复变函数论 第五章 解析函数的洛朗展式与孤立奇点
- 格式:doc
- 大小:3.66 MB
- 文档页数:10
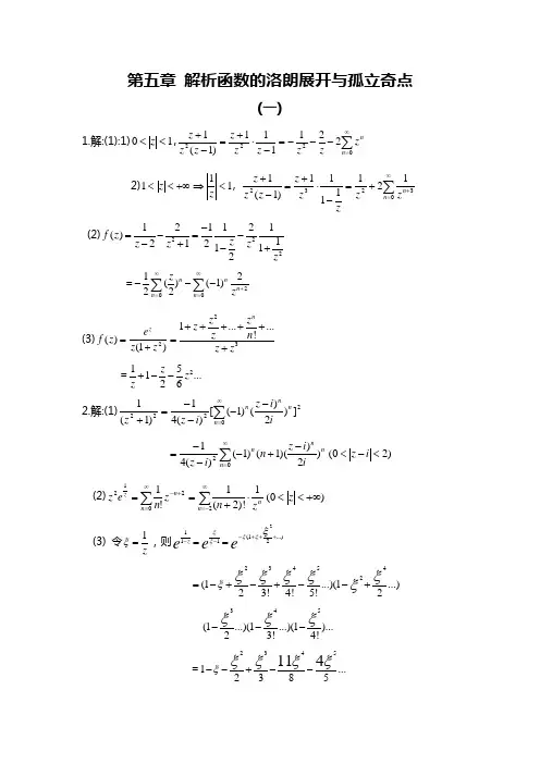
第五章 解析函数的洛朗展开与孤立奇点(一)1.解:(1):1)10<<z ,∑∞=---=-⋅+=-+0222221111)1(1n n z z z z z z z z z2)111<⇒+∞<<z z , ∑∞=++=-⋅+=-+032321211111)1(1n n z z zz z z z z (2)222121121()1212112f z z z z z z -=-=--+-+ =20012()(1)22n n n n n z z ∞∞+==---∑∑ (3)()f z =2(1)z e z z +231......!nz z z z n z z+++++=+ =2151 (26)z z z +-- 2.解:(1)2222])2)()1([)(41)1(1n n n n i i z i z z ∑∞=----=+ )20()2))(1()1()(412<-<-+---=∑∞=i z i i z n i z nn n n(2))0(1)!2(1!102212+∞<<⋅+==∑∑∞=∞-=+-z zn z n e z n n n n z(3) 令1zξ=,则21(1...)112ze eeξξξξξ-+++--==234542(1...)(1...)23!4!5!2ξξξξξξξ=-+-+--+345(1...)(1...)(1) (2)3!4!ξξξ---=23451 (2)385114ξξξξξ--+--=234511111141...8235z z z z z --+--+3.证明:根据洛朗定理,可设)0()]1(sin[0+∞<<=+∑∞=z z c z z t n nn其中 ⎰=+±=+=11),1,0()]1(sin[21ξξξξξπ n d t i c n n这里 )20(,1πθξξθ≤≤==i e于是 θθπθππθθπθθθd ed ie e e e t i c in i n i i i n ⎰⎰+=+=+-2020)1()cos 2sin(21)](sin[21 4.解:(1)因为函数为有理函数,且分子,分母无公共零点,因此分母的零点就是函数的极点,令分母0)4(2=+z z ,得0=z 以及i 2±,分别是分母的一级和二级零点,从而分别是函数的一级和二级极点,又因0)4(12∞→+-z z z z ,所以∞=z 为可去奇点.(2)由定理5.4(3)知函数z z cos sin +的m 级零点,就是zz cos sin 1+的m 级极点,且分母零点的极限点必为函数的极限点,因为)4sin(2cos sin π+=+z z z则令0cos sin =+z z ,得),1,0(4 ±=-=k k z ππ且又因),1,0(0)1(2cos 2])4sin([4±=≠-=='+-=k k z z k k z ππππ故),1,0(4±=-=k k z ππ各为分母z z cos sin +的一级零点即为zz cos sin 1+的一级极点.又因∞→-=4ππk z ,即∞=z 是极点的极限点,即为函数的非孤立奇点.(3)因i k z π)12(+=时,分母01=+z e ,且 01)1()12(≠-='++=ik z z e π所以i k z π)12(+=是分母的一级零点,而此时分子0)1()12(≠-+=ik z z e π故i k z π)12(+=各为函数的一级极点,因分母,分子在平面解析,所以除此之外在平面上无其他奇点. (4)令分母为0,解得)i 1(22z -±=,即为所给函数的极点. 且因,0])i z [(,0])i z [()i 1(22z 32)i 1(22z 32≠'+='+-±=-±=故)i 1(22z -±=均为所给函数的三级极点. 又因0z )1z (132∞→+,所以∞=z 为可去奇点. (5)因为zzz 222cos sin t an =,分子分母均在z 平面解析且无公共零点,所以分母的零点即为z 2tan 的极点,令0cos 2=z ,解得 0)(cos ,222='+=+=ππππk z z k z),1,0(0)(cos 22 ±=≠''+=k z k z ππ所以2ππ+=k z 是z 2cos 的二级零点,从而是z 2tan 的二级极点.