高中数学课时训练(含解析):平面解析几何 (4)
- 格式:doc
- 大小:70.50 KB
- 文档页数:4
第二课 平面解析几何初步[核心速填]1.直线的倾斜角和斜率 (1)直线的倾斜角定义:在平面直角坐标系中,对于一条与x 轴相交的直线,把x 轴所成的直线绕着交点按逆时针方向旋转到和直线重合时所转过的最小正角称为这条直线的倾斜角.特别地,当直线与x 轴平行或重合时,我们规定它的倾斜角为0°. 倾斜角α的取值范围:0°≤α<180°. (2)直线的斜率①定义:k =tan_α,(α≠90°).②过两点的直线的斜率公式:k =y 2-y 1x 2-x 1(x 1≠x 2)(3)斜率的求法①依据倾斜角.②依据直线方程.③依据两点的坐标. 2.直线方程的几种形式的转化3.两条直线的平行与垂直 l 1:y =k 1x +b 1,l 2:y =k 2x +b 2, l 1∥l 2⇔k 1=k 2,b 1≠b 2;l 1⊥l 2⇔k 1k 2=-1. 4.两条直线的交点l 1:A 1x +B 1y +C 1=0与l 2:A 2x +B 2y +C 2=0相交,交点坐标即方程组⎩⎨⎧A 1x +B 1y +C 1=0,A 2x +B 2y +C 2=0的一组解. 方程组无解⇔l 1∥l 2;方程组有无数组解⇔l 1与l 2重合. 5.距离公式 (1)两点间的距离公式平面上P 1(x 1,y 1),P 2(x 2,y 2)两点间的距离公式P 1P 2(2)点到直线的距离公式①点P (x0,y 0)到直线l :Ax +By +C =0的距离为d ②两平行直线l1:Ax +By +C 1=0与l 2:Ax +By +C 2=0的距离为d 6.圆的方程(1)圆的标准方程:(x -a )2+(y -b )2=r 2.(2)圆的一般方程:x 2+y 2+Dx +Ey +F =0(D 2+E 2-4F >0). 7.点和圆的位置关系设点P(x0,y0)及圆的方程(x-a)2+(y-b)2=r2,(1)(x0-a)2+(y0-b)2>r2⇔点P在圆外.(2)(x0-a)2+(y0-b)2<r2⇔点P在圆内.(3)(x0-a)2+(y0-b)2=r2⇔点P在圆上.8.直线与圆的位置关系设直线l与圆C的圆心之间的距离为d,圆的半径为r,则d>r→相离;d =r→相切;d<r→相交.9.圆与圆的位置关系设C1与C2的圆心距为d,半径分别为r1与r2,则两圆:11.计算直线被圆截得的弦长的常用方法(1)几何方法运用弦心距(即圆心到直线的距离)、弦长的一半及半径构成直角三角形计算.(2)代数方法运用根与系数的关系及弦长公式AB=1+k2|x A-x B|=(1+k2)[(x A+x B)2-4x A x B].注:圆的弦长、弦心距的计算常用几何方法.12.空间中两点的距离公式一般地,空间中任意两点P1(x1,y1,z1),P2(x2,y2,z2)间的距离为P1P2=[体系构建][题型探究]直线方程的五种形式各有优劣,在使用时要根据题目条件灵活选择,尤其在选用四种特殊形式的方程时,注意其适用条件,必要时要对特殊情况进行讨论.2.两条直线的平行与垂直两条直线的平行与垂直是解析几何中两条直线最基本的位置关系,其判定如下:。
第4节双曲线课时训练练题感提知能【选题明细表】A组一、选择题1.设P是双曲线-=1上一点,F1,F2分别是双曲线左右两个焦点,若|PF1|=9,则|PF2|等于( B )(A)1 (B)17(C)1或17 (D)以上答案均不对解析:由双曲线定义||PF1|-|PF2||=8,又|PF1|=9,∴|PF2|=1或17,但应注意双曲线的右顶点到右焦点距离最小为c-a=6-4=2>1,∴|PF2|=17.故选B.2.(2013年高考湖北卷)已知0<θ<,则双曲线C 1:-=1与C2:-=1的( D )(A)实轴长相等(B)虚轴长相等(C)离心率相等(D)焦距相等解析:双曲线Cc1==1,双曲线C2的半焦距=1,故选D.c2=3.(2012年高考湖南卷)已知双曲线C:-=1的焦距为10,点P(2,1)在C的渐近线上,则C的方程为( A )(A)-=1 (B)-=1(C)-=1 (D)-=1解析:由焦距为10,知2c=10,c=5.将P(2,1)代入y=x得a=2b.a2+b2=c2,5b2=25,b2=5,a2=4b2=20,所以方程为-=1.故选A.4.已知F1、F2为双曲线C:x2-y2=2的左、右焦点,点P在C上,|PF1|=2|PF2|,则cos∠F1PF2等于( C )(A)(B)(C)(D)解析:∵c2=2+2=4,∴c=2,2c=|F1F2|=4,由题可知|PF 1|-|PF2|=2a=2,|PF1|=2|PF2|,∴|PF 2|=2,|PF1|=4,由余弦定理可知cos∠F1PF2==.故选C.5.设椭圆C1的离心率为,焦点在x轴上且长轴长为26,若曲线C2上的点到椭圆C1的两个焦点的距离的差的绝对值等于8,则曲线C2的标准方程为( A )(A)-=1 (B)-=1(C)-=1 (D)-=1解析:在椭圆C1中,因为e=,2a=26,即a=13,所以椭圆的焦距2c=10,则椭圆两焦点为(-5,0),(5,0),根据题意,可知曲线C2为双曲线,根据双曲线的定义可知,双曲线C2中的2a2=8,焦距与椭圆的焦距相同,即2c2=10,可知b2=3,所以双曲线的标准方程为-=1.故选A.二、填空题6.(2013年高考辽宁卷)已知F为双曲线C:-=1的左焦点,P,Q为C 上的点.若PQ的长等于虚轴长的2倍,点A(5,0)在线段PQ上,则△PQF 的周长为.解析:由题知,双曲线中a=3,b=4,c=5,则|PQ|=16,又因为|PF|-|PA|=6,|QF|-|QA|=6,所以|PF|+|QF|-|PQ|=12,|PF|+|QF|=28,则△PQF的周长为44.答案:447.已知双曲线C:-=1(a>0,b>0)的离心率e=2,且它的一个顶点到较近焦点的距离为1,则双曲线C的方程为.解析:双曲线中,顶点与较近焦点距离为c-a=1,又e==2,两式联立得a=1,c=2,∴b2=c2-a2=4-1=3,∴方程为x2-=1.答案:x2-=18.(2013韶关模拟)设点P是双曲线-=1(a>0,b>0)与圆x2+y2=a2+b2在第一象限的交点,其中F1,F2分别是双曲线的左、右焦点,若tan ∠PF2F1=3,则双曲线的离心率为.解析:依题意得PF1⊥PF2,tan ∠PF2F1==3,|PF1|=3|PF2|,设|PF1|=k,则|PF2|=3k,|PF1|2+|PF2|2=10k2=|F1F2|2=4c2,又∵2a=|PF1|-|PF2|=2|PF2|=2k,即a=k,∴e==,即双曲线的离心率为.答案:9.(2013年高考湖南卷)设F1,F2是双曲线C:-=1(a>0,b>0)的两个焦点.若在C上存在一点P,使PF1⊥PF2,且∠PF1F2=30°,则C的离心率为.解析:设点P在双曲线右支上,由题意,在Rt△F1PF2中,|F1F2|=2c,∠PF1F2=30°,得|PF 2|=c,|PF1|=c,|PF 1|-|PF2|=2a,(-1)c=2a,e===+1.答案:+110.设F1、F2分别为双曲线-=1(a>0,b>0)的左、右焦点.若在双曲线右支上存在点P,满足|PF2|=|F1F2|,且F2到直线PF1的距离等于双曲线的实轴长,则该双曲线的渐近线方程为.解析:如图,由题意得|PF2|=|F1F2|=2c,|F2M|=2a.在△PF2M中,|PF2|2=|F2M|2+|PM|2,而|PM|=|PF1|,又∵|PF1|-|PF2|=2a,∴|PF1|=2a+2c,即|PM|=a+c.∴|PF2|2=(2c)2=(2a)2+(a+c)2.又c2=a2+b2,∴=,渐近线方程为y=±x,即4x±3y=0.答案:4x±3y=0三、解答题11.已知双曲线x2-=1,过点P(1,1)能否作一条直线l,与双曲线交于A、B两点,且点P是线段AB的中点?解:法一设点A(x1,y1),B(x2,y2)在双曲线上,且线段AB的中点为(x0,y0),若直线l的斜率不存在,显然不符合题意.设经过点P的直线l的方程为y-1=k(x-1),即y=kx+1-k.由得(2-k2)x2-2k(1-k)x-(1-k)2-2=0(2-k2≠0).①∴x0==.由题意,得=1,解得k=2.当k=2时,方程①成为2x2-4x+3=0.Δ=16-24=-8<0,方程①没有实数解.∴不能作一条直线l与双曲线交于A,B两点,且点P(1,1)是线段AB 的中点.法二设A(x1,y1),B(x2,y2),若直线l的斜率不存在,即x1=x2不符合题意,所以由题得-=1,-=1,两式相减得(x1+x2)(x1-x2)-=0,即2-=0,即直线l斜率k=2,得直线l方程y-1=2(x-1),即y=2x-1,联立得2x2-4x+3=0,Δ=16-24=-8<0,即直线y=2x-1与双曲线无交点,即所求直线不合题意,所以过点P(1,1)的直线l不存在.12.(2013南京质检)中心在原点,焦点在x轴上的一椭圆与一双曲线有共同的焦点F 1,F2,且|F1F2|=2,椭圆的长半轴长与双曲线实半轴长之差为4,离心率之比为3∶7.(1)求这两曲线方程;(2)若P为这两曲线的一个交点,求cos∠F1PF2的值.解:(1)由已知c=,设椭圆长、短半轴长分别为a、b,双曲线实半轴、虚半轴长分别为m、n,则解得a=7,m=3.∴b=6,n=2.∴椭圆方程为+=1,双曲线方程为-=1.(2)不妨设F1、F2分别为左、右焦点,P是第一象限的一个交点,则|PF1|+|PF2|=14,|PF1|-|PF2|=6,∴|PF1|=10,|PF2|=4.|=2,又|F∴cos∠F1PF2===.13.已知双曲线-=1(b>a>0),O为坐标原点,离心率e=2,点M(,)在双曲线上.(1)求双曲线的方程;(2)若直线l与双曲线交于P,Q两点,且²=0.求+的值.解:(1)∵e=2,∴c=2a,b2=c2-a2=3a2,双曲线方程为-=1,即3x2-y2=3a2.∵点M(,)在双曲线上,∴15-3=3a2.∴a2=4.∴所求双曲线的方程为-=1.(2)设直线OP的方程为y=kx(k≠0),联立-=1,得∴|OP|2=x2+y2=.则OQ的方程为y=-x,有|OQ|2==,∴+===.B组14.已知点P在曲线C1:-=1上,点Q在曲线C2:(x-5)2+y2=1上,点R 在曲线C3:(x+5)2+y2=1上,则|PQ|-|PR|的最大值是( C )(A)6 (B)8 (C)10 (D)12解析:依题意知P在曲线C1的左支上时|PQ|-|PR|取到最大值,|PQ|的最大值为|PC2|+1,|PR|的最小值为|PC3|-1,则|PQ|-|PR|的最大值是|PC2|+1-(|PC3|-1)=|PC2|-|PC3|+2=8+2=10.故选C.15.从双曲线-=1(a>0,b>0)的左焦点F引圆x2+y2=a2的切线,切点为T,延长FT交双曲线右支于点P,若M为线段FP的中点,O为坐标原点,则|MO|-|MT|与b-a的大小关系为( B )(A)|MO|-|MT|>b-a (B) |MO|-|MT|=b-a(C)|MO|-|MT|<b-a (D)不确定解析:如图所示,取双曲线的右焦点为F',∵M为PF的中点,∴|MF|=|PF|.Rt△OFT中,|OT|=a,|OF|=c,∴|FT|=b,连接OM,PF',则|OM|=|PF'|,∴|MO|-|MT|=|PF'|-(|MF|-|FT|)=|PF'|-|PF|+b=-a+b=b-a.故选B.16.设点P在双曲线-=1(a,b>0)的右支上,双曲线的左、右焦点分别为F1,F2,若|PF1|=4|PF2|,则双曲线离心率的取值范围是. 解析:由双曲线的定义得|PF1|-|PF2|=2a,又|PF1|=4|PF2|,所以4|PF2|-|PF2|=2a,所以|PF2|=a,|PF1|=a,所以整理得a≥c,所以≤,即e≤,又e>1,所以1<e≤. 答案:1<e≤。
高二数学解析几何练习题带答案一、直线与平面的交点1. 已知直线AB的坐标为A(2,3,5)和B(-1,4,2),平面P 的方程为2x-y+z-1=0,求直线AB与平面P的交点。
解:设交点为M(x,y,z),则M同时满足直线AB的参数方程和平面P的方程,即:x = 2 + t(-1-2)y = 3 + t(4-3)z = 5 + t(2-5)代入平面P的方程得:2(2 + t(-1-2)) - (3 + t(4-3)) + (5 + t(2-5)) - 1 = 0化简得:-3t + 7 = 0解得t = 7/3代入直线AB的参数方程得:x = 2 + 7/3(-1-2) = -5/3y = 3 + 7/3(4-3) = 20/3z = 5 + 7/3(2-5) = -6/3所以,直线AB与平面P的交点为M(-5/3, 20/3, -6/3)。
二、直线的位置关系2. 设直线l1:(x-2)/3=y/2=(z-1)/4,直线l2:(x+1)/2=(y-3)/4=(z+2)/6,判断直线l1和直线l2的位置关系。
解:直线l1和l2方向向量分别为v1=(3,2,4)和v2=(2,4,6)。
若两条直线平行,则v1与v2平行或其比例相等。
计算v1与v2的比例:3/2 = 2/4 = 4/6 = 1/2所以,v1与v2的比例相等,即直线l1和l2平行。
若两条直线相交,则设交点为M(x,y,z),满足直线l1和l2的参数方程。
由直线l1的参数方程可得:x = 2 + 3ty = 2tz = 1 + 4t代入直线l2的参数方程得:(2 + 3t + 1)/2 = (2t - 3)/4 = (1 + 4t + 2)/6化简得:3t + 1 = 4t - 6 = 4t + 3解得t = -7/3代入直线l1的参数方程得:x = 2 + 3(-7/3) = -19y = 2(-7/3) = -14/3z = 1 + 4(-7/3) = -19/3所以,直线l1和l2的交点为M(-19, -14/3, -19/3)。
高考数学平面解析几何专项训练(100题-含答案)1.在平面直角坐标系xOy 中,已知点12(1,0),(1,0)F F -,点M 满足12MF MF +=记点M 的轨迹为曲线C .(1)求曲线C 的方程;(2)点T 在直线2x =上,过T 的两条直线分别交C 于,A B 两点和,P Q 两点,且||||||||TA TB TP TQ ⋅=⋅,求直线AB 的斜率与直线PQ 的斜率之和.【答案】(1)2212x y +=(2)0【解析】【分析】(1)根据122MF MF +=,利用椭圆的定义求解;(2)设()2,T m ,直线AB 的参数方程为()2cos ,sin x t y m t θθθ=+⎧⎨=+⎩为参数,与椭圆方程联立,利用参数的几何意义求解.(1)解:因为122MF MF +=,所以点M 的轨迹是以12(1,0),(1,0)F F -为焦点的椭圆,则21,1a c b ===,所以椭圆的方程是2212x y +=;(2)设()2,T m ,直线AB 的参数方程为()2cos ,sin x t y m t θθθ=+⎧⎨=+⎩为参数,与椭圆方程联立()()2222cos 2sin 4cos 4sin 420t m t m θθθθ+++++=,由参数的几何意义知:12,TA t TB t ==,则22122224242cos 2sin 2cos m m t t θθθ++⋅=-=-+-,设直线PQ 的参数方程为:()2cos ,sin x y m λαλλα=+⎧⎨=+⎩为参数,则12,TP TQ λλ==,则22122224242cos 2sin 2cos m m λλααα++⋅=-=-+-,由题意得:222242422cos 2cos m m θα++-=---,即22cos cos θα=,因为αθ≠,所以cos cos θα=-,因为0,0θπαπ<<<<,所以θαπ+=,所以直线AB 的斜率tan θ与直线PQ 的斜率tan α之和为0.2.设n S 是数列{}n a 的前n 项和,13a =,点(),N n S n n n *⎛⎫∈ ⎪⎝⎭在斜率为1的直线上.(1)求数列{}n a 的通项公式;(2)求数列12n n a +⎧⎫⎨⎬⎩⎭的前n 项和n T .【答案】(1)21n a n =+(2)152522n n n T ++=-【解析】【分析】(1)根据斜率公式可得出()222n S n n n =+≥,可知13S =满足()222n S n n n =+≥,可得出22n S n n =+,再利用11,1,2n n n S n a S S n -=⎧=⎨-≥⎩可求得数列{}n a 的通项公式;(2)求得1212n n n c ++=,利用错位相减法可求得n T .(1)解:由13a =,点,n S n n ⎛⎫ ⎪⎝⎭在斜率为1的直线上,知1111n S S n n -=-,即()222n S n n n =+≥.当1n =时,113S a ==也符合上式,故22n S n n =+.当2n ≥时,()()221212121n n n a S S n n n n n -⎡⎤=-=+--+-=+⎣⎦;13a =也满足上式,故21n a n =+.(2)解:112122n n n n a n c +++==.则2341357212222n n n T ++=++++ ,所以,3412135212122222n n n n n T ++-+=++++ ,上式-下式得1232211113111213214212422224212n n n n n n n T -++⎛⎫- ⎪++⎛⎫⎝⎭=++++-=+- ⎝⎭- 252542n n ++=-,因此,152522n n n T ++=-.3.椭圆2222:1(0)x y C a b a b +=>>的离心率为3,且过点(3,1).(1)求椭圆C 的方程;(2)A ,B ,P 三点在椭圆C 上,O 为原点,设直线,OA OB 的斜率分别是12,k k ,且1213k k ⋅=-,若OP OA OB λμ=+,证明:221λμ+=.【答案】(1)221124x y +=(2)证明见解析【解析】【分析】(1)由条件可得c a22911a b +=,222c b a +=,解出即可;(2)设()()()112200,,,,,A x y B x y P x y ,由条件可得012012x x x y y y λμλμ=+⎧⎨=+⎩,12123x x y y =-,然后将01212x x x y y y λμλμ=+⎧⎨=+⎩代入椭圆方程可得2222221122121221124124124x y x y x x y y λμλμ⎛⎫⎛⎫⎛⎫+++++= ⎪ ⎪⎝⎭⎝⎭⎝⎭,然后可得答案.(1)因为ca=22911a b +=,222c b a +=所以可解得2a b ⎧=⎪⎨=⎪⎩所以椭圆C 的方程221124x y +=.(2)设()()()112200,,,,,A x y B x y P x yOP OA OB λμ=+ ,012012x x x y y y λμλμ=+⎧∴⎨=+⎩()()222212120011124124x x y y x y λμλμ+++=∴+= 即2222221122121221124124124x y x y x x y y λμλμ⎛⎫⎛⎫⎛⎫+++++= ⎪ ⎪ ⎪⎝⎭⎝⎭⎝⎭2222112211124124x y x y +=+= ,,即22121221124x x y y λμλμ⎛⎫+++= ⎪⎝⎭又1212121133y y k k x x ⋅=-∴=- ,即12123x x y y =-,221λμ∴+=4.已知椭圆()2222:10x y C a b a b+=>>,A 、B 分别为椭圆C 的右顶点、上顶点,F 为椭圆C的右焦点,椭圆C 的离心率为12,ABF 的面积为32.(1)求椭圆C 的标准方程;(2)点P 为椭圆C 上的动点(不是顶点),点P 与点M ,N 分别关于原点、y 轴对称,连接MN 与x 轴交于点E ,并延长PE 交椭圆C 于点Q ,则直线MP 的斜率与直线MQ 的斜率之积是否为定值?若是,求出该定值;若不是,请说明理由.【答案】(1)22143x y +=(2)是定值,定值为32-【解析】【分析】(1)根据椭圆的离心率可得到a,b,c 的关系,再结合ABF 的面积可得到()a c b -=,由此解得a,b ,可得答案.(2)设直线方程,并联立椭圆方程,得到根与系数的关系式,结合直线MP 的斜率与直线MQ 的斜率之积,代入化简可得答案.(1)由题意得12c a =,则2a c =,b =.ABF 的面积为()1322a cb -=,则()a c b -将2a c =,b =代入上式,得1c =,则2a =,b =,故椭圆C 的标准方程为22143x y +=.(2)由题意可知直线PQ 的斜率一定存在,设直线PQ 的方程为y kx m =+,设()11,P x y ,()22,Q x y ,则()11,M x y --,()11,N x y -,()1,0E x -,联立方程22143x y y kx m ⎧+=⎪⎨⎪=+⎩,得()2223484120k x kmx m +++-=,∴122834kmx x k +=-+,∴()12122286223434km m y y k x x m k m k k ⎛⎫+=++=-+= ⎪++⎝⎭,∴21212263348434MQmy y k k km x x kk ++===-+-+,112PEPQ y k k k x ===,∵11112222MP PE y yk k k x x ====,∴33242MP MQ k k k k ⋅=-⨯=-∴MP MQ k k ⋅为定值32-.【点睛】本题考查了椭圆方程的求法以及直线和椭圆的位置关系,综合考查了学生分析问题,解决问题以及计算方面的能力和综合素养,解答的关键是理清解决问题的思路,并能正确地进行计算.5.已知圆M 过点()1,0,且与直线1x =-相切.(1)求圆心M 的轨迹C 的方程;(2)过点()2,0P 作直线l 交轨迹C 于A 、B 两点,点A 关于x 轴的对称点为A '.问A B '是否经过定点,若经过定点,求出定点坐标;若不经过,请说明理由.