周炳琨激光原理第三章习题解答(完整版)
- 格式:doc
- 大小:156.00 KB
- 文档页数:3
第3章激光器的输出特性前两章由发光的物理基础出发,对激光产生的工作原理进行了研究,对于在激光谐振腔中受激辐射大于自发辐射而导致光的受激辐射放大的过程和条件进行了很详细的讨论,为研究从激光谐振腔中传播,到其在腔外的光束强度与相位的大小与分布,也就是激光的输出特性打下了基础。
激光器作为光源与普通光源的主要区别之一是激光器有一个谐振腔,谐振腔倍增了激光增益介质的受激放大作用长度以形成光的高亮度,提高了光源发光的方向性。
实际上激光的第三个重要特点——高度的相干性也是由谐振腔决定的。
由于激光器谐振腔中分立的振荡模式的存在,大大提高了输出激光的单色性,改变了输出激光的光束结构及其传输特性。
因此本章从谐振腔的衍射理论开始研究激光输出的高斯光束传播特性,激光器的输出功率以及激光器输出的线宽极限。
3.1光学谐振腔的衍射理论2.1节中利用几何光学分析方法讨论了光线在谐振腔中的传播、谐振腔的稳定性问题以及谐振腔的分类。
而有关谐振腔振荡模式的存在、各种模式的花样也就是光束结构及其传输特性、衍射损耗等,只能用物理光学方法来解决。
光学谐振腔模式理论实际上是建立在标量理论的菲涅耳——基尔霍夫衍射积分以及模式再现概念的基础上的,本节用这种方法来讨论光学谐振腔。
3.1.1菲涅耳——基尔霍夫衍射公式惠更斯为了描述波的传播过程,提出了关于子波的概念,认为波面上每一点可看作次球面子波的波源,下一时刻新的波前形状由次级子波的包络面所决定。
菲涅耳引入干涉的概念,补充了惠更斯的原理,认为子波源所发的波应是相干的,空间光场是各子波干涉叠加的结果。
基尔霍夫进一步用格林函数方法求解波动方程,得到惠更斯一菲涅耳原理的数学形式,就是菲涅耳——基尔霍夫衍射公式(3-1),其意义如图(3-1)所示。
图(3-1)惠更斯一菲涅耳原理设波阵面∑上任一源点'P 的光场复振幅为'(')u P ,则空间任一观察点P 的光场复振幅()u P 由下列积分式计算()'(')(1cos )'4ik ik e u P u P ds ρθπρ-∑=⎰⎰+ (3-1)式中ρ为源点'P 与观察点P 之间的距离;θ为源点'P 处的波面法线n 与'PP 的夹角; 2k πλ=为光波矢的大小,λ为光波长;'ds 为源点'P 处的面元。
激光原理(周炳琨)概述激光(Laser)是指由物质在受到外界能量激发时,通过放射出的光束具有高度的单色性、相干性和方向性的一种光源。
激光原理是指实现激光的产生以及激光的特性与作用的基本原理。
激光技术已经广泛应用于科学研究、医疗、通信、材料加工等领域。
激光产生原理1. 激光器的构成激光器通常由激活介质、光腔和泵浦三部分构成。
其中,激活介质是激光的源头,光腔用于放大激光信号,而泵浦则用于向激活介质输送能量。
2. 激活介质激活介质是产生激光所必需的物质,它具有可以被激活、通过受激辐射放出高度单色的光等特性。
常见的激活介质有气体、固体和液体。
2.1 气体激光气体激光器是使用气体作为激活介质的激光器,常见的气体激光器有CO2激光器、氦氖激光器等。
它们的激活介质分别是二氧化碳和氦氖气体,通过电子激活气体分子,使其达到受激辐射的能级,从而产生激射。
2.2 固体激光固体激光器是使用固体晶体作为激活介质的激光器,常见的固体激光器有Nd:YAG激光器、Nd:YVO4激光器等。
它们的激活介质通常是镨钇掺杂的钇铝石榴石晶体,通常使用光泵或电泵的方式来激发晶体。
2.3 液体激光液体激光器是使用液体作为激活介质的激光器,常见的液体激光器有染料激光器、红宝石激光器等。
