黑龙江垦区各农场大全
- 格式:doc
- 大小:26.50 KB
- 文档页数:3
闫家岗农场介绍[概况]闫家岗农场位于哈尔滨市道里区机场路19公里处,行政区划属哈尔滨市道里区新农镇。
地理坐标为北纬45°34′-45°39′,东经126°17′-126°21′。
农场东西宽5公里,南北长7.2公里,占地总面积1068.33公顷。
其中耕地520公顷。
2012年,农场总户数2278户,总人口5751人,其中男性2983人,女性2768人,朝鲜、蒙古等少数民族人口114人。
农场处于松花江南岸第二阶地,土壤是发育在第四纪沉积层上的冲击性黄土母质,下层为砂层。
气候属于中温带大陆季风气候,年平均气温为3.4℃,年平均降雨量为380毫米,年平均积温2851℃,初霜期一般为10月上旬、无霜期一般为160天。
农场地理位臵优越,水陆空交通十分便利,东有哈尔滨围城四环公路,西邻哈尔滨太平国际机场,南靠京哈铁路双城段和102国道的哈双南线,北距松花江8公里。
由于紧靠哈尔滨机场高速公路,农场通往市区的路程时间在30分钟以内。
农场自然景色秀美、物产资源丰富。
优势资源素有“一江一河两湖百渠千池”之称。
在这里发现的地下温泉资源,给农场打造旅游业又添一景。
农场自有的八一水库,水面107公顷,不仅保障了下游200多公顷水田的灌溉,也为绵延11公里的古运粮河常年丰水,使其蜿蜒流过场区最后注入松花江。
场区西侧毗邻的太平湖,是哈尔滨市的重点旅游休闲区,农场沿湖近53公顷草原沼泽地已被列为哈尔滨市四大保护湿地之一。
由于生态环境内发现的哈尔滨人遗址属旧石器晚期的人类遗址,距今23000年。
遗址出土了包括猛犸象、披毛犀、东北野驴、大连马、普氏野马等绝灭种化石,备受国内外考古学家关注。
阎家岗遗址的发现和发掘,把黑龙江省史前的历史向前推进了1万多年。
农场现有农业服务中心、畜牧服务中心、物业管理中心、大什食品公司、房地产开发公司、社区居民委、中小学校、医院、机关、派出所以及民营的制药厂、矿泉水厂、金属网业等单位。
黑龙江省大豆主产区的分布文稿归稿存档编号:[KKUY-KKIO69-OTM243-OLUI129-G00I-FDQS58-黑龙江省大豆主产区的分布黑龙江省是我国大豆种植面积最多、产量最大的省份,共有13个地区,77个市、县,大豆种植遍及全省。
种植面积较大的市、县约50个,其中种植面积超过40万亩、总产量超过5万吨的市县约35个。
黑龙江省农垦系统,共有9个国营农场管理局,104个国营农、牧场,分布在本省的47个市、县境内。
为了便于了解和掌握大豆产量的分布,我们以地方行政区的划分做为本文的统计和分析基础,因此农垦系统的大豆种植面积,包含在其所在的地方行政区大豆种植面积之中。
一、黑龙江省各地区大豆主产市、县1、黑河市黑河地区位于黑龙江省北部,无霜期短,气候只适宜种植大豆和小麦,其他农作物很少,九三、北安两个农管局在其境内,是黑龙江省大豆种植面积最大的地区。
黑河地区下6个市、县,其中:嫩江、北安、五大连、逊克、爱辉区是大豆主产市、县;孙吴县地处山区,耕地面积较少,因此,大豆种植相面积对对少一些。
2、齐齐哈尔市齐齐哈尔市(地区)位于黑龙江省西北部,无霜期较短,因此,该地区北部大豆种植较多。
齐齐哈尔市下辖9个市、县,其中:讷河、克山、拜泉、克东、甘南、依安是大豆主产市县。
龙江、富裕、泰来大豆种植面积相对要少一些。
3、佳木斯市(地区)位于黑龙江省东北部,地处三江平原,建三江农管局在其境内,大豆种植较多。
佳木斯市下辖6个市、县,其中:富锦、同江、扶远、桦南是大豆主产市、县,汤原、桦川水稻种植较多。
4、绥化市绥化地区位于黑龙江省中部,各主要粮食品种皆可种植。
绥化地区下10个市、县,其中:海伦、绥化、绥棱、望奎、庆安是大豆主产市县;青冈、明水次之;兰西、安达、肇东以种植玉米为主。