【答案】(1)24y x =(2)()2,0-【解析】【分析】(1)根据抛物线的定义计算可得;(2)设直线l 的方程为2x ty =+,()11,A x y 、()22,B x y ,则()11,A x y '-,联立直线与抛物线方程,消元、列出韦达定理,再表示出直线A B '的方程,将12y y +、12y y 代入整理即可得解;(1)解:由题意知动点M 的轨迹C 是以(0,0)O 为顶点,()1,0为焦点,1x =-为准线的抛物线,所以动圆圆心M 的轨迹方程为:24y x =;(2)解:设直线l 的方程为2x ty =+,()11,A x y 、()22,B x y 不妨令21y y >,则()11,A x y '-,联立直线l 与抛物线方程得224x ty y x =+⎧⎨=⎩消去x 得2480y ty --=,则124y y t +=、128y y =-,则直线A B '的方程为()()211121y y y y x x x x +--=--,即()()21212121x x y x y y y x y x -+=+-,则()()()()2121212122ty ty y ty y y y x y ty -++=+-+,()()()2121211222t y y y y y x ty y y y -=+--+,即()()21211222y y y x ty y y y =+--+,所以()42824y tx t t ⋅=-⨯--⨯,即()2y t x =+,令200x y +=⎧⎨=⎩解得20x y =-⎧⎨=⎩,所以直线A B '恒过定点()2,0-;6.已知1F ,2F 是椭圆C :()222104x yb b+=>的左、右焦点,过1F 的直线与C 交于A ,B两点,且22::3:4:5AF AB BF =.(1)求C 的离心率;(2)设M ,N 分别为C 的左、右顶点,点P 在C 上(P 不与M ,N 重合),证明:MPN MAN ∠≤∠.【答案】(2)见解析【解析】【分析】(1)由题意设223,4,5AF m AB m BF m ===,由勾股定理的逆定理可得290BAF ∠=︒,再根据椭圆的定义可求出m 的值,从而可求出12,AF AF 的值,则可得点A 是椭圆短轴的一个端点,进而可求出离心率,(2)由椭圆的对称性,不妨设00(,)P x y,0y ∈,,PMN PNM αβ=∠=∠,则可得0000tan ,tan 22y y x x αβ==+-,然后求出tan tan αβ+,tan tan αβ,再利用正切的两角和公式可得02tan()y αβ+=,由正切函数可求出αβ+的最小值,从而可求出()MPN παβ∠=-+的最大值,进而可证得结论(1)由()222104x y b b+=>,得24a =,得2a =,由题意设223,4,5AF m AB m BF m ===,则22222AF AB BF +=,所以290BAF ∠=︒,因为223451248AF AB BF m m m m a ++=++===,所以23m =,所以22AF =,所以122422AF a AF =-=-=,所以12AF F △为等腰直角三角形,所以点A 是椭圆短轴的一个端点,所以b c =,因为222224b c b a +===,得b c =所以椭圆的离心率为2c e a ==(2)由(1)可得椭圆方程为22142x y +=,则(2,0),(2,0)M N -,因为点A是椭圆短轴的一个端点,所以不妨设A ,由椭圆的对称性,不妨设00(,)P x y,0y ∈,,PMN PNM αβ=∠=∠,则0000tan ,tan 22y y x x αβ==+-,2200142x y +=,所以2200002200001tan tan 22422y y y y x x x y αβ⋅=⋅===+--,00002200000442tan tan 2242y y y y x x x y y αβ+=+===+--,所以0tan tan 4tan()1tan tan y αβαβαβ++==-,所以当0y =tan()αβ+取得最小值由(1)可知290BAF ∠=︒,所以()0,2παβ⎛⎫+∈ ⎪⎝⎭,所以当tan()αβ+取得最小值时,αβ+取得最小值,即点P 与点A 重合时,αβ+取得最小值,此时()MPN παβ∠=-+取得最大,所以MPN MAN∠≤∠7.已知椭圆()2222:10x y C a b a b+=>>的长轴长为,且过点)P(1)求C 的方程:(2)设直线()0y kx m m =+>交y 轴于点M ,交C 于不同两点A ,B ,点N 与M 关于原点对称,BO AN ⊥,Q 为垂足.问:是否存在定点M ,使得·NQ NA 为定值?【答案】(1)221102x y +=(2)存在【解析】【分析】(1)利用待定系数法求方程;(2)联立方程组,结合韦达定理可得直线恒过定点,进而求解.(1)依题意知2a =a =所以C 的方程可化为222110x y b+=,将点)P代入C 得251110b +=,解得22b =,所以椭圆方程为221102x y +=;(2)设点()11,A x y ,()22,B x y ,联立221102x y y kx m ⎧+=⎪⎨⎪=+⎩得,()22215105100k x kmx m +++-=,()()()222104155100km k m ∆=-+->,解得22210m k <+,1221015km x x k -+=+,212251015m x x k -=+,注意到Q ,N ,A 三点共线,NQ NA NQ NA ⋅=⋅,又()NQ NA NB BQ NA NB NA ⋅=+⋅=⋅()()()()1212121222x x y m y m x x kx m kx m =+++=+++()()()()222222212122215102012441515k m k mkx xmk x x mm kk+-=++++=-+++()222221510510415k m m m k--+-=++当()2215105510m m --=-,解得1m =±,因为0m >,所以1m =,此时1NQ NA ⋅=-,满足0∆>,故存在定点()0,1M ,使得1NQ NA ⋅=-等于定值1.【点睛】解决直线与椭圆的综合问题时,要注意:(1)注意观察应用题设中的每一个条件,明确确定直线、椭圆的条件;(2)强化有关直线与椭圆联立得出一元二次方程后的运算能力,重视根与系数之间的关系、弦长、斜率、三角形的面积等问题.8.已知椭圆C :22221(0)x y a b a b +=>>,4a M b ⎛⎫ ⎪⎝⎭为焦点是22y x =的抛物线上一点,H 为直线y a =-上任一点,A ,B 分别为椭圆C 的上,下顶点,且A ,B ,H 三点的连线可以构成三角形.(1)求椭圆C 的方程;(2)直线HA ,HB 与椭圆C 的另一交点分别交于点D ,E ,求证:直线DE 过定点.【答案】(1)2214x y +=(2)证明见解析【解析】【分析】(1)由椭圆的离心率求出,a c 的关系式,再由,4a M b ⎛⎫⎪⎝⎭为抛物线22=y x 上的点,结合222a b c =+,即可求出椭圆C 的方程.(2)设点()(),20H m m -≠,求得HA ,HB 的方程,与椭圆联立求得,D E 坐标,写出直线DE 的方程,即可求出DE 恒过的定点.(1)由题意知,222224c aa b a b c⎧=⎪⎪⎪=⨯⎨⎪=+⎪⎪⎩,解得21a b c ⎧=⎪=⎨⎪=⎩,∴椭圆C 的方程为2214x y +=.(2)设点()(),20H m m -≠,易知()0,1A ,()0,1B -,∴直线HA 的方程为31y x m =-+,直线HB 的方程为11y x m=--.联立223114y x m x y ⎧=-+⎪⎪⎨⎪+=⎪⎩,得22362410x x m m ⎛⎫+-= ⎪⎝⎭,∴22436D m x m =+,223636D m y m -=+,同理可得284E m x m -=+,2244E m y m -=+,∴直线DE 的斜率为21216m k m-=,∴直线DE 的方程为222241284164m m m y x m m m --⎛⎫-=+ ⎪++⎝⎭,即2121162m y x m -=-,∴直线DE 过定点10,2⎛⎫- ⎪⎝⎭.9.已知点(1,2)M -在抛物线2:2(0)E y px p =>上.(1)求抛物线E 的方程;(2)直线12,l l 都过点12(2,0),,l l 的斜率之积为1-,且12,l l 分别与抛物线E 相交于点A ,C 和点B ,D ,设M 是AC 的中点,N 是BD 的中点,求证:直线MN 恒过定点.【答案】(1)24y x =(2)证明见解析【解析】【分析】(1)将点坐标代入求解抛物线方程;(2)设出直线方程,表达出,M N 的坐标,求出直线MN 的斜率,利用直线斜率之积为-1,求出直线MN 恒过的定点,从而证明出结论.(1)∵点(1,2)M -在抛物线2:2E y px =上,∴2(2)2p -=,∴解得:2p =,∴抛物线E 的方程为:24y x =.(2)由12,l l 分别与E 相交于点A ,C 和点B ,D ,且由条件知:两直线的斜率存在且不为零.∴设1122:2,:2l x m y l x m y =+=+由214,2y x x m y ⎧=⎨=+⎩得:21480y m y --=设()()1122,,,A x y C x y ,则1214y y m +=,∴12M y m =,又2122M x m =+,即()21122,2M m m +同理可得:()22222,2N m m +∴()()212212212212222MN m m k m m m m -==++-+,∴()211121:222MN y m x m m m -=--+即MN :()1212121y x m m m m =--⎡⎤⎣⎦+,∵12,l l 的斜率之积为1-,∴12111m m ⋅=-,即121m m =-,∴121:(4)MN y x m m =-+,即直线MN 过定点(4,0).10.已知抛物线()20x ay a =>,过点0,2a M ⎛⎫ ⎪⎝⎭作两条互相垂直的直线12,l l ,设12,l l 分别与抛物线相交于,A B 及,C D 两点,当A 点的横坐标为2时,抛物线在点A 处的切线斜率为1.(1)求抛物线的方程;(2)设线段,AB CD 的中点分别为,E F ,O 为坐标原点,求证直线EF 过定点.【答案】(1)24x y =;(2)证明见解析.【解析】【分析】(1)结合导数知识,利用切线斜率构造方程可得a ,由此可得抛物线方程;(2)将直线AB 方程代入抛物线方程中,结合韦达定理可确定中点坐标,同理可得CD中点坐标,利用直线方程两点式可得直线EF 方程,化简可知其过定点()0,4.(1)由2x ay =得:21y ax =,则2y x a '=,241x y a=∴==',解得:4a =,∴抛物线方程为:24x y =;(2)由题意知:直线12,l l 的斜率都存在且都不为零,由(1)知:()0,2M ,设直线:2AB y kx =+,代入24x y =得:2480x kx --=,设()11,A x y ,()22,B x y ,则124x x k +=,128x x =-,()21212444y y k x x k ∴+=++=+,AB ∴中点()22,22E k k +;12l l ⊥ ,1:2CD y x k ∴=-+,同理可得:CD 中点222,2F k k ⎛⎫-+ ⎪⎝⎭;EF ∴的方程为:()()222222222222k k y k x k k k ⎛⎫+-+ ⎪⎝⎭-+=-+,化简整理得:14y k x k ⎛⎫=-+ ⎪⎝⎭,则当0x =时,4y =,∴直线EF 恒过定点()0,4.【点睛】思路点睛:本题考查直线与抛物线综合应用中的直线过定点问题的求解,求解此类问题的基本思路如下:①假设直线方程,与抛物线方程联立,整理为关于x 或y 的一元二次方程的形式;②利用0∆>求得变量的取值范围,得到韦达定理的形式;③利用韦达定理表示出已知中的等量关系,代入韦达定理可整理得到变量间的关系,从而化简直线方程;④根据直线过定点的求解方法可求得结果.11.在直角坐标系xOy 中,曲线:C 221x y +=经过伸缩变换x xy '='=⎧⎪⎨⎪⎩后的曲线为1C ,以x 轴正半轴为级轴,建立极坐标系.曲线2C的极坐标方程为sin 4πρθ⎛⎫+= ⎪⎝⎭(1)写出1C 的普通方程和2C 的直角坐标方程;(2)若1C 上的一点P 到2C 的距离的最大,求距离的最大值及P 点的坐标.【答案】(1)1C :2213y x +=,2C :40x y +-=;(2)max d =,1322P ⎛⎫-- ⎪⎝⎭,.【解析】【分析】()1直接利用转换关系,把参数方程,直角坐标方程和极坐标方程之间进行转换;()2利用三角函数关系式的变换和点到直线的距离公式的应用求出结果.(1)解:由伸缩变换x xy '='=⎧⎪⎨⎪⎩得,代入曲线:C 221x y +=得:1C 的普通方程为2213y x +=,由极坐标方程sin 4πρθ⎛⎫+= ⎪⎝⎭sin y ρθ=,cos x ρθ=可得:2C 的直角坐标方程为40x y +-=.(2)解:直线2C 的普通方程为40x y +-=,设1C上的为点()cos P θθ,到2C 的距离为d =当且仅当()223k k Z πθπ=-+∈时,取得max d =,又因为1cos 23y 2x θθ⎧==-⎪⎪⎨⎪==-⎪⎩,即点P 的坐标为1322⎛⎫-- ⎪⎝⎭.12.已知椭圆C :2222+x y a b=1(a >b >0)经过点A (0,1),且右焦点为F (1,0).(1)求C 的标准方程;(2)过点(0,12)的直线l 与椭圆C 交于两个不同的点P .Q ,直线AP 与x 轴交于点M ,直线AQ 与x 轴交于点N .证明:以MN 为直径的圆过y 轴上的定点.【答案】(1)2212x y +=(2)证明见解析【解析】【分析】(1)由已知得,c b ,再求得a ,即得椭圆方程;(2)由题意直线l 斜率存在,可设直线1:2l y kx =+,设()()1122,,,P x y Q x y ,直线方程代入椭圆方程应用韦达定理得1212,x x x x +,由直线,AP AQ 方程求出,M N 坐标,求出以MN 为直径的圆的方程,然后代入1212,x x x x +求得圆方程的常数项,从而可得y 的定点坐标.(1)由题意可得1,1c b ==从而22a =.所以椭圆的标准方程为2212x y +=.(2)证明:由题意直线l 斜率存在,可设直线1:2l y kx =+,设()()1122,,,P x y Q x y ,将直线l 代入椭圆方程得()2242430k x kx ++-=,所以12122243,,4242k x x x x k k --+==++,直线AP 的方程为1111y y x x -=+,直线AQ 的方程为2211y y x x -=+.可得1212,0,,011x x M N y y ⎛⎫⎛⎫--⎪ ⎪--⎝⎭⎝⎭,以MN 为直径的圆方程为,21212011x x x x y y y ⎛⎫⎛⎫+++= ⎪⎪--⎝⎭⎝⎭,即()()221212121201111x x x x x y x y y y y ⎛⎫++++= ⎪----⎝⎭.①因为()()()1212122121212124111142122x x x x x x y y k x x k x x kx kx ==---++⎛⎫⎛⎫-- ⎪⎪⎝⎭⎝⎭22212612842k k k -==--+++.所以在①中令0x =,得26y =,即以MN 为直径的圆过y轴上的定点(0,,13.已知抛物线C :()220y px p =>,过点()2,0R 作x 轴的垂线交抛物线C 于G ,H 两点,且OG OH ⊥(O 为坐标原点).(1)求p ;(2)过()2,1Q 任意作一条不与x 轴垂直的直线交抛物线C 于A ,B 两点,直线AR 交抛物线C 于不同于点A 的另一点M ,直线BR 交抛物线C 于不同于点B 的另一点N .求证:直线MN 过定点.【答案】(1)1p =(2)证明见解析【解析】【分析】(1)由题意知2RG OR ==,不妨设()2,2G ,代入抛物线方程中可求出p 的值,(2)设211,2y A y ⎛⎫ ⎪⎝⎭,222,2y B y ⎛⎫ ⎪⎝⎭,233,2y M y ⎛⎫ ⎪⎝⎭,244,2y N y ⎛⎫⎪⎝⎭,则可表示出直线AB ,AM ,BN 的方程,再由直线AB 过()2,1Q 及直线AM ,BN 过()2,0R 可得()121240y y y y -++=,13244y y y y ==-,再表示出直线MN 的方程,结合前面的式子化简可得结论(1)由题意知,2RG OR ==.不妨设()2,2G ,代入抛物线C 的方程,得44p =解得1p =.(2)由(1)知,抛物线C 的方程为22y x =.设211,2y A y ⎛⎫ ⎪⎝⎭,222,2y B y ⎛⎫ ⎪⎝⎭,233,2y M y ⎛⎫ ⎪⎝⎭,244,2y N y ⎛⎫ ⎪⎝⎭,则直线AB 的斜率为12221212222AB y y k y y y y -==+-.所以直线AB 的方程为2111222y y x y y y ⎛⎫=-+ ⎪+⎝⎭,即()121220x y y y y y -++=.同理直线AM ,BN ,MN 的方程分别为()131320x y y y y y -++=,()242420x y y y y y -++=,()343420x y y y y y -++=,由直线AB 过()2,1Q 及直线AM ,BN 过()2,0R 可得()121240y y y y -++=,13244y y y y ==-.又直线MN 的方程为()343420x y y y y y -++=,即1212441620x y y y y y ⎛⎫+++= ⎪⎝⎭.所以直线MN 的方程为()1212280y y x y y y +++=.把()121240y y y y -++=代入()1212280y y x y y y +++=,得()12122480y y x y y y +++=,()122)880(y y x y y +++=,所以由20x y +=,880y +=可得2x =,1y =-.所以直线MN 过定点()2,1-.14.已知抛物线C :y 2=4x 的焦点为F ,过点F 的直线l 与抛物线C 交于P ,A 两点,且PF λFA = .(1)若λ=4,求直线l 的方程;(2)设点E (a ,0),直线PE 与抛物线C 的另一个交点为B ,且PE EB μ=.若λ=4μ,求a的值.【答案】(1)4340x y --=或4340x y +-=(2)4【解析】【分析】(1)由4PF FA =得014y y =-,设直线l :1x my =+,与抛物线C :24y x =联立,结合韦达定理,即得解;(2)由PF λFA = 得01y y λ=-,结合014y y =-,可得204y λ=,再由PE EB μ= 得02y y μ=-,设直线PB :x ny a =+,与抛物线C :24y x =联立由韦达定理可得024y y a =-,故204y aμ=,又4λμ=,代入运算即得解(1)易知焦点F (1,0),设P (0x ,0y ),A (1x ,1y )由4PF FA =得014y y =-设直线l :1x my =+,与抛物线C :24y x =联立得2440y my --=,其中216160m ∆=+>,所以014y y =-由①②可得0141y y =⎧⎨=-⎩或0141y y =-⎧⎨=⎩又014y y m +=,所以34m =或34m =-所以直线l 的方程为314x y =+或314x y =-+.化简得4340x y --=或4340x y +-=(2)由PF λFA =得01y y λ=-又014y y =-可得204y λ=设点B (2x ,2y ),由PE EB μ= 得02y y μ=-设直线PB :x ny a =+,与抛物线C :24y x =联立得2440y ny a --=.所以216()0n a ∆=+>,024y y a=-故204y aμ=又4λμ=,所以2200444y y a=⋅,考虑到点P 异于原点,所以00y ≠,解得4a =此时2216()16(4)0n a n ∆=+=+>所以a 的值为415.平面直角坐标系xOy 中,双曲线22:136x y C -=的右焦点为F ,T 为直线:1l x =上一点,过F 作TF 的垂线分别交C 的左、右支于P 、Q 两点,交l 于点A .(1)证明:直线OT 平分线段PQ ;(2)若3PA QF =,求2TF 的值.【答案】(1)证明见解析(2)12+【解析】【分析】(1)设直线PQ 的方程为3x ty =+,设点()11,P x y 、()22,Q x y ,将直线PQ 的方程与双曲线的方程联立,列出韦达定理,求出线段PQ 的中点N 的坐标,计算得出ON OT k k =,证明出O 、T 、N 三点共线,即可证得结论成立;(2)由3PA QF =得3PA QF = ,可得出1238x x -+=,变形可得出()()12212184384x x x x x x ⎧++=⎪⎨+-=⎪⎩,两式相乘结合韦达定理可求得2t 的值,再利用两点间的距离公式可求得2TF 的值.(1)解:依题意,3F x ==,即()3,0F ,设()1,2T t ,则直线PQ 的方程为3x ty =+,由22326x ty x y =+⎧⎨-=⎩得()222112120t y ty -++=,设()11,P x y 、()22,Q x y ,则()222210Δ14448210t t t ⎧-≠⎪⎨=-->⎪⎩,故212t ≠,由韦达定理可得1221221t y y t +=--,1221221y y t =-,所以()121226621x x t y y t +=++=--,又直线PQ 分别交C 的左、右支于P 、Q 两点,所以()()()22121212122963339021t x x ty ty t y y t y y t +=++=+++=-<-,故212t >所以PQ 中点为2236,2121t N t t ⎛⎫-- ⎪--⎝⎭,所以2ON OT k t k ==,故O 、T 、N 三点共线,即直线OT 平分线段PQ .