim x x →fx 和0lim x x →gx 均存在,且fx ≥gx ,证明0lim x x →fx ≥0lim x x →gx .证:设0lim x x →fx =A,0lim x x →gx =B ,则0ε∀>,分别存在10δ>,20δ>,使得当010x x δ<-<时,有()A f x ε-<,当020x x δ<-<时,有()g x B ε<+令{}12min ,δδδ=,则当00x x δ<-<时,有 从而2A B ε<+,由ε的任意性推出A B ≤即lim ()lim ()x x x x f x g x →→≤.3. 利用夹逼定理证明:若a 1,a 2,…,a m 为m 个正常数,则limn →∞nm a ++=A ,其中A =max{a 1,a2,…,a m }.n nn m a m A ≤++≤,即而lim n A A →∞=,1lim nn mA A →∞=,由夹逼定理得nm n a A ++=.4※. 利用单调有界数列必存在极限这一收敛准则证明:若x 1=,x 2x n +1=1,2,…,则limn →∞x n 存在,并求该极限.证:因为12x x ==有21x x >今设1k k xx ->,则1k k x x -=>=,由数学归纳法知,对于任意正整数n 有1n n x x +>,即数列{}n x 单调递增;又因为12x =<,今设2k x <,则12k x -=<=,由数学归纳法知,对于任意的正整数 n 有2n x <,即数列{}n x 有上界,由极限收敛准则知lim n n x →∞存在;设limn n x b →∞=,对等式1n x+两边取极限得b =,即22b b =+,解得2b =,1b =-由极限的保号性,舍去,所以lim 2n n x →∞=.5. 求下列极限:1 lim n →∞33232451n n n n n +++-+;2 lim n →∞1cos n ⎡⎤⎛-⎢⎥ ⎝⎣⎦;3 lim n →∞4 limn →∞11(2)3(2)3n nn n ++-+-+; 5 lim n →∞1112211133n n ++++++. 解:1原式=23232433lim 11155n n n nn n→∞++=+-+;2因为lim(10n →∞-=,即当n →∞时,1是无穷小量,而cos n 是有界变量,由无穷小量与有界变量的乘积是无穷小量得:lim (10n n →∞⎡⎤=⎢⎥⎣⎦;322lim(n n n →∞=而0n n→∞→∞==,2n n→∞∴==∞;41111121(1)()(2)31333lim lim2(2)33(1)()13n nn nn nn n n n++→∞→∞++-+-+==-+-+;5111111()21111114[1()]42222lim lim lim11113 11()3[1()]3333113nnnn n nn nn++→∞→∞→∞++-+++--===+++---.6. 求下列极限:13limx→239xx--; 21limx→22354xx x--+;3 limx→∞3426423xx x++;42limxπ→sin coscos2x xx-;5limh→33()x h xh+-; 63limx→;71limx→21nx x x nx+++--; 8limx→∞sinsinx xx x+-;9 limx→+∞101limx→313()11x x---;11limx→21(sin)xx.解:23333311(1)lim lim lim9(3)(3)36x x xx xx x x x→→→--===--++2211lim(54)0,lim(23)1x xx x x→→-+=-=-3344226464lim lim03232x xx x xx xx→∞→∞++==++;4π2ππsincos sin cos 22lim1cos 2cos πx x xx →--==-; 5[]223300()()()()lim limh h x h x x h x h x x x h x h h→→⎡⎤+-+++++-⎣⎦= 222lim ()()3h x h x h x x x →⎡⎤=++++=⎣⎦;633(23)92)x x x →→+-=3343x x →→===;72211(1)(1)(1)limlim 11n n x x x x x n x x x x x →→+++--+-++-=--1123(1)2n n n =++++=+; 8sin lim0x x x →∞=无穷小量1x与有界函数sin x之积为无穷小量sin 1sin lim lim 1sin sin 1xx x x x x xx x x→∞→∞++∴==--; 922limlimx x→+∞=limlim1x x ===;101lim x →313()11x x---231(1)3lim 1x x x x →++-=- 11当0x →时,2x 是无穷小量,1sinx是有界函数, ∴它们之积21sinx x 是无穷小量,即201lim sin 0x x x →⎛⎫= ⎪⎝⎭;习题2-5求下列极限其中a >0,a ≠1为常数: 1. 0limx →sin 53x x; 2. 0lim x →tan 2sin 5xx ; 3. 0lim x →x cot x ;4. 0lim x→; 5. 0lim x →2cos5cos 2x x x -; 6. lim x →∞1xx x ⎛⎫⎪+⎝⎭; 7. 0lim x →()cot 13sin xx +; 8. 0lim x →1x a x-; 9. 0lim x →x x a a x --;10. lim x →+∞ln(1)ln x x x +-; 11. lim x →∞3222xx x -⎛⎫ ⎪-⎝⎭; 12.lim x →∞211xx ⎛⎫+ ⎪⎝⎭; 13. 0limx →arcsin x x ; 14. 0lim x →arctan xx; .解:1. 000sin 55sin 55sin 55lim lim lim 335353x x x x x x x x x →→→===;2. 000tan 2sin 221sin 25lim lim lim sin 5cos 2sin 55cos 22sin 5x x x x x x x x x x x x x→→→== 0205021sin 252lim lim lim 5cos 22sin 55x x x x x x x x →→→==; 3. 0000lim cot limcos lim limcos 1cos01sin sin x x x xx xx x x x x x →→→→=⋅==⨯=;4. 000sin2lim lim 22xx x x x x x →→→→=== 0sin22122x xx →===; 5. 2200073732sin sin sin sin cos5cos 2732222lim lim lim (2)732222x x x x x x x x x x x x x →→→⎡⎤-⎢⎥-==-⋅⋅⋅⋅⎢⎥⎢⎥⎣⎦0073sin sin 212122limlim 732222x x x x x x →→=-⋅=-; 6. 111lim lim lim 111e (1)xxx x x x x x x x x →∞→∞→∞⎛⎫ ⎪⎛⎫=== ⎪ ⎪++⎝⎭ ⎪+⎝⎭; 7. 3cos cos 1cot sin 3sin 0lim(13sin )lim(13sin )lim (13sin )xx xxx x x x x x x →→→⎡⎤+=+=+⎢⎥⎣⎦8.令1xu a =-,则log (1)a x u =+,当0x →时,0u →,1011ln log elimlog (1)a ua u a u →===+. 9. 000(1)(1)11lim lim lim x x x x x x x x x a a a a a a x x xx ---→→→⎛⎫------==+ ⎪-⎝⎭ 利用了第8题结论01limln x x a a x→-=; 10. ln(1)ln 11limlim lnx x x x xx x x→+∞→+∞+-+=⋅ 1111lim ln(1)lim lim ln(1)0x x x x x x x→+∞→+∞→+∞=+=+=; 11. 22223211lim lim 1lim 1222222x xxxxx x x x x x x --→∞→∞→∞⎡⎤-⎛⎫⎛⎫⎛⎫=+=+⎢⎥ ⎪ ⎪ ⎪---⎝⎭⎝⎭⎝⎭⎢⎥⎣⎦1232lim e 22xx x x -→∞-⎛⎫∴= ⎪-⎝⎭; 12. 1221222111ln (1)lim ln(1)2211lim(1)lim (1)lim ee x x xxx xx x x xx x x x x →∞⎡⎤++⎢⎥⎣⎦→∞→∞→∞⎡⎤+=+==⎢⎥⎣⎦2121lim lim ln(1)0lne 0e e e 1xx x x x→∞→∞+⋅====;13.令arcsin x u =,则sin x u =,当0x →,0u →,000arcsin 1limlim 1sin sin limx u u x u u x u u→→→===;14.令arctan x u =,则tan x u =,当0x →,0u →,00000arctan 1lim lim lim cos lim limcos 1sin tan sin x u u u u x u u u u u x u uu→→→→→====. 习题2-61. 证明: 若当x →x 0时,αx →0,βx →0,且αx ≠0,则当x →x 0时,αx ~βx 的充要条件是limx x →()()()x x x αβα-=0.证:先证充分性. 若0limx x →()()()x x x αβα-=0,则0lim x x →()(1)()x x βα-=0,即0()1lim 0()x x x x βα→-=,即0()lim 1()x x x x βα→=. 也即0()lim 1()x x x x αβ→=,所以当0x x →时,()()x x αβ. 再证必要性:若当0x x →时,()()x x αβ,则0()lim 1()x x x x αβ→=, 所以0lim x x →()()()x x x αβα-=0lim x x →()(1)()x x βα-=0()1lim ()x x x x βα→-=011110()lim ()x x x x αβ→-=-=. 综上所述,当x →x 0时,αx ~βx 的充要条件是0lim x x →()()()x x x αβα-=0. 2. 若βx ≠0,0lim x x →βx =0且0lim x x →()()x x αβ存在,证明0lim x x →αx =0. 证:0000()()lim ()lim ()lim lim ()()()x x x x x x x x x x x x x x x αααββββ→→→→==0()lim 00()x x x x αβ→== 即 0lim ()0x x x α→=. 3. 证明: 若当x →0时,fx =ox a ,gx =ox b ,则fx ·gx =o a b x+,其中a ,b 都大于0,并由此判断当x →0时,tan x-sin x 是x 的几阶无穷小量.证: ∵当x →0时, fx =ox a ,gx =ox b ∴00()()lim(0),lim (0)a bx x f x g x A A B B x x →→=≠=≠ 于是: 0000()()()()()()lim lim lim lim 0a b a b a b x x x x f x g x f x g x f x g x AB x x x x x +→→→→⋅=⋅=⋅=≠ ∴当x →0时, ()()()a b f x g x O x +⋅=,∵tan sin tan (1cos )x x x x -=-而当x →0时, 2tan (),1cos ()x O x x O x =-=,由前面所证的结论知, 3tan (1cos )()x x O x -=,所以,当x →0时,tan sin x x -是x 的3阶无穷小量.4. 利用等价无穷小量求下列极限:1 0lim x →sin tan ax bx b ≠0;2 0lim x →21cos kx x-; 3 0lim x→; 4 0lim x→5 0lim x →arctan arcsin x x ;6 0lim x →sin sin e e ax bx ax bx-- a ≠b ; 7 0lim x →ln cos 2ln cos3x x ; 8 设0lim x →2()3f x x -=100,求0lim x →fx . 解 00sin (1)lim lim .tan x x axaxabx bx b →→==8由20()3lim 100x f x x →-=,及20lim 0x x →=知必有0lim[()3]0x f x →-=,即 00lim[()3]lim ()30x x f x f x →→-=-=,所以 0lim ()3x f x →=.习题2-71.研究下列函数的连续性,并画出函数的图形:1 fx = 31,01,3,12;x x x x ⎧+≤<⎨-≤≤⎩2 fx =,111,1 1.x x x x -≤<⎧⎨<-≥⎩,或解: 1300lim ()lim(1)1(0)x x f x x f ++→→=+==∴ fx 在x =0处右连续,又11lim ()lim(3)2x x f x x ++→→=-=∴ fx 在x =1处连续.又22lim ()lim(3)1(2)x x f x x f --→→=-==∴ fx 在x =2处连续.又fx 在0,1,1,2显然连续,综上所述, fx 在0,2上连续.图形如下:图2-12 11lim ()lim 1x x f x x --→→==∴ fx 在x =1处连续.又11lim ()lim 11x x f x -+→-→-==故11lim ()lim ()x x f x f x -+→-→-≠∴ fx 在x =-1处间断, x =-1是跳跃间断点.又fx 在(,1),(1,1),(1,)-∞--+∞显然连续.综上所述函数fx 在x =-1处间断,在(,1),(1,)-∞--+∞上连续.图形如下:图2-22. 说明函数fx 在点x 0处有定义、有极限、连续这三个概念有什么不同又有什么联系 略.3.函数在其第二类间断点处的左、右极限是否一定均不存在试举例说明.解:函数在其第二类间断点处的左、右极限不一定均不存在. 例如0(),010x x f x x x x ≤⎧⎪==⎨>⎪⎩是其的一个第二类间断点,但00lim()lim 0x x f x x --→→==即在0x =处左极限存在,而001lim ()lim x x f x x ++→→==+∞,即在0x =处右极限不存在.4.求下列函数的间断点,并说明间断点的类型:1 fx = 22132x x x -++;2 fx =sin sin x xx +;3 fx = ()11x x +; 4 fx = 224x x +-;5 fx = 1sin x x .解: 1由2320x x ++=得x =-1, x =-2∴ x =-1是可去间断点,x =-2是无穷间断点.2由sin x =0得πx k =,k 为整数.∴ x =0是跳跃间断点.4由x 2-4=0得x =2,x =-2.∴ x =2是无穷间断点,x =-2是可去间断点. 5 001lim ()lim sin 0,()x x f x x f x x →→==在x =0无定义故x =0是fx 的可去间断点.5.适当选择a 值,使函数fx = ,0,,0x e x a x x ⎧<⎨+≥⎩在点x =0处连续.解: ∵f 0=a ,要fx 在x =0处连续,必须00lim ()lim ()(0)x x f x f x f +-→→==.即a =1.6※.设fx = lim x →+∞x xx x a a a a ---+,讨论fx 的连续性.解: 22101()lim lim sgn()10100x x xx x x a a x a aa f x x x a a a x --→+∞→+∞-<⎧--⎪====>⎨++⎪=⎩ 所以, fx 在(,0)(0,)-∞+∞上连续,x =0为跳跃间断点. 7. 求下列极限:1 2lim x →222x x x +-; 2 0lim x→; 3 2lim x →ln x -1; 4 12lim x →5 lim x e→ln x x . 解: 222222(1)lim 1;2222x x x x →⨯==+-+- 习题2-81. 证明方程x 5-x 4-x 2-3x =1至少有一个介于1和2之间的根.证: 令542()31f x x x x x =----,则()f x 在1,2上连续,且 (1)50f =-<, (2)50f =>由零点存在定理知至少存在一点0(1,2),x ∈使得0()0f x =.即 542000031x x x x ---=, 即方程54231x x x x ---=至少有一个介于1和2之间的根.2. 证明方程ln 1+e x -2x =0至少有一个小于1的正根.证: 令()ln(1)2e x f x x =+-,则()f x 在(,)-∞+∞上连续,因而在0,1上连续,且 0(0)ln(1)20ln 20e f =+-⨯=>由零点存在定理知至少存在一点0(0,1)x ∈使得0()0f x =.即方程ln(1)20e xx +-=至少有一个小于1的正根.3※. 设fx ∈C -∞,+∞,且lim x →-∞fx =A , lim x →+∞fx =B , A ·B <0,试由极限及零点存在定理的几何意义说明至少存在一点x 0∈-∞,+∞,使得fx 0=0.证: 由A ·B <0知A 与B 异号,不防设A >0,B <0由lim ()0,lim ()0x x f x A f x B →-∞→+∞=>=<,及函数极限的保号性知,10X ∃>,使当1x X <-,有()0,f x >20X ∃<,使当2x X >时,有()0f x <.现取1x a X =<-,则()0f a >,2x b X =>,则()0f b <,且a b <,由题设知()f x 在[,]a b 上连续,由零点存在定理,至少存在一点0(,)x a b ∈使0()0f x =, 即至少存在一点0(,)x ∈-∞+∞使0()0f x =.4.设多项式P n x =x n +a 11n x-+…+a n .,利用第3题证明: 当n 为奇数时,方程P n x =0至少有一实根. 证: 122()1n n n n a a a P x x x x x ⎛⎫=++++ ⎪⎝⎭()lim 10n nx P x x →∞∴=>,由极限的保号性知. 0X ∃>,使当X x >时有()0nn P x x>,此时()n P x 与n x 同号,因为n 为奇数,所以2X n 与-2X n 异号,于是(2)n P X -与(2)n P X 异号,以()n P x 在[2,2]X X -上连续,由零点存在定理,至少存在一点0(2,2)X X X ∈-,使0()0n P x =,即()0n P x =至少有一实根.。