(6) ++-=+2)(!2111cosi z i z 所以i z -=为其本性奇点,又因 11coslim =+∞→iz z ,所以∞=z 为可去奇点. (7)因21)2(22sin lim cos 1lim 2202==-→∞→z z z z z z 故0=z 为可去奇点, ∞=z 为本性奇点.(8)因为当且仅当i k z π2=时,分母0)1(,012≠'-=-=i k z z z e e π,所以i k z π2=为分母的一级零点,而分子是常数1,因此i k z π2=为其一级奇点. 5.解:先判断各函数的奇点类型. (1) 0=z ,∞=z 为奇点.(2) 0=z ,∞=z 为奇点.(3) 0=z 不是孤立奇点,是极点的极限点.(4)分母的零点是πk z =,这是ctgz 的极点,且01)(sin ≠-='πk z所以πk z =是分母的一级零点,因此是ctgz 的一极点,而∞=z 不是孤立奇点,是极点的极限点.由三个函数均为单值函数,由洛朗定理,在孤立奇点的去心邻域内均能展开成洛朗级数,在非孤立奇点的邻域内则不能.6.解:(1)当m n ≠时,a 为()()f z g z +的max(,)m n 级极点,为,f g 的m n +级极点,为fg的m n -()m n >级极点与n m -()m n <级零点 (2)当m n =时,a 为f g +的至多m 级极点(此时各种情况均有可能产生) 例:11,()()()kk m mf zg z k N z a z a +-=+=+∈-- a 为,f g 的m n +级极点,为fg的可去奇点. 7.证明:因)(z f 不恒等于零,如果a z =为)(z f 的零点,a z =只能为)(z f 的孤立奇点.(反证)如果a z =不是)(/)(),()(),()(z f z z f z z f z ϕϕϕ⋅±的本性奇点,则由上题的结论知,)(z ϕ就以a z =为可去奇点或极点,矛盾.8.解:(1) 1()(1)zzz e f z z e +-=-,奇点为0z =为一级极点, 2(1,2,...)z k i k π==±±为一级极点,z =∞为非孤立奇点(2) 0z =为函数的本性奇点, z =∞为函数的本性奇点. (3) z =∞是可去奇点, 0z =为本性奇点.(4) 0z =,z =∞为本性奇点. (5) 1=z 为本性奇点, i k z π2=为一级极点, z =∞为非孤立奇点.9.证明:因)(z f 在z 平面上解析,则)(z f 必为整函数,而整函数只以z =∞点为孤立奇点,而)(z f 在z =∞点解析,故z =∞点只能是)(z f 的可去奇点,由定理5.10知, )(z f 为常数.10.证明:(反证)设)(z f w =为整函数且非常数,若值全含于一圆之外,即存在0,00>εw ,使得对任何z ,恒有00)(ε>-w z f ,则有非常数整函数)(1)(w z f z g -=,所以在z 平面上任何点z ,分母不等于0,从而)(z g 在z 平面上解析,即为整函数.又因)(z f 非常数,所以)(z g 非常数,其值全含于一圆1)(ε<z g 之内,与刘维尔定理矛盾.11.证明:由题意,)(z f 在0z 的去心邻域内的洛朗展开式可设为∑∞=--≠-+-=01001)0()()(n n n c z z c z z c z f令01)()(z z c z f z g --=-,因01),(z z cz f --在r z ≤上除去0z 外解析,所以)(z g 在r z ≤上除去0z 外解析.又可知∑∞=-=00)()(n n n z z c z g )(z f 在0z 的邻域内解析,故)(z g 在r z ≤上解析.函数)(z g 在r z <内的泰勒展开式为∑∑∞=∞=+-+=0111)(n n n n nn z z c z a z g而直接法又给出∑∑∞=∞===00)(!)0()(n n n n nn z b z n g z g从而][0110101001z c z b z c z b z a a n n nn n n-++-+--=因为∑∞==0)(n nn z b z g 在r z ≤上解析,所以当0z z =时,级数∑∞=00n nn z b 是收敛的,一般项)(00∞→→n z b nn ,故即知01limz a a n nn =+∞→.(二)1.解:(1)不能(2)能,指定点不是所给函数的支点 (3)不能 (4)不能(5)能,指定点不是所给函数的支点2.解:不正确。
