关于序列收敛性的一个注记
- 格式:pdf
- 大小:377.60 KB
- 文档页数:5
序列收敛定义好的,以下是为您生成的关于“序列收敛定义”的文章:---# 【序列收敛定义】一、开场白嘿,朋友们!不知道你们有没有过这样的经历,比如说在玩游戏的时候,分数越接近某个固定值,就越觉得刺激。
其实啊,这就和我们今天要聊的“序列收敛”有点关系。
那到底什么是序列收敛呢?让我们一起来探索这个神秘又有趣的数学概念。
二、什么是【序列收敛】?简单来说,序列收敛就是一系列的数最终越来越靠近一个确定的数。
打个比方,想象你在跑步,终点是一个固定的位置,你每跑一步就离终点更近一点,最终无限接近终点,这个过程就有点像序列收敛。
可别把序列收敛和随意的数字排列搞混了。
有些人可能会错误地认为,只要数字看起来有规律就是收敛,其实不是这样的。
比如 1,3,5,7,9 这样的数列,它是在不断增大,但没有一个确定的“归宿”,就不是收敛的。
三、关键点解析1. 核心特征或要素- 极限值的存在:就像前面说的跑步终点,这个终点对应的数就是极限值。
比如序列 1/2,2/3,3/4,4/5,... 它会越来越靠近 1 ,这里的 1 就是极限值。
- 无限接近:意味着不管你怎么靠近,都能更靠近。
像序列 0.9,0.99,0.999,... 会无限地接近 1 。
- 距离越来越小:相邻的数之间的差距会越来越小。
比如序列 1,0.5,0.25,0.125,... 相邻两个数的差距在逐渐缩小。
2. 容易混淆的概念序列收敛和序列有界经常容易被搞混。
序列有界只是说序列中的数都在某个范围内,比如都在 0 到 10 之间,但不一定会靠近某个特定的值。
而序列收敛不仅要求有界,还要求无限靠近一个确定的值。
四、起源与发展序列收敛的概念在数学的发展中由来已久。
早在古希腊时期,数学家们就在研究一些无限的过程中,隐隐约约地触及到了这个概念。
随着数学的不断发展,特别是微积分的出现,序列收敛成为了分析学中的重要基础。
在当下,序列收敛在数学、物理、工程等众多领域都有着至关重要的作用。
证明数列收敛的方法数列的收敛性是数学分析中非常重要的概念之一,它指的是当数列的项随着自变量的增大而趋于一个极限值时,这个极限值就是该数列的极限。
而要证明一个数列收敛,通常可以通过极限定义、单调有界性、柯西收敛准则等方法来进行证明。
首先,我们来看一下数列极限的定义。
若对于任意一个正数ε,存在一个正整数N,使得当n>N时,an-L <ε,其中L为常数,则称数列{an}的极限为L,记作lim(n→∞)an=L。
这意味着当n足够大时,数列的项an与极限L之间的差距可以无限小。
那么,我们可以通过这个定义来证明数列的收敛性。
方法一:使用极限定义证明数列收敛假设我们要证明数列{an}收敛于L,需要证明对于任意一个正数ε,存在一个正整数N,使得当n>N时,an-L <ε。
具体步骤如下:1. 给定一个正数ε,我们需要找到一个正整数N。
假设对于任意正整数n,当n>N 时有an-L <ε成立。
2. 我们可以根据数列的定义和不等式性质来进行推导,最终得到一个关于n和ε的不等式。
3. 根据这个不等式,我们可以确定一个适当的N,使得当n>N时不等式成立。
4. 通过以上步骤,我们可以证明数列{an}的极限为L。
举个例子来说,假设我们有数列an=1/n,我们想证明它收敛于0。
首先我们给出一个正数ε,我们需要找到一个正整数N,使得当n>N时,1/n-0 <ε成立。
显然当n>1/ε时,不等式成立。
所以我们可以取N=1/ε,这样当n>N时,就有1/n-0 <ε成立。
因此,我们通过极限定义证明了数列an=1/n收敛于0。
方法二:使用单调有界性证明数列收敛除了极限定义,我们还可以利用单调有界性来证明数列的收敛性。
如果一个数列是单调递增的,并且它的上界存在,那么这个数列必定收敛。
同样地,如果一个数列是单调递减的,并且它的下界存在,那么这个数列也必定收敛。
这可以通过柯西收敛准则来证明。
序列与级数的收敛性判断方法序列与级数是数学中重要的概念,它们在各个领域都有广泛的应用。