综合练习题1(函数、极限与连续部分)1.填空题 (1)函数)2ln(1)(-=x x f 的定义域是 . 答案:2>x 且3≠x .(2)函数24)2ln(1)(x x x f -++=的定义域是 .答案:]2,1()1,2(-⋃--(3)函数74)2(2++=+x x x f ,则=)(x f. 答案:3)(2+=x x f(4)若函数⎪⎩⎪⎨⎧≥<+=0,0,13sin )(x k x xx x f 在0=x 处连续,则=k .答案:1=k(5)函数x x x f 2)1(2-=-,则=)(x f .答案:1)(2-=x x f(6)函数1322+--=x x x y 的间断点是 .答案:1-=x(7)=∞→xx x 1sinlim .答案:1(8)若2sin 4sin lim 0=→kxxx ,则=k .答案:2=k2.单项选择题(1)设函数2e e xx y +=-,则该函数是( ).A .奇函数B .偶函数C .非奇非偶函数D .既奇又偶函数 答案:B(2)下列函数中为奇函数是().A .x x sinB .2e e xx +- C .)1ln(2x x ++ D .2x x +答案:C(3)函数)5ln(4+++=x x xy 的定义域为( ).A .5->xB .4-≠xC .5->x 且0≠xD .5->x 且4-≠x 答案:D(4)设1)1(2-=+x x f ,则=)(x f ( ) A .)1(+x x B .2x C .)2(-x x D .)1)(2(-+x x 答案:C(5)当=k ( )时,函数⎩⎨⎧=≠+=0,,2)(x k x e x f x 在0=x 处连续.A .0B .1C .2D .3 答案:D(6)当=k ( )时,函数⎩⎨⎧=≠+=0,,1)(2x k x x x f ,在0=x 处连续.A .0B .1C .2D .1- 答案:B(7)函数233)(2+--=x x x x f 的间断点是( ) A .2,1==x xB .3=xC .3,2,1===x x xD .无间断点 答案:A 3.计算题(1)423lim 222-+-→x x x x .解:4121lim )2)(2()1)(2(lim 423lim22222=+-=+---=-+-→→→x x x x x x x x x x x x (2)329lim 223---→x x x x解:234613lim )1)(3()3)(3(lim 329lim 33223==++=+-+-=---→→→x x x x x x x x x x x x (3)4586lim 224+-+-→x x x x x解:3212lim )1)(4()2)(4(lim 4586lim 44224=--=----=+-+-→→→x x x x x x x x x x x x x综合练习题2(导数与微分部分)1.填空题(1)曲线1)(+=x x f 在)2,1(点的切斜率是 . 答案:21(2)曲线x x f e )(=在)1,0(点的切线方程是 . 答案:1+=x y(3)已知x x x f 3)(3+=,则)3(f '= . 答案:3ln 33)(2x x x f +=')3(f '=27()3ln 1+(4)已知x x f ln )(=,则)(x f ''= . 答案:x x f 1)(=',)(x f ''=21x- (5)若x x x f -=e )(,则='')0(f .答案:x x x x f --+-=''e e 2)(='')0(f 2-2.单项选择题(1)若x x f x cos e )(-=,则)0(f '=( ).A. 2B. 1C. -1D. -2 因)(cos e cos )e ()cos e ()('+'='='---x x x x f x x x)sin (cos e sin e cos e x x x x x x x +-=--=---所以)0(f '1)0sin 0(cos e 0-=+-=- 答案:C(2)设y x =lg2,则d y =( ). A .12d x x B .1d x x ln10 C .ln10x x d D .1d xx 答案:B(3)设)(x f y =是可微函数,则=)2(cos d x f ( ). A .x x f d )2(cos 2' B .x x x f d22sin )2(cos ' C .x x x f d 2sin )2(cos 2' D .x x x f d22sin )2(cos '- 答案:D(4)若3sin )(a x x f +=,其中a 是常数,则='')(x f ( ).A .23cos a x +B .a x 6sin +C .x sin -D .x cos 答案:C3.计算题(1)设xx y 12e =,求y '.解: )1(e e 22121xx x y xx -+=')12(e 1-=x x(2)设x x y 3cos 4sin +=,求y '.解:)sin (cos 34cos 42x x x y -+='x x x 2cos sin 34cos 4-=(3)设xy x 2e 1+=+,求y '. 解:2121(21ex x y x -+='+ (4)设x x x y cos ln +=,求y '.解:)sin (cos 12321x x x y -+=' x x tan 2321-= 综合练习题3(导数应用部分)1.填空题(1)函数y x =-312()的单调增加区间是 . 答案:),1(+∞(2)函数1)(2+=ax x f 在区间),0(∞+内单调增加,则a 应满足 .答案:0>a2.单项选择题(1)函数2)1(+=x y 在区间)2,2(-是( ) A .单调增加 B .单调减少 C .先增后减 D .先减后增 答案:D(2)满足方程0)(='x f 的点一定是函数)(x f y =的( ). A .极值点 B .最值点 C .驻点 D . 间断点 答案:C(3)下列结论中( )不正确. A .)(x f 在0x x =处连续,则一定在0x 处可微.B .)(x f 在0x x =处不连续,则一定在0x 处不可导.C .可导函数的极值点一定发生在其驻点上.D .函数的极值点一定发生在不可导点上. 答案: B(4)下列函数在指定区间(,)-∞+∞上单调增加的是( ). A .x sin B .x e C .2x D .x -3答案:B3.应用题(以几何应用为主)(1)欲做一个底为正方形,容积为108m 3的长方体开口容器,怎样做法用料最省?解:设底边的边长为x m ,高为h m ,容器的表面积为y m 2。
微积分第2版-朱文莉第2章极限与连续习题祥解第二章 极限与连续习题 2.1(A)1. 观察下列数列{}n x ,当n →∞时,极限是否存在,如存在,请写出其极限值.(1) {}(1)1n n x n ⎧⎫-=+⎨⎬⎩⎭; (2) {}1sin n x n ⎧⎫=⎨⎬⎩⎭;(3) {}1(1)2n n x ⎧⎫+-=⎨⎬⎩⎭; (4) {}11n n x n -⎧⎫=⎨⎬+⎩⎭;(5) {}{}(1)nn x n =-; (6) {}21n n x n ⎧⎫-=⎨⎬⎩⎭.解 (1) 当n →∞时,极限为1;(2) 当n →∞时,极限为0; (3) 当n →∞时,极限不存在; (4) 当n →∞时,极限为1; (5) 当n →∞时,极限不存在; (6) 当n →∞时,极限不存在. 2. 对于数列{}⎭⎬⎫⎩⎨⎧+=1n n x n ),2,1( =n ,给定 (1) 1.0=ε,(2) 01.0=ε, (3) 001.0=ε时,分别取怎样的N ,才能使当N n >时,不等式ε<-1n x 成立? 并利用极限的定义证明此数列的极限为1.解 (1) 要使1.011111=<+=-+=-εn n n x n ,只要101.011=>+n ,9n >,故取9=N 即可.(2) 要使01.011111=<+=-+=-εn n n x n ,只要10001.011=>+n ,99n >,故99=N 即可.(3) 要使001.011111=<+=-+=-εn n n x n ,只要1000001.011=>+n ,999n >,故取999=N 即可.对于任意给定的0>ε,要使ε<+=-+=-11111n n n x n ,即ε11>+n ,11->εn .取正整数⎥⎦⎤⎢⎣⎡-=11εN ,则当N n >时,恒有ε<-+=-111n nx n ,故lim 11n nn →∞=+. 习题 2.1 (B)1. 用数列极限的定义证明下列极限:(1) 1(1)lim 01nn n →∞+-=+; (2) 1lim313n n n →∞=+. 证明 (1) 对于任意给定的0ε>,要使不等式n x a -=1(1)22011n n n nε+--≤<<++成立,只需2n ε>成立. 取2N ε⎡⎤=⎢⎥⎣⎦,则当n N >时,恒有ε.所以 1(1)lim 01nn n →∞+-=+.(2) 对于任意给定的0ε>,要使不等式n x a -=1113133(31)9n n n nε--=<<++ 成立,只需19n ε>成立. 取19N ε⎡⎤=⎢⎥⎣⎦,则当n N >时,恒有 1313n n ε-<+. 所以 1lim313n n n →∞=+.2. 利用数列极限的定义证明:0n →∞=. 证明 对于任意给定的0ε>,要使不等式=-a xn 0ε-=<<成立,只需21n ε>成立. 取112+⎥⎦⎤⎢⎣⎡=εN ,则当n N >时,恒有0ε-<.所以 )0n →∞=.3. 若数列{}n x 有界,且lim 0n n y →∞=,证明lim 0n n n x y →∞=.证明 因为数列{}n x 有界,所以存在0M >,对所有的n x 都有n x M ≤,对于任意给定的0ε>,要使不等式0n n x y -=n n n x y M y ε≤<成立,只需n y M ε<,又因为lim 0n n y →∞=,所以对于给定的0Mεε'=>,存在N ,则当n N>时,恒有n y Mεε'<=. 取},max{N M K =,则当K n >时,恒有εε=<MMy x n n .所以lim 0n n n x y →∞=.4.对于数列}{n x ,若a x k →-12 )(∞→k ,a x k →2)(∞→k ,证明:a x n →)(∞→n .证明 因为a x k →-12 )(∞→k ,所以0>∀ε,1k ∃0>,当1k k >时,有ε<--a x k 12;又因为a x k →2)(∞→k ,所以对上述0>ε,2k ∃0>,当2k k >时,有ε<-a x k 2. 记},max{21k k K =,取K N 2=,则当N n >时,若12-=k n ,则121k K k >+>,得ε<-=--a x a x k n 12,若k n 2=,则2k K k ≥>,得ε<-=-a x a x k n 2. 从而只要N n >,就有ε<-a x n ,即lim n n x a →∞=.习题2.2(A)1. 对下图中所示函数)(x f ,求下列极限,如果极限不存在,说明理由.(1) 2lim ()x f x →-; (2) 1lim ()x f x →-; (3)0lim ()x f x →.解 (1) 2lim ()0x f x →-=;(2)1lim ()1x f x →-=-;(3)0lim ()x f x →不存在,因为)0()0(+-≠f f .2. 对下图中所示函数)(x f ,下列陈述中哪些是对的,哪些是错的?(1) 0lim ()x f x →不存在; (2) 0lim ()0x f x →=;(3) 0lim ()1x f x →=; (4)1lim ()0x f x →=;(5) 1lim ()x f x →不存在; (6) 对每个)1,1(0-∈x , 0lim ()x x f x →存在.解 (1) 错,因为0lim ()x f x →存在与否,与)0(f 的值无关.(2) 对,因为0)0()0(==+-f f .(3) 错,因为0lim ()x f x →的值与)0(f 的值无关.(4) 错,0)01(=+f ,1)01(-=-f ,故1lim ()x f x →不存在.(5) 对,因为)01()01(-≠+f f . (6) 对.3. 用极限定义证明:(1) 1lim(21)1x x →-=; (2) 224lim 42x x x →--=-+;(3) 23lim2x x x →∞+=; (4) lim 0x =.证明 (1)对于任意给定的0ε>,要使不等式()f x A -(21)121x x ε=--=-<成立,只需12x ε-<成立. 取2εδ=,则当01x δ<-<时,恒有(21)1x ε--<.所以 1lim(21)1x x →-=.(2)对于任意给定的0ε>,要使不等式()f x A -24(2)(2)(4)4222x x x x x x ε--+=--=+=+<++成立,只需取δε=即可. 则当0x δ<+<时,恒有24(2x x ε--+. 所以224lim 42x x x →--=-+.(3)对于任意给定的0ε>,要使不等式()f x A -2332x x xε+=-=< 成立,只需3x ε>成立. 取3M ε=,则当x M >时,恒有232x xε+-<. 所以 23lim2x x x →∞+=.(4)对于任意给定的0ε>,要使不等式()0f x A ε-=<< 成立,只需⎥⎦⎤⎢⎣⎡>21εx 成立. 取⎥⎦⎤⎢⎣⎡=21εM ,则当x M >时, 恒有0ε-<. 所以lim0x =.习题2.2 (B)1. 当2→x 时,4)(2→=x x f ,问δ等于多少,使当δ<-2x 时,001.04)(<-x f ?解 由于2→x ,02→-x ,不妨设12<-x ,即31<<x . 要使25)2)(2(42-<-+=-x x x x0002.02=-x , 取0002.0=δ,则当δ<-<20x 时,就有001.04)(<-x f .2. 当∞→x 时,2312)(22→++=x x x f ,问X 等于多少,使当X x >时,01.02)(<-x f ?解 因为222253523122)(x x x x x f <+=-++=-. 要使01.0231222<-++x x ,只要01.052<x,即510>x ,取510=X ,则当X x >时,就有01.02)(<-x f . 3. 讨论0x →时,下列函数的极限是否存在.(1) 1,0()0, 01,0x x f x x x x -<⎧⎪==⎨⎪+>⎩; (2) ⎩⎨⎧<<<<-=10 ,0,sin )(x x x x x f π. 解 (1)由于 0lim ()lim (1)1x x f x x --→→=-=-, 00lim ()lim (1)1x x f x x ++→→=+=,故 0lim ()lim ()x x f x f x -+→→≠. 所以 0lim ()x f x →不存在.(2)由于0lim ()lim sin 0x x f x x --→→==,0lim ()lim 0x x f x x ++→→==. 故0lim ()x f x -→0lim ()x f x +→=. 所以0lim ()0x f x →=. 4. 设函数3()53x x f x x x+=-,求:(1) lim ()x f x →+∞; (2) lim ()x f x →-∞;(3) 0lim ()x f x +→; (4) 0lim ()x f x -→.解 34(1)lim ()limlim2532x x x x x xf x x xx→+∞→+∞→+∞+===-.321(2)lim ()limlim5384x x x x x x f x x x x →-∞→-∞→-∞+===-.3(3)lim ()lim 253x x x x x f x x x ++→→→+==-. 0321(4)lim ()lim lim 5384x x x x x x f x x xx ---→→→+===-. 5. 设函数212()22x x f x x a x ⎧+≥=⎨+<⎩,问当a 取何值时,函数)(x f 在2→x 时的极限存在.解 因为 22lim ()lim (2)4x x f x x a a --→→=+=+, 222lim ()lim (1)5x x f x x ++→→=+=. 由极限存在的条件,有 2lim ()x f x -→2lim ()x f x +→=,得1a =.习题2.3(A)1. 下列变量在何种情况下为无穷小,又在何种情况下为无穷大? (1)11x -; (2) 211x x --; (3) ln(1)x -.解 (1)由于1lim 01x x →∞=-,故x →∞时,变量11x-为无穷小. 由于11lim 1x x →=∞-,故1x →时,变量11x-为无穷大. (2) 由于21lim01x x x →∞-=-,故x →∞时,变量211x x --为无穷小. 由于211lim 1x x x →--=∞-, 故1x →-时,变量211x x --为无穷大.(3) 由于2lim ln(1)0x x →-=,故2x →时,变量为ln(1)x -无穷小.由于lim ln(1)x x →+∞-=+∞,或 1lim ln(1)x x +→-=-∞,故x →+∞或1x +→时变量ln(1)x -为无穷大.2. 根据定义证明:(1) 1-=x y 为当1→x 时的无穷小; (2) xxy sin =为当∞→x 时的无穷小. 解 (1) 因为0)1(-=--x x ,所以0>∀ε,取εδ=,则当δ-<10x 时,就有ε<--0)1(x ,即1-=x y 为当1→x 时的无穷小.(2) 因为xx x 10cos ≤-,所以0>∀ε,取ε1=X ,则当X x >时,恒有ε<-0cos xx, xxy cos =为当∞→x 时的无穷小. 3. 求下列极限.(1) sin lim x x x→∞; (2) 221lim 56x x x x →+-+; (3) 224lim 2x x x →--.解 (1)因为sin x 是有界函数,x →∞时,1x为无穷小. 所以 sin lim0x xx→∞=.(2)当2x →时,1x +有界,256x x -+为无穷小. 所以221lim56x x x x →+=∞-+.(3) 22224(2)(2)lim lim lim(2)422x x x x x x x x x →→→-+-==+=--.习题2.3 (B)1. 举例说明,两个无穷小的商不一定是无穷小;无穷小与无穷大的积不一定是无穷小.解 (1) 例如 0)1(lim 1=-→x x ,0)1(lim 21=-→x x ,但2)1(lim 11lim 121=+=--→→x x x x x . 不是无穷小.(2) 例如 0)1(lim 1=-→x x ,∞=-→11lim21x x ,但是2111lim 11lim 11)1(lim 12121=+=--=--→→→x x x x x x x x 不是无穷小.2. 函数x x y cos =在),(+∞-∞内是否有界?