南京艺术学院2019年免试攻读硕士学位研究生拟录取名单
- 格式:xls
- 大小:21.50 KB
- 文档页数:1
姓名类别考生编号录取成绩复试成绩专业名称专业代码学习方式初试成绩定向委培单位非定向10422951010687583.6994.97130100全日制362艺术学理论李恬语非定向10033918322601081.6292.83130100全日制352艺术学理论郭梓锋非定向10422951010688679.7780.14130100全日制397艺术学理论于晓雪非定向10422951010687479.1988.18130100全日制351艺术学理论栾立君非定向10422910422040391.2391.23130100全日制0推荐免试艺术学理论魏铭豪非定向10422910422040288.8388.83130100全日制推荐免试 辅导员保留入学资格1年0艺术学理论李艳秋非定向10422951010684480.4390.25130200全日制353音乐与舞蹈学张晓晴非定向10422951010685476.2486.89130200全日制328音乐与舞蹈学陈天怡非定向10422951091324883.8492.28130400全日制377美术学张瑜非定向10422910200040487.0087.00130400全日制0推荐免试美术学孔泽宁非定向10422910422040560.0060.00130400全日制0推荐免试美术学李雅茹非定向10422951010693076.4687.73130500全日制326设计学王堃燕非定向10422951010683777.6381.06135101全日制371音乐孙东旭非定向10422951010681374.2479.89135101全日制343音乐刘健鹏非定向10422910422040895.0095.00135101全日制推荐免试音乐刘天煜姓名类别考生编号录取成绩复试成绩专业名称专业代码学习方式初试成绩定向委培单位非定向10422910422040993.0093.00135101全日制0推荐免试音乐卢文萍非定向10422910422040692.1492.14135101全日制0推荐免试音乐李敬宜非定向10422910422041292.0092.00135101全日制0推荐免试音乐王宇辰非定向10422910422041192.0092.00135101全日制0推荐免试音乐王茜非定向10422910422041389.0089.00135101全日制0推荐免试音乐赵廷雯非定向10422910422041087.0087.00135101全日制0推荐免试音乐孙铭旋非定向10422910422041490.7890.78135101全日制推荐免试 研究生支教团保留入学资格1年0音乐赵雅琦非定向10422910422040790.0090.00135101全日制推荐免试 研究生支教团保留入学资格1年0音乐李静非定向10422951010683674.0382.27135101非全日制329音乐姚孜怿非定向10422951010682873.4478.49135101非全日制342音乐刘金鹏非定向10422951091317973.1379.67135101非全日制333音乐马溪蔓非定向10422951010682072.7679.51135101非全日制330音乐皮筱冬非定向10422951091330987.4693.52135107全日制407美术公妍非定向10422951091331583.9493.08135107全日制374美术张雨婷非定向10422951010692283.6594.30135107全日制365美术王菲姓名类别考生编号录取成绩复试成绩专业名称专业代码学习方式初试成绩定向委培单位非定向10422951091327783.1391.05135107全日制376美术闫金芝非定向10422951091329382.6890.95135107全日制372美术张苏非定向10355928002074681.3392.45135107全日制351美术樊海平非定向10422910422041589.0089.00135107全日制0推荐免试美术陈欣茹非定向10422951010689682.0291.23135107非全日制364美术潘濛非定向10422951010690181.8487.88135107非全日制379美术陈雨杉非定向10422951010690080.5288.83135107非全日制361美术常小涵非定向10422951010689978.3788.13135107非全日制343美术付景菲非定向10422951010690277.7289.43135107非全日制330美术张涵非定向10422951010692077.6190.42135107非全日制324美术刘兴璞非定向10422951091328876.5383.27135107非全日制349美术韩睿非定向10422951091326366.2661.52135107非全日制355美术宋家瑞非定向10422951091334166.1260.03135107非全日制361美术王子怡非定向10422951010694285.9989.97135108全日制410艺术设计孙嘉怡非定向10422951010696981.1588.30135108全日制370艺术设计汪凌蔚姓名类别考生编号录取成绩复试成绩专业名称专业代码学习方式初试成绩定向委培单位非定向10422951091338980.2090.40135108全日制350艺术设计吕文佳非定向10422951091338479.7388.45135108全日制355艺术设计魏亦汝非定向10422951010693875.4378.65135108非全日制361艺术设计邵轶非定向10422951010696071.7479.28135108非全日制321艺术设计倪志韧。
2015年南京艺术学院在职人员攻读艺术硕士(MFA)专业学位研究生招生简章、招生人数,在职艺术硕士(MFA)考试复习大纲指南,参考书目,在职艺术硕士(MFA)考试历年真题,内部讲义,在职艺术硕士(MFA)考试押题招生人数:50人南京艺术学院2015年在职艺术(MFA)硕士招生简章南京艺术学院是一所在国内外卓有影响的综合性高等艺术学府,是国家首批开展艺术硕士专业学位试点工作的单位之一,2015年将面向全国招收50名艺术硕士,具体招生事宜如下:一、报考条件1、2015年7月31日前国民教育序列大学本科或本科以上(含成教、自考、电大)毕业并取得毕业证书(一般应有学位证书),具有艺术创作实践经验;2、原则上不招收国民教育序列大学专科毕业生,如大专生在本专业领域确有建树,有5年(含)以上艺术创作实践经验并获得省部级以上创作或表演奖励者也可报考(即2010年7月31日前国民教育序列大学专科毕业并取得毕业证书);3、应届本科毕业生必须具有学士学位;4、报考专业一般应与毕业专业一致。
二、招生专业(方向)设置音乐专业:声乐表演(民族、美声、通俗)、中国乐器演奏(古筝、二胡、琵琶、扬琴、唢呐、竹笛(箫))、西方管弦乐器演奏(单簧管、双簧管、大管、打击乐、圆号、小提琴、中提琴、大提琴、低音提琴、长号、古典吉他)、键盘乐器演奏(钢琴、手风琴)、播音主持、影视表演美术专业:雕塑、油画、中国画(山水、人物、花鸟)、插画、书法艺术设计专业:视觉传达设计、环境艺术设计、现代手工艺、工业设计、数字媒体艺术、动画艺术各专业方向招生人数将视国家入学考试过线人数情况作相应调整。
为保证专业方向的平衡,“声乐表演、中国乐器演奏、西方管弦乐器演奏、键盘乐器演奏、中国画”下设的每个小方向招生人数原则上不超过2人。
三、报名1、网上报名:(1)考生须在2015年6月20日—7月10日访问“中国学位与研究生教育信息网”(以下简称“学位网”,),登录在职人员攻读硕士学位管理信息平台(/zzlk),按信息平台说明和要求注册,选择南京师范大学报名点进行网上报名,仔细填写、提交报名信息并上传本人近期电子照片(护照证件照片标准),完成网上报名,网上缴纳报名考试费,打印报名系统生成的《2014年在职人员攻读硕士学位报名登记表》用于现场信息确认。
硕士哲学系马克思主义哲学陈朦5745华中科技大学硕士哲学系马克思主义哲学郭富宁752X吉林大学硕士哲学系马克思主义哲学孔伟宇1610南京大学硕士哲学系马克思主义哲学李俊鑫0054黑龙江大学硕士哲学系马克思主义哲学刘扬6860山东大学硕士哲学系马克思主义哲学潘铃英2728东北师范大学硕士哲学系马克思主义哲学阮玉3726吉林大学硕士哲学系马克思主义哲学王雪郦0086南京大学硕士哲学系马克思主义哲学王云鹏241X吉林大学硕士哲学系马克思主义哲学袁婷婷7620南京大学硕士哲学系中国哲学丁香滢0549兰州大学硕士哲学系中国哲学高章连1622厦门大学硕士哲学系中国哲学季良玉192X大连理工大学硕士哲学系中国哲学赖小龙0234南昌大学硕士哲学系中国哲学梁媛452X兰州大学硕士哲学系中国哲学张露1901东南大学硕士哲学系中国哲学张雪琪1920武汉大学硕士哲学系中国哲学郑涵丹0022南开大学硕士哲学系外国哲学蔡典2410中山大学硕士哲学系外国哲学邓连冲6754重庆大学硕士哲学系外国哲学李嘉琪1524四川大学硕士哲学系外国哲学马嗣瑞051X北京师范大学硕士哲学系外国哲学史季0064苏州大学硕士哲学系逻辑学关骏俊2311西南财经大学硕士哲学系逻辑学刘雨轩5213南京大学硕士哲学系逻辑学张蓓1825南京大学硕士哲学系伦理学李金笑3680西北大学硕士哲学系伦理学李明晗4421河南大学硕士哲学系宗教学傅小倚2868西南大学硕士哲学系宗教学桂玲0644南昌大学硕士哲学系宗教学黄旭懋3517南昌大学硕士哲学系宗教学史荣帅023X安徽大学硕士哲学系宗教学钟涵蕾0520南京大学硕士哲学系科学技术哲学冯雨晴122X南开大学直博生商学院理论经济学葛扬侯景怡1568南开大学直博生商学院理论经济学沈坤荣李敏1827西北大学直博生商学院理论经济学沈坤荣闫佳敏0120西北大学直博生商学院工商管理程德俊王肖宇8368山东大学直博生商学院工商管理刘春林梁斐斐0088中国海洋大学直博生商学院工商管理龙静柳汝泓2323山东大学直博生商学院工商管理王全胜张延0321对外经济贸易大学直博生商学院工商管理赵曙明丁晨4926东北财经大学直博生商学院会计学陈冬华蒋影2864兰州大学硕士商学院政治经济学柴苏苏4521南京大学硕士商学院政治经济学陈德宁2011南京大学硕士商学院政治经济学段心怡0325南京大学硕士商学院政治经济学郭若娜4903南京大学硕士商学院政治经济学胡婷0025湖南大学硕士商学院政治经济学黄颖欣3921南京大学硕士商学院政治经济学杨夏4249山东大学硕士商学院政治经济学张曦匀6085南京大学硕士商学院西方经济学胡月4727南京大学硕士商学院西方经济学李淑