5、哈尔滨市哈尔滨市(地区)位于黑龙江省南部,大豆、玉米、水稻种植比较均衡。
哈尔滨市下辖12个市、县,其中:巴彦、依兰、宾县、五常、呼兰是大豆主产县;阿城、木兰、通河尚志、延寿次之;方正县以种植水稻为主,双城市以种植玉米为主。
走向世界的北大荒—黑龙江垦区概况黑龙江垦区俗称“北大荒”,又称黑龙江省农垦总局。
地处三江平原、松嫩平原和小兴安岭山麓。
垦区下辖宝泉岭、红兴隆、建三江、牡丹江、北安、九三、齐齐哈尔、绥化、哈尔滨等9个分局,113个农牧场,546家国有及国有控股企业,750多家教育、科技、文化、卫生等社会事业单位,总人口168万人。
经过三代北大荒人60多年的艰苦奋斗,在昔日的亘古荒原上建成了我国耕地规模最大、现代化程度最高、综合生产能力最强的国家重要商品粮基地和粮食战略后备基地,形成了以农业为基础,工商运建服综合经营,多种经济成分共存,社会事业全面发展,具有区域性、社会性、综合性特征,相对独立的特殊经济社会区域。
由于有38个农场分布在920公里的边境线上,黑龙江垦区还肩负着屯垦戍边、繁荣边疆的重要职责。
黑龙江垦区具体可以用“大”、“高”和“多”三个字来概括。
一是规模大。
垦区拥有113个农牧场,分布在黑龙江省12个市74个县(市、区),土地控制面积5.62万平方公里,是台湾的1.5倍,其中耕地面积4000多万亩,是浙江省的1.4倍,约占全省的1/5强,是世界上规模最大的农业企业集团。
二是现代化程度高。
垦区创建了中国最好的现代化农业生产模式。
是集美国的规模农业、以色列的高科技农业及荷兰的工厂化农业——世界三大农业代表之大成。
农业机械装备了美国迪尔、凯斯和纽克兰等世界先进大型机械,农业机械化程度高达96%,高出全国平均水平53个百分点。
农业科技贡献率达67%,相当于发达国家水平,比全国平均水平高20个百分点。
三是商品粮多。
垦区具备了为国家年提供商品粮300亿斤的生产能力,商品粮调出量占全国可调出量的四分之一。
垦区用全国四十五分之一的耕地保障了全国十三分之一人口的粮食供应,一年生产的商品粮,可供京、津、沪、渝四大直辖市、解放军三军和青藏甘宁四省区一年的口粮供应。
2003年“非典”期间,垦区在一周之内向北京调运5000万斤大米,及时缓解了北京市场大米供应紧张的局面。
序言曙光农场是黑龙江省最早的国营农场之一。
我从l949年直到现在一直在曙光农场工作。
建场时住帐棚马架,挖水井,人力开荒,风餐露宿含辛茹苦的生活,回忆往事,历历在目。
经40年的艰苦奋斗,建设成为机械化的国营农场,商品粮生产基地,正向农工商联合企业发展。
纵观农场的发展历程,有顺利的阶段,是因为有党和上级的正确领导;、有挫折的时候,是因为受“左”的路线的干扰;还有自然灾害的时候。
有困难、有胜利、有丰欠、有盈亏、有停顿、有前进,是从艰苦曲折的道路上走过来的。
我场从建场伊始,在生产建设经营管理和政治思想工作等方面,在实践中不断摸索经验,吸取教训,总结提高,逐渐形成了系统的全面的正规的规章制度。
如农业生产的五大管理制度,经营管理的五大制度等是行之有效的,有的曾在农垦系统介绍推广。
实践出经验,实践也出人才,一批批的各类人才往外输送。
自党的十一届三中全会以来,国家安定团结,农场兴旺发达,“盛世修史”,编写场史是非常必要的。
场史就是创业史,承上启下,继往开来,发挥“资政、教化、存史”的作用.对职工群众尤其是青少年进行传统教育的好教材,让曙光人的后代从场史的记载中了解先辈的创业艰难,从而发扬“北大荒人”的精神。
邵会海一九八六年十月第一编概述编下续沧海桑田,世代更迭。
曙光农场地区古代就有中华民族的先人在这里生息。
《桦南县志》记载:息慎族是居住在这—地区的古老民族,随着历史的发展,息慎族也不断演变,至清代称为满族。
清朝中期,汉族等民族移入这—地区。
日本帝国主义,伪满洲国,国民政府曾侵略和统治过这—地区。
