传感器和检测技术课后答案解析
- 格式:doc
- 大小:308.00 KB
- 文档页数:17
1-2 自动检测系统通常由几个部分组成?其中对传感器的一般要求是什么?首先由各种传感器将非电被测物理或化学成分参量转化成电参量信号,然后经信号调理,数据采集,信号处理后,进行显示,输出,加上系统所需的交,直流稳压电源和必要的输入设备,便构成了一个完整的自动检测系统。
对传感器通常有如下要求:1,准确性2,稳定性3,灵敏度4其他:如耐腐蚀性,功耗,输出信号形式,体积,售价等。
1-3 试述信号调理和信号处理的主要功能和区别,并说明信号调理单元和信号处理单元通常由哪些部分组成。
信号调理在检测系统中的作用是对传感器输出的微弱信号进行检波,转换,滤波,放大等,以便检测系统后续处理或显示。
信号处理模块是自动检测仪表,检测系统进行数据处理和各种控制的中枢环节,其作用和大脑相类似。
信号调理电路通常包括滤波、放大、线性化等环节。
信号处理模块通常以各种型号的嵌入式微控制器、专用高速处理器(DSP)和大规模可编程集成电路,或直接采用工业控制计算机来构建。
2-1 随机误差,系统误差,粗大误差产生的原因是什么?对测量结果的影响有什么不同?从提高测量准确度看,应如何处理这些误差?随机误差主要是由于检测仪器或测量过程中某些未知或无法控制的随机因素综合作用的结果。
系统误差产生的原因大体上有:测量所用的仪器本身性能不完善或安装,布置,调整不当;在测量过程中温度,湿度,气压,电磁干扰等环境条件发生变化;测量方法不完善,或者测量所依据的理论本身不完善;操作人员视读方式不当等。
粗大误差一般由外界重大干扰或仪器故障或不正确的操作等引起的。
减小和消除系统误差的方法——1,针对产生系统误差的主要原因采取相应措施2,采用修正方法减小恒差系统误差3,采用交叉读书法减小线性系统误差4,采用半周期法减小周期性系统误差随机误差的处理——可以用数理统计的方法,对其分布范围做出估计,得到随机影响的不确定度。
粗大误差的处理——拉伊达准则和格拉布斯准则2-2 工业仪表常用的精度等级是如何定义的?精度等级与测量误差是什么关系?人为规定:取最大引用误差百分数的分子作为检测仪器(系统)精度等级的标志,即用最大引用误差去掉正负号的数字来表示精度等级。
第四章习题答案1.某电容传感器(平行极板电容器)的圆形极板半径)(4mm r =,工作初始极板间距离)(3.00mm =δ,介质为空气。
问:(1)如果极板间距离变化量)(1m μδ±=∆,电容的变化量C ∆是多少?(2)如果测量电路的灵敏度)(1001pF mV k =,读数仪表的灵敏度52=k (格/mV )在)(1m μδ±=∆时,读数仪表的变化量为多少?解:(1)根据公式SSSd C d d d d d dεεε∆∆=-=⋅-∆-∆ ,其中S=2r π (2)根据公式112k k δδ∆=∆ ,可得到112k k δδ⋅∆∆==31001100.025-⨯⨯= 2.寄生电容与电容传感器相关联影响传感器的灵敏度,它的变化为虚假信号影响传感器的精度。
试阐述消除和减小寄生电容影响的几种方法和原理。
解:电容式传感器内极板与其周围导体构成的“寄生电容”却较大,不仅降低了传感器的灵敏度,而且这些电容(如电缆电容)常常是随机变化的,将使仪器工作很不稳定,影响测量精度。
因此对电缆的选择、安装、接法都有要求。
若考虑电容传感器在高温、高湿及高频激励的条件下工作而不可忽视其附加损耗和电效应影响时,其等效电路如图4-8所示。
图中L 包括引线电缆电感和电容式传感器本身的电感;C 0为传感器本身的电容;C p 为引线电缆、所接测量电路及极板与外界所形成的总寄生电容,克服其影响,是提高电容传感器实用性能的关键之一;R g 为低频损耗并联电阻,它包含极板间漏电和介质损耗;R s 为高湿、高温、高频激励工作时的串联损耗电组,它包含导线、极板间和金属支座等损耗电阻。
此时电容传感器的等效灵敏度为2200220/(1)(1)g e e k C C LC k d d LC ωω∆∆-===∆∆- (4-28)当电容式传感器的供电电源频率较高时,传感器的灵敏度由k g 变为k e ,k e 与传感器的固有电感(包括电缆电感)有关,且随ω变化而变化。
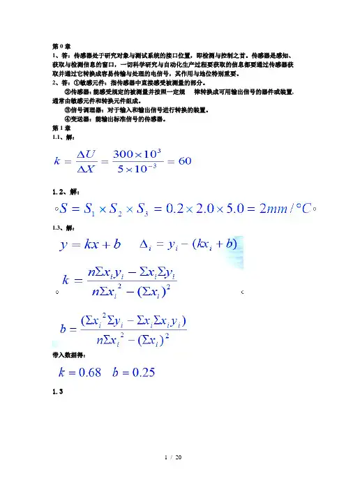
0.1答:传感器处于研究对象与测试系统的接口位置,即检测与控制之首。
传感器是感知、获取与检测信息的窗口,一切科学研究与自动化生产过程要获取的信息都要通过传感器获取并通过它转换成容易传输与处理的电信号,其作用与地位特别重要。
0.2答:①敏感元件:指传感器中直接感受被测量的部分。
②传感器:能感受规定的被测量并按照一定规律转换成可用输出信号的器件或装置,通常由敏感元件和转换元件组成。
③信号调理器:对于输入和输出信号进行转换的装置。
④变送器:能输出标准信号的传感器。