宁322X中山大学硕士商学院西方经济学刘探宙2942南京大学硕士商学院西方经济学王爽4323东北大学硕士商学院西方经济学邹瑜1927南京大学支教团计划硕士商学院世界经济黄茜3224南京大学硕士商学院世界经济李昭奕1022南京大学硕士商学院人口、资源与环境经济学彭好1540南京大学硕士商学院人口、资源与环境经济学钱嘉隆7111东南大学硕士商学院人口、资源与环境经济学王祎1020吉林大学硕士商学院国民经济学陈悦梓晗0047南京大学硕士商学院国民经济学邓笛3802南开大学硕士商学院国民经济学丁燕芳3000南开大学硕士商学院国民经济学王淼5022南京大学硕士商学院国民经济学王沄帆341X南京大学硕士商学院国民经济学徐超8928南京大学硕士商学院国民经济学许望婷652X南京大学硕士商学院国民经济学严征宇7414南京大学硕士商学院国民经济学周光威2634南京大学硕士商学院金融学费宇0027西安交通大学硕士商学院金融学冯翔宇1511南京大学硕士商学院金融学黄晨0027中国人民大学硕士商学院金融学金鸣1257南京大学硕士商学院金融学李陈鸿1240哈尔滨工业大学硕士商学院金融学李佳仑4524南京大学硕士商学院金融学李洁0226山东大学硕士商学院金融学凌力0030西安交通大学硕士商学院金融学陆宇婕7163南京大学硕士商学院金融学尚进8110南京大学硕士商学院金融学史刚辉0014南京大学硕士商学院金融学孙慧0227南京大学硕士商学院金融学王灿4625南京大学硕士商学院金融学王丽敏4467南京大学硕士商学院金融学王镇6210南京大学硕士商学院金融学杨璐2541南京大学硕士商学院金融学张沁楠0107南京大学硕士商学院金融学张若璇9424南京大学硕士商学院金融学章渊康0639南开大学硕士商学院金融学周亚捷066X南京大学硕士商学院金融学周洲5744南京大学硕士商学院产业经济学黄梅6323南京大学硕士商学院产业经济学解素素5726南京大学硕士商学院产业经济学李欣哲5548中国农业大学硕士商学院产业经济学李阳2016厦门大学硕士商学院产业经济学刘思敏1828山东大学硕士商学院产业经济学杨云祺0533重庆大学硕士商学院产业经济学张嘉玲0549南京大学硕士商学院产业经济学郑秋琪0027湖南大学硕士商学院产业经济学周雨佳2020西安交通大学硕士商学院产业经济学周圆0044中央民族大学硕士商学院国际贸易学陈瑞雪5222南京大学硕士商学院国际贸易学陈孜晗0844中央财经大学硕士商学院国际贸易学都欣0861西南财经大学硕士商学院国际贸易学范文璐2429南京大学硕士商学院国际贸易学费瑾5461西南财经大学硕士商学院国际贸易学金杰2644东南大学硕士商学院国际贸易学康思维1520北京师范大学硕士商学院国际贸易学马明畅2420东南大学硕士商学院国际贸易学唐雪4023湖南大学硕士商学院国际贸易学王秀中0929西北工业大学硕士商学院国际贸易学张晓霈0542南京大学硕士商学院国际贸易学张依然2226哈尔滨工业大学硕士商学院国际贸易学赵然0025武汉大学硕士商学院国际贸易学赵越4816南京大学支教团计划硕士商学院国际贸易学周诗9567南京大学硕士商学院国际商务常静6621厦门大学硕士商学院国际商务丁智颖0026四川大学硕士商学院国际商务李鸿熹0052武汉大学硕士商学院国际商务李晓玉2220山东大学硕士商学院国际商务宋紫倩0022中南财经政法大学硕士商学院国际商务孙雯6324南京大学硕士商学院国际商务俞鑫6676南京大学硕士商学院国际商务张柏贤3979南京大学硕士商学院国际商务郑书臣9417中国农业大学硕士商学院会计学曾硕0375南京大学硕士商学院会计学陈紫帆722X南开大学硕士商学院会计学胡书捷7546对外经济贸易大学硕士商学院会计学李茵之034X南京大学硕士商学院会计学林雨薇2244南京大学硕士商学院会计学吕明雪004X华中科技大学硕士商学院会计学马浩云5043南京大学硕士商学院会计学汪安园0069南京大学硕士商学院会计学王铷州3918武汉大学硕士商学院会计学王雯妍4420西南财经大学硕士商学院会计学王逸超3826西南财经大学硕士商学院会计学吴梦瑶2323南京大学硕士商学院会计学吴卓倩0026南京大学硕士商学院会计学杨玉洁5781南京大学硕士商学院会计学杨子江0018哈尔滨工业大学硕士商学院会计学赵逸如2329南京大学硕士商学院企业管理曾子心0042山东大学硕士商学院企业管理陈嘉羽0044南京大学硕士商学院企业管理陈睿0044南京大学硕士商学院企业管理陈润杰3419南京大学支教团计划硕士商学院企业管理陈晓涵5208兰州大学硕士商学院企业管理崔文韬0959南京大学硕士商学院企业管理崔一社8622南京大学硕士商学院企业管理葛晓杉4724南京大学硕士商学院企业管理顾歆婷0322南京大学硕士商学院企业管理胡尹仪4825华中科技大学硕士商学院企业管理姜凯杰0613南京大学硕士商学院企业管理蒋旭婷1127南京大学硕士商学院企业管理雷婷0025西南财经大学硕士商学院企业管理李怡欣5546南京大学硕士商学院企业管理李悦琪0944吉林大学硕士商学院企业管理林璟怡1025湖南大学硕士商学院企业管理凌勇峰0613厦门大学硕士商学院企业管理刘昕洋2121重庆大学硕士商学院企业管理卢逸芸4226南京大学硕士商学院企业管理马雨辰0042南京大学硕士商学院企业管理倪莫愁4423南京大学支教团计划硕士商学院企业管理倪颖0422南京大学硕士商学院企业管理潘琴琴6420北京师范大学硕士商学院企业管理施浩5014南京大学硕士商学院企业管理史冬冬4710南京大学硕士商学院企业管理宋孟璐0920东南大学硕士商学院企业管理田淼5227南京大学硕士商学院企业管理万嘉雯2424南京大学硕士商学院企业管理王冰玉0042东南大学硕士商学院企业管理王灿2417四川大学硕士商学院企业管理王鹤霏1329南京大学硕士商学院企业管理王佩瑶2048南京大学硕士商学院企业管理王俏莹1023南京大学硕士商学院企业管理王义鑫0815大连理工大学硕士商学院企业管理王舟琪6118南京大学硕士商学院企业管理吴菁1020南京大学硕士商学院企业管理吴通6012南京大学硕士商学院企业管理辛贝宁1522南京大学硕士商学院企业管理徐焘3330南京大学硕士商学院企业管理颜娇娇592X东南大学硕士商学院企业管理袁子馨2026南京大学硕士商学院企业管理张文佳0241南京大学硕士商学院企业管理周景曦1023南京大学硕士商学院企业管理朱依婕0527浙江大学硕士马克思主义学院中共党史王涛0513安徽大学硕士马克思主义学院中共党史张楠1024内蒙古大学硕士马克思主义学院马克思主义基本原理程琳3522安徽大学硕士马克思主义学院马克思主义基本原理杨蕙宁8523郑州大学硕士马克思主义学院马克思主义中国化研究谷生秀5045安徽大学硕士马克思主义学院马克思主义中国化研究张悦阳0020南京航空航天大学硕士马克思主义学院国外马克思主义研究黎茵8522南京师范大学硕士马克思主义学院国外马克思主义研究王思雨0628东北师范大学硕士马克思主义学院思想政治教育安迪6020南京师范大学硕士马克思主义学院思想政治教育陈梦婷1525湖南师范大学硕士马克思主义学院思想政治教育崔兴红0629合肥工业大学硕士马克思主义学院思想政治教育李涛8329湖南师范大学硕士马克思主义学院思想政治教育刘敏璇0026湖南师范大学硕士马克思主义学院思想政治教育徐梦洁2927东北大学硕士马克思主义学院中国近现代史基本问题研究陈霄7039华中师范大学硕士马克思主义学院中国近现代史基本问题研究董诗意0520南京师范大学硕士马克思主义学院中国近现代史基本问题研究韩建汶0071南京大学支教团计划硕士马克思主义学院中国近现代史基本问题研究石永程1216南京大学硕士马克思主义学院中国近现代史基本问题研究赵清3428东南大学硕士法学院法学理论孙衍春314X西北政法大学硕士法学院法学理论汪西兴2011南京大学硕士法学院法学理论王珺洁0981南京大学硕士法学院法学理论余昃阳5616南开大学硕士法学院法律史王一凡4521西北政法大学硕士法学院法律史魏娟0049西南政法大学硕士法学院宪法学与行政法学耿聪4827西南政法大学硕士法学院宪法学与行政法学罗美峰3725南京大学硕士法学院刑法学何婷2725南京大学支教团计划硕士法学院刑法学张子凡1216南京大学支教团计划硕士法学院刑法学郑尊洁3528西北政法大学硕士法学院民商法学戴婧伊3628浙江大学硕士法学院民商法学高西雅5528四川大学硕士法学院民商法学金亦丁0023苏州大学硕士法学院民商法学陆艺敏4302湖南大学硕士法学院民商法学孟祯2021南京大学硕士法学院民商法学王春梅3423西南政法大学硕士法学院民商法学武鹏燕3287湖南大学硕士法学院民商法学支婧仪0926南京大学硕士法学院诉讼法学顾斌6782苏州大学硕士法学院诉讼法学刘宇琪0063南京大学硕士法学院诉讼法学喻双喜1268中南大学硕士法学院诉讼法学周娟0041南京大学硕士法学院经济法学卞珊珊002X南京大学硕士法学院经济法学戴湘荣0213南京大学硕士法学院经济法学傅竞娴4225吉林大学硕士法学院经济法学高文涛1031南京大学硕士法学院经济法学黄宇森0859西南政法大学硕士法学院经济法学季玉林3616西南政法大学硕士法学院经济法学蒋屹2769苏州大学硕士法学院经济法学李佳慧1068中南大学硕士法学院经济法学李梦1342中国海洋大学硕士法学院经济法学林蕴华0029南京大学硕士法学院经济法学马晨晨1929西南政法大学硕士法学院经济法学宁彦昕2024中南财经政法大学硕士法学院经济法学尚佳0725南京大学硕士法学院经济法学喻坤坤1811南京大学硕士法学院经济法学张雅晴1943复旦大学硕士法学院经济法学支春华2816南京大学硕士法学院经济法学周丹丹4065南京大学硕士法学院经济法学朱佳雯0525东南大学硕士法学院国际法学刘琳1920郑州大学硕士法学院国际法学邱博奇3221西南政法大学硕士法学院国际法学舒可0079南京大学硕士法学院国际法学汤冰清512X大连海事大学硕士法学院国际法学吴雨桐302X中南财经政法大学硕士法学院国际法学周诗月1220南京大学硕士法学院法律(非法学)曹玉2542苏州大学硕士法学院法律(非法学)陈凤1364华南理工大学硕士法学院法律(非法学)陈雅0721南京大学硕士法学院法律(非法学)顾卓超9712武汉大学硕士法学院法律(非法学)李晓悦122X中国海洋大学硕士法学院法律(非法学)栗高宇9117上海交通大学硕士法学院法律(非法学)王琳2969中南大学硕士法学院法律(非法学)许新怡0029厦门大学硕士法学院法律(非法学)杨沅榛052X南京大学硕士法学院法律(非法学)余伊婷0021电子科技大学硕士法学院法律(非法学)赵鹏0012合肥工业大学硕士法学院法律(非法学)郑文达8237东南大学硕士法学院法律(非法学)钟宜杉4425南开大学硕士法学院法律(法学)陈天韵413X苏州大学硕士法学院法律(法学)范玉颖7723中国海洋大学硕士法学院法律(法学)吕秋蕾0327南京师范大学硕士法学院法