信托公司最新排名-按信托资产总额
- 格式:xlsx
- 大小:17.82 KB
- 文档页数:4
哪家信托公司最能为客户挣钱?作者:暂无来源:《投资与理财》 2014年第13期信托公司在年报中都会披露当年各类型信托产品的实际清算收益。
单一类产品对普通投资者来讲,距离或许太遥远,我们不妨把集合类产品的清算收益“排排坐”,从它们的过往业绩中,看看哪家公司为普通投资者的赚钱效率最高。
投资与理财徐天晓虽然衡量信托产品需要从期限、投向、风控措施、预期收益等多个维度考虑,不过,目前大多数集合信托产品恐怕仍被当做“固定收益”式的产品出售,这一标签也使得产品的预期收益率成了信托公司抢占市场、投资者衡量产品的重要指标。
信托公司在年报中都会披露当年各类型信托产品的实际清算收益。
单一类产品对普通投资者来讲,距离或许太遥远,我们不妨把集合类产品的清算收益“排排坐”,从它们的过往业绩中,看看哪家公司为普通投资者的赚钱效率最高。
收益曲线9%-10%最多数据显示,去年68家信托公司共清算了集合信托产品4629款,实收信托金额合计约为9376.79亿元。
其中,清算产品数量最多的是外贸信托,共清算了508款;清算集合项目实收信托规模最高的是中江信托,规模达到663.46亿元;清算产品单体规模最大的是华能信托,平均实收信托规模达到了13.28亿元,最小的国民信托为4603万元。
自2012年以来,信托公司的信托业务遭遇了基金子公司等多方面的冲击,集合信托产品的平均收益率一直呈下降曲线。
从信托公司去年清算的集合信托产品的加权平均实际年化收益率(以下简称“实际收益率”)来看,除了未公布清算产品实际收益率的西藏信托、中海信托,以及没有集合产品清算的民生信托以外,其余65家都公布了实际收益率,其中处于9%-10%的公司数量最多,达到20家。
集合产品实际收益率超过10%的公司一共有7家,分别是西部信托(12.95%)、杭工商信托(12.8827%)、英大信托(10.69%)、安信信托(10.5%)、华宸信托(10.41%)、华融信托(10.14%)、陆家嘴信托(10.02%)。
国内资产管理公司排行榜随着中国金融市场的快速发展,资产管理行业也在不断地壮大。
目前,国内的资产管理公司数量众多,其中有很多公司业绩优秀、实力雄厚,下面就让我们来看看国内资产管理公司排行榜。
一、全国前十大资产管理公司1.中国信托投资公司2.中信信托有限责任公司3.华夏幸福基业股份有限公司4.广发银行股份有限公司5.招商信托有限责任公司6.鹏华基金管理有限公司7.富国基金管理有限公司8.易方达基金管理有限公司9.华安基金管理有限公司10.南方基金管理有限公司二、综合实力强的资产管理公司1.中国信托投资公司中国信托投资公司是中国最大的信托公司之一,是中国财政部直接管理的国有控股公司。
成立于1987年,其业务涵盖了信托、融资租赁、基金、证券、金融租赁、财富管理等领域。
2.平安资产管理有限公司平安资产管理有限公司是平安集团旗下的一家专业资产管理公司,前身为平安证券的资产管理部门,成立于2004年,目前已成为国内知名的综合类资产管理公司之一。
3.中信信托有限责任公司中信信托有限责任公司是中国中信集团旗下的信托公司,成立于1988年,业务范围涵盖了信托、资产管理、基金、证券、金融租赁、财富管理等领域,是业内领先的综合性金融服务机构之一。
三、专业领域较强的资产管理公司1.招商信托有限责任公司招商信托有限责任公司成立于1987年,是国内最早成立的信托公司之一,主要业务领域为信托、资管、证券投资基金、保险等,该公司在房地产领域的资产管理方面尤为出色。
2.鹏华基金管理有限公司鹏华基金是中国领先的基金管理公司,成立于1998年,是国内成立较早的公募基金公司之一,该公司不仅在基金行业业绩出色,在资产管理方面也备受市场认可。
3.广发银行股份有限公司广发银行股份有限公司主要业务包括银行业务、证券业务、期货业务、信托业务以及资产管理等,是一家拥有综合性金融牌照的银行,该公司在投资管理方面也有着相当实力。