1.1解: 1.2解:601051030033=⨯⨯=∆∆=-X U k Cmm S S S S ︒=⨯⨯=⨯⨯=/20.50.22.03211.3解:带入数据得:b kx y +=)(b kx y i i i +-=∆22)(i i i i i i x x n y x y x n k ∑-∑∑∑-∑=222)()(i i i i i i i x x n y x x y x b ∑-∑∑∑-∑∑=68.0=k 25.0=b1.3拟合直线灵敏度0.68,线性度±7%∴25.068.0+=x y %7535.0%100max ±=±=⨯∆±=FS L y L γ238.01=∆35.02-=∆16.03-=∆11.04-=∆126.05-=∆194.06-=∆1.4解:设温差为R,测此温度传感器受幅度为R 的阶跃响应为(动态方程不考虑初态)())1(3/t e R t y --=当()3R t y =时⇒22.132ln 3=-=t 当()2R t y =时⇒08.221ln 3=-=t1.5解:此题与炉温实验的测飞升曲线类似: 1.6解:())1(9010/T t e t y --+=由()505=y ⇒51.895ln 5=-=T ()⎩⎨⎧=--=-5.0)1(2025/T e t y T t ()68.71=y ()36.52=y1.7解:所求幅值误差为1.109,相位滞后n n j s n n n j s s j G ωωξωωωξωωωω21122222+⎪⎪⎭⎫ ⎝⎛-=++==)(()109.110005005.021********211222222=⎥⎦⎤⎢⎣⎡⨯⨯+⎥⎥⎦⎤⎢⎢⎣⎡⎪⎭⎫ ⎝⎛-=⎥⎦⎤⎢⎣⎡+⎥⎥⎦⎤⎢⎢⎣⎡⎪⎪⎭⎫ ⎝⎛-=n n j G ωωξωωω'42331000500110005005.02122121︒-=⎪⎭⎫ ⎝⎛-⨯⨯-=⎪⎪⎭⎫ ⎝⎛-⎪⎪⎭⎫ ⎝⎛-=--tg tg n n ωωωωξϕ'4233︒1.8答:静特性是当输入量为常数或变化极慢时,传感器的输入输出特性,其主要指标有线性度、迟滞、重复性、分辨力、稳定性、温度稳定性、各种抗干扰稳定性。
绪论1检测一个圆柱体的直径,请想出尽可能多的检测方法,并分析这些方法中的误差影响因素和大小。
答:a、使用游标卡尺测量,误差主要为人手安放直径相对位置的准确性;b、使用软绳沿直径轴向缠绕,多绕几圈求平均值,利用周长与直径的关系计算,误差主要是缠绕绳与轴线的垂直情况,与游标尺相比,减少了单个测量的误差;c,采用标准件,使用磁力表架进行测量,此种测量精度较高,一般在0.02mm。
2请举例说明动态特性和静态特性的区别。
答:动态特性的函数与时间相关,即时间不同,特征值不尽相同;而静态特性与时间无关。
如,温度传感器的线性度是通过一定时间稳定后才测量温度,而温度变化引起的温度传感器发生变化的滞后则属于动态特性。
3说明传感器与检测技术的发展趋势。
答:a、不断拓展检测范围,努力提高检测精度和可靠性;b、传感器逐渐向集成化、组合式、数字化方向发展;c、重视非接触式检测技术研究;d、检测系统智能化。
4说明频率域分析能解决的问题。
答: 频域描述反映信号的频率组成及幅值、相位关系。
为了解决不同的问题,往往需要掌握信号的不同方面的特征,因而可采用不同的信号描述方式。
例如,评定机器振动烈度,需要振动速度的均方根值作为判据,而在寻找振动源头时则需要掌握振动信号的频率分量,需要采用频域描述。
项目一1设想一个方案使用光电接近开关检测转速。
答:在转轴上粘接一个小面积的反光板,试验光电接近开关的敏感距离,安放光电接近开关,这样,转轴每转一圈,光电开关输出一个脉冲,利用计数器表头,或者人工计数,计量转动圈数的时间,利用转速公式获得转速。
2使用数显表配合接近开关,设计一个方案,检测传送带上的输运物料的个数。
答:在传送带边上设计一个接近开关,并测试其对物料的敏感距离,然后将其信号线按照实训任务中的方法连接,即可在数显表上显示来料个数。
3上网查找一个接近开关的生产厂家,并介绍其生产接近开关的型号和应用场合。
答:/products.asp?id=65,上海巨马。
第1章传感器与检测技术基础思考题答案l.检测系统由哪几部分组成? 说明各部分的作用。
答:一个完整的检测系统或检测装置通常是由传感器、测量电路和显示记录装置等几部分组成,分别完成信息获取、转换、显示和处理等功能。
当然其中还包括电源和传输通道等不可缺少的部分。
下图给出了检测系统的组成框图。
检测系统的组成框图传感器是把被测量转换成电学量的装置,显然,传感器是检测系统与被测对象直接发生联系的部件,是检测系统最重要的环节,检测系统获取信息的质量往往是由传感器的性能确定的,因为检测系统的其它环节无法添加新的检测信息并且不易消除传感器所引入的误差。
测量电路的作用是将传感器的输出信号转换成易于测量的电压或电流信号。
通常传感器输出信号是微弱的,就需要由测量电路加以放大,以满足显示记录装置的要求。
根据需要测量电路还能进行阻抗匹配、微分、积分、线性化补偿等信号处理工作。
显示记录装置是检测人员和检测系统联系的主要环节,主要作用是使人们了解被测量的大小或变化的过程。