在研究序列与级数的性质时,我们常常需要判断它们的收敛性。
本文将介绍一些常用的判断序列与级数收敛性的方法。
一、序列的收敛性判断方法1. 有界性判断法对于一个序列来说,如果存在一个实数M,使得对于所有的正整数n,都有|an|≤M成立,那么称该序列是有界的。
有界序列一定是收敛的,而且收敛到的极限值就是序列的上确界或下确界。
2. 单调性判断法如果一个序列是单调递增的,并且有上界,那么它一定是收敛的。
同样地,如果一个序列是单调递减的,并且有下界,那么它也是收敛的。
这是因为有界单调序列必定存在极限。
3. 夹逼定理夹逼定理是判断序列收敛性的常用方法。
如果一个序列an满足对于所有的正整数n,都有bn≤an≤cn成立,并且序列bn和cn都收敛到同一个极限L,那么序列an也收敛到L。
4. 子序列的收敛性判断法如果一个序列的子序列收敛到某个极限L,那么该序列也收敛到L。
这是因为子序列是原序列的一部分,它们的收敛性是相互联系的。
二、级数的收敛性判断方法1. 正项级数的收敛性判断法如果一个级数的每一项都是非负数,并且序列{Sn}的部分和有上界,即存在一个实数M,使得对于所有的正整数n,都有Sn≤M成立,那么该级数是收敛的。
2. 比较判别法比较判别法是判断级数收敛性的常用方法。
如果一个级数的每一项都是非负数,并且存在另一个级数{bn},使得对于所有的正整数n,都有0≤an≤bn成立,那么如果级数{bn}收敛,那么级数{an}也收敛;如果级数{bn}发散,那么级数{an}也发散。
3. 比值判别法比值判别法是判断级数收敛性的重要方法。
对于一个级数an,如果存在正实数r,使得对于充分大的正整数n,都有|an+1/an|≤r成立,那么:- 如果0≤r<1,那么级数an是绝对收敛的;- 如果r>1,那么级数an是发散的;- 如果r=1,那么比值判别法无法确定级数an的收敛性。
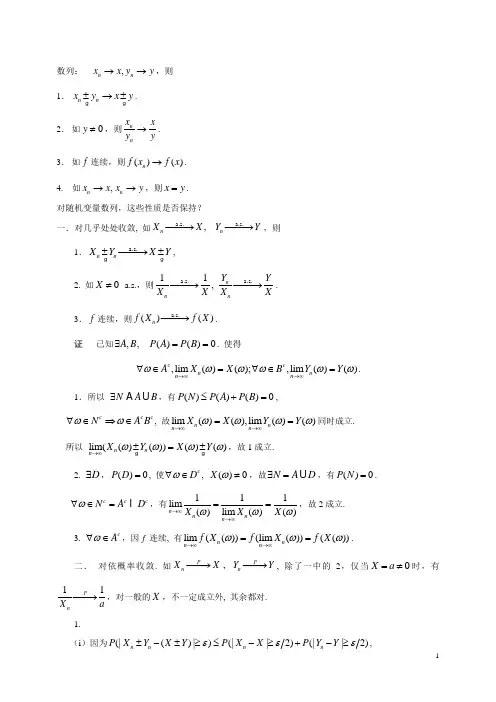
数列: ,n n x x y y →→,则1. n n x y x y ±→±.2. 如0y ≠,则n n x x y y→. 3. 如f 连续,则()()n f x f x →.4. 如,n n x x x y →→,则x y =.对随机变量数列,这些性质是否保持?一.对几乎处处收敛, 如 a.s. a.s.,n n X X Y Y −−→−−→,则1. a.s.n n X Y X Y ±−−→±, 2. 如0X ≠ a.s.,则 a.s. a.s.11,n n n Y Y X X X X−−→−−→. 3.f 连续,则 a.s.()()n f X f X −−→.证 已知,,A B ∃ ()()0P A P B ==. 使得,lim ()();,lim ()()c c n n n n A X X B Y Y ωωωωωω→∞→∞∀∈=∀∈=. 1.所以 N A B ∃,有()()()0P N P A P B ≤+=,c c c N A B ωω∀∈⇒∈, 故lim ()(),lim ()()n n n n X X Y Y ωωωω→∞→∞==同时成立.所以 lim(()())()()n n n X Y X Y ωωωω→∞±=±,故1成立. 2. D ∃,()0P D =, 使c D ω∀∈, ()0X ω≠,故N A D ∃=,有()0P N =.c c c N A D ω∀∈=,有111lim ()lim ()()n n n n X X X ωωω→∞→∞==,故2成立. 3. c A ω∀∈,因f 连续, 有lim (())(lim ())(())n n n n f X f X f X ωωω→∞→∞==.二. 对依概率收敛. 如P n X X −−→,P n Y Y −−→, 除了一中的2,仅当0X a =≠时,有11P n X a−−→,对一般的X ,不一定成立外, 其余都对. 1.(i )因为(|()|)(||2)(||2)n n n n P X Y X Y P X X P Y Y εεε±-±≥≤-≥+-≥,所以P n n X Y X Y ±−−→±.