东北大学高数试卷及答案2003.1.10
- 格式:docx
- 大小:170.49 KB
- 文档页数:5
2003年普通高等学校招生全国统一考试(全国卷)数 学(理工农医类)注意事项:1. 答第Ⅰ卷前,考生务必将自己的姓名、准考证号、考试科目用铅笔涂写在答题卡上.2. 每小题选出答案后,用铅笔把答题卡上对应答案标号涂黑,如需改动,用橡皮擦干净后,再选涂其它答案,不能答在试题卷上.3. 考试结束,监考人将本试卷和答题卡一并收回. 参考公式:三角函数的积化和差公式: 正棱台、圆台的侧面积公式)]sin()[sin(21cos sin βαβαβα-++=⋅ l c c S )(21+'=台侧 其中c '、c 分别表示)]sin()[sin(21sin cos βαβαβα--+=⋅ 上、下底面周长,l 表示斜高或母线长.)]cos()[cos(21cos cos βαβαβα-++=⋅ 球体的体积公式:334R V π=球 ,其中R)]cos()[cos(21sin sin βαβαβα--+-=⋅ 表示球的半径.本试卷分第Ⅰ卷(选择题)和第Ⅱ卷(非选择题)两部分第Ⅰ卷(选择题共60分)一.选择题:本大题共12小题,每小题5分,共60分,在每小题给出的四个选项中,只有一项是符合要求的 1.已知2(π-∈x ,0),54cos =x ,则2tg x = ( ) (A )247 (B )247- (C )724 (D )724-2.圆锥曲线θθρ2cos sin 8=的准线方程是 ( ) (A )2cos -=θρ (B )2cos =θρ (C )2sin =θρ (D )2sin -=θρ 3.设函数⎪⎩⎪⎨⎧-=-2112)(xx f x 00>≤x x ,若1)(0>x f ,则0x 的取值范围是 ( ) (A )(1-,1) (B )(1-,∞+)(C )(∞-,2-)⋃(0,∞+) (D )(∞-,1-)⋃(1,∞+) 4.函数)cos (sin sin 2x x x y +=的最大值为 ( )(A )21+ (B )12- (C )2 (D )25.已知圆C :4)2()(22=-+-y a x (0>a )及直线l :03=+-y x ,当直线l 被C 截得的弦长为32时,则a ( ) (A )2 (B )22- (C )12- (D )12+6.已知圆锥的底面半径为R ,高为3R ,在它的所有内接圆柱中,全面积的最大值是( )(A )22R π (B )249R π (C )238R π (D )223R π7.已知方程0)2)(2(22=+-+-n x x m x x 的四个根组成一个首项为41的的等差数列,则=-||n m ( )(A )1 (B )43 (C )21 (D )838.已知双曲线中心在原点且一个焦点为F (7,0),直线1-=x y 与其相交于M 、N 两点,MN 中点的横坐标为32-,则此双曲线的方程是 ( ) (A )14322=-y x (B )13422=-y x (C )12522=-y x (D )15222=-y x 9.函数x x f sin )(=,]23,2[ππ∈x 的反函数=-)(1x f ( )(A )x arcsin - 1[-∈x ,1] (B )x arcsin --π 1[-∈x ,1] (C )x arcsin +π 1[-∈x ,1] (D )x arcsin -π 1[-∈x ,1]10.已知长方形的四个顶点A (0,0),B (2,0),C (2,1)和D (0,1),一质点从AB 的中点0P 沿与AB 的夹角θ的方向射到BC 上的点1P 后,依次反射到CD 、DA 和AB 上的点2P 、3P 和4P (入射角等于反射角),设4P 的坐标为(4x ,0),若214<<x ,则tg θ的取值范围是 ( ) (A )(31,1) (B )(31,32) (C )(52,21) (D )(52,32)11.=++++++++∞→)(lim 11413122242322nnn C C C C n C C C C ΛΛ ( )(A )3 (B )31 (C )61(D )6 12.一个四面体的所有棱长都为2,四个顶点在同一球面上,则些球的表面积为( ) (A )π3 (B )π4 (C )π33 (D )π62003年普通高等学校招生全国统一考试(全国卷)数 学(理工农医类)第Ⅱ卷(非选择题共90分)二.填空题:本大题共4小题,每小题4分,共16分把答案填在题中横线上13.92)21(xx -的展开式中9x 系数是14.使1)(log 2+<-x x 成立的x 的取值范围是15.如图,一个地区分为5个行政区域,现给地图着色,要求相邻地区不得使用同一颜色,现有4种颜色可供选择,则不同的着色方法共有种(以数字作答)16.下列5个正方体图形中,l 是正方体的一条对角线,点M 、N 、P 分别为其所在棱的中点,能得出⊥l 面MNP 的图形的序号是 (写出所有符合要求的图形序号)① ② ③ ④ ⑤三、解答题:本大题共6小题,共74分,解答应写出文字说明,证明过程或或演算步骤 17.(本小题满分12分) 已知复数z 的辐角为︒60,且|1|-z 是||z 和|2|-z 的等比中项,求||z18.(本小题满分12分)如图,在直三棱柱111C B A ABC -中,底面是等腰直角三角形,︒=∠90ACB ,侧棱21=AA ,D 、E 分别是1CC 与B A 1的中点,点E 在平面ABD 上的射影是△ABD 的重心G(I )求B A 1与平面ABD 所成角的大小(结果用反三角函数值表示)(II )求点1A 到平面AED 的距离 19.(本小题满分12分) 已知0>c ,设P :函数x c y =在R 上单调递减 Q :不等式1|2|>-+c x x 的解集为R 如果P 和Q 有且仅有一个正确,求c 的取值范围 20.(本小题满分12分)在某海滨城市附近海面有一台风,据监测,当前台风中心位于城市O (如图)的东偏南102arccos (=θθ)方向300km 的海面P 处,并以20km/h 的速度向西偏北︒45方向移动,台风侵袭的范围为圆形区域,当前半径为60km ,并以10km/h 的速度不断增大,问几小时后该城市开始受到台风的侵袭? 21.(本小题满分14分)已知常数0>a ,在矩形ABCD 中,4=AB ,a BC 4=,O 为AB 的中点,点E 、F 、G 分别在BC 、CD 、DA 上移动,且BE CF DG BC CD DA ==,P 为GE 与OF的交点(如图),问是否存在两个定点,使P 到这两点D E KBCABA FCG东的距离的和为定值?若存在,求出这两点的坐标及此定值;若不存在,请说明理由 22.(本小题满分12分,附加题4 分)(I )设}{n a 是集合|22{ts + t s <≤0且Z t s ∈,}中所有的数从小到大排列成的数列,即31=a ,52=a ,63=a ,94=a ,105=a ,126=a ,…将数列}{n a 各项按照上小下大,左小右大的原则写成如下的三角形数表:35 69 10 12 — — — —…………⑴写出这个三角形数表的第四行、第五行各数;⑵求100a(II )(本小题为附加题,如果解答正确,加4 分,但全卷总分不超过150分)设}{n b 是集合t s r t s r <<≤++0|222{,且},,Z t s r ∈中所有的数从小到大排列成的数列,已知1160=k b ,求k .2003年普通高等学校招生全国统一考试(全国卷)数学(理工农医类)答案一、选择题:本题考查基本知识和基本运算. 每小题5分,满分60分.1.D 2.C 3.D 4.A 5.C 6.B 7.C 8.D 9.D 10.C 11.B 12.A 二、填空题:本题考查基本知识和基本运算.每小题4分,满分16分. 13.221-14.(-1,0) 15.72 16.①④⑤ 三、解答题:本大题共6小题,共74分.解答应写出文字说明,证明过程或演算步骤. 17. 解:设)60sin 60cos οοr r z +=,则复数.2r z 的实部为2,r z z r z z ==-由题设 .12||).(12,12:.012,421,)2)(2(||)1)(1(:|2||||1|2222-=--=-==-++-=+-∴--=---⋅=-z r r r r r r r r r z z z z z z z z 即舍去解得整理得即 18.(Ⅰ)解:连结BG ,则BG 是BE 在ABD 的射影,即∠EBG 是A 1B 与平面ABD 所成的角. 设F 为AB 中点,连结EF 、FC ,.32arcsin.323136sin .3,32,22,2.36321,2)4(.3,1,31.,,,,,,112211所成的角是与平面于是分中在直角三角形的重心是连结为矩形平面又的中点分别是ABD B A EB EG EBG EB B A AB CD FC EG ED FD EF FD FD FG EF EFD DF G ADB G DE CDEF ABC DC B A CC E D ∴=⋅==∠∴===∴===⨯===∴==⋅=∈∴∆∴⊥ΘΛΛΘΘ(Ⅱ)解:,,,F AB EF EF ED AB ED =⋂⊥⊥又Θ.36236232222,.,.,.,.,111111*********的距离为到平面中在的距离到平面是即平面垂足为作面且面平面平面面又面AED A AB B A A A K A AB A AED A K A AED K A K AE K A AE AB A AED AB A AED AED ED AB A ED ∴=⨯=⋅=∆⊥∴⊥=⋂⊥∴⊂⊥∴19.解:函数xc y =在R 上单调递减.10<<⇔c不等式.1|2|1|2|上恒大于在函数的解集为R c x x y R c x x -+=⇔>-+22,2,|2|2,2,|2|2.1|2|121.21,,0.21,, 1.(0,][1,).2x c x c x x c c x c y x x c R c x x c R c c P Q c P Q c c -≥⎧+-=⎨<⎩∴=+-∴+->⇔>⇔><≤≥⋃+∞Q 函数在上的最小值为不等式的解集为如果正确且不正确则如果不正确且正确则所以的取值范围为(以上方法在新疆考区无一人使用,大都是用解不等式的方法,个别使用的图象法) 20.解:如图建立坐标系以O 为原点,正东方向为x 轴正向.在时刻:(1)台风中心P (y x ,)的坐标为⎪⎪⎩⎪⎪⎨⎧⨯+⨯-=⨯-⨯=.22201027300,2220102300t y t x 此时台风侵袭的区域是,)]([)()(22t r y y x x ≤-+-其中,6010)(+=t t r 若在t 时刻城市O 受到台风的侵袭,则有.)6010()0()0(222+≤-+-t y x 即22)22201027300()2220102300(t t ⨯+⨯-+⨯-⨯2412,028836,)6010(22≤≤≤+-+≤t t t t 解得即答:12小时后该城市开始受到台风的侵袭.21.根据题设条件,首先求出点P 坐标满足的方程,据此再判断是否存在的两定点,使得点P 到两点距离的和为定值. 按题意有A (-2,0),B (2,0),C (2,4a ),D (-2,4a )设(01)BE CF DG k k BC CD DA===≤≤ 由此有E (2,4a k ),F (2-4k ,4a ),G (-2,4a -4ak ) 直线OF 的方程为:0)12(2=-+y k ax ① 直线GE 的方程为:02)12(=-+--a y x k a ②从①,②消去参数k ,得点P (x,y )坐标满足方程022222=-+ay y x a整理得1)(21222=-+a a y x 当212=a 时,点P 的轨迹为圆弧,所以不存在符合题意的两点.当212≠a 时,点P 轨迹为椭圆的一部分,点P 到该椭圆焦点的距离的和为定长 当212<a 时,点P 到椭圆两个焦点(),21(),,2122a a a a ---的距离之和为定值2当212>a 时,点P 到椭圆两个焦点(0,)21,0(),2122-+--a a a a 的距离之和为定值2a .22.(本小题满分12分,附加题4分) (Ⅰ)解:用(t,s)表示22t s +,下表的规律为3((0,1)=0122+)5(0,2) 6(1,2)9(0,3) 10(1,3) 12(2,3) — — — —…………(i )第四行17(0,4) 18(1,4) 20(2,4) 24(3,4)第五行 33(0,5) 34(1,5) 36(2,5) 40(3,5) 48(4,5)(i i )解法一:因为100=(1+2+3+4+……+13)+9,所以100a =(8,14)=81422+=16640解法二:设0022100t s a +=,只须确定正整数.,00t s数列}{n a 中小于02t的项构成的子集为 },0|2{20t t t s s <<≤+ 其元素个数为.1002)1(,2)1(000020<--=t t t t C t 依题意满足等式的最大整数0t 为14,所以取.140=t因为100-.1664022,8s ,181410000214=+=∴=+=a s C 由此解得(Ⅱ)解:,22211603710++==k b令}0|22{2B ,(}1160|{r t s r C B c M t s <<≤++=<∈=其中因}.22222|{}222|{}2|{37107107101010++<<+∈⋃+<<∈⋃<∈=c B c c B c c B c M 现在求M 的元素个数:},100|222{}2|{10<<<≤++=<∈t s r c B c t s r其元素个数为310C : }.70|222{}222|{1071010<<≤++=+<<∈s r c B c r s某元素个数为}30|222{}22222|{:710371071027<≤++=++<<+∈r c B c C r某元素个数为.1451:2327310710=+++=C C C k C另法:规定222r t s ++=(r,t,s ),10731160222k b ==++=(3,7,10)则0121222b =++= (0,1,2) 22C依次为 (0,1,3) (0,2,3) (1,2,3) 23C (0,1,4) (0,2,4)(1,2,4)(0,3,4) (1,3,4)(2,3,4) 24C…………(0,1,9) (0,2,9)………… ( 6,8,9 )(7,8,9) 29C(0,1,10)(0,2,10).........(0,7,10)( 1,7,10)(2,7,10)(3,7,10) (2)7C +422222397()4145.k C C C C =+++++=L。
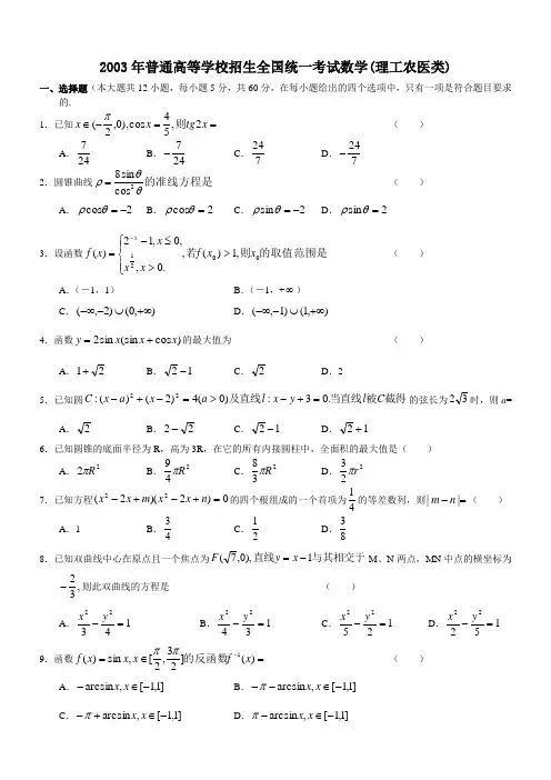
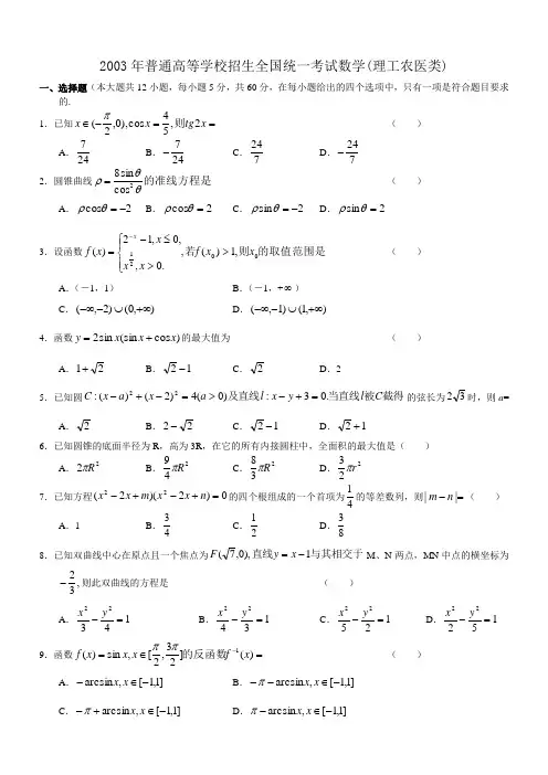
