2017年第三届3S杯全国大学生物联网技术与应用三创大赛
- 格式:doc
- 大小:530.50 KB
- 文档页数:17
2017国赛全国职业院校技能大赛网络搭建与应用竞赛2017年全国职业院校技能大赛网络搭建与应用竞赛(总分1000分)赛题说明一、竞赛内容分布“网络搭建与应用”竞赛共分二个部分,其中:第一部分:网络搭建及安全部署项目第二部分:服务器配置及应用项目二、竞赛注意事项(1)禁止携带和使用移动存储设备、计算器、通信工具及参考资料。
(2)请根据大赛所提供的比赛环境,检查所列的硬件设备、软件清单、材料清单是否齐全,计算机设备是否能正常使用。
(3)本试卷共有两个部分。
请选手仔细阅读比赛试卷,按照试卷要求完成各项操作。
(4)操作过程中,需要及时保存设备配置。
比赛结束后,所有设备保持运行状态,评判以最后的硬件连接和配置为最终结果。
(5)比赛完成后,比赛设备、软件和赛题请保留在座位上,禁止将比赛所用的所有物品(包括试卷和草纸)带离赛场。
(6)禁止在纸质资料上填写与竞赛无关的标记,如违反规定,可视为0分。
(7)与比赛相关的工具软件放置在每台主机的D盘soft文件夹中。
项目简介:某集团公司原在国内建立了总部,后在俄罗斯地区建立了分部。
总部设有行政、营销、财务与法务、技术等4个部门,统一进行IP及业务资源的规划和分配,网络采用BGP、OSPF和RIP路由协议。
公司规模在2017年快速发展,业务数据量和公司访问量增长巨大。
为了更好管理数据,提供服务,集团决定建立自己的小型数据中心及业务服务平台,以达到快速、可靠交换数据,以及增强业务部署弹性的目的。
集团总部及俄罗斯地区分部的网络拓扑结构如下图所示。
其中一台S4600交换机编号为SW-3,用于实现终端高速接入;两台CS6200交换机VSF虚拟化后编号为SW-Core,作为总部的核心交换机;一台DCFW-1800作为总部的内网防火墙;另一台DCFW-1800作为总部&分部的外网防火墙,存放于ISP机房;一台DCR-2600路由器编号为RT1,作为总部的核心路由器;另一台DCR-2600路由器编号为RT2,作为分部路由器;一台DCWS-6028作为分部机构的有线无线智能一体化控制器,编号为DCWS,通过与WL8200-I2高性能企业级AP配合实现分部无线覆盖。
2021年3S杯全国大学生物联网三创大赛中国通信学会、江苏省物联网技术与应用协同创新中心____年3S杯全国大学生物联网技术与应用“三创”大赛通知为了贯彻落实国家互联网+战略行动计划的有关精神,积极打造我国物联网技术与应用领域“大众创业、万众创新”的良好环境,引导全国大学生围绕互联网+行动计划开展信息技术与产业应用协同创新,运用物联网的技术思想创新研究物联网智慧服务系统(Smart Service System ,简称3S)关键技术和服务应用,以及“互联网+”的解决方案,激发大学生的创新意识和创业精神,重点培养大学生在物联网和互联网+领域发现问题、提出问题和解决问题的能力,特面向全国在读全日制研究生和本科生,举办3S杯全国大学生物联网技术与应用“三创(创意设计、创新技术、创业方案)”大赛。
大赛网址:/ 一、组织机构主办单位中国通信学会江苏省物联网技术与应用协同创新中心承办单位中国通信学会物联网委员会教育部泛在网络健康服务系统工程研究中心江苏省无线通信重点实验室南京邮电大学国家高校学生科技创业实习基地南京邮电大学物联网国家大学科技园高级顾问赵厚麟国际电信联盟(ITU)秘书长朱高峰中国工程院院士、中国通信学会名誉理事长宋直元原邮电部副部长、中国通信学会名誉理事长邬贺铨中国工程院院士、中国通信学会副理事长张乃通中国工程院院士、哈尔滨工业大学教授1柴天佑中国工程院院士、东北大学教授陈国良中国科学院院士、中国科技大学教授于全中国工程院院士、解放军某部研究员尹浩中国科学院院士、南京邮电大学教授王广基中国工程院院士、中国药科大学教授张新生中国通信学会副理事长兼秘书长杨震中国通信学会副理事长、南京邮电大学校长专家委员会主任: 