职高数学公式整理.doc
- 格式:doc
- 大小:221.52 KB
- 文档页数:5
职校高中数学知识点总结及公式大全全文共四篇示例,供读者参考第一篇示例:职校高中数学知识点总结及公式大全一、初等代数1. 二项式定理(a + b)^n = C(n,0)a^n + C(n,1)a^(n-1)b + C(n,2)a^(n-2)b^2 + ... + C(n,n-1)a b^(n-1) + C(n,n)b^n2. 多项式的加减乘除运算多项式加减法:合并同类项多项式乘法:展开式,按每一项分配展开多项式除法:长除法或者直接使用因式分解3. 一元二次方程一元二次方程的一般形式为ax^2 + bx + c = 0求根公式:x = (-b ± 根号(b^2 - 4ac)) / 2a判别式:Δ = b^2 - 4ac根的情况:Δ > 0,有两个不相等的实根Δ = 0,有两个相等的实根Δ < 0,无实数根4. 不等式解不等式的方法与解方程式类似,但需要注意不等式号的方向常见的不等式:线性不等式、一元二次不等式不等式的解集写法:用数轴表示或者写成区间形式5. 函数函数的定义:对于每个元素x,存在唯一的元素y 与之对应函数的图像:以y 轴为对称轴的曲线常见函数:一次函数、二次函数、指数函数、对数函数、三角函数二、平面几何1. 几何基本定理射影定理:两平行线被一截线相交,所成的两对对应角相等全等三角形的判定:SSS、SAS、ASA、AAS、HL相似三角形的判定:AA、SSS、SAS比例定理正弦定理:a/sinA = b/sinB = c/sinC余弦定理:c^2 = a^2 + b^2 - 2ab cosC2. 圆圆的相关性质:半径、直径、周长、面积圆的弦、割、切切线与半径的垂直性:切线与半径垂直于接触点圆内角的性质:内切圆、外切圆4. 向量向量的表示:用一个有向线段或者坐标表示向量的模:|a| = √(a1^2 + a2^2)向量的运算:加减法、数量积、向量积5. 空间几何点、直线、平面在空间中的位置关系直线和平面的交点及夹角平行线和垂直线的性质空间几何问题的解决方法第二篇示例:职校高中数学知识点总结在职校的高中数学课程中,学生将会接触到许多重要的数学知识点和公式。
重点公式 第零章一、()()0000<=>⎪⎩⎪⎨⎧-=a a a a a a二、因式分解常用的公式222)(2b a b ab a ±=+± ))((22b a b a b a -+=- ))((2233b ab a b a b a +±=±三、分式:除式中含有字母的有理式叫分式,分式有意义的条件是分母不零 1.分式的基本性质:M B M A B A ⨯⨯=MB MA B A ÷÷=(M 为整式,且0≠M ) 2.分式的运算:加减法:c b a c b c a ±=± bd bc ad d c b a ±=± 乘除法:bd ac d c b a =⋅ bcadc d b a d c b a =⨯=÷乘方:n nn ba b a =)( (n 为正整数)四、1.一元二次方程的求根公式:aac b b x 242-±-= (042≥-ac b )2.韦达定理:a b x x -=+21;ac x x =⋅21 第一章一、非空集合A 有:子集:n2个;真子集:12-n个;非空真子集个数:22-n个 二、两个实数大小的比较b a b a >⇔>-0 b a b a =⇔=-0 b a b a <⇔<-0第二章一、不等式的性质 1.对称性:a b b a <⇔> 2.传递性:c a c b b a <⇔>>, 3.(同加)m b m a b a +>+⇒>4. bc ac c b a >⇒>>0, bc ac c b a =⇒=>0, bc ac c b a <⇒<>0,5.(1) 加法运算(同向加):d b c a d c b a +>+⇒>>,(2)减法运算:统一成加法运算c b d a c d b a d c b a ->-⇒->->⇒>>,, 6.(1)(正向同乘) bd ac d c b a >⇒>>>>0,0 (2)除法运算:统一乘法运算0011,00,0>>⇒>>>>⇒>>>>cbd a c d b a d c b a 7.乘方运算(正乘方):)1,(0>∈>⇒>>+n N n b a b a nn且 8.开方运算(正开方):)1,(0>∈>⇒>>+n N n b a b a n n且9.(同号倒) ba ab b a 110,<⇒>> 二、均值定理1.时取等号当且仅当其中b a R b a ab ba =∈≥++,,,22. 时取等号当且仅当其中c b a R c b a abc c b a ==∈≥+++,,,,33三、重要不等式 1. 0)(2≥+b a2. 时取等号当且仅当其中b a R b a ab b a =∈≥+,,,2223. )0,0,0(3333>>>≥++c b a abc c b a第三章 一、1.正比例函数时为减函数时为增函数,当当00),0()(<>≠=k k k kx x f2.一次函数时为减函数时为增函数,当当00),0()(<>≠+=k k k b kx x f),0()(.3≠=k xkx f 反比例函数)上是减函数,,)和(,函数在区间(时当∞+∞->00,0k )上是增函数,)和(,时,函数在区间(当∞+∞-<000k时,函数为增函数时,函数为减函数,当当且对数函数110),10(log y 4.a ><<≠>=a a a a x 时,函数为增函数时,函数为减函数,当当且指数函数110),10(y 5.><<≠>=a a a a a x二、函数)0(2≠++=a c bx ax y 叫做二次函数 三、二次函数的图像是一条抛物线四、任何一个二次函数)0(2≠++=a c bx ax y 都可把它的解析式配方为顶点式;ab ac a b x a y 44)2(22-++=性质1.图像的顶点坐标为)44,2(2a b ac a b --,对称轴是直线abx 2-= 2.当0>a ,函数在区间)2,(a b --∞上是减函数,在),2(+∞-a b上是增函数, 当0<a ,函数在区间),2(+∞-a b 上是减函数,在)2,(ab--∞上是增函数,3.最值(1)当0>a ,函数图像开口向上,当a bx 2-=时,a b ac y 442min -=(2)当0<a ,函数图像开口向下,当abx 2-=时,a b ac y 442max -=[]说明1.我们研究二次函数的性质常用的方法有两种:配方法和公式法2.无论是利用公式法还是配方法我们都可以直接得出二次函数的顶点坐标与对称轴,但我们讨论函数的最值以及它的单调区间时一定要考虑它的开口方向 五、常见函数的表达式:1.正比例函数表达式:)0(≠=k kx y2.反比例函数表达式:)0(≠=k xky 3.一次函数表达式:)0(≠+=k b kx y 4.二次函数表达式:一般式:)0(2≠++=a c bx ax y顶点式:为抛物线顶点其中),(),0()(2n m a n m x a y ≠+-=两根式:c bx ax x x x x x x a y ++--=22121),)((为二次方程、其中的两根,或函数与x 轴的交点的横坐标第四章一、幂的有关概念1.正整数指数幂:)(+∈=⋅N n a a a a nn个2.零指数幂:)0(,10≠=a a 3.负整数指数幂:),0(,1+∈≠=-N n a aan n4.正分数指数幂:)1,,,0(,>∈≥=+n N m n a a a n m nm5.负分数指数幂:)1,,,0(,1>∈>=+-n N m n a aanmnm三、实数指数幂的运算法则 1.nm n m a a a +=⋅2.mnn m aa =)(3.)0,0,()(>>∈⋅=⋅b a R n m b a b a nnn、注 四、函数),10(R x a a a y x∈≠>=且叫做指数函数五、一般地,指数函数)1,0(≠>=a a a y x在其底数101<<>a a 及这两种情况下的图像和性质如下表所示:1>a (1)R x ∈(2)0>y(3)函数的图像都通过点(0,1) (4)在),(+∞-∞上是增函数(5)当100;10<<<>>y x y x 时,当时,10<<a (1)R x ∈(2)0>y(3)函数的图像都通过点(0,1) (4)在),(+∞-∞上是减函数(5)当10;100><<<>y x y x 时,当时,六、对数概念如果)10(≠>=a a N a b且,那么b N N a b a =log 的对数,记作为底叫做以,其中叫做真数叫做底,N a特别底,以10为底的对数叫做常用对数,N N lg log 10可简记作 七、对数的性质1.1的对数等于零,即)10(01log ≠>=a a a 且2.底的对数等于1,即)10(1log ≠>=a a a a 且3.零和负数没有对数 八、积、商、幂的对数:1.)0,0,10(log log )(log >>≠>+=N M a a N M MN a a a 且2. )0,0,10(log log )(log >>≠>-=N M a a N M NMa a a 且 3. )0,10(log log >≠>=M a a M a M a aa 且九、换底公式:)0,1,10,0(log log log >≠≠>>=N b a b a bMN a a b 且十、对数恒等式:)0,10(log >≠>=N a a N aNa 且十一、对数函数:形如)0,1,0(log >≠>=x a a x y a 的函数我们称为对数函数十二、一般地,对数函数)1,0(log ≠>=a a x y a 在其底数101<<>a a 及这两种情况下的图像和性质如下表所示:1>a (1)0>x(2)R y ∈(3)函数的图像都通过点(1,0) (4)在),0(+∞上是增函数(5)当010;01<<<>>y x y x 时,当时,10<<a (1)0>x(2)R y ∈(3)函数的图像都通过点(1,0) (4)在),0(+∞上是减函数(5)当010;01><<<>y x y x 时,当时, 十三、指数方程及解法 1.定义法:b x f b aa x f log )()(=⇔=2.同底比较法:)()()()(x g x f a a x g x f =⇔=3.换元法:[]x t c bt t t a c a b a x f x f x f 后再求求得得可设,002)()(2)(=++=⇔=+⋅+十四、对数方程及解法 1.定义法:⎩⎨⎧=>⇔=ba ax f x f b x f )(0)()(log 2.同底比较法:⎪⎩⎪⎨⎧=>>⇔=)()(0)(0)()(log )(log x g x f x g x f x g x f a a3.