它们的激活介质通常是含有染料的溶液,通过外界刺激能激活染料分子,产生激射。
3. 光腔光腔是激光器中光信号的放大装置,其作用类似于谐振腔。
光腔有两端透明的镜子,称为半反射镜和全透射镜。
其中,半反射镜只透过一部分光,而全透射镜使光完全透过。
4. 泵浦泵浦是为激活介质提供能量的装置,通过各种能量输入方式将能量输入到激活介质中。
常用的泵浦方式有光泵和电泵两种。
光泵是指通过光能量向激活介质输送能量,而电泵则是指通过电流向激活介质输送能量。
激光特性与应用1. 激光特性激光具有以下几个独特的特性:•高度单色性:激光光束的频率很单一,其波长非常狭窄,通常只有几个纳米的范围。
•相干性:激光具有相位高度一致的性质,可以保持光束的干涉性质,实现干涉光的实验和应用。
《激光原理》习题解答第一章习题解答1 为了使氦氖激光器的相干长度达到1KM ,它的单色性0λ∆应为多少?解答:设相干时间为τ,则相干长度为光速与相干时间的乘积,即 c L c ⋅=τ根据相干时间和谱线宽度的关系 cL c ==∆τν1又因为 0γνλλ∆=∆,00λνc=,nm 8.6320=λ由以上各关系及数据可以得到如下形式: 单色性=0ννλλ∆=∆=cL 0λ=101210328.61018.632-⨯=⨯nmnm解答完毕。
2 如果激光器和微波激射器分别在10μm、500nm 和Z MH 3000=γ输出1瓦连续功率,问每秒钟从激光上能级向下能级跃迁的粒子数是多少。
解答:功率是单位时间内输出的能量,因此,我们设在dt 时间内输出的能量为dE ,则功率=dE/dt激光或微波激射器输出的能量就是电磁波与普朗克常数的乘积,即d νnh E =,其中n 为dt 时间内输出的光子数目,这些光子数就等于腔内处在高能级的激发粒子在dt 时间辐射跃迁到低能级的数目(能级间的频率为ν)。
由以上分析可以得到如下的形式:ννh dth dE n ⨯==功率 每秒钟发射的光子数目为:N=n/dt,带入上式,得到:()()()13410626.61--⨯⋅⨯====s s J h dt n N s J νν功率每秒钟发射的光子数 根据题中给出的数据可知:z H mms c13618111031010103⨯=⨯⨯==--λν z H mms c1591822105.110500103⨯=⨯⨯==--λνz H 63103000⨯=ν把三个数据带入,得到如下结果:19110031.5⨯=N ,182105.2⨯=N ,23310031.5⨯=N3 设一对激光能级为E1和E2(f1=f2),相应的频率为ν(波长为λ),能级上的粒子数密度分别为n2和n1,求(a)当ν=3000兆赫兹,T=300K 的时候,n2/n1=? (b)当λ=1μm ,T=300K 的时候,n2/n1=? (c)当λ=1μm ,n2/n1=0.1时,温度T=?解答:在热平衡下,能级的粒子数按波尔兹曼统计分布,即: TK E E T k h f f n n b b )(expexp 121212--=-=ν(统计权重21f f =) 其中1231038062.1--⨯=JK k b 为波尔兹曼常数,T 为热力学温度。
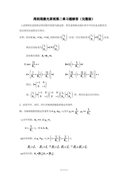
周炳琨激光原理第二章习题解答(完整版)1、试利用往返矩阵证明对称共焦腔为稳定腔,即任意傍轴光线在其中可以往返无限多次,而且两次往返即自行闭合。
证明:设从镜MMM,初始坐标为,往返一次后坐标变为=T,往返两次后坐标变为=TT 而对称共焦腔,R=R=L则A=1=1 B=2L=0C==0 D==1所以,T=故,== 即,两次往返后自行闭合。