第五章小结一、函数()f z 孤立奇点0z 类型的确定1. 求0lim ()z z f z → 2. 求函数()f z 在0z 的去心解析邻域内的洛朗展式,观察洛朗级数的负幂项的项数 极点判断的特殊方法:确定相关函数零点的级数,将函数()f z 改写为0()()mg z z z -的形式,其中()g z 在点0z 解析且不为零二、求0Re [(),]s f z z 的方法1. 确定孤立奇点的类型,选择相应方法求解(1). 若0z 为()f z 的可去奇点,则0Re [(),]0s f z z =(2). 若0z 为()f z 的极点,则利用规则 010011Re [(),]lim [()()](1)!m m m z z d s f z z z z f z m d z--→=-- 说明:对一些特殊函数在孤立奇点处留数的计算,有时将m 取得比极点0z 的实际级数高时,利用上述规则反而简单2. 当极点的类型难以确定,直接求()f z 在0z 的去心解析邻域内的洛朗展式,观察10()z z --的系数特殊结论:若()f z 在孤立奇点0的去心解析邻域内为偶函数,则Re [(),0]0s f z =三、留数的应用1. 求封闭曲线积分()C f z dz ⎰:转化为()f z 在C 内奇点处的留数计算2. 求解三类定积分:确定定积分类型,选择对应方法求解第一种类型的定积分:难点在于利用i z e θ=将原定积分中关于θ的函数转化为关于z 的函数(较繁琐,容易出错,仔细)第二、三种类型的定积分:转化为求一些复变函数在其上半平面内奇点处留数的计算(这些复变函数的获得:将原定积分中的被积函数中的变量以z 代换)强调: ()cos()Re{()}aix R x ax dx R x e dx +∞+∞-∞-∞=⎰⎰;()sin()Im{()}aix R x ax dx R x e dx +∞+∞-∞-∞=⎰⎰如有侵权请联系告知删除,感谢你们的配合!。
复变函数第四版余家荣答案【篇一:1第一章复数与复变函数】京1第一章复数与复变函数1 复数及其代数运算1.复数的概念①在解方程时,有时会遇到负数开方的问题,但在实数范围内负数是不能开平方的。
为此,需要扩大数系。
我们给出如下的代数形式的复数定义:复数的代数定义:把有序实数对(x,y)作代数组合所确定的形如x?iy的数称为(代数形式的)复数,记为z?x?iy,2其中,i满足i??1。
我们称i为虚单位;实数x和y分别称为复数z 的实部和虚部,并记为x?rez,y?imz。
特别地,当imz?0时,z?x?i0?rez?x是实数;当rez?0时且imz?0时,z?iimz?iy称为纯虚数;虚部不为零的复数称为虚数(即不为实数的复数称为虚数);z?0当且仅当rez?0且imz?0,即复数0?0?i?0。
z1?z2当且仅当rez1?rez2且imz1?imz2。
2.复数的代数运算2.1 四则运算设z1?x1?iy1,z2?x2?iy2为任意两个复数,它们的四则运算定义为: 加法:z1?z2?(x1?x2)?i(y1?y2) 减法:z1?z2?(x1?x2)?i(y1?y2) 乘法:z1z2?(x1x2?y1y2)?i(x1y2?x2y1) 除法:z1x1x2?y1y2y1x2?x1y2(z2?0) ??i2222z2x2?y2x2?y22【注】:(1).可见,复数的四则运算,可以按照多项式的四则运算进行,只要注意将i换成?1。
(2).关于除法的具体操作可以按两种方法来进行:①.先看成分式的形式,然后分子分母同乘以一个与分母的实部相等而虚部只相差一个正负号的复数(在后面将会看到,这被定义为共轭复数),再进行简化;②.用复数z1?x1?iy1除以非零复数z2?x2?iy2,就是要求出这样一个复数z?x?iy,使得z1?z2?z。
按乘法的定义,为求出z需要解方程组?x2x?y2y?x1??x2y?xy2?y12.2 共轭复数复数x?iy和x?iy互称为对方的共轭复数,如果记z?x?iy,则用记其共轭复数,即?x?iy?x?iy。
复变函数论第四版钟玉泉
目录
第一章复数与复变函数
第二章解析函数
第三章复变函数的积分
第四章解析函数的幂级数表示法
第五章解析函数的洛朗(Laurent)展式与孤立奇点
第六章留数理论及其应用
第七章共形映射
大学生必备资源库为大学生提供网课答案、大学课后答案、软件安装、大学考试考证资源以及学习资料、影视资源等,大学生必备资源库致力于为大学生打造全面的大学学习服务,感谢您的支持与厚爱!