(ii )分析: 要证0,ε∀>lim (||)0n n n P X Y XY ε→∞-≥=, 即0,0εδ∀>∀>, N ∃, 使得当n N ≥时, 有(||)n n P X Y XY εδ-≥<即可.因为(||)(||||2)(||||2)n n n n n P X Y XY P X Y Y P X X Y εεε-≥≤-≥+-≥(||||2,||)(||)(||||2,||)(||)n n n n n P X Y Y X T P X T P X X Y Y T P Y T εε≤-≥≤+>+-≥≤+> (||(2))(||/2)(||/2)(||))(||).n n n P Y Y T P X X T P X T P X X T P Y T εε≤-≥+->+>+-≥+> 又由()lim ()1,()lim ()0,x x F P X x F P X x →+∞→-∞+∞=<=-∞=<= 得 ()lim (||)lim ()()1()()0.x x P X x P X x P X x F F →+∞→+∞>=>+<-=-+∞+-∞= 因此, 0,0T δ∀>∃>,有(||2)(||)4P X T P Y T δδ><><. 对120,0T N >∃>,当1n N ≥时,有(||2)n P X X T δ-><.所以当1n N ≥时,有(||)(||2)(||2)4n n P X T P X X T P X T δ>≤->+><,又由P n Y Y −−→,P n X X −−→,所以20,20,N εδ∀>>∃, 当2n N ≥有(||2)4n P Y Y T εδ-≥<,(||2)4n P X X T εδ-≥<.故(||)n n P X Y XY εδ-≥≤.所以P n n X Y XY −−→.2 因为Pn X a −−→, 所以(||||)(||)0n n P X a P X a εε-≥≤-≥→,所以||||P n X a −−→, 取||2a ε=,有 (||||2)(||||)(||||)0n n n P X a P X a P X a εε<=-≤-≤-≥→.故2||11||||||||||,||||||22||||||0,22n n n n n n n n n X a a a P P P X a a X X P X X a a X a a P X a P X εεεε⎛⎫⎛⎫-⎛⎫⎛⎫-≥=≥≤-≥≥+< ⎪ ⎪ ⎪ ⎪ ⎪⎝⎭⎝⎭⎝⎭⎝⎭⎛⎫⎛⎫≤-≥+<→ ⎪ ⎪⎝⎭⎝⎭所以11P n X a−−→. 3.证0,0T δ∀>∃>, 使得当||2X T >时,有(||2)P X T δ><,对20T >,1,N ∃当1n N ≥时,有(||2)6n P X X T δ-><,由此当1n N ≥时(||)(||2)(||2)n n P X T P X X T P X T δ>≤->+><.又因为 g 在[],T T -上一致连续,所以 对10,0εε>∃>,使当[]12,,x x T T ∈-且121||x x ε-<时,有12|()()|g x g x ε-<. 因而由[]12,,12121|()()|||x x T T g x g x x x εε∈--≥⇒-≥. 对120,N ε>∃,当2n N ≥有1(||)n P X X εδ-><.故120,0,max(,)N N N εδ∀>>∃=.当n N ≥时,有1(|()()|)(|()()|,||,||)(||)(||)(||)6n n n n n P g X g X P g X g X X T X T P X T P X T P X X εεεδδδ-≥≤-≥<<+>+>≤-≥++≤ 故()()P n g X g X −−→.三.对完全收敛性,只有±时,其余不对.四.对依分布收敛,1.2.都不对,反例见21页,特别当Y C =时,1 是对的, 即d n n n X Y X C ±−−→±. 3是对的. 