律(法学)钱逸凡1527南京大学硕士法学院法律(法学)邱洁敏3824西南政法大学硕士法学院法律(法学)时翔昊3018南京师范大学硕士法学院法律(法学)孙思佳2946湖南大学硕士法学院法律(法学)孙叶香1262西南政法大学硕士法学院法律(法学)吴霄666X湖南师范大学硕士法学院法律(法学)徐己002X南京师范大学硕士法学院法律(法学)余林倩0025中南财经政法大学硕士法学院法律(法学)张桂敏1528南京师范大学硕士法学院法律(法学)张鲁喆071X华东政法大学硕士法学院法律(法学)郑梦圆4926南京大学硕士政府管理学院政治学理论曹湘怡5745南京大学硕士政府管理学院政治学理论何昭颖0029中央民族大学硕士政府管理学院政治学理论李宇薇3429南开大学硕士政府管理学院政治学理论刘禹忱002X华东师范大学硕士政府管理学院政治学理论田铭4016南京航空航天大学硕士政府管理学院政治学理论王芝媛0049山东大学硕士政府管理学院政治学理论魏梦娟326X吉林大学硕士政府管理学院政治学理论杨景朝5614华南师范大学硕士政府管理学院政治学理论周领0012安徽大学硕士政府管理学院政治学理论周治强7650厦门大学硕士政府管理学院中外政治制度吴清薇202X中央民族大学硕士政府管理学院国际政治蔡宝真1224厦门大学硕士政府管理学院国际政治曾欣0029华中师范大学硕士政府管理学院国际政治李鑫776X重庆大学硕士政府管理学院国际政治刘一燊1812重庆大学硕士政府管理学院国际政治王钦林0027兰州大学硕士政府管理学院国际政治殷平仪5829辽宁大学硕士政府管理学院行政管理白桦0547南京大学硕士政府管理学院行政管理程心如1123东南大学硕士政府管理学院行政管理杜泽0055东北大学硕士政府管理学院行政管理方雨婷0027华南理工大学硕士政府管理学院行政管理冯巩4210郑州大学硕士政府管理学院行政管理付敏6069南京大学硕士政府管理学院行政管理何依蔓2867四川大学硕士政府管理学院行政管理胡珩0224南京大学硕士政府管理学院行政管理黎昱麟3314中山大学硕士政府管理学院行政管理罗楚筠0026南开大学硕士政府管理学院行政管理毛家馨3722南京大学硕士政府管理学院行政管理唐朝041X浙江工业大学硕士政府管理学院行政管理王静320X兰州大学硕士政府管理学院行政管理王雅瑜0022东北大学硕士政府管理学院行政管理王越鸣3148中国农业大学硕士政府管理学院行政管理吴雅洁0202南京大学硕士政府管理学院行政管理张若愚4462中南大学硕士政府管理学院行政管理赵钰琳1049南京大学硕士政府管理学院行政管理钟睿910X黑龙江大学硕士政府管理学院行政管理朱晓宇1219东北大学硕士政府管理学院社会医学与卫生事业管理关佳怡0326南京大学硕士政府管理学院社会医学与卫生事业管理张宁雯4565南京中医药大学硕士政府管理学院社会医学与卫生事业管理朱安钦0040南京农业大学硕士政府管理学院社会医学与卫生事业管理邹敏4023华东理工大学硕士政府管理学院社会保障陈颖琪1327南京大学硕士政府管理学院社会保障成天然0267南京大学硕士政府管理学院社会保障戴思婷0267南京大学硕士政府管理学院社会保障高骏3971南京大学支教团计划硕士政府管理学院社会保障关植元2918南京大学硕士政府管理学院社会保障史可4826南开大学硕士政府管理学院社会保障王艾凡0484中国海洋大学硕士政府管理学院社会保障王文栩971X南京大学支教团计划硕士政府管理学院社会保障夏想4621南京大学硕士政府管理学院社会保障夏艺0021南京大学硕士政府管理学院社会保障杨科敏2727辽宁大学硕士政府管理学院社会保障张玥旻0020东北师范大学硕士政府管理学院社会保障郑笑3028中国人民大学硕士社会学院社会学曾昕茹0026南开大学硕士社会学院社会学陈程1018山东大学硕士社会学院社会学何平0013南开大学硕士社会学院社会学宦丁蕾8563华东师范大学硕士社会学院社会学李姝0228南京农业大学硕士社会学院社会学潘玥0029福州大学硕士社会学院社会学田伊楠2121西安交通大学硕士社会学院社会学王一凡2020南京大学硕士社会学院社会学徐荣婧8927中南大学硕士社会学院社会学许子妍1220中南大学硕士社会学院社会学颜成磊5213兰州大学硕士社会学院社会学姚宗峰3111上海大学硕士社会学院社会学余鸿飞2013南京大学支教团计划硕士社会学院社会学张硕2523南京大学硕士社会学院人口学黄冷曦3047南京大学硕士社会学院人口学夏青美8122南京大学硕士社会学院人类学曾城0034山东大学硕士社会学院人类学倪雨婷2023南京大学硕士社会学院人类学杨丽3025中山大学硕士社会学院社会工作董馨羽3660东南大学硕士社会学院社会工作郭建宏2515山东大学硕士社会学院社会工作何凤婷1741南京理工大学硕士社会学院社会工作何泳佳1229华北电力大学(保定)硕士社会学院社会工作何箴5224华中师范大学硕士社会学院社会工作蒋艳莹3529上海大学硕士社会学院社会工作李梅002X南京师范大学硕士社会学院社会工作李卓尔0048南京理工大学硕士社会学院社会工作梁曼茹4682南京理工大学硕士社会学院社会工作凌逸杨0623苏州大学硕士社会学院社会工作闵蕾2463华中师范大学硕士社会学院社会工作潘承亚101X南京林业大学硕士社会学院社会工作石升芬1746云南大学硕士社会学院社会工作唐雨雪3088南京师范大学硕士社会学院社会工作吴小玲324X江南大学硕士社会学院社会工作武子凤0522南京大学硕士社会学院社会工作肖琳琳292X江南大学硕士社会学院社会工作徐梦仙6149安徽大学硕士社会学院社会工作徐杉杉0041四川外国语大学硕士社会学院社会工作杨馨怡5024华东理工大学硕士社会学院社会工作俞若菲026X南京大学硕士社会学院社会工作张权8532南京大学硕士社会学院社会工作祝青2869南京理工大学硕士社会学院基础心理学崔若茵1842吉林大学硕士社会学院基础心理学胡昕哲0249重庆大学硕士社会学院基础心理学左孟杰5026安徽师范大学硕士社会学院应用心理学蒋燕2429南京大学硕士社会学院应用心理学孙瑜0126南京大学硕士社会学院应用心理学陶靖婷6022北京体育大学硕士社会学院应用心理学徐枟0062南京大学硕士社会学院应用心理林育坪1512南京大学硕士社会学院应用心理吴婧轩0629江苏师范大学硕士社会学院应用心理辛馨6523山东中医药大学硕士社会学院应用心理徐俊怡0029北京林业大学硕士社会学院应用心理章莘尼0025安徽农业大学硕士社会学院应用心理赵旭0011南昌大学直博生文学院中国语言文学卞东波李心畅0225南京大学直博生文学院中国语言文学程章灿付英超3937山东大学直博生文学院中国语言文学莫砺锋王子涵0131华东师范大学直博生文学院中国语言文学王彬彬谭宇婷4224吉林大学直博生文学院戏剧与影视学解玉峰朱恒宇0017南京大学硕士文学院汉语国际教育蔡璇0060南京师范大学硕士文学院汉语国际教育高文希5788辽宁大学硕士文学院汉语国际教育官睿0046武汉理工大学硕士文学院汉语国际教育孙妍婷0223华东师范大学硕士文学院汉语国际教育徐妍薇2028华东师范大学硕士文学院汉语国际教育杨锦非8526苏州大学硕士文学院汉语国际教育张孟洁3040南京师范大学硕士文学院汉语国际教育左倩132X南京大学支教团计划硕士文学院文艺学陈静逸9026厦门大学硕士文学院文艺学甘诗怡0026南京大学硕士文学院文艺学郝茂棋7729南京大学硕士文学院文艺学刘兰7929四川大学硕士文学院文艺学刘然3020北京师范大学硕士文学院文艺学史文3228南京师范大学硕士文学院文艺学尹昌鹏0016南京大学硕士文学院语言学及应用语言学谭雨欣0020华中科技大学硕士文学院语言学及应用语言学王之媛0024华中科技大学硕士文学院语言学及应用语言学于佩鑫0015南京大学支教团计划硕士文学院汉语言文字学高洁6688南开大学硕士文学院汉语言文字学何玮玮3023陕西师范大学硕士文学院汉语言文字学彭丽丽0028南京大学硕士文学院汉语言文字学苏铂涵5823南京大学硕士文学院汉语言文字学孙冲0026南京大学硕士文学院汉语言文字学张念洁1322北京师范大学硕士文学院中国古典文献学陈彩霞5140南京大学硕士文学院中国古典文献学陈思婷0021陕西师范大学硕士文学院中国古典文献学姜好324X南京师范大学硕士文学院中国古典文献学谭玉珍5624中山大学硕士文学院中国古典文献学晏佳利0105武汉大学硕士文学院中国古代文学曹竞艺3029武汉大学硕士文学院中国古代文学曾惠娟1287厦门大学硕士文学院中国古代文学陈秋2636苏州大学硕士文学院中国古代文学丁彦芬6763南京大学硕士文学院中国古代文学李可0021南京大学硕士文学院中国古代文学林小溪7524南京大学硕士文学院中国古代文学刘聪224X华中师范大学硕士文学院中国古代文学刘晓晨7816北京师范大学。
南京大学2019年硕士研究生拟录取名单注:总成绩计算方法参见各院系招生目录及复试方案录取院系录取专业考生编号姓名录取类别学习方式考试方式政治外语业一业二初试总分复试成绩总成绩备注哲学系学硕-马克思主义哲学102849104870293陈朦非定向全日制推荐免试合格合格哲学系学硕-马克思主义哲学102849210109881冯泽坤非定向全日制全国统考617099126356238.00594.00哲学系学硕-马克思主义哲学102849101830294郭富宁非定向全日制推荐免试合格合格哲学系学硕-马克思主义哲学102849102840295孔伟宇非定向全日制推荐免试合格合格哲学系学硕-马克思主义哲学102849210119414李桂君非定向全日制全国统考696911295345208.00553.00哲学系学硕-马克思主义哲学102849102120296李俊鑫非定向全日制推荐免试合格合格哲学系学硕-马克思主义哲学102849104220297刘扬非定向全日制推荐免试合格合格哲学系学硕-马克思主义哲学102849102000298潘铃英非定向全日制推荐免试合格合格哲学系学硕-马克思主义哲学102849101830299阮玉非定向全日制推荐免试合格合格哲学系学硕-马克思主义哲学102849102840300王雪郦非定向全日制推荐免试合格合格哲学系学硕-马克思主义哲学102849101830301王云鹏非定向全日制推荐免试合格合格哲学系学硕-马克思主义哲学102849102840302袁婷婷非定向全日制推荐免试合格合格哲学系学硕-中国哲学102849107300303丁香滢非定向全日制推荐免试合格合格哲学系学硕-中国哲学102849210119037董文娟非定向全日制全国统考6355109113340281.40621.40哲学系学硕-中国哲学102849103840304高章连非定向全日制推荐免试合格合格哲学系学硕-中国哲学102849210114831黄唯青非定向全日制全国统考717591123360282.80642.80哲学系学硕-中国哲学102849101410305季良玉非定向全日制