解放战争末期,在中国共产党和人民政府领导下开建场,经40年之耕耘,建成了现有规模的国营曙光农场。
第一章自然概况第一节地理位置曙光农场位于黑龙江省桦南县境内,场部在县城西北方向9公里处的半截河子。
地理座标为北纬46°13′—48°23′,东经130°17′—130°39′,处于松花托下游完达山余脉延续地带。
黑龙江省大豆主产区的分布黑龙江省是我国大豆种植面积最多、产量最大的省份,共有13个地区,77个市、县,大豆种植遍及全省。
种植面积较大的市、县约50个,其中种植面积超过40万亩、总产量超过5万吨的市县约35个。
黑龙江省农垦系统,共有9个国营农场管理局,104个国营农、牧场,分布在本省的47个市、县境内。
为了便于了解和掌握大豆产量的分布,我们以地方行政区的划分做为本文的统计和分析基础,因此农垦系统的大豆种植面积,包含在其所在的地方行政区大豆种植面积之中。
一、黑龙江省各地区大豆主产市、县1、黑河市黑河地区位于黑龙江省北部,无霜期短,气候只适宜种植大豆和小麦,其他农作物很少,九三、北安两个农管局在其境内,是黑龙江省大豆种植面积最大的地区。
黑河地区下6个市、县,其中:嫩江、北安、五大连、逊克、爱辉区是大豆主产市、县;孙吴县地处山区,耕地面积较少,因此,大豆种植相面积对对少一些。
2、齐齐哈尔市齐齐哈尔市(地区)位于黑龙江省西北部,无霜期较短,因此,该地区北部大豆种植较多。
齐齐哈尔市下辖9个市、县,其中:讷河、克山、拜泉、克东、甘南、依安是大豆主产市县。
龙江、富裕、泰来大豆种植面积相对要少一些。
3、佳木斯市(地区)位于黑龙江省东北部,地处三江平原,建三江农管局在其境内,大豆种植较多。
佳木斯市下辖6个市、县,其中:富锦、同江、扶远、桦南是大豆主产市、县,汤原、桦川水稻种植较多。
4、绥化市绥化地区位于黑龙江省中部,各主要粮食品种皆可种植。
绥化地区下10个市、县,其中:海伦、绥化、绥棱、望奎、庆安是大豆主产市县;青冈、明水次之;兰西、安达、肇东以种植玉米为主。
5、哈尔滨市哈尔滨市(地区)位于黑龙江省南部,大豆、玉米、水稻种植比较均衡。
哈尔滨市下辖12个市、县,其中:巴彦、依兰、宾县、五常、呼兰是大豆主产县;阿城、木兰、通河尚志、延寿次之;方正县以种植水稻为主,双城市以种植玉米为主。
6、双鸭山市双鸭山市(地区)位于黑龙江省东部,红兴隆农管局在其境内。
黑龙江垦区简介抗日战争胜利后,为建立巩固的东北根据地,我党派遣大批干部北上,会同当地政府,自1947年起,创建了宁安、赵光等第一批国营农场,1950年成立东北国营农场管理局;1955年中国人民解放军铁道兵、农建二师和1958年十万转业官兵,先后来到北大荒,1956年国家成立农垦部,并在黑龙江垦区成立铁道兵农垦局,(后改为牡丹江农垦局)和合江农垦局,1963年两局合并成立东北农垦总局,使国营农场的数量、规模都有很大发展。
而此时垦区中、西部的农场仍归属黑龙江省农垦厅。
1968年黑龙江生产建设兵团组建,将东北农垦总局所属农场和省农垦厅所属部分农场组成6个师69个团。
1972年黑龙江省国营农场管理局成立并收回下放的国营农场和劳改农场。
1976年兵团撤消,与省农场管理局合并,组建黑龙江省国营农场总局。
1997年改称黑龙江省农垦总局。
黑龙江垦区位于世界闻名的三大黑土带之一,是中央直属的三大垦区之一,地处三江平原、松嫩平原和小兴安岭山麓,土地总面积5.54万平方公里,耕地面积3975万亩。
是国家级生态示范区。
下辖9个分局、113个农牧场,583个管理区。
有1195个农林牧渔业单位,1261个工商运建服及其他企业,其中国有及国有控股企业558个。
分布在全省12个市74个县(市、区)。
现有总资产400多亿元(不含资源性资产),总人口166.8万人,从业人员91.7万人。
垦区开发建设始于1947年。