四、互联网金融资产管理公司1.蚂蚁金服蚂蚁金服是一家成立于2014年的互联网金融公司,其旗下的余额宝产品是国内规模最大的货币基金,同时该公司在普惠金融、小贷、保险等领域也有不少优质产品。
全国第三方理财公司排名大全篇一:第三方理财公司排名优选财富2、诺亚财富3、恒天财富4、钜派财富5、利得财富目前这几家三方理财公司比较专业1、诺亚财富2、好买基金3、海银金融4、浦发财富5、瑞盈财富6、优利理财7、丰汇通财富8、百盛财富9、守得理财10、德瑞投资11、利得财富12、北京展恒13、中天嘉华14、世贝德15、极元财富16、益多财富17、嘉信理财18、五色土不动产全国第三方理财公司排名大全第三方理财是指那些独立的中介理财机构,它们不代表银行、保险等金融机构,却能够独立地分析客户的财务状况和理财需求,判断所需投资工具,提供综合性的理财规划服务。
作为独立机构的第三方理财,不代表基金公司、银行或者保险公司,而是站在非常公正的立场上严格地按照客户的实际情况来帮客户分析自身财务状况和理财的需求,通过科学的方式在个人理财方案里配备各种金融工具。
’一、诺亚财富管理中心诺亚控股起源于2019年,定位于中国新一代的综合金融服务提供商,是拥有资产管理能力的、领先的独立财富管理机构,是中国独立财富管理行业的开创者和领导者。
以专注之心,守护您的财富和幸福。
诺亚控股于2019年11月10日在美国纽约证券交易所成功上市(交易代码),是国内首家在纽交所上市的独立财富管理机构。
二、嘉信理财嘉信理财()是一家总部设在旧金山的金融服务公司,成立于30年前,如今已成为美国个人金融服务市场的领导者。
嘉信理财嘉信理财它不断发展新的业务和新的商业模式,堪称创新的典范,更为重要的是,其创新过程并未曾影响到公司的运营效率。
20世纪90年代中期,嘉信理财实现重大突破,推出基于万维网的在线理财服务。
三、翘华控股翘华集团翘华控股(集团)有限公司(“翘华集团”)直接控股6家在香港注册的公司,专注于金融、资源和投资行业的发展,包括翘华资本控股有限公司、翘华资源有限公司、翘华金融控股有限公司、翘华投资发展有限公司、翘华保险经纪有限公司、翘华证券有限公司。
公司简称成立日期注册资本(亿)产品发售数平均收益率注册地股东背景公司简称成立日期注册资本(亿)产品发售数平均收益率注册地股东背景深圳天海集团股权收益权托元投资11金元惠理保障房8号金元惠理9.5-10%9-12300万元房地产债权投资12帝豪集合信托计划渤海信托10-11%24300万元房地产权益投资13华恒70奈伦农业示范园区贷款(三期)新华信托10.5%24300万元基础产业信托贷款14綦江东开流动资金贷款长安信托9-10.5%24300万元工商企业信托贷款15乾荣建业股权投资中融信9.5-11.3%24300万房地产股权托元投资16 无锡五洲装饰城项目贷款陆家嘴信托9-10% 24 300万元 房地产信托贷款17 金贤酒店有限公司新华信托9.5-10% 24 300万元 房地产信托贷款18安益157成都光华公司应收账款债权投资中原信托8.5-9% 13 300万元 基础产业 债权投资 19 【华锦121】无锡阳光壹佰国际城贷款新华信托9.5-10.5% 24 300万元 房地产信托贷款20中融信9-9.6%300万信托21 2223 24 25262728 293031 32同“厚德载物”项目托33 北京青龙湖股权投资中融信托9-9.5% 24 300万元 基础产业 股权投资 34 阳光三号新农村建设(F 期)安信信托8.1-11% 24 30万元 房地产股权投资35 宜家花园项目贷款(二期)国民信托9-10% 18 300万元 房地产信托贷款36 鑫源3号西宁新华联贷款(三期)民生信托9.5-10.5%24 300万元 房地产信托贷款37 山东百步亭船业(三期)四川信9.2-10.6%24300万工商企信托托元业 贷款 38 沿荣国际贷款中融信托9.3-11% 18-36 300万元 房地产信托贷款 已结束39 银象38号简阳市民生工程中江信托9-10% 24 300万元 基础产业 债权投资40 中美置业股权投资中融信托9.5-11% 24 300万元 房地产权益投资41 