取i ()()e tf x g x =, 则()g x 连续有界, 由定理1.4.1的推论, 有i ()i ()()()()()e e ()nntf X tf X f X n f X t Eg X E E t ϕϕ==→=, 所以, ()()d n f X f X −−→.五.对p L 收敛. 由r C 不等式有 p Ln n X Y X Y ±−−→±. 这是因为 |()|(||||)0p p p n n r n n E X Y X Y C E X X E Y Y ±-±≤-+-→.但由 ,,()n n p n n p n p X Y L X Y L f X L∈⇒∈∈, 因此, 推不出 ,()()p p L Ln n n X Y XY f X f X −−→−−→.。
高考数学应试技巧之收敛性分析数学是高考中的一门核心科目,在高考数学的学习过程中,学生需要掌握大量的数学知识和技巧。
其中,数列与级数是高考数学中相对比较难的部分。
特别是对于数列的收敛性分析,更是需要注意。
本文将对高考数学中关于数列收敛性的知识进行深入探究,为广大考生提供一些实用的应试技巧。
1. 数列的概念和定义数列是指按照一定次序排列的一组数,可以用以下式子表示:$${a_1},{a_2}, \cdots ,{a_n}, \cdots $$其中,每个数$a_n$称为数列的第n项,n称为项数。
例如,$1,2,3, \cdots ,n, \cdots $就是一个数列。
2. 数列收敛的概念数列的收敛意味着随着项数的增加,数列中的数可以逐渐靠近一个确定的数,称为数列的极限。
数列的极限可以用以下符号表示:$$ \lim\limits_{n \to \infty} a_n=L$$其中,L为数列的极限。
表示当n趋近于无穷大时,$a_n$趋近于L。
3. 数列的收敛和发散如果数列存在极限L,则称该数列收敛于L。
反之,如果数列不存在极限,则称该数列发散。
在高考中,数列的收敛和发散是一个需要关注的问题。
4. 数列收敛的必要条件数列收敛的必要条件是存在数L,使得对于任意正数$\varepsilon$,都存在正整数N,当n>N时,$|a_n - L|<\varepsilon$。
这种条件被称为数列收敛的$\varepsilon$-$N$定义。
5. 数列收敛的判定方法在高考中,可以通过以下几种方法进行数列收敛的判定:(1) 夹逼准则夹逼准则是判定数列收敛的一种重要方法。
夹逼准则是建立在以下定理的基础上的:对于数列${a_n}$、${b_n}$和${c_n}$,如果$a_n\le b_n\le c_n$,且$\lim\limits_{n \to\infty}a_n=\lim\limits_{n \to \infty}c_n=L$,那么$\lim\limits_{n \to \infty}b_n=L$。
非同分布ρ—混合序列的完全收敛性的注记
纪玉卿;马全甫
【期刊名称】《河南教育学院学报:自然科学版》
【年(卷),期】1999(008)003
【摘要】本文继续讨论了ρ-混合随机变量序列的部分和的完全收敛性总是在对混合系数趋于零的速度较弱限制下,得到了理想的结果,改进并推进了邵启满的结果。
【总页数】3页(P4-6)
【作者】纪玉卿;马全甫
【作者单位】许昌师专;许昌师专
【正文语种】中文
【中图分类】O211.5
【相关文献】
1.ρ-混合序列完全收敛性的一个注记 [J], 刘筱平;鄢寒;吴群英
2.非同分布ψ-mixing序列的完全收敛性 [J], 邓学斌
3.非同分布φ—混合序列的完全收敛性 [J], 薛留根
4.非同分布NA序列的完全收敛性 [J], 梁汉营; 李倩茹
5.非同分布ρ-混合序列的完全收敛性 [J], 纪玉卿;谭水木;薛留根
因版权原因,仅展示原文概要,查看原文内容请购买。
科教论坛科技风2020年10月DOC10.19392/ki.1671-7341.202028033随机变量序列的几种收敛性注记杨元启三峡大学理学院湖北宜昌443002摘要:随机变量序列的收敛性理论主要源自测度论中可测函数序列的收敛性理论,但由于概率测度的特殊性,使得随机变量序列的敛散性有自己的特点。