2003年普通高等学校招生全国统一考试数学(理工农医类)一、选择题(本大题共12小题,每小题5分,共60分,在每小题给出的四个选项中,只有一项是符合题目要求的. 1.已知==-∈x tg x x 2,54cos ),0,2(则π( )A .247 B .247-C .724 D .724- 2.圆锥曲线的准线方程是θθρ2cos sin 8=( )A .2cos -=θρB .2cos =θρC .2sin -=θρD .2sin =θρ3.设函数的取值范围是则若0021,1)(,.0,,0,12)(x x f x x x x f x >⎪⎩⎪⎨⎧>≤-=- ( )A .(-1,1)B .(-1,+∞)C .),0()2,(+∞⋃--∞D .),1()1,(+∞⋃--∞4.函数)cos (sin sin 2x x x y +=的最大值为 ( )A .21+B .12-C .2D .25.已知圆截得被当直线及直线C l y x l a x a x C .03:)0(4)2()(:22=+->=-+-的弦长为32时,则a =A .2B .22-C .12-D .12+6.已知圆锥的底面半径为R ,高为3R ,在它的所有内接圆柱中,全面积的最大值是( )A .22R πB .249R πC .238R πD .223r π7.已知方程0)2)(2(22=+-+-n x x m x x 的四个根组成的一个首项为41的等差数列,则=-||n m ( )A .1B .43 C .21 D .83 8.已知双曲线中心在原点且一个焦点为与其相交于直线1),0,7(-=x y F M 、N 两点,MN 中点的横坐标为,32-则此双曲线的方程是 ( )A .14322=-y x B .13422=-y x C .12522=-y xD .15222=-y x 9.函数=∈=-)(]23,2[,sin )(1x f x x x f 的反函数ππ( )A .]1,1[,arcsin -∈-x xB .]1,1[,arcsin -∈--x x πC .]1,1[,arcsin -∈+-x x πD .]1,1[,arcsin -∈-x x π10.已知长方形的四个项点A (0,0),B (2,0),C (2,1)和D (0,1),一质点从AB 的中点P 0沿与AB 夹角为θ的方向射到BC 上的点P 1后,依次反射到CD 、DA 和AB 上的点P 2、P 3和P 4(入射解等于反射角),设P 4坐标为(θtg ,2x 1),0,44则若<<x 的取值范围是( )A .)1,31(B .)32,31(C .)21,52(D .)32,52(11.=++++++++∞→)(lim 11413122242322nnn C C C C n C C C C( )A .3B .31C .61 D .612.一个四面体的所有棱长都为2,四个项点在同一球面上,则此球的表面积为 ( )A .3πB .4πC .3π3D .6π二、填空题:本大题共4小题,每小题4分,共16分,把答案填在题中横线上. 13.92)21(xx -展开式中9x 的系数是 . 14.使1)(log 2+<-x x 成立的x 的取值范围是 .15.如图,一个地区分为5个行政区域,现给地图着色,要求相邻区 域不得使用同一颜色,现有4种颜色可供选择,则不同的着色方法共有 种.(以数字作答)16.下列五个正方体图形中,l 是正方体的一条对角线,点M 、N 、P 分别为具所在棱的中点,能得出l ⊥面MNP的图形的序号是 .(写出所有符合要求的图形序号)三、解答题:本大题共6小题,共74分. 解答应写出文字的说明,证明过程或演算步骤. 17.(本小题满分12分)已知复数z 的辐角为60°,且|1|-z 是||z 和|2|-z 的等比中项. 求||z .18.(本小题满分12分) 如图,在直三棱柱ABC —A 1B 1C 1中,底面是等腰直角三形,∠ACB=90°,侧棱AA 1=2,D 、E 分别是CC 1与A 1B 的中点,点E 在平面ABD 上的射影是△ABD 的重心G. (Ⅰ)求A 1B 与平面ABD 所成角的大小(结果用反三角函数值表示); (Ⅱ)求点A 1到平面AED 的距离. 19.(本小题满分12分)已知.0>c 设P :函数xc y =在R 上单调递减.Q :不等式1|2|>-+c x x 的解集为R ,如果P 和Q 有且仅有一个正确,求c 的取值范围. 20.(本小题满分12分)在某海滨城市附近海面有一台风,据监测,当前台风中心位于城市O (如图)的东偏南)102arccos(=θθ方向300km 的海面P 处,并以20km/h 的速度向西偏北45°方向移动. 台风侵袭的范围为圆形区域,当前半径为60km,并以10km/h 的速度不断增大. 问几小时后该城市开始受到台风的侵袭? 21.(本小题满分14分)已知常数,0>a 在矩形ABCD 中,AB=4,BC=4a ,O 为AB 的中点,点E 、F 、G 分别在BC 、CD 、DA 上移动,且DADGCD CF BC BE ==,P 为GE 与OF 的交点(如图),问是否存在两个定点,使P 到这两点的距离的和为定值?若存在,求出这两点的坐标及此定值;若不存在,请说明理由. 22.(本小题满分12分,附加题4分)(Ⅰ)设Z}t s,,0|2{2}{t ∈<≤+且是集合t s a sn 中所有的数从小到大排列成的数列,即.,12,10,9,6,5,3654321 ======a a a a a a将数列}{n a 各项按照上小下大,左小右大的原则写成如下的三角形数表: 35 69 10 12— — — —— — — — — (i )写出这个三角形数表的第四行、第五行各数; (i i )求100a .(Ⅱ)(本小题为附加题,如果解答正确,加4分,但全卷总分不超过150分)设Z}t s,r,,0|22{2}{r ∈<<≤++且是集合t s r b st n 中所有的数都是从小到大排列成的数列,已知k.,1160求=k b2003年普通高等学校招生全国统一考试数 学(理工农医类)答案一、选择题1.D 2.C 3.D 4.A 5.C 6.B 7.C 8.D 9.D 10.C 11.B 12.A 二、填空题 13.221-14.(-1,0) 15.72 16.①④⑤ 三、解答题: 17. 解:设)60sin 60cos r r z+=,则复数.2rz 的实部为2,r z z r z z ==-由题设.12||).(12,12:.012,421,)2)(2(||)1)(1(:|2||||1|2222-=--=-==-++-=+-∴--=---⋅=-z r r r r r r r r r z z z z z z z z 即舍去解得整理得即 18.(Ⅰ)解:连结BG ,则BG 是BE 在ABD 的射影,即∠EBG 是A 1B 与平面ABD 所成的角. 设F 为AB 中点,连结EF 、FC ,112211,,,,,,.1,1, 3.(4)31262,.2,22,23, 3.336122sin .arcsin .3333D E CC A B DC ABC CDEF DE G ADB G DF EFD EF FG FD FD EF FD ED EG FC CD AB A B EB EG EBG A B ABD EB ⊥∴∆∴∈=⋅==∴=⨯=====∴===∴∠==⋅=∴分别是的中点又平面为矩形连结是的重心在直角三角形中分于是与平面所成的角是(Ⅱ)解:,,,F AB EF EF ED AB ED =⋂⊥⊥又.36236232222,.,.,.,.,111111*********的距离为到平面中在的距离到平面是即平面垂足为作面且面平面平面面又面AED A AB B A A A K A AB A AED A K A AED K A K AE K A AE AB A AED AB A AED AED ED AB A ED ∴=⨯=⋅=∆⊥∴⊥=⋂⊥∴⊂⊥∴19.解:函数x c y =在R 上单调递减.10<<⇔c不等式.1|2|1|2|上恒大于在函数的解集为R c x x y R c x x -+=⇔>-+).,1[]21,0(.1,,.210,,.21121|2|.2|2|,2,2,2,22|2|+∞⋃≥≤<>⇔>⇔>-+∴-+=∴⎩⎨⎧<≥-=-+的取值范围为所以则正确且不正确如果则不正确且正确如果的解集为不等式上的最小值为在函数c c Q P c Q P c c R c x x c R c x x y c x c c x c x c x x20.解:如图建立坐标系以O 为原点,正东方向为x 轴正向.在时刻:(1)台风中心P (y x ,)的坐标为⎪⎪⎩⎪⎪⎨⎧⨯+⨯-=⨯-⨯=.22201027300,2220102300t y t x此时台风侵袭的区域是,)]([)()(22t r y y x x ≤-+- 其中,6010)(+=t t r 若在t 时刻城市O 受到台风的侵袭,则有.)6010()0()0(222+≤-+-t y x 即22)22201027300()2220102300(t t ⨯+⨯-+⨯-⨯2412,028836,)6010(22≤≤≤+-+≤t t t t 解得即答:12小时后该城市开始受到台风的侵袭.21.根据题设条件,首先求出点P 坐标满足的方程,据此再判断是否存在的两定点,使得点P 到两点距离的和为定值.按题意有A (-2,0),B (2,0),C (2,4a ),D (-2,4a )设)10(≤≤==k DADCCD CF BC BE 由此有E (2,4a k ),F (2-4k ,4a ),G (-2,4a -4ak )直线OF 的方程为:0)12(2=-+y k ax ①直线GE 的方程为:02)12(=-+--a y x ka ②从①,②消去参数k ,得点P (x,y )坐标满足方程022222=-+ay y x a整理得1)(21222=-+a a y x 当212=a 时,点P 的轨迹为圆弧,所以不存在符合题意的两点. 当212≠a时,点P 轨迹为椭圆的一部分,点P 到该椭圆焦点的距离的和为定长。
2003年高考真题——数学(理科)真题及答案[全国卷I]2003年普通高等学校招生全国统一考试(全国卷)数学(理工农医类)分为第Ⅰ卷(选择题)和第Ⅱ卷(非选择题)两部分。
第Ⅰ卷1至2页,第Ⅱ卷3至10页。
考试结束后,将本试卷和答题卡一并交回。
第Ⅰ卷(选择题共60分)一.选择题:本大题共12小题,每小题5分,共60分,在每小题给出的四个选项中,只有一项是符合要求的。
1.已知$x\in (-\pi/2,0)$,$cosx=4$,则$tan2x=$text{(A)}\frac{7}{24}\quad\text{(B)}-\frac{7}{24}\quad\text{(C)}\frac{24}{7}\quad\text{(D)}-\frac{247}{25}2.圆锥曲线$\rho=2cos\theta$的准线方程是text{(A)}\rho cos\theta=-2\quad\text{(B)}\rhocos\theta=2\quad\text{(C)}\rho sin\theta=2\quad\text{(D)}\rho sin\theta=-23.设函数$f(x)=\begin{cases}1,&x1$,则$x$的取值范围是text{(A)}(-1,1)\quad\text{(B)}(-1,+\infty)\quad\text{(C)}(-\infty,-2)\cup[0,+\infty)\quad\text{(D)}(-\infty,-1)\cup(1,+\infty)4.函数$y=2sinx(sinx+cosx)$的最大值为text{(A)}1+2\sqrt{2}\quad\text{(B)}2-\sqrt{2}\quad\text{(C)}2\quad\text{(D)}2\sqrt{2}5.已知圆$C:(x-a)^2+(y-2)^2=4(a>0)$及直线$l:x-y+3=0$,当直线$l$被$C$截得的弦长为23时,则$a=$text{(A)}2\quad\text{(B)}2-\sqrt{2}\quad\text{(C)}2^{-1}\quad\text{(D)}2+\sqrt{2}6.已知圆锥的底面半径为$R$,高为$3R$,在它的所有内接圆柱中,全面积的最大值是text{(A)}2\pi R\quad\text{(B)}\pi R^2\quad\text{(C)}\piR\sqrt{2}\quad\text{(D)}\pi R\sqrt{3}7.已知方程$(x^2-2x+m)(x^2-2x+n)=0$的四个根组成一个首项为1的等差数列,则$|m-n|=$text{(A)}1\quad\text{(B)}3\quad\text{(C)}\frac{1}{2}\quad\t ext{(D)}\frac{4}{3}8.已知双曲线中心在原点且一个焦点为$F(7,0)$,直线$y=x-1$与其相交于$M$、$N$两点,$MN$中点的横坐标为$-\frac{1}{2}$,则此双曲线的方程是text{(A)}\frac{x^2}{9}-\frac{y^2}{8}=1\quad\text{(B)}\frac{y^2}{9}-\frac{x^2}{8}=1\quad\text{(C)}\frac{x^2}{8}-\frac{y^2}{9}=1\quad\text{(D)}\frac{y^2}{8}-\frac{x^2}{9}=19.函数$f(x)=\sin x$,$x\in[\frac{\pi}{2},\frac{3\pi}{2}]$的反函数$f^{-1}(x)$是text{(A)}-\arcsin x,\ x\in[-1,1]\quad\text{(B)}-\pi-\arcsin x,\ x\in[-1,1]\quad\text{(C)}\pi+\arcsin x,\ x\in[-1,1]\quad\text{(D)}\pi-\arcsin x,\ x\in[-1,1]10.已知长方形的四个顶点$A(0,0)$,$B(2,0)$,$C(2,1)$和$D(0,1)$,一质点从$AB$的中点$P$沿与$AB$的夹角$\theta$的方向射到$BC$上的点$Q$,则$\theta$的取值范围是text{(A)}\left[-\frac{\pi}{4},\frac{\pi}{4}\right]\quad\text{(B)}\left[-\frac{\pi}{2},\frac{\pi}{2}\right]\quad\text{(C)}\left[-\frac{\pi}{3},\frac{\pi}{3}\right]\quad\text{(D)}\left[-\frac{\pi}{6},\frac{\pi}{6}\right]2.将文章进行修正和改写:2、P3和P4是点P在CD、DA和AB上的反射点,入射角等于反射角。
2003年普通高等学校招生全国统一考试(全国卷)数 学(理工农医类)注意事项:1。
答第Ⅰ卷前,考生务必将自己的姓名、准考证号、考试科目用铅笔涂写在答题卡上. 2. 每小题选出答案后,用铅笔把答题卡上对应答案标号涂黑,如需改动,用橡皮擦干净后,再选涂其它答案,不能答在试题卷上.3. 考试结束,监考人将本试卷和答题卡一并收回. 参考公式:三角函数的积化和差公式: 正棱台、圆台的侧面积公式)]sin()[sin(21cos sin βαβαβα-++=⋅ l c c S )(21+'=台侧 其中c '、c 分别表示)]sin()[sin(21sin cos βαβαβα--+=⋅ 上、下底面周长,l 表示斜高或母线长.)]cos()[cos(21cos cos βαβαβα-++=⋅ 球体的体积公式:334R V π=球 ,其中R)]cos()[cos(21sin sin βαβαβα--+-=⋅ 表示球的半径。
本试卷分第Ⅰ卷(选择题)和第Ⅱ卷(非选择题)两部分第Ⅰ卷(选择题共60分)一.选择题:本大题共12小题,每小题5分,共60分,在每小题给出的四个选项中,只有一项是符合要求的 1.已知2(π-∈x ,0),54cos =x ,则2tg x = ( ) (A)247 (B )247- (C )724 (D )724-2.圆锥曲线θθρ2cos sin 8=的准线方程是 ( ) (A)2cos -=θρ (B )2cos =θρ (C )2sin =θρ (D)2sin -=θρ 3.设函数⎪⎩⎪⎨⎧-=-2112)(xx f x 00>≤x x ,若1)(0>x f ,则0x 的取值范围是 ( ) (A)(1-,1) (B )(1-,∞+)(C )(∞-,2-)⋃(0,∞+) (D )(∞-,1-)⋃(1,∞+)4.函数)cos (sin sin 2x x x y +=的最大值为 ( )(A )21+ (B )12- (C )2 (D )25.已知圆C :4)2()(22=-+-y a x (0>a )及直线l :03=+-y x ,当直线l 被C 截得的弦长为32时,则a ( ) (A )2 (B )22- (C )12- (D )12+6.已知圆锥的底面半径为R ,高为3R ,在它的所有内接圆柱中,全面积的最大值是( )(A )22R π (B )249R π (C )238R π (D)223R π 7.已知方程0)2)(2(22=+-+-n x x m x x 的四个根组成一个首项为41的的等差数列,则=-||n m ( )(A )1 (B )43 (C )21 (D)838.已知双曲线中心在原点且一个焦点为F (7,0),直线1-=x y 与其相交于M 、N 两点,MN 中点的横坐标为32-,则此双曲线的方程是 ( ) (A )14322=-y x (B )13422=-y x (C )12522=-y x (D )15222=-y x 9.函数x x f sin )(=,]23,2[ππ∈x 的反函数=-)(1x f ( )(A )x arcsin - 1[-∈x ,1] (B )x arcsin --π 1[-∈x ,1] (C )x arcsin +π 1[-∈x ,1] (D )x arcsin -π 1[-∈x ,1]10.已知长方形的四个顶点A (0,0),B (2,0),C (2,1)和D(0,1),一质点从AB 的中点0P 沿与AB 的夹角θ的方向射到BC 上的点1P 后,依次反射到CD 、DA 和AB 上的点2P 、3P 和4P (入射角等于反射角),设4P 的坐标为(4x ,0),若214<<x ,则tg θ的取值范围是 ( ) (A )(31,1) (B )(31,32) (C)(52,21) (D )(52,32)11.=++++++++∞→)(lim 11413122242322nnn C C C C n C C C C ( )(A )3 (B )31 (C)61(D )6 12.一个四面体的所有棱长都为2,四个顶点在同一球面上,则些球的表面积为( ) (A )π3 (B )π4 (C )π33 (D )π62003年普通高等学校招生全国统一考试(全国卷)数 学(理工农医类)第Ⅱ卷(非选择题共90分)二。