我们的答案体系、软件安装体系、学习资源体系三大体系都在不断更新和完善之中,可能有些资源资料答案您无法找到,请您耐心向公众号平台后台留言,我们将第一时间为大家提供最多人所需求的资料资源。
我们大多数资源来源于互联网查找整理和搜集,不对资源内容附带任何法律责任,特此声明。
起初,公众平台由一人打理现在逐渐变为多人打理,内容资源将不断持续更新丰富,更加有条理、有逻辑、有内涵,以满足广大大学生对美好知识的向往,以解决大学生对知识向往与大学资源不平衡不充分的矛盾。
再次感谢各位一如既往的支持与厚爱!。
第五章 解析函数的洛朗展式与孤立奇点§1 解析函数的洛朗展式教学目的与要求: 了解双边幂级数,了解洛朗级数与泰勒级数的关系,掌握解析函数在孤立奇点邻域内的洛朗展式的求法.重点: 解析函数的洛朗展式;解析函数在孤立奇点邻域内的洛朗展式的求法. 难点:解析函数的洛朗展式的证明. 课时:2学时定义5.1 级数101()()()n n n nn C C C z a C C z a z a z a+∞--=-∞-=⋅⋅⋅++⋅⋅⋅+++-+⋅⋅⋅--∑(5.1) 称洛朗()Laurent 级数,n C 称为(4.22)的系数.对于点z ,如果级数01()()()nn nn n C z a C C z a C z a +∞=-∞-=+-+⋅⋅⋅+-+⋅⋅⋅∑ (5.2)收敛于1()f x ,且级数1()()n n n n n C C C z a z a z a+∞--=-∞-=⋅⋅⋅++⋅⋅⋅+--∑ (5.3) 收敛于2()f x ,则称级数(4.22)在点z 收敛,其和函数为1()f x +2()f x 当0n C -=(1,2,)n =⋅⋅⋅时,(5.1)即变为幂级数.类似于幂级数,我们有定理5.1 设()f z 在圆环12:D R z a R <-<12(0)R R ≤<<+∞内解析,则在D 内()()nn n f z C z a +∞=-∞=-∑(5.4)其中11()2()n n f z C dz i z a π+Γ=-⎰ (0,1,)n =±⋅⋅⋅ (5.5) :z a ρΓ-=,且12R R ρ<<,系数n C 被()f z 及D 唯一确定.(5.4)称为()f z 的洛朗展式.证明:对:z H ∀∈作1:1z a ρΓ-=,2:2z a ρΓ-=,(其中12r R ρρ<<<) 且使z D ∈:12z a ρρ<-<,(如图5.1)由柯西积分公式,有()()2112f f z d i z ξξπξ-Γ+Γ==-⎰()212f d i z ξξπξΓ-⎰+()112f d i z ξξπξΓ-⎰图5.1对于第一个积分,只要照抄泰勒定理证明中的相应部分,即得:()212f d i z ξξπξΓ-⎰=()0nn n C z a ∞=-∑ 其中()()1212n n f C d i a ξξπξ+Γ=-⎰()!n f a n = 对于第二个积分()112f d i z ξξπξΓ-⎰: ()()()()()()1f f f z z a a z a z a a ξξξξξξ==----⎛⎫---⎪-⎝⎭当1ξ∈Γ时11az az aρξ-=<--1111n n a a z a z aξξ-∞=-⎛⎫∴=⎪--⎝⎭--∑ (右边级数对于1ξ∈Γ是一致收敛)上式两边乘上()f z a ξ-得:()f z ξξ=-()11n n f a z a z a ξξ-∞=-⎛⎫ ⎪--⎝⎭∑=()()()111n n n f z a a ξξ∞-+=--∑ 右边级数对1ξ∈Γ 仍一致收敛,沿1Γ逐项积分,可得()112f d i z ξξπξΓ-⎰=()11n n z a ∞=-∑()()1112n f d i a ξξπξ+Γ-⎰ 其中n C =()()1112n f d i a ξξπξ-+Γ-⎰113. 3.10P Th ()()112n f d i a ξξπξ-+Γ-⎰ 于是:()()nn n f z C z a +∞=-∞=-∑, 其中n C =()()112n f d i a ξξπξ+Γ-⎰ (n=0,1,± ) 下面证明展式唯一,若在H 内()f z 另有展开式()()'nnn f z C z a +∞=-∞=-∑右边级数在Γ上一致收敛,两边乘上()11m z a +-得:()()1m f z z a +-=()'1nm n n C z a ∞-+=-∞-∑,右边级数在Γ上仍一致收敛,沿Γ逐项积分,可得:()()112m f d i a ξξπξ+Γ-⎰=()'1112n m n n C d i a ξπξ+∞-+Γ=-∞-∑⎰ ∴'n C =n C 即展式是唯一的.注:1)定理中的展式称为洛朗展开式,级数称为洛朗级数. n C 称为洛朗系数.2)泰勒展式是洛朗展式的特例. 例1.