这些理论既是概率论的重点,也是难点。
本文准备详细介绍随机变量序列的各种收敛性概念,讨论他们之间的联系,并以适当的例题来说明收敛的性质。
关键词:几乎必然收敛;依概率收敛;完全收敛;一致可积性本科教材中关于随机变量序列的收敛概念一般只有两种:依概率收敛和依分布收敛,分别关联大数定律和中心极限定理。
但根据序列收敛的强弱,有多种强弱不同的收敛概念,它们的侧重点不一样,相互之间也有联系,讨论如下。
设79,9,”=1,2,3}是概率空间(*,,p)上的随机变量序列,随机变量9的分布函数记作F(0=p(X<x+,x(R,X n 的分布函数记作F(0#以下是几种常用的收敛性:(1)若对F(0)的每个连续点0,有0)=F(0),则称随机变量序列{X”}依分布收敛于X,记作X”厶X;(2)若对任意&>0,li rn P(X…-X|'&)=0,则称随机变P量序列{X”}依概率收敛于随机变量X,记作X”一X;(3)设r>0,=X”存在,且”X”-X|'=0,则称随机变量序列{X”}r阶收敛于随机变量X,记作X”二X,这时易知=X>也存在;(4)若P(”im X…=X)=1,则称随机变量序列{X”}几乎必然收敛于随机变量X,记作X”上$X;(5)若对任意的&>0,都有lim-P(|X»-X|'&)=0称随”$"7=”c机变量序列{X”}完全收敛于随机变量X,记作X”一X#下面几个概念与随机变量序列的收敛性关系密切:(1)对任给的&>0,存在(使得对任一"(F,当P(")d 时,便有spf j X”|$p<&,则称随机变量列{X”}是一致绝对连续的;(2)若epJj X”|$P<",则称随机变量列{X”}积分一致 有界;(3)若sp|X”|$P=0,则称随机变量列{X”}是一致可积的;由测度论的理论,有下列结论:(1){X”}是一致可积的充要条件是{X”}是一致绝对连续的且积分一致有界;(2)X”上$X当且仅当对于任意的&>0,^{*”7X”-X丨'&}}=0以及X”上$x当且仅当对于任意的&>0,P(/*7X m-X|'&})=0;”=1>=”P(3)X…-$X当且仅当对{X”}的任一子序列{X”?,均存在子序列7X”》}0{X”?,使得X”7上$x;“、a・s.,、,P(4)X”一X时必有X”一X;r P(5)X”---------$X时必有X”----------$X;P<(6)X”---------$X时必有X”----------$X;C., a.s.(7)X”---------$X时必有X”----------$X;(8)”F"IX-XI=0的充要条件是{X”}是一致可积且PX”$X上述部分结论的证明可以从本文所列文献中找到,这里就不赘述了#我们只证(2)和(7)#先介绍一个引理#"8888弓【理如果-P("”)<8,则P(/U"”)=0,P(*/"”.)=1,即事件序列{"”}中有无穷多个"”发生的概率为0,或者说事件序列{"”}中至多有有限个"”发生的概率为1;如果P("”)=8,而{"”}是两两独立的事件序列,则P8888(/*"”)=1,P(*/"”.)=0,即事件序列{"”}中有无穷多个"”发生的概率为1,或者说事件序列{"”}中至多有有限个"”发生的概率为0#这是著名的波雷尔-康特立引理#(2)的证明:若X”上$X,即*中除了某个概率测度为零的集合8以外的所有点)对于任何&>0,当”>”0(&,)时就有t”_X I<&,也就是说,满足对任意的”,总存在>'”,使得X”-X的点)必属于零测度集8,亦即/*7X”-X'”一1>—”&}08,因此P(/*7|X>-X|'&})=0;”=1>=”所以说X”上$X当且仅当对于任意的&>0,P (/*7X m-X|'&})=0;”=1>=”66科技风2020年10月另外,根据概率的连续性,显然有P(/*i19-91>&!)