换元法形如:[]0)(log 0)(log )(log 22=++=⇔=++c bt t t x f c x g b x f a a a 得可设第五章一、利用数列的前{}的通项公式:之间的关系求出数列与项和n n a n S nn n a a a a S ++++= 321 ⎩⎨⎧≥-==-)2(,)1(,11n S S n S a n nn[]说明这里是用两个式子联合起来表示的,切莫忘记前一个式子,事实上,当1=n 时,001,S S S n 而=-没有意义,因而第二个式子也无意义二、等差数列定义如果一个数列从第二项起,每一项与它的前一项的差都等于同一个常数,这个数列就叫做等差数列,这个常数叫做公差,记为)(,1++∈-=N n a a d d n n 即 等差数列的一般形式为 ,2,,111d a d a a ++ 三、等差数列通项公式d n a a n )1(1-+=四、等差数列前n 项和公式记n n a a a a S ++++= 321,则d n n na S a a n S n n n 2)1(2)(11-+=+=或 []说明在n nS an d a ,,,,1五个量中,已知任意三个量可求出另两的量,即“知三求二”五、等差中项对给定的实数b a A b A a A b a 与叫做成等差数列,则称使得,如果插入数与,, 的等差中项,且b a A ba A +=+=22或 六、等差数列的性质1.在等差数列中,若公差0=d ,则此数列为常数列;若0>d ,则此数列为递增数列;若0<d ,则此数列为递减数列2.在等差数列中,),,()(n m N n m nm a a d d n m a a nm n m ≠∈--=-=-+或3. 在等差数列中,若正整数q p n m ,,,满足q p n m +=+,则有q p n m a a a a +=+4. 在等差数列中,每隔相同的项抽出来的项按照原来的顺序排列,构成一个新的等差数列,如 ,,,531a a a 仍然是等差数列5. 在等差数列中,每连续m 项之和构成的数列仍然是等差数列,如654321,,a a a a a a +++仍然是等差数列6. 有穷等差数列中,与首末两端距离相等的两项之和相等,并等于首末两项之和,若项数为奇数,还等于中间项的2倍,即中a a a a a a a a a n p n p n n 2112312=+=+==+=++---[]说明在三个成等差数列的数中,一般设为:d a a d a +-,,七、等比数列定义如果一个数列从第二项起,每一项与它的前一项的比都等于同一个常数,这个数列就叫做等比数列,这个常数叫做公比,记为)(,1++∈=N n a a q q nn 即 等比数列的一般形式为 ,,,2111q a q a a 八、等比数列通项公式)0(11≠=-q q a a n n九、等比数列前n 项和公式记n n a a a a S ++++= 321,则)1(1)1(1)1(11≠--=≠--=q qq a a S q q q a S n n n n 或 []说明1.以上的两个式子都是针对1≠q 的情况,当1=q 时,数列为常数列,故1na Sn=2.在n n S a n d a ,,,,1五个量中,已知任意三个量可求出另两的量,即“知三求二” 十、等差中项对给定的实数b a G b G a G b a 与叫做成等比数列,则称使得,如果插入数与,, 的等比中项,且ab G ab G ±==或2[]说明1.b a 、两个实数必须是同号的,即0>ab ,这时b a 、才有等比中项2.其中的一个值ab ,当b a 与是正数时,有称为b a 与的几何平均数 十一、等比数列的性质1.在等比数列中,若公比1=q ,则此数列为常数列;若10,01,011<<<>>q a q a 或,则此数列为递增数列;若1,010,011><<<>q a q a 或,则此数列为递减数列2.在等比数列中,),,(n m N n m q a a q a a n m n m n m nm≠∈==+--或 3. 在等比数列中,若正整数q p n m ,,,满足q p n m +=+,则有q p n m a a a a =(特殊地,若2,2p n m a a a p n m ==+则)4. 在等比数列中,每隔相同的项抽出来的项按照原来的顺序排列,构成一个新的等比数列,如 ,,,741a a a 仍然是等比数列5. 有穷等比数列中,与首末两端距离相等的两项之和相等,并等于首末两项之积,若项数为奇数,还等于中间项的平方,即2112312中a a a a a a a a a n k n k n n =====+---6. 在等比数列中,每连续m 项之和(积)构成的数列仍然是等比数列如 654321,,a a a a a a +++仍然是等比数列; 654321,,a a a a a a 也仍然是等比数列[]说明在三个成等比数列的数中,一般设为:aq a qa ,,第六章一、弧度π=0180 二、弧长公式:)(为弧度数ααr l⋅=三、扇形的面积公式:)(21212为弧度数扇形ααr lr S ⋅== 四、任意角的三角函数的定义定义:在平面直角坐标系中,设点α是角),(y x P 的终边上的任意一点,且该点到原点的距离为)0(>r r ,则yrx r y x x y r x r y ======ααααααcsc ,sec ,cot ,tan ,cos ,sin 五、三角函数的符号七、平方关系:1cot csc ,1tan sec ,1cos sin 222222=-=-=+αααααα 八、商数关系:ααααααcot sin cos ,tan cos sin == 九、倒数关系:1cos sec ,1sin csc ,1cot tan =⋅=⋅=⋅αααααα 十、诱导公式:1. ααααsec )sec(,cos )cos(=-=-2.终边相同的角,其同名三角函数值同3.奇变偶不变,符号看象限十一、两角和与差的三角函数的公式βαβαβαsin cos cos sin )sin(±=± βαβαβαsin sin cos cos )cos( =± βαβαβαtan tan 1tan tan )tan( ±=±十二、倍角公式αααcos sin 22sin = ααααα2222sin 211cos 2sin cos 2cos -=-=-=ααα2tan 1tan 22tan -=十三、半角公式2cos 12sinαα-±= 2cos 12cos αα+±= ααααααααsin cos 1cos 1sin 2tan cos 1cos 12tan-=+=+-±=或十四、三角函数的图像与性质x y sin =图像定义式:R 值域:[]1,1-周期性:最小正周期π2=T 奇偶性:x x sin )sin(-=-奇函数 单调性:在上递增Z k k k ∈⎥⎦⎤⎢⎣⎡++-ππππ22,22在上递减Z k k k ∈⎥⎦⎤⎢⎣⎡++ππππ223,22x y cos =图像定义式:R 值域:[]1,1-周期性:最小正周期π2=T 奇偶性:x x cos )cos(=-偶函数单调性:在[]上递增Z k k k ∈+-πππ2,2在[]上递减Z k k k ∈+πππ2,2x y tan =图像定义式: ⎭⎬⎫⎩⎨⎧∈⋅+≠Z k k x x ,2ππ值域:R周期性:最小正周期π=T 奇偶性:x x tan )tan(-=-奇函数 单调性:在每个区间上都是递增Z k k k ∈++-)2,2(ππππ十五、正弦性函数:k x A y ++=)sin(ϕω ,最小值:最大值:k A k A +-+, ϖπ2=T 最小正周期:十六、余弦性函数: k x A y ++=)cos(ϕω ,最小值:最大值:k A k A +-+, ϖπ2=T 最小正周期:十七、正切性函数: k x A y ++=)tan(ϕω ϖπ=T 最小正周期: 十八、辅助公式:)sin(cos sin 22ϕααα++=+=b a b a y (其中ab =αtan ) 十九、三角形中的边角关系 1.π=++C B A2.大边对大角,大角对大边3.直角三角形中:1sin ,sin ,sin 2222===+===+C cbB c a A b a cC B A 、、π二十、余弦定理A bc c b a cos 2222-+= bca cb A 2cos 222-+=B ac c a b cos 2222-+= acb c a B 2cos 222-+=C ab b a c cos 2222-+= abc b a C 2cos 222-+=二十一、正弦定理)(2sin sin sin 为三角形外接圆的半径其中r r CcB b A a === 二十二、三角形面积B ca A bcC ab S ABC sin 21sin 21sin 21===∆第七章 一、运算律若为实数,则、μλ 1.a a ⋅=)()(λμμλ 2. a a a μλμλ+=+)( 3. b a b a λλλ⋅=+)([]说明数乘向量的运算律与实数的运算律类似二、向量平行的充要条件若b a b a b λλ=⇔≠,使存在唯一实数则//,0[]说明当b a b //,0,显然对任意实数λ=三、向量内积的概念与性质 1.两向量的夹角已知两个非零向量b a 与,作,,b OB a OA ==则AOB ∠是向量b a 与规定01800≤≤[]说明①b a 与0②b a 与0180③b a ⊥0902.内积的定义b a =⋅[]说明①b a ⋅的结果是一个实数,可以等于正数、负数、零叫做a b 在方向上正射影的数量 3.内积的性质①如果e 是单位向量,则a e e a =⋅=⋅ ②0=⋅⇔⊥b a b a③a a ==⋅④b a =⑤b a ≤⋅ 四、向量内积的运算律 1. a b b a ⋅=⋅2. )()()(b a b a b a λλλ⋅=⋅=⋅3. c b c a c b a ⋅+⋅=⋅+)([]说明一般地,)()(c b a c b a ⋅⋅≠⋅+,也就是说,向量内积没有“乘法的结合律”五、设A 、B 两点的坐标分别是),)(,(2211y x y x 则 ),(),(),(12121122y y x x y x y x AB --=-= 六、向量直角坐标运算1.设),(21a a a =,),(21b b b =则),(),(),(22112121b a b a b b a a b a ±±=±=± 2.),(),(2121a a a a a λλλλ==3.若),(21a a a =,),(21b b b =则2211b a b a b a +=⋅ 七、向量长度坐标运算1.若),(21a a a =2221a a +=2.若),(),(2211y x B y x A ,212212)()(y y x x -+-=[]说明也叫A 、B 两点的距离,记为BA d、,上式也叫两点距离公式八、中点公式设),(),(2211y x B y x A ,线段AB 的中点坐标为),(y x ,则2,22121y y y x x x +=+= 九、平移变换公式 点平移公式:若把点⎩⎨⎧+=+==201021000),,(),(),(a y y a x x y x P a a a y x P 则平移到点按向量十、两向量平行于垂直的条件 设),(21a a a =,),(21b b b =,则)00(0//2122111221≠≠=⇔=-⇔b b b a b a b a b a b a 且 02211=+⇔⊥b a b a b a十一、图像平移公式:一般地,函数)(x f y =的图像平移向量),(21a a a =后,得到的图像的函数表达式为)(12a x f a y -=-第八章一、直线的倾斜角和斜率1.直线的倾斜角:一条直线向上的方向与x 轴的正方向所成的最小正角α,称为直线的倾斜角规定:当0//=α轴时,x l 倾斜角的范围是:πα≤≤02.