2003年普通高等学校招生全国统一考试数学(理工农医类)一、选择题(本大题共12小题,每小题5分,共60分,在每小题给出的四个选项中,只有一项是符合题目要求的. 1.已知==-∈x tg x x 2,54cos ),0,2(则π( )A .247 B .247-C .724 D .724- 2.圆锥曲线的准线方程是θθρ2cos sin 8=( )A .2cos -=θρB .2cos =θρC .2sin -=θρD .2sin =θρ3.设函数的取值范围是则若0021,1)(,.0,,0,12)(x x f x x x x f x >⎪⎩⎪⎨⎧>≤-=- ( )A .(-1,1)B .(-1,+∞)C .),0()2,(+∞⋃--∞D .),1()1,(+∞⋃--∞4.函数)cos (sin sin 2x x x y +=的最大值为 ( )A .21+B .12-C .2D .25.已知圆截得被当直线及直线C l y x l a x a x C .03:)0(4)2()(:22=+->=-+-的弦长为32时,则a =A .2B .22-C .12-D .12+6.已知圆锥的底面半径为R ,高为3R ,在它的所有内接圆柱中,全面积的最大值是( )A .22R πB .249R πC .238R πD .223r π7.已知方程0)2)(2(22=+-+-n x x m x x 的四个根组成的一个首项为41的等差数列,则=-||n m ( )A .1B .43 C .21 D .83 8.已知双曲线中心在原点且一个焦点为与其相交于直线1),0,7(-=x y F M 、N 两点,MN 中点的横坐标为,32-则此双曲线的方程是 ( )A .14322=-y x B .13422=-y x C .12522=-y xD .15222=-y x 9.函数=∈=-)(]23,2[,sin )(1x f x x x f 的反函数ππ( )A .]1,1[,arcsin -∈-x xB .]1,1[,arcsin -∈--x x πC .]1,1[,arcsin -∈+-x x πD .]1,1[,arcsin -∈-x x π10.已知长方形的四个项点A (0,0),B (2,0),C (2,1)和D (0,1),一质点从AB 的中点P 0沿与AB 夹角为θ的方向射到BC 上的点P 1后,依次反射到CD 、DA 和AB 上的点P 2、P 3和P 4(入射解等于反射角),设P 4坐标为(θtg ,2x 1),0,44则若<<x 的取值范围是( )A .)1,31(B .)32,31(C .)21,52(D .)32,52(11.=++++++++∞→)(lim 11413122242322nnn C C C C n C C C C( )A .3B .31C .61 D .612.一个四面体的所有棱长都为2,四个项点在同一球面上,则此球的表面积为 ( )A .3πB .4πC .3π3D .6π二、填空题:本大题共4小题,每小题4分,共16分,把答案填在题中横线上. 13.92)21(xx -展开式中9x 的系数是 . 14.使1)(log 2+<-x x 成立的x 的取值范围是 .15.如图,一个地区分为5个行政区域,现给地图着色,要求相邻区 域不得使用同一颜色,现有4种颜色可供选择,则不同的着色方法共有 种.(以数字作答)16.下列五个正方体图形中,l 是正方体的一条对角线,点M 、N 、P 分别为具所在棱的中点,能得出l ⊥面MNP的图形的序号是 .(写出所有符合要求的图形序号)三、解答题:本大题共6小题,共74分. 解答应写出文字的说明,证明过程或演算步骤. 17.(本小题满分12分)已知复数z 的辐角为60°,且|1|-z 是||z 和|2|-z 的等比中项. 求||z .18.(本小题满分12分) 如图,在直三棱柱ABC —A 1B 1C 1中,底面是等腰直角三形,∠ACB=90°,侧棱AA 1=2,D 、E 分别是CC 1与A 1B 的中点,点E 在平面ABD 上的射影是△ABD 的重心G. (Ⅰ)求A 1B 与平面ABD 所成角的大小(结果用反三角函数值表示); (Ⅱ)求点A 1到平面AED 的距离. 19.(本小题满分12分)已知.0>c 设P :函数xc y =在R 上单调递减.Q :不等式1|2|>-+c x x 的解集为R ,如果P 和Q 有且仅有一个正确,求c 的取值范围. 20.(本小题满分12分)在某海滨城市附近海面有一台风,据监测,当前台风中心位于城市O (如图)的东偏南)102arccos(=θθ方向300km 的海面P 处,并以20km/h 的速度向西偏北45°方向移动. 台风侵袭的范围为圆形区域,当前半径为60km,并以10km/h 的速度不断增大. 问几小时后该城市开始受到台风的侵袭? 21.(本小题满分14分)已知常数,0>a 在矩形ABCD 中,AB=4,BC=4a ,O 为AB 的中点,点E 、F 、G 分别在BC 、CD 、DA 上移动,且DADGCD CF BC BE ==,P 为GE 与OF 的交点(如图),问是否存在两个定点,使P 到这两点的距离的和为定值?若存在,求出这两点的坐标及此定值;若不存在,请说明理由. 22.(本小题满分12分,附加题4分)(Ⅰ)设Z}t s,,0|2{2}{t ∈<≤+且是集合t s a sn 中所有的数从小到大排列成的数列,即.,12,10,9,6,5,3654321 ======a a a a a a将数列}{n a 各项按照上小下大,左小右大的原则写成如下的三角形数表: 35 69 10 12— — — —— — — — — (i )写出这个三角形数表的第四行、第五行各数; (i i )求100a .(Ⅱ)(本小题为附加题,如果解答正确,加4分,但全卷总分不超过150分)设Z}t s,r,,0|22{2}{r ∈<<≤++且是集合t s r b st n 中所有的数都是从小到大排列成的数列,已知k.,1160求=k b2003年普通高等学校招生全国统一考试数 学(理工农医类)答案一、选择题1.D 2.C 3.D 4.A 5.C 6.B 7.C 8.D 9.D 10.C 11.B 12.A 二、填空题 13.221-14.(-1,0) 15.72 16.①④⑤ 三、解答题: 17. 解:设)60sin 60cos r r z+=,则复数.2rz 的实部为2,r z z r z z ==-由题设.12||).(12,12:.012,421,)2)(2(||)1)(1(:|2||||1|2222-=--=-==-++-=+-∴--=---⋅=-z r r r r r r r r r z z z z z z z z 即舍去解得整理得即 18.(Ⅰ)解:连结BG ,则BG 是BE 在ABD 的射影,即∠EBG 是A 1B 与平面ABD 所成的角. 设F 为AB 中点,连结EF 、FC ,112211,,,,,,.1,1, 3.(4)31262,.2,22,23, 3.336122sin .arcsin .3333D E CC A B DC ABC CDEF DE G ADB G DF EFD EF FG FD FD EF FD ED EG FC CD AB A B EB EG EBG A B ABD EB ⊥∴∆∴∈=⋅==∴=⨯=====∴===∴∠==⋅=∴分别是的中点又平面为矩形连结是的重心在直角三角形中分于是与平面所成的角是(Ⅱ)解:,,,F AB EF EF ED AB ED =⋂⊥⊥又.36236232222,.,.,.,.,111111*********的距离为到平面中在的距离到平面是即平面垂足为作面且面平面平面面又面AED A AB B A A A K A AB A AED A K A AED K A K AE K A AE AB A AED AB A AED AED ED AB A ED ∴=⨯=⋅=∆⊥∴⊥=⋂⊥∴⊂⊥∴19.解:函数x c y =在R 上单调递减.10<<⇔c不等式.1|2|1|2|上恒大于在函数的解集为R c x x y R c x x -+=⇔>-+).,1[]21,0(.1,,.210,,.21121|2|.2|2|,2,2,2,22|2|+∞⋃≥≤<>⇔>⇔>-+∴-+=∴⎩⎨⎧<≥-=-+的取值范围为所以则正确且不正确如果则不正确且正确如果的解集为不等式上的最小值为在函数c c Q P c Q P c c R c x x c R c x x y c x c c x c x c x x20.解:如图建立坐标系以O 为原点,正东方向为x 轴正向.在时刻:(1)台风中心P (y x ,)的坐标为⎪⎪⎩⎪⎪⎨⎧⨯+⨯-=⨯-⨯=.22201027300,2220102300t y t x此时台风侵袭的区域是,)]([)()(22t r y y x x ≤-+- 其中,6010)(+=t t r 若在t 时刻城市O 受到台风的侵袭,则有.)6010()0()0(222+≤-+-t y x 即22)22201027300()2220102300(t t ⨯+⨯-+⨯-⨯2412,028836,)6010(22≤≤≤+-+≤t t t t 解得即答:12小时后该城市开始受到台风的侵袭.21.根据题设条件,首先求出点P 坐标满足的方程,据此再判断是否存在的两定点,使得点P 到两点距离的和为定值.按题意有A (-2,0),B (2,0),C (2,4a ),D (-2,4a )设)10(≤≤==k DADCCD CF BC BE 由此有E (2,4a k ),F (2-4k ,4a ),G (-2,4a -4ak )直线OF 的方程为:0)12(2=-+y k ax ①直线GE 的方程为:02)12(=-+--a y x ka ②从①,②消去参数k ,得点P (x,y )坐标满足方程022222=-+ay y x a整理得1)(21222=-+a a y x 当212=a 时,点P 的轨迹为圆弧,所以不存在符合题意的两点. 当212≠a时,点P 轨迹为椭圆的一部分,点P 到该椭圆焦点的距离的和为定长。
东北大学高等数学(上)期末考试试卷2001.1.10一、填空题(将正确答案填在横线上,本大题共3小题, 每小题4分, 共12分)1.⎰=dx xe x3( )2.d ( )=24)111(dx x x++ 3.与三点123(1,1,2),(3,3,1),(3,1,3)M M M -决定的平面垂直的单位向量=→a ( )二、单项选择题(在每个小题四个备选答案中选出一个正确答案,填在题末的括号中)(本大题共3小题, 每小题4分, 共12分) 1.当0→x 时,)cos 3(cos 41x x -是2x 的( ) (A ) 高阶无穷小;(B )同阶无穷小;但不是等价无穷小; (C ) 低阶无穷小;(D )等价无穷小 2.若⎰+==x txc dt t ex f ex x g 022213)(,)(,23)()(lim=''+∞→x g x f x 则必有( ) (A )0=c ;(B )1-=c ; (C )1=c ; (D )2=c3.已知4),(,2,1π===→→→→b a b a ,则=+→→b a ( )(A )5; (B )21+; (C )2;(D )1 三.试解下列各题(5⨯7=35分)1. 求极限 xx xx x sin tan lim20-→.2. 242arcsin x x x y -+=,求y '3. 设函数⎩⎨⎧+=+=),1ln(,22t y t t x 求22dx yd . 4. 求不定积分⎰+21xxdx .5. 计算⎰+a adx a x x 2)ln(.四、(9分)设⎩⎨⎧≤->=1,1,)(2x x x x x f 研究)(x f 的连续性与可导性.五、(9分)已知直线L :⎩⎨⎧=+-=-,133z y x y x 及点)2,1,2(0-P ,求点0P 到直线L 的距离.六、(9分)已知曲边三角形由抛物线x y 22=及直线1,0==y x 所围成,求:(1)曲边三角形的面积;(2)该曲边三角形绕0=y 旋转所成旋转体的体积.七、(8分)设可导函数)(x f y =由方程3223323=+-y xy x 所确定,试讨论并求出)(x f 的极值.八、(6分)设函数)(x f 在闭区间[]4,2上有连续导数,且0)4()2(==f f ,证明:⎰≥'≤≤4242)()(max dx x f x f x .东北大学高等数学(上)期末考试试卷2002.1.21一、填空题(将正确答案填在横线上, 本大题共4小题, 每小题3分, 共12分)1. ⎪⎩⎪⎨⎧=≠--=,1,01,11cos 1)(x x x x x f a 若在1x =连续, 则a = . 2.2(sincos )22x x dx -=⎰ . 3.若f (x )在(,)-∞+∞上连续, 则2sin 3()x xd f t dt dx =⎰ . 4.设{}{},3,5,8,1,1,,a b a b a b z +=-=-=-则z = .二、单项选择题(在每个小题四个备选答案中选出一个正确答案, 填在题末的括号中)(本大题共4小题, 每小题4分, 共16分)1.方程x 3-3x +1=0再区间(0,1)内( )(A )无实根;(B )有唯一实根;(C )有两个实根;(D )有三个实根.2.已知222112,1t x t t y t ⎧-=⎪⎪+⎨⎪=⎪+⎩, 则dy dx 为( )(A )21;2t t - (B )21;2t t - (C )21;2x x- (D )22.1tt - 3.半径为R 的半球水池已装满水, 要将水全部吸出水池, 需做功W 为( ) (A )22()RR y dy π-⎰; (B )2Ry dy π⎰; (C )22()Ry R y dy π-⎰; (D )2Ry ydy π⎰.4. 设向量0,0a b ≠≠, 指出以下结论中的正确结论( ). (A )0a b a b ⨯=是与垂直的充要条件; (B )0a b a b ⋅=是与平行的充要条件;(C )a b 与的对应分量成正比是a b 与平行的充要条件; (D )若a b λ=(λ是数), 则0.a b ⋅= 三.试解下列各题(7⨯5=30分)1.求极限lim 1)n n →∞. 2. 设函数y =y (x )由方程e y +xy =e 所确定, 求(0)y ''. 3. y =x ln x , 求y (n ).4.求不定积分2arctan x xdx ⎰.5.计算π⎰.四.(6分)求过点(0,2,4)且与两平面x +2z =1和y -3z =2平行的直线方程. 五.(6分)讨论函数sin 20()ln(1)0,xx f x x x <⎧=⎨+≥⎩ 在x =0处的连续性与可导性.六.(10分)求由22,y x x y x =-=-在上半平面围成图形的面积.七.(9分)在椭圆4x 2+y 2=4上任一点M (x , y ) (点M 在第一象限)处的切线与o x 轴, o y 轴分别交于A , B 两点. (1)试将该切线与两坐标轴围成的三角形的面积s 表示为x 的函数; (2) 问x 为何值时三角形面积s 最小, 并求出此最小面积.八.(6分)设函数f (x )是二次可导函数,x =a , x =b ( a < b ) 是方程f (x ) =0的相邻两个根, 又存在(,)c a b ∈, 使f (c ) < 0. 试证: (1)在(a , b )内f (x ) <0; (2) 在(a , b ) 内至少存在一点η, 使()0.f η''<东北大学高等数学(上)期末考试试卷2003.1.10一、填空题(将正确答案填在横线上,本大题共4小题, 每小题3分, 共12分)1. 设)(x f 处处连续,且3)2(=f ,则=→)2sin (3sin lim0xxf x x x ( )2. 函数31292)(23-+-=x x x x f 在闭区间( )单调减.3. ⎰=xdx 2tan ( )4. 已知,23→→→→--=k j i a →→→→-+=k j i b 2,则→→b a ,夹角的余弦是( ) 二、单项选择题(在每个小题四个备选答案中选出一个正确答案,填在题末的括号中)(本大题共4小题, 每小题4分, 共16分) 1.)()(xxee x xf --=在其定义域),(+∞-∞是( ).(A )有界函数; (B )单调函数; (C )奇函数; (D )偶函数 2.设)100()4)(3)(2)(1()(+⋅⋅⋅+-+-=x x x x x x x f ,则)1(f '=( ). (A )101!; (B )-100!; (C )100!101-; (D )99!100-. 3.定积分⎰4302sin πdx x =( )(A )21; (B )23; (C )21-; (D )23- 4.直线37423zy x =-+=-+与平面3224=--z y x 的关系是( ) (A )平行,但直线不在平面上; (B )直线在平面上; (C )垂直相交; (D )相交但不垂直. 三.试解下列各题(6⨯6=36分)1. 求极限)1(1lim2222---→xx x e x x e2.设222,ln cos dx yd x x y 求= 3.设dy y x xyy x x y y ),求,所确定(由方程00arctanln)(22≠≠=+= 4.⎪⎩⎪⎨⎧<<-==⎰⎰22sin cos 2200ππt dx y d udu e y udue x tu t u 。