2.传感器的型号有几部分组成,各部分有何意义?依次为主称(传感器)被测量—转换原理—序号主称——传感器,代号C;被测量——用一个或两个汉语拼音的第一个大写字母标记。
见附录表2;转换原理——用一个或两个汉语拼音的第一个大写字母标记。
见附录表3;序号——用一个阿拉伯数字标记,厂家自定,用来表征产品设计特性、性能参数、产品系列等。
若产品性能参数不变,仅在局部有改动或变动时,其序号可在原序号后面顺序地加注大写字母A、B、C等,(其中I、Q不用)。
例:应变式位移传感器:C WY-YB-20;光纤压力传感器:C Y-GQ-2。
3.测量稳压电源输出电压随负载变化的情况时,应当采用何种测量方法? 如何进行?答:测定稳压电源输出电压随负载电阻变化的情况时,最好采用微差式测量。
此时输出电压认可表示为U0,U0=U+△U,其中△U是负载电阻变化所引起的输出电压变化量,相对U 来讲为一小量。
传感器与检测技术徐科军第三版课后习题答案 Standardization of sany group #QS8QHH-HHGX8Q8-GNHHJ8-HHMHGN#传感第一章1.何为准确度、精密度、精确度?并阐述其与系统误差和随机误差的关系。
答:准确度:反映测量结果中系统误差的影响程度。
精密度:反映测量结果中随机误差的影响程度。
精确度:反映测量结果中系统误差和随机误差综合的的影响程度,其定量特征可用测量的不确定度表示。
4.为什么在使用各种指针式仪表时,总希望指针偏转在全量程的2/3以上范围内使用?答:选用仪表时要考虑被测量的大小越接近仪表上限越好,为了充分利用仪表的准确度,选用仪表前要对被测量有所了解,其被测量的值应大于其测量上限的2/3。
14.何为传感器的静态标定和动态标定?试述传感器的静态标定过程。
答:静态标定:确定传感器的静态特性指标,如线性度、灵敏度、滞后和重复性等。
动态标定:确定传感器的动态特性参数,如频率响应、时间常数、固有频率和阻尼比等。
静态标定过程:①将传感器全量程分成如干等间距点。
②根据传感器量程分点情况,由小到大一点一点地输入标准量值,并记录与各输入值相应的输出值。
③将输入值由大到小一点一点减小,同时记录与各输入值相对应的输出值。
④按②、③所述过程,对传感器进行正反行程往复循环多次测试,将得到的输出-输入测试数据用表格列出或作出曲线。
⑤对测试数据进行必要的处理,根据处理结果就可以确定传感器的线性度、灵敏度、迟滞和重复性等静态特性指标。
第二章1.什么叫应变效应?利用应变效应解释金属电阻应变片的工作原理。
答:应变效应:金属丝的电阻随着它所受的机械形变的大小而发生相应的变化的现象称为金属应变效应。
工作原理:在电阻丝拉伸极限内,电阻的相对变化与应变成正比,即:=K0 (K0:电阻丝的灵敏系数、:导体的纵向应变)2.金属电阻应变片与的工作原理有何区别?各有何优缺点?答:区别:金属电阻变化主要是由机械形变引起的;半导体的阻值主要由电阻率变化引起的。
传感器与检测技术(第二版)参考答案第1章 检测技术基本知识1.1单项选择:1.B2.D3. A4.B1.2见P1;1.3见P1-P3;1.4见P3-P4;1.5 见P5;1.6 (1)1℃(2)5﹪,1﹪ ;1.7 0.5级、0.2级、0.2级;1.8 选1.0级的表好。
0.5级表相对误差为25/70=3.57﹪, 1.0级表相对误差为1/70=1.43﹪;1.9见P10-P11;1.10见P11- P12;1.11 见P13-P14第2章 电阻式传感器及应用2.1 填空1.气体接触,电阻值变化;2.烧结型、厚膜型;3.加热器,加速气体氧化还原反应;4.吸湿性盐类潮解,发生变化2.2 单项选择1.B 2. C 3 B 4.B 5.B 6. A2.3 P17;2.4 P17;2.5P24;2.6 P24;2.7 P24-P25;2.8 P25;2.9 P26;2.10 P30-312.11 应变片阻值较小;2.12P28,注意应变片应变极性,保证其工作在差动方式;2.16 Uo=4m V ;2.17 P34;2.18 P34;2.19 (1) 桥式测温电路,结构简单。
(2)指示仪表 内阻大些好。
(3)RB:电桥平衡调零电阻。
2.20 2.21 线性范围内,希望传感器的灵敏度越高越好;传感器的延迟时间越短越好;传感器的线性范围越宽,则其量程越大,并且能保证一定的测量精度。
2.23 P44;2.33 P45第3章 电容式传感器及应用3.1 P53-P56;3.2 变面积传感器输出特性是线性的。
3.3 P58-P59;3.4 P59-P613.5 当环境相对湿度变化时,亲水性高分子介质介电常数发生改变,引起电容器电容值的变化。
属于变介电常数式。
3.6 参考变面积差动电容传感器工作原理。
参考电容式接近开关原理。
3.8 (1)变介电常数式;(2)参P62 电容油料表原理第4章 电感式传感器及应用4.1 单项选择1.B;2.A4.2 P65;4.3 P68;4.4 螺线管式电感传感器比变隙式电感传感器的自由行程大。