直线的斜率:若α为直线l 的倾斜角,当2πα≠时,将αtan 叫做直线的斜率,记作:αtan =k ,当2πα=,直线的斜率不存在3.斜率的计算公式:①αtan =k②如果),(21v v v =为直线的一个方向斜率,且121,0v v k v =≠则 ③如果),(B A n =为直线的一个法向量,且BA kB -=≠则,0 ④如果),(),(2211y x N y x M 是直线上的两个点 ,且121221,x x y y k x x --=≠则二、直线的方程 1.直线方程一览表2.特殊的直线方程①平行于y 轴的直线方程:0x x = ②平行于x 轴的直线方程:0y y = ③过原点的直线方程:kx y =[]说明当一般式方程y x ,系数有为零时1. ,0:111=+C x A l ,0:222=+C x A l 则重合与或2121///l l l l212121//C C A A l l ≠⇔;212121/C C A A l l =⇔重合与 2. ,0:111=+C x A l ,0:222=+C x B l 则21l l ⊥四、待定系数法求直线方程已知直线l :0=++C By Ax ,则与l 平行的直线方程可设为:0=++D By Ax 与l 垂直的直线方程可设为:0=+-D Ay Bx 五、两直线的夹角1.定义:两条直线相交,组成两对对顶角,其中不大于2π的角叫做两条直线的夹角;当两直线平行或重合时,规定夹角为0,常用θ表示两直线的夹角 2.范围:20πθ≤≤3夹角公式:① 设0:1111=++C y B x A l ,0:2222=++C y B x A l 则222221212121cos B A B A B B A A +⋅++=θ②111:b x k y l +=,222:b x k y l +=则21121tan k k k k +-=θ六、点到直线的距离公式 1. 点到直线的距离公式设点),(000y x P 到直线l :0=++C By Ax 的距离为d ,则2200BA CBy Ax d +++=2. 两条平行直线间的距离公式设0:1111=++C y B x A l ,0:2222=++C y B x A l 的距离为d ,则2221BA C C d +-=七、定义:平面内,与定点的距离等于定长的点的集合(轨迹)叫做圆,定点叫做圆的圆心,定长叫做圆的半径 八、圆的标准方程圆心在点),(b a C ,半径为r 的圆的标准方程是222)()(r b y a x =-+- 特殊地,圆心在坐标原点,半径为r 的圆的标准方程是222r y x =+九、圆的一般方程022=++++F Ey Dx y x把圆的一般方程化为标准方程的形式就是:44)2()2(2222FE D E y D x -+=+++1.当F E D 422-+>0时,方程表示一个圆的方程,圆心为(2D-,2E -)半径为2422F E D r -+=2. 当F E D 422-+=0时,方程表示一个点(2D-,2E -)3. 当F E D 422-+<0时,方程不表示任何图形 十、点与圆的位置关系对于点),(000y x P 和圆222)()(r b y a x =-+-或022=++++F Ey Dx y x ,点P 到圆心距离记作d1.点P在圆内⇔⇔<-+-22020)()(r b y a x r d F Ey Dx y x <⇔<++++0002020⇔在圆上点P .2⇔=-+-22020)()(r b y a x r d F Ey Dx y x =⇔=++++0002020 ⇔在圆外点P .3⇔>-+-22020)()(r b y a x r d F Ey Dx y x >⇔>++++0002020十一、圆与直线的位置关系直线l :0=++C By Ax ,圆C: 222)()(r b y a x =-+-有直线和圆的方程联系得到关于y x 或的一元二次方程,求出判别式∆1. 直线与圆相离⇔圆与直线没有公共点⇔∆<0⇔圆心到直线l 的距离r d >2. 直线与圆相切⇔圆与直线有一个公共点⇔∆=0⇔圆心到直线l 的距离r d =3. 直线与圆相交⇔圆与直线有两个公共点⇔∆>0⇔圆心到直线l 的距离r d <[]说明当直线与圆相离时,圆上的点到直线的最大距离=r d +,最小距离=r d -其中d 为圆心到直线的距离,知圆上的一点),(00y x P ,则过点P 的圆222)()(r b y a x =-+-的切线方程为:0))(())((0000=--+--b y y y a x x x 十二、圆与圆的位置关系圆221211)()(r b y a x C =-+-,圆21222222,)()(C C d R b y a x C ==-+-,1.外离r R d +>⇔ 2外切r R d +=⇔3.相交)(,r R r R d r R >+<<-⇔4.内切r R d -=⇔5.内含r R d -<⇔十三、椭圆定义:平面内,与两定点21F F 、的距离的和等于常数(大于21F F )的点轨迹叫做椭圆,定点21F F 、叫做椭圆的焦点,两焦点间的距离叫做焦距第二定义:平面内,与一个定点F 的距离和到一条定直线l 的距离的比是常数)10(<<e e 的点的轨迹叫做椭圆,定点F 叫做椭圆的一个焦点,定直线l 叫做与该焦点对应的准线(一个椭圆有两个焦点和两条准线)常数e 叫做椭圆的离心率十四、椭圆的标准方程和几何性质定义:M 为椭圆上的点)2(22121F F a a MF MF >=+ 焦点位置:x 轴 图形:标准方程:12222=+by a x参数关系:)0(222>>+=b a c b a 范围:b y a x ≤≤,对称性:对称轴:x 轴、y 轴 对称中心:原点 焦点:)0,()0,(21c F c F 、- 顶点:),0()0,(b B a A ±±、 轴长:长轴长a 2;短轴长b 2准线:ca x l 2:±=离心率:ac e =焦点位置:y 轴 图形:标准方程:12222=+bx a y参数关系:)0(222>>+=b a c b a 范围:a y b x ≤≤,对称性:对称轴:x 轴、y 轴 对称中心:原点 焦点:),0(),0(21c F c F 、- 顶点:)0,(),0(b B a A ±±、 轴长:长轴长a 2;短轴长b 2准线:ca y l 2:±=离心率:ac e =十五、双曲线定义:平面内,与定点21F F 、的距离的差的绝对值等于常数(大于0小于21F F )的点轨迹叫做双曲线,定点21F F 、叫做双曲线的焦点,两焦点间的距离叫做焦距第二定义:平面内,与一个定点的距离和到一条定直线的距离的比是常数)1(>e 的点的轨迹叫做双曲线,定点叫做双曲线的一个焦点,定直线叫做与该焦点对应的准线(双曲线有两个焦点和两条准线)常数e 叫做双曲线的离心率十六、双曲线的标准方程和几何性质定义:M 为双曲线上的点)20(22121F F a a MF MF <<=- 焦点位置:x 轴图形:标准方程:12222=-by a x 参数关系:)0,0(222>>+=b a b a c 范围:R y a x ∈≥,对称性:对称轴:x 轴、y 轴 对称中心:原点焦点:)0,()0,(21c F c F 、-顶点:)0,()0,(21a A a A 、-轴长:实轴长a 2;虚轴长b 2 准线:ca x l 2:±= 渐近线:x a b y ±= 离心率:ac e =焦点位置:y 轴图形:标准方程:12222=-bx a y 参数关系:)0,0(222>>+=b a b a c范围:R x a y ∈≥,对称性:对称轴:x 轴、y 轴 对称中心:原点焦点:),0(),0(21c F c F 、-顶点:),0(),0(21a A a A 、-轴长:实轴长a 2;虚轴长b 2 准线:ca y l 2:±= 渐近线:x b a y ±= 离心率:ac e = 十七、抛物线定义:平面内与一个定点F 的距离和到一条定直线l 的距离相等的点的轨迹叫做抛物线,定点F 叫做抛物线的焦点,定直线l 叫做抛物线的准线第二定义:平面内,与一个定点F 的距离和到一条定直线l 的距离的比是常数)1(=e 的点的轨迹叫做抛物线,定点F 叫做抛物线的焦点,定直线l 叫做抛物线的准线,常数e 叫做抛物线的离心率十八、抛物线的标准方程和几何性质焦点位置:x 轴正半轴图形:标准方程:px y 22=范围:R y x ∈≥,0对称性:对称轴:x 轴 焦点:)0,2(p F 顶点:原点:(0,0) 准线:2:p x l -= 离心率:1=e焦点位置:x 轴负半轴图形:标准方程:px y 22-=范围:R y x ∈≤,0对称性:对称轴:x 轴 焦点:)0,2(pF -顶点:原点:(0,0) 准线:2:px l =离心率:1=e焦点位置:y 轴正半轴图形:标准方程:py x 22=范围:0,≥∈y R x对称性:对称轴:y 轴 焦点:)2,0(pF顶点:原点:(0,0) 准线:2:py l -=离心率:1=e焦点位置:y 轴负半轴图形:标准方程:py x 22-=范围:0,≤∈y R x对称性:对称轴:y 轴 焦点:)2,0(pF -顶点:原点:(0,0) 准线:2:py l =离心率:1=e、。
⑴整式形式: 职业高中常用数学公式解不等式* 1、一元二次不等式:{a > O,x,,x2二、函数部分1、几种常见函数的定义域二元一次函数:f(x) = ax^b定义域为R。
一兀二次函数:f(X)=。
尸+版+。
*⑵分式形式:"、)=些要求分母g(x)。
不为零gO)*⑶二次根式形式:F(x) = 7/W要求被开方数/(X)> 0⑷指数函数:),=/(。
〉0且。
主1),定义域为R*⑸对数函数:y = log”工(。
> 0且。
壬1),定义域为(0, +8)对数形式的函数:y Tog” f(尤),要求fM > 0⑹三角函数:♦正弦函数:y = sinx的定义域为&<余弦函数:y = cosx的定义域为R正切函数:y = tan x的定义域^J{\ x \ x kvr + — ,k eZ]< 2⑸对数函数: y = log” x(a > 0丰 1),值域为R⑺几种形式综合在一起的,求定义域即在求满足条件的各式解集的交集。
2、常见函数求值域⑴一次函数f(x) = ax + b z值域为R•⑵一元二次函数/(X)= ax2 + bx + c(a。
0):—b~当q > 00寸,值域为{y I y 2 —-----}—b~当〃 < Ofl寸,值域为{y I y < ---- }4a⑷指数函数:),=。
“(。
〉0且。
1)值域为(0, +8)⑹三角函数:*正弦函数:y = sinx的值域为[-1,1]*余弦函数:y = cosx的值域为[-1,1]3、函数的性质*⑴奇偶性①J奇函数:/'(-X)= -/'(对,图像关于原点对称[偶函数:/(-%) = /'(X),图像关于y轴对称②判断或证明奇偶函数的步第一步:求函数的定义域,判断是否关于原点对称第二步:如果定义域不关于原点对称,则为非奇非偶函数;如果对称,则第三步:若/(-X)= 则函数为奇函;若f(T)= f(x),则函数为偶函数*⑵单调性%1判断或证明函数为单调增、减函数的步骤:第一步:在给定区间(如果没给定,一定要先求函数的定义域)内任取河、第二步:做差/(x.)-/(x2)变形整理;第三步:JfW)-/a2)>。