=+=17=+0i U/P{U7丨9”-9|'&}=0,反之,若对于任意的&>0, >=+有U m:{U79”-9|'&}=0,则由于/U79”-9|'&8 +$">=++=1>=+"880U7X m-9|'&,有0!:(/U7X m-9|)!Um:>=++=1>=++$8 {U+7.|9>-9|}=0综上有:as889—」9%对于任意的&>0,P(/U7丨9”-9|)=0+=1>—+%对于任意的&>0,fm P{U7丨9”-9|}=0#+—8>—+C8(7)的证明:因为9―$9,即任意的&>0,Um-:+$87=+ (9,,-9'&)—0,因此Um:{U7丨9”-9|}<Um-:+$8>=++$8>=+ (9m-9|'&)=0,即|=9#以下通过几个例子进一步讨论随机变量序列的性质#例1设{9”}为相互独立的随机变量序列,若9…上$证明:设9…上$0,则对任意的&>0,有:(/U79-0)=0”=17=+即:(limyp7I9t1>&)=0,由{9…}相互独立及波雷尔-康特立引理,知-:(9>'&)<8,因此Um-:>=1”$8>=+ (9”|'&)=0,此即9 0注:(1)显然,此结论可改为:若{9…}相互独立,则9…上$0等价于9…亠0'或者,若{9…}相互独立,则9…上$0等价于2&>0,-:7(191>&)!<8#+=1(2)若{9}独立,{,”}为常数列,则9上$0等价于2&>0,-:7(19<8#”—1例2设{9”}为以概率1单调的随机变量序列,且9…: a.s.—9,则9”一9#:证明:不妨设2)(*,{9”}为单调递增,由于9…-$9,因此对{9”}的任一子序列{9”?,均存在子序列{9”?0 79…7!,使得9”7上$9,而{9”}为单调递增,故2)(*,9”$ 9,因此9”9#例3设随机变量序列{9+}依分布收敛于常数,,则9”:-----,#「1久',证明:常数,的分布函数;(0)=匸,{9”}依分布0x<<收敛于,,对任意的&>0,:(丨9”-|'&)=:(9”<,-&+:(9”'a+&)<;”(a-&)+—:(9”«+£&二;”(Q-&)+—;”(a+&:-0)=0+1-1二0,所以9”---a#例4设{9”}是独立同分布的随机变量序列,二阶矩有2”:界,则十*-@@―”(”+1)@12”证明:记=91=#,A91=*2,则*2<8,=(,2八-忑)—”(”1)@=1 )”乔17=( -9心A含9)=心-2”2”川-弘予,A(»-9)=4*2亍-==232”+11*2$0,(”$8)2=13”(”+1)2”由契贝雪夫不等式有2&>0,P(I十丁--=91I'&)”(”1)=12”<”(”&)@——$0,(+$»),亦即尸石-9厶=91# &”(”+1)=1例5设{9”}为独立同分布的随机变量序列,密度函数「2-0a)兀'a</(0=L,记B”=m/791,…9”!,则B”—a# 050<af1-2"(0"a)兀'a 证明:容易算得公共分布函数;(0)-,0050<a'a时,:(B”>0)=:(m/791,…9”!>0)=:(/{9=>0)=1=(1-F(0))”=2一0-)2&>0,P(I”-a l'&)=:(B”'a+&)+P(B”<a-&)=2兀+:(*79=<a-&!)=1=2^+-:(9=<a-&)=1—e-&+0$0,”$8:<所以B”$a,因此,B”$a#例6设{9”}为独立同分布的随机变量序列,P(9”=1)1”9»=:(9”=0)=*,B”=-出”=1,2,3,则B”的分布收敛于27=12[0,1]上的均匀分布#证明:9»的特征函数为/()=*(1+e")—as寺2“,;的特征函数为+()-寺(1+e")=cos2)71“,7=1,2,3,由于97独立同分布,7=1,2,3,故B”的特征函数为,”(-=3(cos7=1tsin命抽')=丁-----------eM-,由于”/0”(-=〒Cn寺=Sm2”+丄(2“-1),而[0,1]上的均匀分布的特征函数恰为丄*2“-1), It It由逆极限定理知B”的分布收敛于[0,1]上的均匀分布#参考文献:[1]王寿仁.概率论基础与随机过程[M&.北京:科学出版社,1997.[2]严家安.测度论讲义.北京:科学出版社,2000.[3]周民强.实变函数论.北京:北京大学出版社,2003.[4]严士健,王隽骧,刘秀芳.概率论基础.北京:科技出版社,$982.67。