八、高等数学试题 2005/1/10一、填空题(本题20分,每小题4分)1.已知==⎪⎭⎫⎝⎛-+∞→a a x a x xx ,则9lim2.设函数⎪⎩⎪⎨⎧>+≤+=1112)(2x b ax x x x f ,,,当a = ,b = 时,f (x )在x =1处可导。
3.方程017=-+x x 共有 个正根。
4.当=x 时,曲线c bx ax y ++=2的曲率最大。
5.⎰=20sin πxdx x 。
二、选择题(本大题24分,共有6小题,每小题4分) 1.下列结论中,正确的是( )(A )若a x n n =∞→2lim ,a x n n =+∞→12lim ,则a x n n =∞→lim ;(B )发散数列必然无界;(C )若a x n n =-∞→13lim ,a x n n =+∞→13lim ,则a x n n =∞→lim ;(D )有界数列必然收敛。
2.函数)(x f 在0x x =处取得极大值,则必有( )。
(A )0)(0='x f ; (B )0)(0<''x f ;(C )0)(0='x f 或)(0x f '不存在; (D )0)(0='x f 且0)(0<''x f 。
3.函数⎰=xa dt t f x F )()(在][b a ,上可导的充分条件是:)(x f 在][b a ,上( )(A )有界; (B )连续; (C )有定义; (D )仅有有限个间断点。
4.设⎰-+=2242cos 1sin ππxdx x x M ,⎰-+=2243)cos (sin ππdx x x N ,⎰--=22432)cos sin (ππdx x x x P ,则必有关系式( )(A ) M P N <<;(B )P M N <<;(C )N P M <<;(D )N M P <<。
2003年普通高等学校招生全国统一考试(全国卷)数 学(理工农医类)本试卷分第Ⅰ卷(选择题)和第Ⅱ卷(非选择题)两部分。
第Ⅰ卷1至2页,第Ⅱ卷3至10页。
考试结束后,将本试卷和答题卡一并交回。
第Ⅰ卷(选择题共60分)一.选择题:本大题共12小题,每小题5分,共60分,在每小题给出的四个选项中,只有一项是符合要求的 1.已知2(π-∈x ,0),54cos =x ,则2tg x = ( )(A )247 (B )247-(C )724 (D )724-2.圆锥曲线θθρ2cos sin 8=的准线方程是 ( )(A )2cos -=θρ (B )2cos =θρ (C )2sin =θρ (D )2sin -=θρ3.设函数⎪⎩⎪⎨⎧-=-2112)(xx f x 00>≤x x ,若1)(0>x f ,则0x 的取值范围是 ( ) (A )(1-,1) (B )(1-,∞+)(C )(∞-,2-)⋃(0,∞+) (D )(∞-,1-)⋃(1,∞+) 4.函数)cos (sin sin 2x x x y +=的最大值为 ( )(A )21+ (B )12- (C )2 (D )25.已知圆C :4)2()(22=-+-y a x (0>a )及直线l :03=+-y x ,当直线l 被C 截得的弦长为32时,则a ( )(A )2 (B )22- (C )12- (D )12+6.已知圆锥的底面半径为R ,高为3R ,在它的所有内接圆柱中,全面积的最大值是( ) (A )22R π (B )249Rπ (C )238R π (D )223R π7.已知方程0)2)(2(22=+-+-n x x m x x 的四个根组成一个首项为41的的等差数列,则=-||n m( )(A )1 (B )43 (C )21 (D )83 8.已知双曲线中心在原点且一个焦点为F (7,0),直线1-=x y 与其相交于M 、N 两点,MN 中点的横坐标为32-,则此双曲线的方程是 ( ) (A )14322=-y x (B )13422=-y x (C )12522=-y x (D )15222=-y x 9.函数x x f sin )(=,]23,2[ππ∈x 的反函数=-)(1x f ( )(A )x arcsin - 1[-∈x ,1] (B )x arcsin --π 1[-∈x ,1](C )x arcsin +π1[-∈x ,1] (D )x arcsin -π 1[-∈x ,1]10.已知长方形的四个顶点A (0,0),B (2,0),C (2,1)和D (0,1),一质点从AB 的中点0P 沿与AB的夹角θ的方向射到BC 上的点1P 后,依次反射到CD 、DA 和AB 上的点2P 、3P 和4P (入射角等于反射角),设4P 的坐标为(4x ,0),若214<<x ,则tgθ的取值范围是( )(A )(31,1) (B )(31,32) (C )(52,21) (D )(52,32)11.=++++++++∞→)(lim 11413122242322nnn C C C C n C C C C ΛΛ ( )(A )3 (B )31 (C )61(D )612.一个四面体的所有棱长都为2,四个顶点在同一球面上,则些球的表面积为( )(A )π3 (B )π4 (C )π33(D )π6二.填空题:本大题共4小题,每小题4分,共16分。
2003年普通高等学校招生全国统一考试(辽宁卷)一、选择题(共12小题,每小题5分,满分60分)1. (2003▪辽宁)与曲线11y x =-关于原点对称的曲线为 A.11y x =+ B.11y x =-+ C.11y x=- D.11y x =-- 2. (2003▪辽宁)已知(2x π∈-,0),54cos =x ,则tan 2x = A.247 B.724- C.724 D.247- 3. (2003▪辽宁)=+-2)3(31i i A.i 4341+ B.i 4341--C.i 2321+D.i 2321-- 4. (2003▪辽宁)已知四边形ABCD 是菱形,点P 在对角线AC 上(不包括端点A 、C ),则AP =A.()AB AD λ+,(0λ∈,1)B.()AB BC λ+,(0λ∈,C.()AB AD λ-,(0λ∈,1)D.()AB BC λ-,(0λ∈,25. (2003▪辽宁)设函数⎪⎩⎪⎨⎧>≤-=-)0()0(12)(21x x x x f x ,若1)(0>x f ,则0x 的取值范围是A.1(-,)1B.1(-,)∞+C.-∞(,0()2 -,)∞+D.-∞(,1()1 -,)∞+6. (2003▪辽宁)等差数列{}n a 中,已知113a =,254a a +=,33n a =,则n 为 A.48 B.49 C.50 D.517. (2003▪辽宁)函数1ln1x y x +=-,1(∈x ,)∞+的反函数为 A.11x x e y e -=+,0(∈x ,)∞+ B.11x x e y e +=-,0(∈x ,)∞+ C.11x x e y e -=+,-∞∈(x ,)0 D.11x x e y e +=-,-∞∈(x ,)0 8. (2003▪辽宁)棱长为a 的正方体中,连结相邻面的中心,以这些线段为棱的八面体的体积为A.33a B.43a C.63a D.123a9. (2003▪辽宁)设0a >,2()f x ax bx c =++,曲线)(x f y =在点0(x P ,))(0x f 处的切线的倾斜角的取值范围为0[,]4π,则P 到曲线)(x f y =对称轴距离的取值范围为A.[0,1]aB.[0,1]2aC.[0,||]2b a D.[0,1||]2b a-10. (2003▪辽宁)已知双曲线中心在原点且一个焦点为F 0),直线1y x =-与其相交于M N 、两点,MN 中点的横坐标为23-,则此双曲线的方程是 A.14322=-y x B.13422=-y x C.12522=-y x D.15222=-y x 11. (2003▪辽宁)已知长方形的四个顶点(0A ,0),(2B ,0),(2C ,1)和(0D ,1).一质点从AB 的中点0P 沿与AB 夹角为θ的方向射到BC 上的点1P 后,依次反射到CD 、DA 和AB 上的点2P ,3P 和4P (入射角等于反射角).设4P 的坐标为4(x ,0),若412x <<,则θtan 的取值范围是 A.1(3,1) B.1(3,23) C.2(5,1)2 D.2(5,2)312. (2003▪辽宁)一个四面体的所有棱长都为2,四个顶点在同一球面上,则此球的表面积为A.3πB.4πC.D.6π 二、填空题(共4小题,每小题4分,满分16分)13. (2003▪辽宁)92)21(xx -展开式中9x 的系数是________________. 14. (2003▪辽宁)某公司生产三种型号的轿车,产量分别为1200辆,6000辆和2000辆.为检验该公司的产品质量,现用分层抽样的方法抽取46辆进行检验,这三种型号的轿车依次应抽取______、__________、__________辆.15. (2003▪辽宁)某城市在中心广场建造一个花圃,花圃分为6个部分(如图).现要栽种4种不同颜色的花,每部分栽种一种且相邻部分不能栽种同样颜色的花,不同的栽种方法有_________种.(以数字作答)16. (2003▪辽宁)对于四面体ABCD ,给出下列四个命题:①若AB AC =,BD CD =,则BC AD ⊥;②若AB CD =,AC BD =,则BC AD ⊥;③若AB AC ⊥,BD CD ⊥,则BC AD ⊥;④若AB CD ⊥,BD AC ⊥,则BC AD ⊥.其中真命题的序号是________.(写出所有真命题的序号)三、解答题(共6小题,满分12+12+12+12+14+12=74分)17. (2003▪辽宁)已知正四棱柱1111ABCD A BC D -,1AB =,12AA =,点E 为1CC 中点,点F 为1BD 中点.⑴证明EF 为1BD 与1CC 的公垂线;⑵求点1D 到面BDE 的距离.18. (2003▪辽宁)已知函数()sin()(0f x x ωϕω=+>,0)ϕπ≤≤是R 上的偶函数,其图象关于点3(4M π,0)对称,且在区间[0,]2π上是单调函数,求ϕ和ω的值.19. (2003▪辽宁)设0a >,求函数()ln()f x x a +,(0x ∈,)+∞的单调区间.20. (2003▪辽宁)A 、B 两个代表队进行乒乓球对抗赛,每队三名队员,A 队队员是1A ,2A ,3A ,B 队队员是1B ,2B ,3B ,按以往多次比赛的统计,对阵队员之间胜负分分别为ξ、η.⑴求ξ、η的概率分布;⑵求E ξ,E η.21. (2003▪辽宁)设0a 为常数,且1*132()n n n a a n N --=-∈. ⑴证明对任意1n ≥,11[3(1)5n n n a -=+-•2](1)n n +-•02n a ; ⑵假设对任意1≥n 有1->n n a a ,求0a 的取值范围. 22. (2003▪辽宁)已知常数0a >,向量(0c =,)a ,(1i =,0),经过原点O 以c iλ+为方向向量的直线与经过定点(0A ,)a 以2i c λ-为方向向量的直线相交于点P ,其中R λ∈.试问:是否存在两个定点E F 、,使得||||PE PF +为定值.若存在,求出E F 、的坐标;若不存在,说明理由.2003年辽宁省高考数学试卷参考答案与试题解析一、选择题(共12小题,每小题5分,满分60分)1.(5分)(2003•辽宁)与曲线关于原点对称的曲线为()A.B. C.D.【分析】题目中:“曲线关于原点对称的曲线”,只要将原函数式中的x换成﹣x,y换成﹣y,即可得到新曲线的函数解析式.【解答】解:∵曲线关于原点对称的曲线,∴只要将原函数式中的x换成﹣x,y换成﹣y,即可得到新曲线的函数解析式,即﹣y=,整理,得.故选A.【点评】本题考查函数图象的变换,由于使用了数形结合的方法,使问题便迎刃而解,且解法简捷.2.(5分)(2003•全国)已知x∈(﹣,0),cosx=,则tan2x等于()A.B.﹣C.D.﹣【分析】先根据cosx,求得sinx,进而得到tanx的值,最后根据二倍角公式求得tan2x.【解答】解:∵cosx=,x∈(﹣,0),∴sinx=﹣.∴tanx=﹣.∴tan2x===﹣×=﹣.故选D.【点评】本题主要考查了三角函数中的二倍角公式.属基础题.3.(5分)(2003•天津)=()A. B.C. D.【分析】化简复数的分母,然后复数的分子、分母同乘分母的共轭复数,即可求得结果.【解答】解:=故选B.【点评】复数代数形式的混合运算,是基础题.4.(5分)(2003•辽宁)已知四边形ABCD是菱形,点P在对角线AC上(不包括端点A、C),则=()A.B.C.D.【分析】先过P分别作AD、AB的平行线,可得,,运用向量的加法运算可得=λ(+),λ∈(0,1).【解答】解:设P是对角线AC上的一点(不含A、C),过P分别作AD、AB的平行线,则可得.设,则λ∈(0,1)且.于是=λ(+),λ∈(0,1).故选A.【点评】本题主要考查向量的线性运算和向量加法的几何意义.属基础题.5.(5分)(2003•全国)设函数若f(x0)>1,则x0的取值范围是()A.(﹣1,1)B.(﹣1,+∞)C.(﹣∞,﹣2)∪(0,+∞) D.(﹣∞,﹣1)∪(1,+∞)【分析】将变量x0按分段函数的范围分成两种情形,在此条件下分别进行求解,最后将满足的条件进行合并.【解答】解:当x0≤0时,,则x0<﹣1,当x0>0时,则x0>1,故x0的取值范围是(﹣∞,﹣1)∪(1,+∞),故选D.【点评】本题考查了分段函数已知函数值求自变量的范围问题,以及指数不等式与对数不等式的解法,属于常规题.6.(5分)(2003•天津)等差数列{an}中,已知a1=,a2+a5=4,an=33,则n为()A.48 B.49 C.50 D.51【分析】先由等差数列的通项公式和已知条件解出d,进而写出an的表达式,然后令an=33,解方程即可.【解答】解:设{an}的公差为d,∵,a2+a5=4,∴+d++4d=4,即+5d=4,解得d=.