(2)解:依题意,由3PA QF =得3PA QF =,则()12133x x -=-,即1238x x -+=,所以()12284x x x ++=,①,()121384x x x +-=,②①×②得()()21212123166416x x x x x x +++-=,所以()22222366963166416212121t t t t+⨯-⨯-=-⨯---,解得28374t +=,或28374t -=(舍去),此时,224412t TF =+=+【点睛】方法点睛:利用韦达定理法解决直线与圆锥曲线相交问题的基本步骤如下:(1)设直线方程,设交点坐标为()11,x y 、()22,x y ;(2)联立直线与圆锥曲线的方程,得到关于x (或y )的一元二次方程,必要时计算∆;(3)列出韦达定理;(4)将所求问题或题中的关系转化为12x x +、12x x (或12y y +、12y y )的形式;(5)代入韦达定理求解.16.已知抛物线2:4E y x =,F 为其焦点,O 为原点,A ,B 是E 上位于x 轴两侧的不同两点,且5OA OB ⋅=.(1)求证:直线AB 恒过一定点;(2)在x 轴上求一定点C ,使F 到直线AC 和BC 的距离相等;(3)在(2)的条件下,当F 为ABC 的内心时,求ABC 重心的横坐标.【答案】(1)证明见解析(2)见解析(3)173【解析】【分析】(1)设直线AB 的方程为x my n =+,211(,)4y A y ,222(,)4y B y ,联立24x my n y x =+⎧⎨=⎩,消x 得:2440y my n --=,124y y m +=,124y y n =-,结合向量的数量积,转化求解直线AB 的方程,推出结果.(2)在x 轴上求一定点C ,使F 到直线AC 和BC 的距离相等即CF 平分ACB ∠,即直线AC 与直线BC 关于x 轴对称,根据斜率和为零,从而可得结果;(3)设11(,)A x y ,22(,)B x y ,直线AB 与x 轴交于N ,由题意可得32AC CF AN NF ==,坐标化,结合点在抛物线上可得点的坐标,从而得到结果.(1)设直线AB 的方程为x my n =+,211(,)4y A y ,222(,)4y B y ,联立24x my n y x=+⎧⎨=⎩,消x 得:2440y my n --=,则124y y m +=,124y y n =-,由5OA OB ⋅= 得:21212()516y y y y +=,所以:1220y y =-或124y y =(舍去),即4205n n -=-⇒=,所以直线AB 的方程为5x my =+,所以直线AB 过定点(5,0)P .(2)由(1)知,直线AB 过定点(5,0)P 可设直线AB 的方程为5x my =+,此时124y y m +=,1220y y =-,设x 轴上定点C 坐标为(,0)t ,要使F 到直线AC 和BC 的距离相等,则CF 平分ACB ∠,即直线AC 与直线BC 关于x 轴对称,故0AC BC k k +=,即21210y yx t x t+=--,∴()()21120y x t y x t -+-=,∴()()1212250my y t y y +-+=,∴()40450m m t -+-=对任意m 恒成立,∴510t -=,5t =-,故在x 轴上有一定点C (5,0)-,使F 到直线AC 和BC 的距离相等;(3)设11(,)A x y ,22(,)B x y ,直线AB 与x 轴交于N ,∵F 为ABC 的内心,∴32AC CF AN NF ==,32=,即2211126250x y x +-+=,又2114y x =,∴21122250x x -+=,同理22222250x x -+=,∴12,x x 是方程222250x x -+=的两个根,∴1222x x +=,∴三角形重心的横坐标为1251733x x +-=.17.已知椭圆C 的两个顶点分别为()2,0A -,()2,0B ,焦点在x (1)求椭圆C 的方程;(2)若直线()()10y k x k =-≠与x 轴交于点P ,与椭圆C 交于M ,N 两点,线段MN 的垂直平分线与x 轴交于Q ,求MN PQ的取值范围.【答案】(1)2214x y +=;(2)(4,【解析】【分析】(1)由顶点和离心率直接求,,a b c 即可;(2)先联立直线和椭圆方程,借助弦长公式表示出弦长MN ,再求出垂直平分线和Q 坐标,表示出PQ ,最后分离常数求取值范围即可.(1)由题意知2222,a c a a b c =⎧⎪⎪=⎨⎪=+⎪⎩可得1,2a b ==,故椭圆C 的方程为2214x y +=.(2)由()22114y k x x y ⎧=-⎪⎨+=⎪⎩,可得()2222418440k x k x k +-+-=,设()()1122,,,M x y N x y ,则22121222844,4141k k x x x x k k -+=⋅=++,()121222241k y y k x x k -+=+-=+,线段MN 的中点为2224,4141k k k k ⎛⎫- ⎪++⎝⎭,线段MN 的垂直平分线方程为22214()4141k k y x k k k --=--++,令0y =,得22341kx k =+,所以223,041k Q k ⎛⎫ ⎪+⎝⎭,又(1,0)P ,则22223114141k k PQ k k +=-=++,又12MN x x =-=所以2241141MN k k PQk +==++220,1331k k ≠∴<-<+ ,故MN PQ的取值范围为(4,.【点睛】(1)关键在于建立,,a b c 的关系式求解;(2)关键在于联立直线和椭圆方程,依次求出垂直平分线和弦长MN 、PQ ,转化成关于k 的代数式求范围即可.18.定义平面曲线的法线如下:经过平面曲线C 上一点M ,且与曲线C 在点M 处的切线垂直的直线称为曲线C 在点M 处的法线.设点()()000,0M x y y >为抛物线2:2(0)C y px p =>上一点.(1)求抛物线C 在点M 处的切线的方程(结果不含0x );(2)求抛物线C 在点M 处的法线被抛物线C 截得的弦长||AB 的最小值,并求此时点M 的坐标.【答案】(1)002y py x y =+(2);()p 【解析】【分析】(1)先化简求导确定切线斜率,再按照在点处的切线方程进行求解;(2)先联立法线和抛物线方程,借助弦长公式表示弦长,最后换元构造函数,求导确定最小值.(1)因为点()()000,0M x y y >在抛物线上方,所以由2:2(0)C y px p =>得y =py y'=,所以在点M 处的切线斜率0y y pk y y ='==,所求切线方程为000()py y x x y -=-,又202y x p=,故切线方程为2000()2y p y y x y p -=-,即002y p y x y =+.(2)点M 处的法线方程为2000()2y y y y x p p-=--,即220022y p p x y y p +=-+.联立抛物线2:2(0)C y px p =>,可得()2232000220y y p y y p y +-+=,可知0∆>,设()()1122,,,A x y B x y ,()2221212002,2p y y y y y p y +=-⋅=-+,所以322212202()y p AB y y y +⋅-=.令200t y =>,则3222()(0)t p AB t t +=>,令3222()()(0)t p f t t t +=>,1312222222223()()()(2)2()2t p t t p t p t p f t t t +⋅-++⋅-'=⨯=,所以()f t 在()20,2p 单调递减,在()22,p +∞单调递增,所以()2min ()2f t f p ==,即min AB =,此时点M的坐标为()p .【点睛】(1)关键在于化简出0y >时的抛物线方程,借助求导确定切线斜率;(2)写出法线方程,联立抛物线求弦长是通用解法,关键在于换元构造函数之后,借助导数求出最小值.19.已知点()11,0F -,()21,0F ,M 为圆22:4O x y +=上的动点,延长1F M 至N ,使得1MN MF =,1F N 的垂直平分线与2F N 交于点P ,记P 的轨迹为Γ.(1)求Γ的方程;(2)过2F 的直线l 与Γ交于,A B 两点,纵坐标不为0的点E 在直线4x =上,线段OE 分别与线段AB ,Γ交于,C D 两点,且2OD OC OE =⋅,证明:AC BC =.【答案】(1)22143x y +=;(2)证明见解析.【解析】【分析】(1)由线段垂直平分线和三角形中位线性质可证得12124PF PF F F +=>,可知P 点轨迹为椭圆,由此可得轨迹方程;(2)由已知可知24D C x x =;当l 斜率不存在时显然不成立;当l 斜率存在时,设l 方程,将其与椭圆方程联立,结合韦达定理可得AB 中点横坐标;设():0OE y k x k ''=≠,与直线l 和椭圆方程联立可求得34k k'=-,由此可整理得到C x ,与AB 中点横坐标相同,由此可得结论.(1)连接1,MO PF,PM 是1NF 的垂直平分线,1PF PN ∴=,1222PF PF PN PF NF ∴+=+=;,M O 分别为112,NF F F 中点,224NF MO ∴==,12124PF PF F F ∴+=>,P ∴点轨迹是以12,F F 为焦点,长轴长为4的椭圆,即2a =,1c =,23b ∴=,P ∴点轨迹Γ的方程为:22143x y +=;(2)2OD OC OE =⋅ ,即OD OE OC OD =,D EC Dx x x x ∴=,由题意知:0C x >,4E x =,24D C x x ∴=,①当直线l 斜率不存在时,即:1l x =,此时1C x =,2D x <,此时24D C x x =不成立;②当直线l 斜率存在时,设():1l y k x =-,()11,A x y ,()22,B x y ,由()221431x y y k x ⎧+=⎪⎨⎪=-⎩得:()22223484120k x k x k +-+-=,2122212283441234k x x k k x x k ⎧+=⎪⎪+∴⎨-⎪=⎪+⎩,AB ∴中点的横坐标为21224234x x k k +=+;设直线OE 的方程为:()0y k x k ''=≠,由()1y k x y k x ='=⎧⎨-⎩得:kx k k ='-,即C k x k k ='-;由22143y k xx y =⎧='⎪⎨+⎪⎩得:221234x k ='+,即221234D x k ='+;由24D C x x =得:212434k k k k =''+-,整理可得:34k k '=-,2122434324C x x kk x k k k+∴===++,C ∴为线段AB 的中点,AC BC ∴=.【点睛】关键点点睛:本题考查定义法求解轨迹方程、直线与椭圆综合应用问题;本题证明C 为AB 中点的关键是能够通过已知等式得到,C D 两点横坐标之间满足的等量关系,进而表示出AB 中点横坐标和C 点横坐标,证明二者相等即可.20.已知椭圆()2222:10x y E a b a b +=>>的左、右焦点分别为1F ,2F,离心率2e =,P为椭圆上一动点,12PF F △面积的最大值为2.(1)求椭圆E 的方程;(2)若C ,D 分别是椭圆E 长轴的左、右端点,动点M 满足MD CD ⊥,连结CM 交椭圆于点N ,O 为坐标原点.证明:OM ON ⋅为定值;(3)平面内到两定点距离之比是常数()1λλ≠的点的轨迹是圆.椭圆E 的短轴上端点为A ,点Q 在圆228x y +=上,求22QA QP PF +-的最小值.【答案】(1)22142x y +=;(2)见解析;4.【解析】【分析】(1)结合离心率和12PF F △面积的最大值列出关于,,a b c 的方程,解方程即可;(2)设直线CM 方程,写出点M 坐标,联立椭圆方程,求点N 坐标,通过向量数量积计算即可;(3)设点R 坐标,借助点Q 在圆228x y +=上,将2QA 转化成RA ,再借助椭圆定义将2PF 转化成14PF -,最后通过1,,R P F 三点共线求出最小值.(1)当P 为短轴端点时,12PF F △的面积最大,2bc =,222222,c a bc a b c ⎧=⎪⎪⎪=⎨⎪=+⎪⎪⎩解得2,a b c ===,故椭圆E 的方程为22142x y +=.(2)由(1)知,()2,0,(2,0)C D -,设直线():2CM y k x =+,11(,)N x y ,,(2,4)MD CD M k ⊥∴ ,联立221,42(2)x y y k x ⎧+=⎪⎨⎪=+⎩整理得()22222218840k x k x k +++-=,由21284221k x k --=+得2122421k x k -=+,1124(2)21ky k x k =+=+,222244(,)2121k k N k k -∴++,2222442442121k kOM ON k k k -⋅=⨯⨯++ ,故OM ON ⋅为定值4.(3)由题意(A ,设()(0,),,R m Q x y ,使2QA QR =,()()22222,4QR x y m QAx y +-==+,整理得222282833m m x y y --++=,又点Q 在圆228x y +=上,20,883m =∴⎨-⎪=⎪⎩解得m =,(0,R 由椭圆定义得124PF PF =-,2112(4)4QA QP PF QR QP PF QR QP PF +-=+--∴=++-,当1,,R P F三点共线时,(10,,(R F 22QA QP PF +-∴4.【点睛】(1)关键在于建立,,a b c 的方程;(2)关键在于设出直线方程,联立得出点N 坐标;(3)关键在于利用题目中给出的圆的定义将2QA 转化成RA ,再结合椭圆定义,将问题简化成共线问题.21.已知椭圆C :22221(0)x y a b a b+=>>的长轴长为4,点31,2⎛⎫ ⎪⎝⎭在椭圆C 上.(1)求椭圆C 的标准方程;(2)已知O 为坐标原点,P 为椭圆C 上的一个动点,过点E0)作OP 的平行线交椭圆C 于M ,N 两点,问:是否存在实数t (t >0),使得||,||,||EM t OP EN 构成等比数列?若存在,求出t 的值;若不存在,请说明理由.【答案】(1)22143x y +=(2)存在,12t =【解析】【分析】(1)由题意可得2a =,再将点31,2⎛⎫ ⎪⎝⎭代入椭圆方程中可求出2b ,从而可求得椭圆的方程,(2)①当OP 的斜率存在时,设直线OP 的方程为y kx =,将直线方程代入椭圆方程中可求出22,x y ,则可得2OP ,设直线MN的方程为()()1122(,,,y k x M x y N x y =,将直线方程代入椭圆方程消去y ,利用根与系数的关系,再利用两点间的距离公式表示出||,||EM EN ,再计算||||EM EN 与2OP 比较可求出t 的值,②当OP 的斜率不存在时,可得||OP =MN的方程为x ||||EM EN 的值,进而可求出t (1)由题意可得24a =,所以2a =.因为点(1,32)在椭圆C 上,所以221914a b +=,解得23b =.所以椭圆C 的标准方程为22143x y +=.(2)①当OP 的斜率存在时,设直线OP 的方程为y kx =.联立方程,得22143y kxx y =⎧⎪⎨+=⎪⎩解得221234x k =+,2221234k y k =+.解得()2222221211212||343434k k OP k k k+=+=+++,设直线MN的方程为()()1122(,,,y k x M x y N x y =-.联立方程,得(22143y k x x y ⎧=-⎪⎨⎪+=⎩化简,得()22223412120k x x k +=+-=.因为点E0)在椭圆内部,所0∆>,221213221212,3434k x x x x k k-+=⋅=++,所以1||EM x =-.同理可得2||EN x =所以()(())22121212||||113EM EN kx xk x x x x ⋅=+=+⋅++()()22222223112122413343434k k kk k k k +-=+⋅-+=+++,假设存在实数(0)t t >),使得||,||,||EM t OP EN 构成等比数列,则22||||||EM EN t OP ⋅=.所以()()22222311213434k k tk k ++=⋅++.解得214t=.四为1t >,所以12t =,②当OP 的斜率不存在时,||OP =MN 的方程为x =x =22143x y +=,得234y =.所以||||2EM EN ==,当||,||,||EM t OP EN 构成等比数列时,22||||||EM EN t OP ⋅=,即2334t =.因为0t >,所以12t =.综上所述,存在实数12t =,使得||,||,||EM t OP EN 构成等比数列.22.在平面直角坐标系xOy 中,曲线C 的参数方程为x y αααα⎧=-⎪⎨=+⎪⎩(α为参数),以坐标原点为极点,x 轴正半轴为极轴建立极坐标系.直线l 的极坐标方程为()cos sin 3m m ρθθ++=l 与曲线C 交于A ,B 两点.(1)求曲线C 的普通方程和直线l 的直角坐标方程;(2)过A ,B 分别作l 的垂线与x 轴交于C ,D 两点,若AB =CD .【答案】(1)2212x y +=,30mx y m ++=;(2)4.【解析】【分析】(1)消参法求曲线C 的普通方程,公式法求直线l 的直角坐标方程.(2)由(1)所得普通方程,结合圆中弦长、半径、弦心距的几何关系求圆心到直线l 的距离,再利用点线距离公式列方程求参数m ,即可得直线的倾斜角大小,由AB 、CD 的关系求CD 即可.(1)由题意,消去参数α,得曲线C 的普通方程为2212x y +=.将cos x ρθ=,sin y ρθ=代入()cos sin 3m m ρθθ++得直线l的直角坐标方程为30mx y m ++=.(2)设圆心到直线l:30mx y m ++=的距离为d,则AB =3d =.3=,解得3m =-.所以直线l的方程为60x +=,则直线l 的倾斜角为30θ=︒.所以4cos30AB CD ==︒.23.在平面直角坐标系xOy中,已知直线340x y ++=与圆1C :222x y r +=相切,另外,椭圆2C :()222210x y a b a b +=>>的离心率为32,过左焦点1F 作x 轴的垂线交椭圆于C ,D 两点.且1CD =.(1)求圆1C 的方程与椭圆2C 的方程;(2)经过圆1C 上一点P 作椭圆2C 的两条切线,切点分别记为A ,B ,直线PA ,PB 分别与圆1C 相交于M ,N 两点(异于点P ),求△OAB 的面积的取值范围.【答案】(1)225x y +=,2214x y +=;(2)4,15⎡⎤⎢⎥⎣⎦.【解析】【分析】(1)由直线与圆的相切关系及点线距离公式求参数r ,即可得圆1C 的方程,根据椭圆离心率、22b CD a=及椭圆参数关系求出a 、b 、c ,即可得椭圆2C 的方程.(2)设()11,A x y 、()22,B x y 、()00,P x y ,讨论直线PA ,PB 斜率存在性,则直线PA 为()111y k x x y =-+、直线PB 为()222y k x x y =-+,联立椭圆方程并结合所得一元二次方程0∆=求1k 、2k ,进而得直线PA 为1114x x y y +=、直线PB 为2214x xy y +=,结合P 在直线PA ,PB 上有AB 为0014x xy y +=,联立椭圆方程,应用韦达定理、弦长公式、点线距离公式,结合三角形面积公式得0OAB S = .(1)由题设,圆1C :222x y r +=的圆心为()0,0,因为直线340x y ++=与圆1C相切,则r ==所以圆1C 的方程为225x y +=,因为椭圆2Cc e a ==c =,由221b CD a==,则22a b =,又222a b c =+,所以22324a a a =+,解得2a =,1b =,所以椭圆2C 的方程为2214x y +=.综上,圆1C 为225x y +=,椭圆2C 为2214x y +=.(2)设点()11,A x y ,()22,B x y ,()00,P x y .当直线PA ,PB 斜率存在时,设直线PA ,PB 的斜率分别为1k ,2k ,则直线PA 为()111y k x x y =-+,直线PB 为()222y k x x y =-+.由()11122440y k x x y x y ⎧=-+⎨+-=⎩,消去y 得:()()()22211111111148440k x k y k x x y k x ++-+--=.所以()()()2222111111116441444k y k x k y k x ⎡⎤∆=--+--⎣⎦.令0∆=,整理得()2221111114210x k x y k y -++-=,则11111122111444x y x y x k x y y --=-==-,所以直线PA 为()11114x y x x y y -=-+,化简得:22111144x x y y y x +=+,即1114x x y y +=.经验证,当直线PA 斜率不存在时,直线PA 为2x =或2x =-也满足1114x xy y +=.同理,可得直线PB 为2214x xy y +=.因为()00,P x y 在直线PA ,PB 上,所以101014x x y y +=,202014x xy y +=.综上,直线AB 为0014x xy y +=.由00221444x xy y x y ⎧+=⎪⎨⎪+=⎩,消去y 得:()22200035816160y x x x y +-+-=.所以01220835x x x y +=+,21220161635y x x y -=+.所以12AB x =-=)20203135y y +==+.又O 到直线AB的距离d ==所以)20200311235OABy S y +=⋅+ t =,[]1,4t ∈,则24444OAB t S t t t∆==++,又[]44,5t t+∈,所以△OAB 的面积的取值范围为4,15⎡⎤⎢⎥⎣⎦.【点睛】关键点点睛:第二问,设点及直线PA ,PB 的方程,联立椭圆结合相切关系求参数关系,进而确定PA ,PB 的方程,由P 在直线PA ,PB 上求直线AB 的方程,再联立椭圆并应用韦达定理、弦长公式、点线距离公式求三角形面积的范围.24.已知点A ,B 是抛物线x 2=2py (p 为常数且p >0)上不同于坐标原点O 的两个点,且0OA OB ⋅= .(1)求证:直线AB 过定点;(2)过点A 、B 分别作抛物线的切线,两切线相交于点M ,记 OMA 、 OAB 、 OMB 的面积分别为S 1、S 2、S 3;是否存在定值λ使得22s =λS 1S 3?若存在,求出λ值;若不存在,请说明理由.【答案】(1)证明见解析(2)存在,4λ=【解析】【分析】(1)设11(,)A x y ,22(,)B x y ,设直线AB 方程为y kx t =+,代入抛物线方程中,消去y ,。