推荐免试合格合格哲学系学硕-中国哲学102849104030306赖小龙非定向全日制推荐免试合格合格哲学系学硕-中国哲学102849210112795李明玉非定向全日制全国统考6572110122369283.60652.60哲学系学硕-中国哲学102849107300307梁媛非定向全日制推荐免试合格合格哲学系学硕-中国哲学102849210123910孟驱洋非定向全日制全国统考6860110128366288.00654.00哲学系学硕-中国哲学102849210121755唐吉非定向全日制全国统考7481106113374286.20660.20哲学系学硕-中国哲学102849210114448王港妹非定向全日制全国统考615797*********.40610.40哲学系学硕-中国哲学102849102860308张露非定向全日制推荐免试合格合格哲学系学硕-中国哲学102849104860309张雪琪非定向全日制推荐免试合格合格哲学系学硕-中国哲学102849100550310郑涵丹非定向全日制推荐免试合格合格哲学系学硕-外国哲学102849105580311蔡典非定向全日制推荐免试合格合格哲学系学硕-外国哲学102849106110312邓连冲非定向全日制推荐免试合格合格哲学系学硕-外国哲学102849106100313李嘉琪非定向全日制推荐免试合格合格哲学系学硕-外国哲学102849100270314马嗣瑞非定向全日制推荐免试合格合格哲学系学硕-外国哲学102849210123867牛亚雷非定向全日制全国统考676410092323241.20564.20哲学系学硕-外国哲学102849102850315史季非定向全日制推荐免试合格合格哲学系学硕-外国哲学102849210100010俞泉林非定向全日制全国统考6671125117379278.20657.20哲学系学硕-逻辑学102849106510316关骏俊非定向全日制推荐免试合格合格哲学系学硕-逻辑学102849210107842刘思邑非定向全日制全国统考7663128140407271.60678.60哲学系学硕-逻辑学102849102840317刘雨轩非定向全日制推荐免试合格合格哲学系学硕-逻辑学102849102840318张蓓非定向全日制推荐免试合格合格哲学系学硕-逻辑学102849210117325张文华非定向全日制全国统考6867121139395253.20648.20哲学系学硕-伦理学102849104750320李明晗非定向全日制推荐免试合格合格哲学系学硕-伦理学102849210117411张颖非定向全日制全国统考6866106123363260.80623.80哲学系学硕-宗教学102849210100015樊铮炎非定向全日制全国统考7576105137393255.00648.00哲学系学硕-宗教学102849106350321傅小倚非定向全日制推荐免试合格合格哲学系学硕-宗教学102849104030322桂玲非定向全日制推荐免试合格合格哲学系学硕-宗教学102849104030323黄旭懋非定向全日制推荐免试合格合格哲学系学硕-宗教学102849210117412刘淇梦非定向全日制全国统考6958119137383259.00642.00哲学系学硕-宗教学102849103570324史荣帅非定向全日制推荐免试合格合格哲学系学硕-宗教学102849102840325钟涵蕾非定向全日制推荐免试合格合格哲学系学硕-科学技术哲学102849210108916戴佳纯非定向全日制全国统考6069103112344280.00624.00哲学系学硕-科学技术哲学102849100550326冯雨晴非定向全日制推荐免试合格合格哲学系学硕-科学技术哲学102849210122042司祎非定向全日制全国统考6153124134372262.00634.00哲学系学硕-科学技术哲学102849210122365覃敏星定向全日制全国统考6670106104346250.00596.00少民计划非在职哲学系学硕-科学技术哲学102849210109308王安琪非定向全日制全国统考7377103129382278.00660.00商学院学硕-政治经济学102849210215454曹书灵非定向全日制全国统考7674132128410261.40671.40商学院学硕-政治经济学102849102840327柴苏苏非定向全日制推荐免试合格合格商学院学硕-政治经济学102849102840328陈德宁非定向全日制推荐免试合格合格商学院学硕-政治经济学102849102840329段心怡非定向全日制推荐免试合格合格商学院学硕-政治经济学102849102840330郭若娜非定向全日制推荐免试合格合格商学院学硕-政治经济学102849210218309侯重阳非定向全日制全国统考7572127115389259.60648.60商学院学硕-政治经济学102849105320331胡婷非定向全日制推荐免试合格合格商学院学硕-政治经济学102849210215976胡迎春非定向全日制全国统考7072127108377252.00629.00商学院学硕-政治经济学102849102840332黄颖欣非定向全日制推荐免试合格合格商学院学硕-政治经济学102849210200032李斯璐非定向全日制全国统考7371126105375256.80631.80商学院学硕-政治经济学102849210209883刘秋冶非定向全日制全国统考6977112118376255.60631.60商学院学硕-政治经济学102849210212797孟庆申非定向全日制全国统考7263133117385252.80637.80商学院学硕-政治经济学102849210200042吴宇琪非定向全日制全国统考6975122138404270.40674.40商学院学硕-政治经济学102849104220333杨夏非定向全日制推荐免试合格合格商学院学硕-政治经济学102849102840334张曦匀非定向全日制推荐免试合格合格商学院学硕-政治经济学102849210219735赵彬策非定向全日制全国统考7173117130391264.00655.00商学院学硕-政治经济学102849210212454周雨璇非定向全日制全国统考6076139103378249.80627.80商学院学硕-西方经济学102849102840335胡月非定向全日制推荐免试合格合格商学院学硕-西方经济学102849210209885胡梓滢非定向全日制全国统考6572117130384242.00626.00商学院学硕-西方经济学102849210200048黄翔宇非定向全日制全国统考7070128121389250.20639.20商学院学硕-西方经济学102849105580336李淑宁非定向全日制推荐免试合格合格商学院学硕-西方经济学102849102840337刘探宙非定向全日制推荐免试合格合格商学院学硕-西方经济学102849101450338王爽非定向全日制推荐免试合格合格商学院学硕-西方经济学102849102840339邹瑜非定向全日制推荐免试合格合格支教团计划商学院学硕-世界经济102849102840340黄茜非定向全日制推荐免试合格合格商学院学硕-世界经济102849210214999黄真非定向全日制全国统考5874119127378251.80629.80商学院学硕-人口、资源与环境102849102840342彭好非定向全日制推荐免试合格合格商学院学硕-人口、资源与环境102849102860343钱嘉隆非定向全日制推荐免试合格合格商学院学硕-人口、资源与环境102849101830344王祎非定向全日制推荐免试合格合格商学院学硕-国民经济学102849210200069包成江非定向全日制全国统考6882122119391241.80632.80商学院学硕-国民经济学102849210223472蔡荣转非定向全日制全国统考7175141132419256.00675.00商学院学硕-国民经济学102849102840345陈悦梓晗非定向全日制推荐免试合格合格商学院学硕-国民经济学102849100550346邓笛非定向全日制推荐免试合格合格商学院学硕-国民经济学102849100550347丁燕芳非定向全日制推荐免试合格合格商学院学硕-国民经济学102849210208148李迈非定向全日制全国统考7579131113398246.00644.00商学院学硕-国民经济学102849210222609李书锐非定向全日制全国统考7079130113392254.60646.60商学院学硕-国民经济学102849210217326刘奇非定向全日制全国统考6967139132407230.60637.60商学院学硕-国民经济学102849210218313刘艺伟非定向全日制全国统考6578134113390230.60620.60商学院学硕-国民经济学102849210208620田浩楠定向全日制全国统考6651120100337227.20564.20少民计划非在职商学院学硕-国民经济学102849102840348王淼非定向全日制推荐免试合格合格商学院学硕-国民经济学102849210212045王兴宇非定向全日制全国统考6482141124411235.40646.40商学院学硕-国民经济学102849102840349王沄帆非定向全日制推荐免试合格合格商学院学硕-国民经济学102849102840350徐超非定向全日制推荐免试合格合格商学院学硕-国民经济学102849102840351许望婷非定向全日制推荐免试合格合格商学院学硕-国民经济学102849102840352严征宇非定向全日制推荐免试合格合格商学院学硕-国民经济学102849102840353周光威非定向全日制推荐免试合格合格商学院学硕-金融学102849210200104陈媛媛非定向全日制全国统考7282126116396261.00657.00商学院学硕-金融学102849210207368崔慧非定向全日制全国统考7575131113394273.20667.20商学院学硕-金融学102849210210173方宸非定向全日制全国统考6785135131418273.20691.20商学院学硕-金融学102849106980354费宇非定向全日制推荐免试合格合格商学院学硕-金融学102849102840355冯翔宇非定向全日制推荐免试合格合格商学院学硕-金融学102849210200112高楚晗非定向全日制全国统考6879138116401251.20652.20商学院学硕-金融学102849210214120耿赛赛非定向全日制全国统考7175133117396265.20661.20商学院学硕-金融学102849100020356黄晨非定向全日制推荐免试合格合格商学