求()()()112f z z z =--在(1)1,(2)12,(3)2(4)011z z z z <<<<<∞<-<中的洛朗展开式. 解:()1121f z z z =--- (1)()00111122212nnn n z f z z z z ∞∞==⎛⎫=-=-=⎪-⎛⎫⎝⎭- ⎪⎝⎭∑∑12nn n n n z z ∞∞+==-∑∑=10112n n n z ∞+=⎛⎫- ⎪⎝⎭∑ (1z <).(2) ()1121f z z z =---1112112z z z =--⎛⎫⎛⎫-- ⎪ ⎪⎝⎭⎝⎭100112n n n n n z z z ∞∞+==⎛⎫=-- ⎪⎝⎭∑∑ 110012n n n n n z z∞∞++==⎛⎫=-- ⎪⎝⎭∑∑. (12z <<)(3) ()1121f z z z =-=--112111z z z z -⎛⎫⎛⎫-- ⎪ ⎪⎝⎭⎝⎭()1000121121n n n n n n n n z z z z∞∞∞+===⎛⎫=-=- ⎪⎝⎭∑∑∑ . (2z <<∞) (4)()()()0111111211111nn f z z z z z z z ∞==-=-=---------∑. (011z <-<)此例子说明:同一个函数在不同的圆环内的洛朗展式可能不同. 例2 求2sin z z 及sin zz在0z <<+∞内的洛朗展式 解 2s i n z z 3211(1)3!5!(21)!n n z z z z n --=-++⋅⋅⋅++⋅⋅⋅+ sin z z 242(1)13!5!(21)!n nz z z n -=-++⋅⋅⋅++⋅⋅⋅+例3 1ze 在0z <<+∞内的洛朗展式为 解 1z e 211112!!n z z n z=+++⋅⋅⋅++⋅⋅⋅ 作业: 第217页 1 (1) (3), 2(1)(3)§2解析函数的孤立奇点教学目的与要求: 掌握洛朗定理及孤立奇点的分类及判断方法. 重点:孤立奇点的分类及判断方法. 难点:函数在本质奇点的邻域的性质. 课时:2学时 一 . 定义:1.设()f z 在点a 的某去心邻域内解析,但在点a 不解析,则称a 为f 的孤立奇点.例如sin zz,1z e 以0=z 为孤立奇点.0=z 为奇点,但不是孤立奇点,是支点.11sin z以0=z 为奇点(又由1sin0=z ,得1(1, 2...,)π==±±z k k 故0=z 不是孤立奇点) 2.设a 为()f z 的孤立奇点,则()f z 在a 的某去心邻域内,有1()()(),∞∞-===+-∑∑-nnnnn n f z c z a c z a 称()n=1∞-∑-nnc z a 为()f z 在点a 的主要部分,称()∞=-∑nnn z a c 为()f z 在点a 的正则部分,当主要部分为0时,称a 为()f z 的可去奇点;当主要部分为有限项时,设为(1)11(0)()()------+++≠--- m m m m m c c c c z a z a z a称a 为()f z 的m 级极点;当主要部分为无限项时,称a 为本性奇点.二.判定 1.可去奇点定理5.3 设a 为()f z 的孤立奇点,则下列条件等价(1)a 为f 的可去奇点 (2)lim ()()→=≠∞z af z b3()f 在a 的某去心邻域内有界证明:"(1)(2)"⇒设条件1()成立,则在a 的某一去心邻域内,有0()lim ()()∞→==∴=≠∞-∑nnz an f z f z z a c c"(2)(3)":⇒显然成立."(3)(1)"⇒设f 在a 的去心邻域{}:0-<-<k a z a R 内以M 为界考虑()f z 在点z 的主要部分:11()(1,2,): 02()ξξξρρπξ-+-Γ==Γ-=<<⎰- n n f d n a R i c a()112002πρρρπρ--+≤=→→n n n MC M 120--∴===∴ a c c 为可去奇点.例:说明0=z 是sin zz的可去奇点. 法一:324sin 1()1 03!3!5!=-+=-+<<∞ z z z z z z z z法二:0sin lim 1→=≠∞z zz2.极点定理5.4 设a 为()f z 的孤立奇点.则下列条件等价:1()a 为f 的m 级极点2()f 在a 的某去心邻域:{}:0-<-<k a z a R 内可表示为()()()λ=-mz f z z a 其中()λz 在k 内解析,且()0λ≠a1(3).()()=g z f z 从a 为m 级零点(可去奇点作为解析点看) 证明:"(1)(2)"⇒设条件(1)成立,即()f z 在a 的某去心邻域内有:101()()()--=++++-+-- m m c c f z c c z a z a z a(0)-≠m c1110()()()()---+-+-++-+-+=-m m m m mc c z a c z a c z a z a ()()记λ-mz z a(()λz 为幂级数的和函数,故解析)其中()λz 在a 的某邻域内解析,且从()0λ-=≠m a c"(2)(3)"⇒:设条件(2)成立,即f 在a 的某去心邻域{}:0-<-<k a z a R内有()()()λ=-mz f z z a ,其中()λz 满足已知的两个条件.