一 高考考点:1.抛物线及其标准方程;2.抛物线的简单几何性质;二 强化训练1.已知点1(,0)4F -,直线l :41=x ,点B 是直线l 上的动点,若过B 垂直于y 轴的直线与线段BF 的垂直平分线交于点M ,则点M 的轨迹是 ( )()A 圆 ()B 椭圆 ()C 双曲线 ()D 抛物线2.设抛物线22y x =的焦点为F ,以9(,0)2P 为圆心,PF 长为半径作一圆,与抛物线在x 轴上方交于,M N ,则||||MF NF +的值为 ( ) ()A 8 ()B 18 ()C 22 ()D 43.方程22sin cos 1x y αα+=表示的曲线不可能是 ( )()A 直线 ()B 抛物线 ()C 圆 ()D 双曲线4.以抛物线22(0)y px p =>的焦半径||PF 为直径的圆与y 轴位置关系是 ( )()A 相交 ()B 相切 ()C 相离 ()D 以上三种均有可能4、5.设O 为坐标原点,F 为抛物线y 2=4x 的焦点,A 是抛物线上一点,若OA F A •=-4 则点A 的坐标是( ) A .(2,±22) B. (1,±2) C.(1,2)D.(2,22)6.(2005上海)过抛物线x y 42=的焦点作一条直线与抛物线相交于A 、B 两点,它们的横坐标之和等于5,则这样的直线( )A .有且仅有一条B .有且仅有两条C .有无穷多条D .不存在7. 抛物线24x y =上一点A 的纵坐标为4,则点A 与抛物线焦点的距离为( )(A) 2 (B) 3 (C) 4 (D) 58 .(2005江苏卷)抛物线y=42x 上的一点M 到焦点的距离为1,则点M 的纵坐标是( B) ( A ) 1617 ( B ) 1615 ( C ) 87 ( D ) 0 9.(浙江)函数y =ax 2+1的图象与直线y =x 相切,则a =( )(A) 18 (B)41 (C) 21 (D)1 10.抛物线2y x =-上的点到直线4380x y +-=距离的最小值是A .43B .75C .85D .3 二、填空题 11.抛物线28y x =的焦点为F ,(4,2)A -为一定点,在抛物线上找一点M ,当||||MA MF +为最小时,则M 点的坐标 。
7.1直线的方程时间:20分钟 分数:60分一、选择题(每小题5分,共30分)1.过点M (-3,2),N (-2,3)的直线的斜率是( )A .1B .2C .-1 D.322.经过两点A (4,2y +1),B (2,-3)的直线的倾斜角为3π4,则y =( )A .-1B .-3C .0D .23.直线3x +2y +6=0的斜率为k ,在y 轴上的截距为b ,则有( )A .k =32,b =3 B .k =-32,b =3 C .k =32,b =-3 D .k =-32,b =-34.若过点(1,2)的直线l 与直线x +4y -8=0垂直,则直线l 的方程为( )A .x +4y +3=0B .x +4y -9=0C .4x -y +3=0D .4x -y -2=05.已知点A (-2,-5),B (6,6),点P 在y 轴上,且∠APB =90°,则点P 的坐标为() A .(0,-6) B .(0,7) C .(0,-6)或(0,7) D .(-6,0)或(7,0)6.已知过A (-1,a ),B (a,8)两点的直线与直线2x -y +1=0平行,则a 的值为( )A .-10B .2C .5D .17二、填空题(每小题5分,共15分)7.过点A (4,2)且在两坐标轴上截距相等的直线l 的方程为________.8.直线3y +3x +2=0的倾斜角是________.9.直线3x -4y +k =0在两坐标轴上的截距之和为2,则实数k =________.三、解答题(共15分)10.直线过点(-3,4),且在两坐标轴上的截距之和为12,求直线的方程.7.2两直线的位置关系时间:20分钟 分数:60分一、选择题(每小题5分,共30分)1.如果直线ax +2y +2=0与直线3x -y -2=0平行,那么系数a 等于( )A .-3B .-6C .-32 D.232.点(0,5)到直线y =2x -5的距离是( )A.52 B .2 5 C.32 D.523.直线l 过点(-1,2)且与直线2x -3y +4=0垂直,则l 的方程是( )A .3x +2y -1=0B .2x -3y +5=0C .3x +2y +7=0D .2x -3y +8=04.与直线3x -4y +5=0,关于x 轴对称的直线方程为( )A .3x +4y +5=0B .3x +4y -5=0C .-3x +4y -5=0D .-3x +4y +5=05.直线y =2x +10,y =x +1,y =ax -2交于一点,则a 的值为( ) A.13 B.43 C.23 D.536.方程(1+4k )x -(2-3k )y +2-14k =0所确定的直线必经过点( )A .(2,2)B .(-2,2)C .(-6,2)D .(3,-6)二、填空题(每小题5分,共15分)7.已知两条直线l 1:ax +3y -3=0,l 2:4x +6y -1=0.若l 1∥l 2,则a =________.8.已知直线l 1:ax +3y -1=0与直线l 2:2x +(a -1)y +1=0垂直,则实数a =________.9.点A (4,5)关于直线l 的对称点为B (-2,7),则直线l 的方程为________.三、解答题(共15分)10.已知两直线l 1:ax -by +4=0,l 2:(a -1)x +y +b =0,求分别满足下列条件的a ,b 的值.(1)直线l 1过点(-3,-1),并且直线l 1与直线l 2垂直;(2)直线l 1与直线l 2平行,并且坐标原点到l 1,l 2的距离相等.7.3圆的方程时间:20分钟 分数:60分一、选择题(每小题5分,共30分)1.若点(2a ,a +1)在圆x 2+(y -1)2=5的内部,则a 的取值范围是( )A .-1<a <1B .0<a <1C .-1<a <15D .-15<a <1 2.已知点A (1,-1),B (-1,1),则以线段AB 为直径的圆的方程是( )A .x 2+y 2=2B .x 2+y 2=2C .x 2+y 2=1D .x 2+y 2=43.已知方程x 2+y 2-2x +2k +3=0表示圆,则k 的取值范围是( )A .(-∞,-1)B .(3,+∞)C .(-∞,-1)∪(3,+∞) D.⎝⎛⎭⎫-32,+∞ 4.圆心在y 轴上,半径为1,且过点(1,2)的圆的方程为( )A .x 2+(y -2)2=1B .x 2+(y +2)2=1C .(x -1)2+(y -3)2=1D .x 2+(y -3)2=15.点P (4,-2)与圆x 2+y 2=4上任一点连线的中点的轨迹方程是( )A .(x -2)2+(y +1)2=1B .(x -2)2+(y +1)2=4C .(x +4)2+(y -2)2=4D .(x +2)2+(y -1)2=16.已知点M 是直线3x +4y -2=0上的动点,点N 为圆(x +1)2+(y +1)2=1上的动点,则|MN |的最小值是( )A.95 B .1 C.45 D.135二、填空题(每小题5分,共15分)7.圆(x -1)2+y 2=1的圆心到直线y =33x 的距离是____________. 8.圆x 2+y 2=1关于直线x +y -1=0的对称圆的方程为____________________.9.经过圆x 2+2x +y 2=0的圆心C ,且与直线x +y =0垂直的直线的方程是____________.三、解答题(共15分)10.经过三点A (1,12),B (7,10),C (-9,2)的圆的标准方程.7.4直线与圆的位置关系时间:20分钟 分数:60分一、选择题(每小题5分,共30分)1.若直线2x -y +a =0与圆(x -1)2+y 2=1有公共点,则实数a 的取值范围( )A .-2-5<a <-2+5B .-2-5≤a ≤-2+ 5C .-5≤a ≤5D .-5<a < 52.直线x +y +m =0与圆x 2+y 2=m 相切,则m 的值为( )A .0或2B .2 C. 2 D .无解3.直线x +y =1与圆x 2+y 2-2ay =0(a >0)没有公共点,则a 的取值范围是( )A .(0,2-1)B .(2-1,2+1)C .(-2-1,2+1)D .(0,2+1)4.若圆C 的半径为1,圆心在第一象限,且与直线4x -3y =0和x 轴相切,则该圆的标准方程是( )A .(x -3)2+⎝⎛⎭⎫y -732=1B .(x -2)2+(y -1)2=1C .(x -1)2+(y -3)2=1 D.⎝⎛⎭⎫x -322+(y -1)2=1 5.若过点A (0,-1)的直线l 与曲线x 2+(y -3)2=12有公共点,则直线l 的斜率的取值范围为( )A.⎝⎛⎭⎫-33,33B.⎣⎡⎭⎫-33,3 C .(-∞,-3)∪(3,+∞) D.⎝⎛⎦⎤-∞,-33∪⎣⎡⎭⎫33,+∞ 6.两圆C 1:x 2+y 2-2x -3=0,C 2:x 2+y 2-4x +2y +3=0的位置关系是( )A .相离B .相切C .相交D .内含二、填空题(每小题5分,共15分)7.已知直线5x -12y +a =0与圆x 2-2x +y 2=0相切,则a 的值为____________.8.过点(-1,-2)的直线l 被圆x 2+y 2-2x -2y +1=0截得的弦长为2,则直线l 的斜率为________.9.已知圆(x -7)2+(y +4)2=16与圆(x +5)2+(y -6)2=16关于直线l 对称,则直线l 的方程是____________.三、解答题(共15分)10.已知:圆C :x 2+y 2-8y +12=0,直线l :ax +y +2a =0.(1)当a 为何值时,直线l 与圆C 相切;(2)当直线l 与圆C 相交于A ,B 两点,且AB =2 2时,求直线l 的方程.一、选择题(每小题5分,共30分)1.已知椭圆的长轴长是短轴长的2倍,则椭圆的离心率等于( )A.12B.22C. 2D.322.中心在原点,焦点在x 轴上,若长轴长为18,且两个焦点恰好将长轴三等分,则此椭圆的方程是( ) A.x 281+y 272=1 B.x 281+y 29=1 C.x 281+y 245=1 D.x 281+y 236=1 3.已知△ABC 的顶点B ,C 在椭圆x 29+y 2=1上,顶点A 是椭圆的一个焦点,且椭圆的另外一个焦点在BC 边上,则△ABC 的周长是( )A .2 3B .6C .4 3D .124.椭圆x 2+4y 2=1的离心率为( ) A.32 B.34 C.22 D.235.过椭圆x 2a 2+y 2b2=1(a >b >0)的左焦点F 1作x 轴的垂线交椭圆于点P ,F 2为右焦点,若∠F 1PF 2=60°,则椭圆的离心率为( ) A.22 B.33 C.12 D.136.若椭圆x 225+y 2m =1的离心率e =35,则m 的值为( ) A .16 B .16或62516 C.62516 D .3或253二、填空题(每小题5分,共15分)7.已知F 1,F 2为椭圆x 225+y 29=1的两个焦点,过F 1的直线交椭圆于A ,B 两点,若|F 2A |+|F 2B |=12,则|AB |=______.8.若椭圆x 225+y 216=1上一点P 到焦点F 1的距离为6,则点P 到另一个焦点F 2的距离是________. 9.以F 1(0,-1),F 2(0,1)为焦点的椭圆C 过点P ⎝⎛⎭⎫22,1,则椭圆C 的方程为________.三、解答题(共15分)10.过椭圆x 2+2y 2=4的左焦点F 作倾斜角为π3的弦AB ,求弦AB 的长.一、选择题(每小题5分,共30分)1.双曲线2x 2-y 2=8的实轴长是( )A .2B .2 2C .4D .4 22.若方程y 24-x 2m +1=1表示双曲线,则实数m 的取值范围是( ) A .-1<m <3 B .m >-1 C .m >3 D .m <-13.若双曲线x 2a 2-y 23=1(a >0)的离心率为2,则a 等于( ) A .2 B. 3 C.32D .1 4.已知中心在原点的双曲线C 的右焦点为F (3,0),离心率等于32,则C 的方程是( ) A.x 24-y 25=1 B.x 24-y 25=1 C.x 22-y 25=1 D.x 22-y 25=1 5.设P 是双曲线x 2a 2-y 29=1上一点,双曲线的一条渐近线方程为3x -2y =0,F 1,F 2分别是双曲线的左、右焦点,若|PF 1|=3,则|PF 2|=( )A .1或5B .6C .7D .9 6.设双曲线x 2a 2-y 29=1(a >0)的渐近线方程为3x ±2y =0,则a 的值为( ) A .4 B .3 C .2 D .1二、填空题(每小题5分,共15分)7.双曲线x 210-y 22=1的焦距为________. 8.若双曲线y 216-x 2m=1的离心率e =2,则m =________. 9.已知双曲线x 29-y 2a=1的右焦点的坐标为(13,0),则该双曲线的渐近线方程为________. 三、解答题(共15分)10.已知双曲线的渐近线方程为2x ±3y =0,且双曲线经过点P (6,2),求双曲线方程.一、选择题(每小题5分,共30分)1.抛物线y 2=-8x 的焦点坐标是( )A .(2,0)B .(-2,0)C .(4,0)D .(-4,0)2.若点P 到直线x =-1的距离比它到点(2,0)的距离小1,则点P 的轨迹为( )A .圆B .椭圆C .双曲线D .抛物线3.在平面直角坐标系xOy 中,若抛物线x 2=4y 上的点P 到该抛物线焦点的距离为5,则点P 的纵坐标为( )A .3B .4C .5D .64.若抛物线y 2=2px 的焦点与椭圆x 26+y 22=1的右焦点重合,则p 的值为( ) A .-2 B .2 C .-4 D .45.经过点P (4,-2)的抛物线标准方程为( )A .y 2=x 或x 2=-8yB .y 2=x 或y 2=8xC .y 2=-8xD .x 2=-8y6.已知抛物线y 2=2px (p >0)的准线与圆x 2+y 2-6x -7=0相切,则p 的值为( )A.12B .1C .2D .4 二、填空题(每小题5分,共15分)7.在平面直角坐标系xOy 中,已知抛物线关于x 轴对称,顶点在原点O ,且过点P (4,4),则该抛物线的方程是__________.8.若双曲线x 2m -y 23=1的右焦点与抛物线y 2=12x 的焦点重合,则m =________. 9.抛物线x =14y 2的准线方程为________. 三、解答题(共15分)10.抛物线的顶点是双曲线16x 2-9y 2=144的中心,而焦点是该双曲线的左顶点,求此抛物线的方程.7.8轨迹与方程时间:20分钟 分数:60分一、选择题(每小题5分,共30分)1.设椭圆x 2m 2+y 2n 2=1(m >0,n >0)的右焦点与抛物线y 2=8x 的焦点相同,离心率为12,则此椭圆的方程为( )A.x 216+y 212=1B.x 212+y 216C.x 248+y 264D.x 264+y 2482.已知双曲线中心在原点且一个焦点为F 1(-5,0),点P 位于该双曲线上,线段PF 1的中点坐标为(0,2),则双曲线的方程为( )A.x 24-y 2=1 B .x 2-y 24 C.x 22-y 23=1 D.x 23-y 22=1 3.一条线段AB 的长为2,两个端点A 和B 分别在x 轴和y 轴上滑动,则线段AB 的中点的轨迹是( )A .双曲线B .双曲线的一分支C .圆D .椭圆4.已知点P 是直线2x -y +3=0上的一个动点,定点M (-1,2),Q 是线段PM 延长线上的一点,且|PM |=|MQ |,则Q 点的轨迹方程是( )A .2x +y +1=0B .2x -y -5=0C .2x -y -1=0D .2x -y +5=05.已知两定点A (1,1),B (-1,-1),动点P 满足PA →·PB →=x 22,则点P 的轨迹是( ) A .圆 B .椭圆 C .双曲线 D .拋物线6.过点(2,-2)且与双曲线x 24-y 2=1有公共渐近线的双曲线方程是( ) A.y 212-x 23=1 B.y 23-x 212=1 C.x 212-y 23=1 D.x 23-y 212=1 二、填空题(每小题5分,共15分)7.已知椭圆C :x 2a 2+y 2b 2=1(a >b >0),F (2,0)为其右焦点,过F 垂直于x 轴的直线与椭圆相交所得的弦长为2,则椭圆C 的方程为________.8.过抛物线x 2=4y 的焦点F 作直线l 交抛物线于A ,B 两点,则弦AB 的中点M 的轨迹方程是______________.9.已知双曲线x 2a 2-y 2b 2=1(a >0,b >0)的离心率为2,一个焦点与抛物线y 2=16x 的焦点相同,则双曲线的焦点坐标为________________;渐近线方程为____________.三、解答题(共15分)10.已知一动圆P (圆心为P )经过定点Q (2,0),并且与定圆C :(x +2)2+y 2=16(圆心为C )相切.求动圆圆心P 的轨迹方程.7.9直线与圆锥曲线的位置关系时间:20分钟 分数:60分一、选择题(每小题5分,共30分)1.过点(2,4)作直线与抛物线y 2=8x 只有一个公共点,这样的直线有( )A .1条B .2条C .3条D .4条2.AB 为抛物线y 2=4x 的焦点弦,若|AB |=4,则AB 中点的横坐标为( )A .1B .2C .3D .43.已知双曲线C :x 2-y 24=1,过点P (1,1)作直线l ,使l 与C 有且只有一个公共点,则满足上述条件的直线l 共有( )A .1条B .2条C .3条D .4条4.直线y =kx +1与椭圆x 29+y 24=1的位置关系为( ) A .相交 B .相切 C .相离 D .不确定5.抛物线y 2=2px 与直线2x +y +a =0交于A ,B 两点,其中点A 的坐标为(1,2),设抛物线的焦点为F ,则|FA |+|FB |的值等于( )A .7B .35C .6D .56.抛物线y =-x 2上的点到直线4x +3y -8=0的距离的最小值是( )A.43B.75C.85D .3 二、填空题(每小题5分,共15分)7.若直线l 过点(0,1),则它与椭圆x 24+y 22=1的位置关系是________. 8.过椭圆x 2a 2+y 2b 2=1(a >b >0)的左顶点A 且斜率为1的直线与椭圆的另一个交点为M ,与y 轴的交点为B ,若|AM |=|MB |,则该椭圆的离心率为________.9.已知双曲线方程是x 2-y 22=1,过定点P (2,1)作直线交双曲线于P 1,P 2两点,并使P (2,1)为P 1P 2的中点,则此直线方程是________.二、解答题(共15分)10.求直线y =x -12截椭圆x 2+4y 2=4所得的线段的长.参考答案:7.11.A 解析:由斜率公式得k =3-2-2+3=1. 2.B 解析:由2y +1--34-2=2y +42=y +2,得y +2=tan 3π4=-1.∴y =-3. 3.D 4.D5.C 解析:由题意可设点P 的坐标为(0,y ).因为∠APB =90°,所以AP ⊥BP ,且直线AP 与直线BP 的斜率都存在.又k AP =y +52,k BP =y -6-6,k AP ·k BP =-1,即y +52·⎝⎛⎭⎫-y -66=-1,解得y =-6或y =7.所以点P 的坐标为(0,-6)或(0,7).6.B7.y =12x 或x +y -6=0 解析:(1)当直线过原点时,它在x 轴、y 轴上截距都是0,满足题意,此时直线斜率为12,所以直线方程为y =12x . (2)当直线不过原点时,由题意可设直线方程为x a +y a=1,又过A (4,2),∴a =6. ∴方程为x +y -6=0,综上,直线方程为y =12x 或x +y -6=0. 8.150° 9.-24 解析:令x =0,得y =k 4;令y =0,得x =-k 3.则有k 4-k 3=2,所以k =-24. 10.解:由题设知截距不为0,设直线方程为x a +y 12-a =1,则-3a +412-a=1. 解得a =-4或a =9.故所求直线方程为4x -y +16=0或x +3y -9=0.7.21.B 2.B3.A 解析:由直线l 与直线2x -3y +4=0垂直,可知直线l 的斜率是-32,由点斜式可得直线l 的方程为y -2=-32(x +1),即3x +2y -1=0. 4.A 解析:与直线3x -4y +5=0关于x 轴对称的直线方程是3x -4(-y )+5=0,即3x +4y +5=0.5.C 6.A 7.28.35 解析:由两直线垂直的条件得2a +3(a -1)=0,解得a =35. 9.3x -y +3=0 解析:由题意知,设直线l 的斜率为k ,则k ·k AB =-1,且直线l 过AB 中点,又k AB =7-5-2-4=-13,则k =3,AB 中点为(1,6),所以直线l 的方程为y -6=3(x -1),即3x -y +3=0. 10.解:(1)∵l 1⊥l 2,∴a (a -1)+(-b )·1=0.即a 2-a -b =0. ①又点(-3,-1)在l 1上,∴-3a +b +4=0. ② 由①②解得a =2,b =2.(2)∵l 1∥l 2且l 2的斜率为1-a .