融信1号“平潭大卫城”收益权投资国民信托10% 12 300万元 房地产权益投资中融信8.8-9.2% 300万信托托55 恒新26金融股权收益权投资新时代信托5.6-7% 1-12 300万元 金融市场 权益投资56华恒83号农副产品加工基地建设投资新华信托8.6-10.6% 30 300万元 基础产业 权益投资57泰州医药休斯顿收益权投资(四期)新华信托8-9.5% 24 300万元 基础产业 权益投资58 方兴38号安徽六安新城权益投资方正信托9-9.5%24 300万元 基础产业 债权投资59 内蒙古城市发展投资基金新华信9-9.8%6-60300万其他 其他托元投资60 华夏孔雀城贷款(5期)中融信托8.5-9% 18300万元房地产信托贷款61 湘潭两型社会项目贷款方正信托9.2-10% 24300万元房地产信托贷款62 嘉兴平湖万城股权投资渤海信托10.3-12% 24-36300万元房地产股权投资63 长盈35号5期华澳信托9-11% 30300万元房地产信托贷款中原信9.2-9.7%300万信托托已结束77 陕旅大通山东信托9.5% 24100万元房地产信托贷款已结束78 东河基础设施一期北方信托8-9.3% 21100万元基础产业信托贷款已结束79 星光2号中融信托8.5-10% 12100万元房地产股权投资已结束80 青岛政建2期四川信托9.5-11.8% 12-24100万元工商企业信托贷款已结束。
资产管理公司排名随着资本市场的不断发展,资产管理公司成为了投资者和机构的热门选择。
作为专业的投资、管理和咨询服务提供者,资产管理公司已成为引领资本市场发展的重要力量。
本文将会介绍全球范围内的资产管理公司排名及其特点,以供读者参考。
一、黑石集团(BlackRock)在全球范围内,最大的资产管理公司无疑是美国的黑石集团。
作为全球最大的资产管理公司,黑石集团管理的资产规模已经超过了6万亿美元,拥有超过1.7万名员工,并经营各种类型的基金和投资产品。
它的客户包括机构投资者、高净值个人和零售客户。
黑石集团还提供投资咨询和风险管理等服务。
二、贝莱德(Blackstone)贝莱德是另一个总部位于美国的大型资产管理公司,成立于1985年。
目前,贝莱德管理的资产规模已经超过了5.5万亿美元,拥有逾4万名员工,客户遍及全球。
贝莱德主要经营私募股权、固定收益和另类投资等业务,同时也提供投资咨询服务。
三、渣打(Standard Chartered)作为一家总部位于伦敦的跨国银行,渣打也是全球最大的资产管理公司之一。
渣打管理的资产规模超过了9000亿美元,主要经营固定收益、股票、商品等投资领域及各种管理服务。
渣打的客户主要是机构投资者、信托和财富管理客户。
四、融信(PIMCO)融信是全球领先的固定收益投资管理公司,总部位于美国加利福尼亚州纽波特海滩。
融信管理的资产规模超过了1.8万亿美元,主要经营固定收益投资、另类投资和股权投资等业务。
融信的客户主要是机构投资者、政府和大型企业客户。
五、富达(Fidelity Investments)富达是全球领先的财富管理公司之一,成立于1946年,总部位于美国马萨诸塞州波斯顿。
富达管理的资产规模超过了3000亿美元,经营股票、养老金和储蓄计划等业务。
富达的客户主要是零售客户和员工福利计划。
六、先锋(Vanguard)先锋成立于1975年,总部位于美国宾夕法尼亚州马尔文,是全球最大的互惠基金公司之一。
中国十大金融交易所排行1.引言1.1 概述金融交易所是金融市场中的关键机构,扮演着重要的角色。
作为国家经济发展的重要组成部分,中国的金融交易所数量众多,涵盖了各种类型的资产交易。
本文将详细介绍中国十大金融交易所的排行情况。
随着中国经济的快速增长和金融市场的深化改革,金融交易所在促进金融体系稳定、提升金融市场运行效率等方面发挥了重要作用。
在这些金融交易所中,既有传统的股票交易所,也有创新型的债券交易所和衍生品交易所等。
通过本文的介绍,读者将了解到这些金融交易所的规模、交易品种、交易量等关键指标。
通过排行榜形式的呈现,读者可以清晰地了解各个交易所在中国金融市场中的地位和重要性。