第1章传感器特性习题答案:5.答:静特性是当输入量为常数或变化极慢时,传感器的输入输出特性,其主要指标有线性度、迟滞、重复性、分辨力、稳定性、温度稳定性、各种抗干扰稳定性。
传感器的静特性由静特性曲线反映出来,静特性曲线由实际测绘中获得。
人们根据传感器的静特性来选择合适的传感器。
9.解:10.解:11.解:带入数据拟合直线灵敏度0.68,线性度±7%。
,,,,,,13.解:此题与炉温实验的测试曲线类似:14.解:15.解:所求幅值误差为1.109,相位滞后33042,所求幅值误差为1.109,相位滞后33042,16.答:dy/dx=1-0.00014x。
微分值在x<7143Pa时为正,x>7143Pa时为负,故不能使用。
17.答:⑴20。
C时,0~100ppm对应得电阻变化为250~350kΩ。
V0在48.78~67.63mV之间变化。
⑵如果R2=10MΩ,R3=250kΩ,20。
C时,V0在0~18.85mV之间变化。
30。
C时V0在46.46mV(0ppm)~64.43mV(100ppm)之间变化。
⑶20。
C时,V0为0~18.85mV,30。
C时V0为0~17.79mV,如果零点不随温度变化,灵敏度约降低4.9%。
但相对(2)得情况来说有很大的改善。
18.答:感应电压=2πfCRSVN,以f=50/60Hz,RS=1kΩ,VN=100代入,并保证单位一致,得:感应电压=2π*60*500*10-12*1000*100[V]=1.8*10-2V 第3章应变式传感器概述习题答案9.答:(1).全桥电路如下图所示(2).圆桶截面积应变片1、2、3、4感受纵向应变;应变片5、6、7、8感受纵向应变;满量程时:(3)10.答:敏感元件与弹性元件温度误差不同产生虚假误差,可采用自补偿和线路补偿。
11.解:12.解:13.解:①是ΔR/R=2(Δl/l)。
因为电阻变化率是ΔR/R=0.001,所以Δl/l(应变)=0.0005=5*10-4。
2.7用某一阶传感器测量100Hz 的正弦信号,如要求幅值误差限制在%5±以内,时间常数应取多少?如果用该传感器测量50Hz 的正弦信号,其幅值误差和相位误差各为多少? 解:一阶传感器频率响应特性:1)(1)(+=ωτωj j H ,幅频特性:2)(11)(ωτω+=A 由题意有%5)(≤ωj A ,即%5)(11≤+ωτ 又πππω20022===f T,所以ms 523.00 τ ,取ms 523.0=τ 幅值误差:%32.1%10011))(1/1()(2-=⨯-+=∆ωτωA 相位误差:03.9)arctan()(-=-=∆Φωτω2.8某温度传感器为时间常数s 3=τ的一阶系统,当传感器受突变温度作用后,试求传感器温差的三分之一和二分之一所需的时间。
温差为二分之一时,t=2.08s温差为三分之一时,t=1.2164s2.10 某传感器为一阶系统,当受阶跃函数作用时,在t=0时,输出为10mV ,在t=5s 时,输出为50mV ;在∞→t 时,输出为100mV 。
试求该传感器的时间常数。
τ=8.5s3.5如果将100Ω应变片粘贴在弹性元件上,试件截面积24105.0m S -⨯=,弹性模量211/102m N E ⨯=,若N 4105⨯的拉力引起应变计电阻变化为Ω1,求该应变片的灵敏度系数。
解:ε/R R K ∆=,已知Ω=∆1R ,所以1001=∆R R 29243/101/105.01050m N m N A F ⨯=⨯⨯==-σ, 由εσE =得3119105102101-⨯=⨯⨯==E σε, 所以2105100/1/3=⨯=∆=-εRR K 3.6一个量程为10kN 的应变式测力传感器,其弹性元件为薄壁圆筒轴向受力,外径20mm ,内径18mm ,在其表面粘贴八个应变片,四个沿轴向粘贴,四个沿周向粘贴,应变片的电阻值均为Ω120,灵敏度为2.0,泊松比为0.3,材料弹性模量为Pa 11101.2⨯,要求:(1)绘出弹性元件贴片位置及全桥电路。
第一章1.什么是传感器?它由哪几个部分组成?分别起到什么作用?解:传感器是一种以一定的精确度把被测量转换为与之有确定对应关系的、便于应用的某种物理量的测量装置,能完成检测任务;传感器由敏感元件,转换元件,转换电路组成。
敏感元件是直接感受被测量,并输出与被测量成确定关系的物理量;转换元件把敏感元件的输出作为它的输入,转换成电路参量;上述电路参数接入基本转换电路,便可转换成电量输出。
2.传感器技术的发展动向表现在哪几个方面?解:(1)开发新的敏感、传感材料:在发现力、热、光、磁、气体等物理量都会使半导体硅材料的性能改变,从而制成力敏、热敏、光敏、磁敏和气敏等敏感元件后,寻找发现具有新原理、新效应的敏感元件和传感元件。
(2)开发研制新型传感器及组成新型测试系统①MEMS 技术要求研制微型传感器。
如用于微型侦察机的CCD 传感器、用于管道爬壁机器人的力敏、视觉传感器。
②研制仿生传感器③研制海洋探测用传感器④研制成分分析用传感器⑤研制微弱信号检测传感器(3)研究新一代的智能化传感器及测试系统:如电子血压计,智能水、电、煤气、热量表。