五十年代中后期,王震将军率领10万复转官兵进军北大荒,开始了北大荒第一次大规模开发建设。
为响应党中央、国务院的号召,先后有14万复转官兵、5万大中专院校毕业生、20万内地支边青年和54万城市知识青年,投入到垦区的开发建设中。
垦区自开发建设之日起,就以发展现代农业、提高粮食综合生产能力为己任,历经60余载开发建设,垦区已累计生产粮食2252亿公斤,累计向国家交售商品粮1667亿公斤。
在粮食综合生产能力上实现了三次跨越式发展,即由1978年的不到25亿公斤,提高到1995年的50亿公斤;到2005年突破100亿公斤;2009年,垦区粮食产量首次跃上150亿公斤新台阶,可以保障全国1亿人口一年的口粮供应,成为我国重要商品粮基地、粮食战略后备基地和全国最大的绿色、有机、无公害食品基地。
黑龙江省农垦总局八五七农场规划(2006—2010)八五七农场位于黑龙江省密山市境内东南部,距密山市区65公里,地处穆兴沿湖平原穆棱河中下游,是黑龙江省农垦总局牡丹江分局下属的一个资源优势明显、经济基础雄厚、文化内涵丰富的大型国有农场。
为增强农场建设的计划性、系统性和指导性,根据新农村建设有关文件精神、发展需要与八五七农场实际,特编制本规划。
一、基本现状与发展需求(一)基本现状农场下辖12个管理区和25个企事业单位,常住有12个民族,6 203户,17 041人;土地面积85万亩,其中耕地面积52万亩(水田36万亩),林地4.5万亩;农场资产总额2.65亿元,资产负债率50.3%。
2005年,农场实现生产总值4.35亿元,比上年增长28.44%;利润总额1 617万元,家庭农场净利润1.94亿元,人均纯收入7 808元。
“十五”期间,农场经济实力明显增强,社会发展取得显著成就,为农场的进一步发展积攒了后劲。
——农业生产稳步健康发展。
“十五”期间,共完成投资2.02亿元,建成了一批重点生产和公益性项目,防洪、除涝、灌溉和水土保持水平大幅提高。
2005年末,农场拥有长30公里(25万亩)的全线科技示范带,1个农业综合科技示范园区和3个专项科技示范园区,培育扶持科技示范户78户。
全场拥有农业机械总动力7.67万千瓦,田间耕作机械化率达到100%,插秧机械化率达到95%,收获机械化率达到75%,全场综合机械化水平达到92%以上,有2个现代农机装备试验区。
2005年全场粮食总产量23.68万吨,其中水稻19.73万吨,玉米2.43万吨,大豆1.2万吨。
——畜牧业实现跨越式发展。
全场拥有奶牛、肉牛、生猪等各类家庭牧场335个,80%的专业养殖户进入小区;每个管理区都建了标准化奶牛服务站,更新了农场畜牧中心服务站防疫、检疫设备,提高了奶牛饲养的规范化、科学化和集约化水平。
2005年末,全场奶牛存栏6528头,年产鲜奶1.78万吨,成年母牛单产6.3吨;挤奶机总数达到168台套,机械榨乳率达92%。
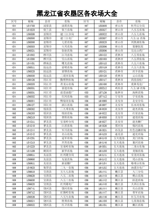
黑龙江垦区各农牧场邮政编码、地址、电话区号单位邮政编码地址电话区号宝泉岭分局154211萝北县468二九O农场156202绥滨县468绥滨农场156203绥滨县468江滨农场154243萝北县468军川农场154244萝北县468名山农场154242萝北县468延军农场154231萝北县468共青农场154213萝北县468宝泉岭农场154211萝北县468普阳农场156213绥滨县468新华农场154109鹤岗市468汤原农场154703汤原县454梧桐河农场154223萝北县468依兰农场154823依兰县454红兴隆分局156911友谊县469友谊农场156900友谊县469二九一农场154923集贤县469五九七农场156610宝清县469八五二农场156620宝清县469八五三农场156630宝清县469