2.试求平凹、双凹、凹凸共轴球面镜腔得稳定性条件。
解:共轴球面腔得稳定性条件为0<gg<1,其中g=1 ,g=1(a对平凹腔:R=,则g=1,0<1<1,即0<L<R(b)对双凹腔:0<gg<1, 0<<1,或且(c)对凹凸腔:R=,R=,0<<1,且3.激光器得谐振腔由一面曲率半径为1m得凸面镜与曲率半径为2m得凹面镜组成,工作物质长0、5m,其折射率为1、52,求腔长L在什么范围内就是稳定腔。
解:由图可见有工作物质时光得单程传播有效腔长减小为无工作物质时得?由0<<1,得则4、图2、1所示三镜环形腔,已知,试画出其等效透镜序列图,并求球面镜得曲率半径在什么范围内该腔就是稳定腔。
图示环形强为非共轴球面镜腔。
在这种情况下,对于在由光轴组成得平面内传输得子午光线,式(2、2、7)中得,对于在与此垂直得平面内传输得弧矢光线,,为光轴与球面镜法线得夹角。
解:透镜序列图为该三镜环形腔得往返矩阵为:⎪⎪⎭⎫ ⎝⎛=⎪⎪⎭⎫ ⎝⎛⎪⎪⎭⎫ ⎝⎛⎪⎪⎭⎫ ⎝⎛⎪⎪⎭⎫ ⎝⎛⎪⎪⎭⎫ ⎝⎛⎪⎪⎭⎫ ⎝⎛=D C B A 10L 11f 1-0110L 11f 1-0110L 11001T由稳定腔得条件:,得:或。
若为子午光线,由则或若为弧矢光线,由,则或5.有一方形孔径共焦腔氦氖激光器,L =30cm,d=2a=0、12cm,,镜得反射率为,,其她损耗以每程0、003估计。
此激光器能否作单模运转?如果想在共焦镜面附近加一个方形小孔阑来选择,小孔边长应为多大?试根据图2、5、5作一大略得估计、氦氖增益由公式计算。
周炳琨激光原理第三章习题解答(完整版)1. 试由式(3.3.5)导出式(3.3.7),说明波导模的传输损耗与哪些因素有关。
在其他条件不变时,若波导半径增大一倍,损耗将如何变化?若λ减小到原来的21,损耗又将如何变化?在什么条件下才能获得低的传输损耗? 解:由)]21()(211[2ka i ka u k n nm nm ηγ--≈及nm nm nm i αβγ+=可得: })]Im{21()(211[}Re{2n nm nm nmka ka u k ηγβ+-== }Re{)2(}Re{2)(21}Im {32022n nm n nm nm nm au ka ka u k ηλπηγα=--== 波导模的传输损耗nm α与波导横向尺寸a ,波长0λ,波导材料的折射率实部以及不同波导模对应得不同nm u 值有关。
(a )波导半径增大一倍,损耗减为原来的81。
(b )波长减小到原来的一半,损耗减为原来的41。
获得低的传输损耗应增大波导横向尺寸,选择折射率实部小的介质材料和nm u 小的波导模。
2.试证明,当η为实数时,若02.2>η,最低损耗模为01TE 模,而当02.2<η时,为11EH 模,并证明01TE 模的损耗永远比01TM 模低。
证明: ⎪⎪⎪⎪⎩⎪⎪⎪⎪⎨⎧-+--=模对模对模对nm m m nm nm EH TM TE a u ,1121,1,11)2(22022023202ηηηηηλπα (3.3.8) 对于以上三种不同模,参看书中表3.1,对于同一种模式,m 越小,损耗越小,因此以下考虑01TE ,01TM ,11EH 模之间谁最小(11EH 中1=n 最小)题中设η为实数,显然1>η,所以01010101TE TM αα>,只需考虑01TE 与11EH : 当112221120111011101>+=ηααu u EH TE 时,11EH 小02.2<⇒η当111011101<EH TE αα时,01TE 小02.2>⇒η 3.BeO 在m μ6.10波长时033.0}Re{=n η,试求在内径为mm a 4.12=的BeO 波导管中11EH 模和12EH 模的损耗11a 和12a ,分别以1-cm ,1-m 以及m dB 来表示损耗的大小。