这个函数是否为+∞→x 时的无穷大?解 因为0>∀M ,总有),(0+∞∈M x ,使得1cos 0=x ,从而M x x x y >==000cos ,所以,函数x x y cos =在),(+∞-∞内无界.又存在00>N ,0>∀X ,总有),(0+∞∈X x ,0cos 0=x ,从而0000cos N x x y <==, 所以,函数x x y cos =不是当+∞→x 时的无穷大.3. 根据定义证明:函数xxy 21+=为当0→x 时的无穷大. 问x 应满足什么条件,能使410>y ?证明 因为212121-≥+=+x x x x ,要使M x x >+21,只要M x>-21,即21+<M x . 所以0>∀M ,取21+=M δ,当δ<-<00x 时,就有M xx>+21,即函数xxy 21+=为当0→x 时的无穷大. 令410=M ,取21014+=δ,当2101004+<-<x 时,就能使41021>+xx. 习题2.4(A)1. 简要回答下列问题.(1) 若数列{}n x 收敛,而数列{}n y 发散,则数列{}n n x y ±及数列{}n n x y 是否收敛? (2) 若数列{}n x ,{}n y 均发散,则数列{}n n x y ±及数列{}n n x y 是否发散?解 (1) 数列{}n n x y ±发散. 如果{}n n x y ±收敛,那么()n n n n y x x y =--或()n n n n y x y x =+-也收敛.数列{}n n x y 不一定收敛. 例如:数列1n x n=收敛,(1)nn y =-发散, 1(1)n n n x y n =-收敛;又数列1n x n=收敛,2n y n =发散, n n x y n =发散. (2) {}n n x y ±及数列{}n n x y 不一定发散. 2. 求下列函数的极限.(1) 322042lim 32x x x x x x→-++; (2) 22132lim 43x x x x x →-+-+;(3) 4x →(4) )limx x →+∞;(5) 3131lim 11x x x →⎛⎫- ⎪--⎝⎭; (6) ()()()2030502332lim 21x x x x →∞-++;(7) 332lim 1x x x x →∞+-+ ; (8) 220()lim h x h x h→+-.解 (1) 322200424211limlim 32322x x x x x x x x x x →→-+-+==++. (2) 2211132(1)(2)(2)1lim lim lim 43(1)(3)(3)2x x x x x x x x x x x x x →→→-+---===-+---.(3) x x →→=4x x →→===322.(4) 1lim )limlim2x x x x →+∞===. (5) 3211312lim lim 1111x x x x x x x →→+⎛⎫-==⎪--++⎝⎭.(6) 203030203050503223(23)(32)3lim lim (21)212x x x x x x x x →∞→∞⎛⎫⎛⎫-+ ⎪ ⎪-+⎛⎫⎝⎭⎝⎭== ⎪+⎝⎭⎛⎫+ ⎪⎝⎭. (7) 3333232322lim 112lim lim 1111111lim 1x x x x x x x x x x x xx →∞→∞→∞→∞⎛⎫++ ⎪+⎝⎭===-+⎛⎫-+-+ ⎪⎝⎭.(8) 22222000()2limlim lim(2)2h h h x h x x xh h x x h x h h→→→+-++-==+=. 3. 求下列极限.(1) 1123lim 23n nn n n ++→∞++;(2)2n n(3) n →∞; (4) 1111242lim1111393n n n →∞++++++++; (5) 11lim 1335(21)(2n n →∞⎛+++⋅⋅-⎝.解 (1) 11212313lim lim 2332323nn nn n n n n ++→∞→∞⎛⎫+⎪+⎝⎭==+⎛⎫+ ⎪⎝⎭.(2) 2214n n n⎫⎪===. (3) lim n →∞0n ==.(4) 111121111112422lim lim 1111113933113n n n n n n ++→∞→∞⎛⎫- ⎪⎝⎭++++-==⎛⎫++++- ⎪⎝⎭-43. (5) 由于1111(21)(21)22121n n n n ⎛⎫=- ⎪-+-+⎝⎭,有1111323(21)(21)n n +++⋅⋅-+111111111123352121221n n n ⎛⎫⎛⎫=-+-++-=- ⎪ ⎪-++⎝⎭⎝⎭. 于是111111lim lim 11323(21)(21)2212n n n n n →∞→∞⎛⎫⎛⎫+++=-= ⎪ ⎪⋅⋅-++⎝⎭⎝⎭.习题2.4 (B)1. 设222lim 22x x ax bx x →++=--,求常数a ,b 的值.解 因为222lim 22x x ax bx x →++=--,推得b ax x ++2含有因式2x -,否则与已知矛盾.设2x ax b ++(2)()x x c =--,得2,(2)b c a c ==-+.又因为 22222(2)()2lim lim lim 22(2)(1)13x x x x ax b x x c x c cx x x x x →→→++----====---++,得4-=c ,从而得到2a =,8b =-.2. 设511lim 2-=⎪⎪⎭⎫⎝⎛+---∞→b ax x x x ,求常数a ,b 的值. 解 因为511)()1(lim 11lim 22-=⎪⎪⎭⎫⎝⎛---++-=⎪⎪⎭⎫ ⎝⎛+---∞→∞→x b x b a x a b ax x x x x ,推得105a ab -=⎧⎨+=-⎩, 得1a =,6b =-.3. 设⎪⎪⎩⎪⎪⎨⎧>≤<+≤+=,1,2,10,1,0,23)(2x xx x x x x f 分别讨论0→x 及1→x 的极限是否存在.解 (1) 由于 0lim ()lim (32)2x x f x x --→→=+=,200lim ()lim(1)1x x f x x ++→→=+=. 由于 0lim ()lim ()x x f x f x -+→→≠,所以 0lim ()x f x →不存在. (2) 由于 211lim ()lim(1)2x x f x x --→→=+=, 112lim ()lim 2x x f x x++→→==, 111lim ()lim ()lim ()2x x x f x f x f x -+→→→===, 所以 1lim ()x f x →存在.4. 设1lim ()x f x →存在,且21()2lim ()x f x x x f x →=+,求1lim ()x f x →和()f x .解 设1lim ()x f x A →=,则2()2f x x Ax =+,于是211lim ()lim(2)12x x A f x x Ax A →→==+=+,得1A =-,2()2f x x x =-.习题2.5(A)1. 求下列极限: (1) 0tan 2limsin 5x x x →;(2) 0lim x +→; (3) 02arcsin lim3x x x →; (4) lim 2sin (0)2nnn x x →∞≠;(5) 202lim sin 3x x x→; (6) 0tan sin limx x xx→-.解 (1) 00tan 22tan 222lim lim sin 5sin 5555x x xxx x x x xx→→==.(2) 00022lim limlim 2x x x x x+++→→→===(3) 令t x =arcsin ,则002arcsin 22limlim 33sin 3x t x t x t →→==.(4) sin 22lim 2sin lim sin lim 222nn n n n n n n nx x x x xx x x →∞→∞→∞===. (5) 22002293lim lim 9sin sin 33x x x x x x →→⎛⎫ ⎪⎝⎭==.(6) 0tan sin lim x x x x x →→-= 00sin (1lim lim cos x x x x x→→-=⋅2. 求下列极限:(1) 51lim 1n n n +→∞⎛⎫+ ⎪⎝⎭; (2) lim 1xx x x →∞⎛⎫⎪+⎝⎭; (3) 21lim 23xx x x →∞-⎛⎫⎪+⎝⎭; (4) 22lim 2xx x →-⎛⎫ ⎪⎝⎭; (5) ()1lim 12sin xx x →+; (6) ()3sec 2lim 1cos xx x π→+.解 (1) 55111lim 1lim 11n nn n e n n n +→∞→∞⎛⎫⎛⎫⎛⎫+=++= ⎪ ⎪ ⎪⎝⎭⎝⎭⎝⎭. (2) 11lim lim 111xx x x x x e x →∞→∞⎛⎫== ⎪+⎝⎭⎛⎫+ ⎪⎝⎭. (3) 令423t x -=+,则214lim lim 12323x xx x x x x →∞→∞--⎛⎫⎛⎫=+ ⎪ ⎪++⎝⎭⎝⎭2231322220lim(1)lim (1)lim(1)1t tt t t t t t e e ------→→→⎡⎤=+=++=⋅=⎢⎥⎣⎦. (4) 1221002lim lim 122xxx x x x e ---→→⎡⎤--⎛⎫⎛⎫⎢⎥=+= ⎪ ⎪⎢⎥⎝⎭⎝⎭⎣⎦. (5) 012sin lim20lim(12sin )x xxx x ee →→+==.(6) 3cos 3sec 322lim(1cos )lim(1cos )x xx x x x e ππ→→+=+=.3. 设 21001lim 5xc x x e x →∞+⎛⎫= ⎪-⎝⎭,求c . 解 222012lim 2012510011006lim lim 155x xxxc x x x x e e e x x →∞-→∞→∞+⎛⎫⎛⎫=+=== ⎪ ⎪--⎝⎭⎝⎭,2012=c .习题2.5 (B)1. 利用极限存在准则,计算下列各题.(1) 222111lim (1)()n n n n n →∞⎡⎤+++⎢⎥++⎣⎦; (2) n →∞. 解 (1)由于222221111()(1)()n n n n n n n n n n<+++<=+++, 又因为 1lim0n n →∞=,2lim 0()n nn n →∞=+,由夹逼准则,有 222111lim 0(1)()n n n n n →∞⎡⎤+++=⎢⎥++⎣⎦. (2) 因为1sin 1n -<<,所以有223311n nn n -<<++,此时23lim 01nn n →∞-=+,23lim 01n n n →∞=+,由夹逼准则,有 0n →∞=. 2. 利用极限存在准则证明:数列2,22+,222++,…的极限存在,并求出该极限.解 归纳证明这个数列是严格单调增加的,并以2为上界.2<,假设1n n a a -<,那么1n n a a +=<=,可见数列是单调增加的. 2<,2n a <,可推出12n a +=<=,所以数列以2为上界. 由准则Ⅱ知,此数列是收敛数列,记极限为a .由在递推公式1n a +1lim n n a +→∞=即a =2a =.3. 某企业计划发行公司债券,规定以年利率6.5%的连续复利计算利息,10年后每份债券一次偿还本息1000元,问发行时每份债券的价格应定为多少元?解 设发行时每份债券的价格应定为0A 元,则65.0010%5.601000e A e A ==⨯,所以05.522100065.00≈⋅=-e A (元).4. 设本金为p 元,年利率为r . 若一年分n 期,存期t 年,若以复利方式结算,则本金与利息之和是多少?现某人将1000p =元存入某银行,年利率为0.06r =,2t =;请按单利、季度、月利及连续复利等结算方式计算本利和.解 按单利计算:本利和为=00.1120206.010001000=⨯⨯+(元). 由复利公式有ntn r p ⎪⎭⎫ ⎝⎛+1, 按季度结算方式计算:4n =,利和为49.1126406.011000124≈⎪⎭⎫ ⎝⎛+=⎪⎭⎫ ⎝⎛+⨯nt n r p (元),按月结算方式计算:12n =,本利和为.1511271206.0110001212≈⎪⎭⎫⎝⎛+=⎪⎭⎫ ⎝⎛+⨯nt n r p (元),连续复利结算方式计算:本利和为 1000rt rtpe e =1127.49≈(元).5. 根据函数极限的定义,证明极限存在的准则I '.证明 仅就0x x →的情形证明准则I ',∞→x 的情形类似证明.0>∀ε,因为A x g x x =→)(lim 0,01>∃δ,当100δ<-<x x ,有ε<-A x g )(,即εε+<<-A x g A )(, (3)又A x h x x =→)(lim 0,对于上面的0>ε,02>∃δ,当200δ<-<x x ,有ε<-A x h )(,即εε+<<-A x h A )(. (4)取},min{21δδδ=,则当δ<-<00x x ,假设(1)及式(3)、(4)同时成立,从而有εε+<≤≤<-A x h x f x g A )()()(,即ε<-A x f )(.因此,0lim ()x x f x →存在,且等于A .习题2.6(A)1. 当0→x 时,下列各函数都是无穷小,试确定哪些是x 的高阶无穷小?同阶无穷小?等价无穷小?(1) x x +2; (2) x x sin +;(3) x x sin -; (4) x 2cos 1-; (5) x arctan ; (6) x 2tan .解 (1) 因为200lim lim(1)1x x x xx x→→+=+=,所以x x +2是与x 等价的无穷小.(2) 因为00sin sin limlim 1112x x x x x x x →→+⎛⎫=+=+= ⎪⎝⎭,所以x x sin +是与x 同价的无穷小. (3) 因为00sin sin limlim 10x x x x x x x →→-⎛⎫=-= ⎪⎝⎭,所以x x sin -是比x 高价的无穷小. (4) 因为20001sin 1cos 2sin 2lim lim lim sin 02x x x xx x x x x x →→→-⎛⎫==⋅= ⎪⎝⎭,所以x 2cos 1-是比x 高价的无穷小.(5) 因为00arctan limlim 1x x x xx x →→==,所以x arctan 是与x 等价的无穷小.(6) 因为00tan 22limlim 2x x x xxx →→==,所以x 2tan 是与x 同价的无穷小. 2. 当1x →时,无穷小111xx-+是否为等价的无穷小?解1111x x x→→-=. 故11xx -+与1.3. 当1x →时,无穷小1x -与下列无穷小是否同阶,是否等价?(1) 1 (2)2(1.解 (1) 由于11113x x x →→→===故1x -与1.(2) 由于112(1lim11x x x →→==-,故1x -与2(1等价.4. 利用等价无穷小代换原理求下列极限.(1) 0arctan 3lim sin 2x x x →; (2) 0sin lim (,)(sin )mn x x m n x →正数;(3) 201lim 1cos x x e x→--; (4) 201lim 3x x e x x →-+;(5) 21arcsin(1)lim (1)ln(21)x x x x →---; (6) 30tan sin lim ln(1)x x xx →-+;(7) 0x →; (8) 2330235lim 42tan x x x x x x →+-+.解 (1) 00arctan 333limlim sin 222x x x x x x →→==.(2) 00sin lim lim (sin )mmn n x x x x x x→→==0,1,,m n m n m n >⎧⎪=⎨⎪∞<⎩. (3) 222001limlim 21cos 2x x x e x xx →→-==-. (4) 22000111lim lim lim 3333x x x x e x x x x x x →→→-===+++. (5) 2211arcsin(1)(1)1lim lim (1)ln(21)(1)(22)2x x x x x x x x →→--==----.(6) 2333000tan sin tan (1cos )12limlim lim ln(1)ln(1)2x x x x x x x x x x x x →→→⋅--===++.(7) 22lim42x x xx x →→==+.(8) 2330235lim 42tan x x x x x x →+-+2200220lim(235)2352lim 1tan tan 242lim 42x x x x x x x x x x x x x →→→+-+-====⎛⎫++ ⎪⎝⎭.习题2.6 (B)1. 证明当0→x 时,有如下结论:(1) x x ~arctan ; (2) 221~1sec x x -; (3)221~1sin 1x x x -+; (4) 222~11x x x --+. 证明 (1) 令x t arctan =,则t x tan =,当0→x 时,0→t . 于是000arctan cos limlim lim 1sin tan x t t x t tt x tt →→→===,故x x ~arctan .(2) 因为200002222111sec 11cos cos 2lim lim lim lim 11111cos cos 2222x x x x xx x x x x x x x x →→→→---====⋅⋅, 所以,221~1sec x x -.(3)因为0022sin lim 111)22x x x x x x x →→→===, 所以,221~1sin 1x x x -+. (4) 因为20001x x x →→→===,所以222~11x x x --+.2. 证明无穷小的等价关系具有下列性质:(1) αα~(自反性); (2) 若βα~,则αβ~(对称性); (3) 若βα~,γβ~,则γα~(传递性).证明 (1) 因为1lim=αα,所以αα~. (2) 因为βα~,即1lim=βα,所以1lim =αβ,即αβ~.(3) 因为βα~,γβ~,即1lim=βα,1lim =γβ,所以 1lim lim lim lim=⋅=⎪⎪⎭⎫ ⎝⎛⋅=γββαγββαγα,即γα~. 3. 当0x →时,变量122(1)1kx +-与变量cos 1x -为等价无穷小,求常数k 的值.解 2122200(1)12lim lim 1cos 12x x kx kx k x x →→+-==-=--. 即 1k =-.解其中x 习题2.7(A)1. 讨论下列函数的连续性.(1) ⎩⎨⎧>≤=0 ,0 ,sin )(2x x x x x f ; (2) ⎪⎩⎪⎨⎧>≤≤--<-=1 ,111 ,1,1)(2x x x x x f .