∴an=+(n﹣1)=,令an=33,即=33,解得n=50.故选C.【点评】本题主要考查了等差数列的通项公式an=a1+(n﹣1)d,注意方程思想的应用.7.(5分)(2003•天津)函数,x∈(1,+∞)的反函数为()A.,x∈(0,+∞)B.,x∈(0,+∞)C.,x∈(﹣∞,0)D.,x∈(﹣∞,0)【分析】本题考查反函数的概念、求反函数的方法、指数式与对数式的互化,求函数的值域等函数知识和方法;将,看做方程解出x,然后根据原函数的定义域x∈(1,+∞)求出原函数的值域,即为反函数的定义域.【解答】解:由已知,解x得,令,当x∈(1,+∞)时,m∈(1,+∞),则,∴函数,x∈(1,+∞)的反函数为,x∈(0,+∞)故选B.【点评】这是一个基础性题,解题思路清晰,求解方向明确,所以容易解答;解答时注意两点,一是借助指数式和对数式的互化求x,二是函数,x∈(1,+∞)值域的确定,这里利用”常数分离法“和对数函数的性质推得.8.(5分)(2003•天津)棱长为a的正方体中,连接相邻面的中心,以这些线段为棱的八面体的体积为()A.B.C.D.【分析】画出图形,根据题意求出八面体的中间平面面积,然后求出其体积.【解答】解:画出图就可以了,这个八面体是有两个四棱锥底面合在一起组成的.一个四棱锥的底面面积是正方体的一个面的一半,就是,高为,所以八面体的体积为:.故选C.【点评】本题考查学生空间想象能力,逻辑思维能力,体积的计算公式,考查转化思想,是基础题.9.(5分)(2003•天津)设a>0,f(x)=ax2+bx+c,曲线y=f(x)在点P(x0,f(x0))处切线的倾斜角的取值范围为[0,],则P到曲线y=f(x)对称轴距离的取值范围为()A.[0,] B.[0,] C.[0,||] D.[0,||]【分析】先由导数的几何意义,得到x0的范围,再求出其到对称轴的范围.【解答】解:∵过P(x0,f(x0))的切线的倾斜角的取值范围是[0,],∴f′(x0)=2ax0+b∈[0,1],∴P到曲线y=f(x)对称轴x=﹣的距离d=x0﹣(﹣)=x0+∴x0∈[,].∴d=x0+∈[0,].故选:B.【点评】本题中是对导数的几何意义的考查,计算时,对范围的换算要细心.10.(5分)(2003•全国)已知双曲线中心在原点且一个焦点为F(,0),直线y=x﹣1与其相交于M、N两点,MN中点的横坐标为﹣,则此双曲线的方程是()A.﹣=1 B.﹣=1 C.﹣=1 D.﹣=1【分析】先设出双曲线的方程,然后与直线方程联立方程组,经消元得二元一次方程,再根据韦达定理及MN中点的横坐标可得a、b的一个方程,又双曲线中有c2=a2+b2,则另得a、b的一个方程,最后解a、b的方程组即得双曲线方程.【解答】解:设双曲线方程为﹣=1.将y=x﹣1代入﹣=1,整理得(b2﹣a2)x2+2a2x﹣a2﹣a2b2=0.由韦达定理得x1+x2=,则==﹣.又c2=a2+b2=7,解得a2=2,b2=5,所以双曲线的方程是.故选D.【点评】本题主要考查代数方法解决几何问题,同时考查双曲线的标准方程与性质等.11.(5分)(2003•全国)已知长方形的四个项点A(0,0),B(2,0),C(2,1)和D(0,1),一质点从AB的中点P0沿与AB夹角为θ的方向射到BC上的点P1后,依次反射到CD.DA和AB上的点P2.P3和P4(入射角等于反射角),设P4坐标为(x4,0),若1<x4<2,则tanθ的取值范围是()A.(,1) B.(,)C.(,)D.(,)【分析】先画草图,帮助理解,取BC上的点P1为中点,则P4和中点P0重合,tan θ=,用排除法解答.【解答】解:考虑由P0射到BC的中点上,这样依次反射最终回到P0,此时容易求出tanθ=,由题设条件知,1<x4<2,则tanθ≠,排除A.B.D,故选C.【点评】由于是选择题,因而可以特殊值方法解答:排除验证法,也可以用动态观点判定答案.12.(5分)(2003•全国)棱长都为的四面体的四个顶点在同一球面上,则此球的表面积为()A.3πB.4πC.3D.6π【分析】本题考查的知识点是球的体积和表面积公式,由棱长都为的四面体的四个顶点在同一球面上,可求出内接该四面体的正方体棱长为1,又因为正方体的对角线即为球的直径,即球的半径R=,代入球的表面积公式,S球=4πR2,即可得到答案.【解答】解:借助立体几何的两个熟知的结论:(1)一个正方体可以内接一个正四面体;(2)若正方体的顶点都在一个球面上,则正方体的体对角线就是球的直径.则球的半径R=,∴球的表面积为3π,故答案选A.【点评】棱长为a的正方体,内接正四面体的棱长为a,外接球直径等于长方体的对角线长a.二、填空题(共4小题,每小题4分,满分16分)13.(4分)(2003•全国)在的展开式中,x3的系数是﹣(用数字作答)【分析】首先根据题意,写出的二项展开式,可得9﹣2r=3,解可得r=3,将其代入二项展开式,计算可得答案.【解答】解:根据题意,对于,有Tr+1=C99﹣r•x9﹣r•(﹣)r=(﹣)r•C99﹣r•x9﹣2r,令9﹣2r=3,可得r=3,当r=3时,有T4=﹣x3,故答案﹣.【点评】本题考查二项式定理的应用,注意系数与二项式系数的区别.14.(4分)(2003•天津)某公司生产三种型号的轿车,产量分别为1200辆、6000辆和2000辆,为检验该公司的产品质量,现用分层抽样的方法抽取46辆进行检验,这三种型号的轿车依次应抽取 6 辆、30 辆、10 辆.【分析】由题意先求出抽样比例即为,再由此比例计算出在三种型号的轿车抽取的数目.【解答】解:因总轿车数为9200辆,而抽取46辆进行检验,抽样比例为=,而三种型号的轿车有显著区别,根据分层抽样分为三层按比例,故分别从这三种型号的轿车依次应抽取6辆、30辆、10辆.故答案为:6,30,10.【点评】本题的考点是分层抽样,即保证样本的结构和总体的结构保持一致,按照一定的比例样本容量和总体容量的比值,在各层中进行抽取.15.(4分)(2003•天津)某城市在中心广场建造一个花圃,花圃分为6个部分(如图).现要栽种4种不同颜色的花,每部分栽种一种且相邻部分不能栽种同样颜色的花,不同的栽种方法有120 种.(以数字作答)【分析】由题意来看6部分种4种颜色的花,又从图形看知必有2组同颜色的花,从同颜色的花入手分类求.②与⑤同色,则③⑥也同色或④⑥也同色,③与⑤同色,则②④或⑥④同色,②与④且③与⑥同色,根据分类计数原理得到结果.【解答】解:从题意来看6部分种4种颜色的花,又从图形看知必有2组同颜色的花,从同颜色的花入手分类求.(1)②与⑤同色,则③⑥也同色或④⑥也同色,所以共有N1=4×3×2×2×1=48种;(2)③与⑤同色,则②④或⑥④同色,所以共有N2=4×3×2×2×1=48种;(3)②与④且③与⑥同色,则共有N3=4×3×2×1=24种.∴共有N=N1+N2+N3=48+48+24=120种.故答案为:120【点评】这是一道理科的高考题,本题还可以这样解:记颜色为A,B,C,D四色,先安排1,2,3有A43种不同的栽法,不妨设1,2,3已分别栽种A,B,C,则4,5,6栽种方法共5种,由以下树状图清晰可见.根据分步计数原理,不同栽种方法有N=A43×5=120.16.(4分)(2003•辽宁)对于四面体ABCD,给出下列四个命题①若AB=AC,BD=CD,则BC⊥AD;②若AB=CD,AC=BD,则BC⊥AD;③若AB⊥AC,BD⊥CD,则BC⊥AD;④若AB⊥CD,BD⊥AC,则BC⊥AD.其中真命题的序号是①④.(写出所有真命题的序号)【分析】证明线线垂直一般采用线面垂直来证线线垂直.①的证明可转借化证明BC ⊥面AHD.④的证明可转化为证垂心,然后再证明BC⊥面AED来证明BC⊥AD.②③条件下不能求出两线的夹角,也无法保证一个线垂直于另一个线所在的平面,故不对.【解答】证明:如图对于①取BC的中点H,连接AH与DH,可证得BC⊥面AHD,进而可得BC⊥AD,故①对;对于②条件不足备,证明不出结论;对于③条件不足备,证明不出结论;对于④作AE⊥面BCD于E,连接BE可得BE⊥CD,同理可得CE⊥BD,证得E 是垂心,则可得出DE⊥BC,进而可证得BC⊥面AED,即可证出BC⊥AD.综上知①④正确,故应填①④.【点评】本题在判断时有一定的难度,需要构造相关的图形,在立体几何中,构造法是一个常用的方法,本题用其来将线线证明转化线面证明,三、解答题(共6小题,满分74分)17.(12分)(2003•天津)已知正四棱柱ABCD﹣A1B1C1D1.AB=1,AA1=2,点E为CC1中点,点F为BD1中点.(1)证明EF为BD1与CC1的公垂线;(2)求点D1到面BDE的距离.【分析】(1)欲证明EF为BD1与CC1的公垂线,只须证明EF分别与为BD1与CC1垂直即可,可由四边形EFMC是矩形→EF⊥CC1.由EF⊥面DBD1→EF⊥BD1.(2)欲求点D1到面BDE的距离,将距离看成是三棱锥的高,利用等体积法:VE﹣DBD1=VD1﹣DBE.求解即得.【解答】解:(1)取BD中点M.连接MC,FM.∵F为BD1中点,∴FM∥D1D且FM=D1D.又EC CC1且EC⊥MC,∴四边形EFMC是矩形∴EF⊥CC1.又FM⊥面DBD1.∴EF⊥面DBD1.∵BD1⊂面DBD1.∴EF⊥BD1.故EF为BD1与CC1的公垂线.(Ⅱ)解:连接ED1,有VE﹣DBD1=VD1﹣DBE.由(Ⅰ)知EF⊥面DBD1,设点D1到面BDE的距离为d.则.∵AA1=2,AB=1.∴,,∴.∴故点D1到平面DBE的距离为.【点评】本小题主要考查线面关系和四棱柱等基础知识,考查空间想象能力和推理能力.18.(12分)(2003•天津)已知函数f(x)=sin(ωx+φ)(ω>0,0≤φ≤π)是R上的偶函数,其图象关于点对称,且在区间上是单调函数,求φ和ω的值.【分析】由f(x)是偶函数可得ϕ的值,图象关于点对称可得函数关系,可得ω的可能取值,结合单调函数可确定ω的值.【解答】解:由f(x)是偶函数,得f(﹣x)=f(x),即sin(﹣ωx+φ)=sin(ωx+φ),所以﹣cosφsinωx=cosφsinωx,对任意x都成立,且w>0,所以得cosφ=0.依题设0≤φ≤π,所以解得φ=,由f(x)的图象关于点M对称,得,取x=0,得f()=sin()=cos,∴f()=sin()=cos,∴cos=0,又w>0,得=+kπ,k=0,1,2,3,…∴ω=(2k+1),k=0,1,2,…当k=0时,ω=,f(x)=sin()在[0,]上是减函数,满足题意;当k=1时,ω=2,f(x)=sin(2x+)=cos2x,在[0,]上是减函数,满足题意;当k=2时,ω=,f(x)=sin(x+)在[0,]上不是单调函数;所以,综合得ω=或2.【点评】本题主要考查三角函数的图象、单调性、奇偶性等基本知识,以及分析问题和推理计算能力.19.(12分)(2003•天津)设a>0,求函数f(x)=﹣ln(x+a)(x∈(0,+∞))的单调区间.【分析】由题意函数f(x)=﹣ln(x+a),首先求出函数的导数,然后根据导数与函数单调区间的关系对a的大小进行分类讨论.【解答】解:由题意得,令f′(x)=0,即x2+(2a﹣4)x+a2=0,其中△=4(a﹣2)2﹣4a2=8﹣8a,(i)当a>1时,△<0成立,对所有x>0,有x2+(2a﹣4)+a2>0.即f′(x)>0,此时f(x)在(0,+∞)内单调递增;(ii)当a=1时,△=0成立,对x≠1,有x2+(2a﹣4)x+a2>0,即f′(x)>0,此时f(x)在(0,1)内单调递增,且在(1,+∞)内也单调递增,又知函数f(x)在x=1处连续,因此,函数f(x)在(0,+∞)内单调递增;(iii)当0<a<1时,△>0成立,令f′(x)>0,即x2+(2a﹣4)x+a2>0,解得x<2﹣a﹣2或x>2﹣a+2,因此,函数f(x)在区间,内也单调递增.令f′(x)<0,即x2+(2a﹣4)x+a2<0,解得,因此,函数f(x)在区间内单调递减.【点评】本题主要考查导数的概念和计算,应用导数研究函数单调性的方法及推理和运算能力.20.(12分)(2003•天津)A、B两个代表队进行乒乓球对抗赛,每队三名队员,A 队队员是A1,A2,A3,B队队员是B1,B2,B3,按以往多次比赛的统计,对阵队员分,设A队、B队最后所得总分分别为ξ、η.(1)求ξ、η的概率分布;(2)求Eξ,Eη.【分析】(1)由题意知本题两个变量之间具有特殊关系,根据相互独立事件同时发生的概率做出变量ξ的分布列,根据两者之间和为3,得到另一个变量的分布列.(2)由题意知本题两个变量之间具有特殊关系,两个变量的期望之间也有这种关系,两个变量的期望的和是3,解出一个,另一个用做差来解.【解答】解:(1)ξ、η的可能取值分别为3,2,1,0.,,.根据题意知ξ+η=3,∴P(η=0)=P(ξ=3)=,P(η=1)=P(ξ=2)=,P(η=2)=P(ξ=1)=,P(η=3)=P(ξ=0)=.(2),∵ξ+η=3,∴.【点评】本小题考查离散型随机变量分布列和数学期望等概念,考查运用概率知识解决实际问题的能力,求离散型随机变量的分布列和期望是近年来理科高考必出的一个问题,题目做起来不难,运算量也不大.21.(14分)(2003•天津)设an为常数,且an=3n﹣1﹣2an﹣1(n∈N*).(1)证明对任意n≥1,有;(2)假设对任意n≥1有an>an﹣1,求a0的取值范围.【分析】(1)选择利用数学归纳法为妥,需要注意的是有归纳假设ak到ak+1的变形,利用归纳假设,注意目标的形式就能得到结果;另外可以利用递推数列来求得通项公式,当然需要对递推数列的an+1=pan+f(n)这种形式的处理要合适;这种形式的一般处理方法是:两边同时除以pn+1或者是构造一个等比数列,构造法有一定的技巧,如本题可设an﹣a3n=﹣2(an﹣1﹣a3n﹣1),(2)由(1)的结论可作差an﹣an﹣1>0并代入运算,由于含有(﹣1)n的形式要注意对n=2k﹣1和n=2k进行讨论,只需取k=1,2时得到a0的取值范围即可,另外一个思路是只需取n=1,2时得到a0的范围,然后分n=2k﹣1和n=2k进行证明an﹣an﹣1>0.具体解法参见参考答案.【解答】解:(1)证法一:(i)当n=1时,由已知a1=1﹣2a0,等式成立;(ii)假设当n=k(k≥1)等式成立,则,那么=.也就是说,当n=k+1时,等式也成立.根据(i)和(ii),可知等式对任何n∈N,成立.证法二:如果设an﹣a3n=﹣2(an﹣1﹣a3n﹣1),用an=3n﹣1﹣2an﹣1代入,可解出.所以是公比为﹣2,首项为的等比数列.∴.即.(2)解法一:由an通项公式.∴an>an﹣1(n∈N)等价于.①(i)当n=2k﹣1,k=1,2,时,①式即为即为.②式对k=1,2,都成立,有.(ii)当n=2k,k=1,2时,①式即为.即为.③式对k=1,2都成立,有.综上,①式对任意n∈N*,成立,有.故a0的取值范围为.解法二:如果an>an﹣1(n∈N*)成立,特别取n=1,2有a1﹣a0=1﹣3a0>0.a2﹣a1=6a0>0.因此.下面证明当.时,对任意n∈N*,an﹣an﹣1>0.由an的通项公式5(an﹣an﹣1)=2×3n﹣1+(﹣1)n﹣13×2n﹣1+(﹣1)n5×3×2n﹣1a0.(i)当n=2k﹣1,k=1,2时,5(an﹣an﹣1)=2×3n﹣1+3×2n﹣1﹣5×3×2n﹣1a0>2×2n﹣1+3×2n﹣1﹣5×3×2n﹣1=0(ii)当n=2k,k=1,2时,5(an﹣an﹣1)=2×3n﹣1﹣3×2n﹣1+5×3×2n﹣1a0>2×3n﹣1﹣3×2n﹣1≥0.故a0的取值范围为.【点评】本题主要考查数列、等比数列的概念,考查数学归纳法,考查灵活综合运用数学知识分析问题和解决问题的能力.对递推数列的an+1=pan+f(n)这种形式的考查是一个难点,同时除以pn+1得到,然后用累加法得到的等式可得结果,或者是构造一个等比数列an+1+kf(n)=p(an+kf(n))(不具有普适性).22.(12分)(2003•天津)已知常数a>0,向量=(0,a),=(1,0),经过原点O以+λ为方向向量的直线与经过定点A(0,a)以﹣2λ为方向向量的直线相交于点P,其中λ∈R.试问:是否存在两个定点E、F,使得|PE|+|PF|为定值.若存在,求出E、F的坐标;若不存在,说明理由.【分析】根据和,求得+λ和﹣2λ进而可得直线OP和AP的方程,消去参数λ,得点P(x,y)的坐标满足方程,进而整理可得关于x和y的方程,进而看当时,方程为圆不符合题意;当时和当时,P的轨迹为椭圆符合两定点.【解答】解:∵=(0,a),=(1,0),∴+λ=(λ,a),﹣2λ=(1,﹣2λa).因此,直线OP和AP的方程分别为λy=ax和y﹣a=﹣2λax.消去参数λ,得点P(x,y)的坐标满足方程y(y﹣a)=﹣2a2x2.整理得.①因为a>0,所以得:(i)当时,方程①是圆方程,故不存在合乎题意的定点E和F;(ii)当时,方程①表示椭圆,焦点和为合乎题意的两个定点;(iii)当时,方程①也表示椭圆,焦点和为合乎题意的两个定点.【点评】本题主要考查平面向量的概念和计算,求轨迹的方法,椭圆的方程和性质,利用方程判定曲线的性质,曲线与方程的关系等解析几何的基本思想和综合解题能力.参与本试卷答题和审题的老师有:yhx01248;zhwsd;qiss;wsj1012;minqi5;jj2008;liuerq;rxl;wzj123;geyanli;danbo7801;gongjy;涨停;xintrl;zhiyuan;于其才(排名不分先后)菁优网2017年5月28日。