饶河农场156741饶河县469红旗岭农场156712饶河县469双鸭山农场155132双鸭山市469江川农场154302桦川县454宝山农场154350桦川县454曙光农场154451桦南县454北兴农场154625七台河市464红兴隆电厂156628宝清县469新谊糖厂156911友谊县469建三江分局156300富锦市454八五九农场156326饶河县469胜利农场156324饶河县469红卫农场156322饶河县469七星农场156300富锦市454大兴农场156303富锦市454创业农场156321富锦市454勤得利农场156426同江市454青龙山农场156333同江市454前进农场156331同江市454洪河农场156332同江市454鸭绿河农场156334同江市454浓江农场156427同江市454前哨农场156511抚远县454前锋农场156325抚远县454二道河农场156330抚远县454前进油脂厂156331同江市454建三江电厂156300富锦市454牡丹江分局158305密山市467八五O农场158422虎林市467八五四农场158403虎林市467八五六农场158418虎林市467八五八农场158419虎林市467庆丰农场158421虎林市467云山农场158420虎林市467八五五农场158327密山市467八五七农场158322密山市467八五一一农场158307密山市467兴凯湖农场158325密山市467八五一O农场158212鸡东县467海林农场157126海林市453宁安农场157412宁安市453裴德医院158306密山市467完达山药厂158306密山市467西岗齿轮厂158417虎林市467虎林发电厂158400虎林市467北安分局164095北安市456锦河农场164326黑河市456红色边疆农场164321孙吴县456逊克农场164123逊克县456龙门农场164145五大连池市456襄河农场164146五大连池市456二龙山农场164331五大连池市456龙镇农场164135五大连池市456引龙河农场164141五大连池市456尾山农场146142五大连池市456格球山农场164154五大连池市456长水河农场164007北安市456赵光农场164020北安市456红星农场164022北安市456建设农场164035北安市456赵光糖厂164027北安市456讷谟尔电厂164132五大连池市456九三分局161441嫩江县456鹤山农场161443嫩江县456跃进农场161442嫩江县456大西江农场161448嫩江县456尖山农场161444嫩江县456荣军农场161447嫩江县456红五月农场161446嫩江县456七星泡农场161435嫩江县456嫩江农场161431嫩江县456山河农场161421嫩江县456嫩北农场161405嫩江县456建边农场161415嫩江县456双山油脂厂161441嫩江县456齐齐哈尔分局161005齐市452克山农场161321克山县452富裕牧场161241富裕县452查哈阳农场162116甘南县452泰米农场162411泰来县452绿色草原牧场162263杜蒙县452巨浪牧场162395林甸县452依安农场161502依安县452绥化分局152071绥化市455嘉荫农场153223嘉荫县458铁力农场152501铁力县458海伦农场152365海伦市455红光农场152343海伦市455绥棱农场152241绥棱县455和平牧场163851大庆市459肇源农场151317肇源县459安达牧场151411安达市455柳河农场152443庆安县455哈尔滨分局150001哈市451庆阳农场150778延寿县451岔林河农场150923通河县451沙河农场150823方正县451香坊农场150038哈市451青年农场150050哈市451阎家岗农场150078哈市451红旗农场150088哈市451红旗制造厂150088哈市451松花江啤酒厂150088哈市451总局直属松花江农场154822依兰县451。