周炳琨激光原理第二章习题解答(完整版)1.试利用往返矩阵证明对称共焦腔为稳定腔,即任意傍轴光线在其中可以往返无限多次,而且两次往返即自行闭合。
证明:设从镜M 1→M 2→M 1,初始坐标为⎪⎪⎭⎫ ⎝⎛θ00r ,往返一次后坐标变为⎪⎪⎭⎫ ⎝⎛θ11r =T ⎪⎪⎭⎫⎝⎛θ00r ,往返两次后坐标变为⎪⎪⎭⎫⎝⎛θ22r =T •T ⎪⎪⎭⎫ ⎝⎛θ00r 而对称共焦腔,R 1=R 2=L 则A=1-2R L 2=-1 B=2L ⎪⎪⎭⎫⎝⎛-2R L 1=0 C=-⎥⎦⎤⎢⎣⎡⎪⎪⎭⎫ ⎝⎛-+121R L 21R 2R 2=0 D=-⎥⎦⎤⎢⎣⎡⎪⎪⎭⎫ ⎝⎛-⎪⎪⎭⎫ ⎝⎛--211R L 21R L 21R L 2=-1 所以,T=⎪⎪⎭⎫ ⎝⎛--1001故,⎪⎪⎭⎫⎝⎛θ22r =⎪⎪⎭⎫ ⎝⎛--1001⎪⎪⎭⎫ ⎝⎛--1001⎪⎪⎭⎫ ⎝⎛θ00r =⎪⎪⎭⎫⎝⎛θ00r 即,两次往返后自行闭合。
2.试求平凹、双凹、凹凸共轴球面镜腔的稳定性条件。
解:共轴球面腔的稳定性条件为0<g 1•g 2<1,其中g 1=1-1R L ,g 2=1-2R L(a 对平凹腔:R 2=∞,则g 2=1,0<1-1R L<1,即0<L<R 1 (b)对双凹腔:0<g 1•g 2<1, 0<⎪⎪⎭⎫⎝⎛-⎪⎪⎭⎫ ⎝⎛-21R L 1R L 1<1 LR >1,L R >2或L R <1L R <2且LR R >+21(c)对凹凸腔:R 1=1R ,R 2=-2R ,0<⎪⎪⎭⎫⎝⎛+⎪⎪⎭⎫ ⎝⎛-21R L 1R L 1<1,L R >1且LR R <-||213.激光器的谐振腔由一面曲率半径为1m 的凸面镜和曲率半径为2m 的凹面镜组成,工作物质长0.5m ,其折射率为1.52,求腔长L 在什么范围内是稳定腔。
周炳琨激光原理第二章习题解答(完整版)1.试利用往返矩阵证明对称共焦腔为稳定腔,即任意傍轴光线在其中可以往返无限多次,而且两次往返即自行闭合。
证明:设从镜M 1→M 2→M 1,初始坐标为⎪⎪⎭⎫ ⎝⎛θ00r ,往返一次后坐标变为⎪⎪⎭⎫ ⎝⎛θ11r =T ⎪⎪⎭⎫⎝⎛θ00r ,往返两次后坐标变为⎪⎪⎭⎫⎝⎛θ22r =T •T ⎪⎪⎭⎫ ⎝⎛θ00r 而对称共焦腔,R 1=R 2=L 则A=1-2R L 2=-1 B=2L ⎪⎪⎭⎫⎝⎛-2R L 1=0 C=-⎥⎦⎤⎢⎣⎡⎪⎪⎭⎫ ⎝⎛-+121R L 21R 2R 2=0 D=-⎥⎦⎤⎢⎣⎡⎪⎪⎭⎫ ⎝⎛-⎪⎪⎭⎫ ⎝⎛--211R L 21R L 21R L 2=-1 所以,T=⎪⎪⎭⎫ ⎝⎛--1001故,⎪⎪⎭⎫⎝⎛θ22r =⎪⎪⎭⎫ ⎝⎛--1001⎪⎪⎭⎫ ⎝⎛--1001⎪⎪⎭⎫ ⎝⎛θ00r =⎪⎪⎭⎫⎝⎛θ00r 即,两次往返后自行闭合。
2.试求平凹、双凹、凹凸共轴球面镜腔的稳定性条件。
解:共轴球面腔的稳定性条件为0<g 1•g 2<1,其中g 1=1-1R L ,g 2=1-2R L(a 对平凹腔:R 2=∞,则g 2=1,0<1-1R L<1,即0<L<R 1 (b)对双凹腔:0<g 1•g 2<1, 0<⎪⎪⎭⎫⎝⎛-⎪⎪⎭⎫ ⎝⎛-21R L 1R L 1<1 LR >1,L R >2或L R <1L R <2且LR R >+21(c)对凹凸腔:R 1=1R ,R 2=-2R ,0<⎪⎪⎭⎫⎝⎛+⎪⎪⎭⎫ ⎝⎛-21R L 1R L 1<1,L R >1且LR R <-||213.激光器的谐振腔由一面曲率半径为1m 的凸面镜和曲率半径为2m 的凹面镜组成,工作物质长0.5m ,其折射率为1.52,求腔长L 在什么范围内是稳定腔。