2003年普通高等学校招生全国统一考试(辽宁卷)数 学(理工农医类) 第Ⅰ卷(选择题 共60分)注意事项:1.答第Ⅰ卷前,考生务必将自己的姓名、准考号、考试科目用铅笔涂写在答题卡上 2.每小题选出答案后,用铅笔把答题卡上对应题目的答案标号涂黑,如需改动,用橡 皮擦干净后,再选涂其它答案,不能答在试题卷上参考公式:如果事件A 、B 互斥,那么 球的表面积公式P (A+B )=P (A )+P (B ) S=4πR 2如果事件A 、B 相互独立,那么 其中R 表示球的半径P (A ·B )=P (A )·P (B ) 球的体积公式 如果事件A 在一次试验中发生的概率是P.334R V π=那么n 次独立重复试验中恰好发生k 次的概 率 其中R 表示球的半径k n k k n n P P C k P --=)1()(一、选择题:本大题共12小题,每小题5分,共60分,在每小题给出的四个选项中,只有一项是符合题目要求的.1.与曲线11-=x y 关于原点对称的曲线为 ( )A .x y +=11B .x y +-=11C .x y -=11D .xy --=112. 已知==-∈x x x 2tan ,54cos ),0,2(则π( )A .247B .-247C .724D .-724 3.=+-2)3(31i i( )A .i 4341+ B .i 4341--C .i 2321+ D .i 2321--4.已知四边形ABCD 是菱形,点P 在对角线AC 上(不包括端点A 、C ),则=AP ( )A .)1,0(),(∈+λλAD AB B .)22,0(),(∈+λλBC ABC .)1,0(),(∈-λλD .)22,0(),(∈-λλ 5.设函数⎪⎩⎪⎨⎧>≤-=-0,0,12)(,21x xx x f x 若1)(0>x f ,则x 0的取值范围是( )A .(-1,1)B .(-1,+∞)C .(-∞,-2)∪(0,+∞)D .(-∞,-1)∪(1,+∞)6.等差数列}{n a 中,已知33,4,31521==+=n a a a a ,则n 为 ( )A .48B .49C .50D .51 7.函数),1(,11ln+∞∈-+=x x x y 的反函数为( )A .),0(,11+∞∈+-=x e e y xx B .),0(,11+∞∈-+=x e e y xxC .)0,(,11-∞∈+-=x e e y xx D .)0,(,11-∞∈-+=x e e y xx 8.棱长为a 的正方体中,连结相邻面的中心,以这些线段为棱的八面体的体积为( )A .33aB .43aC .63aD .123a9.设c bx ax x f a ++=>2)(,0,曲线)(x f y =在点))(,(00x f x P 处切线的倾斜角的取值范围为]4,0[π,则P 到曲线)(x f y =对称轴距离的取值范围为 ( )A .]1,0[aB .]21,0[aC .|]2|,0[abD .|]21|,0[ab - 10.已知双曲线中心在原点且一个焦点为与其相交于直线1),0,7(-=x y F M 、N 两点,MN中点的横坐标为,32-则此双曲线的方程是 ( )A .14322=-y xB .13422=-y xC .12522=-y xD .15222=-y x11.已知长方形的四个顶点A (0,0),B (2,0),C (2,1)和D (0,1).一质点从AB 的中点P 0沿与AB 夹角为θ的方向射到BC 上的点P 1后,依次反射到CD 、DA 和AB 上的点P 2,P 3和P 4(入射角等于反射角). 设P 4的坐标为(x 4,0),若214<<x , 则θtan 的取值范围是( )A .(31,1) B .)32,31(C .)21,52(D .)32,52(12.一个四面体的所有棱长都为2,四个顶点在同一球面上,则此球的表面积为 ( ) A .3π B .4πC .π33D .6π第Ⅱ卷(非选择题 共90分)二、填空题:本大题共4小题,每小题4分,共16分.答案填在题中横线上. 13.92)21(xx -展开式中9x 的系数是 . 14.某公司生产三种型号的轿车,产量分别为1200辆,6000辆和2000辆,为检验该公司的产品质量现用分层抽样的方法抽取46, , 辆15.某城市在中心广场建造一个花圃,花圃分为6个部分 (如图).现要栽种4种不同颜色的花,每部分栽种一 种且相邻部分不能栽种同样颜色的花,不同的栽种方法有 (以数字作答) 16.对于四面体ABCD ,给出下列四个命题 ①若AB=AC ,BD=CD ,则BC ⊥AD ②若AB=CD ,AC=BD ,则BC ⊥AD③若AB ⊥AC ,BD ⊥CD ,则BC ⊥AD ④若AB ⊥CD ,BD ⊥AC ,则BC ⊥AD 其中真命题的序号是 .(写出所有真命题的序号)三、解答题:本大题共6小题,共74分.解答应写出文字说明,证明过程或演算步骤. 17.(本小题满分12分)已知正四棱柱ABCD —A 1B 1C 1D 1,AB=1,AA 1=2,点E 为CC 1中点,点F 为BD 1中点.(1)证明EF 为BD 1与CC 1的公垂线; (2)求点D 1到面BDE 的距离.AA18.(本小题满分12分)已知函数)0,0)(sin()(πϕωϕω≤≤>+=x x f 是R 上的偶函数,其图像关于点)0,43(πM 对称,且在区间]2,0[π上是单调函数,求ϕ和ω的值.19.(本小题满分12分) 设0>a ,求函数)),0(()ln()(+∞∈+-=x a x x x f 的单调区间.20.(本小题满分12分)A 、B 两个代表队进行乒乓球对抗赛,每队三名队员,A 队队员是A 1,A 2,A 3,B123 分分别为ξ、η(1)求ξ、η的概率分布; (2)求E ξ,E η.21.(本小题满分14分)设0a 为常数,且)(2311+--∈-=N n a a n n n (1)证明对任意012)1(]2)1(3[51,1a a n n n n n nn ⋅-+⋅-+=≥-; (2)假设对任意1≥n 有1->n n a a ,求0a 的取值范围.22.(本小题满分14分)已知常数a >0,向量c =(0,a ),i =(1,0),经过原点O 以c +λi 为方向向量的直线与经过定点A (0,a )以i -2λc 为方向向量的直线相交于点P ,其中λ∈R.试问:是否存在两个定点E 、F ,使得|PE|+|PF|为定值.若存在,求出E 、F 的坐标;若不存在,说明理由.2003年普通高等学校招生全国统一考试(辽宁卷)数学试题(理工农医类)参考解答一、选择题:本题考查基本知识和基本运算每小题5分,满分60分1.A2.D3.B4.A5.D6.C7.B8.C9.B 10.D 11.C 12.A 二、填空题:本题考查基本知识和基本运算,每小题4分,满分16分13.221-14.6,30,10 15.120 16.①④ 三、解答题17.本小题主要考查线面关系和四棱柱等基础知识,考查空间想象能力和推理能力.满分12分.AA(I )证法一:取BD 中点M ,连结MC ,FM ,∵F 为BD 1中点, ∴FM ∥D 1D 且FM=21D 1D 又EC=21CC 1,且EC ⊥MC , ∴四边形EFMC 是矩形 ∴EF ⊥CC 1 …………3分 又CM ⊥面DBD 1 ∴EF ⊥面DBD 1 ∵BD 1⊂面DBD 1,∴EF ⊥BD 1 故EF 为BD 1与CC 1的公垂线. 证法二:建立如图的坐标系,得)(OB (0,1,0),D 1(1,0,2),F )1,21,21( C 1(0,0,2),E (0,0,1).…………2分)2,0,0(),0,21,21(1==∴CC)2,1,1(1-=BD ……………………4分 0,011=⋅=⋅∴BD CC即EF ⊥CC 1,EF ⊥BD 1故EF 是CC 1与BD 1的公垂线.……6分 (II )解:连结ED 1,有D BE D D BD E V V --=11由(I )知EF ⊥面DBD 1,设点D 1到面BDE 的 距离为d ,则S △DBC ·d=S △DBD 1·EF.………………9分 ∵AA 1=2·AB=1.22,2====∴EF ED BE BD 23)2(2321,2222121=⋅⋅==⋅⋅=∴∆∆DBC DBD S S 33223222=⨯=∴d故点D 1到平面BDE 的距离为332. 18. 本小题主要考查三角函数的图象和单调性、奇偶性等基本知识,以及分析问题和推理计算能力.满分12分.解:由)(x f 是偶函数,得)()(x f x f =-,即)sin()sin(ϕωϕω+=+-x x , 所以x x ωϕωϕsin cos sin cos =-对任意x 都成立,且0>ω,所以得0cos =ϕ, 依题设πϕ≤≤0,所以解得2πϕ=.……………………4分由)(x f 的图象关于点M 对称,得)43()43(x f x f +-=-ππ, 取,0=x 得),43()43(ππf f -=所以,0)43(=πf43cos )243sin()43(ωππωππ=+=f ,2,1,0,243,0,043cos =+=>=∴k k ππωπωωπ得又…, ………………8分,2,1,0),12(32=+=∴k k ω….当k =0时,]2,0[)232sin()(,32ππω在+==x x f 上是减函数;当k =1时,]2,0[)22sin()(,2ππω在+==x x f 上是减函数;当2≥k 时,]2,0[)2sin()(,310ππωω在+=≥x x f 上不是单调函数.所以,综合得232==ωω或. ………………12分 19.本小题主要考查导数的概念和计算,应用导数研究函数性质的方法及推理和运算能力. 满分12分.解:)0(121)(>+-='x ax xx f . ………………2分 当0,0>>x a 时 0)42(0)(22>+-+⇔>'a x a x x f .0)42)0)(22<+-+⇔<'a x a x x f(i )当1>a 时,对所有0>x ,有0)42(22>+-+a a x . 即0)(>'x f ,此时)(x f 在),0(+∞内单调递增. …………5分 (ii )当1=a 时,对1≠x ,有0)42(22>+-+a x a x ,即0)(>'x f ,此时)(x f 在(0,+∞)内单调递增,在),1(+∞内单调递增又知函数)(x f 在x=1处连续,因此,函数)(x f 在(0,+∞)内单调递增…………7分 (iii )当10<<a 时,令0)(>'x f ,即0)42(22>+-+a x a x . 解得a a x a a x -+->---<122,122或.因此,函数)(x f 在区间)122,0(a a ---内单调递增,在区间),122(+∞-+-a a 内也单调递增. ………………10分 令0)42(,0)(22<+-+<'a x a x x f 即, 解得a a x a a -+-<<---122122.因此,函数)(x f 在区间)122,12-2a a a a -+---(内单调递减. ………………12分20.本小题考查离散型随机变量分布列和数学期望等概念,考查运用概率知识解决实际问题的能力.满分12分. 解:(1)ξ、η的可能取值分别为3,2,1,0.758525232)3(=⨯⨯==ξP 7528525332525231535232)2(=⨯⨯+⨯⨯+⨯⨯==ξP52525331535231535332)1(=⨯⨯+⨯⨯+⨯⨯==ξP ,253535331)0(=⨯⨯==ξP …………4分根据题意知ξ+η=3,所以 P(η=0)=P(ξ=3)=758, P(η=1)=P(ξ=2)= 7528P(η=2)=P(ξ=1)= 52, P(η=3)=P(ξ=0)= 253. …………8分(2)15222530521752827583=⨯+⨯+⨯+⨯=ξE ; 因为ξ+η=3,所以 .15233=-=ξηE E …………12分21.本小题主要考查数列、等比数列的概念,考查数学归纳法,考查灵活运用数学知识分析问题和解决问题的能力,满分14分. (1)证法一:(i )当n=1时,由已知a 1=1-2a 0,等式成立; (ii )假设当n=k (k ≥1)等式成立,则,2)1(]2)1(3[5101a a k k k k kk ---+=- 那么01112)1(]2)1(3[52323a a a k k k k kkk kk +-+---+-=-= .2)1(]2)1(3[5101111a k k k k k ++++-+-+=也就是说,当n=k+1时,等式也成立.根据(i )和(ii ),可知等式对任何n ∈N +,成立. …………6分证法二:如果设),3(233111-----=-n n n n n a a αα 用1123---=n n n a a 代入,可解出51=α. 所以⎭⎬⎫⎩⎨⎧-53n n a 是公比为-2,首项为531-a 的等比数列. ).()2)(5321(5310+-∈---=-∴N n a a n n n即.2)1(52)1(301a a n n nn n n -+-+=- ………………6分(2)解法一:由n a 通项公式 .23)1(523)1(32011111a a a n n n n n n n -----⨯-+⨯-+⨯=-)(1N n a a n n ∈>∴-等价于 ).()23()15()1(201+--∈<--N n a n n ……① …………8分(i )当n=2k -1,k=1,2,…时,①式即为 32022)23()15()1(--<--k k a即为 .51)23(51320+<-k a ……②②式对k=1,2,…都成立,有 .3151)23(5110=+⨯<-a ………………10分(ii )当n=2k ,k=1,2,…时,①式即为 .)23()15()1(22012--<--k k a即为 .51)23(51220+⨯->-k a ……③ ③式对k=1,2,…都成立,有 .051)23(512120=+⨯->-⨯a …………12分综上,①式对任意n ∈N *,成立,有.3100<<a故a 0的取值范围为).31,0( …………14分解法二:如果1->n n a a (n ∈N *)成立,特别取n=1,2有 .031001>-=-a a a.06012>=-a a a 因此 .3100<<a …………9分下面证明当.3100<<a 时,对任意n ∈N *,.01>--n n a a 由a n 的通项公式 .235)1(23)1(32)(5011111a a a n n n n n n n -----⨯⨯-+⨯-+⨯=-(i )当n=2k -1,k=1,2…时, 011112352332)(5a a a n n n n n ----⨯⨯-⨯+⨯=->025*******=⨯-⨯+⨯---n n n (12)分(ii )当n=2k ,k=1,2…时,011112352332)(5a a a n n n n n ----⨯⨯+⨯-⨯=->.0233211≥⨯-⨯--n n 故a 0的取值范围为).31,0( …………14分22.本小题主要考查平面向量的概念和计算,求轨迹的方法,椭圆的方程和性质,利用方程判定曲线的性质,曲线与方程的关系等解析几何的基本思想和综合解题能力,满分12分.解:根据题设条件,首先求出点P 坐标满足的方程,据此再判断是否存在两定点,使得点P到两定点距离的和为定值.∵i =(1,0),c=(0,a ), ∴c+λi =(λ,a ),i -2λc=(1,-2λa ). (2)分因此,直线OP 和AP 的方程分别为 ax y =λ 和 ax a y λ2-=-. …………4分消去参数λ,得点),(y x P 的坐标满足方程222)(x a a y y -=-.整理得 .1)2()2(81222=-+a a y x ……① …………7分 因为,0>a 所以得:(i )当22=a 时,方程①是圆方程,故不存在合乎题意的定点E 和F ; (ii )当220<<a 时,方程①表示椭圆,焦点)2,2121(2a a E -和)2,2121(2a a F --为合乎题意的两个定点;(iii )当22>a 时,方程①也表示椭圆,焦点))21(21,0(2-+a a E 和))21(21,0(2--a a F 为合乎题意的两个定点. …………12分。
