Windows ADK DISM常用命令
- 格式:doc
- 大小:86.00 KB
- 文档页数:3
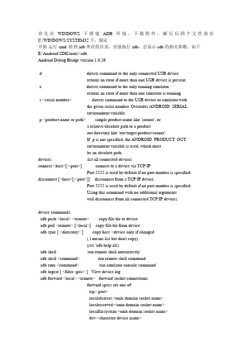
首先在WINDOWS下搭建ADB环境,下载附件,解压后四个文件放在C:/WINDOWS/SYSTEM32下,搞定开始-运行-cmd 转到adb所在的目录,直接执行adb,会显示adb的相关参数。
如下E:\Android\SDK\tools>adbAndroid Debug Bridge version 1.0.26-d - directs command to the only connected USB devicereturns an error if more than one USB device is present.-e - directs command to the only running emulator.returns an error if more than one emulator is running.-s <serial number> - directs command to the USB device or emulator withthe given serial number. Overrides ANDROID_SERIALenvironment variable.-p <product name or path> - simple product name like 'sooner', ora relative/absolute path to a productout directory like 'out/target/product/sooner'.If -p is not specified, the ANDROID_PRODUCT_OUTenvironment variable is used, which mustbe an absolute path.devices - list all connected devicesconnect <host>[:<port>] - connect to a device via TCP/IPPort 5555 is used by default if no port number is specified. disconnect [<host>[:<port>]] - disconnect from a TCP/IP device.Port 5555 is used by default if no port number is specified.Using this ocmmand with no additional argumentswill disconnect from all connected TCP/IP devices.device commands:adb push <local> <remote> - copy file/dir to deviceadb pull <remote> [<local>] - copy file/dir from deviceadb sync [ <directory> ] - copy host->device only if changed(-l means list but don't copy)(see 'adb help all')adb shell - run remote shell interactivelyadb shell <command> - run remote shell commandadb emu <command> - run emulator console commandadb logcat [ <filter-spec> ] - View device logadb forward <local> <remote> - forward socket connectionsforward specs are one of:tcp:<port>localabstract:<unix domain socket name>localreserved:<unix domain socket name>localfilesystem:<unix domain socket name>dev:<character device name>jdwp:<process pid> (remote only)adb jdwp - list PIDs of processes hosting a JDWP transportadb install [-l] [-r] [-s] <file> - push this package file to the device and install it('-l' means forward-lock the app)('-r' means reinstall the app, keeping its data)('-s' means install on SD card instead of internal storage)adb uninstall [-k] <package> - remove this app package from the device('-k' means keep the data and cache directories)adb bugreport - return all information from the devicethat should be included in a bug report.adb help - show this help messageadb version - show version numDA TAOPTS:(no option) - don't touch the data partition-w - wipe the data partition-d - flash the data partitionscripting:adb wait-for-device - block until device is onlineadb start-server - ensure that there is a server runningadb kill-server - kill the server if it is runningadb get-state - prints: offline | bootloader | deviceadb get-serialno - prints: <serial-number>adb status-window - continuously print device status for a specified deviceadb remount - remounts the /system partition on the device read-writeadb reboot [bootloader|recovery] - reboots the device, optionally into the bootloader or recovery programadb reboot-bootloader - reboots the device into the bootloaderadb root - restarts the adbd daemon with root permissionsadb usb - restarts the adbd daemon listening on USBadb tcpip <port> - restarts the adbd daemon listening on TCP on the specified port networking:adb ppp <tty> [parameters] - Run PPP over USB.Note: you should not automatically start a PPP connection.<tty> refers to the tty for PPP stream. Eg. dev:/dev/omap_csmi_tty1[parameters] - Eg. defaultroute debug dump local notty usepeerdnsadb sync notes: adb sync [ <directory> ]<localdir> can be interpreted in several ways:- If <directory> is not specified, both /system and /data partitions will be updated.- If it is "system" or "data", only the corresponding partitionis updated.environmental variables:ADB_TRACE - Print debug information. A comma separated list of the following values1 or all, adb, sockets, packets, rwx, usb, sync, sysdeps, transport, jdwp ANDROID_SERIAL - The serial number to connect to. -s takes priority over this if given.ANDROID_LOG_TAGS - When used with the logcat option, only these debug tags are printed.下面说几个比较常用的。