激光原理周炳坤This model paper was revised by the Standardization Office on December 10, 2020填空1.线宽极限:这种线宽是由于自发辐射的存在而产生的,因而是无法排除的2.频率牵引:在有源腔中,由于增益物质的色散,使纵模频率比无源腔纵模频率更靠近中心频率的现象3.按照被放大光信号的脉宽及工作物质驰豫时间的相对大小,激光放大器分为三类:连续激光放大器、脉冲激光放大器和超短脉冲激光放大器。
此时由于光信号与工作物质相互作用时间足够长,因受激辐射而消耗的反转集居数来得及由泵浦抽运所补充,因此反转集居数及腔内光子数密度可以到达稳态数值而不随时间变化,可以用稳态方法研究放大过程。
这类放大器称为连续激光放大器;因受激辐射而消耗的反转集居数来不及由泵浦抽运补充,反转集居数和光子数在很短的相互作用期间内达不到稳定状态。
这类激光放大器必须用非稳态方法研究,称为脉冲激光放大器;当输入信号是锁模激光器所产生的脉宽为 (10 -11~10-15 )s 的超短脉冲时,称为超短脉冲激光放大器4. 这是由于当脉冲前沿通过工作物质时反转集居数尚未因受激辐射而抽空,而当脉冲后沿通过时,前沿引起的受激辐射以使反转集居数降低,所以后沿只能得到较小的增益,结果是输出脉冲形状发生畸变,矩形脉冲变成尖顶脉冲,脉冲宽度变窄5. ,工作物质可处于三种状态:①弱激发状态:激励较弱,△n<0,工作物质中只存在着自发辐射荧光,并且工作物质对荧光有吸收作用。
②反转激发状态:激励较强。
0<△n<△nt ,0<g0<δ/l。
③超阈值激发状态:若激励很强,使△n<△nt,g0l>δ,则可形成自激振荡而产生激光。
6.即在低Q值状态下激光工作物质的上能级积累粒子,当Q值突然升高时形成巨脉冲振荡,同时输出光脉冲,上述方式称作脉冲反射式调。
激光能量储存于谐振腔中,这种调 Q 方式称作脉冲透射式调 Q。
5.2解答:(1)ln t 21σδ=∆2.0=δ, cm l 10= HA v ννπσ∆=202212214s A cs s321104,1,-⨯===ττηνZH MHc50102,⨯=∆=νλν,nm 3.6940=λ371101.4-⨯=∆cm n(2)010)(n g H ∆=νHA v ννπ∆202212422012)2()()2(H H νννν∆+-∆ lg t δ==012ννν-=∆o s c L c q '=∆2νn=82=∆∆qosc νν7.5两种选模复合腔如图7.2(a )、(b)所示,1M 、2M 、3M 为全反射镜,4M 为部分透射镜。
1l 、2l 应如何选择?解: 对图7.2(a)所示的迈克尔逊复合腔,可看成是由两个子腔组合而成:全反射镜1M 和3M 组成一子腔,腔长为)(1l L +,谐振频率为i i q l L c ⋅+=)](2/[11ν,式中i q 为正整数(并假设折射率为1);另一子腔由全反射镜1M 和2M 组成,其腔长为)(2l L +,同理,谐振频率为j j q l L c ⋅+=)](2/[22ν。
组合后的谐振腔必须同时满足两个腔的频率条件,令两等式相等并设第一个腔经过N 个频率间隔后正好和第二个子腔经过1+N 个频率间隔后的频率再次相等,则有ν'=+=+)(2/)(2/21l L cq l L cq j iν''=+++=++)(2/)1()(2/)(21l L N q c l L N q c j i式中ν'和ν''为同时满足上两式的两个相邻的频率,令ννν'-''=∆,计算可得)(2/21l l c -=∆ν,此即为复合腔的频率间隔。