院学硕-金融学102849210216261江亮亮非定向全日制全国统考7282141123418266.40684.40商学院学硕-金融学102849102840357金鸣非定向全日制推荐免试合格合格商学院学硕-金融学102849102130358李陈鸿非定向全日制推荐免试合格合格商学院学硕-金融学102849102840359李佳仑非定向全日制推荐免试合格合格商学院学硕-金融学102849104220360李洁非定向全日制推荐免试合格合格商学院学硕-金融学102849210215092李苗苗非定向全日制全国统考7077139130416272.60688.60商学院学硕-金融学102849106980361凌力非定向全日制推荐免试合格合格商学院学硕-金融学102849210209317刘韫尔非定向全日制全国统考7380131140424258.80682.80商学院学硕-金融学102849102840362陆宇婕非定向全日制推荐免试合格合格商学院学硕-金融学102849210200133祁乾坤非定向全日制全国统考6886111127392260.00652.00商学院学硕-金融学102849210223938强泽平非定向全日制全国统考7083142124419263.20682.20商学院学硕-金融学102849210200134秦宇璇非定向全日制全国统考7378135121407265.00672.00商学院学硕-金融学102849102840365孙慧非定向全日制推荐免试合格合格商学院学硕-金融学102849210200146万玉萍非定向全日制全国统考7386135134428268.40696.40商学院学硕-金融学102849210223292汪凤仪非定向全日制全国统考7576134112397262.60659.60商学院学硕-金融学102849102840366王灿非定向全日制推荐免试合格合格商学院学硕-金融学102849210222055王珩玚非定向全日制全国统考7175135118399254.40653.40商学院学硕-金融学102849102840367王丽敏非定向全日制推荐免试合格合格商学院学硕-金融学102849102840368王镇非定向全日制推荐免试合格合格商学院学硕-金融学102849210209319徐诗雯定向全日制全国统考626396111332229.60561.60少民计划非在职商学院学硕-金融学102849102840369杨璐非定向全日制推荐免试合格合格商学院学硕-金融学102849210209061杨露定向全日制全国统考6363107123356228.60584.60少民计划非在职商学院学硕-金融学102849102840370张沁楠非定向全日制推荐免试合格合格商学院学硕-金融学102849102840371张若璇非定向全日制推荐免试合格合格商学院学硕-金融学102849210217766张翔宇非定向全日制全国统考6680145109400257.00657.00商学院学硕-金融学102849100550372章渊康非定向全日制推荐免试合格合格商学院学硕-金融学102849210200186周蔚非定向全日制全国统考6681135135417274.40691.40商学院学硕-金融学102849102840373周亚捷非定向全日制推荐免试合格合格商学院学硕-金融学102849102840374周洲非定向全日制推荐免试合格合格商学院学硕-产业经济学102849210214459方聪波非定向全日制全国统考7181126126404263.00667.00商学院学硕-产业经济学102849210215695黄金红非定向全日制全国统考7370139124406261.00667.00商学院学硕-产业经济学102849102840375黄梅非定向全日制推荐免试合格合格商学院学硕-产业经济学102849210200204黄文仪非定向全日制全国统考6779121114381263.00644.00商学院学硕-产业经济学102849102840376解素素非定向全日制推荐免试合格合格商学院学硕-产业经济学102849100190377李欣哲非定向全日制推荐免试合格合格商学院学硕-产业经济学102849103840378李阳非定向全日制推荐免试合格合格商学院学硕-产业经济学102849104220379刘思敏非定向全日制推荐免试合格合格商学院学硕-产业经济学102849210223595罗启飞非定向全日制全国统考7374128121396258.00654.00商学院学硕-产业经济学102849210222938秦雅沁非定向全日制全国统考7073119124386266.00652.00商学院学硕-产业经济学102849210200216汪岩非定向全日制全国统考6881130132411262.00673.00商学院学硕-产业经济学102849210222530吴海峰非定向全日制全国统考6683125116390262.00652.00商学院学硕-产业经济学102849106110380杨云祺非定向全日制推荐免试合格合格商学院学硕-产业经济学102849102840381张嘉玲非定向全日制推荐免试合格合格商学院学硕-产业经济学102849105320382郑秋琪非定向全日制推荐免试合格合格商学院学硕-产业经济学102849106980383周雨佳非定向全日制推荐免试合格合格商学院学硕-产业经济学102849100520384周圆非定向全日制推荐免试合格合格商学院学硕-国际贸易学102849210217894陈昆非定向全日制全国统考7557138133403241.20644.20商学院学硕-国际贸易学102849102840385陈瑞雪非定向全日制推荐免试合格合格商学院学硕-国际贸易学102849210200236陈芝草非定向全日制全国统考7585121123404258.60662.60商学院学硕-国际贸易学102849100340386陈孜晗非定向全日制推荐免试合格合格商学院学硕-国际贸易学102849106510387都欣非定向全日制推荐免试合格合格商学院学硕-国际贸易学102849102840388范文璐非定向全日制推荐免试合格合格商学院学硕-国际贸易学102849210200242黄伟非定向全日制全国统考7384128118403217.00620.00商学院学硕-国际贸易学102849102860390金杰非定向全日制推荐免试合格合格商学院学硕-国际贸易学102849100270391康思维非定向全日制推荐免试合格合格商学院学硕-国际贸易学102849210210178凌文煜非定向全日制全国统考7074136131411218.40629.40商学院学硕-国际贸易学102849102860392马明畅非定向全日制推荐免试合格合格商学院学硕-国际贸易学102849210215101裴敏非定向全日制全国统考7577131121404246.60650.60商学院学硕-国际贸易学102849210211404拾曼非定向全日制全国统考6575127130397258.40655.40商学院学硕-国际贸易学102849105320393唐雪非定向全日制推荐免试合格合格商学院学硕-国际贸易学102849210209322王焕智非定向全日制全国统考6982121131403233.80636.80商学院学硕-国际贸易学102849106990394王秀中非定向全日制推荐免试合格合格商学院学硕-国际贸易学102849210200259王源非定向全日制全国统考7374122125394255.20649.20商学院学硕-国际贸易学102849210208870杨艺辛非定向全日制全国统考6267130135394235.60629.60商学院学硕-国际贸易学102849102840395张晓霈非定向全日制推荐免试合格合格商学院学硕-国际贸易学102849102130396张依然非定向全日制推荐免试合格合格商学院学硕-国际贸易学102849104860397赵然非定向全日制推荐免试合格合格商学院学硕-国际贸易学102849102840398赵越非定向全日制推荐免试合格合格支教团计划商学院学硕-国际贸易学102849102840399周诗非定向全日制推荐免试合格合格商学院学硕-数量经济学102849210215699刘志茜非定向全日制全国统考6767138119391279.60670.60商学院学硕-数量经济学102849210223612马靖非定向全日制全国统考6671137116390277.00667.00商学院学硕-数量经济学102849210215985孙珊珊非定向全日制全国统考6881131135415281.60696.60商学院学硕-数量经济学102849210200272孙奕青非定向全日制全国统考7389128141431281.40712.40商学院学硕-数量经济学102849210200273王慧颖非定向全日制全国统考6978141117405282.80687.80商学院学硕-数量经济学102849210200278仲银洁非定向全日制全国统考6979131131410284.20694.20商学院专硕-金融102849210211727鲍晨开定向非全日制全国统考5475113115357249.40606.40商学院专硕-金融102849210221290曹智辉定向非全日制全国统考7170108136385247.60632.60商学院专硕-金融102849210200287戴荣定向非全日制全国统考6070110135375247.20622.20商学院专硕-金融102849210210544丁华能定向非全日制全国统考6062109122353256.80609.80商学院专硕-金融102849210200291董若晨定向非全日制全国统考6468118125375255.40630.40商学院专硕-金融102849210200293付伟定向非全日制全国统考7685133141435267.80702.80商学院专硕-金融102849210200295高倩定向非全日制全国统考607389125347237.60584.60商学院专硕-金融102849210213802韩柯定向非全日制全国统考5673102122353255.60608.60商学院专硕-金融102849210200297何筠定向非全日制全国统考6980127136412262.40674.40商学院专硕-金融102849210214464胡安定向非全日制全国统考5873106139376251.40627.40商学院专硕-金融102849210200299胡春羽定向非全日制全国统考6471122134391254.40645.40商学院专硕-金融102849210222162黄楚光定向非全日制全国统考6772116142397266.00663.00商学