由例知存在:.()ρ'-<≤'⊂K z a R K K ,使得在'K 内()0λ≠z . 故在'K 内1()λz 解析,且1()0()ϕλ=≠a a .即a 为1()f z 的m 级零点. "(3)(1)"⇒设条件(3)成立,即1()(),()ϕ=-m z a z f z 其中()ϕz 在a 的某领域内解析,且()0ϕ≠a ,由33P 的例1.28知:,ρ∃'-<K z a 使在K 内1()0,()ϕϕ≠∴z z 在'K 内解析.由Taylor 定理, 在'K 内有011()()ϕ=+-+ b b z a z∴在{}'-K a 内有0111()()[()]()()ϕ==+-+-- m mf z z b b z a z a z a01()()=++-- m mb b z a z a 0(0)≠b作业: 第218-219页 4(1) (3) (5), 5(1) (3).§3解析函数在无穷远点的性质教学目的与要求:掌握解析函数在无穷远点的性质. 重点: 解析函数在无穷远点的性质. 难点:解析函数在无穷远点的性质. 课时:2学时1. 基本概念1.1 2 3 2.如证令数引理:设()f z 在K :z <1内解析,且(0)0,()f f z =<1则 a )()f z z ≤, b )(0)1f '≤, c )若(0)1f '=,或00z∃≠,使00()f z z =则()()i f z z R e αα=∈.证明:由已知得:12()f z z z c c =++ (1)z <令212(),(0)()(0)f z c c z z z z c z ϕ⎧=++≠⎪=⎨⎪=⎩则()z ϕ在:1K z <内解析.对0,z K ∀∈取r ,使01,z r <<由最大模原理有:0()1()max ()maxz rz rf z z z zrϕϕ==≤=≤. 令1r →得0()1z ϕ≤,特别地,1(0)(0)1f c ϕ'==≤即(b )成立,又若00z ≠,由0()1z ϕ≤,得00()1f z z ≤,即00().f z z ≤以及(0)0f =,故对z K ∀∈,有()f z z ≤,即(a )成立.几何意义:在引理条件下,z 的象都比z 本身,距坐标原点要近.若有00z ≠,0z 的象与0z 本身距原点的距离相等,则变换仅仅是一个旋转.作业: 第219页6, 7, 8 (1) (3).。
第五章 解析函数的洛朗展式与孤立奇点§1 解析函数的洛朗展式教学目的与要求: 了解双边幂级数,了解洛朗级数与泰勒级数的关系,掌握解析函数在孤立奇点邻域内的洛朗展式的求法.重点: 解析函数的洛朗展式;解析函数在孤立奇点邻域内的洛朗展式的求法. 难点:解析函数的洛朗展式的证明. 课时:2学时定义5.1 级数101()()()n n n nn C C C z a C C z a z a z a+∞--=-∞-=⋅⋅⋅++⋅⋅⋅+++-+⋅⋅⋅--∑(5.1) 称洛朗()Laurent 级数,n C 称为(4.22)的系数.对于点z ,如果级数01()()()nn nn n C z a C C z a C z a +∞=-∞-=+-+⋅⋅⋅+-+⋅⋅⋅∑ (5.2)收敛于1()f x ,且级数1()()n n n n n C C C z a z a z a+∞--=-∞-=⋅⋅⋅++⋅⋅⋅+--∑ (5.3) 收敛于2()f x ,则称级数(4.22)在点z 收敛,其和函数为1()f x +2()f x 当0n C -=(1,2,)n =⋅⋅⋅时,(5.1)即变为幂级数.类似于幂级数,我们有定理5.1 设()f z 在圆环12:D R z a R <-<12(0)R R ≤<<+∞内解析,则在D 内()()nn n f z C z a +∞=-∞=-∑(5.4)其中11()2()n n f z C dz i z a π+Γ=-⎰ (0,1,)n =±⋅⋅⋅ (5.5) :z a ρΓ-=,且12R R ρ<<,系数n C 被()f z 及D 唯一确定.(5.4)称为()f z 的洛朗展式.