它们的特点是传感器与微型计算机有机结合,构成智能传感器。
系统功能最大程度地用软件实现。
(4)传感器发展集成化:固体功能材料的进一步开发和集成技术的不断发展,为传感器集成化开辟了广阔的前景。
(5)多功能与多参数传感器的研究:如同时检测压力、温度和液位的传感器已逐步走向市场。
3.传感器的性能参数反映了传感器的什么关系?静态参数有哪些?各种参数代表什么意义?动态参数有那些?应如何选择?解:在生产过程和科学实验中,要对各种各样的参数进行检测和控制,就要求传感器能感受被测非电量的变化并将其不失真地变换成相应的电量,这取决于传感器的基本特性,即输出—输入特性。
衡量静态特性的重要指标是线性度、灵敏度,迟滞和重复性等。
1)传感器的线性度是指传感器的输出与输入之间数量关系的线性程度;2)传感器的灵敏度S是指传感器的输出量增量A y与引起输出量增量A y的输入量增量X 的比值;3)传感器的迟滞是指传感器在正(输入量增大)反(输入量减小)行程期间其输出-输入特性曲线不重合的现象;4)传感器的重复性是指传感器在输入量按同一方向作全量程连续多次变化时,所得特性曲 线不一致的程度。
《传感器与检测技术(第4版)》机械工业出版社)习题参考答案(完全版)第1章概述学习拓展:以智能手机为例,其所包含的传感器有:加速度传感器、重力传感器、光线传感器、距离传感器、磁(场)传感器、陀螺仪、GPS位置传感器、指纹传感器、霍尔传感器、气压传感器、心率传感器、血氧传感器、温度传感器、摄像头等。
1.1 什么是传感器?答:传感器是能够感受规定的被测量并按照一定规律转换成可用输出信号的器件或装置,通常由敏感元件和转换元件组成。
1.2 传感器的共性是什么?答:传感器的共性就是利用物理定律和物质的物理、化学或生物特性,将非电量(如位移、速度、加速度、力等)输入转换成电量(电压、电流、电容、电阻等)输出。
1.3 传感器一般由哪几部分组成?答:传感器的基本组成分为敏感元件和转换元件。
此外,一般还包括信号调理电路、辅助电源等。
1.4 传感器是如何进行分类的?答:①按输入量分,包括位移传感器、速度传感器、温度传感器、压力传感器等;②按输出量分,有模拟式传感器和数字式传感器;③按工作原理分,有应变式、电容式、电感式、压电式、热电式传感器等;④按基本效应分,可分为物理型、化学型和生物型三种传感器;⑤按构成分,分为物性型和结构型;⑥按能量变换关系分,可分为能量变换型和能量控制型传感器。
⑦按技术特征分,分为普通传感器和新型传感器;○8按传感器的尺寸大小可分为宏传感器和微传感器;○9按传感器的存在形式可分为硬传感器和软传感器。
1.5 传感器技术的发展趋势有哪些?答:总体上说,传感器技术的发展趋势可以概括为九个方面:一是提高与改善传感器的技术性能;二是开展基础理论研究,寻找新原理、开发新材料、采用新工艺或探索新功能等;最新的发展还包括传感器的无线化、微型化、集成化、网络化、智能化、安全化和虚拟化。
这些发展不是独立的,往往相辅相成、彼此关联、相互融合,从而推动传感器由分离器件向数字化、网络化、系统集成与功能复合和应用创新方向发展。
第一章课后习题答案1.什么是传感器?它由哪几个部分组成?分别起到什么作用?解:传感器是一种以一定的精确度把被测量转换为与之有确定对应关系的、便于应用的某种物理量的测量装置,能完成检测任务;传感器由敏感元件,转换元件,转换电路组成。
敏感元件是直接感受被测量,并输出与被测量成确定关系的物理量;转换元件把敏感元件的输出作为它的输入,转换成电路参量;上述电路参数接入基本转换电路,便可转换成电量输出。
2.传感器技术的发展动向表现在哪几个方面?解:(1)开发新的敏感、传感材料:在发现力、热、光、磁、气体等物理量都会使半导体硅材料的性能改变,从而制成力敏、热敏、光敏、磁敏和气敏等敏感元件后,寻找发现具有新原理、新效应的敏感元件和传感元件。
(2)开发研制新型传感器及组成新型测试系统①MEMS技术要求研制微型传感器。
如用于微型侦察机的CCD传感器、用于管道爬壁机器人的力敏、视觉传感器。
②研制仿生传感器③研制海洋探测用传感器④研制成分分析用传感器⑤研制微弱信号检测传感器(3)研究新一代的智能化传感器及测试系统:如电子血压计,智能水、电、煤气、热量表。
它们的特点是传感器与微型计算机有机结合,构成智能传感器。
系统功能最大程度地用软件实现。
(4)传感器发展集成化:固体功能材料的进一步开发和集成技术的不断发展,为传感器集成化开辟了广阔的前景。
(5)多功能与多参数传感器的研究:如同时检测压力、温度和液位的传感器已逐步走向市场。
3.传感器的性能参数反映了传感器的什么关系?静态参数有哪些?各种参数代表什么意义?动态参数有那些?应如何选择?解:在生产过程和科学实验中,要对各种各样的参数进行检测和控制,就要求传感器能感受被测非电量的变化并将其不失真地变换成相应的电量,这取决于传感器的基本特性,即输出—输入特性。
衡量静态特性的重要指标是线性度、灵敏度,迟滞和重复性等。