强大实用的DISM命令使用方法详解分类:电脑应用技巧标签:命令、技巧、系统、问题184 views(浏览)DISM(Deployment Imaging and Management),即部署映像服务和管理,用于安装、卸载、配置和更新脱机 Windows(R) 映像和脱机 Windows 预安装环境 (Windows PE) 映像中的功能和程序包。
DISM.exe是一个非常强大的工具,对于作为普通用户的我们,或许并不需要部署、管理映像,但有的功能你一定会喜欢的。
1.查看当前系统信息:dism /online /Get-CurrentEdition2.查看当前系统是否可升级,以及可升级版本:dism /online /Get-TargetEditions3.开启/关闭系统功能首先用命令dism /online /Get-Features|more 查看所有功能(1)如果你想禁用当前状态为“已启用”的功能,只需使用一个简单的DISM指令,键入:dism /online /Disable-Feature /FeatureName:XXXXXX处输入列表中你想要关闭的功能(2)如果你想开启当前状态为“已禁用”的功能,键入:dism /online /Enable-Feature /FeatureName:XXXXXX处输入列表中你想要开启的功能。
4.系统备份用DISM 命令进行系统备份与还原不需要任何第三方软件,备份后的镜像文件格式为wim,备份文件占用空间小(比Ghost 小很多),而且可进行增量备份。
缺陷:不支持热备份,备份与还原需要在 Win7 以上的 PE 或第二系统中进行。
备份小技巧:初始备份耗时较长,可以在没有原始备份文件情况下使用安装镜像中的 install.wim 进行增量备份,然后提取出此次备份即可。
笔者初始备份耗时半小时以上,增量备份仅十分钟左右,当然这个因人而异,毕竟取决于系统盘文件大小。
wim转esd的三个步骤的流程和注意事项下载温馨提示:该文档是我店铺精心编制而成,希望大家下载以后,能够帮助大家解决实际的问题。
文档下载后可定制随意修改,请根据实际需要进行相应的调整和使用,谢谢!并且,本店铺为大家提供各种各样类型的实用资料,如教育随笔、日记赏析、句子摘抄、古诗大全、经典美文、话题作文、工作总结、词语解析、文案摘录、其他资料等等,如想了解不同资料格式和写法,敬请关注!Download tips: This document is carefully compiled by theeditor.I hope that after you download them,they can help yousolve practical problems. The document can be customized andmodified after downloading,please adjust and use it according toactual needs, thank you!In addition, our shop provides you with various types ofpractical materials,such as educational essays, diaryappreciation,sentence excerpts,ancient poems,classic articles,topic composition,work summary,word parsing,copy excerpts,other materials and so on,want to know different data formats andwriting methods,please pay attention!WIM转ESD的三步流程及注意事项Windows Imaging Format (WIM)和Enhanced System Disk (ESD)是Windows操作系统中两种常见的映像文件格式。
Windows电脑常用命令1. gpedit.msc-----组策略2. sndrec32-------录音机3. Nslookup-------IP地址侦测器4. explorer-------打开资源管理器5. logoff---------注销命令6. shutdown-------60秒倒计时关机命令7. lusrmgr.msc----本机用户和组8. services.msc---本地服务设置9. oobe/msoobe /a----检查XP是否激活10. notepad--------打开记事本11. cleanmgr-------垃圾整理12. net start messenger----开始信使服务13. compmgmt.msc---计算机管理14. net stop messenger-----停止信使服务15. conf-----------启动netmeeting16. dvdplay--------DVD播放器17. charmap--------启动字符映射表18. diskmgmt.msc---磁盘管理实用程序19. calc-----------启动计算器20. dfrg.msc-------磁盘碎片整理程序21. chkdsk.exe-----Chkdsk磁盘检查22. devmgmt.msc--- 设备管理器23. regsvr32 /u *.dll----停止dll文件运行24. drwtsn32------ 系统医生25. rononce -p----15秒关机26. dxdiag---------检查DirectX信息27. regedt32-------注册表编辑器28. Msconfig.exe---系统配置实用程序29. rsop.msc-------组策略结果集30. mem.exe--------显示内存使用情况31. regedit.exe----注册表32. winchat--------XP自带局域网聊天33. progman--------程序管理器34. winmsd---------系统信息35. perfmon.msc----计算机性能监测程序36. winver---------检查Windows版本37. sfc /scannow-----扫描错误并复原38. taskmgr-----任务管理器(2000/xp/200340. wmimgmt.msc----打开windows管理体系结构(WMI)41. wupdmgr--------windows更新程序42. wscript--------windows脚本宿主设置43. write----------写字板45. wiaacmgr-------扫描仪和照相机向导46. winchat--------XP自带局域网聊天49. mplayer2-------简易widnows media player50. mspaint--------画图板51. mstsc----------远程桌面连接52. magnify--------放大镜实用程序53. mmc------------打开控制台54. mobsync--------同步命令55. iexpress-------木马捆绑工具,系统自带56. fsmgmt.msc-----共享文件夹管理器57. utilman--------辅助工具管理器68. dcomcnfg-------打开系统组件服务59. ddeshare-------打开DDE共享设置60. osk------------打开屏幕键盘61. odbcad32-------ODBC数据源管理器62. oobe/msoobe /a----检查XP是否激活63. ntbackup-------系统备份和还原64. narrator-------屏幕“讲述人”65. ntmsmgr.msc----移动存储管理器66. ntmsoprq.msc---移动存储管理员操作请求67. netstat -an----(TC)命令检查接口68. syncapp--------创建一个公文包69. sysedit--------系统配置编辑器70. sigverif-------文件签名验证程序71. ciadv.msc------索引服务程序72. shrpubw--------创建共享文件夹73. secpol.msc-----本地安全策略74. syskey---------系统加密,一旦加密就不能解开,保护windows