解 (1) 因为,当0<x 时,x x f sin )(=是连续的;当0>x 时,2)(x x f =是连续的,由于lim sin 0x x -→=,20lim 0x x +→=,00sin )0(==f ,故()f x 在0x =处连续. 从而函数)(x f 在) ,(∞+-∞内连续.(2) 因为)(x f 为分函数,当1-<x ,11<<-x ,1>x 时,函数)(x f 均是连续的.在1-=x 处,由于1lim (1)1x -→--=-,21lim 1x x +→-=,所以1-=x 是跳跃间断点;在1=x 处,由于21lim 1x x -→=,1lim11x +→=,且1)1(=f ,所以,函数在1=x 处连续. 综上所述:函数)(x f 在区间) ,1()1 ,(∞+---∞ 内连续.2. 确定常数a ,b 使下列函数连续.(1) ⎩⎨⎧>+≤=0 ,0 ,)(x a x x e x f x ; (2) ⎪⎪⎩⎪⎪⎨⎧>=<-=0,sin 0 ,20 ,)31ln()(x x axx x bx x x f .解 (1) 当0<x 与0>x 时,函数)(x f 为初等函数,它是连续的. 要使函数)(x f 在) ,(∞+-∞内连续,只需要函数)(x f 在0=x 处连续即可.因为1)0(0==e f ,0lim 1x x e -→=,0lim ()x x a a +→+=,所以当1=a 时,即有 00lim ()lim ()(0)1x x f x f x f -+→→===, 即当1=a 时,函数)(x f 在0=x 处连续. 故当取1=a 时,函数)(x f 在) ,(∞+-∞内连续.(2) 当0<x 与0>x 时,函数)(x f 为初等函数,故它是连续的. 要使函数)(x f 在) ,(∞+-∞内连续,只需要函数)(x f 在0=x 处连续即可.因为00033lim ()lim lim x x x x f x bx b---→→→-==-,000sin lim ()x x x a axf x a x ax +→+→+→==.由函数)(x f 在0=x 处连续知,00lim ()lim ()(0)2x x f x f x f -+→→===,即得,23=-=ba . 故当2=a ,23-=b 时,函数)(x f 在0=x 处连续. 也即函数)(x f 在) ,(∞+-∞内连续.3. 考察下列函数在指定点的连续性. 如果是间断点,指出其属于哪一类;如果是可去间断点,则补充或改变函数的定义使其成为函数的连续点.(1) 23122+--=x x x y ,1=x ,2=x ;(2) xxy sin =, πk x =,),2 ,1 ,0( ±±=k ; (3) xy 1cos 2=,0=x ;(4) ⎩⎨⎧>-≤-=1,31,12x x x x y ,1=x .解 (1) 因为)2)(1()1)(1(23122--+-=+--=x x x x x x x y ,函数在1=x ,2=x 处无定义,所以都是间断点.又因为221lim )2)(1()1)(1(lim 231lim 11221-=-+=--+-=+--→→→x x x x x x x x x x x x , ∞=+--→231lim 222x x x x , 所以,1=x 为第一类间断点(可去间断点),重新定义,当1=x 时,令2-=y ,则函数在1=x 处连续.2=x 为第二类间断点(无穷间断点).(2) 函数xxy sin =在 πk x =,),2 ,1 ,0( ±±=k 处无定义,所以它们都是间断点. 因为1sin lim0=→xxx ,故0=x 是函数y 的第一类间断点(可去间断点).若令1)0(=y ,则函数在0=x 处连续;若0≠k ,则∞=→xxk x sin lim π,故 πk x =),2 ,1( ±±=k 为函数y 的第二类间断点(无穷间断点).(3) 对0=x ,因为21lim cos x x -→及201lim cos x x+→均不存在,所以0=x 为函数的第二类间断点.(4) 对1=x ,因为11lim ()lim(21)1x x f x x --→→=-=,11lim ()lim(3)2x x f x x ++→→=-=,所以 1=x 第一类间断点(跳跃间断点).4. 求函数32233()6x x x f x x x +--=+-的连续区间,并求0lim ()x f x →,3lim ()x f x →-,2lim ()x f x →.解 由于323223333()6(3)(2)x x x x x x f x x x x x +--+--==+-+-, 得()f x 的定义域为()()(),33,22,-∞--+∞. 由于初等函数在其定义区间内连续,故函数()f x 的连续区间为()()(),33,22,-∞--+∞.01lim ()(0)2x f x f →==,22333(3)(3)18lim ()lim lim (3)(2)25x x x x x x x f x x x x →-→-→-+-+-===-+--,由于0)3)(1()2)(3(lim )(1lim222=+--+=→→x x x x x f x x ,故 222(3)(3)lim ()lim (3)(2)x x x x x f x x x →→+-+==∞+-.5. 求下列极限(1) 52lim 20+-→x x x ; (2) 34)2(sin lim x x π→;(3) sin 0lim xx x e→;(4) 145lim1---→x xx x .解 (1) 5502052lim 220=+⨯-=+-→x x x .(2) 142sin )2(sin lim 334=⎪⎭⎫ ⎝⎛=→ππx x . (3) e e eex x xxx x ===→→1sin limsin 00lim .(4) )45)(1()1(4lim145lim11x x x x x x x x x +---=---→→21==→x .习题2.7 (B)1. 设2,01()2,1ln(1), 13ax b x f x x bx x ⎧+<<⎪==⎨⎪+<≤⎩, a ,b 为何值时,()f x 在1x =处连续?解 由于211lim ()lim()x x f x ax b a b --→→=+=+,11lim ()lim ln(1)ln(1)x x f x bx b ++→→=+=+. 要使()f x 在1x =处连续,须有ln(1)2,2b a b +=+=.解之得 23a e =-,21b e =-. 2. 讨论下列函数的连续性.(1) 1()lim(0)1n n f x x x →∞=≥+; (2) 221()lim 1nnn x f x x x →∞-=+.解 (1) 1, 0111()lim , 1120, 1nn x f x x x x →∞≤<⎧⎪⎪===⎨+⎪>⎪⎩, 由于 11lim ()lim11x x f x --→→==,11lim ()lim 00x x f x ++→→==,故1x =为间断点. (2) 22, ||11()lim 0, 11,||1n nn x x x f x x x x x x →∞<⎧-⎪===±⎨+⎪>⎩-, 由于 11lim ()lim 1x x f x x --→→==,11lim ()lim()1x x f x x ++→→=-=-. 故1x =为间断点. 同理1x =-也为间断点. 3. 求下列极限.(1) 21limcos ln 1x x x →∞⎡-⎤⎛⎫+ ⎪⎢⎥⎝⎭⎣⎦; (2) sin 0lim xxx e →;(3) 01limarctan x x e x →⎛⎫- ⎪⎝⎭; (4) ()110lim 2x x x x e -→+. 解 (1) 2121limcos ln(1)cos ln lim(1)cosln 3x x x x x x →∞→∞--⎡⎤⎡⎤+=+=⎢⎥⎢⎥⎣⎦⎣⎦.(2) 0sin sin limlim x x xxxx eee →→==.(3) 0011limarctan arctan lim arctan14x x x x e e x x π→→⎛⎫⎛⎫--=== ⎪ ⎪⎝⎭⎝⎭. (4) ()()11ln 2ln 2111lim 2lim 2x x e xx x x x x eee +---→→+===. 4. 下列陈述中,哪些是对的,哪些是错的?如果是对的,说明理由;如果是错的,试给出一个反例.(1) 如果函数)(x f 在点0x 连续,那么)(x f 也在点0x 连续; (2) 如果函数)(x f 在点0x 连续,那么函数)(x f 也在点0x 连续. 解 (1) 对. 因为0)()()()(00→-≤-x f x f x f x f )(0x x →,所以)(x f 也在点0x 连续. (2) 错. 例如⎩⎨⎧<-≥=0,10,1)(x x x f , 则)(x f 在点00=x 连续,但函数)(x f 在点00=x 不连续.习题2.8(A)1. 证明方程3310x x --=在区间(1,2)内至少有一个实根.证明 因为函数3()31f x x x =--在闭区间[1, 2]上连续,又(1)30f =-<,(2)10f =>,根据零点定理,在开区间(1, 2)内至少有一点ξ,使得()0f ξ=,即3310ξξ--=.故方程3310x x --=在区间(1,2)内至少有一个实根ξ.2. 设函数()f x 在闭区间[,]a b 上连续,且(),()f a a f b b <>,证明:至少有一个(,)a b ξ∈,使()f ξξ=.证明 构造辅助函数x x f x g -=)()(.因为函数()f x 在闭区间[, b]a 上连续,且(),()f a a f b b <>,所以x x f x g -=)()(在闭区间[, b]a 上也连续,且0)()(<-=a a f a g ,0)()(>-=b b f b g . 根据零点定理,x x f x g -=)()(在开区间(, b)a 内至少有一点ξ,使得()()0g f ξξξ=-=,即 ()f ξξ=.3. 设函数()f x 在闭区间[0,2]a 上连续,且(0)(2)f f a =,证明:在[0,]a 至少存在一点ξ,使()()f f a ξξ=+.证明 构造辅助函数:)()()(x f a x f x g -+=.因为函数()f x 在闭区间[0,2]a 上连续,且(0)(2)f f a =,所以)()()(x f a x f x g -+=在闭区间[0,]a 上也连续,且()()0)()2()2()()()0(≤--=a f a f a f a f a g g .根据零点定理,)()()(x f a x f x g -+=在开区间(0,)a 内至少有一点ξ,使得()()()0g f a f ξξξ=+-=,即()()f f a ξξ=+.4. 证明方程 sin x a x b =+(其中0,0a b >>)至少有一正根,并且不超过a b +. 证明 令()sin ,f x a x b x =+-[]0,x a b ∈+,()f x 在[]0,a b +上连续,又(0)0f b =>,()sin()()[sin()1]0f a b a a b b a b a a b +=++-+=+-≤。
微积分上册 一元函数微积分与无穷级数第2章 极限与连续2.1 数列的极限1.对于数列n x ,若a x k →2(∞→k ),a x k →+12(∞→k ),证明:a x n → (∞→n ). 证. 0>∀ε, a x k →2 (∞→k ), Z K ∈∃∴1, 只要122K k >, 就有ε<-a x k 2; 又因a x k →+12(∞→k ), Z K ∈∃∴2, 只要12122+>+K k , 就有ε<-+a x k 12. 取{}12,2m ax 21+=K K N , 只要N n >, 就有ε<-a x n , 因此有a x n → (∞→n ). 2.若a x n n =∞→lim ,证明||||lim a x n n =∞→,并举反例说明反之不一定成立.证明: a x n n =∞→lim ,由定义有:N ∃>∀,0ε,当N n >时恒有ε<-||a x n又 ε<-≤-||||||a x a x n n对上述同样的ε和N ,当N n >时,都有ε<-||||a x n 成立 ∴ ||||lim a x n n =∞→反之,不一定成立.如取 ,2,1,)1(=-=n x nn显然 1||lim =∞→n n x ,但n n x ∞→lim 不存在.2.2 函数的极限1. 用极限定义证明:函数()x f 当0x x →时极限存在的充要条件是左、右极限各自存在且相等.证: 必要性. 若()A x f x x =→0lim , 0>∀ε, 0>∃δ, 当δ<-<00x x 时, 就有()ε<-A x f . 因而, 当δ<-<00x x 时, 有()ε<-A x f , 所以()A x f x x =+→0lim ; 同时当δ<-<x x 00时, 有()ε<-A x f , 所以()A x f x x =-→0lim .充分性. 若()A x f x x =+→0lim ,()A x f x x =-→0lim . 0>∀ε, 01>∃δ, 当100δ<-<x x 时, 就有()ε<-A x f , 也02>∃δ, 当200δ<-<x x 时, 有()ε<-A x f . 取{}21,m in δδδ=,则当δ<-<00x x 时, 就有()ε<-A x f . 所以()A x f x x =→0lim .2.写出下列极限的精确定义:(1)A x f x x =+→)(lim 0,(2)A x f x =-∞→)(lim ,(3)+∞=+→)(lim 0x f x x ,(4)-∞=+∞→)(lim x f x ,(5)A x f x =+∞→)(lim .解:(1)设R x U f →)(:0是一个函数,如果存在一个常数R A ∈,满足关系:0,0>∃>∀δε,使得当δ<-<00x x 时,恒有ε<-|)(|A x f ,则称A 是)(x f 当+→0x x 时的极限,记作A x f x x =+→)(lim 0或 )()(0+→=x x A x f . (2)设R f D f →)(:是一函数,其中0,),,()(>>--∞⊃αααR f D .若存在常数R A ∈,满足关系:0)(,0>∈∃>∀R X ε,使得当X x -<时,恒有ε<-|)(|A x f 成立,则称A 是)(x f 当-∞→x 时的极限,记作:A x f x =-∞→)(lim 或 A x f =)()(-∞→x .(3)设R x U f →)(:0是任一函数,若0>∀M ,0>∃δ,使得当δ<-<00x x 时,恒有M x f >)(,则称当+→0x x 时)(x f 的极限为正无穷大,记作+∞=+→)(lim 0x f x x 或 +∞=)(x f )(0+→x x . (4)设R f D f →)(:是一函数,其中R f D ∈>+∞⊃ααα,0),,()(,若存在常数R A ∈,满足关系:0>∀M ,0)(>∈∃R X ,使得当X x >时,恒有M x f -<)(则称当+∞→x 时)(x f 的极限为负无穷大,记作:-∞=+∞→)(lim x f x 或 -∞=)(x f )(+∞→x .(5)设R f D f →)(:是一函数,其中R f D ∈>+∞⊃ααα,0),,()(,若存在常数R A ∈,满足关系:0,0>∃>∀X ε,使得当X x >时,恒有ε<-|)(|A x f 成立,则称A是)(x f 当+∞→x 时的极限,记作:A x f x =+∞→)(lim 或 A x f =)()(+∞→x .2.3 极限的运算法则1.求∑=∞→+⋯++Nn N n 1211lim. 解. ()()⎪⎭⎫ ⎝⎛+-=+=+=+⋯++111212211211n n n n n n n⎪⎭⎫ ⎝⎛+-=⎥⎦⎤⎢⎣⎡⎪⎭⎫ ⎝⎛+-++⎪⎭⎫ ⎝⎛-+⎪⎭⎫ ⎝⎛-=+⋯++∑=1112111312121122111N N N n Nn 21112lim 211lim1=⎪⎭⎫ ⎝⎛+-=+⋯++∴∞→=∞→∑N nN Nn N 2.求xe e xxx 1arctan11lim110-+→. 解. +∞=+→x x e 10lim , 0lim 10=-→xx e,,21arctan lim 11lim 1arctan11lim 0110110π=-+=-++++→--→→x ee x e e x xxx xxx ,21arctan lim 11lim 1arctan11lim 0110110π=-+=-+---→→→x e e x e e x x xx x x x 21arctan 11lim 110π=-+∴→x e e x xx3.设)(lim 1x f x →存在,)(lim 2)(12x f x x x f x →+=,求)(x f . 解:设 )(lim 1x f x →=A ,则A x x x f ⋅+=2)(2再求极限:A A A x x x f x x =+=⋅+=→→21)2(lim )(lim 211⇒ 1-=A∴ x x xA x x f 22)(22-=+=.4.确定a ,b ,c ,使 0)1(3)1()1(lim 2221=-+-+-+-→x x c x b x a x 成立.解:依题意,所给函数极限存在且 0)1(lim 21=-→x x∴ 0]3)1()1([lim 221=+-+-+-→x c x b x a x ⇒ 2=c∴ 上式左边=])32)(1(11[lim ))1(321(lim 21221++-+--+=-+-+-+→→x x x x b a x x x b a x x])32)(1(1)32([lim 221++---+++=→x x x x b a x同理有 0]1)32([lim 21=--++→x x b x ⇒ 21=b ∴ 163)23)(1(8)1(3lim )32)(1(1)32(21lim221221=++---=++---++-=→→x x x x x x xx a x x 故 2,21,163===c b a 为所求.2.4 极限存在准则1. 设1x =10,n n x x +=+61,( ,2,1=n ).试证数列{n x }的极限存在,并求此极限. 证: 由101=x , 4612=+=x x , 知21x x >. 假设1+>k k x x , 则有21166+++=+>+=k k k k x x x x . 由数学归纳法知, 对一切正整数n , 有1+>n n x x ,即数列{n x }单调减少. 又显然, () ,2,10=>n x n , 即{n x }有界. 故n n x ∞→lim 存在.令a x n n =∞→lim , 对n n x x +=+61两边取极限得a a +=6, 从而有062=--a a ,,3=∴a 或2-=a , 但0,0≥∴>a x n , 故3lim =∞→n n x2.