证明:对:z H ∀∈作1:1z a ρΓ-=,2:2z a ρΓ-=,(其中12r R ρρ<<<) 且使z D ∈:12z a ρρ<-<,(如图5.1)由柯西积分公式,有()()2112f f z d i z ξξπξ-Γ+Γ==-⎰()212f d i z ξξπξΓ-⎰+()112f d i z ξξπξΓ-⎰图5.1对于第一个积分,只要照抄泰勒定理证明中的相应部分,即得:()212f d i z ξξπξΓ-⎰=()0nn n C z a ∞=-∑ 其中()()1212n n f C d i a ξξπξ+Γ=-⎰()!n f a n = 对于第二个积分()112f d i z ξξπξΓ-⎰: ()()()()()()1f f f z z a a z a z a a ξξξξξξ==----⎛⎫---⎪-⎝⎭当1ξ∈Γ时11az az aρξ-=<--1111n n a a z a z aξξ-∞=-⎛⎫∴=⎪--⎝⎭--∑ (右边级数对于1ξ∈Γ是一致收敛)上式两边乘上()f z a ξ-得:()f z ξξ=-()11n n f a z a z a ξξ-∞=-⎛⎫ ⎪--⎝⎭∑=()()()111n n n f z a a ξξ∞-+=--∑ 右边级数对1ξ∈Γ 仍一致收敛,沿1Γ逐项积分,可得()112f d i z ξξπξΓ-⎰=()11n n z a ∞=-∑()()1112n f d i a ξξπξ+Γ-⎰ 其中n C =()()1112n f d i a ξξπξ-+Γ-⎰113. 3.10P Th ()()112n f d i a ξξπξ-+Γ-⎰ 于是:()()nn n f z C z a +∞=-∞=-∑, 其中n C =()()112n f d i a ξξπξ+Γ-⎰ (n=0,1,± ) 下面证明展式唯一,若在H 内()f z 另有展开式()()'nnn f z C z a +∞=-∞=-∑右边级数在Γ上一致收敛,两边乘上()11m z a +-得:()()1m f z z a +-=()'1nm n n C z a ∞-+=-∞-∑,右边级数在Γ上仍一致收敛,沿Γ逐项积分,可得:()()112m f d i a ξξπξ+Γ-⎰=()'1112n m n n C d i a ξπξ+∞-+Γ=-∞-∑⎰ ∴'n C =n C 即展式是唯一的.注:1)定理中的展式称为洛朗展开式,级数称为洛朗级数. n C 称为洛朗系数.2)泰勒展式是洛朗展式的特例. 例1.求()()()112f z z z =--在(1)1,(2)12,(3)2(4)011z z z z <<<<<∞<-<中的洛朗展开式. 解:()1121f z z z =--- (1)()00111122212nnn n z f z z z z ∞∞==⎛⎫=-=-=⎪-⎛⎫⎝⎭- ⎪⎝⎭∑∑12nn n n n z z ∞∞+==-∑∑=10112n n n z ∞+=⎛⎫- ⎪⎝⎭∑ (1z <).(2) ()1121f z z z =---1112112z z z =--⎛⎫⎛⎫-- ⎪ ⎪⎝⎭⎝⎭100112n n n n n z z z ∞∞+==⎛⎫=-- ⎪⎝⎭∑∑ 110012n n n n n z z∞∞++==⎛⎫=-- ⎪⎝⎭∑∑. (12z <<)(3) ()1121f z z z =-=--112111z z z z -⎛⎫⎛⎫-- ⎪ ⎪⎝⎭⎝⎭()1000121121n n n n n n n n z z z z∞∞∞+===⎛⎫=-=- ⎪⎝⎭∑∑∑ . (2z <<∞) (4)()()()0111111211111nn f z z z z z z z ∞==-=-=---------∑. (011z <-<)此例子说明:同一个函数在不同的圆环内的洛朗展式可能不同. 例2 求2sin z z 及sin zz在0z <<+∞内的洛朗展式 解 2s i n z z 3211(1)3!5!(21)!n n z z z z n --=-++⋅⋅⋅++⋅⋅⋅+ sin z z 242(1)13!5!(21)!n nz z z n -=-++⋅⋅⋅++⋅⋅⋅+例3 1ze 在0z <<+∞内的洛朗展式为 解 1z e 211112!!n z z n z=+++⋅⋅⋅++⋅⋅⋅ 作业: 第217页 1 (1) (3), 2(1)(3)§2解析函数的孤立奇点教学目的与要求: 掌握洛朗定理及孤立奇点的分类及判断方法. 重点:孤立奇点的分类及判断方法. 难点:函数在本质奇点的邻域的性质. 课时:2学时 一 . 定义:1.设()f z 在点a 的某去心邻域内解析,但在点a 不解析,则称a 为f 的孤立奇点.例如sin zz,1z e 以0=z 为孤立奇点.0=z 为奇点,但不是孤立奇点,是支点.11sin z以0=z 为奇点(又由1sin0=z ,得1(1, 2...,)π==±±z k k 故0=z 不是孤立奇点) 2.设a 为()f z 的孤立奇点,则()f z 在a 的某去心邻域内,有1()()(),∞∞-===+-∑∑-nnnnn n f z c z a c z a 称()n=1∞-∑-nnc z a 为()f z 在点a 的主要部分,称()∞=-∑nnn z a c 为()f z 在点a 的正则部分,当主要部分为0时,称a 为()f z 的可去奇点;当主要部分为有限项时,设为(1)11(0)()()------+++≠--- m m m m m c c c c z a z a z a称a 为()f z 的m 级极点;当主要部分为无限项时,称a 为本性奇点.