中职数学常用公式及常用结论大全一、基本运算公式1.加法公式:- (a + b)² = a² + 2ab + b²- (a - b)² = a² - 2ab + b²-(a+b)(a-b)=a²-b²2.乘法公式:- (a + b) · (c + d) = ac + ad + bc + bd- (a - b) · (c - d) = ac - ad - bc + bd- (a + b)² = a² + 2ab + b²3.除法公式:-(a+b)/c=a/c+b/c4.平方公式:- (a + b)² = a² + 2ab + b²- (a - b)² = a² - 2ab + b²二、代数公式1.因式分解公式:-a²-b²=(a+b)(a-b)- a³ + b³ = (a + b)(a² - ab + b²)- a³ - b³ = (a - b)(a² + ab + b²)2.二次方程公式:- 一元二次方程: ax² + bx + c = 0根的求法:x = (-b ± √(b² - 4ac))/(2a)- 二项式平方公式:(a + b)² = a² + 2ab +b²- 二项式差平方公式:(a - b)² = a² - 2ab + b²三、几何公式1.周长和面积:-正方形:周长P=4a,面积S=a²- 长方形:周长P = 2(a + b),面积S = ab- 三角形:周长P = a + b + c,面积S = 1/2bh-圆形:周长C=2πr,面积S=πr²2.三角函数公式:- 正弦定理:a/sinA = b/sinB = c/sinC- 余弦定理:c² = a² + b² - 2abcosC- 正切公式:tanA = sinA/cosA3.三角恒等式:- sin²A + cos²A = 1- 1 + tan²A = sec²A- 1 + cot²A = csc²A四、概率统计公式1.期望公式:-离散型随机变量:E(X)=Σx·P(x)- 连续型随机变量:E(X) = ∫xf(x)dx2.方差公式:-离散型随机变量:D(X)=Σ(x-E(X))²·P(x)- 连续型随机变量:D(X) = ∫(x - E(X))²f(x)dx 3.二项分布公式:-P(x)=C(n,x)·pˣ·(1-p)^(n-x)4.正太分布公式:-P(x)=1/√(2πσ²)·e^(-(x-μ)²/(2σ²))五、常用结论1.公倍数与公约数:-两数的最小公倍数=两数的乘积/最大公约数-两数的最大公约数=两数的乘积/最小公倍数2.平行线与三角形:-平行线截割等腰直角三角形得到的两个三角形相似-平行线截割等腰三角形得到的两个三角形相似3.三角形中位线和中心线:-三角形的中位线交于一点,分割成6个全等的小三角形-三角形的中心线交于一点。
职中数学公式总结大全1.代数公式:- 二次方程求根公式: 对于二次方程a某^2 + b某 + c = 0,解的公式为某 = (-b ± √(b^2 - 4ac))/(2a)。
- 因式分解公式: 根据巴斯卡定理和二项式定理,可以将多项式进行因式分解,如(a+b)^2 = a^2 + 2ab + b^2。
- 平方差公式: (a+b)(a-b) = a^2 - b^2,(a+b)^2 - (a-b)^2 =4ab。
- 三角函数公式:例如sin(a+b) = sin(a)cos(b) + cos(a)sin(b),cos^2(a) + sin^2(a) = 1等。
2.几何公式:-直角三角形的勾股定理:对于直角三角形,边长分别为a、b,斜边长为c,满足a^2+b^2=c^2。
-圆的面积和周长公式:圆的面积为πr^2,周长为2πr,其中r为半径。
- 三角形面积公式: 三角形的面积可以通过海伦公式或两边夹角的正弦公式计算,如S = 1/2ab某sin(c),其中a、b为两边长,c为两边夹角。
-直线方程:直线方程可以用点斜式、截距式或一般式表示。
3.概率公式:-计算概率公式:概率P=事件发生的次数/总次数。
-互斥事件概率公式:对于互斥事件A、B,概率P(A∪B)=P(A)+P(B)。
-条件概率公式:对于事件A和事件B,P(A,B)=P(A∩B)/P(B)。
-乘法定理:对于两个独立事件A和B,P(A∩B)=P(A)某P(B)。
4.统计公式:-平均数公式:平均数=总和/数量。
-方差公式:方差是指每个数据与均值之差的平方的平均数。
-标准差公式:标准差是方差的平方根。
-正态分布公式:正态分布可以由概率密度函数表示,公式为f(某)=(1/√(2πσ^2))某e某p(-(某-μ)^2/(2σ^2)),其中μ为均值,σ为标准差。
以上只是一些常见的职中数学公式的总结,仅包含了一小部分,实际应用中还有很多其他公式。
在数学学习和工作中,熟练掌握这些公式对于解题和计算非常有帮助。
职高数学概念与公式预备知识:(必会)1. 相反数、绝对值、分数的运算2. 因式分解(1) ∆十字相乘法 如:)2)(13(2532-+=--x x x x(2) 两根法 如:)251)(251(12--+-=--x x x x 3. ∆配方法 如:825)41(23222-+=-+x x x 4. 分数(分式)的运算 5. 一元一次方程、一元二次方程、二元一次方程组的解法(1) 代入法(2) 消元法6.完全平方和(差)公式:222)(2b a b ab a +=++ 222)(2b a b ab a -=+-7.平方差公式:))((22b a b a b a -+=- 8.立方和(差)公式:))((2233b ab a b a b a +-+=+ ))((2233b ab a b a b a ++-=-9. ∆注:所有的公式中凡含有“=”的,注意把公式反过来运用。
第一章 集合1. 构成集合的元素必须满足三要素:确定性、互异性、无序性。
2. 集合的三种表示方法:列举法、描述法、图像法(文氏图)。
注:∆描述法{},|321321取值范围元素性质元素{⋯∈⋯=x x x ;另重点类型如:}{]3,1(,13|y 2-∈+-=x x x y 3. 常用数集:N (自然数集)、Z (整数集)、Q (有理数集)、R (实数集)、*N (正整数集)、+Z (正整数集)4. 元素与集合、集合与集合之间的关系:(1) 元素与集合是“∈”与“∉”的关系。
(2) 集合与集合是“⊆” “”“=”“⊆/”的关系。
注:(1)空集是任何集合的子集,任何非空集合的真子集。
(做题时多考虑φ是否满足题意)(2)一个集合含有n 个元素,则它的子集有n 2个,真子集有12-n 个,非空真子集有22-n 个。
5. 集合的基本运算(用描述法表示的集合的运算尽量用画数轴的方法)(1)}|{B x A x x B A ∈∈=且I :A 与B 的公共元素(相同元素)组成的集合(2)}|{B x A x x B A ∈∈=或Y :A 与B 的所有元素组成的集合(相同元素只写一次)。
中职数学常用公式及常用结论1. 元素与集合的关系U x A x C A ∈⇔∉,U x C A x A ∈⇔∉. 2.德摩根公式();()U U U U U U C A B C A C B C A B C A C B ==.3.包含关系A B A A B B =⇔=U U A B C B C A ⇔⊆⇔⊆ U A C B ⇔=ΦU C A B R ⇔=4.集合12{,,,}n a a a 的子集个数共有2n 个;真子集有2n –1个;非空子集有2n –1个;非空的真子集有2n –2个.5.二次函数的解析式的三种形式(1)一般式2()(0)f x ax bx c a =++≠; (2)顶点式2()()(0)f x a x h k a =-+≠; (3)零点式12()()()(0)f x a x x x x a =--≠. 6.闭区间上的二次函数的最值二次函数)0()(2≠++=a c bx ax x f 在闭区间[]q p ,上的最值只能在abx 2-=处及区间的两端点处取得,具体如下:(1)当a>0时,若[]q p a bx ,2∈-=,则{}m in m a x m ax ()(),()(),()2b f x f f x f p f qa=-=;[]q p abx ,2∉-=,{}max max ()(),()f x f p f q =,{}min min ()(),()f x f p f q =. (2)当a<0时,若[]q p abx ,2∈-=,则{}m i n()m i n (),()f x f p f q =,若[]q p abx ,2∉-=,则{}max ()max (),()f x f p f q =,{}min ()min (),()f x f p f q =.7.一元二次方程的实根分布 8充要条件(1)充分条件:若p q ⇒,则p 是q 充分条件.(2)必要条件:若q p ⇒,则p 是q 必要条件.(3)充要条件:若p q ⇒,且q p ⇒,则p 是q 充要条件.注:如果甲是乙的充分条件,则乙是甲的必要条件;反之亦然. 9.函数的单调性(1)任取 []2121,,,x x b a x x ≠∈那么[]1212()()()0x x f x f x -->⇔[]b a x f x x x f x f ,)(0)()(2121在⇔>--上是增函数;[]1212()()()0x x f x f x --<⇔[]b a x f x x x f x f ,)(0)()(2121在⇔<--上是减函数. (2)设函数)(x f y =在某个区间内可导,如果0)(>'x f ,则)(x f 为增函数;如果0)(<'x f ,则)(x f 为减函数.10.如果函数)(u f y =和)(x g u =在其对应的定义域上都是减函数,则复合函数)]([x g f y =是增函数.11.奇偶函数的图象特征奇函数的图象关于原点对称,偶函数的图象关于y 轴对称;反过来,如果一个函数的图象关于原点对称,那么这个函数是奇函数;如果一个函数的图象关于y 轴对称,那么这个函数是偶函数.12.多项式函数110()n n n n P x a x a x a --=+++的奇偶性多项式函数()P x 是奇函数⇔()P x 的偶次项(即奇数项)的系数全为零. 多项式函数()P x 是偶函数⇔()P x 的奇次项(即偶数项)的系数全为零. 13.函数()y f x =的图象的对称性(1)函数()y f x =的图象关于直线x a =对称()()f a x f a x ⇔+=- 14.两个函数图象的对称性15.若将函数)(x f y =的图象右移a 、上移b 个单位,得到函数b a x f y +-=)(的图象;16.几个常见的函数方程 (1)正比例函数()f x cx =,(2)指数函数()xf x a =,. (3)对数函数()log a f x x =,. (4)幂函数()f x x α=,(5)余弦函数()cos f x x =,正弦函数()sin g x x =,17.分数指数幂(1)m na =(0,,a m n N *>∈,且1n >). (2)1m nm naa-=(0,,a m n N *>∈,且1n >).18.根式的性质(1)na =.(2)当na =; 当n,0||,0a a a a a ≥⎧==⎨-<⎩.19.有理指数幂的运算性质 (1) (0,,)rsr sa a aa r s Q +⋅=>∈.