证明数列 nn n x x x x ++=<<+3)1(3,3011收敛,并求其极限.证明:利用准则II ,单调有界必有极限来证明.∴301<<x ,由递推公式33312131213213)1(30111112=++<++=++=++=<x x x x x x∴ 302<<x 同理可证:30<<n x 有界又 03)3)(3(333)1(311112111112>++-=+-=-++=-x x x x x x x x x x∴ 12x x > 同理 23x x > ,… ,1->n n x x ∴数列 }{n x 单调递增,由准则II n n x ∞→lim 存在,设为A ,由递推公式有:AA A ++=3)1(3 ⇒ 3±=A (舍去负数)∴ 3lim =∞→n n x .3.设}{n x 为一单调增加的数列,若它有一个子列收敛于a ,证明a x n n =∞→lim .证明:设}{k n x 为}{n x 的一子列,则}{k n x 也为一单调增加的数列,且a x k k n n =∞→lim对于1=ε,N ∃,当N n >时有1||<-a x k n 从而||1||||||||a a a x a a x x k k k n n n +<+-≤+-=取|}|1|,|,|,max {|1a x x M N n n += ,对一切k n 都有 M x k n ≤|| 有界.由子列有界,且原数列}{n x 又为一单调增加的数列,所以,对一切n 有M x n ≤||有界,由准则II ,数列}{n x 极限存在且a x n n =∞→lim .2.5 两个重要极限1. 求]cos 1[cos lim n n n -++∞→.解: 原式 =21sin 21sin2lim nn n n n -+++-+∞→⎪⎪⎭⎫⎝⎛++=-+=-+-+-+++-=+∞→n n n n n n nn nn nn n 1110212121sin21sin2lim 2. 求)1sin(lim 2++∞→n n π.解. 原式=()()n nn n n nn n -+-=-+++∞→+∞→1sin 1lim )1sin(lim 22ππππ()()()()0111sin 1lim 222=-+⋅-+-+-=+∞→n nn n nnnn πππ3. 求x x xx )1cos 1(sinlim +∞→. 解. 原式=()[]()e t t t tttt tt xt =⎥⎦⎤⎢⎣⎡+=+=→→=22sin 2sin 10212012sin 1lim cos sin lim 令4. 设 ⎩⎨⎧+-=32)cos 1(2)(x x x x f 00≥<x x 求 20)(lim x x f x →. 解: 1lim )(lim 232020=+=++→→x x x x x f x x ,1)cos 1(2lim )(lim 2020=-=--→→x x x x f x x ∴ 1)(lim2=→xx f x .2.6 函数的连续性1. 研究函数()[]x x x g -=的连续性,并指出间断点类型. 解. n x =,Z n ∈ (整数集)为第一类 (跳跃) 间断点.2. 证明方程)0(03>=++p q px x 有且只有一个实根.证. 令()()()0,0,3>∞+<∞-++=f f q px x x f , 由零点定理, 至少存在一点ξ使得()0=ξf , 其唯一性, 易由()x f 的严格单调性可得.3.设⎪⎩⎪⎨⎧≤<-+>=-01),1ln(0 ,)(11x x x e x f x ,求)(x f 的间断点,并说明间断点的所属类型. 解. )(x f 在()()()+∞-,1,1,0,0,1内连续, ∞=-→+111lim x x e,0lim 111=-→-x x e, ()00=f , 因此,1=x 是)(x f 的第二类无穷间断点; (),lim lim 1110--→→==++e ex f x x x()()01ln lim lim 00=+=--→→x x f x x , 因此0=x 是)(x f 的第一类跳跃间断点.4.讨论nx nxn e e x x x f ++=∞→1lim )(2的连续性.解. ⎪⎩⎪⎨⎧<=>=++=∞→0,0,00,1lim)(22x x x x x e e x x x f nxnxn , 因此)(x f 在()()+∞∞-,0,0,内连续, 又()()00lim 0==→f x f x , ()x f ∴在()+∞∞-,上连续.5.设函数),()(+∞-∞在x f 内连续,且0)(lim=∞→xx f x ,证明至少存在一点ξ,使得0)(=+ξξf .证:令x x f x F +=)()(,则01]1)([lim )(lim>=+=∞→∞→x x f x x F x x ,从而0)(>xx F .由极限保号性定理可得,存在01>x 使0)(1>x F ;存在02<x 使0)(2<x F .)(x F 在],[12x x 上满足零点定理的条件,所以至少存在一点ξ使得0)(=ξF ,即0)(=+ξξf .6.讨论函数nnx x x x f 2211lim )(+-=∞→的连续性,若有间断点,判别其类型.解: ⎪⎩⎪⎨⎧-=101)(x f 1||1||1||>=<x x x ,显然 1±=x 是第一类跳跃间断点,除此之外均为连续区间.7.证明:方程)0,0(sin >>+=b a b x a x 至少有一个正根,且不超过b a +. 证明:设b x a x x f --=sin )(,考虑区间],0[b a +0)0(<-=b f ,0))sin(1()(≥+-=+b a a b a f ,当0))sin(1()(=+-=+b a a b a f 时,b a x +=是方程的根;当0))sin(1()(>+-=+b a a b a f 时,由零点定理,至少),0(b a +∈∃ξ使0)(=ξf ,即 0sin =--b a ξξ成立,故原方程至少有一个正根且不超过b a +.2.7 无穷小与无穷大、无穷小的比较1. 当0→x 时,下面等式成立吗?(1))()(32x o x o x =⋅;(2))()(2x o xx o =;(3) )()(2x o x o =. 解. (1)()()()002232→→=⋅x xx o x x o x , ()()()032→=⋅∴x x o x o x (2) ()()()0)(,00)()(2222→=∴→→=x x o x x o x x x o xxx o(3) ()2xx o不一定趋于零, )()(2x o x o =∴不一定成立(当0→x 时) 2. 当∞→x 时,若)11(12+=++x o c bx ax ,则求常数c b a ,,.解. 因为当∞→x 时,若)11(12+=++x o c bx ax , 所以01lim 111lim 22=+++=++++∞→+∞→c bx ax x x c bx ax x x , 故c b a ,,0≠任意.3.写出0→x 时,无穷小量3x x +的等价无穷小量.解: 11lim 1lim lim303630=+=+=+→→→x xx xxx x x x∴ 当0→x ,3x x +~6x第3章 导数与微分3.1 导数概念1. 设函数)(x f 在0x 处可导,求下列极限值. (1)hh x f h x f h )3()2(lim000--+→;(2)000)()(lim 0x x x xf x f x x x --→.解.(1) 原式()()()000000533)3(22)2(lim x f h x f h x f h x f h x f h '=⎥⎦⎤⎢⎣⎡⋅---+⋅-+=→(2) 原式()[]()()()()00000000)(limx f x f x x x x x x f x f x f x x x -'=----=→2.设函数R f →+∞),0(:在1=x 处可导,且),0(,+∞∈∀y x 有)()()(y xf x yf xy f += 试证:函数f 在),0(+∞内可导,且)1()()(f xx f x f '+='. 解:令1==y x ,由()()()y xf x yf xy f +=有()()121f f =得()01=f .()+∞∈∀,0x ,()()()()()()()()()()xx f f x x f xx f x x f x x f x f x x x x xf x x f x x x f x x f x x f x f x x x x +'=+∆-⎪⎭⎫⎝⎛∆+=∆-⎪⎭⎫ ⎝⎛∆++⎪⎭⎫ ⎝⎛∆+=∆-⎥⎦⎤⎢⎣⎡⎪⎭⎫ ⎝⎛∆+=∆-∆+='→∆→∆→∆→∆111lim 11lim 1lim lim 0000 故()x f 在()+∞,0内处处可导,且()()()xx f f x f +'='1. 3.设()f x 在(,)-∞+∞内有意义,且(0)0f =,(0)1f '=, 又121221()()()()()f x x f x x f x x ϕϕ+=+,其中22()cos xx x x e ϕ-=+, 求()f x '.解: ()()()()()()()()x x f x x f x x f x x f x x f x f x x ∆-∆+∆=∆-∆+='→∆→∆ϕϕ00lim lim()()()()()()()()()001lim 0lim 00ϕϕϕϕ'+'=∆-∆+∆-∆=→∆→∆x f x f xx x f x x f x f x x ()x e x x x 22cos -+==ϕ4.设函数0)(=x x f 在处可导,且21arctan lim )(0=-→x f x e x,求)0(f '.解:由已知,必有0]1[lim )(0=-→x f x e,从而0)(lim 0=→x f x ,而0)(=x x f 在连续,故0)0(=f .于是)0(1)0()(1lim )(lim 1arctan lim200)(0f xf x f x f x e x x x x f x '=-==-=→→→. 故21)0(='f .5.设)(x f 具有二阶导数,)(,sin )()2(lim )(2x dF t xx f t x f t x F t 求⎥⎦⎤⎢⎣⎡-+=∞→.解: 令t h 1=,则)(2 sin )()2(lim)(0x f x hhxh x f h x f x F t '=⋅-+=→.从而)(2)(2)(x f x x f x F ''+'=',dx x f x x f dx x F x dF )]()([2)()(''+'='=.6.设f 是对任意实数y x ,满足方程 22)()()(xy y x y f x f x f +++= 的函数,又假设1)(lim=→xx f x ,求:(1))0(f ;(2))0(f '; (3))(x f '. 解:(1)依题意 R y x ∈∀,,等式 22)()()(xy y x y f x f y x f +++=+ 成立令0==y x 有 )0(2)0(f f = ⇒ 0)0(=f(2)又 1)(lim=→x x f x ,即 )0(10)0()(lim 0f x f x f x '==--→,∴ 1)0(='f(3)xx f x x f x f x ∆-∆+='→∆)()(lim )(0x x f x x x x x f x f x ∆-∆⋅+∆⋅+∆+=→∆)()()()(lim 220 x x x x x x f x ∆∆⋅+∆⋅+∆=→∆220)()(lim ])([lim 20x x x xx f x ∆⋅++∆∆=→∆ ]1)0(22x x f +=+'=∴ 21)(x x f +='.7.设曲线)(x f y =在原点与x y sin =相切,试求极限 )2(lim 21nf nn ∞→. 解:依题意有 1)0()0(='='f y 且0)0(=f∴ 222)0()2(lim )2(lim 2121=⋅-⋅=⋅∞→∞→n nf n f n nf n n n .8.设函数)(x f 在0=x 处可导且0)0(,0)0(='≠f f ,证明1])0()1([lim =∞→nn f n f .证:n n n n f f n f f n f ])0()0()1(1[lim ])0()1([lim -+=∞→∞→.=10)0(11)0()01(lim )0()0()1(lim ===⋅-+-∞→∞→e ee f nf n f f f n f n n n .1.计算函数baxax xb ab y )()()(= (0,0>>b a )的导数.解. a xb bx a b a x xb a b a a x b a x a b x b x b a a x x b a b a b y )(1)()()()(ln )(121⎪⎭⎫ ⎝⎛⎪⎭⎫ ⎝⎛+⎪⎭⎫ ⎝⎛⎪⎭⎫ ⎝⎛-⎪⎭⎫⎝⎛+='-- ⎥⎦⎤⎢⎣⎡+-=x b x a a b a x x b a b b a x ln )()()( 2.引入中间变量,1)(2x x u +=计算1111ln 411arctan 21222-+++++=x x x y 的导数dx dy .解. 引入,1)(2x x u += 得11ln 41arctan 21-++=u u u y ,于是dxdudu dy dx dy ⋅=, 又 ()()4242422111111111141121x x x u u u u du dy +-=+-=-=⎪⎭⎫ ⎝⎛--+++=,21xx dx du +=, 则()22242121121xx x x x x x dx dy ++-=+⋅⎪⎭⎫⎝⎛+-= 3.设y y x +=2,232)(x x u +=,求dudy. 解. dudxdx dy du dy ⋅= , 又()()1223,12212++=+=x x x dx du y dy dx ,得121+=y dx dy , ()x x x du dx ++=21232, 则得()()xx x y du dy +++=2121232 4.已知 2arctan )(),2323(x x f x x f y ='+-=,求=x dx dy .解:22)23(12)2323arctan()2323()2323(+⋅+-='+-⋅+-'='x x x x x x x f y π43)23(12)2323arctan(02200=+⋅+-='=∴===x x x x x x y dxdy .1. 计算下列各函数的n 阶导数. (1) 6512-+=x x y ; (2) x e y xcos =. 解 (1)⎪⎭⎫⎝⎛+--=611171x x y ,()()()()()()⎥⎦⎤⎢⎣⎡+---=⎥⎥⎦⎤⎢⎢⎣⎡⎪⎭⎫ ⎝⎛+-⎪⎭⎫⎝⎛-=∴++1161117!1611171n n nn n n x x n x x y (2) ()⎪⎭⎫ ⎝⎛+=⎥⎦⎤⎢⎣⎡-=-='4cos 2sin 21cos 212sin cos πx e x x e x x e y x x x()⎪⎭⎫ ⎝⎛⋅+=⎥⎦⎤⎢⎣⎡⎪⎭⎫ ⎝⎛+-⎪⎭⎫ ⎝⎛+=''42cos 24sin 4cos 22πππx ex x e y xx由此推得 ()()⎪⎭⎫ ⎝⎛⋅+=4cos 2πn x eyxnn2. 设x x y 2sin 2=, 求()50y .解 ()()()()()()()()()()"+'+=248250249150250502sin 2sin 2sin x x C x x C x x y⎪⎭⎫ ⎝⎛⋅+⋅⨯+⎪⎭⎫ ⎝⎛⋅+⋅+⎪⎭⎫ ⎝⎛⋅+=2482sin 2249502492sin 2502502sin 24950250πππx x x x xx x x x x 2sin 212252cos 2502sin 24950250⋅+⋅+-= ()[]x x x x 2cos 1002sin 212252249+-=3. 试从y dy dx '=1, 0≠'y , 其中y 三阶可导, 导出()322y y dy x d '''-=, ()()52333y y y y dy x d '''''-''= 解 y dy dx '=1 ,()()322211y y y y y dy dx y dx d dyx d '''-='⋅'-''=⋅⎪⎪⎭⎫ ⎝⎛'=∴ ()()()()()()52623333313y y y y y y y y y y y dy dx y y dx d dy x d '''''-''='⋅'''⋅'⋅''+''''-=⋅⎪⎪⎭⎫ ⎝⎛'''-=∴ 4. 设()x f 满足()()0 312≠=⎪⎭⎫⎝⎛+x xx f x f , 求()()()()x f x f x f n ,,'.解 以x 1代x ,原方程为()x x f x f 321==⎪⎭⎫ ⎝⎛,由()()⎪⎪⎩⎪⎪⎨⎧=+⎪⎭⎫ ⎝⎛=⎪⎭⎫ ⎝⎛+x x f x f x x f x f 321 312,消去⎪⎭⎫⎝⎛x f 1,求得()x x x f 12-=,且得()212xx f +=',()()()()2!111≥-=++n x n x f n n n . 5.设()arcsin f x x =,试证明()f x 满足 (1)2(1)()()0x f x xf x '''--= (2) ,1,0,0)()()12()()1()(2)1()2(2==-+--++n x f n x xf n x f x n n n(3)求()(0)n f解 (1)()211x x f -=',()()()22221112211xx xx x x x f --=-⋅--='', ()()()012='-''-∴x f x x f x ,(2)上式两边对x 求n 阶导数得()()[]()()[]()()()()()()()()()()()()()()()[]x f n x xf x f n n x f x n x f x x f x x f x n n n n n nn⋅⋅+-⋅-⋅---+-='-''-=+++1221211021222即 ()()()()()()()()01212122=-+--++x f nx xf n x f xn n n 。
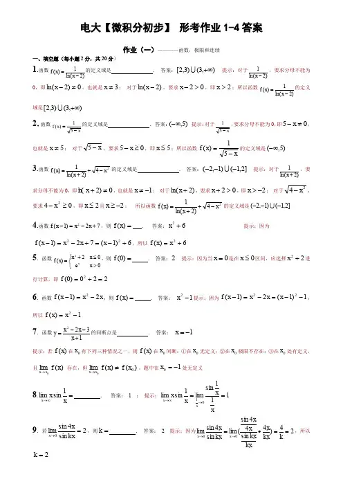