朱洪波南京邮电大学副校长中国通信学会物联网委员会主任委员江苏省物联网技术与应用协同创新中心主任副主任: 张英海中国通信学会学术工作委员会主任委员北京邮电大学学术委员会主任、原副校长林金朝重庆邮电大学副校长范九伦西安邮电大学副校长孙玲玲杭州电子科技大学副校长牛志升清华大学信息学院副院长李安民中国电信创新业务事业部总经理乔辉中国移动物联网公司总经理田文科中国联通集团客户部总经理李文民中国铁塔商务合作部总经理委员: 马建国天津大学电子信息工程学院院长王文博北京邮电大学研究生院常务副院长王亚宏大唐电信科技产业集团计划投资部副总经理王丽宏国家计算机网络与信息安全管理中心副总工程师王良勇东北大学流程工业综合自动化国家重点实验室主任助理王承祥山东大学信息科学与工程学院副院长王祖林北京航空航天大学电子信息工程学院院长韦岗华南理工大学国家移动超声探测工程技术研究中心主任毛军发上海交通大学电子与信息学院院长2仇洪冰桂林电子科技大学通信学院院长孔善右普天高新科技产业有限公司总裁包志华南通大学原副校长兰巨龙解放军信息工程大学国家数字交换系统工程技术研究中心教授刘飞江南大学物联网工程学院院长刘建明国家电网公司科技部正局级调研员刘睿江涛安建平孙怡孙晓颖李卫平杨旸吴启晖冷甦鹏汪一鸣沈连丰宋令阳宋朝晖张宝贤张钦宇张海林张朝阳陈少平陈后金陈如山周建江郑志彬胡宏林胡剑中国信息通信研究院泰尔数据研究中心主任华中科技大学电子信息与通信学院教授北京理工大学信息与电子学院党委书记大连理工大学电子信息与电气工程学部信息与通信工程学院院长吉林大学通信工程学院副院长中国科学技术大学信息科学技术学院院长上海科技大学信息科学与技术学院教授解放军理工大学科研部组织计划处处长电子科技大学通信与信息工程学院副院长苏州大学交通工程研究中心主任东南大学移动通信国家重点实验室教授北京大学信息科学技术学院研究员国家自然科学基金委信息学部一处主任中国科学院研究生院泛在与传感网研究中心副主任哈尔滨工业大学深圳研究生院电子与信息工程学院院长西安电子科技大学通信工程学院院长浙江大学信息与通信工程研究所所长中南民族大学电子信息工程学院院长北京交通大学电子信息工程学院院长南京理工大学电子工程与光电技术学院副院长南京航空航天大学电子信息工程学院院长华为技术有限公司战略部副部长中科院上海微系统所研究员中兴通讯股份有限公司副总裁3施毅南京大学电子科学与工程学院院长洪文中科院电子学研究所所长助理姚力北京师范大学信息科学与技术学院院长钱航工信部科技司高技术处处长殷月明上海贝尔股份有限公司副总裁黄标国家无线电监测中心副总工程师兼频谱工程处处长组委会主任:副主任:隆克平续合元彭超蒋微波程崇虎潘炜宋彤朱洪波张英海王广基曾耘刘海涛续合元王丽宏蒋新沙敏朱艳蒋微波何春银祁晓荔程崇虎冉斌丁恩杰北京科技大学计算机与通信工程学院院长中国信息通信研究院通信标准研究所总工程师人民邮电报社信息产业网常务副总裁中国电子科技集团第14研究所所长助理南京邮电大学通信与信息工程学院院长西南交通大学信息科学与技术学院院长中国通信学会副秘书长南京邮电大学副校长北京邮电大学学术委员会主任、原副校长中国工程院院士、中国药科大学原副校长中国电子科技集团公司第五十五研究所党委书记无锡物联网产业研究院院长中国信息通信研究院通信标准研究所总工程师国家计算机网络与信息安全管理中心副总工程师中科院南京土壤所副所长南京三宝集团董事长南京农业大学农学院院长中电14所国睿集团公司副总经理江苏省环保厅生态环境监控中心主任南京朗坤软件有限公司总裁南京邮电大学通信与信息工程学院院长东南大学物联网应用交通中心主任中国矿业大学物联网中心常务副主任4杨波南京市经信委电子信息产业处处长秘书长: 