2003年普通高等学校招生全国统一考试数 学(理工农医类)一、选择题(本大题共12小题,每小题5分,共60分,在每小题给出的四个选项中,只有一项是符合题目要求的. 1.已知==-∈x tg x x 2,54cos ),0,2(则π( )A .247 B .247-C .724 D .724- 2.圆锥曲线的准线方程是θθρ2cos sin 8=( )A .2cos -=θρB .2cos =θρC .2sin -=θρD .2sin =θρ3.设函数的取值范围是则若0021,1)(,.0,,0,12)(x x f x x x x f x >⎪⎩⎪⎨⎧>≤-=- ( )A .(-1,1)B .(-1,+∞)C .),0()2,(+∞⋃--∞D .),1()1,(+∞⋃--∞4.函数)cos (sin sin 2x x x y +=的最大值为 ( )A .21+B .12-C .2D .25.已知圆截得被当直线及直线C l y x l a x a x C .03:)0(4)2()(:22=+->=-+-的弦长为32时,则a =A .2B .22-C .12-D .12+6.已知圆锥的底面半径为R ,高为3R ,在它的所有内接圆柱中,全面积的最大值是( )A .22R πB .249R πC .238R πD .223r π7.已知方程0)2)(2(22=+-+-n x x m x x 的四个根组成的一个首项为41的等差数列,则=-||n m ( )A .1B .43 C .21 D .83 8.已知双曲线中心在原点且一个焦点为与其相交于直线1),0,7(-=x y F M 、N 两点,MN 中点的横坐标为,32-则此双曲线的方程是 ( )A .14322=-y x B .13422=-y x C .12522=-y xD .15222=-y x 9.函数=∈=-)(]23,2[,sin )(1x f x x x f 的反函数ππ( )A .]1,1[,arcsin -∈-x xB .]1,1[,arcsin -∈--x x πC .]1,1[,arcsin -∈+-x x πD .]1,1[,arcsin -∈-x x π10.已知长方形的四个项点A (0,0),B (2,0),C (2,1)和D (0,1),一质点从AB 的中点P 0沿与AB 夹角为θ的方向射到BC 上的点P 1后,依次反射到CD 、DA 和AB 上的点P 2、P 3和P 4(入射解等于反射角),设P 4坐标为(θtg ,2x 1),0,44则若<<x 的取值范围是( )A .)1,31(B .)32,31(C .)21,52(D .)32,52(11.=++++++++∞→)(lim 11413122242322nnn C C C C n C C C C( )A .3B .31C .61 D .612.一个四面体的所有棱长都为2,四个项点在同一球面上,则此球的表面积为 ( )A .3πB .4πC .3π3D .6π二、填空题:本大题共4小题,每小题4分,共16分,把答案填在题中横线上. 13.92)21(xx -展开式中9x 的系数是 . 14.使1)(log 2+<-x x 成立的x 的取值范围是 .15.如图,一个地区分为5个行政区域,现给地图着色,要求相邻区 域不得使用同一颜色,现有4种颜色可供选择,则不同的着色方法共有 种.(以数字作答)16.下列五个正方体图形中,l 是正方体的一条对角线,点M 、N 、P 分别为具所在棱的中点,能得出l ⊥面MNP的图形的序号是.(写出所有符合要求的图形序号)三、解答题:本大题共6小题,共74分. 解答应写出文字的说明,证明过程或演算步骤. 17.(本小题满分12分)已知复数z 的辐角为60°,且|1|-z 是||z 和|2|-z 的等比中项. 求||z .18.(本小题满分12分) 如图,在直三棱柱ABC —A 1B 1C 1中,底面是等腰直角三形,∠ACB=90°,侧棱AA 1=2,D 、E 分别是CC 1与A 1B 的中点,点E 在平面ABD 上的射影是△ABD 的重心G. (Ⅰ)求A 1B 与平面ABD 所成角的大小(结果用反三角函数值表示); (Ⅱ)求点A 1到平面AED 的距离. 19.(本小题满分12分)已知.0>c 设P :函数xc y =在R 上单调递减.Q :不等式1|2|>-+c x x 的解集为R ,如果P 和Q 有且仅有一个正确,求c 的取值范围. 20.(本小题满分12分)在某海滨城市附近海面有一台风,据监测,当前台风中心位于城市O (如图)的东偏南)102arccos(=θθ方向300km 的海面P 处,并以20km/h 的速度向西偏北45°方向移动. 台风侵袭的范围为圆形区域,当前半径为60km,并以10km/h 的速度不断增大. 问几小时后该城市开始受到台风的侵袭? 21.(本小题满分14分)已知常数,0>a 在矩形ABCD 中,AB=4,BC=4a ,O 为AB 的中点,点E 、F 、G 分别在BC 、CD 、DA 上移动,且DADGCD CF BC BE ==,P 为GE 与OF 的交点(如图),问是否存在两个定点,使P 到这两点的距离的和为定值?若存在,求出这两点的坐标及此定值;若不存在,请说明理由. 22.(本小题满分12分,附加题4分)(Ⅰ)设Z}t s,,0|2{2}{t ∈<≤+且是集合t s a sn 中所有的数从小到大排列成的数列,即.,12,10,9,6,5,3654321 ======a a a a a a将数列}{n a 各项按照上小下大,左小右大的原则写成如下的三角形数表: 35 69 10 12— — — —— — — — — (i )写出这个三角形数表的第四行、第五行各数; (i i )求100a .(Ⅱ)(本小题为附加题,如果解答正确,加4分,但全卷总分不超过150分)设Z}t s,r,,0|22{2}{r ∈<<≤++且是集合t s r b st n 中所有的数都是从小到大排列成的数列,已知k.,1160求=k b2003年普通高等学校招生全国统一考试数 学(理工农医类)答案一、选择题1.D 2.C 3.D 4.A 5.C 6.B 7.C 8.D 9.D 10.C 11.B 12.A 二、填空题 13.221-14.(-1,0) 15.72 16.①④⑤ 三、解答题: 17. 解:设)60sin 60cos r r z+=,则复数.2rz 的实部为2,r z z r z z ==-由题设.12||).(12,12:.012,421,)2)(2(||)1)(1(:|2||||1|2222-=--=-==-++-=+-∴--=---⋅=-z r r r r r r r r r z z z z z z z z 即舍去解得整理得即 18.(Ⅰ)解:连结BG ,则BG 是BE 在ABD 的射影,即∠EBG 是A 1B 与平面ABD 所成的角. 设F 为AB 中点,连结EF 、FC ,112211,,,,,,.1,1, 3.(4)3sin D E CC A B DC ABC CDEF DE G ADB G DF EFD EF FG FD FD EF FD ED EG FC CD AB A B EB EG EBG A B ABD EB ⊥∴∆∴∈=⋅==∴======∴∠==∴分别是的中点又平面为矩形连结是的重心在直角三角形中分于是与平面所成的角是(Ⅱ)解:,,,F AB EF EF ED AB ED =⋂⊥⊥又.36236232222,.,.,.,.,111111*********的距离为到平面中在的距离到平面是即平面垂足为作面且面平面平面面又面AED A AB B A A A K A AB A AED A K A AED K A K AE K A AE AB A AED AB A AED AED ED AB A ED ∴=⨯=⋅=∆⊥∴⊥=⋂⊥∴⊂⊥∴19.解:函数x c y =在R 上单调递减.10<<⇔c不等式.1|2|1|2|上恒大于在函数的解集为R c x x y R c x x -+=⇔>-+).,1[]21,0(.1,,.210,,.21121|2|.2|2|,2,2,2,22|2|+∞⋃≥≤<>⇔>⇔>-+∴-+=∴⎩⎨⎧<≥-=-+的取值范围为所以则正确且不正确如果则不正确且正确如果的解集为不等式上的最小值为在函数c c Q P c Q P c c R c x x c R c x x y c x c c x c x c x x20.解:如图建立坐标系以O 为原点,正东方向为x 轴正向.在时刻:(1)台风中心P (y x ,)的坐标为⎪⎪⎩⎪⎪⎨⎧⨯+⨯-=⨯-⨯=.22201027300,2220102300t y t x此时台风侵袭的区域是,)]([)()(22t r y y x x ≤-+- 其中,6010)(+=t t r 若在t 时刻城市O 受到台风的侵袭,则有.)6010()0()0(222+≤-+-t y x 即22)22201027300()2220102300(t t ⨯+⨯-+⨯-⨯2412,028836,)6010(22≤≤≤+-+≤t t t t 解得即答:12小时后该城市开始受到台风的侵袭.21.根据题设条件,首先求出点P 坐标满足的方程,据此再判断是否存在的两定点,使得点P 到两点距离的和为定值.按题意有A (-2,0),B (2,0),C (2,4a ),D (-2,4a )设)10(≤≤==k DADCCD CF BC BE 由此有E (2,4a k ),F (2-4k ,4a ),G (-2,4a -4ak )直线OF 的方程为:0)12(2=-+y k ax ①直线GE 的方程为:02)12(=-+--a y x ka ②从①,②消去参数k ,得点P (x,y )坐标满足方程022222=-+ay y x a整理得1)(21222=-+a a y x 当212=a 时,点P 的轨迹为圆弧,所以不存在符合题意的两点. 当212≠a时,点P 轨迹为椭圆的一部分,点P 到该椭圆焦点的距离的和为定长。
2003年普通高等学校招生全国统一考试数 学(理工农医类)一、选择题(本大题共12小题,每小题5分,共60分,在每小题给出的四个选项中,只有一项是符合题目要求的. 1.已知==-∈x tg x x 2,54cos ),0,2(则π( )A .247 B .247-C .724 D .724- 2.圆锥曲线的准线方程是θθρ2cos sin 8=( )A .2cos -=θρB .2cos =θρC .2sin -=θρD .2sin =θρ3.设函数的取值范围是则若0021,1)(,.0,,0,12)(x x f x x x x f x >⎪⎩⎪⎨⎧>≤-=- ( )A .(-1,1)B .(-1,+∞)C .),0()2,(+∞⋃--∞D .),1()1,(+∞⋃--∞4.函数)cos (sin sin 2x x x y +=的最大值为 ( )A .21+B .12-C .2D .25.已知圆截得被当直线及直线C l y x l a x a x C .03:)0(4)2()(:22=+->=-+-的弦长为32时,则a =A .2B .22-C .12-D .12+6.已知圆锥的底面半径为R ,高为3R ,在它的所有内接圆柱中,全面积的最大值是( )A .22R πB .249R πC .238R πD .223r π7.已知方程0)2)(2(22=+-+-n x x m x x 的四个根组成的一个首项为41的等差数列,则=-||n m ( )A .1B .43 C .21 D .83 8.已知双曲线中心在原点且一个焦点为与其相交于直线1),0,7(-=x y F M 、N 两点,MN 中点的横坐标为,32-则此双曲线的方程是 ( )A .14322=-y x B .13422=-y x C .12522=-y xD .15222=-y x 9.函数=∈=-)(]23,2[,sin )(1x f x x x f 的反函数ππ( )A .]1,1[,arcsin -∈-x xB .]1,1[,arcsin -∈--x x πC .]1,1[,arcsin -∈+-x x πD .]1,1[,arcsin -∈-x x π10.已知长方形的四个项点A (0,0),B (2,0),C (2,1)和D (0,1),一质点从AB 的中点P 0沿与AB 夹角为θ的方向射到BC 上的点P 1后,依次反射到CD 、DA 和AB 上的点P 2、P 3和P 4(入射解等于反射角),设P 4坐标为(θtg ,2x 1),0,44则若<<x 的取值范围是( )A .)1,31(B .)32,31(C .)21,52(D .)32,52(11.=++++++++∞→)(lim 11413122242322nnn C C C C n C C C C( )A .3B .31C .61 D .612.一个四面体的所有棱长都为2,四个项点在同一球面上,则此球的表面积为 ( )A .3πB .4πC .3π3D .6π二、填空题:本大题共4小题,每小题4分,共16分,把答案填在题中横线上. 13.92)21(xx -展开式中9x 的系数是 . 14.使1)(log 2+<-x x 成立的x 的取值范围是 .15.如图,一个地区分为5个行政区域,现给地图着色,要求相邻区 域不得使用同一颜色,现有4种颜色可供选择,则不同的着色方法共有 种.(以数字作答)16.下列五个正方体图形中,l 是正方体的一条对角线,点M 、N 、P 分别为具所在棱的中点,能得出l ⊥面MNP的图形的序号是.(写出所有符合要求的图形序号)三、解答题:本大题共6小题,共74分. 解答应写出文字的说明,证明过程或演算步骤. 17.(本小题满分12分)已知复数z 的辐角为60°,且|1|-z 是||z 和|2|-z 的等比中项. 求||z .18.(本小题满分12分) 如图,在直三棱柱ABC —A 1B 1C 1中,底面是等腰直角三形,∠ACB=90°,侧棱AA 1=2,D 、E 分别是CC 1与A 1B 的中点,点E 在平面ABD 上的射影是△ABD 的重心G. (Ⅰ)求A 1B 与平面ABD 所成角的大小(结果用反三角函数值表示); (Ⅱ)求点A 1到平面AED 的距离. 19.(本小题满分12分)已知.0>c 设P :函数x c y =在R 上单调递减.Q :不等式1|2|>-+c x x 的解集为R ,如果P 和Q 有且仅有一个正确,求c 的取值范围. 20.(本小题满分12分)在某海滨城市附近海面有一台风,据监测,当前台风中心位于城市O (如图)的东偏南)102arccos(=θθ方向300km 的海面P 处,并以20km/h 的速度向西偏北45°方向移动. 台风侵袭的范围为圆形区域,当前半径为60km,并以10km/h 的速度不断增大. 问几小时后该城市开始受到台风的侵袭? 21.(本小题满分14分)已知常数,0>a 在矩形ABCD 中,AB=4,BC=4a ,O 为AB 的中点,点E 、F 、G 分别在BC 、CD 、DA 上移动,且DADGCD CF BC BE ==,P 为GE 与OF 的交点(如图),问是否存在两个定点,使P 到这两点的距离的和为定值?若存在,求出这两点的坐标及此定值;若不存在,请说明理由. 