本文旨在为投资者和金融从业者提供参考,帮助他们更好地了解中国金融市场,做出明智的投资决策。
同时,本文也为相关政府部门提供数据支持,以促进金融市场的健康发展和监管工作的改进。
接下来,我们将以排行榜的形式逐一介绍这些金融交易所的情况,供读者参考。
通过对这些交易所的深入了解,有助于我们更全面地认识中国金融市场的规模和潜力。
希望本文能为读者提供有价值的信息,并对中国金融交易所的发展与未来展望进行一定的探讨和分析。
通过阅读本文,读者将对中国金融市场有更深入的了解,为自己的金融决策提供更准确的参考。
1.2 文章结构本文首先引言概述了中国金融交易所排行的重要性和目的,接下来将详细介绍中国十大金融交易所的排行情况。
文章的结构如下:2. 正文:2.1 交易所A:- 介绍交易所A的背景和发展历程;- 分析交易所A的交易规模、市场流动性和交易品种;- 总结交易所A在中国金融市场的地位和影响力。
2.2 交易所B:- 提供交易所B的相关背景信息;- 评估交易所B的交易活跃度和创新能力;- 探讨交易所B的发展趋势和未来前景。
2.3 交易所C:- 描述交易所C的发展历史和重要性;- 分析交易所C的交易系统和市场监管措施;- 讨论交易所C在全球金融市场中的地位和角色。
央企控股28家
信托公司控股股东信托公司控股股东信托公司控股股东
昆仑信托中国石油建信信托建设银行中融信托中国恒天
外贸信托中国中化交银信托交通银行中粮信托中粮集团
中海信托中国海油中信信托中信集团中泰集团人民日报
中铁信托中国中铁中诚信托中国人保华宝信托宝钢集团
长城新盛长城资产平安信托平安集团华宸信托华凌钢铁
国投信托国投集团中建投信托建银投资国元信托首都机场
英大信托国家电网金谷信托中国信达中航信托中航工业
华鑫信托中国华电华融信托中国华融方正东亚北京大学
华能信托华能集团五矿信托五矿集团大业信托东方资产
民生信托中国泛海
地方政府27家
北京信托吉林信托上海国信长安信托湖南信托百瑞信托陆家嘴信托中江信托天津信托西藏信托江苏信托重庆信托厦门信托甘肃信托西部信托中原信托浙商信托东莞信托山东信托云南信托华信信托渤海信托北方信托粤财信托陕国投信托山西信托国联信托
外资银行参股7家
华润信托华润集团新华信托巴克莱银行华澳信托麦格理集团
苏州信托苏格兰皇家银行杭州信托摩根斯坦利
兴业信托澳大利亚国民银行紫金信托日本住友信托有限公司
民营6家
国民信托股权分散新时代信托新时代远景爱建信托爱建集团安信信托上海国之杰投资四川信托四川宏达万向信托万向控股。
金融企业详细划分标准出台共分大中小微四类型金融企业详细划分标准出台共分大中小微四类型 中国人民银行、中国银行业监督管理委员会、银发〔2015〕309号为进一步贯彻落实《中华人民共和国中小企业促进法》、《国务院关于进一步促进中小企业发展的若干意见》(国发〔2009〕36号)、《国务院办公厅关于金融支持小微企业发展的实施意见》(国办发〔2013〕87号),推动中小金融机构健康发展,加大金融对实体经济的支持,人民银行会同银监会、证监会、保监会和国家统计局联合研究制定了《金融业企业划型标准规定》(见附件)。
经国务院同意,现印发给你们,请遵照执行。
请人民银行上海总部,各分行、营业管理部、省会(首府)城市中心支行、副省级城市中心支行会同所在省(区、市)银监局、证监局、保监局、统计局将本通知联合转发至辖内相关机构。
附件:金融业企业划型标准规定中国人民银行中国银行业监督管理委员会中国证券监督管理委员会中国保险监督管理委员会中华人民共和国国家统计局2015年9月28日附件:金融业企业划型标准规定一、根据《中华人民共和国中小企业促进法》、《国务院关于进一步促进中小企业发展的若干意见》(国发〔2009〕36号)和《国务院办公厅关于金融支持小微企业发展的实施意见》(国办发〔2013〕87号),制定本规定。
二、适用范围。
本规定适用于从事《国民经济行业分类》(GB/T4754-2011)中J门类(金融业)活动的企业。
三、行业分类。
采用复合分类方法对金融业企业进行分类。