(2) ()(0,,)r s rs a a a r s Q =>∈. (3)()(0,0,)rr rab a b a b r Q =>>∈.注: 若a >0,p 是一个无理数,则a p 表示一个确定的实数.上述有理指数幂的运算性质,对于无理数指数幂都适用.20.指数式与对数式的互化式log b a N b a N =⇔=(0,1,0)a a N >≠>.21.对数的换底公式log log log m a m NN a=(0a >,且1a ≠,0m >,且1m ≠, 0N >).推论 log log m na a nb b m =(0a >,且1a >,,0m n >,且1m ≠,1n ≠, 0N >).22.对数的四则运算法则若a >0,a ≠1,M >0,N >0,则 (1)log ()log log a a a MN M N =+;(2) log log log aa a MM N N =-; (3)log log ()na a M n M n R =∈.23. 平均增长率的问题如果原来产值的基础数为N ,平均增长率为p ,则对于时间x 的总产值y ,有(1)x y N p =+.24.数列的同项公式与前n 项的和的关系11,1,2n n n s n a s s n -=⎧=⎨-≥⎩( 数列{}n a 的前n 项的和为12n n s a a a =+++).25.等差数列的通项公式*11(1)()n a a n d dn a d n N =+-=+-∈;其前n 项和公式为1()2n n n a a s +=1(1)2n n na d -=+ 211()22d n a d n =+-. 26.等比数列的通项公式1*11()n nn a a a q q n N q-==⋅∈; 其前n 项的和公式为11(1),11,1n n a q q s q na q ⎧-≠⎪=-⎨⎪=⎩或11,11,1n n a a qq q s na q -⎧≠⎪-=⎨⎪=⎩.27.同角三角函数的基本关系式22sin cos 1θθ+=,tan θ=θθcos sin ,tan 1cot θθ⋅=. 28.正弦、余弦的诱导公式212(1)sin ,sin()2(1)s ,nn n co απαα-⎧-⎪+=⎨⎪-⎩212(1)s ,s ()2(1)s i n ,nn co n co απαα+⎧-⎪+=⎨⎪-⎩29.和角与差角公式sin()sin cos cos sin αβαβαβ±=±;cos()cos cos sin sin αβαβαβ±=;tan tan tan()1tan tan αβαβαβ±±=.22sin()sin()sin sin αβαβαβ+-=-(平方正弦公式); 22cos()cos()cos sin αβαβαβ+-=-.sin cos a b αα+=)αϕ+(辅助角ϕ所在象限由点(,)a b 的象限决定,tan baϕ= ).30.二倍角公式sin 2sin cos ααα=.2222cos 2cos sin 2cos 112sin ααααα=-=-=-.22tan tan 21tan ααα=-. 31.三角函数的周期公式函数sin()y x ωϕ=+, x ∈R(A,ω,ϕ为常数,且A ≠0,ω>0)的周期2T πω=.32.正弦定理2sin sin sin a b cR A B C===. 33.余弦定理2222cos a b c bc A =+-; 2222cos b c a ca B =+-; 2222cos c a b ab C =+-.34.面积定理(1)111222a b c S ah bh ch ===(a b c h h h 、、分别表示a 、b 、c 边上的高). (2)111sin sin sin 222S ab C bc A ca B ===.35.三角形内角和定理在△ABC 中,有()A B C C A B ππ++=⇔=-+222C A B π+⇔=-222()C A B π⇔=-+. 36.平面向量基本定理如果e 1、e 2是同一平面内的两个不共线向量,那么对于这一平面内的任一向量,有且只有一对实数λ1、λ2,使得a=λ1e 1+λ2e 2.不共线的向量e 1、e 2叫做表示这一平面内所有向量的一组基底. 37.向量平行的坐标表示设a =11(,)x y ,b =22(,)x y ,且b ≠0,则a //b(b ≠0)12210x y x y ⇔-=.38. a 与b 的数量积(或内积) a ·b =|a ||b |cos θ. 39.平面向量的坐标运算(1)设a =11(,)x y ,b =22(,)x y ,则a+b=1212(,)x x y y ++. (2)设a =11(,)x y ,b =22(,)x y ,则a-b=1212(,)x x y y --.(3)设A 11(,)x y ,B 22(,)x y ,则2121(,)AB OB OA x x y y =-=--.(4)设a =(,),x y R λ∈,则λa=(,)x y λλ.(5)设a =11(,)x y ,b =22(,)x y ,则a ·b=1212x x y y +. 40.两向量的夹角公式cos θ=(a =11(,)x y ,b =22(,)x y ).41.平面两点间的距离公式||AB =11(,)x y ,B 22(,)x y ).42.向量的平行与垂直设a =11(,)x y ,b =22(,)x y ,且b ≠0,则 A ||b ⇔b =λa 12210x y x y ⇔-=. a ⊥b(a ≠0)⇔a ·b=012120x x y y ⇔+=.43.一元二次不等式20(0)ax bx c ++><或2(0,40)a b ac ≠∆=->,如果a 与2ax bx c ++同号,则其解集在两根之外;如果a 与2ax bx c ++异号,则其解集在两根之间.简言之:同号两根之外,异号两根之间.121212()()0()x x x x x x x x x <<⇔--<<; 121212,()()0()x x x x x x x x x x <>⇔--><或.44.含有绝对值的不等式 当a> 0时,有22x a x a a x a <⇔<⇔-<<.22x a x a x a >⇔>⇔>或x a <-.45.指数不等式与对数不等式 (1)当1a >时,()()()()f x g x a a f x g x >⇔>;()0log ()log ()()0()()a a f x f x g x g x f x g x >⎧⎪>⇔>⎨⎪>⎩.(2)当01a <<时,()()()()f x g x a a f x g x >⇔<;()0log ()log ()()0()()a a f x f x g x g x f x g x >⎧⎪>⇔>⎨⎪<⎩46.斜率公式2121y y k x x -=-(111(,)P x y 、222(,)P x y ).47直线的五种方程(1)点斜式 11()y y k x x -=- (直线l 过点111(,)P x y ,且斜率为k ). (2)斜截式 y kx b =+(b 为直线l 在y 轴上的截距). (3)两点式112121y y x x y y x x --=--(12y y ≠)(111(,)P x y 、222(,)P x y (12x x ≠)).(4)截距式1x ya b+=(a b 、分别为直线的横、纵截距,0a b ≠、) (5)一般式 0Ax By C ++=(其中A 、B 不同时为0).48.两条直线的平行和垂直(1)若111:l y k x b =+,222:l y k x b =+ ①121212||,l l k k b b ⇔=≠; ②12121l l k k ⊥⇔=-.(2)若1111:0l A x B y C ++=,2222:0l A x B y C ++=,且A 1、A 2、B 1、B 2都不为零,①11112222||A B C l l A B C ⇔=≠; ②1212120l l A A B B ⊥⇔+=;49.四种常用直线系方程(1)定点直线系方程:经过定点000(,)P x y 的直线系方程为00()y y k x x -=-(除直线0x x =),(3)平行直线系方程:直线y kx b =+中当斜率k 一定而b 变动时,表示平行直线系方程.与直线0Ax By C ++=平行的直线系方程是0Ax By λ++=(0λ≠),λ是参变量.(4)垂直直线系方程:与直线0Ax By C ++= (A ≠0,B ≠0)垂直的直线系方程是0Bx Ay λ-+=,λ是参变量.50.点到直线的距离d =(点00(,)P x y ,直线l :0Ax By C ++=).51. 圆的2种方程(1)圆的标准方程 222()()x a y b r -+-=.(2)圆的一般方程 220x y Dx Ey F ++++=(224D E F +->0). 52.点与圆的位置关系点00(,)P x y 与圆222)()(r b y a x =-+-的位置关系有三种若d =d r >⇔点P 在圆外;d r =⇔点P 在圆上;d r <⇔点P 在圆内.53.直线与圆的位置关系直线0=++C By Ax 与圆222)()(r b y a x =-+-的位置关系有三种:0<∆⇔⇔>相离r d ; 0=∆⇔⇔=相切r d ; 0>∆⇔⇔<相交r d .其中22BA C Bb Aa d +++=.②过圆外一点的切线方程可设为00()y y k x x -=-,再利用相切条件求k ,这时必有两条切线,注意不要漏掉平行于y 轴的切线.③斜率为k 的切线方程可设为y kx b =+,再利用相切条件求b ,必有两条切线.(2)已知圆222x y r +=.①过圆上的000(,)P x y 点的切线方程为200x x y y r +=;54.双曲线的方程与渐近线方程的关系(1)若双曲线方程为12222=-b y a x ⇒渐近线方程:22220x y a b -=⇔x aby ±=.(2)若渐近线方程为x aby ±=⇔0=±b y a x ⇒双曲线可设为λ=-2222b y a x .(3)若双曲线与12222=-b y a x 有公共渐近线,可设为λ=-2222by a x (0>λ,焦点在x轴上,0<λ,焦点在y 轴上).55.二次函数2224()24b ac b y ax bx c a x a a-=++=++(0)a ≠的图象是抛物线:(1)顶点坐标为24(,)24b ac b a a--; 56.抛物线的内外部(1)点00(,)P x y 在抛物线22(0)y p x p => (2)点00(,)P x y 在抛物线22(0)y p x p =->的内部22(0)y px p ⇔<->. 点00(,)P x y 在抛物线22(0)y px p =->的外部22(0)y px p ⇔>->. (3)点00(,)P x y 在抛物线22(0)x py p =>的内部22(0)x py p ⇔<>. 点00(,)P x y 在抛物线22(0)x py p =>的外部22(0)x py p ⇔>>. (4) 点00(,)P x y 在抛物线22(0)x py p =>的内部22(0)x py p ⇔<>. 点00(,)P x y 在抛物线22(0)x py p =->的外部22(0)x py p ⇔>->.57.