∴l 1的斜率也为1-a , 即a b =1-a ,b =a 1-a .故l 1和l 2的方程可分别表示为 l 1:(a -1)x +y +4(a -1)a =0,l 2:(a -1)x +y +a 1-a =0.∵原点到l 1和l 2的距离相等,∴4⎪⎪⎪⎪a -1a =⎪⎪⎪⎪a 1-a .解得a =2或a =23.∴⎩⎪⎨⎪⎧a =2,b =-2,或⎩⎪⎨⎪⎧a =23,b =2.7.31.A2.A 解析:AB 的中点坐标为:(0,0),|AB |=[1-(-1)]2+(-1-1)2=2 2,∴圆的方程为:x 2+y 2=2.3.A 解析:方程可化为:(x -1)2+y 2=-2k -2,只有-2k -2>0,即k <-1时才能表示圆. 4.A 解析:设圆心坐标为(0,b ),则由题意知(0-1)2+(b -2)2=1,解得b =2,故圆的方程为x 2+(y -2)2=1.5.A 解析:设圆上任一点为Q (x 0,y 0),PQ 的中点为M (x ,y ),则⎩⎨⎧x =4+x2,y =-2+y2.解得⎩⎪⎨⎪⎧x 0=2x -4,y 0=2y +2.因为点Q 在圆x 2+y 2=4上,所以x 20+y 20=4,即(2x -4)2+(2y +2)2=4,即(x -2)2+(y +1)2=1.6.C 解析:圆心(-1,-1)到点M 的距离的最小值为点(-1,-1)到直线的距离d =|-3-4-2|5=95,故点N 到点M 的距离的最小值为d -1=45.7.128.(x -1)2+(y -1)2=1 9.x -y +1=0 解析:易知点C 的坐标为(-1,0),而所求直线与x +y =0垂直,所以所求直线的斜率为1,故所求直线的方程为y =x +1,即x -y +1=0.10.解法一:设圆的一般方程为:x 2+y 2+Dx +Ey +F =0,则⎩⎪⎨⎪⎧1+144+D +12E +F =0,49+100+7D +10E +F =0,81+4-9D +2E +F =0,解得D =-2,E =-4,F =-95.∴所求圆的方程为x 2+y 2-2x -4y -95=0, 即圆的标准方程为:(x -1)2+(y -2)2=100.解法二:由A (1,12),B (7,10),得A ,B 的中点坐标为(4,11),k AB =-13,则AB 的中垂线方程为:3x -y-1=0.同理得AC 的中垂线方程为x +y -3=0.联立⎩⎪⎨⎪⎧ 3x -y -1=0,x +y -3=0,得⎩⎪⎨⎪⎧x =1,y =2.即圆心坐标为(1,2),半径r =(1-1)2+(2-12)2=10. ∴所求圆的标准方程为:(x -1)2+(y -2)2=100. 7.41.B 解析:若直线与圆有公共点,即直线与圆相交或相切,故有|a +2|5≤1,解得 -2-5≤a ≤-2+ 5.2.B 解析:由于直线与圆相切,故m =|m |12+12,解得m =0(舍去)或m =2. 3.A 4.B 5.D6.C 解析:方法一:(几何法)把两圆的方程分别配方,化为标准方程是(x -1)2+y 2=4,(x -2)2+(y +1)2=2,所以两圆圆心为C 1(1,0),C 2(2,-1),半径为r 1=2,r 2=2,则连心线的长|C 1C 2|=(1-2)2+(0+1)2=2,r 1+r 2=2+2,r 1-r 2=2-2,故r 1-r 2<|C 1C 2|<r 1+r 2,两圆相交.方法二:(代数法)联立方程⎩⎪⎨⎪⎧ x 2+y 2-2x -3=0,x 2+y 2-4x +2y +3=0,解得⎩⎪⎨⎪⎧x 1=1,y 1=-2,⎩⎪⎨⎪⎧x 2=3,y 2=0,即方程组有2组解,也就是说两圆的交点个数为2,故可判断两圆相交.7.8或-188.1或177 解析:将圆的方程化成标准方程为(x -1)2+(y -1)2=1,其圆心为(1,1),半径r =1.由弦长为2得弦心距为22.设直线方程为y +2=k (x +1),即kx -y +k -2=0,∴|2k -3|k 2+1=22.化简得7k 2-24k +17=0.∴k =1或k =177.9.6x -5y -1=010.解:将圆C 的方程x 2+y 2-8y +12=0配方得标准方程为x 2+(y -4)2=4,则此圆的圆心为(0,4),半径为2.(1)若直线l 与圆C 相切,则有|4+2a |a 2+1=2.解得a =-34. (2)过圆心C 作CD ⊥AB ,则根据题意和圆的性质,得⎩⎨⎧|CD |=|4+2a |a 2+1,|CD |2+|DA |2=|AC |2=22,|DA |=12|AB |= 2.解得a =-7或a =-1.故所求直线方程为7x -y +14=0或x -y +2=0.7.51.B 解析:由题意,得2a =2 2b ⇒a =2b ,又a 2=b 2+c 2⇒b =c ⇒a =2c ⇒e =22. 2.A 解析:依题意知,2a =18,∴a =9,2c =13×2a .∴c =3.∴b 2=a 2-c 2=81-9=72.∴椭圆方程为x 281+y 272=1. 3.D4.A 解析:先将x 2+4y 2=1化为标准方程x 21+y 214=1,则a =1,b =12,c =a 2-b 2=32.离心率e =ca=32. 5.B 6.B 7.88.4 解析:由椭圆的定义可知,|PF 1|+|PF 2|=2a ,所以点P 到其另一个焦点F 2的距离为|PF 2|=2a-|PF 1|=10-6=4.9.x 2+y 22=1 解析:由题意,得c =1,2a =|PF 1|+|PF 2|=12+4+12+0=2 2.故a =2,b =1.则椭圆的标准方程为x 2+y 22=1.10.解:椭圆的方程可化为x 24+y 22=1,∴F (-2,0).又∵直线AB 的斜率为3,∴直线AB 的方程为y =3x + 6.由⎩⎨⎧y =3x +6,x 2+2y 2=4,得7x 2+12 2x +8=0. 设A (x 1,y 1),B (x 2,y 2),则x 1+x 2=-12 27,x 1·x 2=87,∴|AB |=(1+k 2)[(x 1+x 2)2-4x 1x 2]=167.7.61.C2.B 解析:依题意应有m +1>0,即m >-1.3.D 解析:∵b =3,∴c =a 2+3.∴ca =a 2+3a=2.∴a =1.4.B 解析:由题意知,c =3,e =c a =32.∴a =2.b 2=c 2-a 2=9-4=5.故所求双曲线方程为x 24-y 25=1.5.C6.C 解析:双曲线x 2a 2-y 29=1的渐近线方程为3x ±ay =0与已知方程比较系数得a =2.7.4 38.48 解析:由已知得e =ca =1+⎝⎛⎭⎫b a 2=1+m16=2.∴m =48. 9.2x ±3y =0 解析:∵焦点坐标是(13,0),∴9+a =13,即a =4.∴双曲线方程为x 29-y 24=1,∴渐近线方程为x 3±y2=0,即2x ±3y =0.10.解:由双曲线的渐近线方程y =±23x ,可设双曲线方程为x 29-y 24=λ(λ≠0).∵双曲线过点P (6,2),∴69-44=λ,λ=-13,故所求双曲线方程为34y 2-13x 2=1.7.71.B 2.D 3.B4.D 解析:因为椭圆x 26+y 22=1的右焦点为(2,0),所以抛物线y 2=2px 的焦点为(2,0),则p =4.5.A6.C 解析:抛物线y 2=2px (p >0)的准线为x =-p2,圆x 2+y 2-6x -7=0,即(x -3)2+y 2=16,则圆心为(3,0),半径为4;又因抛物线y 2=2px (p >0)的准线与圆x 2+y 2-6x -7=0相切,所以3+p2=4,解得p=2.7.y 2=4x 8.69.x =-1 解析:由x =14y 2变为标准方程为:y 2=4x .故其准线方程为:x =-1.10.解:双曲线方程化为x 29-y 216=1,∴双曲线中心为O ,左顶点为(-3,0),由题意抛物线方程为y 2=-2px (p >0),且-p2=-3.∴p =6,方程为y 2=-12x .7.81.A 2.B 3.C4.D 解析:由题意知,M 为PQ 中点,设Q (x ,y ),则P 为(-2-x,4-y ),代入2x - y +3=0,得2x -y +5=0.5.B 解析:设点P (x ,y ),则PA →=(1-x,1-y ),PB →=(-1-x ,-1-y ),所以PA →·PB →= (1-x )(-1-x )+(1-y )(-1-y )=x 2+y 2-2.由已知x 2+y 2-2=x 22,即x 24+y 22=1,所以点P 的轨迹为椭圆.6.B7.x 24+y22=1 解析:由题意,得⎩⎪⎨⎪⎧c =2,b 2a=1,a 2=b 2+c 2.解得⎩⎨⎧a =2,b = 2.∴椭圆C 的方程为x 24+y 22=1.8.x 2=2y -2 9.(-4,0),(4,0) y =±3x 10.x 24+y 22=17.91.B 2.A 3.D 4.A5.A 解析:点A (1,2)在抛物线y 2=2px 和直线2x +y +a =0上,则p =2,a =-4,F (1,0),则B (4,-4),故|FA |+|FB |=7.6.A 7.相交 8.63解析:由题意知A 点的坐标为(-a,0),l 的方程为y =x +a ,∴B 点的坐标为(0,a ).故M 点的坐标为⎝⎛⎭⎫-a 2,a 2,代入椭圆方程,得a 2=3b 2.∴c 2=2b 2.∴e =63. 9.4x -y -7=0 解析:设点P 1(x 1,y 1),P 2(x 2,y 2),则由x 21-y 212=1,x 22-y 222=1,得k =y 2-y 1x 2-x 1=2(x 2+x 1)y 2+y 1=2×42=4,从而所求方程为4x -y -7=0.将此直线方程与双曲线方程联立得14x 2-56x +51=0,Δ>0,故此直线满足条件.10.解:方法一:设直线与椭圆交于A (x 1,y 1),B (x 2,y 2)两点. 由⎩⎪⎨⎪⎧y =x -12,x 2+4y 2=4.消去y ,得5x 2-4x -3=0. ① 方程①的判别式Δ=(-4)2+4×5×3=76>0, 由韦达定理,x 1+x 2=45,x 1x 2=-35,∴(x 1-x 2)2=(x 1+x 2)2-4x 1x 2=7625. (y 1-y 2)2=⎣⎡⎦⎤⎝⎛⎭⎫x 1-12-⎝⎛⎭⎫x 2-122=()x 1-x 22=7625, ∴弦长|AB |=(x 1-x 2)2+(y 1-y 2)2=2 385.方法二:由方法一中得到(x 1-x 2)2=7625,∴|x 1-x 2|=765. 由弦长公式|AB |=1+k 2|x 1-x 2|=2·765=2385.。
【课时训练】第37节空间点、线、面的位置关系一、选择题1.(绵阳模拟)已知a,b,c为三条不重合的直线,已知下列结论:①若a⊥b,a ⊥c,则b∥c;②若a⊥b,a⊥c,则b⊥c;③若a∥b,b⊥c,则a⊥c。
其中正确的个数为()A.0 B.1C.2 D.3【答案】B【解析】在空间中,若a⊥b,a⊥c,则b,c可能平行,也可能相交,还可能异面,所以①②错;显然③成立.故选【答案】B。
2.(湖北武汉调研)下列四个命题中错误的是()A.若直线a,b互相平行,则直线a,b确定一个平面B.若四点不共面,则这四点中任意三点都不共线C.若两条直线没有公共点,则这两条直线是异面直线D.两条异面直线不可能垂直于同一个平面【答案】C【解析】过两条平行直线,有且只有一个平面,A正确;如果四点中存在三点共线,则四点共面,B正确;两条直线没有公共点,这两条直线可能平行,也可能异面,C错误;垂直于同一个平面的两条直线平行,这样的两条直线共面,D正确.3.(南昌模拟)已知a,b,c是相异直线,α,β,γ是相异平面,则下列命题中正确的是()A.a与b异面,b与c异面⇒a与c异面B.a与b相交,b与c相交⇒a与c相交C.α∥β,β∥γ⇒α∥γD.a⊂α,b⊂β,α与β相交⇒a与b相交【答案】C【解析】如图1,在正方体中,a,b,c是三条棱所在直线,满足a与b异面,b与c异面,但a∩c=A,故A错误;在图2的正方体中,满足a与b相交,b与c相交,但a与c不相交,故B错误;如图3,α∩β=c,a∥c,则a与b不相交,故D错误.4.(深圳模拟)已知在四棱锥P-ABCD中,ABCD是矩形,P A⊥平面ABCD,则在四棱锥P-ABCD的任意两个顶点的连线中,互相垂直的异面直线共有() A.3对B.4对C.5对D.6对【答案】C【解析】因为ABCD是矩形,P A⊥平面ABCD,所以P A⊥BC,P A⊥CD,AB⊥PD,BD⊥P A,AD⊥PB,共5对.5.(河南郑州一模)若平面α上存在不同的三点到平面β的距离相等且不为零,则平面α与平面β的位置关系为()A.平行B.相交C.平行或重合D.平行或相交【答案】D【解析】当两个平面平行时,平面α上存在无数多个点到平面β的距离相等且不为零,满足题意;当两个平面相交时,可以从交线的两侧去找三个点到平面β的距离相等且不为零.故选D。
高中数学第二章平面解析几何初步2.1.1 数轴上的基本公式同步练习(含解析)新人教B版必修2编辑整理:尊敬的读者朋友们:这里是精品文档编辑中心,本文档内容是由我和我的同事精心编辑整理后发布的,发布之前我们对文中内容进行仔细校对,但是难免会有疏漏的地方,但是任然希望(高中数学第二章平面解析几何初步2.1.1 数轴上的基本公式同步练习(含解析)新人教B版必修2)的内容能够给您的工作和学习带来便利。
同时也真诚的希望收到您的建议和反馈,这将是我们进步的源泉,前进的动力。
本文可编辑可修改,如果觉得对您有帮助请收藏以便随时查阅,最后祝您生活愉快业绩进步,以下为高中数学第二章平面解析几何初步2.1.1 数轴上的基本公式同步练习(含解析)新人教B 版必修2的全部内容。
数轴上的基本公式1.下列说法正确的是().A.零向量有确定的方向B.数轴上等长的向量叫做相等的向量C.向量AB的坐标AB=-BAD.|AB|=AB2.数轴上A、B、C的坐标分别为-7、2、3,则AB+CA的值为().A.1 B.19 C.-1 D.-193.数轴上两点A(2x)、B(2x+a),则A、B两点的位置关系为().A.A在B的左侧 B.A在B的右侧C.A与B重合 D.由a的值决定4.数轴上点P(x)、A(-8)、B(-4),若|PA|=2|PB|,则x=( ).A.0 B.163-C.163D.0或163-5.已知数轴上的向量AB、BC、DC的坐标分别为AB=2、BC=-5、DC=-4,则|AD|=____,AD=____。
6.若不等式|x-1|+|x+3|>a恒成立,则实数a的取值范围为______.7.甲、乙两人从A点出发背向行进,甲先出发,行进10 km后,乙再出发,甲的速度为每小时8 km,乙的速度为每小时6 km,当甲离开A的距离为乙离开A的距离的2倍时,甲、乙二人的距离是多少?8.已知数轴上有点A(-2)、B(1)、D(3),点C在直线AB上,且有12ACBC=,延长DC到E,使()1()4d C Ed D E=,,,求点E的坐标.9。
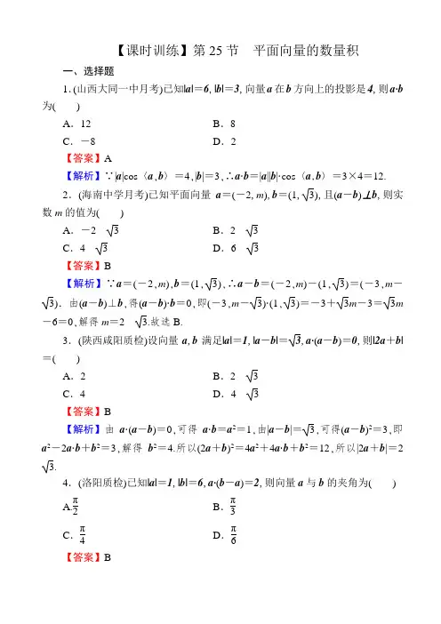
【课时训练】第25节 平面向量的数量积一、选择题1.(山西大同一中月考)已知|a|=6,|b|=3,向量a 在b 方向上的投影是4,则a·b 为( )A .12B .8C .-8D .2【答案】A【解析】∵|a |cos 〈a ,b 〉=4,|b |=3,∴a ·b =|a ||b |·cos 〈a ,b 〉=3×4=12. 2.(海南中学月考)已知平面向量a =(-2,m ),b =(1,3),且(a -b )⊥b ,则实数m 的值为( )A .-2 3B .2 3C .43D .63【答案】B【解析】∵a =(-2,m ),b =(1,3),∴a -b =(-2,m )-(1,3)=(-3,m -3).由(a -b )⊥b ,得(a -b )·b =0,即(-3,m -3)·(1,3)=-3+3m -3=3m -6=0,解得m =2 3.故选B.3.(陕西咸阳质检)设向量a ,b 满足|a|=1,|a -b|=3,a·(a -b )=0,则|2a +b|=( )A .2B .2 3C .4D .43【答案】B【解析】由a ·(a -b )=0,可得a ·b =a 2=1,由|a -b |=3,可得(a -b )2=3,即a 2-2a ·b +b 2=3,解得b 2=4.所以(2a +b )2=4a 2+4a ·b +b 2=12,所以|2a +b |=2 3.4.(洛阳质检)已知|a|=1,|b|=6,a·(b -a )=2,则向量a 与b 的夹角为( ) A.π2 B .π3 C .π4 D .π6【答案】B【解析】a ·(b -a )=a ·b -a 2=2,所以a ·b =3,所以cos 〈a ,b 〉=a ·b |a ||b |=31×6=12,所以向量a 与b 的夹角为π3.5.(河北邢台一中模拟)已知向量a =(3,1),b =(0,1),c =(k ,3).若a +2b 与c 垂直,则k =( )A .-3B .-2C .1D .-1【答案】A【解析】因为a +2b 与c 垂直,所以(a +2b )·c =0,即a ·c +2b ·c =0,所以3k +3+23=0,解得k =-3.6.(四川资阳模拟)在平面直角坐标系xOy 中,已知四边形ABCD 是平行四边形,AB →=(1,-2),AD →=(2,1),则AD →·AC →=( )A .5B .4C .3D .2【答案】A【解析】由四边形ABCD 是平行四边形,知AC →=AB →+AD →=(1,-2)+(2,1)=(3,-1),故AD →·AC →=(2,1)·(3,-1)=2×3+1×(-1)=5.7.(广东惠州三校联考)若平面向量a =(-1,2)与b 的夹角是180°,且|b|=3 5,则b 的坐标为( ) A .(3,-6) B .(-3,6) C .(6,-3) D .(-6,3)【答案】A【解析】由题意设b =λa =(-λ,2λ)(λ<0),而|b |=35,则(-λ)2+(2λ)2=3 5,所以λ=-3,b =(3,-6).故选A.8.(浙江余姚中学月考)已知△ABC 为等边三角形,AB =2,设点P ,Q 满足AP →=λAB →,AQ →=(1-λ)AC →,λ∈R .若BQ →·CP →=-32,则λ=( )A.12B .1±22 C.1±102 D .-3±222【答案】A【解析】∵BQ →=AQ →-AB →=(1-λ)AC →-AB →,CP →=AP →-AC →=λAB →-AC →,又BQ →·CP →=-32,|AB →|=|AC →|=2,A =60°,AB →·AC →=|AB →|·|AC →|cos 60°=2,∴[(1-λ)AC →-AB →]·(λAB →-AC →)=-32,即λ|AB →|2+(λ2-λ-1)AB →·AC →+(1-λ)|AC →|2=32,所以4λ+2(λ2-λ-1)+4(1-λ)=32,解得λ=12.二、填空题9.(河北保定联考)如图,平行四边形ABCD 中,AB =2,AD =1,A =60°,点M 在AB 边上,且AM =13AB ,则DM →·DB →=________.【答案】1【解析】因为DM →=DA →+AM →=DA →+13AB →,DB →=DA →+AB →,所以DM →·DB →=⎝ ⎛⎭⎪⎪⎫DA →+13AB →·(DA →+AB →)=|DA →|2+13|AB →|2+43DA →·AB →=1+43-43AD →·AB →=73-43|AD →|·|AB →|·cos 60°=73-43×1×2×12=1.10.(广东深圳一模)已知平面向量a =(2,4),b =(1,-2).若c =a -(a·b )·b ,则|c|=________.【答案】82【解析】由题意可得a ·b =2×1+4×(-2)=-6,∴c =a -(a ·b )·b =a +6b =(2,4)+6(1,-2)=(8,-8),∴|c |=82+(-8)2=8 2.11.(河南新乡模拟)已知向量a ,b 满足(2a -b )·(a +b )=6,且|a|=2,|b|=1,则a 与b 的夹角为________.【答案】2π3【解析】∵(2a -b )·(a +b )=6,∴2a 2+a ·b -b 2=6,又|a |=2,|b |=1,∴a ·b =-1,∴cos 〈a ,b 〉=a ·b |a ||b |=-12.又〈a ,b 〉∈[0,π],∴a 与b 的夹角为2π3.12.(四川南充模拟)已知a =(λ,2λ),b =(3λ,2),如果a 与b 的夹角为锐角,则λ的取值范围是________.【答案】⎝⎛⎭⎪⎫-∞,-43∪⎝⎛⎭⎪⎫0,13∪⎝⎛⎭⎪⎫13,+∞【解析】a 与b 的夹角为锐角,则a ·b >0且a 与b 不共线,则⎩⎪⎨⎪⎧3λ2+4λ>0,2λ-6λ2≠0,解得λ<-43或0<λ<13或λ>13,所以λ的取值范围是⎝ ⎛⎭⎪⎫-∞,-43∪⎝ ⎛⎭⎪⎫0,13∪⎝ ⎛⎭⎪⎫13,+∞. 三、解答题13.(江西高安中学调研)在平面直角坐标系xOy 中,已知向量m =⎝ ⎛⎭⎪⎫22,-22,n =(sin x ,cos x ),x ∈⎝ ⎛⎭⎪⎫0,π2.(1)若m ⊥n ,求tan x 的值; (2)若m 与n 的夹角为π3,求x 的值. 【解】(1)若m ⊥n ,则m ·n =0. ∴22sin x -22cos x =0,∴tan x =1. (2)∵m 与n 的夹角为π3,∴m ·n =|m ||n |cos π3=1×1×12=12,即22sin x -22cos x =12, ∴sin ⎝ ⎛⎭⎪⎫x -π4=12. 又x ∈⎝⎛⎭⎪⎫0,π2,∴x -π4∈⎝ ⎛⎭⎪⎫-π4,π4,π4=π6,即x=5π12.∴x-。