院专硕-金融102849210200302黄猛定向非全日制全国统考6767108126368257.40625.40商学院专硕-金融102849210211730黄启铭定向非全日制全国统考6485127135411254.60665.60商学院专硕-金融102849210200304黄文娟定向非全日制全国统考626995106332242.80574.80商学院专硕-金融102849210215700贾蒙琦定向非全日制全国统考5567103115340257.80597.80商学院专硕-金融102849210213418蒋真定向非全日制全国统考637787120347260.20607.20商学院专硕-金融102849210200329路欢定向非全日制全国统考6263121138384261.80645.80商学院专硕-金融102849210200331罗尧定向非全日制全国统考5875113118364248.00612.00商学院专硕-金融102849210200330吕昕洋定向非全日制全国统考6980119133401263.00664.00商学院专硕-金融102849210200338钱广明定向非全日制全国统考656491132352258.00610.00商学院专硕-金融102849210212816沙伶珂定向非全日制全国统考6377126128394256.80650.80商学院专硕-金融102849210210856沈佳斌定向非全日制全国统考6474107132377249.60626.60商学院专硕-金融102849210213804沈星琳定向非全日制全国统考5983112120374254.60628.60商学院专硕-金融102849210210857史波定向非全日制全国统考655387131336257.20593.20商学院专硕-金融102849210200350田晖之定向非全日制全国统考6172121117371238.00609.00商学院专硕-金融102849210200354王姝萱定向非全日制全国统考7476118144412253.60665.60商学院专硕-金融102849210200358邬忞定向非全日制全国统考586687122333232.40565.40商学院专硕-金融102849210221189武威龙定向非全日制全国统考7254104140370257.80627.80商学院专硕-金融102849210211732徐剑波定向非全日制全国统考578388106334261.00595.00商学院专硕-金融102849210200368颜林定向非全日制全国统考6460106127357256.40613.40商学院专硕-金融102849210200371杨凌定向非全日制全国统考6167120134382263.40645.40商学院专硕-金融102849210200382张珂定向非全日制全国统考617796136370253.40623.40商学院专硕-金融102849210200387张云佳定向非全日制全国统考7174122139406257.20663.20商学院专硕-金融102849210200388赵晨凯定向非全日制全国统考6373111124371252.80623.80商学院专硕-金融102849210212466赵健定向非全日制全国统考727588134369248.80617.80商学院专硕-金融102849210200394周皓月定向非全日制全国统考6080121141402255.20657.20商学院专硕-金融102849210200397周艳定向非全日制全国统考6479109128380258.20638.20商学院专硕-国际商务102849103840400常静非定向全日制推荐免试合格合格商学院专硕-国际商务102849210218647陈璐非定向全日制全国统考6881111125385253.40638.40商学院专硕-国际商务102849210214466陈明珠非定向全日制全国统考6482115135396249.80645.80商学院专硕-国际商务102849210217903程南静非定向全日制全国统考707896135379253.40632.40商学院专硕-国际商务102849106100401丁智颖非定向全日制推荐免试合格合格商学院专硕-国际商务102849210217173桂开蕾非定向全日制全国统考6371129129392265.20657.20商学院专硕-国际商务102849210207564郭亚男非定向全日制全国统考7374115111373259.80632.80商学院专硕-国际商务102849210207845蒋智君非定向全日制全国统考6371116121371256.40627.40商学院专硕-国际商务102849104860402李鸿熹非定向全日制推荐免试合格合格商学院专硕-国际商务102849104220403李晓玉非定向全日制推荐免试合格合格商学院专硕-国际商务102849210200411李怡然非定向全日制全国统考6483112116375267.20642.20商学院专硕-国际商务102849210220474李颖华非定向全日制全国统考6768133119387243.40630.40商学院专硕-国际商务102849210208701孟凡璐非定向全日制全国统考6982136116403263.40666.40商学院专硕-国际商务102849210212820孟玉非定向全日制全国统考7173119133396246.20642.20商学院专硕-国际商务102849210217904邱媛非定向全日制全国统考6679119120384256.20640.20商学院专硕-国际商务102849210222057石彦泽非定向全日制全国统考7081120116387268.40655.40商学院专硕-国际商务102849105200404宋紫倩非定向全日制推荐免试合格合格商学院专硕-国际商务102849210218648孙慧非定向全日制全国统考7075118114377258.20635.20商学院专硕-国际商务102849102840405孙雯非定向全日制推荐免试合格合格商学院专硕-国际商务102849210200425许学勤非定向全日制全国统考7680138136430265.80695.80商学院专硕-国际商务102849210223731姚幸非定向全日制全国统考6780126119392259.40651.40商学院专硕-国际商务102849210214772叶碧晴非定向全日制全国统考7087118133408267.40675.40商学院专硕-国际商务102849102840406俞鑫非定向全日制推荐免试合格合格商学院专硕-国际商务102849102840407张柏贤非定向全日制推荐免试合格合格商学院专硕-国际商务102849210214470张婧非定向全日制全国统考6475117124380268.00648.00商学院专硕-国际商务102849100190408郑书臣非定向全日制推荐免试合格合格商学院专硕-国际商务102849210217651朱建彬非定向全日制全国统考6869136111384251.20635.20商学院专硕-国际商务102849210211415朱逸琦非定向全日制全国统考6980123127399265.40664.40商学院专硕-审计102849250204199陈浩定向非全日制管理类联考1646200226203.00429.00商学院专硕-审计102849250204200陈佳欣定向非全日制管理类联考1496600215197.00412.00商学院专硕-审计102849250212609陈砚雯定向非全日制管理类联考1467400220197.50417.50商学院专硕-审计102849250204202程宇定向非全日制管理类联考1467100217192.00409.00商学院专硕-审计102849250204203范硙定向非全日制管理类联考1317300204182.00386.00商学院专硕-审计102849250213922方芳定向非全日制管理类联考1435600199187.00386.00商学院专硕-审计102849250204206高祥婕定向非全日制管理类联考1458300228199.00427.00商学院专硕-审计102849250204208李超凡定向非全日制管理类联考1346500199191.00390.00商学院专硕-审计102849250204209李恒定向非全日制管理类联考1505600206215.00421.00商学院专硕-审计102849250204211李鑫定向非全日制管理类联考1417500216208.00424.00商学院专硕-审计102849250204214刘星定向非全日制管理类联考1357600211175.00386.00商学院专硕-审计102849250204215彭玺宇定向非全日制管理类联考1688200250197.00447.00商学院专硕-审计102849250204218陶艺菲定向非全日制管理类联考1477700224205.00429.00商学院专硕-审计102849250204220王红梅定向非全日制管理类联考1276900196202.00398.00商学院专硕-审计102849250216818王慧定向非全日制管理类联考1337500208211.00419.00商学院专硕-审计102849250213314王洁定向非全日制管理类联考1517800229197.00426.00商学院专硕-审计102849250204222王一阁定向非全日制管理类联考1646400228206.00434.00商学院专硕-审计102849250204224王雨花定向非全日制管理类联考1237300196206.00402.00商学院专硕-审计102849250211148夏杰定向非全日制管理类联考1626400226186.00412.00商学院专硕-审计102849250212967肖烨定向非全日制管理类联考1507900229220.00449.00商学院专硕-审计102849250204226徐沁定向非全日制管理类联考1387400212185.00397.00商学院专硕-审计102849250204227徐叶柯定向非全日制管理类联考1588000238201.00439.00商学院专硕-审计102849250216507姚点定向非全日制管理类联考1466300209196.00405.00商学院专硕-审计102849250204234钟晓玉定向非全日制管理类联考1438100224221.00445.00商学院专硕-审计102849250204236周颖定向非全日制管理类联考1346700201189.00390.00商学院专硕-审计102849250204237朱沈阳