对图7.2(b)所示的福克斯-史密斯式复合腔,其结构形式与迈克尔逊复合腔十分相似,只不过将半反镜转了九十度,此腔也由两个子腔组成,其中一个腔长为)(2l L +,而另一个腔长为)2(12l l L ++,同理,组合后的谐振频率间隔应为)(2/21l l c +=∆ν。
第三章 增益教材习题解答(1)若光束通过1m 长的激光介质以后,光强增大了一倍,求此介质的增益系数。
解: 2ln ln 1 0= = I I zG (2)计算YAG 激光器中的峰值发射截面S 32,已知Dn F =2´10 11 Hz,t 3=2.3´10 4s,n=1.8。
解: 222 114 2 2 12 2 3 2 2 2 0 32 10 9 . 1 102 103 . 2 8 . 1 14 . 3 4 10 06 . 1 4 m n S F - - - ´ = ´ ´ ´ ´ ´ ´ ´ = D =n t p l (3)计算红宝石激光器当n =n 0 时的峰值发射截面,已知l 0=0.6943m m, Dn F =3.3 ´10 11Hz,t 2=4.2ms, n=1.76。
解: 224 11 3 2 2 12 2 2 2 2 2 021 10 84 . 2 103 . 3 10 2 .4 76 . 1 14 . 3 4 10 6943 . 0 4 m n S F - - - ´ = ´ ´ ´ ´ ´ ´ ´ = D =n t p l 补充习题解答1、某光束在折射率为 n=1.6 的介质中传播,光子数密度为 j =10 16 m 3,光频率为 n =6´10 8 MHz ,求此光束的光强I解: 2 5 8143416/ 10 46 . 7 6. 1 103 10 6 10 63 . 6 10 v m w h I ´ = ´ ´ ´ ´ ´ ´ = = - n j2、固体激光器发光粒子的密度为j =10 14 m 3 晶体棒的横截面积为S=5mm 2,输出镜透过率为 T=0.04,输出的光波为行波,求输出功率 P(晶体的折射率为 n=2.4,光波长为 l =5000Å)解: mw h P 1 10 5 04 . 0 4 . 2 10 3 105000 10 3 10 63 . 6 10 vTS 68 108 3414 = ´ ´ ´ ´ ´ ´ ´ ´ ´ ´ = = - - - n j3、 某激光介质的增益为G=2m 1,初始光强为I 0,求光在介质中传播z=0.5m 后的光强(不考虑损耗与增益饱和)解: 0 0 5 . 0 2 0 0 718 . 2I eI e I e I I Gz = = = = ´4、谐振腔与激光介质的长度皆为L=80cm,小信号增益系数为G =5´10 41/mm,总单程损耗率为δ=0.04,求往返 m=4周以后的光强(初始光强为I 0)。
周炳琨激光原理第二章习题解答(完整版)1.试利用往返矩阵证明对称共焦腔为稳定腔,即任意傍轴光线在其中可以往返无限多次,而且两次往返即自行闭合。
证明:设从镜M 1→M 2→M 1,初始坐标为⎪⎪⎭⎫ ⎝⎛θ00r ,往返一次后坐标变为⎪⎪⎭⎫ ⎝⎛θ11r =T ⎪⎪⎭⎫⎝⎛θ00r ,往返两次后坐标变为⎪⎪⎭⎫⎝⎛θ22r =T •T ⎪⎪⎭⎫ ⎝⎛θ00r 而对称共焦腔,R 1=R 2=L 则A=1-2R L 2=-1 B=2L ⎪⎪⎭⎫⎝⎛-2R L 1=0 C=-⎥⎦⎤⎢⎣⎡⎪⎪⎭⎫ ⎝⎛-+121R L 21R 2R 2=0 D=-⎥⎦⎤⎢⎣⎡⎪⎪⎭⎫ ⎝⎛-⎪⎪⎭⎫ ⎝⎛--211R L 21R L 21R L 2=-1 所以,T=⎪⎪⎭⎫ ⎝⎛--1001故,⎪⎪⎭⎫⎝⎛θ22r =⎪⎪⎭⎫ ⎝⎛--1001⎪⎪⎭⎫ ⎝⎛--1001⎪⎪⎭⎫ ⎝⎛θ00r =⎪⎪⎭⎫⎝⎛θ00r 即,两次往返后自行闭合。