八五六农业相关基本概况一、农场自然概况:1、地理位置:黑龙江省856农场位于完达山南麓虎林市境内穆棱河南岸,南邻兴凯湖、东邻松阿察河与俄罗斯接壤,地处美丽富饶的三江平原。
地理坐标为北纬45度22分24秒---45度44分50秒,东经132度28分---133度11分38秒,位于亚洲黑土带分布区域北纬43-49度之间。
2、气候特点:农场具有中纬度温带大陆季风性气候,属黑龙江省第三积温带上限,年平均气温3.7℃,极端最高气温35.8℃,极端最低气温零下37.6℃。
年≥10℃活动积温2493.3℃,无霜期138天左右,降雨541.5MM,平均日照时数2080小时。
全年多西北风,作物生长期时多西南风,年平均风速4.6级,平均蒸发量为1367mm。
3、土地资源:农场土地总面积1259平方公里(大于香港、等于两个新加坡),耕地总面积102.3万亩,区内拥有兴凯湖、穆棱河两大自然水系和占地面积为2.43万亩的第一大地上平原水库---青山水库,林地13.5万亩,其中天然次生林8万亩,森林覆盖率达17.8%,草原25.8776万亩,牧地1.7万亩,水面6万亩。
4、土壤类型:主要有白浆土、草甸土、河泛土、棕壤土四大类,其中白浆土是我场主要土类,面积约有163.2万亩,占总面积的86.4%,白浆土的黑土层、白浆层、淀积层分明,黑土层厚度一般在15—20厘米,白浆层厚度20—40厘米,白浆土质地粘重,通透性差,腐殖质含量高,速效磷缺乏。
5、农业生态环境建设:农场远离大城市与工业区,地处国家大型灌区---兴凯湖百万亩灌区腹地,生态环境没有遭受破坏和污染,具有近似原始的生态环境,为国家二级生态示范区。
6、农业自然灾害情况调查:农场时常发生的主要自然灾害为:阶段性旱、涝灾害,雹灾,风害,虫害,病害及低温冷害等。
-1-二、社会经济概况:1、行政区划:全场下辖14个管理区(包涵作业站29个办家庭农场3,425个)和12个企事业单位。
宝泉岭分局154211 萝北县468
二九O农场156202 绥滨县468
绥滨农场156203 绥滨县468
江滨农场154243 萝北县468
军川农场154244 萝北县468
名山农场154242 萝北县468
延军农场154231 萝北县468
共青农场154213 萝北县468
宝泉岭农场154211 萝北县468
普阳农场156213 绥滨县468
新华农场154109 鹤岗市468
汤原农场154703 汤原县454
梧桐河农场154223 萝北县468
依兰农场154823 依兰县454
红兴隆分局156911 友谊县469
友谊农场156900 友谊县469
二九一农场154923 集贤县469
五九七农场156610 宝清县469
八五二农场156620 宝清县469
八五三农场156630 宝清县469
饶河农场156741 饶河县469
红旗岭农场156712 饶河县469
双鸭山农场155132 双鸭山市469 江川农场154302 桦川县454
宝山农场154350 桦川县454
曙光农场154451 桦南县454
北兴农场154625 七台河市464 红兴隆电厂156628 宝清县469
新谊糖厂156911 友谊县469
建三江分局156300 富锦市454
八五九农场156326 饶河县469
胜利农场156324 饶河县469
红卫农场156322 饶河县469
七星农场156300 富锦市454
大兴农场156303 富锦市454
创业农场156321 富锦市454
勤得利农场156426 同江市454