定向非全日制管理类联考1316400195191.00386.00商学院专硕-审计102849250204239朱笑男定向非全日制管理类联考1615500216181.00397.00商学院学硕-会计学102849210200475曾诗洁非定向全日制全国统考717913497381221.00602.00商学院学硕-会计学102849102840409曾硕非定向全日制推荐免试合格合格商学院学硕-会计学102849100550410陈紫帆非定向全日制推荐免试合格合格商学院学硕-会计学102849210208397冯静非定向全日制全国统考687713996380223.00603.00商学院学硕-会计学102849102840412李茵之非定向全日制推荐免试合格合格商学院学硕-会计学102849102840413林雨薇非定向全日制推荐免试合格合格商学院学硕-会计学102849210221504刘腾非定向全日制全国统考6985144118416223.00639.00商学院学硕-会计学102849104870414吕明雪非定向全日制推荐免试合格合格商学院学硕-会计学102849102840415马浩云非定向全日制推荐免试合格合格商学院学硕-会计学102849210200459汤瑞强非定向全日制全国统考698314094386221.00607.00商学院学硕-会计学102849102840416汪安园非定向全日制推荐免试合格合格商学院学硕-会计学102849104860417王铷州非定向全日制推荐免试合格合格商学院学硕-会计学102849106510418王雯妍非定向全日制推荐免试合格合格商学院学硕-会计学102849106510419王逸超非定向全日制推荐免试合格合格商学院学硕-会计学102849102840420吴梦瑶非定向全日制推荐免试合格合格商学院学硕-会计学102849102840421吴卓倩非定向全日制推荐免试合格合格商学院学硕-会计学102849210216984徐正凤非定向全日制全国统考6980127110386229.00615.00商学院学硕-会计学102849102840422杨玉洁非定向全日制推荐免试合格合格商学院学硕-会计学102849102130423杨子江非定向全日制推荐免试合格合格商学院学硕-会计学102849102840424赵逸如非定向全日制推荐免试合格合格商学院学硕-会计学102849210213808周晓宇非定向全日制全国统考6873114138393229.00622.00商学院学硕-会计学102849210216351朱媛媛非定向全日制全国统考718414390388216.00604.00商学院学硕-企业管理102849104220425曾子心非定向全日制推荐免试合格合格商学院学硕-企业管理102849102840426陈嘉羽非定向全日制推荐免试合格合格商学院学硕-企业管理102849102840427陈睿非定向全日制推荐免试合格合格商学院学硕-企业管理102849102840428陈润杰非定向全日制推荐免试合格合格支教团计划商学院学硕-企业管理102849107300429陈晓涵非定向全日制推荐免试合格合格商学院学硕-企业管理102849210209331程鹤非定向全日制全国统考7171128126396233.20629.20商学院学硕-企业管理102849210217124程惠非定向全日制全国统考6974146123412232.20644.20商学院学硕-企业管理102849102840430崔文韬非定向全日制推荐免试合格合格商学院学硕-企业管理102849102840431崔一社非定向全日制推荐免试合格合格商学院学硕-企业管理102849102840432葛晓杉非定向全日制推荐免试合格合格商学院学硕-企业管理102849210219968顾潘婷非定向全日制全国统考7270131126399250.60649.60商学院学硕-企业管理102849102840433顾歆婷非定向全日制推荐免试合格合格商学院学硕-企业管理102849210220882贺玉环非定向全日制全国统考6882139132421238.00659.00商学院学硕-企业管理102849104870434胡尹仪非定向全日制推荐免试合格合格商学院学硕-企业管理102849210223294贾岩非定向全日制全国统考7078145107400267.40667.40商学院学硕-企业管理102849102840435姜凯杰非定向全日制推荐免试合格合格商学院学硕-企业管理102849210208975姜思宇定向全日制全国统考6247103119331234.40565.40少民计划非在职商学院学硕-企业管理102849102840436蒋旭婷非定向全日制推荐免试合格合格商学院学硕-企业管理102849106510437雷婷非定向全日制推荐免试合格合格商学院学硕-企业管理102849210222949李琰非定向全日制全国统考7170125126392264.20656.20商学院学硕-企业管理102849102840438李怡欣非定向全日制推荐免试合格合格商学院学硕-企业管理102849101830439李悦琪非定向全日制推荐免试合格合格。
2019年艺术学院拟录取名单考生编号姓名考试方式拟录取类别拟录取学院拟录取专业初试成绩复试成绩综合成绩学习方式102879211102068范心悦全国统考非定向艺术学院新闻与传播386.00249.7080.22全日制102879211102086章潼全国统考非定向艺术学院新闻与传播390.00239.0078.83全日制102879211109282胡莹全国统考非定向艺术学院新闻与传播379.00238.0077.57全日制102879211102081杨洋全国统考定向艺术学院新闻与传播368.00243.3077.35非全日制102879211110169任知微全国统考非定向艺术学院新闻与传播372.00231.2075.73全日制102879211107558方圆圆全国统考非定向艺术学院新闻与传播372.00228.5075.28全日制102879211107246黄芬全国统考非定向艺术学院新闻与传播391.00214.5074.85全日制102879211102072马思雅全国统考非定向艺术学院新闻与传播362.00228.7074.32全日制102879211109781谭雪年全国统考非定向艺术学院新闻与传播373.00215.3073.18全日制102879211107290许娟全国统考非定向艺术学院新闻与传播363.00217.3072.52全日制102879211108712常靖雪全国统考非定向艺术学院音乐学353.00251.6777.24全日制102879211103365陆颖珊全国统考非定向艺术学院广播电视艺术学385.00252.0080.50全日制102879211108413王一凡全国统考非定向艺术学院广播电视艺术学393.00239.7079.25全日制102879211107291马建刚全国统考非定向艺术学院广播电视艺术学392.00221.5076.12全日制102879211105004孙茜炀全国统考非定向艺术学院广播电视艺术学375.00223.3074.72全日制102879211108229张恬全国统考非定向艺术学院广播电视艺术学361.00216.5072.18全日制102879211102108赵书哲全国统考非定向艺术学院美术学408.00258.0083.80全日制102879211102107张玥全国统考非定向艺术学院美术学394.00245.5080.32全日制102879211104049赵慧鑫全国统考非定向艺术学院美术学390.00239.2878.88全日制102879211105801凌悦全国统考非定向艺术学院美术学379.00240.6478.01全日制102879211102104景波全国统考非定向艺术学院美术学358.00245.5776.73全日制102879211107213唐睿泽全国统考非定向艺术学院美术学366.00237.9376.26全日制102879211103561于泳博全国统考非定向艺术学院设计学393.00254.0081.63全日制102879211102113马瑛全国统考非定向艺术学院设计学373.00250.7079.08全日制2019年04月03日。
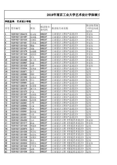
2019年南京工业大学艺术设计学院硕士研究生拟录取学院盖章:艺术设计学院序号考生编号姓名拟录取专业代码拟录取专业名称拟录取类别(非定向或定向)1102919211204410时亚妮085237工业设计工程(产品设计)非定向2102919211201087朱思邈085237工业设计工程(产品设计)非定向3102919211201033何梦恬085237工业设计工程(产品设计)非定向4102919211201061苏惠斌085237工业设计工程(产品设计)非定向5102919211201022戴越085237工业设计工程(产品设计)非定向6102919211201047刘敏085237工业设计工程(产品设计)非定向7102919211201079张毅鹏085237工业设计工程(产品设计)非定向8102919211201048刘伟伟085237工业设计工程(产品设计)非定向9102919211201041雷杰085237工业设计工程(产品设计)非定向10102919211203368张子淳085237工业设计工程(产品设计)非定向11102919211203867郭健085237工业设计工程(产品设计)非定向12102919211201025丰晔085237工业设计工程(产品设计)非定向13102919211203534朱梦甜085237工业设计工程(产品设计)定向14102919211203871张宇085237工业设计工程(产品设计)定向15102919211205980胡娟085237工业设计工程(产品设计)定向16102919211201060史其可085237工业设计工程(产品设计)定向17102919211203015许巧085237工业设计工程(产品设计)定向18102919211205981孙熙085237工业设计工程(产品设计)定向19102919211206318张蒙蒙085237工业设计工程(产品设计)定向20102919211201057潘宇杰085237工业设计工程(产品设计)定向21102919211201070严杰085237工业设计工程(产品设计)定向22102919211201067吴珠珠085237工业设计工程(产品设计)定向23102919211201056倪思远085237工业设计工程(产品设计)定向24102919211202803张松林085237工业设计工程(产品