高数证明数列收敛总结数列收敛是高等数学中的一个重要概念,它在分析学等许多领域中都有广泛的应用。
本文将对数列收敛进行总结,并介绍一些相关的证明方法。
一、数列的收敛性数列的收敛性是指数列中的元素逐渐接近某个常数。
具体来说,对于一个数列{an},如果存在一个常数a,对于任意给定的ε>0,都存在正整数N,使得当n>N时,|an-a|<ε成立,则称数列{an}收敛于a。
反之,如果不存在这样的常数a,则称数列{an}发散。
数列收敛的概念可以用来描述各种各样的情况,比如描述物体的运动轨迹、分析算法的收敛性等。
在应用中,我们常常需要证明数列的收敛性。
二、数列收敛的证明方法1. 极限定义法极限定义法是数学中最基本的证明方法之一。
根据数列收敛的定义,我们可以通过构造出满足定义的N来证明数列的收敛性。
具体来说,我们可以通过逐步逼近极限值a,使得数列中的每个元素都逐渐接近这个极限值。
这种方法常用于证明数列的单调性和有界性。
例如,考虑数列{an} = 1/n,我们可以通过选择一个足够大的正整数N,使得当n>N时,1/n < ε成立。
这样,我们就证明了数列{an}收敛于0。
2. 数列单调有界准则数列单调有界准则是判断数列收敛性的重要准则之一。
它表明,如果一个数列既单调递增又有上界(或既单调递减又有下界),则该数列收敛。
以数列{an} = (-1)^n/n为例,我们可以证明该数列是单调递减的,并且有下界为0。
根据数列单调有界准则,我们可以得出结论:数列{an}收敛。
3. Cauchy收敛准则Cauchy收敛准则是另一种重要的数列收敛判定准则。
它从数列的“封闭性”出发来考察数列的收敛性。
具体来说,如果对于任意给定的ε>0,存在正整数N,使得当m,n>N时,|am-an|<ε成立,则称数列{an}收敛。
以数列{an} = 1/n为例,我们可以证明该数列满足Cauchy收敛准则。
通过不断逼近,我们可以找到满足条件的N,使得当m,n>N时,|1/m-1/n|<ε。
高考收敛数列知识点归纳高考数学中,数列是一个重要的概念,它在不同的考题中经常出现。
其中,收敛数列更是一个被广泛讨论的知识点。
本文将对高考收敛数列的相关概念、性质以及解题方法进行归纳总结,以帮助广大考生更好地应对数学考试。
一、收敛数列的概念在数列的学习过程中,我们经常会遇到一类特殊的数列,即收敛数列。
所谓收敛数列,就是在数列的后项无限逼近某一确定的数。
举个例子来说,考虑数列{1,0.5,0.25,0.125,…},该数列中的每个数都是前一个数除以2得到的。
我们可以看到,这个数列中的每个数都无限接近于0,而0正是该数列的极限值。
因此,我们可以说这个数列是一个收敛数列。
二、收敛数列的性质收敛数列有一些重要的性质,掌握这些性质对于解题至关重要。
下面我们来介绍几个常见的性质。
1. 收敛数列的极限唯一性对于一个收敛数列,它的极限是唯一的。
也就是说,一个数列只能收敛于一个确定的数。
这个性质在解题过程中经常被用到。
2. 收敛数列的有界性对于一个收敛数列,它是有界的。
也就是说,存在一个正数M,当数列中的所有项的绝对值大于M时,这个数列是发散的;当数列中的所有项的绝对值小于或等于M时,这个数列是有界的。
3. 收敛数列的保序性对于一个收敛数列,它是保持有序的。
也就是说,如果数列中的每一项都大于(或小于)极限值,那么其后项也是大于(或小于)极限值的。
三、解决收敛数列的方法在高考解题中,遇到收敛数列的题目并不少见。
为了更好地解决这类问题,我们需要掌握一些常用的方法。
1. 利用收敛数列的定义对于一个收敛数列,我们可以利用其定义来证明一些性质。
例如,在证明某个数列是有界的时候,我们可以采用反证法,假设数列是无界的,然后利用收敛数列的定义推导出矛盾,从而得出结论。
2. 利用数列的性质进行推导在解决数列题目时,我们可以利用数列的性质来进行推导。