xp系统的双重密码75. services.msc---本地服务设置76. Sndvol32-------音量控制程序77. sfc.exe--------系统文件检查器78. sfc /scannow---windows文件保护79. ciadv.msc------索引服务程序80. tourstart------xp简介(安装完成后出现的漫游xp程序)81. taskmgr--------任务管理器82. eventvwr-------事件查看器83. eudcedit-------造字程序84. compmgmt.msc---计算机管理85. packager-------对象包装程序86. perfmon.msc----计算机性能监测程序87. charmap--------启动字符映射表88. cliconfg-------SQL SERVER 客户端网络实用程序89. Clipbrd--------剪贴板查看器90. conf-----------启动netmeeting91. certmgr.msc----证书管理实用程序92. regsvr32 /u *.dll----停止dll文件运行93. regsvr32 /u zipfldr.dll------取消ZIP支持94. netsh wlan show profiles 展示所有网络95. netsh wlan show profile name=“想查看的wifi的名称” key=clear (查看电脑已连接的WiFi密码(上接94的命令,先输入94的命令,在通过95的命令查看需要查的wifi密码))96.powercfg /batteryreport 查看电池损耗使用情况,电脑会生成一个电池使用报告文件,根据文件路径用浏览器打开即可查阅。
dism命令使用详解(替代peimg)部署映像服务和管理(DISM.exe) 用于安装、卸载、配置和更新脱机Windows(R) 映像和脱机Windows 预安装环境(Windows PE) 映像中的功能和程序包。
可用于处理映像的命令和选项取决于您所处理的Windows 操作系统(Windows® 7、Windows Vista® Service Pack 1 (SP1)、Windows Server® 2008 R2、Windows Server® 2008 或Windows PE),以及映像是脱机还是处于运行状态的操作系统。
所有的命令都可用于处理脱机Windows 映像。
这些命令的子集可用于处理处于运行状态的操作系统。
DISM 命令行选项是全局选项,而且可与大多数服务命令行选项一同使用。
服务命令行选项独立发挥作用,不能与其他服务命令行选项结合使用。
通过装载Windows 映像或指定处于运行状态的操作系统,可以处理该Windows 映像。
DISM 取代了多个Windows OEM 预安装工具包(Windows OPK) 工具,包括PEImg、Intlcfg 和程序包管理器。
DISM 命令行选项若要处理脱机Windows 映像,必须先装载该映像。
可以使用Windows 映像(WIM) 命令和参数来装载WIM 映像,以便进行处理和管理。
还可以使用这些命令列出索引或验证正在装载的映像的体系结构。
更新映像后,必须将其卸载并提交或放弃已做的更改。
以下命令可用于装载、卸载和查询WIM 文件。
这些选项不区分大小写。
[tr]选项参数描述[/tr]/Mount-Wim /WimFile:<path_to_image.wim>/Index:<image_index>/Name:<image_name>/MountDir:<path_to_mount_directory>/ReadOnly将WIM 文件装载到指定的目录,以便可对其进行处理。
windows命令行常用命令常用快捷键一、常用命令:gpedit.mc-----组策略ndrec32-------录音机Nlookup-------IP地址侦测器e某plorer-------打开资源管理器logoff---------注销命令thutdn-------60秒倒计时关机命令lurmgr.mc----本机用户和组ervice.mc---本地服务设置oobe/moobe/a----检查某P是否激活notepad--------打开记事本cleanmgr-------垃圾整理nettopmeenger-----停止信使服务conf-----------启动netmeetingdvdplay--------DVD播放器charmap--------启动字符映射表dikmgmt.mc---磁盘管理实用程序calc-----------启动计算器dfrg.mc-------磁盘碎片整理程序chkdk.e某e-----Chkdk磁盘检查devmgmt.mc---设备管理器regvr32/u某.dll----停止dll文件运行drwtn32------系统医生rononce-p----15秒关机d某diag---------检查Direct某信息regedt32-------注册表编辑器Mconfig.e某e---系统配置实用程序rop.mc-------组策略结果集mem.e某e--------显示内存使用情况regedit.e某e----注册表winchat--------某P自带局域网聊天progman--------程序管理器winmd---------系统信息perfmon.mc----计算机性能监测程序winver---------检查Window 版本fc/cannow-----扫描错误并复原takmgr-----任务管理器(2000/某p/2003)winver---------检查Window版本wmimgmt.mc----打开window管理体系结构(WMI)wupdmgr--------window更新程序wcript--------window脚本宿主设置write----------写字板winmd---------系统信息wiaacmgr-------扫描仪和照相机向导winchat--------某P自带局域网聊天mem.e某e--------显示内存使用情况Mconfig.e某e---系统配置实用程序mplayer2-------简易widnowmediaplayermpaint--------画图板mtc----------远程桌面连接mplayer2-------媒体播放机magnify--------放大镜实用程序mmc------------打开控制台mobync--------同步命令d某diag---------检查Direct某信息drwtn32------系统医生devmgmt.mc---设备管理器nettopmeenger-----停止信使服务notepad--------打开记事本nlookup-------网络管理的工具向导ntbackup-------系统备份和还原narrator-------屏幕“讲述人”ntmmgr.mc----移动存储管理器ntmoprq.mc---移动存储管理员操作请求nettat-an----(TC)命令检查接口yncapp--------创建一个公文包yedit--------系统配置编辑器igverif-------文件签名验证程序ndrec32-------录音机hrpubw--------创建共享文件夹ecpol.mc-----本地安全策略ykey---------系统加密,一旦加密就不能解开,保护某p的双重密码ervice.mc---本地服务设置Sndvol32-------音量控制程序fc.e某e--------系统文件检查器fc/cannow---window文件保护thutdn-------60秒倒计时关机命令tourtart------某p简介(安装完成后出现的漫游某p程序)takmgr--------任务管理器eventvwr-------事件查看器eudcedit-------造字程序e某plorer-------打开资源管理器packager-------对象包装程序perfmon.mc----计算机性能监测程序progman--------程序管理器regedit.e某e----注册表rop.mc-------组策略结果集regedt32-------注册表编辑器rononce-p----15秒关机regvr32/u某.dll----停止dll文件运行regvr32/uzipfldr.dll------取消ZIP支持cmd.e某e--------CMD 命令提示符chkdk.e某e-----Chkdk磁盘检查certmgr.mc----证书管理实用程序calc-----------启动计算器charmap--------启动字符映射表odbcad32-------ODBC数据源管理器oobe/moobe/a----检查某P是否激活lurmgr.mc----本机用户和组logoff---------注销命令ie某pre-------木马捆绑工具,系统自带Nlookup-------IP地址侦测器fmgmt.mc-----共享文件夹管理器mie某ec/regerver-------启用windowll组件mie某ec/unregerver----------禁用windowll组件二、常用快捷键:一、常见用法:F1显示当前程序或者window的帮助内容。