1)传感器的线性度是指传感器的输出与输入之间数量关系的线性程度;2)传感器的灵敏度S是指传感器的输出量增量Δy与引起输出量增量Δy的输入量增量Δx 的比值;3)传感器的迟滞是指传感器在正(输入量增大)反(输入量减小)行程期间其输出-输入特性曲线不重合的现象;4)传感器的重复性是指传感器在输入量按同一方向作全量程连续多次变化时,所得特性曲线不一致的程度。
《传感器与自动检测技术》习题解答第1章传感器的基本知识1. 简述传感器的概念、作用及组成。
答:传感器的定义是:“能感受(或响应)规定的被测量并按照一定的规律转换成可用输出信号的器件或装置”。
作用:将被测量转换成与其有一定关系的易于处理的电量。
组成:敏感元器件、转换元器件、转换电路及辅助电源。
2. 传感器的分类有哪几种?各有什么优缺点?答:传感器常用的分类方法有两种,一种是按被测输入量来分,另一种是按传感器的工作原理来分。
按被测输入量来分:这种分类方法的优点是比较明确地表达了传感器的用途,便于使用者根据其用途选用。
其缺点是没有区分每种传感器在转换机理上有何共性和差异,不便于使用者掌握其基本原理及分析方法。
按传感器的工作原理来分:这种分类的优点是对传感器的工作原理表达的比较清楚,而且类别少,有利于传感器专业工作者对传感器进行深入的研究分析。
其缺点是不便于使用者根据用途选用。
3. 传感器是如何命名的?其代号包括哪几部分?在各种文件中如何应用?答:一种传感器产品的名称,应由主题词及4级修饰语构成。
(1)主题词——传感器。
(2)第1级修饰语——被测量,包括修饰被测量的定语。
(3)第2级修饰语——转换原理,一般可后续以“式”字。
(4)第3级修饰语——特征描述,指必须强调的传感器结构、性能、材料特征、敏感元件及其他必须的性能特征,一般可后续以“型”字。
(5)第4级修饰语——主要技术指标(量程、精确度、灵敏度等)。
本命名法在有关传感器的统计表格、图书索引、检索以及计算机汉字处理等特殊场合使用。
例1:传感器,绝对压力,应变式,放大型,1~3500kPa;例2:传感器,加速度,压电式,±20g。
在技术文件、产品样书、学术论文、教材及书刊的陈述句子中,作为产品名称应采用与上述相反的顺序。
例3: 1~3500kPa放大型应变式绝对压力传感器;例4:±20g压电式加速度传感器。
在侧重传感器科学研究的文献、报告及有关教材中,为方便对传感器进行原理及其分类的研究,允许只采用第2级修饰语,省略其他各级修饰语。
第1章 概述1.1 什么是传感器?传感器定义为能够感受规定的被测量并按照一定规律转换成可用输出信号的器件和装置,通常由敏感元件和转换元件组成。
1.2 传感器的共性是什么?传感器的共性就是利用物理规律或物质的物理、化学、生物特性,将非电量(如位移、速度、加速度、力等)输入转换成电量(电压、电流、电容、电阻等)输出。
1.3 传感器由哪几部分组成的?由敏感元件和转换元件组成基本组成部分,另外还有信号调理电路和辅助电源电路。
1.4 传感器如何进行分类?(1)按传感器的输入量分类,分为位移传感器、速度传感器、温度传感器、湿度传感器、压力传感器等。
(2)按传感器的输出量进行分类,分为模拟式和数字式传感器两类。
(3)按传感器工作原理分类,可以分为电阻式传感器、电容式传感器、电感式传感器、压电式传感器、磁敏式传感器、热电式传感器、光电式传感器等。
(4)按传感器的基本效应分类,可分为物理传感器、化学传感器、生物传感器。
(5)按传感器的能量关系进行分类,分为能量变换型和能量控制型传感器。
(6)按传感器所蕴含的技术特征进行分类,可分为普通型和新型传感器。
1.5 传感器技术的发展趋势有哪些?(1)开展基础理论研究(2)传感器的集成化(3)传感器的智能化(4)传感器的网络化 (5)传感器的微型化1.6改善传感器性能的技术途径有哪些?(1)差动技术(2)平均技术(3)补偿与修正技术(4) 屏蔽、隔离与干扰抑制 (5) 稳定性处理第2章传感器的基本特性2.1 什么是传感器的静态特性?描述传感器静态特性的主要指标有哪些?答:传感器的静态特性是指在被测量的各个值处于稳定状态时,输出量和输入量之间的关系。
主要的性能指标主要有线性度、灵敏度、迟滞、重复性、精度、分辨率、零点漂移、温度漂移。
2.2 传感器输入-输出特性的线性化有什么意义?如何实现其线性化?答:传感器的线性化有助于简化传感器的理论分析、数据处理、制作标定和测试。
常用的线性化方法是:切线或割线拟合,过零旋转拟合,端点平移来近似,多数情况下用最小二乘法来求出拟合直线。
第一章习题答案1.什么是传感器?它由哪几个部分组成?分别起到什么作用?解:传感器是一种以一定的精确度把被测量转换为与之有确定对应关系的、便于应用的某种物理量的测量装置,能完成检测任务;传感器由敏感元件,转换元件,转换电路组成。
敏感元件是直接感受被测量,并输出与被测量成确定关系的物理量;转换元件把敏感元件的输出作为它的输入,转换成电路参量;上述电路参数接入基本转换电路,便可转换成电量输出。