2.试求平凹、双凹、凹凸共轴球面镜腔的稳定性条件。
解:共轴球面腔的稳定性条件为0<g 1•g 2<1,其中g 1=1-1R L ,g 2=1-2R L(a 对平凹腔:R 2=∞,则g 2=1,0<1-1R L<1,即0<L<R 1 (b)对双凹腔:0<g 1•g 2<1, 0<⎪⎪⎭⎫⎝⎛-⎪⎪⎭⎫ ⎝⎛-21R L 1R L 1<1 LR >1,L R >2或L R <1L R <2且LR R >+21(c)对凹凸腔:R 1=1R ,R 2=-2R ,0<⎪⎪⎭⎫ ⎝⎛+⎪⎪⎭⎫ ⎝⎛-21R L 1R L 1<1,L R >1且LR R <-||213.激光器的谐振腔由一面曲率半径为1m 的凸面镜和曲率半径为2m 的凹面镜组成,工作物质长0.5m ,其折射率为1.52,求腔长L 在什么范围内是稳定腔。
周炳琨激光原理第二章习题解答(完整版)1.试利用往返矩阵证明对称共焦腔为稳定腔,即任意傍轴光线在其中可以往返无限多次,而且两次往返即自行闭合。
证明:设从镜M 1→M 2→M 1,初始坐标为⎪⎪⎭⎫ ⎝⎛θ00r ,往返一次后坐标变为⎪⎪⎭⎫ ⎝⎛θ11r =T ⎪⎪⎭⎫⎝⎛θ00r ,往返两次后坐标变为⎪⎪⎭⎫⎝⎛θ22r =T •T ⎪⎪⎭⎫ ⎝⎛θ00r 而对称共焦腔,R 1=R 2=L 则A=1-2R L 2=-1 B=2L ⎪⎪⎭⎫⎝⎛-2R L 1=0 C=-⎥⎦⎤⎢⎣⎡⎪⎪⎭⎫ ⎝⎛-+121R L 21R 2R 2=0 D=-⎥⎦⎤⎢⎣⎡⎪⎪⎭⎫ ⎝⎛-⎪⎪⎭⎫ ⎝⎛--211R L 21R L 21R L 2=-1 所以,T=⎪⎪⎭⎫ ⎝⎛--1001故,⎪⎪⎭⎫⎝⎛θ22r =⎪⎪⎭⎫ ⎝⎛--1001⎪⎪⎭⎫ ⎝⎛--1001⎪⎪⎭⎫ ⎝⎛θ00r =⎪⎪⎭⎫⎝⎛θ00r 即,两次往返后自行闭合。
2.试求平凹、双凹、凹凸共轴球面镜腔的稳定性条件。
解:共轴球面腔的稳定性条件为0<g 1•g 2<1,其中g 1=1-1R L ,g 2=1-2R L(a 对平凹腔:R 2=∞,则g 2=1,0<1-1R L<1,即0<L<R 1 (b)对双凹腔:0<g 1•g 2<1, 0<⎪⎪⎭⎫⎝⎛-⎪⎪⎭⎫ ⎝⎛-21R L 1R L 1<1 LR >1,L R >2或L R <1L R <2且LR R >+21(c)对凹凸腔:R 1=1R ,R 2=-2R ,0<⎪⎪⎭⎫⎝⎛+⎪⎪⎭⎫ ⎝⎛-21R L 1R L 1<1,L R >1且LR R <-||213.激光器的谐振腔由一面曲率半径为1m 的凸面镜和曲率半径为2m 的凹面镜组成,工作物质长0.5m ,其折射率为1.52,求腔长L 在什么范围内是稳定腔。
周炳琨激光原理第三章习题解答(完整版)
1. 试由式(3.3.5)导出式(3.3.7),说明波导模的传输损耗与哪些因素有关。
在其他条
件不变时,若波导半径增大一倍,损耗将如何变化?若λ减小到原来的21,损耗又将如何变化?在什么条件下才能获得低的传输损耗? 解:由)]21()(211[2ka i ka u k n nm nm ηγ--
≈及nm nm nm i αβγ+=可得: })]Im{21()(211[}Re{2n nm nm nm ka
ka u k ηγβ+-== }Re{)2(}Re{2)(21}Im{32022n nm n nm nm nm a