时光中国通信学会学术工作部主任张登银南京邮电大学物联网国家大学科技园管委会副主任副秘书长: 杨龙祥江苏省物联网技术与应用协同创新中心秘书长张丛生江苏省物联网技术与应用协同创新中心常务副秘书长赵夙中国通信学会物联网委员会执行副秘书长大赛秘书处:南京邮电大学通信与信息工程学院南京邮电大学物联网研究院二、参赛项目内容与要求参赛项目的重点是培养大学生在物联网和互联网+领域发现问题、提出问题和解决问题的能力,用物联网的技术思想提出如何实现互联网+的解决方案,创新研究物联网智慧服务系统(3S)的关键技术和应用产品。
2019年3S杯全国大学生物联网技术与应用“三创”大赛资格审查情况及夏令营活动事项公告各参赛队:由中国通信学会和中国电子学会联合主办的第五届3S杯全国大学生物联网技术与应用“三创”大赛已完成项目资格审查和企业专区项目立项评审工作。
现将通过资格审查和获得企业专区立项资助项目公告如下。
未获企业专区立项的项目,已调整到自由申报类项目参赛(具体名单详见附件)。
为进一步提高项目质量,促进大学生的研发能力和学术交流,使得参赛团队的项目更具针对性和应用性,经大赛组委会研究决定,拟于8月11日-8月20日开展大赛夏令营活动。
夏令营期间将开展学术讲座、企业参观、研发指导等活动。
具体参加夏令营的参赛队伍将于近期通知,请各项目组保持通讯畅通。
注:已通过资格审核的项目请于9月15日之前提交项目成果并参加初赛评审。
未报名项目仍可凭项目成果于9月15日之前直接报名参加初赛评审。
大赛组委会2019.7.14附件一:附件二:大赛夏令营(南京)主办单位:中国通信学会物联网委员会、中国电子学会通信分会承办单位:国家大学生创业实习基地、联通物联网有限责任公司、南京泰通科技股份有限公司、南京华脉科技股份有限公司、南京物联传感技术有限公司、深圳宏电技术股份有限公司、南京物联网产业联盟、南京邮电大学物联网研究院等举办地点:南京主营区:南京邮电大学物联网国家大学科技园区分营区:联通物联网有限责任公司、南京泰通科技股份有限公司、南京华脉科技股份有限公司、南京物联传感技术有限公司等活动时间:8月11日-8月20日活动规模:100人左右住宿安排:第一阶段2019年8月11日-14日,入住南京凤凰环球星程酒店第二阶段2019年8月15日-20日,入住各营区安排酒店大赛夏令营详细议程安排:(1)大赛开营仪式(5)创业政策辅导(6)成果与知识产权对接注:成果与知识产权对接活动结束后,各参赛学生队伍入住各分营区参加项目创新创业培训指导。
(7)分营区创新创业培训指导附件三:回执。
2017年第三届3S杯全国大学生物联网技术与应用“三创”大赛
初赛评审结果公告
10月18日,2017年第三届3S杯全国大学生物联网技术与应用“三创”大赛组委会遵照大赛通知的有关规定,组织45名专家按照评审的办法和程序,坚持客观、公平、公正、择优的原则,对立项初赛项目进行了评审。
现将初赛评审结果公告如下:截止大赛规定之日,本次初赛共收到项目成果 463项。
经审查,有330项完成《立项协议》要求的任务,确定给予立项经费资助并进入初赛评审(项目清单见附件1、2、3)。
根据初赛专家评审意见,经大赛组委会研究批准,有 165个项目列为决赛入围项目(项目清单见附件2、3)。
其中,遴选出80项优秀项目参加现场决赛(项目清单见附件3)。
现场决赛的具体时间、地点另行通知。
现予以公告。
附件一:立项经费资助项目(共计165项)
附件二:立项经费资助/决赛入围项目(共计85项)
附件三:立项经费资助/入围现场决赛优秀项目(共计80项)。