电大【微积分初步】 形考作业1-4答案作业(一)————函数,极限和连续一、填空题(每小题2分,共20分)1.函数)2ln(1)(-=x x f 的定义域是 . 答案:),3()3,2[+∞ 提示:对于)2ln(1-x ,要求分母不能为0,即0)2ln(≠-x ,也就是3≠x ; 对于)2ln(-x ,要求02>-x ,即2>x ;所以函数)2ln(1)(-=x x f 的定义域是),3()3,2[+∞2.函数xx f -=51)(的定义域是 . 答案:)5,(-∞ 提示:对于x-51,要求分母不能为0,即05≠-x ,也就是5≠x; 对于x -5,要求05≥-x ,即5≤x ;所以函数xx f -=51)(的定义域是)5,(-∞3.函数24)2ln(1)(x x x f -++=的定义域是 . 答案:]2,1()1,2(--- 提示:对于)2ln(1+x ,要求分母不能为0,即0)2l n (≠+x ,也就是1-≠x ; 对于)2ln(+x ,要求02>+x ,即2->x ; 对于24x -,要求042≥-x ,即2≤x 且2-≥x ; 所以函数24)2ln(1)(x x x f -++=的定义域是]2,1()1,2(---4.函数72)1(2+-=-x x x f ,则=)(x f. 答案:62+x提示:因为6)1(72)1(22+-=+-=-x x x x f ,所以6)(2+=x x f5.函数⎩⎨⎧>≤+=0e02)(2x x x x f x,则=)0(f . 答案:2 提示:因为当0=x是在0≤x 区间,应选择22+x 进行计算,即220)0(2=+=f6.函数x x x f 2)1(2-=-,则=)(x f. 答案:12-x 提示:因为1)1(2)1(22--=-=-x x x x f ,所以1)(2-=x x f7.函数1322+--=x x x y 的间断点是 . 答案: 1-=x提示:若)(x f 在0x 有下列三种情况之一,则)(x f 在0x 间断:①在0x 无定义;②在0x 极限不存在;③在0x 处有定义,且)(lim 0x f x x → 存在,但)()(lim 00x f x f x x ≠→。
微积分考研分类题第二章 极限与连续1. =++→∞x x x x 2sin 3553lim 2 。
2. =-+++-+++∞→])1(2121[lim n n n 。
3. 设函数f (x ) = a x (a > 0, a ≠ 1),则=∞→)]()2()1(ln[1lim 2n f f f n n 。
4. n 为正整数,a 为某实数,a ≠ 0,且a x x x n n x 1)1(lim 1999=--+∞→,则n = ,并且a= 。
5. 设常数21≠a ,则=⎥⎦⎤⎢⎣⎡-+-∞→n n a n na n )21(12ln lim 。
6. 设对任意的x ,总有ϕ (x ) ≤ f (x ) ≤ g (x ),且0)]()([lim =-∞→x x g x ϕ,则)(lim x f x ∞→( )。
(A )存在且等于零 (B )存在但不一定等于零(C )一定不存在 (D )不一定存在7. 设数列{a n }为无穷小量,{b n }是有界数列(对一切n , b n ≠ 0),则{a n b n }( )。
(A )必是无穷小量 (B )有可能是无穷小量(C )不可能是无穷小量 (D )必是无界数列8. 设函数n n x xx f 211lim )(++=∞→,讨论函数f (x )的间断点,其结论为( )。
(A )不存在间断点 (B )存在间断点x = 1(C )存在间断点x = 0 (D )存在间断点x = -19. 函数2)2)(1()2sin(||)(---=x x x x x x f 在下列哪个区间内有界。
( )(A )(-1, 0) (B )(0, 1) (C )(1, 2) (D )(2, 3)10. 设f (x ) 在 (-∞, +∞) 内有定义,且a x f x =∞→)(lim ,⎪⎩⎪⎨⎧=≠=0,00),1()(x x x f x g ,则( )。
(A )x = 0必是g (x ) 的第一类间断点 (B )x = 0必是g (x ) 的第二类间断点(C )x = 0必是g (x ) 的连续点 (D )g (x ) 在点x = 0的连续性与a 的取值有关12. 曲线1x xe y =( )。
1微积分答案 第一章 函数一、1.B; 2.D; 3.A; 4.C; 5.D二、1.1cos -x 或22sin2x ;2.100010-<⎧⎪=⎨⎪>⎩x x x 或()f x ; 3.4,-1;4.y =[0,1];5.1(1)2y x =-. 三、1. (1)[1,2)(2,4)D =⋃; (2)[3,2][3,4]D =--⋃. 2.(1)102,1y u u x ==+ ;(2)1,sin ,u y e u v v x===;(3) 2arctan ,ln ,1y u u v v x===+.3. 211,12,()12400,44ab C C x x x ====++ ()1400124c x C x x x==++.4. (1)90010090(100)0.011001600751600x P x x x <≤⎧⎪=--⋅<<⎨⎪≥⎩;(3)L=21000(元). (2)2300100(60)310.011001600151600x x L P x x xx x x ≤≤⎧⎪=-=-<<⎨⎪≥⎩;四、略.第二章 极限与连续(一)一、1.C ; 2. D ; 3.C ; 4.B ; 5.C 二、1. -2; 2. 不存在; 3. 14; 4. 1; 5.ab e .三、 1、(1)4; (2)25; (3)1; (4)5; (5)2.2、(1)3; (2)0; (3)2; (4)5e -; (5)2e-.3、11,2=-=-αβ 4、利用夹逼定理:11←<<→四、略。
第二章 极限与连续(二)一、1. D ; 2. C ; 3. B ; 4. C ; 5. B 二、1、0; 2、-2; 3、0; 4、2; 5、0,1x x ==-.2三、1、(1)1=x 是可去间断点;2=x 是连续点.(2)=xk π是第二类间断点(无穷间断点); 2=+x k ππ是可去间断点.(3)0=x 是可去间断点. (4)1x =是跳跃间断点.2、1()011⎧<⎪==⎨⎪->⎩x x f x x x x ,1=±x是跳跃间断点.3、(1)0;(2)cos α;(3)1; (4)0;(5)12.四、略。
各章同步练习参考答案第二章 极限与连续 §2.1 答 案1.(1)πn sin ,0; (2)()nn 211--,0.2.(1)1; (2)i )⎪⎩⎪⎨⎧=≠--=+1,1,11q n q q q q x n n ,ii )当()1,1-∈q 时qq x n n -=∞→1lim ,当1,1-≠>q q 时∞=∞→n n x lim ,当1-=q 时n n x ∞→lim 不存在;(3)25; (4)2ln ; (5)41-; (6)5; (7)1; (8)23.3. 1lim =∞→n n x .4. 21lim =∞→n n x .5. {}k a a ,,max 1Λ.§2.2 答 案1. 极限状态分别为0,∞+,不存在.2.2π,2π-,不存在.3. (1)21; (2)57-; (3)32-; (4)15854; (5)23;(6)21-; (7)9. 4. ()0lim 0=→x f x .5.极限不存在. 6. 23=a . 7.()x x x f 22-=()f x .§2.3 答 案1. 略.2. 3. 3. 6. 4. 略.§2.4 答 案1.0.2.1)32; 2)1. 3.(1)43; (2)1-; (3)0.4.1=a ,1-=b .§2.5 答 案1.(1)2-e ; (2)21-e ; (3)e ; (4)2e .2.2=a ,2ln =b .3.()⎪⎩⎪⎨⎧>=<-=1,10,00,1x x x x f ,间断点0=x . §2.6 答 案1~5.略.第三章 导数与微分 §3.1 答 案1.(1)2+-=x y ; (2)0=y .2.(1)当 1≠x 时,2)1(1+-='x y ; (2)x y 3cos 3='.3. 当c a 2=且2c b -=时,)(x f 在c 可导.4.(1))(30x f '; (2))(0x f '-; (3))(20x f '.5.(1)函数)(x f 在0=x 处连续且可导,并且0)0(='f ; (2) 函数)(x f 在0=x 处可导,并且0)0(='f ;(3)⎪⎩⎪⎨⎧=≠-='0,00,1cos 1sin 2)(x x xx x x f 在0=x 处不连续,在其他点处连续.§3.2 答 案1.(1)221--+='x xy ; (2)1))((-++='b a ex b a e y ;(3)233225xx y π--='; (4))(212321--+-='x x y ;(5)x x x x x x y ln cos sin ln sin ⋅++⋅='; (6)12211)()(-+--+++='b a b a x b a ab x xab y ;(7)x x x x x x y cot csc tan sec sec -+='; (8)2)cos (sin sec 3x x x y +='; (9)22)1(4--='x xy .2.(1)2)(4x x e e y -+='; (2))11cot (2xx arc e y x+-='; (3))sin cos (cos x x x x x e y x--='-.§3.3 答 案1.(1)4234)1(34x x x x y -+-='; (2)2ln )(ln 1ln 22ln x x y xx -⋅=';(3)))2(cos 26sin()4sin(22x x y -='; (4)xxxe e e y 3332)cot()(csc 6-='; (5)()()x x x y ln ln ln 2=';(6)22a x y +='.2.(1) 34414341)1()6)(32(31)1)()6)(32(41)6(2(+-+-+-++--x x x x x x x ; (2)))ln(sin sin cos (cot )(sin cos x x x x x y x-⋅=';(3)xx x y x2)2(ln +='.3.(1))](2)()[(22222x f x x f x xf dx dy'+=; (2)04==πx dxdy .4.(1)21; (2)y x y x dx dy -+=. 5.略.§3.4 答 案1.(1)dx xx dy 212--=; (2)dx x xe dy x)1(22+=; (3)dx x x e dy x)2sin (sin 2+=; (4)dx e e dy xx21+=. 2.(1)dx y a xb dy 22=; (2)dx y y y dy 112122---=. 3.008.21.83≈.4.)22)(12()12(π--+-=a x y .5.t bady dx t a b dx dy tan ,cot -=-=. §3.5 答 案1.(1)2222)1(62,12--=''-='x x y x x y ; (2)12124,2--=''='x x e y ey ;(3)32222)1(26,)1(2x x y x x y +-=''+-='; (4)3))cos(1()sin(,)cos(1)cos(y x y x y y x y x y +-+-=''+-+='. 2.(1)π21)1,0(-='-y ; (2)2)1,0(41-π=''-y . 3.)2)1(2sin(21)(π-+=-n x yn n .§3.6 答 案1.,2105,6162x MR x x MC -=+-=21499x x MC MR ML -+=-=.2.2,48400150-====x x ML ML . 3.(1)a E =; (2))9(2-=x xE .4.195)105(≈D 万(单位).第四章 中值定理与导数的应用§4.1 答 案1~4.略.§4.2 答 案1~2.略. 3.21. 4. 1.02020134e 0.02≈.§4.3 答 案1.(1)16; (2)12; (3)12; (4)2π; (5)1; (6)e ; (7)2ln 2; (8)2e ; (9)2e ; (10)13-; (11)16. §4.4 答 案1.(1)单增区间为(,1)(3,)-∞+∞U ,单减区间为(1,3); (2)单增区间为1(,)2+∞,单减区间为1(0,)2. 2. 略.3.(1)拐点为2x =,上凸区间为(,2)-∞,下凸区间为(2,)+∞; (2)拐点为2x =,上凸区间为(,1)(1,2)-∞--U ,下凸区间为(2,)+∞. 4. 略.§4.5 答 案1.(1)2)1(=f 为极小值,2)1(-=-f 为极大值;(2)0)5(=f 为极小值,108)3(=f 为极大值.2.61,32-=-=b a ;1x 是极小值点,2x 是极大值点. 3.(1)ee y 2)(2-=-为最小值,最大值不存在;(2)4)0(-=f 为最小值,2)3(=f 为最大值.4.36216)6(24222+-=-+=x x y x d ,)4,4(),(±=y x 时52min =d . §4.6 答 案1.(1)垂直渐近线为1-=x ;斜渐近线为1-=x y ; (2)垂直渐近线为1-=x 与1=x ;水平渐近线为0=y ; (3)水平渐近线为0=y .2.解:单调递增区间为)1,1(-,单调递减区间为)1,(--∞与),1(+∞;上凸区间为),2(+∞,下凸区间为)1,(--∞与)2,1(-.垂直渐近线为1-=x ,水平渐近线为0=y 。
第2章 多元函数微分学一、二元函数的极限专题练习:1.求下列二元函数的极限: (1)()11(,)2,2lim2;y xy x y xy +⎛⎫→- ⎪⎝⎭+ (2)()()2222(,),3limsin;x y x y x y →∞∞++(3) ()(,)0,1sin lim;x y xyx →(4)((,)0,0limx y →解: (1) 当1(,)2,2x y ⎛⎫→- ⎪⎝⎭时,10xy +→,因此()[]1112(1)11(,)2,(,)2,22lim2lim1(1)e yxy y xy x y x y xy xy -++⎛⎫⎛⎫→-→- ⎪⎪⎝⎭⎝⎭⎧⎫+=++=⎨⎬⎩⎭。
(2) 当()(,),x y →-∞+∞时,2230x y →+,因此222233sin ~x y x y++, ()()()()22222222(,),(,),33limsinlim 3x y x y x y x y x y x y →∞∞→∞∞+=+⋅=++。
(3) 当()(,)0,1x y →时,0xy →,因此sin ~xy xy ,()()(,)0,1(,)0,1sin limlim 1x y x y xy xyx x →→==。
(4) 当()(,)0,0x y →10,0xy →→,因此,(())())(,)0,0(,)0,0(,)0,01limlimlim12x y x y x y xy xy→→→===。
2.证明:当()(,)0,0x y →时,()44344(,)x y f x y xy=+的极限不存在。
证明: 取2(0)y kx k =≠,则()()()()()()()444484433334444444(,)0,0(,)0,0(,)0,0limlimlim11x y x y x y x y k x x k k xyxk xk k →→→===++++显然此极限值与k 的取值相关,因此当()(,)0,0x y →时,()44344(,)x y f x y xy=+的极限不存在。
第一章 函数极限与连续一、填空题1、已知x x f cos 1)2(sin +=,则=)(cos x f 。
2、=-+→∞)1()34(lim22x x x x 。
3、0→x 时,x x sin tan -就是x 的 阶无穷小。
4、01sin lim 0=→xx kx 成立的k 为 。
5、=-∞→x e xx arctan lim 。
6、⎩⎨⎧≤+>+=0,0,1)(x b x x e x f x 在0=x 处连续,则=b 。
7、=+→xx x 6)13ln(lim 0 。
8、设)(x f 的定义域就是]1,0[,则)(ln x f 的定义域就是__________。
9、函数)2ln(1++=x y 的反函数为_________。
10、设a 就是非零常数,则________)(lim =-+∞→xx ax a x 。
11、已知当0→x 时,1)1(312-+ax 与1cos -x 就是等价无穷小,则常数________=a 。
12、函数xxx f +=13arcsin )(的定义域就是__________。
13、lim ____________x →+∞=。
14、设8)2(lim =-+∞→xx ax a x ,则=a ________。
15、)2)(1(lim n n n n n -++++∞→=____________。
二、选择题1、设)(),(x g x f 就是],[l l -上的偶函数,)(x h 就是],[l l -上的奇函数,则 中所给的函数必为奇函数。
(A))()(x g x f +;(B))()(x h x f +;(C))]()()[(x h x g x f +;(D))()()(x h x g x f 。
2、xxx +-=11)(α,31)(x x -=β,则当1→x 时有 。
(A)α就是比β高阶的无穷小; (B)α就是比β低阶的无穷小; (C)α与β就是同阶无穷小; (D)βα~。