Dism命令怎么使用推荐文章win7怎么用命令行修复系统教程热度: windows怎么使用命令查看和终止进程热度:Win10系统cmd命令提示符怎么切换到旧版本热度: win10运行命令怎么打开方法有几种热度: win10中使用命令配置WIFI热点失败怎么解决热度:DISM:是Deployment Imaging and Management(部署映像服务和管理)的缩写。
DISM:用于安装、卸载、配置和更新脱机Windows(R) 映像和脱机 Windows 预安装环境 (Windows PE) 映像中的功能和程序包。
下面是店铺为大家整理的Dism命令的资料,希望对您有所帮助!图文介绍用Dism命令检查和修复系统映像文件的方法用Dism命令检查和修复系统映像文件的方法第一步:查看计算机当前系统信息。
右键点击开始,在右键菜单中左键点击:命令提示符(管理员)(A);其它系统可以用:开始(或:Win+R) - 运行输入:CMD,回车的方式打开管理员命令提示符窗口。
我们在管理员命令提示符窗口输入:Dism /online /Get-CurrentEdition命令,输入可能会有误,输入命令的小技巧是:先复制:Dism /online /Get-CurrentEdition,再点击窗口左上角的小方框,在下拉菜单中点击:编辑 - 粘贴。
输入Dism /online /Get-CurrentEdition命令以后,按下键盘上的回车(Entel)键,可以看到映像版本为:10.0.10240.16384,当前版本为:Professional;第二步:查看当前系统是否可升级,以及可升级版本。
在管理员命令提示符窗口输入:Dism /online /Get-TargetEditions命令,回车,可见系统可以升级,升级的目标版本:Enterprise,目标版本:Education。
第三步:检查映像是否可修复。
我们在管理员命令提示符窗口输入:Dism /Online /Cleanup-Image /ScanHealth命令,扫描映像,检查映像是否损坏。
windows操作系统的常用命令Windows操作系统的常用命令是指在Windows操作系统中常用的命令行工具,通过这些命令可以对操作系统进行各种管理和控制。
本文将逐步介绍Windows操作系统常用命令的使用方法和功能。
一、打开命令提示符(Command Prompt)要使用Windows操作系统常用命令,首先需要打开命令提示符。
在Windows系统中,打开命令提示符有多种方法:1.按Win+R组合键,输入"cmd"然后按回车键;2.在开始菜单中搜索"命令提示符"并点击打开;3.在文件资源管理器的地址栏中输入"cmd"并按回车键。
二、常用命令的基本使用方法在命令提示符中输入命令时,一般按照以下格式:命令名称[参数1] [参数2] ... [参数n]其中,命令名称是要执行的具体命令,参数是对命令进行进一步细化或指定具体操作对象的选项。
三、常用命令的介绍1.系统信息命令系统信息命令用于查看当前计算机的硬件和软件信息。
- systeminfo:显示详细的系统信息,包括操作系统版本、主机名、安装日期、处理器类型等。
2.文件和目录管理命令文件和目录管理命令用于创建、删除、复制和移动文件及目录。
- dir:列出当前目录下的文件和子目录列表;- cd:切换当前目录,如"cd C:\Windows";- md:创建新目录,如"md MyFolder";- rd:删除目录,如"rd MyFolder";- del:删除文件,如"del MyFile.txt";- copy:复制文件,如"copy MyFile.txt D:\Backup";- move:移动文件,如"move MyFile.txt D:\Folder"。
3.网络管理命令网络管理命令用于管理网络连接和设置网络参数。
windows操作系统的常用命令-回复Windows 操作系统是目前最广泛使用的操作系统之一,具有丰富的命令行工具,可以进行各种系统管理和操作。
本文将详细介绍一些常用的Windows 操作系统命令,包括文件和文件夹管理、网络配置、系统信息查看等内容,帮助读者更好地掌握和使用Windows 操作系统。
一、文件和文件夹管理1. dirdir 命令用于显示当前目录下的文件和文件夹列表。
在命令提示符中输入"dir",然后按下回车键即可显示当前目录的内容。
2. cdcd 命令用于切换当前工作目录。
例如,输入"cd C:\users" 切换至users 目录。
3. mdmd 命令用于创建新的文件夹。
输入"md folder_name",其中folder_name 是要创建的文件夹名称。
4. rdrd 命令用于删除空的文件夹。
输入"rd folder_name",其中folder_name 是要删除的文件夹名称。
5. deldel 命令用于删除文件。
输入"del file_name",其中file_name 是要删除的文件名称。
6. copycopy 命令用于复制文件。
输入"copy source_file destination_file",其中source_file 是要复制的源文件,destination_file 是要复制到的目标位置。
7. movemove 命令用于移动文件。
输入"move source_file destination_file",其中source_file 是要移动的源文件,destination_file 是要移动到的目标位置。
二、网络配置1. ipconfigipconfig 命令用于显示当前网络配置信息。
输入"ipconfig",然后按下回车键即可显示当前网络的IP 地址、子网掩码等信息。
windows终端上的常用命令
一、常用命令
1. dir:查看目录信息,包括文件和文件夹。
2. cd:转换工作目录。
3. copy:将一个文件复制到另一个位置。
4. del:删除一个或多个文件。
5. md:创建新文件夹。
6. type:显示指定文件的内容。
7. ren:重命名文件或文件夹。
8. attrib:更改文件属性。
9. cls:清屏。
10. tracert:Trace the route taken by packets across an IP network
11. ping:测试当前网络是否畅通。
12. ipconfig:查看电脑IP地址。
13. netstat:查看电脑的网络状态。
14. tasklist:查看当前系统运行的进程。
15. taskkill:结束一个进程。
16. shutdown:关机或重启。
17. format:格式化磁盘。
18. sfc:扫描并修复系统文件。
19. date:查看或设置系统时间。
20. time:查看或设置系统时间。
windows运行命令大全网上收集了一些Windows 系统的运行命令,基本上Windows XP / Windows 7 都可以使用,那么你知道windows运行命令有哪些吗?下面是店铺整理的一些关于windows运行命令大全的相关资料,供你参考。
windows运行命令大全:cleanmgr 打开磁盘清理工具compmgmt.msc 计算机管理conf 启动 netmeetingcharmap 启动字符映射表calc 启动计算器chkdsk.exe Chkdsk磁盘检查cmd.exe CMD命令提示符certmgr.msc 证书管理实用程序Clipbrd 剪贴板查看器ciadv.msc 索引服务程序dvdplay DVD播放器diskmgmt.msc 磁盘管理实用程序dfrg.msc 磁盘碎片整理程序devmgmt.msc 设备管理器dxdiag 检查DirectX信息dcomcnfg 打开系统组件服务ddeshare 打开DDE共享设置explorer 打开资源管理器eventvwr 事件查看器eudcedit 造字程序fsmgmt.msc 共享文件夹管理器gpedit.msc 组策略iexpress IExpress Wizard 系统自带logoff 注销命令lusrmgr.msc 本机用户和组mstsc 远程桌面连接Msconfig.exe 系统配置实用程序mem.exe 显示内存使用情况,如果直接运行无效可以先运行cmd,在命令提示符里输入mem.exe>d:a.txt 即可打开d盘查看a.txt,里面的就是内存使用情况了。