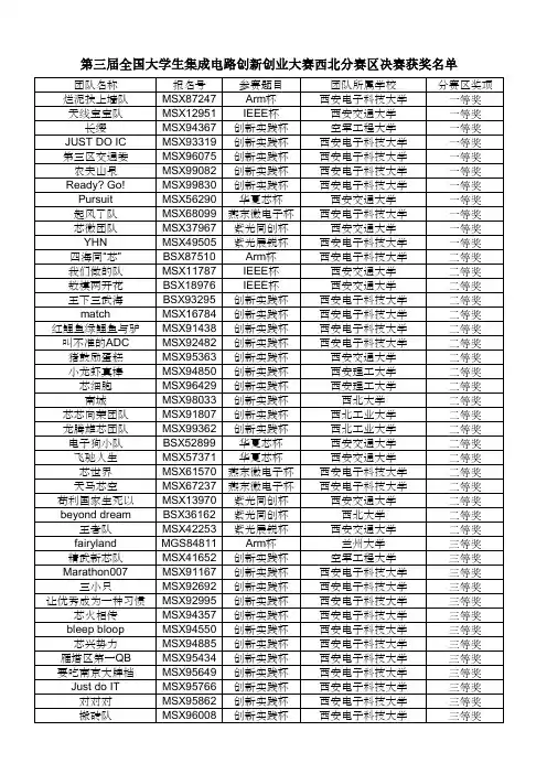
第二届3S杯全国大学生物联网技术与应用“三创”大赛
专家评审决议
20XX年5月16日,第二届3S杯全国大学生物联网技术与应用“三创”大赛现场决赛在南京邮电大学物联网国家大学科技园举行。
根据《20XX年3S杯全国大学生物联网技术与应用“三创”大赛通知》有关规定,大赛组委会邀请55名中国通信学会物联网委员会和江苏省物联网技术与应用协同创新中心的专家组成现场决赛专家评审组。
按照评审办法和程序,坚持客观、公平、公正、择优的原则,75项参加现场决赛的项目(创意设计11项、创新技术57项、创业方案7项)分4个评审组开展评审工作。
根据各专家小组评审推荐,经大赛评审委员会研究决定,评审结果如下(相同等级项目按立项编号排序,排名不分先后):
1 / 12
一、特等奖(空缺)
二、一等奖(23项)
2 / 12
三、二等奖(52项)
3 / 12
4 / 12
5 / 12
6 / 12
7 / 12
8 / 12
9 / 12
10 / 12
11 / 12
12 / 12。
2019年3S杯全国大学生物联网技术与应用“三创”大赛资格审查情况及夏令营活动事项公告各参赛队:由中国通信学会和中国电子学会联合主办的第五届3S杯全国大学生物联网技术与应用“三创”大赛已完成项目资格审查和企业专区项目立项评审工作。
现将通过资格审查和获得企业专区立项资助项目公告如下。
未获企业专区立项的项目,已调整到自由申报类项目参赛(具体名单详见附件)。
为进一步提高项目质量,促进大学生的研发能力和学术交流,使得参赛团队的项目更具针对性和应用性,经大赛组委会研究决定,拟于8月11日-8月20日开展大赛夏令营活动。
夏令营期间将开展学术讲座、企业参观、研发指导等活动。
具体参加夏令营的参赛队伍将于近期通知,请各项目组保持通讯畅通。
注:已通过资格审核的项目请于9月15日之前提交项目成果并参加初赛评审。
未报名项目仍可凭项目成果于9月15日之前直接报名参加初赛评审。
大赛组委会2019.7.14附件一:附件二:大赛夏令营(南京)主办单位:中国通信学会物联网委员会、中国电子学会通信分会承办单位:国家大学生创业实习基地、联通物联网有限责任公司、南京泰通科技股份有限公司、南京华脉科技股份有限公司、南京物联传感技术有限公司、深圳宏电技术股份有限公司、南京物联网产业联盟、南京邮电大学物联网研究院等举办地点:南京主营区:南京邮电大学物联网国家大学科技园区分营区:联通物联网有限责任公司、南京泰通科技股份有限公司、南京华脉科技股份有限公司、南京物联传感技术有限公司等活动时间:8月11日-8月20日活动规模:100人左右住宿安排:第一阶段2019年8月11日-14日,入住南京凤凰环球星程酒店第二阶段2019年8月15日-20日,入住各营区安排酒店大赛夏令营详细议程安排:(1)大赛开营仪式(5)创业政策辅导(6)成果与知识产权对接注:成果与知识产权对接活动结束后,各参赛学生队伍入住各分营区参加项目创新创业培训指导。
(7)分营区创新创业培训指导附件三:回执。
项目编号:16B3S杯全国大学生物联网技术与应用“三创”大赛创新技术项目立项协议书甲方:江苏省物联网技术与应用协同创新中心乙方:(项目负责人)鉴于乙方向甲方申请项目的立项和资助,按照《2016年3S杯全国大学生物联网技术与应用“三创”大赛通知》的有关规定,甲乙双方订立如下协议。
协议中需要乙方填写的内容,乙方应逐条认真填写,表达要明确、严谨,字迹要清楚,且与项目申报书的内容保持一致,并按照专家评审意见修订完善。