直线与圆锥曲线相交的弦长公式 AB =AB =A ),(),,(2211y x B y x ,由方程⎩⎨⎧=+=0)y ,x (F b kx y 消去y 得到02=++c bx ax ,0∆>,α为直线AB 的倾斜角,k 为直线的斜率).58.证明直线与直线的平行的思考途径 (1)转化为判定共面二直线无交点; (2)转化为二直线同与第三条直线平行; (3)转化为线面平行; (4)转化为线面垂直; (5)转化为面面平行.59.证明直线与平面的平行的思考途径 (1)转化为直线与平面无公共点; (2)转化为线线平行; (3)转化为面面平行.60.证明平面与平面平行的思考途径 (1)转化为判定二平面无公共点; (2)转化为线面平行; (3)转化为线面垂直.61.证明直线与直线的垂直的思考途径 (1)转化为相交垂直; (2)转化为线面垂直;(3)转化为线与另一线的射影垂直; (4)转化为线与形成射影的斜线垂直. 62.证明直线与平面垂直的思考途径(1)转化为该直线与平面内任一直线垂直;(2)转化为该直线与平面内相交二直线垂直; (3)转化为该直线与平面的一条垂线平行; (4)转化为该直线垂直于另一个平行平面; (5)转化为该直线与两个垂直平面的交线垂直. 63.证明平面与平面的垂直的思考途径 (1)转化为判断二面角是直二面角; (2)转化为线面垂直. 向向量)64.直线AB 与平面所成角 65.二面角l αβ--的平面角 66.三余弦定理设AC 是α内的任一条直线,且BC ⊥AC ,垂足为C ,又设AO 与AB 所成的角为1θ,AB 与AC 所成的角为2θ,AO 与AC 所成的角为θ.则12cos cos cos θθθ=..67.点B 到平面α的距离68.分类计数原理(加法原理) 12n N m m m =+++.69.分步计数原理(乘法原理) 12n N m m m =⨯⨯⨯. 70.排列数公式m n A =)1()1(+--m n n n =!!)(m n n -.(n ,m ∈N *,且m n ≤).注:规定1!0=. 71.组合数公式mnC =m n m mA A =m m n n n ⨯⨯⨯+-- 21)1()1(=!!!)(m n m n -⋅(n ∈N *,m N ∈,且m n ≤).72.组合数的两个性质 (1)mn C =mn nC - ; (2) m n C +1-m n C =mn C 1+.注:规定10=n C .(6)nn n r n n n n C C C C C 2210=++++++ . (7)14205312-+++=+++n n n n n n n C C C C C C .73.排列数与组合数的关系m m n n A m C =⋅! .74.二项式定理n n n r r n r n n n n n n n n b C b a C b a C b a C a C b a ++++++=+--- 222110)( ;二项展开式的通项公式r r n r n r b a C T -+=1)210(n r ,,, =.75.等可能性事件的概率()m P A n=. 76.互斥事件A ,B 分别发生的概率的和 P(A +B)=P(A)+P(B).77.n 个互斥事件分别发生的概率的和P(A 1+A 2+…+A n )=P(A 1)+P(A 2)+…+P(A n ). 78.独立事件A ,B 同时发生的概率 P(A ·B)= P(A)·P(B).79.n 次独立重复试验中某事件恰好发生k 次的概率()(1).k kn k n n P k C P P -=-80.离散型随机变量的分布列的两个性质(1)0(1,2,)i P i ≥=; (2)121P P ++=.。
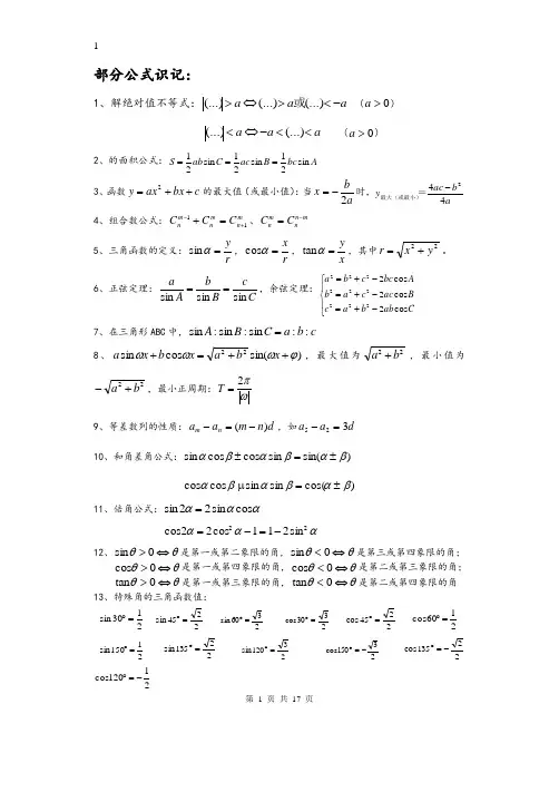
CCnC 22n n 、C部分公式识记:1、解绝对值不等式:(...) a(...)a 或(...)asin1501 sin 13522 3 sin12022cos1503 cos13522 cos1201222、三角形3、(...)aa (...) aa 0第一部分:集合与不等式【知识点】知识点回顾4、的面积公式: S21 absin C2 1acsin B 21bcsin A 2b4 acb1、集合 A 有 n 个元素,则集合 A 的子集有 2n 个,真子集有 2n1个,非空真子3、函数 yaxbx c 的最大值(或最小值) :当 x时, y 2a最大(或最小)= 4a集有 2n2个;4、组合数公式: m 1mmm n m n 1 n2、充分条件、必要条件、充要条件:(1)p q ,则 p 是 q 的充分条件, q 是 p 的必要条件5、三角函数的定义:siny , cos x , tany,其中 rxy 。
如 p :( x+2 )( x-3 ) =0 q : x=3∴ q p , q 为 p 的充分条件, p 为 q 的必要条件rra b c x a2 b 2c 22bc c os A (2) pq 且q p ,则 p 是 q 的充要条件, q 也是 p 的充要条件6、正弦定理:sin Asin Bsin C,余弦定理:b2 a2 c 2 2ac cos B 3、一元二次不等式的解法:7、在三角形 ABC 中, sin A: sin B : sin Cc 2a :b : ca2b22ab cos C若 a 和 b 分别是方程 ( x a )( x b) 0 的两根,且 a b ,则8 、 a sinxb cos xa2b 2sin( x) , 最 大 值 为a 2b 2, 最 小 值 为x a x b0 的解集为 x b 或 x a , x a x b 0 的解集为 a x ba2b22,最小正周期: T如:x 2 x 3x 3或 x 2,( x 2)( x 3) 02 x 39、等差数列的性质:a ma n(m n )d,如 a 5a 23d 口诀:大于两边分(大于大的根,小于小的根),小于中间夹。
第 1 页 共 17 页1部分公式识记:1、解绝对值不等式:a a a -<>⇔>(...)(...)(...)或 (0>a )a a a <<-⇔<(...)(...) (0>a )2、的面积公式:A bc B ac C ab S sin 21sin 21sin 21===3、函数c bx ax y ++=2的最大值(或最小值):当a b x 2-=时,ab ac y 442-=最大(或最小) 4、组合数公式:m n m n m nC C C 11+-=+、mn nm n C C -= 5、三角函数的定义:r y =αsin ,r x =αcos ,xy =αtan ,其中22y x r +=。
6、正弦定理:CcB b A a sin sin sin ==,余弦定理:⎪⎩⎪⎨⎧-+=-+=-+=C ab b a c B ac c a b A bc c b a cos 2cos 2cos 2222222222 7、在三角形ABC 中,c b a C B A ::sin :sin :sin = 8、)sin(cos sin 22ϕωωω++=+x b a x b x a ,最大值为22b a +,最小值为22b a +-,最小正周期:ωπ2=T9、等差数列的性质:d n m a a n m )(-=-,如d a a 325=- 10、和角差角公式:)sin(sin cos cos sin βαβαβα±=± )cos(sin sin cos cos βαβαβα±= 11、倍角公式:αααcos sin 22sin =ααα22sin 211cos 22cos -=-=12、⇔>0sin θθ是第一或第二象限的角,⇔<0sin θθ是第三或第四象限的角;⇔>0cos θθ是第一或第四象限的角,⇔<0cos θθ是第二或第三象限的角; ⇔>0tan θθ是第一或第三象限的角,⇔<0tan θθ是第二或第四象限的角 13、特殊角的三角函数值:2130sin =︒ 2245sin =︒ 2360sin =︒ 2330cos =︒ 2245cos =︒ 2160cos =︒21150sin =︒ 22135sin =︒ 23120sin =︒ 23150cos -=︒ 22135cos -=︒21120cos -=︒知识点回顾第一部分:集合与不等式【知识点】1、集合A 有n 个元素,则集合A 的子集有n 2个,真子集有12-n 个,非空真子集有22-n 个;2、充分条件、必要条件、充要条件:(1)p ⇒q ,则p 是q 的充分条件,q 是p 的必要条件如 p :(x+2)(x-3)=0 q :x=3∴q ⇒p ,q 为p 的充分条件,p 为q 的必要条件 (2)q p ⇒且p q ⇒,则p 是q 的充要条件,q 也是p 的充要条件 3、一元二次不等式的解法:若a 和b 分别是方程0))((=--b x a x 的两根,且a b <,则如:()()2303x x x -->⇒>或2x <, 0)3)(2(<--x x⇒23x << 口诀:大于两边分(大于大的根,小于小的根),小于中间夹。
中职数学公式大全1.基本运算法则:-加法法则:a+b=b+a-减法法则:a-b≠b-a-乘法法则:a×b=b×a-除法法则:a÷b≠b÷a-结合律:(a+b)+c=a+(b+c)-分配律:a×(b+c)=a×b+a×c2.整数运算:-整数的加法:a+b=c-整数的减法:a-b=c-整数的乘法:a×b=c-整数的除法:a÷b=c3.分数运算:-分数的加法:a/b+c/d=e/f-分数的减法:a/b-c/d=e/f-分数的乘法:a/b×c/d=e/f-分数的除法:a/b÷c/d=e/f4.代数运算:- 一元一次方程:ax + b = 0- 一元二次方程:ax^2 + bx + c = 0-二次根式:√a,其中a为非负数-平方根:√a=b,其中b为满足b^2=a的数-根式的运算:a√b+c√d=e√f-指数运算:a^b,其中a为底数,b为指数- 对数运算:loga(b),其中a为底数,b为真数5.平面几何:-长方形的面积:A=l×w,其中l为长,w为宽-正方形的面积:A=s^2,其中s为边长-圆的面积:A=πr^2,其中π为圆周率,r为半径- 三角形的面积:A = 1/2bh,其中b为底,h为高-梯形的面积:A=1/2(a+b)h,其中a、b为上底和下底的长度,h为高6.空间几何:- 立方体的体积:V = lwh,其中l、w、h为长、宽、高-圆柱体的体积:V=πr^2h,其中π为圆周率,r为底圆半径,h为高-锥体的体积:V=1/3πr^2h,其中π为圆周率,r为底圆半径-球的体积:V=4/3πr^3,其中π为圆周率,r为半径7.概率统计:-简单事件的概率:P(A)=m/n,其中A为事件,m为A发生的情况数,n为总的可能情况数-加法原理:P(A∪B)=P(A)+P(B)-P(A∩B),其中A、B为两个不相交的事件-乘法原理:P(A∩B)=P(A)×P(B,A),其中A、B为两个事件,P(B,A)表示在A发生的条件下B发生的概率以上是中职数学常见的运算和公式,其中涵盖了基本的数学运算、代数运算、几何运算和概率统计等内容。