2.传感器技术的发展动向表现在哪几个方面?解:(1)开发新的敏感、传感材料:在发现力、热、光、磁、气体等物理量都会使半导体硅材料的性能改变,从而制成力敏、热敏、光敏、磁敏和气敏等敏感元件后,寻找发现具有新原理、新效应的敏感元件和传感元件。
(2)开发研制新型传感器及组成新型测试系统① MEMS技术要求研制微型传感器。
如用于微型侦察机的CCD传感器、用于管道爬壁机器人的力敏、视觉传感器。
②研制仿生传感器③研制海洋探测用传感器④研制成分分析用传感器⑤研制微弱信号检测传感器(3)研究新一代的智能化传感器及测试系统:如电子血压计,智能水、电、煤气、热量表。
它们的特点是传感器与微型计算机有机结合,构成智能传感器。
系统功能最大程度地用软件实现。
(4)传感器发展集成化:固体功能材料的进一步开发和集成技术的不断发展,为传感器集成化开辟了广阔的前景。
(5)多功能与多参数传感器的研究:如同时检测压力、温度和液位的传感器已逐步走向市场。
3.传感器的性能参数反映了传感器的什么关系?静态参数有哪些?各种参数代表什么意义?动态参数有那些?应如何选择?解:在生产过程和科学实验中,要对各种各样的参数进行检测和控制,就要求传感器能感受被测非电量的变化并将其不失真地变换成相应的电量,这取决于传感器的基本特性,即输出—输入特性。
衡量静态特性的重要指标是线性度、灵敏度,迟滞和重复性等。
1)传感器的线性度是指传感器的输出与输入之间数量关系的线性程度;2)传感器的灵敏度S是指传感器的输出量增量Δy与引起输出量增量Δy的输入量增量Δx 的比值;3)传感器的迟滞是指传感器在正(输入量增大)反(输入量减小)行程期间其输出-输入特性曲线不重合的现象;4)传感器的重复性是指传感器在输入量按同一方向作全量程连续多次变化时,所得特性曲线不一致的程度。
5)传感器的漂移是指在外界的干扰下,输出量发生与输入量无关的、不需要的变化。
漂移包括零点漂移和灵敏度漂移等。
传感器的动态特性是指其输出对随时间变化的输入量的响应特性:频率响应、时间常数、固有频率和阻尼比等。
1)瞬态响应特性:传感器的瞬态响应是时间响应。
在研究传感器的动态特性时,有时需要从时域中对传感器的响应和过渡过程进行分析。
这种分析方法是时域分析法,传感器对所加激励信号的响应称瞬态响应。
常用激励信号有阶跃函数、斜坡函数、脉冲函数等。
2)频率响应特性:传感器对正弦输入信号的响应特性,称为频率响应特性。
频率响应法是从传感器的频率特性出发研究传感器的动态特性。
为了减小动态误差和扩大频率响应范围,一般是提高传感器固有频率ωn。
4.某位移传感器,在输入量变化5 mm时,输出电压变化为300 mV,求其灵敏度。
解:其灵敏度333001060510UkX--∆⨯===∆⨯第二章习题答案1.什么是应变效应?什么是压阻效应?什么是横向效应?解:应变效应,是指在导体产生机械变形时,它的电阻值相应发生变化。
压阻效应,是指半导体材料在某一轴向受外力作用时,其电阻率ρ发生变化的现象。
横向效应,是指将直的电阻丝绕成敏感栅后,虽然长度不变,应变状态相同,但由于应变片敏感栅的电阻变化较小,因而其灵敏系数k较电阻丝的灵敏系数k0小的现象。
2、试说明金属应变片与半导体应变片的相同和不同之处。
解:金属应变片由敏感栅、基片、覆盖层和引线等部分组成。
金属电阻应变片的敏感栅有丝式、箔式和薄膜式三种。
箔式应变片是利用光刻、腐蚀等工艺制成的一种很薄的金属箔栅,其优点是散热条件好,允许通过的电流较大,便于批量生产,可制成各种所需的形状;缺点是电阻分散性大。
薄膜式应变片是采用真空蒸发或真空沉淀等方法在薄的绝缘基片上形成0.1μm以下的金属电阻薄膜的敏感栅,最后再加上保护层。
它的优点是应变灵敏度系数大,允许电流密度大,工作范围广。
半导体应变片是用半导体材料制成的,其工作原理是基于半导体材料的压阻效应。
半导体应变片的突出优点是灵敏度高,比金属丝式应变片高50~80倍,尺寸小,横向效应小,动态响应好。
但它有温度系数大,应变时非线性比较严重等缺点。
3、应变片产生温度误差的原因及减小或补偿温度误差的方法是什么?解:电阻应变片产生温度误差的原因:当测量现场环境温度变化时,由于敏感栅温度系数及栅丝与试件膨胀系数之差异性而给测量带来了附加误差。
电阻应变片的温度补偿方法:通常有线路补偿法和应变片自补偿两大类。
1)电桥补偿是最常用的且效果较好的线路补偿法。
电桥补偿法简单易行,而且能在较大的温度范围内补偿,但上面的四个条件不一满足,尤其是两个应变片很难处于同一温度场。
2)应变片的自补偿法是利用自身具有温度补偿作用的应变片。
4、钢材上粘贴的应变片的电阻变化率为0.1%,钢材的应力为10kg/mm 2。
试求① 求钢材的应变。
② 钢材的应变为300×10-6时,粘贴的应变片的电阻变化率为多少? 解:① R l F R l∆∆≈是ΔR/R=2(Δl/l)。