首先,按《国民经济行业分类》将金融业企业分为货币金融服务、资本市场服务、保险业、其他金融业四大类。
其次,将货币金融服务分为货币银行服务和非货币银行服务两类,将其他金融业分为金融信托与管理服务、控股公司服务和其他未包括的金融业三类。
最后,按经济性质将货币银行服务类金融企业划为银行业存款类金融机构;将非货币银行服务类金融业企业分为银行业非存款类金融机构,贷款公司、小额贷款公司、及典当行;将资本市场服务类金融业企业划为证券业金融机构;将保险业金融企业划为保险业金融机构;将其他金融业企业分为信托公司,金融控股公司和除贷款公司、小额贷款公司、典当行以外的其他金融机构。
中融信托1987年哈尔滨16刘洋范韬中泰信托1988年上海 5.16刘虹周雄中铁信托1986年成都12李建生景开强中投信托1979年杭州15高传捷叶星中信信托1979年北京12居伟民蒲坚中原信托1985年郑州12.02黄曰珉崔泽军重庆信托1984年重庆24.4何玉柏翁振杰紫金信托1992年南京5王海涛陈锋长城信托2010年乌鲁木齐3
经纬纺织机械股份有限公司、中植企业集团有限公司、哈尔滨投资集团有限责任公司
中国华闻投资控股有限公司、上海新黄浦置业有限公司、广联(南宁)投资股份有限公司(前三)
中国中铁股份有限公司、中铁二局集团有限公司、成都工业投资经营有限责任公司
中国建银投资投资责任公司
中国中信集团公司、中信(华东)集团有限公司
河南投资集团有限公司、河南中原高速公路有限股份有限公司、河南盛润创业投资管理有限公司
重庆国信投资控股有限公司、重庆水务集团股份有限公司、上海淮矿资产管理有限公司
南京紫金投资控股有限责任公司、日本住友信托银行、三胞集团、南京高新、金智科技
中国长城资产管理公司、新疆生产建设兵团国有资产经营公司、深圳市盛金创业投资发展有限公司、伊犁州财信融通担保有限公司PS:红色信息为2010披露信息,其余信息来自各信托公司2011年报
36.6/32.22/23.361741.69
31.57/29.97/20108.49
56.1427.51
100274.6
80/203999.7
48.42/33.28/18.30499.21
66.99/23.86/4.1509
60.01/19.99/10/5/5
财信融通担保有限公司。
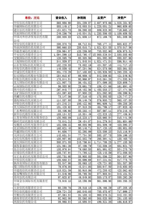
排名简称公司全名公司性质城市信托资产资产总额(万元) 1中信信托中信信托有限责任公司国有企业北京市72,966,0802兴业国际信托兴业国际信托有限公司国有企业福州市56,500,2173大业信托大业信托有限责任公司国有企业广州市52,285,9974中融国际信托中融国际信托有限公司国有企业哈尔滨市47,853,4905华润深国投信托华润深国投信托有限公司国有企业深圳市36,430,4246中诚信托中诚信托有限责任公司国有企业北京市35,721,1187建信信托建信信托有限责任公司合肥市32,581,6398对外经济贸易信托中国对外经济贸易信托有限公司国有企业北京市31,737,6949山东省国际信托山东省国际信托有限公司国有企业济南市29,942,13510华能贵诚信托华能贵诚信托有限公司国有企业贵阳市29,856,83111北方国际信托北方国际信托股份有限公司国有企业天津市29,423,22812平安信托平安信托有限责任公司民营企业深圳市29,031,95413交银国际信托交银国际信托有限公司国有企业武汉市27,991,65914华宝信托华宝信托有限责任公司国有企业上海市27,151,68615广东粤财信托广东粤财信托有限公司国有企业广州市22,945,87716云南国际信托云南国际信托有限公司国有企业昆明市22,514,87017中航信托中航信托股份有限公司南昌市22,117,39618四川信托四川信托有限公司成都市21,867,57219长安国际信托长安国际信托股份有限公司西安市21,682,94020英大国际信托英大国际信托有限责任公司国有企业北京市21,026,82921五矿国际信托五矿国际信托有限公司国有企业西宁市19,606,73722