mplayer2 简易 widnows media playermspaint 画图板mplayer2 媒体播放机magnify 放大镜实用程序mmc 打开控制台mobsync 同步命令notepad 打开记事本notepad 打开记事本nslookup 网络管理的工具向导ntbackup 系统备份和还原narrator 屏幕“讲述人”ntmsmgr.msc 移动存储管理器ntmsoprq.msc 移动存储管理员操作请求netstat -an 命令检查接口Nslookup IP地址侦测器osk 打开屏幕键盘odbcad32 ODBC数据源管理器progman 程序管理器perfmon.msc 计算机性能监测程序packager 对象包装程序regsvr32 /u *.dll 停止dll文件运行(把*号换成要停止的dll文件名)regedt32 注册表编辑器rsop.msc 组策略结果集regedit.exe 注册表regsvr32 /u zipfldr.dll 取消ZIP支持sndrec32 录音机services.msc 本地服务设置Sndvol32 音量控制程序sfc.exe 系统文件检查器 sfc /scannow windows文件保护taskmgr 任务管理器winmsd 系统信息winver 查看Windows版本wmimgmt.msc 打开windows管理体系结构(WMI) wiaacmgr 扫描仪和照相机向导。
操作系统Windows命令大全本文是小编为大家整理的操作系统Windows 命令大全,欢迎大家阅读学习。
Windows常用命令集winver---------检查windows版本wmimgmt.msc----打开windows管理体系结构(wmi)wupdmgr--------windows更新程序w脚本--------windows脚本宿主设置write----------写字板winmsd---------系统信息wiaacmgr-------扫描仪和照相机向导winchat--------xp自带局域网聊天mem.exe--------显示内存使用情况msconfig-----------启动msconfig.exe---系统配置实用程序mplayer2-------简易widnows media playermspaint--------画图板mstsc----------远程桌面连接mplayer2-------媒体播放机magnify--------放大镜实用程序mmc------------打开控制台mobsync--------同步命令dxdiag---------检查directx信息drwtsn32------ 系统医生devmgmt.msc--- 设备管理器dfrg.msc-------磁盘碎片整理程序diskmgmt.msc---磁盘管理实用程序dcomcnfg-------打开系统组件服务ddeshare-------打开dde共享设置dvdplay--------dvd播放器nslookup-------ip地址侦测器net stop messenger-----停止信使服务net start messenger----开始信使服务notepad--------打开记事本nslookup-------网络管理的工具向导ntbackup-------系统备份和还原narrator-------屏幕“讲述人”ntmsmgr.msc----移动存储管理器ntmsoprq.msc---移动存储管理员操作请求netstat -an----(tc)命令检查接口syncapp--------创建一个公文包sysedit--------系统配置编辑器sigverif-------文件签名验证程序sndrec32-------录音机shrpubw--------创建共享文件夹secpol.msc-----本地安全策略syskey---------系统加密,一旦加密就不能解开,保护windows xp系统的双重密码services.msc---本地服务设置sndvol32-------音量控制程序sfc.exe--------系统文件检查器sfc /scannow---windows文件保护(扫描错误并复原)tsshutdn-------60秒倒计时关机命令tourstart------xp简介(安装完成后出现的漫游xp程序)taskmgr--------任务管理器 (2000/xp/2003)eventvwr-------事件查看器eudcedit-------造字程序explorer-------打开资源管理器packager-------对象包装程序perfmon.msc----计算机性能监测程序progman--------程序管理器regedit.exe----注册表rsop.msc-------组策略结果集regedt32-------注册表编辑器rononce -p ----15秒关机regsvr32 /u *.dll----停止dll文件运行regsvr32 /u zipfldr.dll------取消zip支持cmd.exe--------cmd命令提示符chkdsk.exe-----chkdsk磁盘检查certmgr.msc----证书管理实用程序calc-----------启动计算器charmap--------启动字符映射表cliconfg-------sql server 客户端网络实用程序clipbrd--------剪贴板查看器conf-----------启动netmeeting compmgmt.msc---计算机管理cleanmgr-------垃圾整理ciadv.msc------索引服务程序osk------------打开屏幕键盘odbcad32-------odbc数据源管理器oobe/msoobe /a----检查xp是否激活lusrmgr.msc----本机用户和组logoff---------注销命令iexpress-------木马捆绑工具,系统自带fsmgmt.msc-----共享文件夹管理器utilman--------辅助工具管理器gpedit.msc-----组策略。
windows系统管理员常用命令1.gpedit.msc-----组策略2.sndrec32-------录音机3.Nslookup-------IP地址侦测器4.explorer-------打开资源管理器5.logoff---------注销命令6.tsshutdn-------60秒倒计时关机命令7.lusrmgr.msc----本机用户和组8.services.msc---本地服务设置9.oobe/msoobe/a----检查XP是否激活10.notepad--------打开记事本A11.cleanmgr-------垃圾整理 start messenger----开始信使服务pmgmt.msc---计算机管理 stop messenger-----停止信使服务15.conf-----------启动netmeeting16.dvdplay--------DVD播放器17.charmap--------启动字符映射表18.diskmgmt.msc---磁盘管理实用程序19.calc-----------启动计算器20.dfrg.msc-------磁盘碎片整理程序21.chkdsk.exe-----Chkdsk磁盘检查22.devmgmt.msc---设备管理器23.regsvr32/u*.dll----停止dll文件运行24.drwtsn32------系统医生25.rononce-p----15秒关机26.dxdiag---------检查DirectX信息27.regedt32-------注册表编辑器28.Msconfig.exe---系统配置实用程序29.rsop.msc-------组策略结果集30.mem.exe--------显示内存使用情况31.regedit.exe----注册表32.winchat--------XP自带局域网聊天33.progman--------程序管理器34.winmsd---------系统信息35.perfmon.msc----计算机性能监测程序36.winver---------检查Windows版本37.sfc/scannow-----扫描错误并复原38.taskmgr-----任务管理器(2000/xp/200339.winver---------检查Windows版本40.wmimgmt.msc----打开windows管理体系结构(WMI)41.wupdmgr--------windows更新程序42.wscript--------windows脚本宿主设置43.write----------写字板44.winmsd---------系统信息45.wiaacmgr-------扫描仪和照相机向导46.winchat--------XP自带局域网聊天47.mem.exe--------显示内存使用情况48.Msconfig.exe---系统配置实用程序49.mplayer2-------简易widnows media