第二章 极限与连续本章教学内容本章介绍了数列极限与函数极限的概念、基本知识和基本理论以及函数连续性的基本知识.微积分是一门以变量(函数等)作为研究对象、以极限方法作为基本研究手段的数学学科,无论是微分学、积分学、还是无穷级数问题都需以极限为工具进行研究,整个微积分学就是建立在极限论的基础之上的.连续性是函数的一个重要的分析性质,本章运用极限引入函数连续性的概念.在微积分学中讨论的函数,主要是连续型的函数,它有许多良好的性质,它是本课程的主要研究对象.教学思路1. 学习微积分的一个直接的重要的目的是掌握研究函数的微观性态和宏观性态的方法.这一点无论对学术研究能力的培养还是对研究生入学应试,都是非常重要的.当然,学习微积分的目的还有其更重要的另外一面,那就是培养和训练思维与思考问题的模式,掌握学习未知世界的方法与技巧,不管你将来是否从事数学及其相关学科,如能达到上述境界,则必会长期受益.2.极限的思想、概念与方法是分析数学问题的基本工具和语言.数列极限和函数极限都是高等数学重要的基础,但相对而言,前者是训练和培养极限思维模式的基础.对数列极限的有关概念和方法,站到较高台阶上去思考,将有助于全部微积分内容的学习.因此,极限的基本概念要讲透,使学生能接受并理解其深刻的内涵.要使学生会熟练地求极限.可让学生适当地多做一些练习题.3.用“N -ε”、“δε-”语言定义极限不能省略,不要求学生会做有关的习题,但要领会,以便理解有关的定理的证明.4.函数的连续性作为承上(极限理论与方法)启下(微分、积分概念)的重要环节,它是用极限等工具研究函数局部性质与整体性质的开始.函数在一点处连续的概念描述了函数的局部性质,而在一个区间上的连续性则描述了一个函数的整体性质.也可以说前者涉及的是函数微观性态,而后者则是刻画函数的宏观性态,并且,二者互相渗透,相辅相成.闭区间上连续函数的性质只作介绍,其证明略去.5.本章重点是极限定义与其等价性描述,极限的性质及运算,以及若干重要结论构成的知识层次.学好本章内容,对掌握微积分全部内容与技巧有着重要的影响作用.6.本章新概念多、难点多,又处于学生从初等数学跃上高等数学台阶的转型时期,很不习惯.因此,本章内容讲授完成后可安排一次习题课.教学安排本章教学时数为14学时,课时分配如下:§2.1数列的极限2学时§2.2 函数的极限 2学时§2.3变量的极限,§2.4无穷大量与无穷小量 2学时§2.5极限的运算法则 2学时§2.6两个重要的极限 2学时§2.7函数的连续性 2学时习题课 2学时教学目标理解数列的极限、函数的极限及函数的左、右极限的概念.了解有界变量的概念,了解变量有极限与有界的关系.了解无穷大量、无穷小量的概念及二者之间的关系.了解极限存在的两个准则.熟练掌握极限的运算法则、无穷小量的性质、两个重要极限以及利用函数的连续性求函数极限的方法.理解函数连续的概念,会判断函数在某点的连续性.掌握讨论简单分段函数连续性的方法.理解初等函数在其定义域内都是连续的结论.理解连续函数的性质和初等函数的连续性,了解闭区间上连续函数的性质(有界性、最大值与最小值定理、介值定理及其零值性推论)及其简单应用.§2.1 数列的极限教学内容:数列的极限,包括数列极限的概念,数列极限的N -ε定义,数列极限的几何意义等.教学重点:数列极限的概念及数列极限的证明.教学难点:利用“N -ε”定义证明极限.教法建议:1.建立极限概念时,可先从一些简单直观、容易接受的实例(如“一尺之棰,日取其半”、“刘徽割圆”等)出发,建立数学模型,引入并形成极限概念.2.在此基础上,分三步引入极限定义:第一步,先讲描述性定义;第二步,用距离、绝对值为工具,对描述性定义中的话逐一地抽象,用数学语言(四个不等式)来表示,提炼出数列极限的N -ε定义;第三步,对数列极限的N -ε定义给出几何解释,辅之以草图,对ε、N 等作补充说明,加深印象.3.引入定义以后,可用简单的例子介绍用N -ε定义证明数列极限的论证方法,其关键是“由0>∀ε去找)(εN ”,并总结出使用N -ε方法的四个步骤:1o 0>∀ε,令ε<-||A y n ;2o 据ε<-||A y n ,分析并推出)(εϕ>n (含ε的式子);3o 取)]([εϕ=N (整数部分);4o 用N -ε定义叙述并下结论.应给学生指出:前三步是分析找N ;第四个步骤综合才是正式的证明.这种分析加综合的叙述方式的优点是思路清晰,N 不是一眼就能看出来的,所以要先分析找N ,不要把它与综合的证明混淆起来了.4.对于N -ε论证法,不要要求过高,这里只是让学生见识一下就可以了,随着后续内容的学习和多次运用N -ε论证法证题,使学生逐步加深体会、理解并接受.§2.2 函数的极限教学内容:函数的极限,包括当∞→x 时函数)(x f 的极限,当0x x →时函数)(x f 的极限,左极限与右极限,函数极限的性质等.教学重点:当0x x →时函数)(x f 的极限.教学难点:函数极限的δε-定义.教法建议:1.讲授“当∞→x 时函数)(x f 的极限”时,可以从数列极限的N -ε定义出发,结合几何图形,引出当∞→x 时函数)(x f 的极限的M -ε定义.2.通过两个实例引出当0x x →时函数)(x f 的极限的δε-定义,注意讲清在这个过程中变量x 的变化过程以及相应的函数)(x f 的变化过程.3.从0x x →的不同方式引出左极限、右极限的定义.4.教材中关于函数极限的三个定理:定理2.1(当0x x →时函数)(x f 的极限存在的充分必要条件);定理2.2(局部保号性定理);定理2.3(局部保不等式性定理)的内容要求学生能熟记,证明只要能接受即可.定理2.1在证明极限不存在时更为方便.注意定理2.2,定理2.3的条件与结论中关于等号的讨论.§2.3 变量的极限,§2.4 无穷大量与无穷小量教学内容:变量的极限,无穷大量,无穷小量,无穷大量与无穷小量的关系,无穷小量的阶等.教学重点:无穷小量的概念及其运算性质.教学难点:无穷小量概念的理解.教法建议:1.在复习∞→n 时数列的极限,∞→x 时函数的极限,0x x →时函数的极限的基础上概括出一般变量极限的定义.讲解过程中要特别注意对“总有那么一个时刻”的概括.这一定义只有对两种变量、三种过程都适用的情况下才能使用.2.对“变量在某一时刻后有界不一定有极限”除课本上的例子外,还可补充以下两例:(1)x x f 1sin )(=在0=x 附近有界,但xx 1sin lim 0→不存在; (2)x x f sin )(=在),(∞+-∞内有界,但x x sin lim ∞→不存在. 3.讲授无穷大量与无穷小量的概念时要注意:无穷大量和无穷小量是相对某一极限过程而言,离开极限过程,不能直接称某一变量为无穷大量或无穷小量;无穷大量和无穷小量都是一个变量,不能认为是一个非常大或非常小的数.4.无穷小量的运算性质:定理2.5, 定理2.6及其推论今后经常用到,要求学生能熟练掌握.5.无穷小量阶的比较,本次课只要学生能接受基本概念,以后再逐步熟悉,并能用于求极限即可.§2.5极限的运算法则教学内容:极限的运算法则,包括极限的加、减、乘、除四则运算法则及其推论,利用变量极限的运算法则求一些变量的极限等.教学重点:利用变量极限的四则运算法则求一些变量的极限.教学难点:极限的加、减运算法则(定理2.8)的证明,求未定式极限的技巧.教法建议:1.极限的四则运算法则及其推论的证明不要求学生掌握,关键是通过本节的例题要求学生能熟练正确地利用变量极限的四则运算法则求一些变量的极限.2.例1,例2是直接利用法则求多项式函数的极限.3.例3利用了无穷小量与无穷大量的关系求分式的极限.4.例4、例5、例6总结出求有理函数极限的规律.5.例7、例8开始接触利用初等变形求未定式极限,这里只要让学生认识∞∞,00两种未定式极限即可,初等变形的各种方法可通过作业、习题课再去逐步学习、掌握.6.例9是分段函数.分段函数在分段点处的极限,要分别计算左、右极限,看它们是否相等.§2.6 两个重要的极限教学内容:极限存在的两边夹准则、单调有界准则,1sin lim0=→x x x ,e n n n =+∞→)11(lim 或e xx x =+∞→)11(lim ,利用两个重要极限求极限等. 教学重点:两个重要极限及利用两个重要极限求极限.教学难点:两个重要极限的证明及其应用.教法建议:1.本节课中两个准则是为证明两个重要极限服务的.在证明两个重要极限时要向学生讲清楚用准则证明极限的步骤与方法,以便今后能正确运用准则证明极限.2.利用两个重要极限,可以求许多00型三角函数式的极限与∞1型幂指函数式的极限,这两个公式在下一章中建立导数公式等方面也有重要的作用.3.公式 1sin lim 0=→x x x 可推广成 1)()(sin lim 0)(=→x x x ϕϕϕ,其中)(x ϕ的单位是弧度,分子、分母中的)(x ϕ必须完全相同,当0x x →时,必须0)(→x ϕ(即为00型未定式). 4.公式e x x x =+∞→)11(lim 可推广成 e x x x =+→)(10)()](1[lim ϕϕϕ,要注意:括号内的式子必须分离出含1的项,剩下的项)(x ϕ必须与指数部分互为倒数,当0x x →时,必须0)(→x ϕ(即为∞1型幂指未定式).§2.7 函数的连续性教学内容:函数改变量,函数)(x f y =在点0x 处连续,函数)(x f y =在区间],[b a 上连续,函数的间断点,连续函数的运算法则,闭区间上连续函数的性质,利用函数连续性求函数的极限.教学重点:函数连续性的概念,利用函数连续性求函数的极限.教学难点:函数的间断点,闭区间上连续函数的性质.教法建议:1.本次课的教学内容中知识点较多,对以后微积分课程内容的学习影响也较大,但大部分知识点仅作课堂讲解,只要求学生了解,而不要求学生会证明,因此,教师在课堂教学中安排要紧凑、重点应突出.2.为了加深对函数连续性概念的理解,可以简要地列出函数在一点处连续的几种等价的定义.(1)用增量定义:0lim 0=∆→∆y x ; (2)用极限定义:)()(lim 00x f x f x x =→; (3)用δε-定义:0>∀ε,0>∃δ,当δ<-||0x x 时,总有ε<-|)()(|0x f x f ;(4)用左、右极限推出:)()(lim )(lim )()(0000x f x f x f x C x f x x x x ==⇔∈-+→→.3.注意区分函数极限与连续性的δε-定义中,不等式δ<-<||0a x 与δ<-||a x 的不同点,前者不管)(x f 在a x =处有无定义,均可研究其极限;而后者连续性要求)(x f 在点a x =处必须有定义.4.分段函数的间断点只可能在分段点处.可增加函数间断点分类的内容.5.初等函数的的连续性、闭区间上连续函数的连续性不要求学生知道证明,但要求学生能熟悉它们的内容,并能运用这些性质证明一些简单的命题.习 题 课教学内容:本章知识系统复习.教学重点:函数极限与连续的概念,求极限的方法.教学难点:求未定式极限的方法.教法建议:1.本次课不仅是对第二章极限与连续内容的系统复习,还应在复习的基础上使学生加深对本章基本概念的理解、能系统清晰地掌握本章有关知识与方法.2.本章所学极限过程有:∞→n ,∞→x ,+∞→x ,-∞→x ,0x x →,0x x +→,0x x -→共七种;各种极限结果有:A (有限数)含0(无穷小),∞(无穷大),∞+与∞-共五种,将它们搭配有35种极限形式.课堂上可适当选择一些用N -ε,δε-定义表示,其余的可留给学生课后去练习,以加深对极限概念的理解.3.求(证)极限的方法很多,第四章还要讲用洛必达法则去求(证)极限.本章概括为用初等方法去求(证)极限,可归为以下几种方法:(1)利用极限的定义和性质求(证)极限;(2)利用两个重要极限求极限;(3)利用两个重要准则求(证)极限;(4)用极限的运算法则和初等变形法求未定式极限;(5)进行无穷小量的比较,用等价无穷小代换或无穷小性质求极限;(6)用函数的连续性求(证)极限.4.两个重要极限以及利用两个重要极限求极限是学习的重点之一,为加深学生对它们的理解,并会熟练运用它们求极限,可补充以下例题随堂练习:0sin lim =∞→x x x ; 1s i n s i n lim 1=→x x x ; 0s i n l i m =∞→n n n ; nm nx mx x =→sin sin lim 0; 11sin lim =∞→n n n ; 0sin lim =∞→n x n ; ⎪⎩⎪⎨⎧=∞≠=→.0,,0,s i n s i n l i m 0000x x x n x n x xe =+→ααα10)1(lim ; ab c bx x e x a =++∞→)1(lim ;ab c be a =++→ααα)1(lim 0. 5.未定式极限,有00、∞∞、∞⋅0、∞-∞、∞1、00和0∞等类型,这里00和∞∞是最基本的两种,其它的可经过适当的变换化为这两种未定式极限.本章主要要求学生能熟练掌握用分解因式、乘以共轭因式法求前两种未定式极限.6.一般常用的等价无穷小有:当0→x 时,1~)1ln(~arctan ~arcsin ~tan ~sin ~-+x e x x x x x x ,2~cos 12x x -, x x αα~1)1(-+, )1,0(ln ~1≠>-a a a x a x .第 二 章 测 评 题一 选择题1.数列n nn x n cos +=的极限是( ).A .0 B. 1 C. -1 D. 不存在2. 设⎩⎨⎧>+≤-=1,31,)(x x x x x f ,⎩⎨⎧>-≤=1,121,)(3x x x x x g ,则)]([lim 1x g f x →( ). A .等于1- B. 等于1 C. 等于4 D. 不存在 3. =-+++∞→)2122321(lim 222n n n n n ( ).A. 0B. ∞C. 21D. 14.设121)(11++=-x x e e x f ,则)(lim 0x f x →( ).A .是∞ B. 不存在 C. 是0 D. 是215.已知0>a ,=--+-+→22lim a x ax a x a x ( ).A. 1B. 0C.a 21 D. a 21 6. =+--→23)1sin(lim 21x x x x ( ). A. 0 B. ∞ C. 1 D. -17.当0→x 时,αx 与23sin x 为等价无穷小量的充分条件是=α( ).A. 2B. 3C. 5D. 68.下列结果错误的是( ).A .e x x x =++∞→2)11(lim B. e xx x =-∞→)11(lim C. e x x x x =+-→22120)1(lim D. e x x x =--→120)1(lim9. 函数⎪⎩⎪⎨⎧>+<=0,20,2sin )(x x x x x x f 在分段点0=x 处( ).A .函数有定义且极限存在 B. 函数无定义极限亦不存在C. 极限存在且且连续D. 极限存在但不连续10. 函数nn x x x f 211lim )(++=∞→,讨论)(x f 的间断点, 其结论为( ). A. 不存在间断点 B. 存在间断点1-=xC. 存在间断点0=xD. 存在间断点1=x二 填空题11.已知当∞→x 时,b ax x x x f --++=11)(2为无穷小量,则=a ,=b .12.=-+→xx x x 20tan 3sin )121(lim . 13. 已知21)1(lim =-∞→x x x a ,则=a . 14. =-→x x x 111lim .15.函数65||ln )(2-+=x x x x f 的全部间断点共有 个,它们是 .16.设函数⎪⎪⎩⎪⎪⎨⎧<≤<+≤+=x x b x x x a x x f 1,10,10,)(2 在定义区间内连续,则=a ,=b .三 计算题17.设141151312-+++=n x n ,求n n x ∞→lim .18.求)]11()311)(211[(lim 222nn ---∞→ .19.求)(lim x x x x x --+∞→.20.求xx x x x 530sin 2)cos 1(sin lim+-→.21.求⎪⎭⎫⎝⎛+++++++++∞→n n n n n n n n n 2222211lim . 22.求xx x e x 2)(lim +→.23.设tt t x x f 21lim )(⎪⎭⎫⎝⎛+=∞→,求)2(ln f . 24.求xx x sin 30)21(lim +→.25.判断函数111)(--=x x ex f 的间断点,并说明间断点的类型.26.求⎪⎪⎩⎪⎪⎨⎧>=<+=-0,0,00,sin )(12x e x x x x xx f x 的连续区间.四 证明题27.利用夹逼准则证明112111lim 222=⎪⎪⎭⎫ ⎝⎛++++++∞→n n n n n . 28.设函数)(x f ,)(x g 在],[b a 上连续,且)()(a g a f >,)()(b g b f <.证明:在),(b a 内至少存在一点ξ,使得)()(ξξg f =成立. 29.证明方程0cos sin =-x x x 在)23,(ππ内至少有一实根. 30.证明方程)0,0(sin >>+=b a b x a x 至少有一个正根,且不超过b a +.第二章测评题参考答案一 选择题1. B2. D3. C4. B5. C6. D7. D8. B9. D 10. D二 填空题11.1=a ,1-=b 12. 3 13. 2ln =a 14. 1-e 15. 共有3个,它们是6-=x ,0=x ,1=x 16. 1=a ,2=b三 计算题 17.解 ⎥⎦⎤⎢⎣⎡⎪⎭⎫ ⎝⎛+--++⎪⎭⎫ ⎝⎛-+⎪⎭⎫ ⎝⎛-=121121513131121n n x n ⎪⎭⎫ ⎝⎛+-=121121n , 21lim =∞→n n x . 18.解 ⎪⎭⎫ ⎝⎛-⎪⎭⎫ ⎝⎛-⎪⎭⎫ ⎝⎛-22211311211n⎪⎭⎫ ⎝⎛-⎪⎭⎫ ⎝⎛+⎪⎭⎫ ⎝⎛-⎪⎭⎫ ⎝⎛+⎪⎭⎫ ⎝⎛-⎪⎭⎫ ⎝⎛+=n n 1111311311211211 ⎥⎦⎤⎢⎣⎡⎪⎭⎫ ⎝⎛+⎪⎭⎫ ⎝⎛+⎪⎭⎫ ⎝⎛+=n 11311211 •⎥⎦⎤⎢⎣⎡⎪⎭⎫ ⎝⎛-⎪⎭⎫ ⎝⎛-⎪⎭⎫ ⎝⎛-n 11311211 ⎝⎛=23•34•45•…•1-n n •⎪⎭⎫+n n 1• ⎝⎛21•32•43•…•12--n n •⎪⎭⎫-n n 1 21+=n •nn n 211+= . 所以 2121lim)]11()311)(211[(lim 222=+=---∞→∞→n n nn n . 19.解 )(lim x x x x x --+∞→xx x x x x -++=+∞→2lim111112lim=-++=+∞→xx x .20.解 因0→x 时,x x ~sin ,33~sin x x ,2~cos 12x x -故 xx x x x 530sin 2)cos 1(sin lim +-→523022lim x x x x x ⋅+⋅=→221221lim 0=+=→x x . 21.解 利用夹逼准则有∑∑∑===++≤++≤++ni ni ni n n ii n n in n n i 1212121即 )1(2)1()2(21212+++≤++≤++∑=n n n n i n n i n n ni 而 21)2(21l i m=++∞→n n n , 21)1(2)1(l i m 2=+++∞→n n n n n 所以 ⎪⎭⎫ ⎝⎛+++++++++∞→n n n n n n n n 22212111l i m 21=. 22.解 ⎥⎥⎦⎤⎢⎢⎣⎡⎪⎭⎫ ⎝⎛+=⎥⎦⎤⎢⎣⎡⎪⎭⎫ ⎝⎛+=+→→→x x x xx x x xx x e x e ex e e x 22020201lim 1lim )(lim22021lim e e x e x x e xe x x =⎥⎥⎥⎦⎤⎢⎢⎢⎣⎡⎪⎭⎫⎝⎛+=→•412e e =.23.解 x xx tt t t e x t t x x f 22211lim )1(lim )(=⎥⎥⎥⎥⎦⎤⎢⎢⎢⎢⎣⎡⎪⎪⎪⎭⎫ ⎝⎛+=+=∞→∞→4)2(ln 2ln 2==e f . 24.解 xx x x xx x x sin 312210sin 30)21(lim )21(lim ⋅⋅→→+=+6616sin 210])21[(lim e e x xx x x ==+=⨯⋅→.25.解 )(x f 在1=x 及0=x 处无定义,是函数的间断点. 因 111lim 11=--→-x xx e,011lim 11=--→+x xx e,所以1=x 处是)(x f 的跳跃间断点.∞=--→111limx x x e, 所以0=x 处是)(x f 的无穷间断点.26.解 0<x 时,)1(sin )(+=x x xx f ,1-≠x .0=x 时,111sin lim sin lim )(lim 020=+⋅=+=---→→→x x x xx x x f x ox x , 0lim )(lim 1==-→→++xx x e x f)(lim 0x f x →不存在,所以)(x f 在0=x 处不连续.0>x 时,)(x f 连续. 综上所述,)(x f 在1-=x 及0=x 点不连续.因此,)(x f 的连续区间为),0()0,1()1,(∞+--∞- .四 证明题27.证 利用夹逼准则有11211122222+<++++++<+n n nn n n nn n而 1lim2=+∞→nn n n , 11lim2=+∞→n nn所以 112111lim 222=⎪⎪⎭⎫ ⎝⎛++++++∞→n n n n n . 28.证 令)()()(x g x f x F -=,则)(x F 在闭区间],[b a 上连续,且0)()()(>-=a g a f a F ,0)()()(<-=b g b f b F .由介值定理可知,在),(b a 内至少存在一点ξ,使0)(=ξF ,即0)()(=-ξξg f ,于是有)()(ξξg f =.29.证 令x x x x f cos sin )(-=,则)(x f 在闭区间]23,[ππ上连续,且0c o s sin )(>=-=πππππf ,0123cos 2323sin )23(<-=-=ππππf . 由介值定理,至少存在一点)23,(ππξ∈,使0)(=ξf , 即方程0cos sin =-x x x 在)23,(ππ内至少有一个实根. 30.证 令x b x a x f -+=sin )(,则)(x f 在),(∞+-∞上连续,且0)0(>=b f ,0]1)[sin()()sin()(≤-+=+-++=+b a a b a b b a a b a f .当01)sin(=-+b a 时,b a +就是方程的一个正根.当01)sin(<-+b a 时,0)(<+b a f ,由介值定理,至少存在一点),0(b a +∈ξ,使0)(=ξf .综上所述,方程)0,0(sin >>+=b a b x a x 至少有一个不超过b a +的正根.。