上海国际信托上海国际信托有限公司国有企业上海市19,229,03123安徽国元信托安徽国元信托有限责任公司合肥市19,053,30324渤海国际信托渤海国际信托有限公司石家庄市18,817,90425国投信托国投信托有限公司国有企业北京市18,462,29026中海信托中海信托股份有限公司国有企业上海市17,744,36627昆仑信托昆仑信托有限责任公司宁波市16,848,42728中江国际信托中江国际信托股份有限公司国有企业南昌市16,747,28829新华信托新华信托股份有限公司国有企业重庆市16,594,45830新时代信托新时代信托股份有限公司包头市15,842,34231中铁信托中铁信托有限责任公司成都市15,053,08932华鑫国际信托华鑫国际信托有限公司国有企业北京市14,837,34433厦门国际信托厦门国际信托有限公司国有企业厦门市13,244,02434西藏信托西藏信托有限公司国有企业拉萨市12,911,41335重庆国际信托重庆国际信托有限公司国有企业重庆市12,631,17936北京国际信托北京国际信托有限公司国有企业北京市12,434,79537中原信托中原信托有限公司国有企业郑州市11,914,24238安信信托安信信托投资股份有限公司民营企业上海市11,581,46239百瑞信托百瑞信托有限责任公司郑州市11,424,67040方正东亚信托方正东亚信托有限责任公司国有企业武汉市11,181,56941江苏省国际信托江苏省国际信托有限责任公司国有企业南京市10,334,61242天津信托天津信托有限责任公司天津市9,949,58443中建投信托中建投信托有限责任公司杭州市9,819,19544华融国际信托华融国际信托有限责任公司国有企业乌鲁木齐市9,766,22045金谷国际信托中国金谷国际信托有限责任公司国有企业北京市9,381,08246陕西省国际信托陕西省国际信托股份有限公司国有企业西安市9,068,74147甘肃省信托甘肃省信托有限责任公司国有企业兰州市7,786,29048华信信托大连华信信托股份有限公司大连市7,638,48749山西信托山西信托股份有限公司太原市6,765,47250陆家嘴国际信托陆家嘴国际信托有限公司青岛市6,755,67251湖南省信托湖南省信托有限责任公司国有企业长沙市6,643,82452苏州信托苏州信托有限公司苏州市6,386,45153中泰信托中泰信托有限责任公司国有企业上海市6,217,76954中粮信托中粮信托有限责任公司国有企业北京市5,309,18755华澳国际信托华澳国际信托有限公司国有企业上海市5,117,84456西部信托西部信托有限公司国有企业西安市5,113,74557国联信托国联信托股份有限公司无锡市4,485,38758国民信托国民信托有限公司北京市4,251,54459吉林省信托吉林省信托有限责任公司国有企业长春市4,216,96260东莞信托东莞信托有限公司东莞市4,132,50961紫金信托紫金信托有限责任公司南京市3,908,70362中国民生信托中国民生信托有限公司民营企业上海市3,902,604 63上海爱建信托上海爱建信托有限责任公司民营企业上海市3,847,327 64杭州工商信托杭州工商信托股份有限公司国有企业杭州市2,263,260 65浙商金汇信托浙商金汇信托股份有限公司国有企业杭州市2,190,092 66万向信托万向信托有限公司杭州市1,601,690 67长城新盛信托新疆长城新盛信托有限责任公司乌鲁木齐1,449,384 68华宸信托华宸信托有限责任公司呼和浩特市1,271,355抗风险能力总资产(百万元)净利润(百万元)所有者权益(百万元)(净资产)营业收入(百万元) 18514,8873,14413,0295,48792.575,3841,105.805,004.032,053.76631,327254829539139.869,6882,049.317,530.194,898.12 18613,2861,78912,1622,78113912,9051,90311,1273,250 