第47节 椭 圆一、选择题1.(江西景德镇模拟)椭圆x 2m +y 24=1的焦距为2,则m 的值等于( ) A .5 B .3 C .5或3 D .8【答案】C【解析】当m >4时,m -4=1,∴m =5;当0<m <4时,4-m =1,∴m =3.综上,m 的值为5或3.2.(江苏南通一模)“2<m <6”是“方程x 2m -2+y 26-m =1表示椭圆”的( )A .充分不必要条件B .必要不充分条件C .充要条件D .既不充分也不必要条件 【答案】B【解析】若x 2m -2+y 26-m=1表示椭圆,则有⎩⎪⎨⎪⎧m -2>0,6-m >0,m -2≠6-m ,∴2<m <6且m ≠4.故“2<m <6”是“x 2m -2+y 26-m=1表示椭圆”的必要不充分条件.3.(山东临沂一模)设椭圆C :x 2a 2+y 2b 2=1(a >b >0)的左、右焦点分别为F 1,F 2,P 是C 上的点,PF 2⊥F 1F 2,∠PF 1F 2=30°,则C 的离心率为( )A.36 B .13 C .12 D .33【答案】D【解析】在Rt △PF 2F 1中,令|PF 2|=1,因为∠PF 1F 2=30°,所以|PF 1|=2,|F 1F 2|= 3.故e =2c 2a =|F 1F 2||PF 1|+|PF 2|=33.故选D.4.(江西师大附中模拟)椭圆ax 2+by 2=1(a >0,b >0)与直线y =1-x 交于A ,B 两点,过原点与线段AB 中点的直线的斜率为32,则ba 的值为( )A.32 B .2 33 C.9 32 D .2 327【答案】B【解析】设A (x 1,y 1),B (x 2,y 2),则ax 21+by 21=1,ax 22+by 22=1,即ax 21-ax 22=-(by 21-by 22),by 21-by 22ax 21-ax 22=-1,b (y 1-y 2)(y 1+y 2)a (x 1-x 2)(x 1+x 2)=-1, ∴b a ×(-1)×32=-1. ∴b a =2 33.故选B.5.(海沧实验中学模拟)已知直线l :y =kx +2过椭圆x 2a 2+y 2b 2=1(a >b >0)的上顶点B 和左焦点F ,且被圆x 2+y 2=4截得的弦长为L .若L ≥455,则椭圆离心率e 的取值范围是( )A.⎝ ⎛⎭⎪⎫0,55B .⎝ ⎛⎦⎥⎤0,2 55 C.⎝ ⎛⎦⎥⎤0,3 55 D .⎝ ⎛⎦⎥⎤0,4 55 【答案】B【解析】由题意知b =2,kc =2. 设圆心到直线l 的距离为d ,则L =24-d 2≥455,解得d 2≤165.又因为d =21+k 2,所以11+k 2≤45, 解得k 2≥14.于是e 2=c 2a 2=c 2b 2+c 2=11+k 2,所以0<e 2≤45,解得0<e ≤2 55.故选B. 二、填空题6.(江西临川一中月考)焦距是8,离心率等于0.8的椭圆的标准方程为______________________.【答案】x 225+y 29=1或y 225+x 29=1【解析】由题意知⎩⎨⎧2c =8,ca =0.8,解得⎩⎪⎨⎪⎧a =5,c =4,又b 2=a 2-c 2,∴b 2=9.∴b =3.当焦点在x 轴上时,椭圆的方程为x 225+y 29=1; 当焦点在y 轴上时,椭圆的方程为y 225+x 29=1.7.(昆明质检)椭圆x 29+y 225=1上的一点P 到两焦点的距离的乘积为m ,当m 取最大值时,点P 的坐标是________.【答案】(-3,0)或(3,0)【解析】记椭圆的两个焦点分别为F 1,F 2,有|PF 1|+|PF 2|=2a =10.则m =|PF 1|·|PF 2|≤⎝⎛⎭⎪⎫|PF 1|+|PF 2|22=25,当且仅当|PF 1|=|PF 2|=5,即点P 位于椭圆的短轴的顶点处时,m 取得最大值25,∴点P 的坐标为(-3,0)或(3,0).8.(乌鲁木齐调研)已知F 1(-c,0),F 2(c,0)为椭圆x 2a 2+y 2b 2=1(a >b >0)的两个焦点,P 为椭圆上一点,且P F 1→·P F 2→=c 2,则此椭圆离心率的取值范围是__________.【答案】⎣⎢⎡⎦⎥⎤33,22 【解析】设P (x ,y ),则P F 1→·P F 2→=(-c -x ,-y )·(c -x ,-y )=x 2-c 2+y 2=c 2,①将y 2=b 2-b 2a 2x 2代入①式,解得x 2=(2c 2-b 2)a 2c 2=(3c 2-a 2)a 2c 2, 又x 2∈[0,a 2],∴2c 2≤a 2≤3c 2. ∴e =c a ∈⎣⎢⎡⎦⎥⎤33,22.9.(江苏如皋一模)椭圆x 24+y 2=1的左、右焦点分别为F 1,F 2,点P 为椭圆上一动点.若∠F 1PF 2为钝角,则点P 的横坐标的取值范围是__________.【答案】⎝ ⎛⎭⎪⎫-2 63,2 63 【解析】设椭圆上一点P 的坐标为(x ,y ), 则F 1P →=(x +3,y ),F 2P →=(x -3,y ). ∵∠F 1PF 2为钝角,∴F 1P →·F 2P →<0, 即x 2-3+y 2<0.①∵y 2=1-x 24,代入①,得x 2-3+1-x 24<0,即34x 2<2,∴x 2<83.解得-263<x <263,∴x ∈⎝⎛⎭⎪⎫-263,263. 三、解答题10.(湖南衡阳八中质检)设F 1,F 2分别是椭圆C :x 2a 2+y 2b 2=1(a >b >0)的左、右焦点,M 是C 上一点且MF 2与x 轴垂直,直线MF 1与C 的另一个交点为N .(1)若直线MN 的斜率为34,求C 的离心率;(2)若直线MN 在y 轴上的截距为2,且|MN |=5|F 1N |,求a ,b 的值. 【解】(1)根据c =a 2-b 2及题设, 知M ⎝ ⎛⎭⎪⎫c ,b 2a ,2b 2=3ac .将b 2=a 2-c 2代入2b 2=3ac ,解得c a =12或c a =-2(舍去),故C 的离心率为12.(2)由题意知,原点O 为F 1F 2的中点,MF 2∥y 轴,所以直线MF 1与y 轴的交点D (0,2)是线段MF 1的中点,故b 2a =4,即b 2=4a .①由|MN |=5|F 1N |,得|DF 1|=2|F 1N |. 设N (x 1,y 1),由题意知y 1<0,则⎩⎪⎨⎪⎧2(-c -x 1)=c ,-2y 1=2,即⎩⎨⎧x 1=-32c .y 1=-1.代入C 的方程,得9c 24a 2+1b 2=1.②将①及c =a 2-b 2代入②,得9(a 2-4a )4a 2+14a =1.解得a =7,b 2=4a =28,故a =7,b =2 7.11.(兴义月考)已知点M (6,2)在椭圆C :x 2a 2+y 2b 2=1(a >b >0)上,且椭圆的离心率为63.(1)求椭圆C 的方程;(2)若斜率为1的直线l 与椭圆C 交于A ,B 两点,以AB 为底边作等腰三角形,顶点为P (-3,2),求△P AB 的面积.【解】(1)由已知得⎩⎪⎨⎪⎧6a 2+2b 2=1,ca =63,a 2=b 2+c 2,解得⎩⎪⎨⎪⎧a 2=12,b 2=4.故椭圆C 的方程为x 212+y 24=1.(2)设直线l 的方程为y =x +m ,A (x 1,y 1),B (x 2,y 2),AB 的中点为D (x 0,y 0).由⎩⎨⎧y =x +m ,x 212+y 24=1,消去y ,整理得4x 2+6mx +3m 2-12=0,则x 0=x 1+x 22=-34m ,y 0=x 0+m =14m ,即D ⎝⎛⎭⎪⎫-34m ,14m .因为AB 是等腰三角形P AB 的底边,所以PD ⊥AB , 即PD 的斜率k =2-m 4-3+3m 4=-1,解得m =2.此时x 1+x 2=-3,x 1x 2=0,则|AB |=2|x 1-x 2|=2·(x 1+x 2)2-4x 1x 2=3 2,又点P 到直线l :x -y +2=0的距离为d =32,所以△P AB 的面积为S =12|AB |·d =12×32×32=92.。
专题09平面解析几何真题汇编1.设A,B为椭圆的长轴顶点,E,F为的两个焦点,|ABl=4,,P为上一点,满足,则△PEF的面积为.【答案】1【解析】由题意知该椭圆可设为.由余弦定理,.所以.2.在平面直角坐标系xOy中,椭圆的左、右焦点分别是,椭圆C的弦ST与UV分别平行于x轴与y轴,且相交于点P.已知线段PU,PS,PV,PT的长分别为1,2,3,6,则的面积为【答案】【解析】由对称性,不妨设在第一象限,则由条件知.即P(2,1).进而由得U(2,2)),S(4,1),代入椭圆C的方程知,解得a2=20,b2=5.从而.3.在平面直角坐标系中,椭圆C的方程为,F、A分别为椭圆C的上焦点、右顶点.若P为椭圆C上位于第一象限内的动点,则四边形面积的最大值为___________。
【答案】【解析】易知,,设则其中,当时,四边形OAPF面积的最大值为.故答案为:4.在平面直角坐标系中,点集,在点集K中随机取出三个点,则这三点中存在两点之间距离为的概率为___________。
【答案】【解析】易知,点集K中有9个点,故在点集K中随机取出三个点的种数为。
将点集K中的点按图标记为其中有8对点之间的距离为。
由对称性,考虑取两点的情形.则剩下的一个点有7种取法,这样有个三点组(不计每组中三点的次序)。
对每个,点集中恰有两点与距离为,因而,恰有这8个三点组被计算了两次。
故满足条件的三点组个数为从而所求概率为.故答案为:5.已知双曲线C:,左、右焦点分别为F1、F2.过点F2作一直线与双曲线C的右半支交于点P、Q,使得.则的内切圆半径为________.【答案】【解析】如图所示.由双曲线的性质知:.由.从而,的内切圆半径为:.6.设椭圆的两个焦点为,过点的直线与椭圆交于点P、Q.若,且,则椭圆的短轴与长轴的比值为__________.【答案】【解析】不妨设.设椭圆的长轴、短轴的长度分别为,焦距为.则,且由椭圆的定义知.故.如图所示,设H为线段的中点.则,且.由勾股定理知:7.抛物线的焦点为,准线为是抛物线上的两个动点,且满足.设线段的中点上的投影为,则的最大值是_______.【答案】1【解析】根据抛物线的定义可知,,故,在三角形中,根据余弦定理有,由于,所以,即,故.点睛:本题主要考查直线与抛物线的位置关系,考查基本不等式求最值的方法,考查化归与转化的数学思想方法.抛物线的定义是:动点到定点的距离等于到定直线的距离,这是在有关抛物线的小题中常考考知识点.本题中利用抛物线的定义,进行转化后,利用余弦定理和基本不等式来求解最值.8.直线与抛物线交于两点,为抛物线上的一点,.则点的坐标为______.【答案】【解析】设.由.则①又,则②因为,所以,.故.将方程组①、②代入上式并整理得.显然,.否则,.于是,点在直线上,即点重合.所以,.故所求点.故答案为:9.双曲线的右半支与直线围成的区域内部(不含边界)整点(横纵坐标均为整数的点)的个数是________. 【答案】9800 【解析】由对称性知,只需先考虑轴上方的情况. 设与双曲线右半支交于点,与直线交于点.则线段内部的整点的个数为.从而,在轴上方区域内部整点的个数为. 又轴上有98个整点,则所求整点的个数为.10.已知直线:90L x y +-=和圆22:228810M x y x y +---=,点A 在直线L 上,B ,C 为圆M 上两点,在ABC ∆中,45BAC ∠=︒,AB 过圆心M ,则点A 横坐标范围为 .【答案】[]36,【解析】设()9A a a -,,则圆心M 到直线AC 的距离sin 45d AM =︒,由直线AC 与圆M 相交,得342d ≤. 解得36a ≤≤. 11.椭圆上任意两点,若,则乘积的最小值为 .【答案】【解析】 设,.由在椭圆上,有①②得.于是当时,达到最小值.12.在平面直角坐标系xOy中,圆与抛物线:y2=4x恰有一个公共点,且圆与x轴相切于的焦点F.求圆的半径.【答案】【解析】设圆的半径为R,圆心为(1,R)(-1,R),则圆的方程可写作.不妨设圆与抛物线相切于点,则过该切点的切线方程:以圆为对象,得以抛物线为对象,得.于是可得①②又切点在抛物线y2=4x上,③由①得,由②得.解得:.故圆半径为.13.如图,在锐角△ABC中,M是BC边的中点.点P在△A BC内,使得AP平分∠BAC.直线MP与△ABP,△ACP的外接圆分别相交于不同于点P的两点D,E.证明:若DE=MP,则BC=2BP.【答案】证明见解析【解析】如图:只要证明两小黄全等△DBP,△EMC。
A.32 B.2C.4 D.与p的值有关解析:如图1,设A(x1,y1),B(x2,y2),图1则k AB=y2-y1x2-x1=y2-y1y222p-y212p=2py2+y1,故线段AB的垂直平分线的方程为y-y2+y12=-y2+y12p⎝⎛⎭⎪⎫x-x2+x12,令y=0,得x=p+x2+x12,故点G的坐标为⎝⎛⎭⎪⎫p+x2+x12,0.∴|FG|=⎝⎛⎭⎪⎫p+x2+x12-p2=x2+x1+p2,又|AB|=x2+x1+p,∴|AB|=2|FG|.选B.答案:B=322, 故选B. 答案:B6.(20xx 年河南省××市高三毕业年级第二次质量预测)如图2,已知抛物线C 1的顶点在坐标原点,焦点在x 轴上,且过点(2,4),圆C 2:x 2+y 2-4x +3=0,过圆心C 2的直线l 与抛物线和圆分别交于P ,Q ,M ,N ,则|PN |+4|QM |的最小值为( )图2A .23B .42C .12D .52解析:由题意抛物线过定点(2,4),得抛物线方程y 2=8x ,焦点为F (2,0).圆的标准方程为(x -2)2+y 2=1,所以圆心为(2,0),半径r =1.由于直线过焦点,所以有1|PF|+1|QF|=2P =12,又|PN |+4|QM |=(|PF |+1)+(4|QF |+4)=|PF |+4|QF |+5=2(|PF |+4|QF |)⎝ ⎛⎭⎪⎫1|PF|+1|QF|+5=2⎝ ⎛⎭⎪⎫5+4|QF||PF|+|PF||QF|+5≥23, 当且仅当PF =2QF 时等号成立.选A.答案:A7.(20xx 年浙江省××市高三模拟)设抛物线y 2=4x 的焦点为F ,过点P (5,0)的直线与抛物线相交于A ,B 两点,与抛物线的准线相交于C ,若|BF |=5,则△BCF 与△ACF 的面积之比S △BCFS △ACF =( )A.56B.2033C.1531D.2029解析:抛物线的准线方程为l :x =-1, 分别过A ,B 作准线l 的垂线AM ,BN , 则|BN |=|BF |=5,图3∴B 点横坐标为4,不妨设B (4,-4), 则直线AB 的方程为y =4x -20,联立方程组⎩⎪⎨⎪⎧y =4x -20,y2=4x ,得4x 2-41x +100=0,设A 横坐标为x 0,则x 0+4=414,故而x 0=254.∴|AM|=x0+1=294,∴S△BCFS△ACF=2029.答案:D8.(20xx年湖南省××市高三上学期期末)过圆P:(x+1)2+y2=14的圆心P的直线与抛物线C:y2=3x相交于A,B两点,且PB→=3PA→,则点A到圆P上任意一点的距离的最大值为( )A.116 B.2C.136 D.73解析:由题意可知:P(-1,0),设A(x1,y1),B(x2,y2),不妨设点A位于第一象限,如图4所示,图4则:PB→=(x2+1,y2),PA→=(x1+1,y1),据此可得方程组:⎩⎪⎨⎪⎧y2=3y1,x2+1=3(x1+1),y21=3x1,y2=3x2解方程可得:x1=13,y1=1,则|AP|=⎝⎛⎭⎪⎫13+12+12=53,解析:设A(x1,y1),B(x2,y2),代入椭圆方程得⎩⎨⎧x214+y213=1,x24+y23=1两式相减并化简得y1-y2x1-x2=-34,所以直线的斜率为-34,由点斜式得到直线方程为3x+4y-7=0.答案:B11.(20xx年湖南省三湘名校教育联盟高三第三次联考)已知抛物线y2=2px(p>0)的焦点为F,准线为l,过点F的直线交拋物线于A,B 两点,过点A作准线l的垂线,垂足为E,当A点坐标为(3,y0)时,△AEF为正三角形,则此时△OAB的面积为( )A.433 B.3C.233 D.33图5解析:如图5所示,过点F作AE的垂线,垂足为H,则H为AE的中点,则AE=3+p2,EH=p,∴2p=3+p2,解得p=2,∴y2=4x,A(3,23),F(1,0),∴直线l 过定点(2,0).∴若OA →·OB →=-4,则直线l 必过一定点(2,0).图718.(20xx 年内蒙古××市北京八中分校高二上学期期末)已知椭圆x22+y 2=1上两个不同的点A ,B 关于直线y =mx +12对称.(1)求实数m 的取值范围;(2)求△AOB 面积的最大值(O 为坐标原点). 解:(1)由题意知m ≠0,可设直线AB 的方程为y =-1m x +b . 由⎩⎪⎨⎪⎧x22+y2=1,y =-1m x +b ,消去y ,得⎝ ⎛⎭⎪⎫12+1m2·x 2-2b m x +b 2-1=0. 因为直线y =-1m x +b 与椭圆x22+y 2=1有两个不同的交点,所以Δ=-2b 2+2+4m2>0,①。
高中数学平面解析几何练习题(含解析)一、单选题1.若曲线C :2224100x y ax ay a ++--=表示圆,则实数a 的取值范围为( ) A .()2,0- B .()(),20,-∞-⋃+∞ C .[]2,0-D .(][),20,-∞-+∞2.过点1,2,且焦点在y 轴上的抛物线的标准方程是( ) A .24y x =B .24y x =-C .212=-x yD .212x y =3.过 ()()1320A B --,,,两点的直线的倾斜角是( )A .45︒B .60︒C .120D .1354.已知()3,3,3A ,()6,6,6B ,O 为原点,则OA 与BO 的夹角是( ) A .0B .πC .π2D .2π35.已知抛物线2:4C y x =与圆22:(1)4E x y -+=交于A ,B 两点,则||AB =( )A .2B .C .4D .6.已知抛物线2x my =焦点的坐标为(0,1)F ,P 为抛物线上的任意一点,(2,2)B ,则||||PB PF +的最小值为( )A .3B .4C .5D .1127.动点P ,Q 分别在抛物线24x y =和圆228130+-+=x y y 上,则||PQ 的最小值为( )A .B C D 8.直线2360x y +-=关于点(1,1)对称的直线方程为( ) A .3220x y -+= B .2370x y ++= C .32120x y --=D .2340x y +-=9.已知椭圆2222:1()0x c bb y a a +>>=的上顶点为A ,左、右焦点分别为12,F F ,连接2AF 并延长交椭圆C 于另一点B ,若12:7:3F B F B =,则椭圆C 的离心率为( )A .14B .13C .12D 10.“1m =”是“直线1l :()410m x my -++=与直线2l :()220mx m y ++-=互相垂直”的( )A .充分不必要条件B .必要不充分条件C .充要条件D .既不充分也不必要条件二、填空题11.直线2310x y -+=与5100x y +-=的夹角为________.12.已知圆:C 2220x y x ++=,若直线y kx =被圆C 截得的弦长为1,则k =_______. 13.过四点(0,0),(4,0),(1,1),(4,2)-中的三点的一个圆的方程为____________. 14.写出与圆221x y +=和圆()()224316x y -++=都相切的一条切线方程___________.三、解答题15.已知△ABC 底边两端点(0,6)B 、(0,6)C -,若这个三角形另外两边所在直线的斜率之积为49-,求点A 的轨迹方程.16.已知1F 、2F 是椭圆()2222:10x yC a b a b+=>>的两个焦点,P 为椭圆C 上一点,且12PF PF ⊥.若12PF F △的面积为9,求实数b 的值.17.已知圆C :22120x y Dx Ey +++-=关于直线x +2y -4=0对称,且圆心在y 轴上,求圆C 的标准方程.18.已知椭圆C :22142x y +=,()0,1A ,过点A 的动直线l 与椭圆C 交于P 、Q 两点.(1)求线段PQ 的中点M 的轨迹方程;(2)是否存在常数,使得AP AQ OP OQ λ⋅+⋅为定值?若存在,求出λ的值;若不存在,说明理由.参考答案:1.B【分析】根据圆的一般式变形为标准式,进而可得参数范围. 【详解】由2224100x y ax ay a ++--=, 得()()2222510x a y a a a ++-=+, 由该曲线表示圆, 可知25100a a +>, 解得0a >或2a <-, 故选:B. 2.C【分析】设抛物线方程为2x my =,代入点的坐标,即可求出m 的值,即可得解; 【详解】解:依题意设抛物线方程为2x my =,因为抛物线过点1,2, 所以()212m =⨯-,解得12m =-,所以抛物线方程为212=-x y ;故选:C 3.D【分析】根据两点坐标求出直线的斜率,结合直线倾斜角的范围即可得出结果. 【详解】由已知直线的斜率为 ()03tan 1018021k αα--===-≤<--,,所以倾斜角135α=. 故选:D. 4.B【分析】求出OA 和BO ,利用向量关系即可求出.【详解】因为()3,3,3A ,()6,6,6B ,则()3,3,3OA =,()6,6,6BO =---, 则3cos ,1OA BO OA BO OA BO⨯⋅<>===-⋅,所以OA 与BO 的夹角是π. 故选:B. 5.C【分析】先联立抛物线与圆求出A ,B 横坐标,再代入抛物线求出纵坐标即可求解.【详解】由对称性易得A ,B 横坐标相等且大于0,联立()222414y xx y ⎧=⎪⎨-+=⎪⎩得2230x x +-=,解得123,1x x =-=,则1A B x x ==,将1x =代入24y x =可得2y =±,则||4AB =. 故选:C. 6.A【分析】先根据焦点坐标求出m ,结合抛物线的定义可求答案. 【详解】因为抛物线2x my =焦点的坐标为()0,1,所以14m=,解得4m =. 记抛物线的准线为l ,作PN l ⊥于N ,作BAl 于A ,则由抛物线的定义得||||||||||3PB PF PB PN BA +=+=,当且仅当P 为BA 与抛物线的交点时,等号成立.故选:A. 7.B【分析】设2001,4P x x ⎛⎫⎪⎝⎭,根据两点间距离公式,先求得P 到圆心的最小距离,根据圆的几何性质,即可得答案.