一、项目基本信息创新目标与内容(围绕物联网技术与应用进行创新研究与设计的目的和意义、内容和技术、应用和前景)三、技术方案与指标(包括:问题分析、技术方案、创新设计、关键技术、技术指标、实施计划、应用场景等)四、创新成果与形式(要求明确项目完成时需要提交的成果形式,包括:项目技术报告,可运行的创新成果演示系统一一硬件或软件)五、成果提交时间提交项目成果的截止时间为2016年4月20日。
逾期不交者视为自动放弃。
成果具体要求如下:1、可演示的系统1套;2、技术报告1份;3、程序源代码及软件说明书1份;六、立项资助经费及使用1、资助金额:元人民币2、使用方法:70%为参赛者的设计或研发经费,30%为教师指导费。
3、发放方式:提交的参赛项目成果经初赛评审专家组认定符合协议书任务要求后,一次性发放立项资助经费并颁发参赛证书。
七、法律责任参赛者如发生下列行为则视为违约,将自动丧失参赛权利,并承担相应法律责任和赔偿主办方由此遭受的一切经济损失:1)违背相关法律、法规;2)参赛项目涉嫌作弊行为,侵犯他人著作权、商标权、肖像权、隐私权、姓名权或其他合法权益;3)提交的作品不健康或包含虚假信息;4)已参加其他比赛并获奖的项目。
八、其他1、本协议一式贰份,甲方、乙方各持一份。
2、本协议自双方盖章或签字之日起生效。
3、如协议执行过程中遇有自然灾害、重大政策变化等不可抗拒因素,影响协议如期履行的,由双方协商处理。
甲方:江苏省物联网技术与应用协同创新中心乙方:项目负责人(盖章)(签字)20 年月日20 年月日。
2018年第四届3S杯全国大学生物联网技术与应用“三创”大赛
初赛评审结果公告
7月21日,2018年第四届3S杯全国大学生物联网技术与应用“三创”大赛组委会按照大赛通知的有关规定,组织78名专家按照评审的办法和程序,坚持客观、公平、公正、择优的原则,对立项项目进行了初赛评审。
现将初赛评审结果公示如下:截止大赛规定之日,本次初赛共收到项目成果 478项。
经审查,有450项完成《立项协议》要求的任务,决定给予立项经费继续资助并进入初赛评审。
根据初赛专家评审意见,经大赛组委会研究决定,共有 151个项目获奖,其中,遴选出76项优秀项目参加现场决赛(具体名单见附件1,2,3)。
现场决赛的具体时间、地点另行通知。
现予以公告。
大赛组委会
二〇一八年七月
附件一:现场决赛项目(共计76项)
附件二:三等奖获奖项目(共计75项)
附件三:立项经费继续资助项目(共计299项)。
三创赛BUC策划书优秀案例一、项目背景三创赛(亦称全国大学生创新创业综合能力大赛)是由中国教育部主办的全国性创新创业大赛,旨在通过创新创业实践培养大学生的综合能力和创新创业精神。
三创赛涵盖了创新创业项目、创新研究项目和创业实践项目三个类别,是对大学生全面素质培养的一次全面考核。
本案例中,我们将重点介绍优秀的三创赛BUC(北京联合大学)策划书案例。
BUC团队致力于开发一种全新的智能家居产品,旨在提升人们的居家生活质量,实现家庭环境的智能化。
本案例将围绕项目背景、项目目标、项目计划和预算、市场分析以及项目展望等方面进行说明和分析。
二、项目目标BUC团队的项目目标是研发一款功能全面、易于使用、具有智能化控制系统的智能家居产品。
该产品将通过连接家中各种设备和传感器,实现居家环境的智能化管理与控制,提升用户的生活品质。
项目目标主要包括以下几点:1.开发一款用户友好的智能家居设备,提供便捷的操作界面和智能化的控制功能;2.实现家庭设备的远程控制和监控,为用户带来更加安全和便利的居家体验;3.提供智能化的能源管理系统,帮助用户节约能源、降低能源消耗;4.通过数据分析和智能算法优化家庭环境,提高居住舒适度。
三、项目计划和预算1. 项目计划BUC团队的项目计划主要包括以下几个阶段:阶段一:需求分析和技术调研完成市场调研,了解智能家居产品的需求和竞争状况;调研相关技术,确定项目实施的技术方案;跟踪行业动态,掌握市场趋势和新兴技术。