. .专业知识分享. .各章同步练习参考答案第二章 极限与连续§2.1 答 案1.(1)πn sin ,0; (2)()nn 211--,0.2.(1)1; (2)i )⎪⎩⎪⎨⎧=≠--=+1,1,11q n q q q q x n n ,ii )当()1,1-∈q 时qq x n n -=∞→1lim ,当1,1-≠>q q 时∞=∞→n n x lim ,当1-=q 时n n x ∞→lim 不存在;(3)25; (4)2ln ; (5)41-;(6)5; (7)1; (8)23.3. 1lim =∞→n n x .4. 21lim =∞→n n x . 5. {}k a a ,,max 1 .§2.2 答 案1. 极限状态分别为0,∞+,不存在.2.2π,2π-,不存在.3. (1)21; (2)57-; (3)32-; (4)15854; (5)23;(6)21-; (7)9. 4. ()0lim 0=→x f x .5.极限不存在. 6. 23=a . 7.()x x x f 22-=()f x .§2.3 答 案. .专业知识分享. .1. 略. 2. 3. 3. 6. 4. 略.§2.4 答 案1.0.2.1)32; 2)1. 3.(1)43; (2)1-; (3)0.4.1=a ,1-=b .§2.5 答 案1.(1)2-e ; (2)21-e ; (3)e ; (4)2e .2.2=a ,2ln =b .3.()⎪⎩⎪⎨⎧>=<-=1,10,00,1x x x x f ,间断点0=x .§2.6 答 案1~5.略.第三章 导数与微分§3.1 答 案1.(1)2+-=x y ; (2)0=y .2.(1)当 1≠x 时,2)1(1+-='x y ;(2)x y 3cos 3='.3. 当c a 2=且2c b -=时,)(x f 在c 可导.. .专业知识分享. .4.(1))(30x f '; (2))(0x f '-; (3))(20x f '.5.(1)函数)(x f 在0=x 处连续且可导,并且0)0(='f ; (2) 函数)(x f 在0=x 处可导,并且0)0(='f ;(3)⎪⎩⎪⎨⎧=≠-='0,00,1cos 1sin 2)(x x xx x x f 在0=x 处不连续,在其他点处连续.§3.2 答 案1.(1)221--+='x xy ; (2)1))((-++='b a ex b a e y ;(3)233225x x y π--='; (4))(212321--+-='x x y ;(5)x x x x x x y ln cos sin ln sin ⋅++⋅='; (6)12211)()(-+--+++='b a b a x b a ab x xab y ;(7)x x x x x x y cot csc tan sec sec -+=';(8)2)cos (sin sec 3x x x y +='; (9)22)1(4--='x xy . 2.(1)2)(4x x e e y -+='; (2))11cot (2x x arc e y x+-='; (3))sin cos (cos x x x x x e y x --='-.§3.3 答 案1.(1)4234)1(34x x x x y -+-='; (2)2ln )(ln 1ln 22ln x x y xx -⋅='; (3)))2(cos 26sin()4sin(22x x y -='; (4)x x x e e e y 3332)cot()(csc 6-='; (5)()()x x x y ln ln ln 2=';(6)22a x y +='.. .专业知识分享. .2.(1) 34414341)1()6)(32(31)1)()6)(32(41)6(2(+-+-+-++--x x x x x x x ; (2)))ln(sin sin cos (cot )(sin cos x x x x x y x -⋅='; (3)xx x y x 2)2(ln +='.3.(1))](2)()[(22222x f x x f x xf dxdy'+=; (2)04==πx dxdy.4.(1)21; (2)yx yx dx dy -+=. 5.略.§3.4 答 案1.(1)dx xxdy 212--=; (2)dx x xe dy x )1(22+=; (3)dx x x e dy x )2sin (sin 2+=; (4)dx e e dy xx 21+=. 2.(1)dx y a xb dy 22=; (2)dx y y y dy 112122---=.3.008.21.83≈.4.)22)(12()12(π--+-=a x y .5.t ba dy dx t ab dx dy tan ,cot -=-=.§3.5 答 案1.(1)2222)1(62,12--=''-='x x y x x y ; (2)12124,2--=''='x x e y e y ;(3)32222)1(26,)1(2x x y x x y +-=''+-='; (4)3))cos(1()sin(,)cos(1)cos(y x y x y y x y x y +-+-=''+-+='.2.(1)π21)1,0(-='-y ; (2)2)1,0(41-π=''-y .. .专业知识分享. .3.)2)1(2sin(21)(π-+=-n x y n n .§3.6 答 案1.,2105,6162x MR x x MC -=+-=21499x x MC MR ML -+=-=.2.2,48400150-====x x ML ML . 3.(1)a E =; (2))9(2-=x xE .4.195)105(≈D 万(单位).第四章 中值定理与导数的应用§4.1 答 案1~4.略.§4.2 答 案1~2.略. 3.21. 4. 1.02020134e 0.02≈.§4.3 答 案1.(1)16; (2)12; (3)12; (4)2π; (5)1; (6)e ; (7)2ln 2; (8)2e ; (9)2e ; (10)13-; (11)16.§4.4 答 案1.(1)单增区间为(,1)(3,)-∞+∞ ,单减区间为(1,3);. .专业知识分享. .(2)单增区间为1(,)2+∞,单减区间为1(0,)2. 2. 略.3.(1)拐点为2x =,上凸区间为(,2)-∞,下凸区间为(2,)+∞; (2)拐点为2x =,上凸区间为(,1)(1,2)-∞-- ,下凸区间为(2,)+∞. 4. 略.§4.5 答 案1.(1)2)1(=f 为极小值,2)1(-=-f 为极大值; (2)0)5(=f 为极小值,108)3(=f 为极大值.2.61,32-=-=b a ;1x 是极小值点,2x 是极大值点. 3.(1)ee y 2)(2-=-为最小值,最大值不存在;(2)4)0(-=f 为最小值,2)3(=f 为最大值.4.36216)6(24222+-=-+=x x y x d ,)4,4(),(±=y x 时52min =d .§4.6 答 案1.(1)垂直渐近线为1-=x ;斜渐近线为1-=x y ; (2)垂直渐近线为1-=x 与1=x ;水平渐近线为0=y ; (3)水平渐近线为0=y .2.解:单调递增区间为)1,1(-,单调递减区间为)1,(--∞与),1(+∞;上凸区间为),2(+∞,下凸区间为)1,(--∞与)2,1(-.垂直渐近线为1-=x ,水平渐近线为0=y 。
函数极限与连续函数的性质习题解答1. 用函数极限的定义证明:(1)2221lim 2.3x x x →∞+=- 证明: 0,ε∀> 欲使2222172,33x x x ε+-=<--易见当||3x >时,有2277|3|||.|3|||x x x x ->⇒<-于是,只要7,||x ε<即7||x ε>时,有222123x x ε+-<-成立。
取7max 3,.M ε⎧⎫=⎨⎬⎩⎭故对0,ε∀>7max 3,.M ε⎧⎫∃=⎨⎬⎩⎭对||,x M ∀>有 222123x x ε+-<-,即2221lim 2.3x x x →∞+=- (2)11lim arc .12x tg x π-→=- 证明:0(0),2πεε∀><<要使不等式11arc arc 1221tgtg x xππε-=-<-- (1)x < 成立,解得11.()2x tg πε-<- 取δ=1()2tg πε-,于是10,0,(1,1),()2x tg εδδπε∀>∃=>∀∈--有1arc ,12tgx πε-<- 即11lim arc .12x tg x π-→=- (3)lim(sin sin 0x →∞=。
证明:()1sin 2sin lim 11sin 2sin 110112112212sin212cos 21sin 2sin 22222222222222=+-+∴<<+-+>∀+⎥⎦⎥⎢⎣⎢=>∀<+++=+-+<+-++++=+-+∞→x x x x x N x N xx x x x x x x x x x x εεε有,,取2. 求下列极限: (1) 11lim(sincos ).x x x x→∞+ 解:2222sin 122sin 11112lim(sin cos )lim[(sin cos )]lim(1sin )2lim[(1sin )].x xx x x x xx x x x x x x xe x→∞→∞→∞→∞+=+=+=+=或:.11cos 1sin 1lim 1cos 1sin lim ]12111sin[lim 111cos 1sin 11cos 1sin 12e ex x x x xx x x xx x x x x xx x ==⎪⎭⎪⎬⎫⎪⎩⎪⎨⎧⎥⎦⎤⎢⎣⎡⎪⎭⎫ ⎝⎛-++=⎪⎭⎫ ⎝⎛+--+-+∞→∞→∞→(2) 120lim(1sin ).xx x →+解:11sin 2sin 20lim(1sin )lim[(1sin )]x xx xx x x x →→+=+=(3) 210ln(1)lim.ln(1)x x x x x →∞-+++ 解:2222101091091029101111ln[(1)]2ln ln(1)ln(1)lim lim lim 1111ln(1)ln[(1)]10ln ln(1)11ln(1)21ln lim .115ln(1)10ln x x x x x x x x x x x x x x x x x x x xx x x x x x→∞→∞→∞→∞-++-+-+==+++++++-++==+++(4) 2221lim .1x x x x →∞⎛⎫-⎪+⎝⎭解:22222112111lim lim .112lim 11x tt x t t t t x t e x t t -→∞→+∞--→+∞⎛⎫--⎛⎫=== ⎪ ⎪++⎝⎭⎝⎭⎡⎤⎛⎫⎢⎥+ ⎪⎢⎥-⎝⎭⎣⎦3. 求解下列各题:(1)已知极限lim )0x ax b →+∞-=,确定a 与b .解:已知222lim )limlimx x x ax b →+∞-===成立,从而210,a -= 120.ab +=解得11,.2a b =±=当11,2a b =-=时,极限1lim )2x x →+∞-不存在,于是11,.2a b ==- (2) 讨论极限111lim x x x →⎛⎫⎡⎤-⎪⎢⎥⎣⎦⎝⎭是否存在? 解:在点01x =的左右两侧附近,当1x >时有11010,x x ⎡⎤<<⇒=⎢⎥⎣⎦于是有1lim x +→11x x ⎛⎫⎡⎤- ⎪⎢⎥⎣⎦⎝⎭=11lim 1;x x +→=当1x <(限定0x >)时,有111,x x ⎡⎤≤≤⎢⎥⎣⎦故由夹逼定理得11lim 1,x x -→⎡⎤=⎢⎥⎣⎦从而有111lim 0.x x x -→⎛⎫⎡⎤-= ⎪⎢⎥⎣⎦⎝⎭即111111lim lim ,x x x x x x +-→→⎛⎫⎛⎫⎡⎤⎡⎤-≠- ⎪ ⎪⎢⎥⎢⎥⎣⎦⎣⎦⎝⎭⎝⎭所以111lim x x x →⎛⎫⎡⎤- ⎪⎢⎥⎣⎦⎝⎭不存在。
4.证明下列各题:(1)设1,0.a k >>利用lim 0,kn n n a→∞= 求证:lim 0.k x x x a →+∞=证明:不妨设 1.x >则有[][]1([]1)([]1)0,k k kx x x x x x a a a a +++≤≤=注意到lim 0,kn n n a→∞=故由夹逼定理知lim 0.k x x x a →+∞=(2)证明在[0,)+∞上一致连续. 证明:对''',[1,),x x ∀∈+∞有'''12cos 2x x =≤=≤-从而在[1,)+∞上一致连续。
又在[0,1]连续,从而在[0,1]上一致连续。
故在[0,)+∞上一致连续。
(3)证明2sin x 在[0,)+∞上不一致连续. 证明:01,0,εδ∃=∀>取12x x ==其中正整数n 充分大使得12||,x x δ-<则有22120sin sin 1,x x ε-==所以2sin x 在[0,)+∞上不一致连续. 5. 试举出定义在上的函数f 的例子,使f 仅在2,1,0=x 三点处连续,而其余的点都是f 的第二类间断点。
解:令()(1)(2)()f x x x x D x =--,其中()D x 为狄利克雷函数,在点0x =附近,易见(1)(2)()x x D x --有界,故有lim ()0(0)x f x f →==,即f 在x=0点连续。
类似可证f 在x=1,2点连续。
另一方面,0\{0,1,2}x ∀∈,取有理点列{},n x 0(),n x x n +→→∞ 有 000lim ()(1)(2)n n f x x x x →∞=-- (0);≠取无理点列'{},n x '0(),n x x n +→→∞ 有'lim ()0.n n f x →∞= 所以f 在点0x 不存在左右极限,故()f x 以0x 为其第二类间断点. 6. 求证:方程30(0)x px q p ++=>有且仅有一个根.证明:考虑3()0.f x x px q =++=因为lim (),x f x →+∞=+∞所以0,b ∃>使得()0.f b >又lim (),x f x →-∞=-∞所以0,a ∃<使得()0.f a <由零点存在定理,(,)c a b ∃∈使得()0f c =,即30c pc q ++=.由0p >,对21,x x ∀>因为2212122x x x x +≥-,有2233222121212121221121()()()()()()()0,2x x f x f x x x p x x x x x x x x p x x p +-=-+-=-+++≥-+>即函数()f x 是单调递增的,因此只有一个根.7. 设()f x 在[,]a b 上连续,对[,]x a b ∀∈,总存在[,]y a b ∈使得1()().2f y f x ≤求证:至少存在一点[,]a b ξ∈使得()0.f ξ=证明:用反证法. 如果函数()f x 在[,]a b 上没有零点,则函数()f x 在[,]a b 上也没有零点, 所以()0f x >.因为()f x 在[,]a b 上连续,根据闭区间上连续函数的性质,必存在最小值,即存在点[,]a b ξ∈使得{}|()|min |()|0.a x bf f x ξ≤≤=>由题设条件知,在[,]a b 内存在[,]y a b ∈使得1()()().2f y f f ξξ≤<这与()f ξ是最小值矛盾,所以函数()f x 在[,]a b 上至少有一个零点。
直接法:取0)(],,[00≠∈x f b a x ,根据题中条件,存在],[1b a x ∈,使得)(21)(01x f x f ≤(假设0)(1≠x f );类似地,存在],[2b a x ∈,使得)(21)(12x f x f ≤(假设0)(2≠x f )。
依次下去,存在],[}{b a x n ⊂,满足存)(21)(21)(01x f x f x f n n n ≤≤≤- (假设0)(≠n x f ),易知 0)(lim =∞→n n x f 。
因为数列}{n x 有界,所以存在收敛子列}{k n x ,记k n k x ∞→=lim ξ,则],[b a ∈ξ,因为函数)(x f 在ξ处连续,所以0)(lim )(lim )lim ()(====∞→∞→∞→n n n k n k x f x f x f f k k ξ。
8.设f x C a ()[,)∈+∞且有界,若f a ()<∈+∞x a f x [,)sup {()},则∀α,)}({sup )(),[x f a f a x +∞∈<<α,),(+∞∈∃a ξ,使得αξ=f ().证明:α∀使得()(){}x f a f a x sup ),[+∞∈<<α,取(){}⎪⎭⎪⎬⎫⎪⎩⎪⎨⎧-=+∞∈αεx f a x sup ),[21,则()+∞∈∃,a b ,使得()(){}(){})(sup 21sup ),[),[a f x f x f b f a x a x >>⎪⎪⎭⎫ ⎝⎛+=->+∞∈+∞∈ααε. 由于()],[b a C x f ∈,根据介值定理可知 ()()+∞⊂∈∃,,a b a ξ,使得()αξ=f . 9.设(),()[0,),f x g x C ∈+∞ lim (()())0.x f x g x →+∞-=证明:函数()f x 在[0,)+∞上一致连续当且仅当函数()g x 在[0,)+∞上一致连续。
证明:先设()g x 在[0,)+∞一致连续。