公式一、集合实数集R 空集 ∅ 有理数集Q 自然数集N 正整数集*N 整数集 Z交集:{}B ∈A ∈=B ⋂A χχχ且 并集:{}B ∈A ∈=B ⋃A χχχ或补集:{}A ∉∈=A χχχ且U C U充分条件:条件p ⇒结论q必要条件:条件p ⇐结论q 充要条件:条件p ⇔结论q三、函数 )(x f =γ函数奇偶性奇函数:设函数的定义域为数集D ,如果对于任意的,都有D x ∈-且)()(x f x f -=-,那么函数)(x f 叫做奇函数。
偶函数:设函数的定义域为数集D ,如果对于任意的,都有D x ∈-且)()(x f x f =-,那么函数)(x f 叫做偶函数。
不具有奇偶性的函数叫做非奇非偶函数。
四、指数函数与对数函数分式指数幂:n mnm a a= nmnm aa1=-实数指数幂:qp qpa a a +=⋅ ()pq qpa a = ()p p pb a ab ⋅=幂函数:)(R x ∈=αγα指数函数:)10(≠>=a a a x且γ 性质:1)函数的定义域为R ,域值为()∞+,0; 2)当0=x 时,函数值1=y ;3)当()()内是减函数。
时,函数在内是增函数,当时,函数在+∞∞-<<+∞∞->,10,1a a对数:b N N a a b=⇔=log性质:1)01log =a 2)1log =a a 3)0>N ,即零和负数没有对数 常用对数:N N lg log 10简记为自然对数:以无理数e (e=2.71928……)为底的对数,N N e ln log 简记为 积、商、幂的对数:)0,0(lg lg )lg(>>+=N M N M MN N M NMlg lg lg-= M n M n lg lg = 对数函数:x y a log = 性质:1)函数的定义域为()∞+,0,域值为R ; 2)当1=x 时,函数值0=y ;3)当()()内是减函数。
《数学》公式及定理表1、 乘法公式:(1)(a+b )²=a 2+2ab+b 2 (2)(a —b)²=a ²-2ab+b ² (3)(a+b)(a-b)=a ²-b ² (4)a ³+b ³=(a+b)(a ²-ab+b ²) (5)a ³-b ³=(a-b)(a ²+ab+b ²)2、 集合运算(1)集合的交:{}B ∈∧A ∈=B ⋂A x x x (公共部分) (2)集合的并:{}B ∈∨A ∈=B ⋃A x x x (全部)(3)集合的补:{}A ∉∧∈=A x U x x C u (属于U 但不属于A )3、 逻辑:若B ⇒A , 则 (1)A 是B 的充分条件;(2)B 是A 的必要条件。
若B ⇔A , 则 A 是B 的充分必要条件。
4、一元二次方程:02=++c bx ax(1)求根公式:a ac b b x 242-±-=()42≥-ac b(2)判别式:ac b 42-=∆当Δ>0时,方程有两个不相等的实根; 当Δ=0时,方程有两个相等的实根; 当Δ<0时;方程没有实数根。
(3)根与系数的关系:a b x x -=+21 ac x x =⋅21 5、二次函数:c bx ax y ++=2(1)顶点:⎪⎪⎭⎫ ⎝⎛--ab ac a b 44,22(2)对称轴:a b x 2-= (3)当0>a 时,ab ac y 442min-=;当0<a 时,a b ac y 442max -=6.绝对值不等式(0a >)(1)若x a <,则:a x a -<<; (2)x a >,则:x a <-或x a >7、奇偶性:(1)奇函数:()()x f x f -=- (图象关于原点对称) (2)偶函数:()()x f x f =- (图象关于y 轴对称) (3)性质:奇奇奇=±; ;非奇非偶偶奇=± 偶偶偶=± ;偶奇奇=÷⨯ ;奇偶奇=÷⨯ 偶偶偶=÷⨯8、指数公式:(1)()010a a =≠ (2)()10pp aa a-=≠ (3)nma = (4)mnm na a a+= (5)mm nm n n a a a a a-÷== (6)()n m mn a a =(7)()nnnab a b = (8)(b a )n =n nba (9)n a =(10)n a = (11)n a =9、指数与对数关系:(1)若b a N =,则log a b N = (2)若10b N =,则lg b N =10、对数公式:(1)b a b a =log ()b b =10lg 2 ()01log 3=a()01lg 4= ()N a Na=log5 ()N N =lg 106 11、对数法则:()()N M MN a a a log log log 1+= ()N M NMa a alog log log 2-= ()M n M a n a log log 3= (4)换底公式:aN N a lg lg log =12.导数(1)导数公式: ()0C '=; ()1n n x nx -'=; ()u v u v '''±=±; ()Cu Cu ''= (2)切线斜率:0x x k y ='= (3)切线:()00y y k x x -=-13、三角函数定义:若点()y x P , 222y x r +=()r y =αsin 1 ()r x=αcos 2 ()x y =αtan 3 ()y x =αcot 4 ()x r =αsec 5 ()yr =αcsc 614、三角恒等式:(1)22sin cos 1αα+= (2)221tan sec αα+=(3)221cot csc αα+=(4)sin tan cos aa α= (5)cos cot sin a a α= (6)1cot tan aα= (7)1csc sin a α=(8)1sec cos aα= 15、特殊角三角函数值:16、三角符号:17、周期公式:若()()ϕω+=x A y sin 1 ()ϕω+=x A y cos x b x a y ϖϖcos sin +=则周期:ωπ2=T若()()ϕω+=x A y tan 2 ()ϕω+=x A y cot 则周期:ωπ=T 18、三角函数基本公式:()()βαβαβαsin cos cos sin sin 1±=±()()βαβαβαsin sin cos cos cos 2 =±()()βαβαβαtan tan 1tan tan tan 3⋅±=±19、倍角公式:(1)sin 22sin cos ααα= (2)22tan tan 21(tan )aa α=-(3)2222cos 2cos sin 2cos 112sin ααααα=-=-=-20、半角公式(降幂公式):(1)21cos sin 22a α-=(2)21cos cos 22a α+=(3)sin 1cos tan 21cos sin aaααα-==+21.题型(1)x b x a y cos sin ±= 则:22max b a y +=,22min b a y +-=(2)形如:ααcos sin ± 方法:平方(3)求AB 的垂直平分线 方法:设动点();,y x P 则:PB PA =22.正弦定理:CcB b A a sin sin sin == 23.余弦定理:()A bc c b a cos 21222-+=()B ac c a b cos 22222-+=()C ab b a c cos 23222-+=24.函数定义域求法:(1)分式中的分母不能为0, (a1α≠0) (2)负数不能开偶次方,(a α≥0) (3)对数中的真数必须大于0, (log a N N>0)25.等差数列:(1)公差:1--=n n a a d (2)通项:()d n a a n ⋅-+=11 (3)前n 项的和:()21na a S n n ⋅+=或 ()d n n na S n 211-+=(4)等差中项:若a ,A ,b 成等差b a A +=⇔2(5)若m+n=p+q ,则:q p n ma a a a +=+26.等比数列:(1)公比:1-=n na a q (2)通项:11-=n n q a a (3)前n 项的和:()q q a S nn --=111 或 q q a a S n n --=11(4)等比中项:若a ,G ,b 成等比ab G =⇒2(5)若m+n=p+q ,则:q p n ma a a a ⋅=⋅27.向量:若点()()222111,,,y x P y x P 则:(1)向量:()121221,y y x x P P --=→(2)距离:()()21221221y y x x P P -+-=(3)中点公式:若点()00,y x M 是21P P 的中点则:2210x x x +=,2210y y y += 28、向量的坐标运算:若:()()2121,,,b b b a a a ==→→ 则:()()2211,1b a b a b a ++=+→→()()2211,2b a b a b a --=-→→ ()()21,3a a a λλλ=→()2211,cos 4b a b a b a b a b a +=〉〈⋅⋅=⋅→→→→→→(22215a a +=()26a =29.向量的关系(1)平行:→a ∥2211b a b a b a b =⇔=⇔→→→λ(2)垂直:→a ⊥002211=+⇔=⋅⇔→→→b a b a b a b(3)夹角, 则:=30 倾斜角和斜率(1)倾斜角α:直线向上的方向与x 轴的正方向的所成的最小正角.[)00180,0∈α(2)斜率k αtan =k 或 1212x x y y k --=或 由 y kx b =+ 得31.直线方程形式:(1) 点斜式:()00y y k x x -=-0 (2) 斜截式:y kx b =+ (3)截距式:1=+bya x (4) 两点式:121121x x x x y y y y --=-- (5)一般式:0=++C By Ax 32.两条直线关系若 L 1:y=k 1x+b 1 L 2:y=k 2x+b 2(1) 平行:若L 1∥L 2,则k 1=k 2,b 1≠b 2 (2) 垂直:若L 1⊥L 2,则k 1*k 2=-1 (3)夹角θ, 则:21211tan k k k k +-=θ33.距离(1)点()00,y x P 到直线:0=++C By Ax 距离:2200BA CBy Ax d +++=(2)两条平行线的距离:1122:0;:0l Ax By C l Ax By C ++=++=则:2221B A C C d +-=34.圆(1)标准方程:若圆心()b a C ,, 半径:r 则:()()222r b y a x =-+-(2)一般方程:022=++++F Ey Dx y x35.椭圆 ()222b a c -= ()b a > 其中定义:a PF PF 221=+其中:长轴:2a 短轴:2b 焦距:2c 离心率:ae =(e<1) 36.双曲线: ()222b a c+=其中定义:a PF PF 221=-其中:实轴:2a 虚轴:2b 焦距:2c 离心率:ace =(e>1) 37.抛物线: 离心率:e=1其中定义:PMPF =)0(>p38.求()x f y =的反函数的方法(1) 方法:将()x f y =化成()y g x = ; 将x 与y 互换,得反函数:()()x g x f y ==-1(2)反函数性质:图象关于x y =对称39.排列,组合,概率,统计(1)排列:()()()121mn A n n n n m =---+ 阶乘:n n A =n ﹗=n(n-1)(n-2) (1)(2)组合:()()11(1)21m n n n n m C m m --+=-⨯; m n m n n C C -=; 01n n n C C ==(3)概率:互斥事件;()()()P A B P A P B +=+ 对立事件:()()1P A P A =- 独立事件:()()()P AB P A P B =独立重复试验:()()1n kk kn nP k C p p -=-(4)统计:平均数:12nx x x x n +++=方差:()()()2222121n s x x x x x x n ⎡⎤=-+-++-⎢⎥⎣⎦。
