庆铃汽车(集团)有限公司
240
261
18
湖北三环汉阳特种汽车有限公司 193
179
19
山东凯马汽车制造有限公司
110
103
ቤተ መጻሕፍቲ ባይዱ
20
吉利四川商用车有限公司
91
140
21
中国一拖集团有限公司
30
30
22
河北长征汽车制造有限公司
29
0
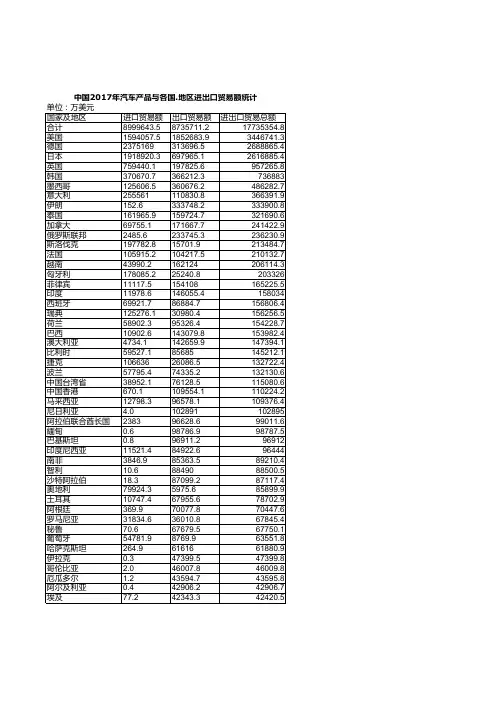
注:1)数据来源于中国汽车工业协会.
2)商用车包括货车整车和客车.
3)货车包括货车整车.半挂牵引车和货车非完整车辆.
4973
10
中国第一汽车集团公司
3771
3283
11
南京徐工汽车制造有限公司
2534
2587
12
四川现代汽车有限公司
2184
2092
13
成都大运汽车集团有限公司
1887
1872
14
浙江飞碟汽车制造有限公司
1789
1692
15
江铃控股有限公司
796
636
16
山东唐骏欧铃汽车制造有限公司 592
767
17
4)客车包括客车整车和客车非完整车辆.
摘编自《中国汽车工业年鉴2018·上卷》
41173
3
北汽福田汽车股份有限公司
33918
33879
4
陕西汽车集团有限责任公司
30896
30647
5
东风汽车公司
27421
26544
6
安徽华菱汽车有限公司
9978
10973
7
上汽依维柯红岩商用车有限公司 9839