因为电阻变化率是ΔR/R=0.001,所以Δl/l (应变)=0.0005=4510-⨯② 因66430010,230010610l R R l---∆=⨯∆=⨯⨯=⨯所以 5、如系题图1-1所示为等强度梁测力系统,1R 为电阻应变片,应变片灵敏度系数05.2=k ,未受应变时Ω=1201R ,当试件受力F 时,应变片承受平均应变4108-⨯=ε,求(1)应变片电阻变化量1R ∆和电阻相对变化量11/R R ∆。
(2)将电阻应变片置于单臂测量电桥,电桥电源电压为直流3V ,求电桥输出电压是多少。
(a ) (b ) 1RF习题图1-1等强度梁测力系统解: (1)43112.05810 1.6410R K R ε--∆==⨯⨯=⨯,311 1.64101200.1968R k R ε-∆=⋅=⨯⨯=Ω 解:(2)3111123414112344131124113()()()(1)(1)o R R R U E R R R R R R R E R R R R R R R R R E R R R R R R +∆=-+∆++∆=+∆++∆=∆+++ 设桥臂比21R n R =,分母中11/R R ∆可忽略,并考虑到平衡条件3124R R R R =,则上式可写为: 121(1)o R n U En R ∆=+ ()32323 1.6410(1)4.92101n n n n --=⨯⨯⨯+=⨯⨯+ 6、单臂电桥存在非线性误差,试说明解决方法。
解:为了减小和克服非线性误差,常采用差动电桥在试件上安装两个工作应变片,一个受拉应变,一个受压应变,接入电桥相邻桥臂,称为半桥差动电路,由教材中的式(2-42)可知,U o 与ΔR 1/R 1呈线性关系,差动电桥无非线性误差,而且电桥电压灵敏度K V =E /2,比单臂工作时提高一倍,同时还具有温度补偿作用。
第三章习题答案1. 为什么电感式传感器一般都采用差动形式?解:差动式结构,除了可以改善非线性,提高灵敏度外,对电源电压、频率的波动及温度变化等外界影响也有补偿作用;作用在衔铁上的电磁力,是两个线圈磁力之差,所以对电磁力有一定的补偿作用,从而提高了测量的准确性。
2. 交流电桥的平衡条件是什么?解:由交流电路分析可得 1423o 1234()()()U Z Z Z Z U Z Z Z Z ⋅⋅-=++ 要满足电桥平衡条件,即0o U ⋅=,则有: 1423Z Z Z Z =3.涡流的形成范围和渗透深度与哪些因素有关?被测体对涡流传感器的灵敏度有何影 响?解:电涡流的径向形成范围大约在传感器线圈外径的1.8~2.5倍范围内,且分布不均匀。
涡流贯穿深度)/(f k h μρ=,定义在涡流密度最大值的e jm /处。
被测体的平面不应小于传感器线圈外D 的2倍,厚度大于2倍贯穿度h 时,传感器灵敏度几乎不受影响。
4.涡流式传感器的主要优点是什么?解:电涡流式传感器最大的特点是能对位移、厚度、表面温度、速度、 应力、材料损伤等进行非接触式连续测量,另外还具有体积小,灵敏度高,频率响应宽等特点,应用极其广泛。
5.电涡流传感器除了能测量位移外,还能测量哪些非电量?解:还可以对厚度、表面温度、速度、 应力、材料损伤等进行非接触式连续测量。
第四章习题答案1.某电容传感器(平行极板电容器)的圆形极板半径)(4mm r =,工作初始极板间距离)(3.00mm =δ,介质为空气。
问:(1)如果极板间距离变化量)(1m μδ±=∆,电容的变化量C ∆是多少?(2)如果测量电路的灵敏度)(1001pF mV k =,读数仪表的灵敏度52=k (格/mV )在)(1m μδ±=∆时,读数仪表的变化量为多少?解:(1)根据公式SSSd C d d d d d dεεε∆∆=-=⋅-∆-∆ ,其中S=2r π (2)根据公式112k k δδ∆=∆ ,可得到112k k δδ⋅∆∆==31001100.025-⨯⨯= 2.寄生电容与电容传感器相关联影响传感器的灵敏度,它的变化为虚假信号影响传感器的精度。
试阐述消除和减小寄生电容影响的几种方法和原理。
解:电容式传感器内极板与其周围导体构成的“寄生电容”却较大,不仅降低了传感器的灵敏度,而且这些电容(如电缆电容)常常是随机变化的,将使仪器工作很不稳定,影响测量精度。
因此对电缆的选择、安装、接法都有要求。
若考虑电容传感器在高温、高湿及高频激励的条件下工作而不可忽视其附加损耗和电效应影响时,其等效电路如图4-8所示。
图中L 包括引线电缆电感和电容式传感器本身的电感;C 0为传感器本身的电容;C p 为引线电缆、所接测量电路及极板与外界所形成的总寄生电容,克服其影响,是提高电容传感器实用性能的关键之一;R g 为低频损耗并联电阻,它包含极板间漏电和介质损耗;R s 为高湿、高温、高频激励工作时的串联损耗电组,它包含导线、极板间和金属支座等损耗电阻。
此时电容传感器的等效灵敏度为2200220/(1)(1)g e e k C C LC k d d LC ωω∆∆-===∆∆- (4-28)当电容式传感器的供电电源频率较高时,传感器的灵敏度由k g 变为k e ,k e 与传感器的固有电感(包括电缆电感)有关,且随ω变化而变化。
在这种情况下,每当改变激励频率或者更换传输电缆时都必须对测量系统重新进行标定。