青龙山农场156333 同江市454
前进农场156331 同江市454
洪河农场156332 同江市454
鸭绿河农场156334 同江市454
浓江农场156427 同江市454
前哨农场156511 抚远县454
前锋农场156325 抚远县454
二道河农场156330 抚远县454
前进油脂厂156331 同江市454
建三江电厂156300 富锦市454
牡丹江分局158305 密山市467
八五O农场158422 虎林市467
八五四农场158403 虎林市467
八五六农场158418 虎林市467
八五八农场158419 虎林市467
庆丰农场158421 虎林市467
云山农场158420 虎林市467
八五五农场158327 密山市467
八五七农场158322 密山市467
八五一一农场158307 密山市467 兴凯湖农场158325 密山市467
八五一O农场158212 鸡东县467 海林农场157126 海林市453
宁安农场157412 宁安市453
裴德医院158306 密山市467
完达山药厂158306 密山市467
西岗齿轮厂158417 虎林市467
虎林发电厂158400 虎林市467
北安分局164095 北安市456
锦河农场164326 黑河市456
红色边疆农场164321 孙吴县456 逊克农场164123 逊克县456
龙门农场164145 五大连池市456 襄河农场164146 五大连池市456 二龙山农场164331 五大连池市456 龙镇农场164135 五大连池市456 引龙河农场164141 五大连池市456 尾山农场146142 五大连池市456 格球山农场164154 五大连池市456 长水河农场164007 北安市456
赵光农场164020 北安市456
红星农场164022 北安市456
建设农场164035 北安市456
赵光糖厂164027 北安市456
讷谟尔电厂164132 五大连池市456 九三分局161441 嫩江县456
鹤山农场161443 嫩江县456
跃进农场161442 嫩江县456
大西江农场161448 嫩江县456
尖山农场161444 嫩江县456
荣军农场161447 嫩江县456
红五月农场161446 嫩江县456
七星泡农场161435 嫩江县456
嫩江农场161431 嫩江县456
山河农场161421 嫩江县456
嫩北农场161405 嫩江县456
建边农场161415 嫩江县456
双山油脂厂161441 嫩江县456
齐齐哈尔分局161005 齐市452 克山农场161321 克山县452
富裕牧场161241 富裕县452
查哈阳农场162116 甘南县452
泰米农场162411 泰来县452
绿色草原牧场162263 杜蒙县452 巨浪牧场162395 林甸县452
依安农场161502 依安县452
绥化分局152071 绥化市455
嘉荫农场153223 嘉荫县458
铁力农场152501 铁力县458
海伦农场152365 海伦市455
红光农场152343 海伦市455
绥棱农场152241 绥棱县455
和平牧场163851 大庆市459
肇源农场151317 肇源县459
安达牧场151411 安达市455
柳河农场152443 庆安县455
哈尔滨分局150001 哈市451
庆阳农场150778 延寿县451
岔林河农场150923 通河县451
沙河农场150823 方正县451
香坊农场150038 哈市451
青年农场150050 哈市451
阎家岗农场150078 哈市451
红旗农场150088 哈市451
红旗制造厂150088 哈市451
松花江啤酒厂150088 哈市451 总局直属
松花江农场154822 依兰县451。