109.956,620649.436,301.871,135 1165,5841,2965,3142,03070.484,723723.773,200.031,292.79101.046,026835.775,387.331,451.2071.393,215521.812,741.091,138.06239101,3702,08124,58614,516 107.925,154507.314,943.521,005.52 1125,7817384,5801,892803,3225273,19379380.861,614239.341,400.33530.5887.994,315739.423,838.721,537.2296.457,3231,114.443,461.672,478.4678.564,002923.53,090.272,329.09944,1125613,854974142.794,526745.624,222.371,310.31 1428,6141,4557,2562,97395.824,318541.224,120.39869.3770.923,268508.683,187.931,005.98723,3924162,9451,0011294,9148583,8081,20799.15,643827.465,448.271,350.3885.228,656631.764,190.341,714.0970.93,976540.212,637.491,866.4588.873,299304.443,201.56676.54100.096,4091,081.303,988.261,753.86 863,4465093,10390772.142,531457.812,352.23797.8748.921,051159.74755.87242.68158.3412,4791,280.729,246.752,138.22 1174,2188193,8951,52274.952,523557.742,372.13961.18401,60028086583891.263,394642.173,065.201,164.5468.992,523701.912,178.931,278.89178.957,2881,124.817,094.661,356.1986.832,747514.682,588.831,136.0294.914,105532.283,543.811,023.73117.993,642804.513,261.821,959.31 1043,5172723,2331,097 112.883,929313.083,509.43832.7867.621,551195.441,455.62368.49186.346,0911,178.665,878.231,708.4384.942,211205.641,755.98522.7667.441,530269.831,359.03565.9680.132,442492.752,001.76874.3290.422,556360.162,288.40670.4944,3504192,8041,5381513,3892143,236464531,10322786557079.551,788189.621,507.69368.76131.662,703328.832,658.63466.35 942,0011951,692411155.684,206430.353,241.17854.05 115.072,913396.542,781.87699.0388.91,508186.931,413.13375.981031,155561,065166 1363,2433653,155658 104.81,441339.361,212.81690.63 76.6568459.91603.89199.06 128.041,40970.21,371.97168.07 71.0945257.05364.47154.49 137.8598211.7874.99215.5。