【详解】设2001,4P x x ⎛⎫⎪⎝⎭,圆化简为22(4)3x y +-=,即圆心为(0,4)所以点P 到圆心的距离d = 令20t x =,则0t ≥, 令21()1616f t t t =-+,0t ≥,为开口向上,对称轴为8t =的抛物线, 所以()f t 的最小值为()812f =,所以min d所以||PQ的最小值为min d =故选:B 8.D【分析】设对称的直线方程上的一点的坐标为()x y ,,则其关于点()1,1对称的点的坐标为(2,2)x y --,代入已知直线即可求得结果.【详解】设对称的直线方程上的一点的坐标为()x y ,,则其关于点()1,1对称的点的坐标为(2,2)x y --,以(2,2)x y --代换原直线方程中的(,)x y 得()()223260x y -+--=,即2340x y +-=.故选:D. 9.C【分析】根据椭圆的定义求得12,F B F B ,在1ABF 中,利用余弦定理求得22cos F AF ∠,在12AF F △中,再次利用余弦定理即可得解.【详解】解:由题意可得122F B F B a +=, 因为12:7:3F B F B =, 所以1273,55F B a F B a ==, 因为A 为椭圆的上顶点,所以12AF AF a ==,则85AB a =,在1ABF 中,22222211221644912525cos 82225a a a AF AB BF F AF AF ABa a +-+-∠===⨯⨯,在12AF F △中,122212121222cos F F AF AF A F A F A F F =+∠-, 即222224c a a a a =+-=,所以12c a =,即椭圆C 的离心率为12. 故选:C.10.A【分析】根据给定直线方程求出12l l ⊥的等价条件,再利用充分条件、必要条件的定义判断作答.【详解】依题意,12(4)(2)0l l m m m m ⊥⇔-++=,解得0m =或1m =,所以“1m =”是“直线1l :()410m x my -++=与直线2l :()220mx m y ++-=互相垂直”的充分不必要条件. 故选:A 11.4π##45︒ 【分析】根据直线方程可得各直线斜率,进而可得倾斜角之间的关系,从而得夹角. 【详解】直线2310x y -+=的斜率123k ,即倾斜角α满足2tan 3α=, 直线5100x y +-=的斜率215k =-,即倾斜角β满足1tan 5β=-,所以()12tan tan 53tan 1121tan tan 153βαβαβα----===-+⎛⎫+-⨯ ⎪⎝⎭, 所以34βαπ-=,又两直线夹角的范围为0,2π⎡⎤⎢⎥⎣⎦,所以两直线夹角为4π,故答案为:4π. 12.【分析】将圆C 一般方程化为标准方程,先求圆心到直线的距离,再由圆的弦长公式即可解出k 的值.【详解】解:将2220x y x ++=化为标准式得()2211x y ++=,故半径为1;圆心()1,0-到直线y kx =,由弦长为1可得1=,解得k =故答案为:13.()()222313x y -+-=或()()22215x y -+-=或224765339x y ⎛⎫⎛⎫-+-= ⎪ ⎪⎝⎭⎝⎭或()2281691525x y ⎛⎫-+-= ⎪⎝⎭. 【分析】方法一:设圆的方程为220x y Dx Ey F ++++=,根据所选点的坐标,得到方程组,解得即可;【详解】[方法一]:圆的一般方程依题意设圆的方程为220x y Dx Ey F ++++=,(1)若过()0,0,()4,0,()1,1-,则01640110F D F D E F =⎧⎪++=⎨⎪+-++=⎩,解得046F D E =⎧⎪=-⎨⎪=-⎩,所以圆的方程为22460x y x y +--=,即()()222313x y -+-=;(2)若过()0,0,()4,0,()4,2,则01640164420F D F D E F =⎧⎪++=⎨⎪++++=⎩,解得042F D E =⎧⎪=-⎨⎪=-⎩,所以圆的方程为22420x y x y +--=,即()()22215x y -+-=;(3)若过()0,0,()4,2,()1,1-,则0110164420F D E F D E F =⎧⎪+-++=⎨⎪++++=⎩,解得083143F D E ⎧⎪=⎪⎪=-⎨⎪⎪=-⎪⎩,所以圆的方程为22814033x y x y +--=,即224765339x y ⎛⎫⎛⎫-+-= ⎪ ⎪⎝⎭⎝⎭;(4)若过()1,1-,()4,0,()4,2,则1101640164420D E F D F D E F +-++=⎧⎪++=⎨⎪++++=⎩,解得1651652F D E ⎧=-⎪⎪⎪=-⎨⎪=-⎪⎪⎩,所以圆的方程为2216162055x y x y +---=,即()2281691525x y ⎛⎫-+-= ⎪⎝⎭;故答案为:()()222313x y -+-=或 ()()22215x y -+-=或 224765339x y ⎛⎫⎛⎫-+-= ⎪ ⎪⎝⎭⎝⎭或()2281691525x y ⎛⎫-+-= ⎪⎝⎭. [方法二]:【最优解】圆的标准方程(三点中的两条中垂线的交点为圆心) 设()()()()0,04,01,14,2A B C D -点,,,(1)若圆过、、A B C 三点,圆心在直线2x =,设圆心坐标为(2,)a ,则()224913,a a a r +=+-⇒===22(2)(3)13x y -+-=; (2)若圆过A B D 、、三点, 设圆心坐标为(2,)a,则2244(2)1,a a a r +=+-⇒==22(2)(1)5x y -+-=;(3)若圆过 A C D 、、三点,则线段AC 的中垂线方程为1y x =+,线段AD 的中垂线方程 为25y x =-+,联立得47,33x y r ==⇒,所以圆的方程为224765()()339x y -+-=;(4)若圆过B C D 、、三点,则线段BD 的中垂线方程为1y =, 线段BC 中垂线方程为57y x =-,联立得813,155x y r ==⇒=,所以圆的方程为()228169()1525x -y +-=. 故答案为:()()222313x y -+-=或 ()()22215x y -+-=或 224765339x y ⎛⎫⎛⎫-+-= ⎪ ⎪⎝⎭⎝⎭或()2281691525x y ⎛⎫-+-= ⎪⎝⎭. 【整体点评】方法一;利用圆过三个点,设圆的一般方程,解三元一次方程组,思想简单,运算稍繁;方法二;利用圆的几何性质,先求出圆心再求半径,运算稍简洁,是该题的最优解.14.1y =或247250x y ++=或4350x y --=【分析】先判断两圆位置关系,再分情况依次求解可得.【详解】圆221x y +=的圆心为()0,0O ,半径为1;圆()()224316x y -++=的圆心为()4,3C -,半径为4,圆心距为5OC =,所以两圆外切,如图,有三条切线123,,l l l , 易得切线1l 的方程为1y =,因为3l OC ⊥,且34OC k =-,所以343l k =,设34:3l y x b =+,即4330x y b -+=,则()0,0O 到3l 的距离315b =,解得53b =(舍去)或53-,所以343:50x y l --=,可知1l 和2l 关于3:4OC y x =-对称,联立341y x y ⎧=-⎪⎨⎪=⎩,解得4,13⎛⎫- ⎪⎝⎭在2l 上, 在1l 上任取一点()0,1,设其关于OC 的对称点为()00,x y , 则0000132421314y x y x +⎧=-⨯⎪⎪⎨-⎛⎫⎪⨯-=- ⎪⎪⎝⎭⎩,解得002425725x y ⎧=-⎪⎪⎨⎪=-⎪⎩,则27124252447253l k --==--+,所以直线2244:173l y x ⎛⎫-=-+ ⎪⎝⎭,即247250x y ++=, 综上,切线方程为1y =或247250x y ++=或4350x y --=. 故答案为:1y =或247250x y ++=或4350x y --=.15.()22108136x y x +=≠【分析】设(,)A x y ,利用斜率的两点式列方程并整理可得轨迹方程,注意0x ≠. 【详解】设(,)A x y 且0x ≠,则22663649AB ACy y y k k x x x -+-=⋅==-, 整理得:A 的轨迹方程()22108136x y x +=≠. 16.3b =【分析】由题意以及椭圆的几何性质列方程即可求解. 【详解】因为12PF PF ⊥,所以1290F PF ∠=︒, 所以12F PF △为直角三角形,22212(2)PF PF c +=,122PF PF a +=, ()2221212122PF PF PF PF PF PF +=+-⋅,即()()221212242c a PF PF =-⨯⋅, 1212192F PF S PF PF =⋅=△, 所以2244490c a =-⨯=,所以2449b =⨯.所以3b =; 综上,b =3.17.22(2)16x y +-=. 【分析】由题设知圆心(,)22D EC --,且在已知直线和y 轴上,列方程求参数D 、E ,写出一般方程,进而可得其标准方程. 【详解】由题意知:圆心(,)22D EC --在直线x +2y -4=0上,即-2D -E -4=0. 又圆心C 在y 轴上,所以-2D=0. 由以上两式得:D =0, E =-4,则224120x y y +--=, 故圆C 的标准方程为22(2)16x y +-=.18.(1)2211222x y ⎛⎫+-= ⎪⎝⎭ (2)存在,1λ=【分析】(1)①当直线l 存在斜率时,设()11,P x y 、()22,Q x y 、()00,M x y ,00x ≠,利用点差法求解; ②当直线l 不存在斜率时,易知()0,0M ,验证即可;(2)①当直线l 存在斜率时,设直线l 的方程为:1y kx =+,与椭圆方程联立,结合韦达定理,利用数量积运算求解; ②当直线l 不存在斜率时,直线l 的方程为:0x =,易得(P、(0,Q ,验证即可.【详解】(1)解:①当直线l 存在斜率时,设()11,P x y 、()22,Q x y 、()00,M x y ,00x ≠,则应用点差法:22112222142142x y x y ⎧+=⎪⎪⎨⎪+=⎪⎩,两式联立作差得:12121212()()()()042x x x x y y y y -+-++=, ∴()()()()121200121212121212002122PQ PQ PQ OM y y y y y y y y y y k k k k x x x x x x x x x x -+-+=⋅=⋅=⋅=⋅=--+-+, 又∵001PQ MA y k k x -==, ∴0000112y y x x -⋅=-,化简得22000220x y y +-=(00x ≠), ②当直线l 不存在斜率时,()0,0M ,综上,无论直线是否有斜率,M 的轨迹方程为2211222x y ⎛⎫+-= ⎪⎝⎭;(2)①当直线l 存在斜率时,设直线l 的方程为:1y kx =+,联立221142y kx x y =+⎧⎪⎨+=⎪⎩并化简得:22(21)420k x kx ++-=,∴0∆>恒成立,∴122421k x x k +=-+,122221x x k ⋅=-+,又AP ()11,x k x =⋅,AQ ()22,x k x =⋅,OP ()11,1x k x =⋅+,OQ ()22,1x k x =⋅+,∴AP AQ OP OQ λ⋅+⋅()()()22121212111k x x k x x k x x λ=+⋅⋅++⋅⋅+++,()()()222222211222141212121k k k k k k λλλ-+++++=-+=-+++, 若使AP AQ OP OQ λ⋅+⋅为定值, 只需()222121λλ++=,即1λ=,其定值为3-, ②当直线l 不存在斜率时,直线l 的方程为:0x =,则有(P、(0,Q , 又AP ()1=,AQ ()0,1=,OP (=,OQ (0,=, ∴2λλ⋅+⋅=--AP AQ OP OQ ,当1λ=时,AP AQ OP OQ λ⋅+⋅也为定值3-, 综上,无论直线是否有斜率,一定存在一个常数1λ=, 使AP AQ OP OQ λ⋅+⋅为定值3-.。
第8章 平面解析几何第56课时直线的倾斜角与斜率 一、填空题:1. 直线x sin π7+y cos π7=0的倾斜角α是____________. 答案 67π 解析 tan α=-sinπ7cos π7=-tan π7=tan 67π,∵ α∈[0,π),∴ α=67π. 2. 过点M (-2,m ),N (m ,4)的直线的斜率等于1,则m =________.答案 1解析 由1=4-m m +2,得m +2=4-m ,m =1. 3. 若点A (4,3),B (5,a ),C (6,5)三点共线,则a =________.答案 4解析 k AC =5-36-4=1,k AB =a -35-4=a -3.由于A 、B 、C 三点共线,所以a -3=1,即a =4. 4. 在直角坐标系中,直线y =-33x +1的倾斜角为____________. 答案 5π6解析 ∵ tan α=k =-33,又α∈[0,π),∴ α=5π6. 5. 设直线l 的倾斜角为α,且π4≤α≤5π6,则直线l 的斜率k 的取值范围是______________. 答案 ⎝⎛⎦⎤-∞,-33∪[1,+∞) 解析 由k =tan α关系图(如下)知k ∈⎝⎛⎦⎤-∞,-33∪[1,+∞).6. 如果图中的三条直线l 1、l 2、l 3的斜率分别为k 1、k 2、k 3,则k 1、k 2、k 3从小到大的排列顺序为_____.答案 k 1<k 3<k 2解析 由题图知,k 1<0,k 2>0,k 3>0,另外,tan α2=k 2>0,α2∈⎝⎛⎭⎫0,π2,tan α3=k 3>0,α3∈⎝⎛⎭⎫0,π2,而α3<α2,正切函数在⎝⎛⎭⎫0,π2上单调递增,所以, k 3<k 2.综上,k 1<k 3<k 2. 7. 直线ax +y +1=0与连结A (2,3)、B (-3,2)的线段相交,则a 的取值范围是________. 答案 (-∞,-2]∪[1,+∞)解析 直线ax +y +1=0过定点C (0,-1),当直线处在AC 与BC 之间时,必与线段AB 相交,即应满足-a ≥3+12或-a ≤2+1-3,得a ≤-2或a ≥1. 8. 直线l 1:3x -y +1=0,直线l 2过点(1,0),且它的倾斜角是直线l 1的倾斜角的2倍,则直线l 2的方程为__________.答案 y =-34(x -1) 解析 由tan α=3可求出直线l 2的斜率k =tan2α=2tan α1-tan 2α=-34,再由l 2过点(1,0)即可求得直线方程为y =-34(x -1). 9. 直线x cos θ+ 3 y +2=0的倾斜角的范围是________.答案 ⎣⎡⎦⎤0,π6∪⎣⎡⎭⎫5π6,π 解析 由题知k =-33cos θ,故k ∈⎣⎡⎦⎤-33,33,结合正切函数的图象,当k ∈⎣⎡⎦⎤0,33时,直线倾斜角α∈⎣⎡⎦⎤0,π6,当k ∈⎣⎡⎭⎫-33,0时,直线倾斜角α∈⎣⎡⎭⎫5π6,π,故直线的倾斜角的范围是⎣⎡⎦⎤0,π6∪⎣⎡⎭⎫5π6,π. 二、解答题:10. 已知经过A (m ,2),B (-m ,2m -1)的直线的倾斜角为α,且45°<α<135°,求实数m 的取值范围.解析 ∵ 45°<α<135°,∴ k >1或k <-1或m =0,∴ 2m -3-2m >1或2m -3-2m<-1或m =0, 解得0<m <34或m <0或m =0,∴ m 的取值范围是⎝⎛⎭⎫-∞,34. 11. 在△ABC 中,A (1,-1),B (1,1),C (3,-1),求三边所在直线的倾斜角和斜率.解析 因为A 、B 两点的横坐标相同,所以边AB 垂直于x 轴,倾斜角为π2,斜率不存在;因为A 、C 两点。
【最新】高考数学《平面解析几何》练习题一、选择题1.在圆M :224410x y x y +---=中,过点(0,1)E 的最长弦和最短弦分别为AC 和BD ,则四边形ABCD 的面积为( )A .6B .12C .24D .36【答案】B 【解析】 【分析】先将圆M 的方程化为标准方程,得到其圆心坐标与半径,再结合直线与圆的位置关系可得AC 、BD 的值,进而求出答案. 【详解】圆M 的标准方程为:22(2)(2)9x y -+-=,其圆心为(2,2)M ,半径3r =, 过点E 最长的弦长是直径,故6AC =,最短的弦是与ME 垂直的弦,又ME ==所以122BD ===,即4BD =, 所以四边形的面积11641222S AC BD =⋅⋅=⨯⨯=, 故选:B. 【点睛】本题考查直线与圆相交的性质,解题关键是明确AC 和BD 的位置关系,难度不大.2.已知点P 在抛物线24y x =上,那么点P 到点(2,1)Q 的距离与点P 到抛物线焦点距离之和取得最小值时,点P 的坐标为( ) A .(1,14) B .1(,1)4-C .(1,2)D .(1,2)-【答案】A 【解析】 【分析】 【详解】试题分析:抛物线24y x =焦点为F (1,0),准线为1x =-,作PQ 垂直于准线,垂足为M 根据抛物线定义: ,PQ PF PQ PM +=+,根据三角形两边距离之和大于第三边,直角三角形斜边大于直角边知:PQ PM +的最小值是点Q 到抛物线准线1x =-的距离;所以点P 纵坐标为1,则横坐标为14,即(1,14),故选A 考点:抛物线的定义及几何性质的运用.3.已知椭圆22:12y C x +=,直线:l y x m =+,若椭圆C 上存在两点关于直线l 对称,则m 的取值范围是( )A .33⎛- ⎝⎭B .,44⎛- ⎝⎭C .33⎛⎫- ⎪ ⎪⎝⎭ D .44⎛- ⎝⎭【答案】C 【解析】 【分析】设()11,A x y ,()22,B x y 是椭圆C 上关于l 对称的两点,AB 的中点为()00,M x y ,根据椭圆C 上存在两点关于直线:l y x m =+对称,将A ,B 两点代入椭圆方程,两式作差可得002y x =,点M 在椭圆C 内部,可得2221m m +<,解不等式即可.【详解】设()11,A x y ,()22,B x y 是椭圆C 上关于l 对称的两点,AB 的中点为()00,M x y , 则1202x x x +=,1202y y y +=,1AB k =-.又因为A ,B 在椭圆C 上,所以221112y x +=,222212y x +=,两式相减可得121212122y y y y x x x x -+⋅=--+,即002y x =. 又点M 在l 上,故00y x m =+,解得0x m =,02y m =.因为点M 在椭圆C 内部,所以2221m m +<,解得33m ⎛⎫∈- ⎪ ⎪⎝⎭.故选:C 【点睛】本题考查了直线与椭圆的位置关系以及在圆锥曲线中“设而不求”的思想,属于基础题.4.设抛物线E :26y x =的弦AB 过焦点F ,||3||AF BF =,过A ,B 分别作E 的准线的垂线,垂足分别是A ',B ',则四边形AA B B ''的面积等于( )A .B .C .D .【答案】C 【解析】 【分析】由抛物线的方程可得焦点坐标及准线方程,设直线AB 的方程,与抛物线联立求出两根之和及两根之积,进而求出弦长AB ,由抛物线的性质可得梯形的上下底之和求出,求出A ,B 的纵坐标之差的绝对值,代入梯形的面积公式即可求出梯形的面积.【详解】解:由抛物线的方程 可得焦点3(2F ,0),准线方程:32x =-,由题意可得直线AB 的斜率存在且不为0, 设直线AB的方程为:32x my =+,1(A x ,1)y ,2(B x ,2)y , 联立直线与抛物线的方程:2326x my y x⎧=+⎪⎨⎪=⎩,整理可得:2690y my --=,所以126y y m +=,129y y =-,21212()363x x m y y m +=++=+, 因为||3||AF BF =,所以3AF FB =uu u r uu r,即13(2x -,123)3(2y x -=-,2)y ,可得:123y y =-, 所以可得:2222639y m y -=⎧⎨-=-⎩即213m =, 由抛物线的性质可得: 21233166668223AA BB AB x x m ''+==+++=+=+=g , 221212121||()436363636433y y y y y y m -=+-=+=+=g ,由题意可知,四边形AA B B ''为直角梯形,所以1211()||84316322AA B B S AA BB y y ''''=+-==gg g , 故选:C .【点睛】本题考查抛物线的性质及直线与抛物线的相交弦长,梯形的面积公式,属于中档题.5.如图所示,已知双曲线C :()222210,0x y a b a b-=>>的右焦点为F ,双曲线的右支上一点A ,它关于原点O 的对称点为B ,满足120AFB ∠=︒,且3BF AF =,则双曲线C 的离心率是( )A .27B .52C .7 D .7【答案】C 【解析】 【分析】利用双曲线的性质,推出AF ,BF ,通过求解三角形转化求解离心率即可. 【详解】解:双曲线2222:1(0,0)x y C a b a b-=>>的右焦点为F ,双曲线C 的右支上一点A ,它关于原点O 的对称点为B ,满足120AFB ∠=︒,且||3||BF AF =,可得||||2BF AF a -=,||AF a =,||3BF a =,60F BF ∠'=︒,所以2222cos60F F AF BF AF BF '=+-︒g ,可得222214962c a a a =+-⨯,2247c a =,所以双曲线的离心率为:72e =. 故选:C .【点睛】本题考查双曲线的简单性质的应用,三角形的解法,考查转化思想以及计算能力,属于中档题.6.已知抛物线C :212y x =的焦点为F ,A 为C 上一点且在第一象限,以F 为圆心,FA 为半径的圆交C 的准线于B ,D 两点,且A ,F ,B 三点共线,则AF =( )A .16B .10C .12D .8【答案】C 【解析】 【分析】根据题意可知AD BD ⊥,利用抛物线的定义,可得30ABD ∠=︒,所以||||2612AF BF ==⨯=.【详解】解:因为A ,F ,B 三点共线,所以AB 为圆F 的直径,AD BD ⊥. 