设计)定向25102919211202981王辉085237工业设计工程(产品设计)定向26102919211205982王蓉085237工业设计工程(产品设计)定向27102919211205991周泽085237工业设计工程(产品设计)定向28102919211205991陈伟强085237工业设计工程(产品设计)定向29102919211205991卞雳085237工业设计工程(产品设计)定向30102919211201051罗益浩085237工业设计工程(产品设计)定向31102919211204300马卓085237工业设计工程(环境艺术设计)非定向32102919211201017陈强085237工业设计工程(环境艺术设计)非定向33102919211201045李缘港085237工业设计工程(环境艺术设计)定向34102919211203870施曼085237工业设计工程(环境艺术设计)定向35102919211201035胡苏皖085237工业设计工程(环境艺术设计)定向36102919211201083周春凤085237工业设计工程(环境艺术设计)定向37102919211201038金慧萍085237工业设计工程(环境艺术设计)定向38102919211203532蒋志085237工业设计工程(环境艺术设计)定向39102919211203533周树杰085237工业设计工程(视觉传达设计)非定向40102919211201049卢春丞085237工业设计工程(视觉传达设计)定向41102919211203051孟赫085237工业设计工程(视觉传达设计)定向42102919211201036黄灿085237工业设计工程(视觉传达设计)定向43102919211201063田笑085237工业设计工程(视觉传达设计)定向44102919211201078张坤085237工业设计工程(视觉传达设计)定向45102919211201032郭旖璇085237工业设计工程(艺术与科技)非定向46102919211201032王唯085237工业设计工程(艺术与科技)非定向47102919211201042李梦兰085237工业设计工程(艺术与科技)非定向48102919211201020陈琢085237工业设计工程(艺术与科技)定向49102919211201086朱常生085237工业设计工程(艺术与科技)定向50102919211201040赖顺发085237工业设计工程(艺术与科技)定向51102919211201073杨榕085237工业设计工程(艺术与科技)定向52102919211203369潘心怡135108艺术硕士(产品设计)非定向53102919211201125张珈铭135108艺术硕士(环境艺术设计)非定向54102919211201089陈济洲135108艺术硕士(环境艺术设计)非定向55102919211203052张宇轩135108艺术硕士(环境艺术设计)定向56102919211202711李钰莹135108艺术硕士(视觉传达设计)非定向57102919211201111刘威135108艺术硕士(视觉传达设计)非定向58102919211201016鲍猛085237工业设计工程(艺术与科技)非定向59102919211201013欧阳雪珂0813Z1环境设计及其理论(景观设计及其理论)非定向60102919211201011罗蕾0813Z1环境设计及其理论(景观设计及其理论)非定向61102919211201014祁琳清085237工业设计工程(艺术与科技)定向62102919101180105邸峰0813Z1环境设计及其理论非定向63102919102910115沈萍0813Z1环境设计及其理论非定向64102919102910139许晴0813Z1环境设计及其理论非定向65102919104100106陈亚孟0813Z1环境设计及其理论非定向66102919102910037方雯0813Z1环境设计及其理论非定向67102919102910107史倩云0813Z1环境设计及其理论非定向68102919100760120边一庭135108艺术硕士非定向69102919100750109段元胜135108艺术硕士非定向70102919101650137彭佳雪135108艺术硕士非定向71102919102200119严佳慧135108艺术硕士非定向72102919102200142陈晨135108艺术硕士非定向73102919104240141黄竟芳135108艺术硕士非定向74102919102910111王志铖0802Z1工业设计及其理论非定向硕士研究生拟录取名单拟录取学习形式(全日制或非全日制)初试总分复试总分综合成绩备注(推免、单考、一志愿调剂生、大学生士兵计划)全日制394248642全日制388247635全日制379257 636全日制378243 621全日制377245 622全日制375242 617全日制375248 623全日制374240 614全日制371248 619全日制371264 635全日制364262 626全日制358260 618非全日制370230600 调至非全日制非全日制365228593 调至非全日制非全日制364243607 调至非全日制非全日制355239594 调至非全日制非全日制354237591 调至非全日制非全日制351241592 调至非全日制非全日制351226577 调至非全日制非全日制347226573调至非全日制非全日制347236583调至非全日制非全日制341217558调至非全日制非全日制337216553调至非全日制非全日制337211548调至非全日制非全日制332207539调至非全日制非全日制311200511调至非全日制非全日制309212521调至非全日制非全日制304208512调至非全日制非全日制285213498调至非全日制非全日制313209522全日制374255629全日制362259621非全日制363214577调至非全日制非全日制347210557调至非全日制非全日制344181525调至非全日制非全日制338218556调至非全日制非全日制318182500调至非全日制非全日制310186496调至非全日制全日制409256665非全日制366224590调至非全日制非全日制344236580调至非全日制非全日制323240563调至非全日制非全日制310246556调至非全日制非全日制287248535调至非全日制全日制398260658全日制381251632全日制380246626非全日制370241611调至非全日制非全日制353229582调至非全日制非全日制342248590调至非全日制非全日制324249573调至非全日制全日制376252628全日制379255634全日制371236607非全日制344178522调至非全日制全日制379276655全日制372264636全日制355242597大学生士兵计划全日制368225593全日制362273635非全日制352236588调至非全日制全日制00 推免全日制00 推免全日制00 推免全日制00 推免全日制00 推免全日制00 推免全日制00 推免全日制00 推免全日制00 推免全日制00 推免全日制00 推免全日制00 推免全日制00 推免2019年 学院硕士研究生调剂拟录取名单学院盖章:剂拟录取名单。
设计与艺术学院2019年普通招考博士研究生拟录取名单(含补录取)序号准考证号姓名报考学院报考专业研究方向初试总成绩复试总成绩总成绩备注一1107089201900132魏婷设计与艺术学院设计学工业设计工程与技术201.00 274.58 230.43 拟录取2107089201900128赵洋设计与艺术学院设计学区域环境与丝路文化遗产保护198.75 277.42 230.22 拟录取3107089201900177彭国华设计与艺术学院设计学区域环境与丝路文化遗产保护192.75 259.00 219.25 不录取4107089201900178赵敏婷设计与艺术学院设计学视觉艺术与媒体设计176.25 279.83 217.68 拟录取5107089201900176陈红娟设计与艺术学院设计学工业设计工程与技术191.25 257.17 217.62 拟录取6107089201900172冯硕设计与艺术学院设计学视觉艺术与媒体设计185.25 254.00 212.75 不录取7107089201900155刘音设计与艺术学院设计学工业设计工程与技术206.25 215.75 210.05 不录取8107089201900153刘倩设计与艺术学院设计学设计历史与理论研究203.25 216.92 208.72 拟录取9107089201900171齐秀芝设计与艺术学院设计学工业设计工程与技术196.50 224.08 207.53 拟录取10107089201900138刘利轩设计与艺术学院设计学设计历史与理论研究169.50 258.42 205.07 拟录取11107089201900150宋宁设计与艺术学院设计学工业设计工程与技术214.50 190.92 205.07 不录取12107089201900143蔡昕蕴设计与艺术学院设计学区域环境与丝路文化遗产保护184.50 209.75 194.60 不录取13107089201900131赵闯设计与艺术学院设计学工业设计工程与技术191.25 172.50 183.75 不录取14107089201900158霍琛设计与艺术学院设计学设计历史与理论研究200.25 158.75 183.65 不录取15107089201900135张琛设计与艺术学院设计学工业设计工程与技术201.75 149.50 180.85 不录取16107089201900159刘祎设计与艺术学院设计学设计历史与理论研究198.00 150.83 179.13 不录取17107089201900157文魁设计与艺术学院设计学视觉艺术与媒体设计184.50 167.67 177.77 不录取18107089201900142尚璞设计与艺术学院设计学设计历史与理论研究180.00 168.08 175.23 不录取19107089201900160任自林设计与艺术学院设计学设计历史与理论研究180.00 158.92 171.57 不录取20107089201900156邹玲设计与艺术学院设计学工业设计工程与技术184.50 140.33 166.83 不录取21107089201900169孟宇设计与艺术学院设计学视觉艺术与媒体设计196.50 0.00 117.90 缺考22107089201900165胡强设计与艺术学院设计学区域环境与丝路文化遗产保护194.25 0.00 116.55 缺考。