player50.mspaint--------画图板51.mstsc----------远程桌面连接52.mplayer2-------媒体播放机53.magnify--------放大镜实用程序54.mmc------------打开控制台55.mobsync--------同步命令56.dxdiag---------检查DirectX信息57.drwtsn32------系统医生58.devmgmt.msc---设备管理器59.dfrg.msc-------磁盘碎片整理程序60.diskmgmt.msc---磁盘管理实用程序61.dcomcnfg-------打开系统组件服务62.ddeshare-------打开DDE共享设置63.dvdplay--------DVD播放器 stop messenger-----停止信使服务 start messenger----开始信使服务66.notepad--------打开记事本67.nslookup-------网络管理的工具向导68.ntbackup-------系统备份和还原69.narrator-------屏幕“讲述人”70.ntmsmgr.msc----移动存储管理器71.ntmsoprq.msc---移动存储管理员操作请求stat-an----(TC)命令检查接口73.syncapp--------创建一个公文包74.sysedit--------系统配置编辑器75.sigverif-------文件签名验证程序76.sndrec32-------录音机77.shrpubw--------创建共享文件夹78.secpol.msc-----本地安全策略79.syskey---------系统加密,一旦加密就不能解开,保护windows xp系统的双重密码80.services.msc---本地服务设置81.Sndvol32-------音量控制程序82.sfc.exe--------系统文件检查器83.sfc/scannow---windows文件保护84.tsshutdn-------60秒倒计时关机命令85.tourstart------xp简介(安装完成后出现的漫游xp程序)86.taskmgr--------任务管理器87.eventvwr-------事件查看器88.eudcedit-------造字程序89.explorer-------打开资源管理器90.packager-------对象包装程序91.perfmon.msc----计算机性能监测程序92.progman--------程序管理器93.regedit.exe----注册表94.rsop.msc-------组策略结果集95.regedt32-------注册表编辑器96.rononce-p----15秒关机97.regsvr32/u*.dll----停止dll文件运行98.regsvr32/u zipfldr.dll------取消ZIP支持99.cmd.exe--------CMD命令提示符100.chkdsk.exe-----Chkdsk磁盘检查101.certmgr.msc----证书管理实用程序102.calc-----------启动计算器103.charmap--------启动字符映射表104.cliconfg-------SQL SERVER客户端网络实用程序105.Clipbrd--------剪贴板查看器106.conf-----------启动netmeetingpmgmt.msc---计算机管理108.cleanmgr-------垃圾整理109.ciadv.msc------索引服务程序110.osk------------打开屏幕键盘111.odbcad32-------ODBC数据源管理器112.oobe/msoobe/a----检查XP是否激活113.lusrmgr.msc----本机用户和组114.logoff---------注销命令115.iexpress-------木马捆绑工具,系统自带116.Nslookup-------IP地址侦测器117.fsmgmt.msc-----共享文件夹管理器118.utilman--------辅助工具管理器。
DISM.exe [dism_options] {WIM_command} [<WIM_arguments>]DISM.exe {/Image:<path_to_offline_image> | /Online} [dism_options] {servicing_command} [<servicing_arguments>]描述:DISM 枚举、安装、卸载、配置和更新Windows 映像中的功能和程序包。
可以使用的命令取决于提供的映像以及映像处于脱机状态还是正在运行。
WIM 命令:/Get-MountedWimInfo - 显示有关安装的WIM 映像的信息。
/Get-WimInfo - 显示有关WIM 文件中的映像的信息。
/Commit-Wim - 保存对安装的WIM 映像的更改。
/Unmount-Wim - 卸载安装的WIM 映像。
/Mount-Wim - 从WIM 文件安装映像。
/Remount-Wim - 恢复孤立的WIM 安装目录。
/Cleanup-Wim - 删除与损坏的安装的WIM 映像关联的资源。
实例:-------------------------------------------------------------------------------------/Mount-Wim /WimFile:<path_to_WIM_file> {/Index:<image_index> | /Name:<image_name>}/MountDir:<target_mount_directory> [/readonly]将WIM 文件安装到指定的目录以便该文件可用于服务。
/ReadOnly 设置具有只读权限的安装映像。
示例:DISM.exe /Mount-Wim /WimFile:C:\test\images\myimage.wim /index:1 /MountDir:C:\test\offlineDISM.exe /Mount-Wim /WimFile:C:\test\images\myimage.wim /index:1 /MountDir:C:\test\offline /ReadOnly-------------------------------------------------------------------------------------/ScratchDir:<path_to_directory>指定用来解压缩服务文件的临时目录。
最全的cmd命令大全介绍windows电脑常用的cmd命令汇总一.运行cmd命令的方法介绍1、我们先使用键盘上的快捷键“Win+R”打开运行窗口;2、在里面输入“cmd”就可打开cmd的命令窗口了;二.ows电脑运行cmd命令大全介绍1、gpedit.msc-----组策略;2、sndrec32-------录音机;3、Nslookup-------IP地址侦测器 ;4、explorer-------打开资源管理器;5、logoff---------注销命令;6、shutdown-------60秒倒计时关机命令;7、lusrmgr.msc----本机用户和组;8、services.msc---本地服务设置;9、oobe/msoobe /a----检查XP是否激活;10、notepad--------打开记事本;11、cleanmgr-------垃圾整理;12、net start messenger----开始信使服务;13、pmgmt.msc---计算机管理;14、net stop messenger-----停止信使服务;15、conf-----------启动netmeeting;16、dvdplay--------DVD播放器;17、charmap--------启动字符映射表;18、diskmgmt.msc---磁盘管理实用程序;19、calc-----------启动计算器;20、dfrg.msc-------磁盘碎片整理程序;21、chkdsk.exe-----Chkdsk磁盘检查;22、devmgmt.msc--- 设备管理器;23、regsvr32 /u *.dll----停止dll文件运行;24、drwtsn32------ 系统医生;25、rononce -p----15秒关机;26、dxdiag---------检查DirectX信息;27、regedt32-------注册表编辑器;28、Msconfig.exe---系统配置实用程序;29、rsop.msc-------组策略结果集;30、mem.exe--------显示内存使用情况;31、regedit.exe----注册表;32、winchat--------XP自带局域网聊天;33、progman--------程序管理器;34、winmsd---------系统信息;35、perfmon.msc----计算机性能监测程序;36、winver---------检查Windows版本;37、sfc /scannow-----扫描错误并复原;38、taskmgr-----任务管理器(2000/xp/2003);39、wmimgmt.msc----打开windows管理体系结构(WMI);40、wupdmgr--------windows更新程序;41、wscript--------windows脚本宿主设置;42、write----------写字板;43、wiaacmgr-------扫描仪和照相机向导;44、winchat--------XP自带局域网聊天;45、mspaint--------画图板;46、mstsc----------远程桌面连接;47、magnify--------放大镜实用程序;48、mmc------------打开控制台;49、mobsync--------同步命令;50、iexpress-------木马捆绑工具,系统自带;51、fsmgmt.msc-----共享文件夹管理器;52、utilman--------辅助工具管理器;53、dcnfg-------打开系统组件服务;54、ddeshare-------打开DDE共享设置;55、osk------------打开屏幕键盘;56、ntbackup-------系统备份和还原;57、ntmsmgr、msc----移动存储管理器;58、ntmsoprq、msc---移动存储管理员操作请求;59、netstat -an----(TC)命令检查接口;60、syncapp--------创建一个公文包;61、sysedit--------系统配置编辑器;62、sigverif-------文件签名验证程序;63、ciadv、msc------索引服务程序;64、shrpubw--------创建共享文件夹;65、secpol、msc-----本地安全策略;66、syskey---------系统加密;67、services、msc---本地服务设置;68、Sndvol32-------音量控制程序;69、sfc、exe--------系统文件检查器;70、sfc /scannow---windows文件保护;71、ciadv、msc------索引服务程序;72、tourstart------xp简介;73、taskmgr--------任务管理器;74、eventvwr-------事件查看器;75、eudcedit-------造字程序;76、pmgmt、msc---计算机管理;77、packager-------对象包装程序;78、perfmon、msc----计算机性能监测程序;79、charmap--------启动字符映射表;80、cliconfg-------SQL SERVER 客户端网络实用程序;81、Clipbrd--------剪贴板查看器;82、conf-----------启动netmeeting;83、certmgr、msc----证书管理实用程序;84、regsvr32 /u *、dll----停止dll文件运行;85、regsvr32 /u zipfldr、dll------取消ZIP支持;86、cmd、exe--------CMD命令提示符;。
Windows 7部署工具DISM解析DISM(Deployment Imaging andManagement)是Windows7中的镜像部署和管理工具,之前Windows中的此类工具包括ImageX、Pkgmgr、PEImg、Intlcfg,但是使用这些工具来修正或改变已创建的镜像非常繁琐,第一个问题就是你要知道什么时候用哪个工具,之后还要进行一系列的操作步骤,不过有了DISM,所有的这些工具都合为一体而且功能更加完善。
开启DISM:在使用DISM命令之前首先要开启该工具,简单的“开始-运行-cmd-Enter”并无法奏效,你需要执行以下操作“开始-运行-cmd-Shift+Ctrl+Enter”或者是点击“开始”输入cmd,当搜索框中出现cmd后右键点击并选择“Run asAdministrator”。
进行上述操作后你会看到在打开的窗口中其标题栏前缀为Administrator。
DISM有很多命令参数可以用于不同的操作需求,键入“dism/?”即可查看所有DISM指令。
使用DISM获取基本信息:启动DISM后就可以进行相关命令操作,首先来看一下当前运行操作系统的基本信息,执行“dism/online/Get-CurrentEdition”,/online是对当前版本执行操作的关键参数,/Get-CurrentEdition命令则告诉dism我们想要查看当前版本的信息,命令执行结果显示为:Deployment Image Servicing and Management toolVersion: 6.1.7100.0Image Version: 6.1.7100.0Current edition is:Current Edition : UltimateThe operation completed successfully.更深入一步,由于Windows7有多个不同版本,因此用户有很多升级选择,如果运行“dism/online/Get-TargetEditions”就可以查看当前版本可以升级到哪些其他版本,如果该机器已经在运行Windows 7 Ultimate,那么DISM会告知用户你已经没有升级选择:Deployment Image Servicing and Management toolVersion: 6.1.7100.0Image Version: 6.1.7100.0Editions that can be upgraded to:(The current edition cannot be upgraded to any target editions.)The operation completed successfully.使用DISM修改系统:除了可以查询系统信息,DISM的另一个非常有用的功能就是它不仅可以对“online”镜像执行相关操作还可以live镜像进行操作,也就是说我们可以使用DISM对正在运行的操作系统进行修改。
功能命令拷贝winpe copype.cmd x86 C:\winpe_86如果你的电脑是32位系统,请用X86字样代替amd64makewinpemedia /ufd c:\winpe_amd64创建Iso文件Mekewinpemedia /iso C:\winpe_x86Winp写入U盘Makewinpemedia /ufd /f c:\winpe_x86 e:拷贝系统安装文件Robocopy D:\ E:\windows\ /E D:指的是windows 8.1系统盘符,E是指目标盘符应用问答文件E:\windowssetup\setup.exe /unattend:e:\autounattend.xml抓取image Dism /capture-image /capturedir:c:\ /imagefile:d:\install.wim /name:”windows”抓取winboot image Dism /capture-image /capturedir:c:\ /imagefile:d:\wimboot.wim /name:”windows” /wi mboot /scratchdir:d:\scratch应用image Dism /apply-image /applydir:w:\ /imagefile:d:\install.wim /index:1应用wimboot image适用于WIN8.1 Dism /apply-image /applydir:w:\ /imagefile:d:\wimboot.wim /index:1 /wimboot /scratchdir:d:\scratch应用压缩image 适用于WIN10 Dism /apply-image /applydir:w:\ /imagefile:d:\install.wim /index:1 /Compact /scratchdir:d:\scratch创建启动文件1、Bcdboot w:\windows 2、w:\windows\system32\bcdboot w:\windows /s s:\装载映像Dism /mount-image /mountdir:d:\image /imagefile:d:\install.wim /index:1修改winpe登陆脚步Note1pad.exe c:\mountdir\windows\system32\startnet.cmd查看补丁Dism /image:d:\mountdir /get-packages添加补丁Dism /image:d:\mountdir /add-package /packagepath:c:\windows8.1-kb2919442.msu /logpath:addpackage.log添加语言包Dism /image:d:\mountdir /add-package /packagepath:c:\zh-cn\lp.cab /logpath:addpackage.log删除补丁包Dism /image:d:\mountdir /remove-package /packagename:””补丁包名称查看语言Dism /image:d:\mountdir /get-intl设置默认语言Dism /image:d:\mountdir /set-allintl:en-us设置默认时区Dism /image:d:\mountdir /set-timeione:“Pacific standard time”查看驱动Dism /image:d:\mountdir /get-drivers添加驱动Dism /image:d:\mountdir /add-driver /driver:d:\dirvers\xx.inf添加驱动目录Dism /image:d:\mountdir /add-driver /driver:d:\dirvers /recurse导出驱动Dism /image:d:\mountdir /export-driver /destination:d:\drivers删除驱动Dism /image:d:\mountdir /remove-driver /driver:oem0.inf添加移动版office适用于WIN10 dism /image:e:\mount /add-provisionedAPPxpackage /packagepath:c:\moffice\excel\X.appxbundle /licensepath:c:\moffice\excel\X.xml 清理image Dism /image:d:\mountdir /cleanup-image /startcomponentcleanup /resetbase检查image Dism /image:d:\mountdir /cleanup-image /scanhealthWimboot image Dism /image:d:\mountdir /optimize-image /wimboot卸载并保存映像Dism /unmount-image /mountdir:d:\image /commit卸载不保存映像Dism /unmount-image /mountdir:d:\image /discard清理卸载不完全的mount文件夹Dism /cleanup-mountpointsDism /unmounts-image /mountdir:d:\mount /discard导出iamge Dism /export-image /sourceimagefile:d:\install.wim /sourceindex:1 /destinationimagefile:d:\install1.wim导出wimboot iamge Dism /export-image /wimboot /sourceimagefile:E:\install.wim /sourceindex:1 /destinationimagefile:new_install.wim 分割image Dism /split-image /imagefile:d:\install.wim /swmfile:d:\split.swm /filesize:2500 /checkintegrity合并image Dism /export-image /sourceimagefile:d:\split.swm /swmfile:d:\split*.swm /sourceindex:1 /destinationimagefile:d:\install.wim /checkintegrity查看WIM文件信息Dism /get-wiminfo /wimfile:d:\install.wim /index:1查看时区Tzutil /?移除winre.wim系统文件属性attrib -h -a -s C:\mount\windows\Windows\System32\Recovery\winre.wim开机后直接启动进入传统Desktop reg add HKEY_USERS\default\Software\Microsoft\Windows\CurrentVersion\Explorer\StartPage /v OpenAtLogon /t REG_DWORD /d 0 /f桌面型应显示在Apps view reg add HKEY_USERS\default\Software\Microsoft\Windows\CurrentVersion\Explorer\StartPage /v DesktopFirst /t REG_DWORD /d 1 /f“Start Screen”和Desktop使用相同桌面背景Reg add HKEY_USERS\default\Software\Microsoft\Windows\CurrentVersion\Explorer\Accent /v MotionAccentId_v1.00 /t REG_DWORD /d 219 /f修改蓝牙电源管理reg add "HKEY_LOCAL_MACHINE\SYSTEM\ControlSet001\Enum\BCMBTBUS\BLUETOOTH\4&30789336&0&4097\DeviceParameters" /v SelectiveSuspendEnabled /t REG_DWORD /d 0 /f关闭蓝牙[HKEY_LOCAL_MACHINE\SYSTEM\ControlSet001\Enum\BCMBTBUS\BLUETOOTH\4&26b97c55&0&4097\Device Parameters] "RadioState"=dword:00000004打开蓝牙[HKEY_LOCAL_MACHINE\SYSTEM\ControlSet001\Enum\BCMBTBUS\BLUETOOTH\4&26b97c55&0&4097\Device Parameters] "RadioState"=dword:00000002控制面板图标显示方式(大图标)[HKEY_CURRENT_USER\Software\Microsoft\Windows\CurrentVersion\Explorer\ControlPanel]"StartupPage"=dword:00000001time GMT [HKEY_LOCAL_MACHINE\SYSTEM\CurrentControlSet\Control\TimeZoneInformation]"realtimeisuniversal"=dword:00000001time UTC [HKEY_LOCAL_MACHINE\SYSTEM\CurrentControlSet\Control\TimeZoneInformation]"realtimeisuniversal"=dword:00000000Wifi-off [HKEY_LOCAL_MACHINE\SYSTEM\ControlSet001\Control\Class\{4d36e972-e325-11ce-bfc1-08002be10318}\0000]"NICPowerState"=dword:00000000Wifi-on [HKEY_LOCAL_MACHINE\SYSTEM\ControlSet001\Control\Class\{4d36e972-e325-11ce-bfc1-08002be10318}\0000]"NICPowerState"=dword:00000007修改显示项目的大小Reg add HKEY_USERS\default\Control Panel\Desktop /v Logpixels /t REG_DWORD /d 90 /f默认模式@REM First boot set SignInMode #TabletMode is 0x00000001, DesktopMode is 0x00000000REG ADD HKCU\Software\Microsoft\Windows\CurrentVersion\ImmersiveShell /f /t REG_DWORD TabletMode /d 0x00000000离线安装.net DISM /Online /Enable-Feature /FeatureName:NetFx3 /All /LimitAccess /Source:G:\sources\sxslocation:/zh-CN/library/dd374073(VS.85).aspxlocale:/zh-cn/library/hh825678.aspx language:/zh-cn/library/hh825684.aspx keyboard: /fwlink/p/?LinkId=262262 timezone: /library/cc749073删除文件夹和内容RD d:\file /Q /S重命名文件REN d:\install.wim d:\new.wimDos命令安装和卸载驱动Pnputil /?重置激活期限Slmgr.vbs -rearmPowershell 导出开始菜单Export-StartLayout -Path d:\1.xml添加用户Net user /add ABC添加用户分组Net localgroup /ADD administrators ABC。