u ka ka u k ηλπηγα=--== 波导模的传输损耗nm α与波导横向尺寸a ,波长0λ,波导材料的折射率实部以及不同
波导模对应得不同nm u 值有关。
(a )波导半径增大一倍,损耗减为原来的8
1。
(b )波长减小到原来的一半,损耗减为原来的
41。
获得低的传输损耗应增大波导横向尺寸,选择折射率实部小的介质材料和nm u 小的波导模。
2.试证明,当η为实数时,若02.2>η,最低损耗模为01TE 模,而当02.2<η时,为11EH 模,并证明01TE 模的损耗永远比01TM 模低。
证明:
⎪⎪⎪⎪⎩
⎪⎪⎪⎪⎨⎧-+--=模对模对模对nm m m nm nm EH TM TE a u ,1121,1
,11)2(22022023202ηηηηηλπα (3.3.8) 对于以上三种不同模,参看书中表3.1,对于同一种模式,m 越小,损耗越小,因此以下考虑01TE ,01TM ,11EH 模之间谁最小
(11EH 中1=n 最小)题中设η为实数,显然1>η, 所以010101
01TE TM αα>,只需考虑01TE 与11EH : 当1122211201110111
01>+=ηααu u EH TE 时,11EH 小02.2<⇒η
当111
011101<EH TE αα时,01TE 小02.2>⇒η 3.BeO 在m μ6.10波长时033.0}Re{=n η,试求在内径为mm a 4.12=的BeO 波导管中11EH 模和12EH 模的损耗11a 和12a ,分别以1-cm ,1-m 以及m dB 来表示损耗的大小。
当通过cm 10长的这种波导时,11EH 模的振幅和强度各衰减了多少(以百分数表示)? 解:由}Re{)2(3
202n nm nm a u ηλπα= 1315111058.1cm 1058.1----⨯=⨯=m α,m /dB 1037.1686.8L 21111-⨯==α 1315121034.8cm 1034.8----⨯=⨯=m α,m /dB 1024.7L 212-⨯=。
当10cm z =时, %02.0)
0()(1≈-E z E ,%04.0)0()(1≈-I z I 4.试计算用于m μ6.10波长的矩形波导的11a 值,以1-cm 及m dB 表示,波导由BeO 制成,
033.0}Re{=n η,mm a 4.12=,计算由2S iO 制成的同样的波导的11a 值,计算中取37.1}Re{=n η。
解: }Re{8132
011n a
ηλα= BeO :1513111035.11035.1----⨯=⨯=cm m α
m dB L 012.0686.81111==α
2SiO :14111106.5056.0---⨯==cm m α
m dB L 487.0686.81111==α。
5.某二氧化碳激光器用2SiO 作波导管,管内径mm 4.12=a ,取{}37.1Re n =η,管长10cm,
两端对称地各放一面平面镜作腔镜。
试问:为了11EH 模能产生振荡,反射镜与波导口距离最大不得超过多少?计算中激活介质增益系数1
01cm .0-。
解:{}14n 32
21111cm 10575.6Re 2u --⨯=⎪⎭⎫ ⎝⎛=ηλπαa
, 10cm z =时,()0907.1e e z 2g gz 110==-α, 而平面反射镜所产生的耦合损耗为4).0f z (
<:2
311f z 57.0C ⎪⎭⎫ ⎝⎛⨯=,其中a 6435.0,f 020==ωλπω。
为使11EH 模能产生振荡则要求()1C 1e 11gz >-,得:
66c m .1277f .0z =<,即反射镜与波导口距离不得超过1.66cm.。