二.判定 1.可去奇点定理5.3 设a 为()f z 的孤立奇点,则下列条件等价(1)a 为f 的可去奇点 (2)lim ()()→=≠∞z af z b3()f 在a 的某去心邻域内有界证明:"(1)(2)"⇒设条件1()成立,则在a 的某一去心邻域内,有0()lim ()()∞→==∴=≠∞-∑nnz an f z f z z a c c"(2)(3)":⇒显然成立."(3)(1)"⇒设f 在a 的去心邻域{}:0-<-<k a z a R 内以M 为界考虑()f z 在点z 的主要部分:11()(1,2,): 02()ξξξρρπξ-+-Γ==Γ-=<<⎰- n n f d n a R i c a()112002πρρρπρ--+≤=→→n n n MC M 120--∴===∴ a c c 为可去奇点.例:说明0=z 是sin zz的可去奇点. 法一:324sin 1()1 03!3!5!=-+=-+<<∞ z z z z z z z z法二:0sin lim 1→=≠∞z zz2.极点定理5.4 设a 为()f z 的孤立奇点.则下列条件等价:1()a 为f 的m 级极点2()f 在a 的某去心邻域:{}:0-<-<k a z a R 内可表示为()()()λ=-mz f z z a 其中()λz 在k 内解析,且()0λ≠a1(3).()()=g z f z 从a 为m 级零点(可去奇点作为解析点看) 证明:"(1)(2)"⇒设条件(1)成立,即()f z 在a 的某去心邻域内有:101()()()--=++++-+-- m m c c f z c c z a z a z a(0)-≠m c1110()()()()---+-+-++-+-+=-m m m m mc c z a c z a c z a z a ()()记λ-mz z a(()λz 为幂级数的和函数,故解析)其中()λz 在a 的某邻域内解析,且从()0λ-=≠m a c"(2)(3)"⇒:设条件(2)成立,即f 在a 的某去心邻域{}:0-<-<k a z a R内有()()()λ=-mz f z z a ,其中()λz 满足已知的两个条件.由例知存在:.()ρ'-<≤'⊂K z a R K K ,使得在'K 内()0λ≠z . 故在'K 内1()λz 解析,且1()0()ϕλ=≠a a .即a 为1()f z 的m 级零点. "(3)(1)"⇒设条件(3)成立,即1()(),()ϕ=-m z a z f z 其中()ϕz 在a 的某领域内解析,且()0ϕ≠a ,由33P 的例1.28知:,ρ∃'-<K z a 使在K 内1()0,()ϕϕ≠∴z z 在'K 内解析.由Taylor 定理, 在'K 内有011()()ϕ=+-+ b b z a z∴在{}'-K a 内有0111()()[()]()()ϕ==+-+-- m mf z z b b z a z a z a01()()=++-- m mb b z a z a 0(0)≠b作业: 第218-219页 4(1) (3) (5), 5(1) (3).§3解析函数在无穷远点的性质教学目的与要求:掌握解析函数在无穷远点的性质. 重点: 解析函数在无穷远点的性质. 难点:解析函数在无穷远点的性质. 课时:2学时1. 基本概念1.1 2 3 2.如证令数引理:设()f z 在K :z <1内解析,且(0)0,()f f z =<1则 a )()f z z ≤, b )(0)1f '≤, c )若(0)1f '=,或00z∃≠,使00()f z z =则()()i f z z R e αα=∈.证明:由已知得:12()f z z z c c =++ (1)z <令212(),(0)()(0)f z c c z z z z c z ϕ⎧=++≠⎪=⎨⎪=⎩则()z ϕ在:1K z <内解析.对0,z K ∀∈取r ,使01,z r <<由最大模原理有:0()1()max ()maxz rz rf z z z zrϕϕ==≤=≤. 令1r →得0()1z ϕ≤,特别地,1(0)(0)1f c ϕ'==≤即(b )成立,又若00z ≠,由0()1z ϕ≤,得00()1f z z ≤,即00().f z z ≤以及(0)0f =,故对z K ∀∈,有()f z z ≤,即(a )成立.几何意义:在引理条件下,z 的象都比z 本身,距坐标原点要近.若有00z ≠,0z 的象与0z 本身距原点的距离相等,则变换仅仅是一个旋转.作业: 第219页6, 7, 8 (1) (3).。