高职高考数学知识点公式一、函数与方程1. 一元一次方程公式一元一次方程是指一个未知数的一次方程,可以表示为ax+b=0的形式,其中a和b为已知数,x为未知数。
该方程的解可以使用以下公式求出:x=-b/a。
2. 一元二次方程公式一元二次方程是指一个未知数的二次方程,可以表示为ax^2+bx+c=0的形式,其中a、b和c为已知数,x为未知数。
可以使用求根公式来解这种方程:x=(-b±√(b^2-4ac))/(2a)。
其中,±表示两个解,√表示对一个数开平方。
3. 线性函数斜率公式线性函数表示为y=kx+b的形式,其中k为斜率,b为截距。
斜率表示函数曲线的倾斜程度,可以使用以下公式计算:k=(y2-y1)/(x2-x1)。
其中,(x1, y1)和(x2, y2)为直线上的两个点的坐标。
4. 二次函数顶点公式二次函数表示为y=ax^2+bx+c的形式,其中a、b和c为已知数。
顶点是二次函数曲线的最高点或最低点,在求解最值问题时经常用到。
可以使用以下公式计算二次函数的顶点坐标:xv=-b/(2a),yv=f(xv)。
5. 指数函数与对数函数公式指数函数表示为y=a^x的形式,其中a为底数,x为指数。
对数函数是指数函数的反函数,表示为y=loga(x)的形式。
两者之间有以下的等价关系:a^x=y 等价于 x=loga(y)。
二、平面几何1. 直角三角形勾股定理直角三角形是指其中一个角为90度的三角形。
勾股定理是直角三角形中最基本的定理之一,可以用于计算三角形的边长。
它的公式表达为a^2+b^2=c^2,其中a、b和c分别表示直角三角形的两条直角边和斜边。
2. 三角形面积公式三角形是平面几何中最常见的形状之一,可以使用以下公式计算三角形的面积:S=1/2×底×高。
其中,底表示三角形的底边长度,高表示从底边到对应顶点的垂直距离。
3. 圆的面积和周长公式圆是平面几何中的一个重要概念,可以使用以下公式计算圆的面积和周长。
职高数学公式一次函数的一般式:\[y=ax+b\]一次函数的斜率公式:\[a=\frac{{y_2-y_1}}{{x_2-x_1}}\]一次函数的截距公式:\[b=y_1-ax_1\]一次函数的解析式:\[y=ax+b\]二次函数的一般式:\[y=ax^2+bx+c\]二次函数顶点坐标:\[(h, k)\]二次函数的顶点坐标公式:\[h=-\frac{b}{2a}\] 和 \[k=f(h)=-\frac{D}{4a}\]二次函数的判别式:\[D=b^2-4ac\]二次函数的解析式:\[y=ax^2+bx+c\]指数函数:\[y=a^x\]对数函数:\[y=\log_a(x)\]三角函数:\[y=\sin(x), y=\cos(x), y=\tan(x)\]正弦定理:\[\frac{a}{\sin(A)}=\frac{b}{\sin(B)}=\frac{c}{\sin(C)}\]余弦定理:\[a^2=b^2+c^2-2bc\cos(A)\]正切定理:\[\frac{a-b}{a+b}=\frac{\tan(\frac{A-B}{2})}{\tan(\frac{A+B}{2})}\]勾股定理:\[c^2=a^2+b^2\]射影定理:\[\frac{AD}{AB}=\frac{CD}{CB}\]平行线性质:对于平行线BC和DE:\[\frac{AB}{CD}=\frac{AC}{CE}=\frac{BC}{DE}\]相似三角形性质:对于相似三角形ABC和DEF:\[\frac{AB}{DE}=\frac{BC}{EF}=\frac{AC}{DF}=\frac{K_{ABC}}{K_ {DEF}}\]正方形的周长公式:\[P=4a\]正方形的面积公式:\[A=a^2\]长方形的周长公式:\[P=2(a+b)\]长方形的面积公式:\[A=ab\]圆的周长公式:\[C=2\pi r\]圆的面积公式:\[A=\pi r^2\]圆柱体的表面积公式:\[S=2\pi rh+2\pi r^2\]圆柱体的体积公式:\[V=\pi r^2h\]球体的表面积公式:\[S=4\pi r^2\]球体的体积公式:\[V=\frac{4}{3}\pi r^3\]直角三角形中,两直角边的平方和等于斜边的平方:\[a^2+b^2=c^2\] 等边三角形中,所有边长相等:\[a=b=c\]等腰三角形中,两边相等的角度也相等:\[\angle A=\angle B\]正多边形中,所有边长和角度相等:\[n\angle A=360°\]。
职高数学概念公式1.几何概念和公式-长方形:周长P=2(l+w),面积A=l×w-正方形:周长P=4s,面积A=s^2-圆:周长C=2πr,面积A=πr^2-三角形:面积A=0.5×b×h,其中b是底边的长度,h是对应的高-直角三角形:勾股定理a^2+b^2=c^2,其中c是斜边的长度-平行四边形:面积A=b×h,其中b是底边的长度,h是对应的高-梯形:面积A=0.5×(a+b)×h,其中a和b是上下底边的长度,h是对应的高2.代数概念和公式-相反数:两个数的和为0,则它们互为相反数-绝对值:一个数与0的距离-平方:一个数的平方等于该数乘以自身,即a^2=a×a-立方:一个数的立方等于该数乘以自身两次,即a^3=a×a×a-公式:一种用字母和符号表示的数学关系式- 一次方程:形如 ax + b = 0 的方程,其中 a 和 b 是已知数,x 是未知数- 二次方程:形如 ax^2 + bx + c = 0 的方程,其中 a、b 和 c 是已知数,x 是未知数-因式分解:将一个多项式表示为若干个因子的乘积的过程-根式:形如√a的表达式,表示使得x^2=a的解x-比例:两个数之间的相对大小关系-百分数:以百分号%表示的分数,表示每一百份中的几分之几-方程组:包含多个方程的集合3.概率与统计概念和公式-事件:一次试验的结果-样本空间:所有可能结果的集合-概率:一些事件发生的可能性,用P(A)表示-互斥事件:两个事件不能同时发生-独立事件:两个事件发生与否互不影响-随机变量:对应样本空间到实数集上的映射-期望:随机变量的平均值,记为E(X)- 方差:随机变量离期望的平均距离的平方,记为 Var(X)-正态分布:一种连续型概率分布,均值为μ,标准差为σ-中心极限定理:大量独立同分布变量之和的分布收敛于正态分布这些只是职高数学中的一小部分概念和公式,但它们是在日常生活和工作中经常会用到的基本数学知识。
公式一、集合
实数集
空集
有理数集自然数集正整数集整数集
交集:二、不等式有限区间集合
无限区间集合
并集:
补集:
充分条件:条件p 结论 q
必要条件:条件p 结论 q
充要条件:条件p 结论 q
a, b a, b a,b a, b
a b a b a b a b
,b, b a,a,,
b b a a R
方程或不等式
解集(b2 4ac )
0 0 0
ax 2
bx c 0
x ,x
2
x0
1
ax 2 bx c 0 , x1 x2 , , x0x0 , R ax 2 bx c 0 , x1 x2 , R R ax 2 bx c 0 x1 ,x2
ax 2
bx c 0
x ,x
2
x0
1
三、函数
函数奇偶性
奇函数:设函数的定义域为数集,如果对于任意的,都有且,那么函数叫做奇函数。
偶函数:设函数的定义域为数集,如果对于任意的,都有且,那么函数叫做偶函数。
不具有奇偶性的函数叫做非奇非偶函数。
四、指数函数与对数函数
分式指数幂:
实数指数幂:
幂函数:
指数函数:
性质:
1)函数的定义域为R,域值为;
2)当时,函数值;
3)当
对数:
性质: 1)2)3),即零和负数没有对数
常用对数 :
自然对数:以无理数e( e=2.71928)为底的对数,
积、商、幂的对数:
对数函数:
性质:
1)函数的定义域为,域值为R;
2)当时,函数值;
3)当
三角函数:
角终边相同的角的集合:
任意角的正弦、余弦和正切函数同角三角函数的基本关系
tan=
三角函数公式
正弦
余弦
正切
正弦型函数
横坐标缩短为原来的倍
横坐标伸长为原来的倍
横坐标向右平移个单位
横坐标向左平移个单位
纵坐标伸长为原来的 A 倍纵
坐标缩短为原来的 A 倍
①周期
②振幅 =A
余弦定理
六、数列
等差数列( d:公差)
通项公式:
前 n 项和公式:
等比数列 (q:公比 )
通项公式:
前 n 项和公式:
当 q=1 时,前 n 项和为
二倍角公式
由公式可变形为:
③频率
④相位 = 初相:当 x=0 时,的值
关键五点法:
正弦定理:
七、平面向量 平面向量的加法: 平面向量的减法: 平面向量的数乘运算: 若,则当时,的方向与的方向相同,当时,的方向与相反。
对于非零向量,当时有, 一般的,有
法则: 1) 2)
3)
4)
平面向量的坐标 向量线性运算的坐标: 共线向量的坐标表示: 平面向量的内积: 内积的坐标表示:
八、直线和圆的方程 两点间的距离: 线段中点坐标: 直线的斜率:
直线的点斜式方程:
直线的斜截式方程: ( b 为截距)
直线的一般式方程: (A 、B 不全为零 )
两条直线的位置关系:平行、相交。
点到直线的距离:
圆的标准方程: 圆心:( a,b )
圆的一般方程: ()
圆心:
半径:
直线与圆的位置关系:判断 d 与 r 的大小。
椭圆、双曲线、抛物线
椭圆 a 2
c 2 b 2
双曲线
x 2 y 2
x 2 y 2
a
2
b 2
1( a
0,b
0) a
2
b
2
1(a
0, b 0)
标准方程
y 2
x 2 1(a 0,b
0)
y 2
x 2 1(a 0, b 0)
a
2
b
2
a
2
b
2
F 1 ( c,0)
F 2 ( c,0)
F 1 ( c,0) F 2 (c,0)
焦点坐标
F 1 (0, c) F 2 (0, c) F 1 ( 0, c) F 2 (0, c)
抛物线
y 2 2 px( p 0)
y 2
2 px( p 0)
x 2
2 py ( p
0) x 2
2 py ( p
0)
( p
,0) (
p
,0) 2 2
(0, p
)
(0, p )
2
2
顶点坐标
准线方程
范围
对称轴
离心率
渐近线
概率和统计
排列及排列数的计算组合及组合数的计算二项式定理
二项分布
伯努利公式:A1 ( a,0) A2 ( a,0) A1 ( a,0) A2 (a,0)
坐标原点
B1 (0, b) B2 ( 0, b) B1 ( 0, b) B2 (0,b)
p p
x x
2 2
p p
y y
2 2
a x a,
b x b x a或x a
X轴或Y轴X轴或Y轴X轴或Y轴
e
c
e
c
e 1
a a
y b x
a。