例如,在证明某个数列的极限存在时,我们可以利用数列有界性质,找到一个上界和下界,然后利用夹逼定理来推导出结论。
收敛数列性质知识点总结一、定义在数学中,数列是由一系列按照特定顺序排列的数构成的序列。
而收敛数列是指当数列中的元素随着项数的增加逐渐趋于某一有界的值,这一值称为数列的极限。
即数列的极限存在且有限。
二、收敛数列的性质1. 有界性收敛数列是有界的,即存在一个上界和一个下界,使得数列中的每一项都在这个上下界之间。
证明:由于数列是收敛的,意味着存在一个极限值L,从而数列中的每一项都接近这个极限值。
因此,可以找到一个范围,使得数列中的每一项都在这个范围内。
2. 单调性如果一个数列是收敛的,那么它必然是单调的,即要么递增,要么递减。
证明:假设数列不是单调的,即存在两个相邻的数,其中一个大于另一个。
根据收敛数列的定义,接近极限的数列项越来越接近极限值,所以当数列不单调时,存在一个数列项接近极限值,另一个数列项远离极限值。
这与收敛数列的性质相矛盾,因此数列必须是单调的。
3. 极限值的唯一性对于一个收敛数列,它只有一个极限值。
证明:假设数列有两个极限值L1和L2,并且L1不等于L2。
根据数列的定义,当项数趋于无穷大时,数列的每一项都逐渐接近极限值。
但是当这两个极限值不相等时,数列无法同时逼近这两个不同的值,这与收敛数列的定义相矛盾。
因此,收敛数列的极限值必须是唯一的。
4. 极限运算法则如果数列{an}和{bn}分别收敛到a和b,那么有限个数列的极限和、差、积、商仍然收敛,并且它们的极限分别等于这些极限的和、差、积、商。
证明:(1)和的极限:设{an}收敛到a,{bn}收敛到b,那么对于任意的ε>0,存在N1,N2,使得当n>N1时,|an-a|<ε/2,当n>N2时,|bn-b|<ε/2。
那么当n>max{N1,N2}时,有|an+bn - (a+b)| = |(an-a) + (bn-b)| <= |an-a| + |bn-b| < ε/2 + ε/2 = ε因此{an+bn}收敛到a+b。
序列与级数的收敛性与收敛域序列和级数是数学中的重要概念,它们在各个学科中都有广泛的应用。
了解序列和级数的收敛性及其收敛域对于数学学习和应用都具有重要的意义。
本文将介绍序列和级数收敛的定义及其相关性质,并探讨收敛域的概念及其计算方法。
一、序列的收敛性序列是由一系列数字按照一定的顺序排列而成的集合。
对于序列来说,我们关注的是其中的数字是否趋向于某个确定的极限值。
定义:序列{an}称为收敛的,如果存在一个实数a,对于任意给定的正数ε,都存在正整数N,使得当n大于N时,|an-a|小于ε。
根据这个定义,我们可以通过判断序列的极限是否存在来确定其收敛性。
当序列收敛时,它的极限值是唯一的,我们可以用lim an表示。
除了收敛序列外,还存在发散序列,即不存在极限的序列。
二、级数的收敛性级数是将一个序列的项进行求和的过程,通常以∑an表示。
对于级数来说,我们关注的是对于不同的n值,前n项和是否趋近于一个确定的值。
定义:级数∑an收敛,如果它的部分和序列{Sn}收敛。
其中,Sn=∑(k=1 to n)ak。
级数的收敛性与其部分和序列的收敛性有密切的关系。
如果级数收敛,则它的部分和序列也收敛。
三、收敛域当我们研究幂级数时,会涉及到收敛域的概念。
幂级数是一种特殊的级数形式,其项可以表示为x的幂次。
定义:对于幂级数∑(k=0 to ∞)akx^k,存在一个正数R,使得当|x|<R时,级数绝对收敛;当|x|>R时,级数发散。
在收敛域内,幂级数可以表示为函数的形式。
而在收敛域外,幂级数失去了求和的意义。
计算收敛域的方法有多种,我们常用的方法是利用比值判别法和根值判别法。
比值判别法适用于绝对值包含有n次幂的幂级数,根值判别法适用于绝对值包含有n次根的幂级数。
四、收敛性与收敛域的应用序列和级数的收敛性与收敛域的研究,在数学分析、泰勒级数展开、函数逼近等学科中有着重要的作用。
在实际问题中,我们常常需要判断序列和级数的收敛性,以确定其数值是否趋近于某个极限值。