阶段二:产品设计和开发进行需求分析,确定产品的功能和性能要求;进行产品设计,包括外观设计和用户界面设计;进行软硬件开发,实现产品的核心功能;进行测试和改进,确保产品的稳定性和可靠性。
阶段三:市场推广和销售制定市场推广策略,推出产品并进行宣传;寻找合作伙伴,扩大产品销售渠道;进行用户培训和售后支持,提供优质的用户服务;进行市场调研,了解用户反馈和市场需求。
2. 项目预算BUC团队的项目预算主要包括以下几个方面:人力成本:包括项目团队的薪酬和培训成本;设备和材料成本:包括开发和制造智能家居设备所需的设备和材料费用;软件开发和测试成本:包括开发和测试软件的成本;市场推广和销售费用:包括产品宣传、用户培训等费用;日常运营费用:包括办公场地租金、水电费等费用。
2019年3S杯全国大学生物联网技术与应用“三创”大赛资格审查情况及夏令营活动事项公告各参赛队:由中国通信学会和中国电子学会联合主办的第五届3S杯全国大学生物联网技术与应用“三创”大赛已完成项目资格审查和企业专区项目立项评审工作。
现将通过资格审查和获得企业专区立项资助项目公告如下。
未获企业专区立项的项目,已调整到自由申报类项目参赛(具体名单详见附件)。
为进一步提高项目质量,促进大学生的研发能力和学术交流,使得参赛团队的项目更具针对性和应用性,经大赛组委会研究决定,拟于8月11日-8月20日开展大赛夏令营活动。
夏令营期间将开展学术讲座、企业参观、研发指导等活动。
具体参加夏令营的参赛队伍将于近期通知,请各项目组保持通讯畅通。
注:已通过资格审核的项目请于9月15日之前提交项目成果并参加初赛评审。
未报名项目仍可凭项目成果于9月15日之前直接报名参加初赛评审。
大赛组委会2019.7.14附件一:附件二:大赛夏令营(南京)主办单位:中国通信学会物联网委员会、中国电子学会通信分会承办单位:国家大学生创业实习基地、联通物联网有限责任公司、南京泰通科技股份有限公司、南京华脉科技股份有限公司、南京物联传感技术有限公司、深圳宏电技术股份有限公司、南京物联网产业联盟、南京邮电大学物联网研究院等举办地点:南京主营区:南京邮电大学物联网国家大学科技园区分营区:联通物联网有限责任公司、南京泰通科技股份有限公司、南京华脉科技股份有限公司、南京物联传感技术有限公司等活动时间:8月11日-8月20日活动规模:100人左右住宿安排:第一阶段2019年8月11日-14日,入住南京凤凰环球星程酒店第二阶段2019年8月15日-20日,入住各营区安排酒店大赛夏令营详细议程安排:(1)大赛开营仪式(5)创业政策辅导(6)成果与知识产权对接注:成果与知识产权对接活动结束后,各参赛学生队伍入住各分营区参加项目创新创业培训指导。
(7)分营区创新创业培训指导附件三:回执。
20XX年第三届3S杯全国大学生物联网技术与应用“三创”大赛
初赛评审结果公告
10月18日,20XX年第三届3S杯全国大学生物联网技术与应用“三创”大赛组委会遵照大赛通知的有关规定,组织45名专家按照评审的办法和程序,坚持客观、公平、公正、择优的原则,对立项初赛项目进行了评审。
现将初赛评审结果公告如下:矚慫润厲钐瘗睞枥庑赖。
截止大赛规定之日,本次初赛共收到项目成果 463项。
经审查,有330项完成《立项协议》要求的任务,确定给予立项经费资助并进入初赛评审(项目清单见附件1、2、3)。
根据初赛专家评审意见,经大赛组委会研究批准,有 167个项目列为决赛入围项目(项目清单见附件2、3)。
其中,遴选出81项优秀项目参加现场决赛(项目清单见附件3)。
现场决赛的具体时间、地点另行通知。
聞創沟燴鐺險爱氇谴净。
现予以公告。
附件二:立项经费资助/决赛入围项目(共计86项)。