由抛物线定义知1||||||2AD AF AB ==,所以30ABD ∠=︒.因为F 到准线的距离为6, 所以||||2612AF BF ==⨯=. 故选:C .【点睛】本题考查抛物线的性质,抛物线的定义,考查转化思想,属于中档题.7.数学中的数形结合,也可以组成世间万物的绚丽画面.一些优美的曲线是数学形象美、对称美、和谐美的结合产物,曲线22322():16C x y x y =+恰好是四叶玫瑰线.给出下列结论:①曲线C 经过5个整点(即横、纵坐标均为整数的点);②曲线C 上任意一点到坐标原点O 的距离都不超过2;③曲线C 围成区域的面积大于4π;④方程()223221)60(x y x y xy +=<表示的曲线C 在第二象限和第四象限其中正确结论的序号是( ) A .①③ B .②④ C .①②③ D .②③④【答案】B 【解析】 【分析】利用基本不等式得224x y +≤,可判断②;224x y +=和()3222216x yx y +=联立解得222x y ==可判断①③;由图可判断④.【详解】()2223222216162x y xyx y ⎛⎫++=≤ ⎪⎝⎭,解得224x y +≤(当且仅当222x y ==时取等号),则②正确; 将224x y +=和()3222216x y x y +=联立,解得222x y ==,即圆224x y +=与曲线C 相切于点()2,2,()2,2-,()2,2--,()2,2-,则①和③都错误;由0xy <,得④正确. 故选:B. 【点睛】本题考查曲线与方程的应用,根据方程,判断曲线的性质及结论,考查学生逻辑推理能力,是一道有一定难度的题.8.如图,O 是坐标原点,过(,0)E p 的直线分别交抛物线22(0)y px p =>于A 、B 两点,直线BO 与过点A 平行于x 轴的直线相交于点M ,过点M 与此抛物线相切的直线与直线x p =相交于点N .则22||ME NE -=( )A .2pB .2pC .22pD .24p【答案】C 【解析】 【分析】过E (p ,0)的直线分别交抛物线y 2=2px (p >0)于A 、B 两点,不妨设直线AB 为x =p ,分别求出M ,N 的坐标,即可求出答案. 【详解】过E (p ,0)的直线分别交抛物线y 2=2px (p >0)于A 、B ,两点为任意的,不妨设直线AB 为x =p ,由2y 2pxx p ⎧=⎨=⎩,解得y =2p ,则A (p),B (p),∵直线BM 的方程为yx ,直线AM 的方程为y =x , 解得M (﹣p),∴|ME |2=(2p )2+2p 2=6p 2, 设过点M 与此抛物线相切的直线为y=k (x +p ),由()2y 2=k px x p ⎧=⎪⎨+⎪⎩,消x 整理可得ky 2﹣2py ﹣+2p 2k =0, ∴△=4p 2﹣4k (﹣+2p 2k )=0, 解得k=2, ∴过点M 与此抛物线相切的直线为yp=2(x +p ),由()=2x p x p =⎧⎪⎨+⎪⎩,解得N (p ,2p ), ∴|NE |2=4p 2,∴|ME |2﹣|NE |2=6p 2﹣4p 2=2p 2, 故选C . 【点睛】本题考查了直线和抛物线位置关系,以及直线和直线的交点坐标问题,属于难题.9.若双曲线223mx my -=3的一个焦点是()0,2,则m 的值是 A .-1 B .1C. D【答案】A 【解析】双曲线223mx my -=3的标准方程为22113x y m m-=, ∵焦点在y 轴上,∴134m m+=,且0m <, ∴ 1.m =- 故选A .10.若点O 和点F 分别为椭圆22143x y +=的中心和左焦点,点P 为椭圆上的任意一点,则OP FP →→g 的最大值为( ) A .4 B .5C .6D .7【答案】C 【解析】 【分析】设(),P x y ,由数量积的运算及点P 在椭圆上,可把OP FP ⋅u u u r u u u r表示成为x 的二次函数,根据二次函数性质可求出其最大值. 【详解】设(),P x y ,()()1,0,0,0F O -,则()(),,+1,OP x y FP x y ==u u u r u u u r,则 22OP FP x x y ⋅=++u u u r u u u r,因为点P 为椭圆上,所以有:22143x y +=即22334y x =-,所以()222223132244x x y x x x FP x OP =++=⋅++-=++u u u r u u u r又因为22x -≤≤,所以当2x =时,OP FP ⋅u u u r u u u r的最大值为6 故选:C 【点睛】本题考查了数量积的坐标运算,求二次函数的最大值,属于一般题.11.已知P 是双曲线2221(0)8x y a a -=>上一点,12,F F 为左、右焦点,且19PF =,则“4a =”是“217PF =”的( ) A .充分而不必要条件 B .必要而不充分条件 C .充分必要条件 D .既不充分也不必要条件【答案】B 【解析】 【分析】化简得到229PF a =+或292PF a =-,故当4a =时,217PF =或21PF =;当217PF =时,4a =,得到答案.【详解】P 是双曲线2221(0)8x y a a -=>上一点,12,F F 为左、右焦点,且19PF =, 则229PF a =+或292PF a =-,当4a =时,217PF =或21PF =;当217PF =时,4a =. 故“4a =”是“217PF =”的必要不充分条件. 故选:B . 【点睛】本题考查了必要不充分条件,意在考查学生的推断能力.12.已知抛物线24x y =的焦点为F ,准线为l ,抛物线的对称轴与准线交于点Q ,P 为抛物线上的动点,PF m PQ =,当m 最小时,点P 恰好在以,F Q 为焦点的椭圆上,则椭圆的离心率为( )A .3-B .2-CD 1【答案】D 【解析】由已知,(01)(01)F Q ,,,-,过点P 作PM 垂直于准线,则PM PF =.记PQM α∠=,则sin PF PM m PQPQα===,当α最小时,m 有最小值,此时直线PQ与抛物线相切于点P .设204x P x ⎛⎫ ⎪⎝⎭,,可得(21)P ,±,所以2PQ PF ,==,则2PF PQ a +=,∴1a =,1c =,∴1ce a==,故选D .13.已知曲线()2222:100x y C a b a b-=>,>的左、右焦点分别为12,,F F O 为坐标原点,P是双曲线在第一象限上的点,MO OP =u u u u v u u u v,直线2PF 交双曲线C 于另一点N ,若122PF PF =,且2120MF N ∠=︒则双曲线C 的离心率为( )A .3BC D【答案】B 【解析】 【分析】由题意结合双曲线的定义可得124,2PF a PF a == ,在三角形12PF F 中,由余弦定理可得2224208c a a =+,据此计算双曲线的离心率即可.【详解】由题意,122PF PF =,由双曲线的定义可得,122PF PF a -= ,可得124,2PF a PF a == ,由四边形12PF MF 为平行四边形,又2120MF N ∠=︒,可得12120F PF ∠=︒, 在三角形12PF F 中,由余弦定理可得2224164242cos120c a a a a =+-⋅⋅⋅︒ , 即有2224208c a a =+,即227c a =,可得7c a =,即7ce a==.【点睛】双曲线的离心率是双曲线最重要的几何性质,求双曲线的离心率(或离心率的取值范围),常见有两种方法: ①求出a ,c ,代入公式c e a=; ②只需要根据一个条件得到关于a ,b ,c 的齐次式,结合b 2=c 2-a 2转化为a ,c 的齐次式,然后等式(不等式)两边分别除以a 或a 2转化为关于e 的方程(不等式),解方程(不等式)即可得e (e 的取值范围).14.已知双曲线2219x y m-=的一个焦点在直线x +y =5上,则双曲线的渐近线方程为( )A .34y x =? B .43y x =±C .23y x =±D .324y x =±【答案】B 【解析】根据题意,双曲线的方程为2219x y m-=,则其焦点在x 轴上,直线5x y +=与x 轴交点的坐标为()5,0, 则双曲线的焦点坐标为()5,0, 则有925m +=,解可得,16m =,则双曲线的方程为:221916x y -=,其渐近线方程为:43y x =±, 故选B.15.已知12F F 分别为双曲线()222210,0x y a b a b-=>>的左、右焦点,P 为双曲线上一点,2PF 与x 轴垂直,1230PF F ∠=︒,且焦距为 )A .y =B .y =C .2y x =±D .3y x =±【答案】B 【解析】 【分析】先求出c 的值,再求出点P 的坐标,可得22bPF a=,再由已知求得1PF ,然后根据双曲线的定义可得ba的值,则答案可求. 【详解】解:由题意,2c =解得c =,∵()2,0F c ,设(),P c y ,∴22221x y a b -=,解得2b y a =±,∴22b PF a=,∵1230PF F ∠=︒,∴21222b PF PF a==,由双曲线定义可得:2122b PF PF a a-==,则222a b =,即ba=∴双曲线的渐近线方程为y =. 故选:B .【点睛】本题考查双曲线渐近线方程的求解,难度一般.求解双曲线的渐近线方程,可通过找到,,a b c 中任意两个量的倍数关系进行求解.16.已知1F ,2F 是双曲线22221x y a b-=(0a >,0b >)的左、右焦点,点A 是双曲线上第二象限内一点,且直线1AF 与双曲线的一条渐近线by x a=平行,12AF F ∆的周长为9a ,则该双曲线的离心率为( )A .2B 5C .3D .23【答案】A 【解析】 【分析】根据双曲线的定义,结合三角形的周长可以求出1AF 和2AF 的表达式,根据线线平行,斜率的关系,结合余弦定理进行求解即可. 【详解】由题意知212AF AF a -=,2192AF AF a c +=-, 解得21122a c AF -=,1722a cAF -=, 直线1AF 与by x a =平行,则12tan b AF F a ∠=,得12cos a AF F c∠=, 222121214cos 22AF c AF a AF F c AF c+-∠==⋅, 化简得22280c ac a +-=,即2280e e +-=,解得2e =. 故选:A 【点睛】本题考查求双曲线的离心率,考查了双曲线的定义的应用,考查了余弦定理的应用,考查了数学运算能力.17.已知椭圆2221(1)x y a a+=>的左、右焦点分别为1F ,2F ,A 是椭圆在第一象限上的一个动点,圆C 与1F A 的延长线,12F F 的延长线以及线段2AF 都相切,且()3,0M 为其中一个切点.则椭圆的离心率为( ) A .3 B .22C .2 D .6 【答案】B 【解析】 【分析】设圆C 与1F A 的延长线相切于点N ,与2AF 相切于点T ,由切线长相等和椭圆的定义,解方程得出3a =,求出c ,进而可得离心率. 【详解】设圆C 与1F A 的延长线相切于点N ,与2AF 相切于点T ,由切线长相等,得AN AT =,11F N F M =,22F T F M =,1(,0)F c -,2(,0)F c ,由椭圆的定义可得,122AF AF a +=,()111223+22+F N F M c AF AN a AF AN a AN AT TF ==+==-+=+-222(3)a F M a c =-=--,则26a =,即3a =,又1b =,所以2222c a b =-=, 因此椭圆的离心率为22c e a ==. 故选:B.【点睛】本题主要考查求椭圆的离心率,熟记椭圆的定义,以及椭圆的简单性质即可,属于常考题型.18.过双曲线()222210,0x y a b a b-=>>的右焦点F ,作渐近线b y x a =的垂线与双曲线左右两支都相交,则双曲线离心率e 的取值范围为( ) A .()1,2 B .()1,2C .()2,+∞D .()2,+∞【答案】C 【解析】 【分析】设过双曲线的右焦点F 与渐近线by x a=垂直的直线为AF ,根据垂线与双曲线左右两支都相交,得AF 的斜率要小于双曲线另一条渐近线的斜率 ,由此建立关于,a b 的不等式,解之可得22b a >,从而可得双曲线的离心率e 的取值范围 . 【详解】过双曲线的右焦点F 作渐近线by x a=垂线,设垂足为A , Q 直线为AF 与双曲线左右两支都相交,∴直线AF 与渐近线by x a=-必定有交点B , 因此,直线by x a=-的斜率要小于直线AF 的斜率, Q 渐近线b y x a =的斜率为b a, ∴直线AF 的斜率a k b =-,可得b aa b-<-, 即22,b a b a a b>>,可得222c a >, 两边都除以2a ,得22e >,解得2e >双曲线离心率e 的取值范围为)2,+∞,故选C.【点睛】本题主要考查利用双曲线的简单性质求双曲线的离心率,属于中档题.求解与双曲线性质有关的问题时要结合图形进行分析,既使不画出图形,思考时也要联想到图形,当涉及顶点、焦点、实轴、虚轴、渐近线等双曲线的基本量时,要理清它们之间的关系,挖掘出它们之间的内在联系.求离心率范围问题应先将 e 用有关的一些量表示出来,再利用其中的一些关系构造出关于e 的不等式,从而求出e 的范围.19.椭圆满足这样的光学性质:从椭圆的一个焦点发射光线,经椭圆反射后,反射光线经过椭圆的另一个焦点.现在设有一个水平放置的椭圆形台球盘,满足方程:221169x y +=,点A 、B 是它的两个焦点,当静止的小球放在点A 处,从点A 沿直线出发,经椭圆壁反弹后,再回到点A 时,小球经过的最短路程是( ). A .20 B .18C .16D .以上均有可能【答案】C 【解析】 【分析】根据椭圆的光学性质可知,小球从点A 沿直线出发,经椭圆壁反弹到B 点继续前行碰椭圆壁后回到A 点,所走的轨迹正好是两次椭圆上的点到两焦点距离之和,进而根据椭圆的定义可求得答案. 【详解】依题意可知小球经两次椭圆壁后反弹后回到A 点,根据椭圆的性质可知所走的路程正好是4a=4×4=16 故选:C . 【点睛】本题主要考查了椭圆的应用.解题的关键是利用了椭圆的第一定义,是基础题.20.直线3y kx =+与圆22(3)(2)4x y -+-=相交于M ,N 两点,若||23MN ≥.则k 的取值范围是( ) A .3,04⎡⎤-⎢⎥⎣⎦B .30,4⎡⎤⎢⎥⎣⎦C .3,0⎡⎤-⎢⎥⎣⎦D .2,03⎡⎤-⎢⎥⎣⎦【答案】A 【解析】 【分析】可通过将弦长转化为弦心距问题,结合点到直线距离公式和勾股定理进行求解 【详解】如图所示,设弦MN 中点为D ,圆心C(3,2),330y kx kx y =+⇒-+=Q∴弦心距CD ==,又2||||3MN DN DN 厖?,∴由勾股定理可得2222223DN CN CD ⎛⎫=-=-…,2231|31|(31)1(43)004k k k k k k ⇒+++⇒+⇒-剟剟答案选A 【点睛】圆与直线的位置关系解题思路常从两点入手:弦心距、勾股定理。
第44节 两直线的位置关系
一、选择题
1.(上海模拟)坐标原点(0,0)关于直线x -2y +2=0对称的点的坐标是( )
A 。
⎝ ⎛⎭
⎪⎫-45,85
B .⎝ ⎛⎭
⎪⎫-4
5,-85
C 。
⎝ ⎛⎭⎪⎫4
5,-85 D .⎝ ⎛⎭
⎪⎫45,85
【答案】A
【解析】直线x -2y +2=0的斜率k =1
2,设坐标原点(0,0)关于直线x -2y +2=0
对称的点的坐标是(x 0,y 0),依题意可得⎩⎨⎧
x 02
-2×y 02+2=0,
y 0=-2x 0,
解得
⎩⎪⎨⎪⎧
x 0=-45,
y 0=85,即所求点的坐标是⎝
⎛⎭
⎪⎫
-45,85。
2.(厦门模拟)“c =5”是“点(2,1)到直线3x +4y +c =0的距离为3”的( )
A .充要条件
B .充分不必要条件
C .必要不充分条件
D .既不充分也不必要条件 【答案】B
【解析】由点(2,1)到直线3x +4y +c =0的距离d =|6+4+c |
32+42=3,解得c =5
或c =-25,故“c =5”是“点(2,1)到直线3x +4y +c =0的距离为3”的充分不必要条件.故选B 。
3.(福建南平一模)已知直线l 1:(3+m )x +4y =5-3m 与l 2:2x +(5+m )y =8。
若l 1∥l 2,则m 的值为( )
A .-1
B .-6
C .-7
D .-1或-7
【答案】C
【解析】l 1∥l 2等价于3+m 2=4
5+m ≠5-3m 8,解得m =-7。
故选C 。
4.(东城期末)如果平面直角坐标系内的两点A (a -1,a +1),B (a ,a )关于直线l 对称,那么直线l 的方程为( )
A .x -y +1=0
B .x +y +1=0
C .x -y -1=0
D .x +y -1=0
【答案】A
【解析】因为直线AB 的斜率为a +1-a
a -1-a
=-1,所以直线l 的斜率为1,设直线
l 的方程为y =x +b ,由题意知直线l 过点⎝ ⎛⎭
⎪⎫2a -12,2a +12,所以2a +12=2a -1
2+b ,
即b =1,所以直线l 的方程为y =x +1,即x -y +1=0。
故选A 。
5.(江西宜春模拟)在等腰三角形MON 中,|MO |=|MN |,点O (0,0),M (-1,3),点N 在x 轴的负半轴上,则直线MN 的方程为( )
A .3x -y -6=0
B .3x +y +6=0
C .3x -y +6=0
D .3x +y -6=0
【答案】C
【解析】因为|MO |=|MN |,所以直线MN 的斜率与直线MO 的斜率互为相反数,所以k M N =-k M O =3。
所以直线MN 的方程为y -3=3(x +1),即3x -y +6=0。
故选C 。
6.(银川模拟)曲线y =(x +a )e x 在x =0处的切线与直线x +y +1=0垂直,则a 的值为( )
A .-1
B .0
C .1
D .2
【答案】B
【解析】因为y =(x +a )e x ,所以y ′=(1+x +a )e x 。
所以曲线y =(x +a )e x 在x =0处的切线的斜率k =y ′|x =0=1+a 。
又切线与直线x +y +1=0垂直,故1+a =1,解得a =0。
故选B 。
7.(南昌检测)直线3x -4y +5=0关于x 轴对称的直线的方程是( ) A .3x +4y +5=0
B .3x +4y -5=0
C .-3x +4y -5=0
D .-3x +4y +5=0
【答案】A
【解析】在所求直线上任取一点P (x ,y ),则点P 关于x 轴的对称点P ′(x ,-y )在已知的直线3x -4y +5=0上,所以3x -4(-y )+5=0,即3x +4y +5=0。
故选A 。
8.(北京顺义区检测)若直线y =-2x +3k +14与直线x -4y =-3k -2的交点位于第四象限,则实数k 的取值范围是( )
A .(-6,-2)
B .(-5,-3)
C .(-∞,-6)
D .(-2,+∞)
【答案】A
【解析】解方程组⎩⎪⎨⎪⎧ y =-2x +3k +14,x -4y =-3k -2得⎩
⎪⎨⎪⎧
x =k +6,
y =k +2,因为直线y =-2x +
3k +14与直线x -4y =-3k -2的交点位于第四象限,所以k +6>0且k +2<0,所以-6<k <-2。
故选A 。
二、填空题
9.(重庆检测)已知直线l 1的方程为3x +4y -7=0,直线l 2的方程为6x +8y +1=0,则直线l 1与l 2的距离为________.
【答案】3
2
【解析】直线l 1的方程为3x +4y -7=0,直线l 2的方程为6x +8y +1=0,即3x +4y +12=0,∴直线l 1与l 2的距离为⎪⎪⎪⎪
⎪⎪12+732+4
2=3
2。
10.(2019四川攀枝花质检)已知点A (-3,-4),B (6,3)到直线l :ax +y +1=0的距离相等,则实数a 的值为________.
【答案】-13或-7
9
【解析】由题意及点到直线的距离公式, 得|-3a -4+1|a 2+1=|6a +3+1|a 2
+1, 解得a =-13或-7
9。
11.(江西八校联考)已知点P (x ,y )到A (0,4)和B (-2,0)的距离相等,则2x +4y
的最小值为________.
【答案】4
2
【解析】由题意得点P 在线段AB 的中垂线上,则易得x +2y =3,∴2x +4y ≥22x ·4y =22x +2y =4 2,当且仅当x =2y =3
2时取等号.故2x +4y 的最小值
为4
2。
12.(甘肃天水二中模拟)已知点P (4,a )到直线4x -3y -1=0的距离不大于3,则a 的取值范围是________.
【答案】[0,10]
【解析】由题意得,点P 到直线的距离为|4×4-3×a -1|5=|15-3a |
5。
又|15-3a |
5≤3,即|15-3a |≤15,解得0≤a ≤10,所以a 的取值范围是[0,10].
三、解答题
13.(江西九校联考)已知方程(2+λ)x -(1+λ)y -2(3+2λ)=0与点P (-2,2). (1)证明:对任意的实数λ,该方程都表示直线,且这些直线都经过同一定点,并求出这一定点的坐标;
(2)证明:该方程表示的直线与点P 的距离d 小于4 2。
【证明】(1)显然2+λ与-(1+λ)不可能同时为零,故对任意的实数λ,该方程
都表示直线.
∵方程可变形为2x -y -6+λ(x -y -4)=0,
∴⎩⎪⎨⎪⎧ 2x -y -6=0,x -y -4=0,解得⎩⎪⎨⎪⎧
x =2,y =-2,
故直线经过的定点为M (2,-2). (2)过点P 作直线的垂线段PQ ,由垂线段小于斜线段知|PQ |≤|PM |,当且仅当点Q 与点M 重合时,|PQ |=|PM |,
此时对应的直线方程是y +2=x -2,即x -y -4=0。
但直线系方程唯独不能表示直线x -y -4=0, ∴点M 与点Q 不可能重合.而|PM |=4
2,∴|PQ |<4
2,故所证成立.。