22.(本小题满分12分,附加题4分)(Ⅰ)设Z}t s,,0|2{2}{t∈<≤+且是集合t s a sn 中所有的数从小到大排列成的数列,即.,12,10,9,6,5,3654321 ======a a a a a a将数列}{n a 各项按照上小下大,左小右大的原则写成如下的三角形数表: 35 69 10 12— — — —— — — — —(i )写出这个三角形数表的第四行、第五行各数; (i i )求100a .(Ⅱ)(本小题为附加题,如果解答正确,加4分,但全卷总分不超过150分)设Z}t s,r,,0|22{2}{r ∈<<≤++且是集合t s r b s t n 中所有的数都是从小到大排列成的数列,已知k.,1160求=k b2003年普通高等学校招生全国统一考试数 学(理工农医类)答案一、选择题1.D 2.C 3.D 4.A 5.C 6.B 7.C 8.D 9.D 10.C 11.B 12.A 二、填空题 13.221-14.(-1,0) 15.72 16.①④⑤ 三、解答题: 17. 解:设)60sin 60cos r r z+=,则复数.2r z 的实部为2,r z z r z z ==-由题设.12||).(12,12:.012,421,)2)(2(||)1)(1(:|2||||1|2222-=--=-==-++-=+-∴--=---⋅=-z r r r r r r r r r z z z z z z z z 即舍去解得整理得即 18.(Ⅰ)解:连结BG ,则BG 是BE 在ABD 的射影,即∠EBG 是A 1B 与平面ABD 所成的角. 设F 为AB 中点,连结EF 、FC ,112211,,,,,,.1,1,(4)3sin D E CC A B DC ABC CDEF DE G ADB G DF EFD EF FG FD FD EF FD ED EG FC CD AB A B EB EG EBG A B ABD EB ⊥∴∆∴∈=⋅==∴======∴∠==∴ 分别是的中点又平面为矩形连结是的重心在直角三角形中分于是与平面所成的角是(Ⅱ)解:,,,F AB EF EF ED AB ED =⋂⊥⊥又.36236232222,.,.,.,.,111111*********的距离为到平面中在的距离到平面是即平面垂足为作面且面平面平面面又面AED A AB B A A A K A AB A AED A K A AED K A K AE K A AE AB A AED AB A AED AED ED AB A ED ∴=⨯=⋅=∆⊥∴⊥=⋂⊥∴⊂⊥∴19.解:函数x c y =在R 上单调递减.10<<⇔c不等式.1|2|1|2|上恒大于在函数的解集为R c x x y R c x x -+=⇔>-+).,1[]21,0(.1,,.210,,.21121|2|.2|2|,2,2,2,22|2|+∞⋃≥≤<>⇔>⇔>-+∴-+=∴⎩⎨⎧<≥-=-+的取值范围为所以则正确且不正确如果则不正确且正确如果的解集为不等式上的最小值为在函数c c Q P c Q P c c R c x x c R c x x y c x c c x c x c x x20.解:如图建立坐标系以O 为原点,正东方向为x 轴正向.在时刻:(1)台风中心P (y x ,)的坐标为⎪⎪⎩⎪⎪⎨⎧⨯+⨯-=⨯-⨯=.22201027300,2220102300t y t x 此时台风侵袭的区域是,)]([)()(22t r y x ≤-+- 其中,6010)(+=t t r 若在t 时刻城市O 受到台风的侵袭,则有.)6010()0()0(222+≤-+-t y x 即22)22201027300()2220102300(t t ⨯+⨯-+⨯-⨯2412,028836,)6010(22≤≤≤+-+≤t t t t 解得即答:12小时后该城市开始受到台风的侵袭.21.根据题设条件,首先求出点P 坐标满足的方程,据此再判断是否存在的两定点,使得点P 到两点距离的和为定值.按题意有A (-2,0),B (2,0),C (2,4a ),D (-2,4a )设)10(≤≤==k DADCCD CF BC BE 由此有E (2,4a k ),F (2-4k ,4a ),G (-2,4a -4ak )直线OF 的方程为:0)12(2=-+y k ax ①直线GE 的方程为:02)12(=-+--a y x ka ②从①,②消去参数k ,得点P (x,y )坐标满足方程022222=-+ay y x a整理得1)(21222=-+a a y x 当212=a 时,点P 的轨迹为圆弧,所以不存在符合题意的两点. 当212≠a时,点P 轨迹为椭圆的一部分,点P 到该椭圆焦点的距离的和为定长。
2003年高数(一)试题与解答一、填空题 本题共6小题,每小题4分,满分24分.(1) )1ln(12)(cos lim x x x +→ =e1 .(2) 曲面22y x z +=与平面042=-+z y x 平行的切平面的方程是542=-+z y x .(3) 设)(cos 02ππ≤≤-=∑∞=x nx ax n n,则2a = 1 .(4)从2R 的基⎪⎪⎭⎫ ⎝⎛-=⎪⎪⎭⎫ ⎝⎛=11,0121αα到基⎪⎪⎭⎫ ⎝⎛=⎪⎪⎭⎫ ⎝⎛=21,1121ββ的过渡矩阵为⎪⎪⎭⎫ ⎝⎛--2132. (5)设二维随机变量(X,Y)的概率密度为 ,y x x y x f 其他,10,0,6),(≤≤≤⎩⎨⎧=则=≤+}1{Y X P41 . (6)已知一批零件的长度X (单位:cm)服从正态分布)1,(μN ,从中随机地抽取16个零件,得到长度的平均值为40 (cm),则μ的置信度为0.95的置信区间是)49.40,51.39( . 二、选择题 本题共6小题,每小题4分,满分24分.(1)设函数f(x)在),(+∞-∞内连续,其导函数的图形如图所示,则f(x)有(A) 一个极小值点和两个极大值点.(B) 两个极小值点和一个极大值点. (C) 两个极小值点和两个极大值点.(D)[ C ](2)设}{},{},{n n n c b a 均为非负数列,且0lim =∞→n n a ,1lim =∞→n n b ,∞=∞→n n c lim ,则必有(A) n n b a <对任意n 成立. (B) n n c b <对任意n 成立.(C) 极限n n n c a ∞→lim 不存在. (D) 极限n n n c b ∞→lim 不存在. [ D ](3)已知函数f(x,y)在点(0,0)的某个邻域内连续,且1)(),(lim2220,0=+-→→y x xyy x f y x ,则 (A) 点(0,0)不是f(x,y)的极值点. (B) 点(0,0)是f(x,y)的极大值点. (C) 点(0,0)是f(x,y)的极小值点.(D) 根据所给条件无法判断点(0,0)是否为f(x,y)的极值点. [ A ] (4)设向量组I :r ααα,,,21 可由向量组II :s βββ,,,21 线性表示,则(A) 当s r <时,向量组II 必线性相关. (B) 当s r >时,向量组II 必线性相关. (C) 当s r <时,向量组I 必线性相关. (D) 当s r >时,向量组I 必线性相关. [ D ](5)设有齐次线性方程组Ax=0和Bx=0, 其中A,B 均为n m ⨯矩阵,现有4个命题: ① 若Ax=0的解均是Bx=0的解,则秩(A)≥秩(B); ② 若秩(A)≥秩(B),则Ax=0的解均是Bx=0的解; ③ 若Ax=0与Bx=0同解,则秩(A)=秩(B); ④ 若秩(A)=秩(B), 则Ax=0与Bx=0同解. 以上命题中正确的是(A) ① ②. (B) ① ③.(C) ② ④. (D) ③ ④. [ B ](6)设随机变量21),1)((~XY n n t X =>,则 (A) )(~2n Y χ. (B) )1(~2-n Y χ.(C) )1,(~n F Y . (D) ),1(~n F Y . [ C ] 三 、解答题 本题满分10分过坐标原点作曲线y=lnx 的切线,该切线与曲线y=lnx 及x 轴围成平面图形D. (1) 求D 的面积A;(2) 求D 绕直线x=e 旋转一周所得旋转体的体积V.【答案】 (1) 设切点的横坐标为0x ,则曲线y=lnx 在点)ln ,(00x x 处的切线方程是 ).(1ln 000x x x x y -+= 由该切线过原点知 01ln 0=-x ,从而.0e x = 所以该切线的方程为 .1x ey = 平面图形D 的面积⎰-=-=1.121)(e dy ey e A y (2) 切线x ey 1=与x 轴及直线x=e 所围成的三角形绕直线x=e 旋转所得的圆锥体积为 .3121e V π=曲线y=lnx 与x 轴及直线x=e 所围成的图形绕直线x=e 旋转所得的旋转体体积为 dy ee V y 212)(⎰-=π,因此所求旋转体的体积为 ).3125(6)(312102221+-=--=-=⎰e e dy e e e V V V y πππ四 、(本题满分【答案】 因为).21,21(,4)1(2412)(202-∈--=+-='∑∞=x x x x f nn n n 又f(0)=4π, 所以 dt t dt t f f x f n n xxn n ]4)1([24)()0()(20⎰⎰∑∞=--='+=π=).21,21(,124)1(24120-∈+--+∞=∑x x n n n n n π因为级数∑∞=+-012)1(n nn 收敛,函数f(x)在21=x 处连续,所以].21,21(,124)1(24)(120-∈+--=+∞=∑x x n x f n n n n π令21=x ,得 ∑∑∞=+∞=+--=⋅+--=012012)1(4]21124)1([24)21(n nn n n n n f ππ,再由0)21(=f ,得.4)21(412)1(0ππ=-=+-∑∞=f n n n 五 、(本题满分10分)已知平面区域}0,0),{(ππ≤≤≤≤=y x y x D ,L 为D 的正向边界. 试证: (1) dx ye dy xe dx ye dy xe xLy x Ly sin sin sin sin -=-⎰⎰--; (2).22sin sin π≥--⎰dx ye dy xe x Ly 【答案】 (1) 左边=dx e dy e x y ⎰⎰--0sin 0sin ππππ=⎰-+ππ0sin sin )(dx e e x x ,右边=⎰⎰--ππππ0sin sin dx e dy ex y=⎰-+ππ0sin sin )(dx e e x x ,所以dx ye dy xe dx ye dy xex Ly x Lysin sin sin sin -=-⎰⎰--.(2) 由于2sin sin ≥+-x xe e ,故由(1)得.2)(20s i n s i n s i n s i n πππ≥+=-⎰⎰--dx e e dx yedy xexx xLy六 、(本题满分10分)某建筑工程打地基时,需用汽锤将桩打进土层. 汽锤每次击打,都将克服土层对桩的阻力而作功. 设土层对桩的阻力的大小与桩被打进地下的深度成正比(比例系数为k,k>0).汽锤第一次击打将桩打进地下a m. 根据设计方案,要求汽锤每次击打桩时所作的功与前一次击打时所作的功之比为常数r(0<r<1). 问(1) 汽锤击打桩3次后,可将桩打进地下多深?(2) 若击打次数不限,汽锤至多能将桩打进地下多深?【答案】 (1) 设第n 次击打后,桩被打进地下n x ,第n 次击打时,汽锤所作的功为),3,2,1( =n W n . 由题设,当桩被打进地下的深度为x 时,土层对桩的阻力的大小为kx ,所以22101221a k x k k x d x W x ===⎰, ).(2)(22222122221a x k x x k kxdx W x x -=-==⎰由12rW W =可得 2222ra a x =-, 即 .)1(222a r x += ].)1([2)(22232223332a r x k x x k kxdx W x x +-=-==⎰由1223W r rW W ==可得 22223)1(a r a r x =+-,从而 a r r x 231++=,即汽锤击打3次后,可将桩打进地下am r r 21++.(2) 由归纳法,设a r r r x n n 121-++++= ,则)(222111nn x x n x x k kxdx W n n-==++⎰+ =].)1([22121a r r x k n n -++++- 由于1121W r W r rW W n n n n ====-+ ,故得22121)1(a r a rr x n n n =+++--+ , 从而 .11111a rr a r r x n nn --=+++=++于是 a rx n n -=+∞→11lim 1, 即若击打次数不限,汽锤至多能将桩打进地下a r-11m. 七 、(本题满分12分)设函数y=y(x)在),(+∞-∞内具有二阶导数,且)(,0y x x y =≠'是y=y(x)的反函数.(1) 试将x=x(y)所满足的微分方程0))(sin (322=++dy dx x y dyx d 变换为y=y(x)满足的微分方程;(2) 求变换后的微分方程满足初始条件23)0(,0)0(='=y y 的解. 【答案】 (1) 由反函数的求导公式知y dy dx '=1,于是有 )(22dy dx dy d dyx d ==dy dx y dx d ⋅')1(=32)(1y y y y y '''-='⋅'''-. 代入原微分方程得.sin x y y =-'' ( * )(2) 方程( * )所对应的齐次方程0=-''y y 的通解为 .21xxe C e C Y -+= 设方程( * )的特解为x B x A y sin cos *+=,代入方程( * ),求得21,0-==B A ,故x y sin 21*-=,从而x y y sin =-''的通解是 .sin 2121*x e C e C y Y y xx -+=+=-由23)0(,0)0(='=y y ,得1,121-==C C . 故所求初值问题的解为.s i n 21x e e y xx --=- 八 、(本题满分12分)设函数f(x)连续且恒大于零,⎰⎰⎰⎰⎰+++=Ω)(22)(222)()()(t D t d y xf dvz y x f t F σ,⎰⎰⎰-+=tt D dxx f d y x f t G 12)(22)()()(σ,其中}),,{()(2222t z y x z y x t ≤++=Ω,}.),{()(222t y x y x t D ≤+=(1) 讨论F(t)在区间),0(+∞内的单调性. (2) 证明当t>0时,).(2)(t G t F π>【答案】 (1) 因为⎰⎰⎰⎰⎰⎰⎰==ttttr d rr f drr r f rdrr f d drr r f d d t F 0202220022022)()(2)(sin )()(πππθϕϕθ,202022])([)()()(2)(r d rr f drr t r r f t tf t F tt⎰⎰-=',所以在),0(+∞上0)(>'t F ,故F(t) 在),0(+∞内单调增加.(2) 因 ⎰⎰=ttdrr f rdrr f t G 0202)()()(π,要证明t>0时)(2)(t G t F π>,只需证明t>0时,0)(2)(>-t G t F π,即.0])([)()(0202222>-⎰⎰⎰tttrdr r f dr r f dr r r f令 ⎰⎰⎰-=tttr d r r f dr r f dr r r f t g 0202222])([)()()(,则 0)()()()(2022>-='⎰dr r t r f t f t g t,故g(t)在),0(+∞内单调增加.因为g(t)在t=0处连续,所以当t>0时,有g(t)>g(0). 又g(0)=0, 故当t>0时,g(t)>0,因此,当t>0时,).(2)(t G t F π>九 、(本题满分10分)设矩阵⎥⎥⎥⎦⎤⎢⎢⎢⎣⎡=322232223A ,⎥⎥⎥⎦⎤⎢⎢⎢⎣⎡=100101010P ,P A P B *1-=,求B+2E 的特征值与特征向量,其中*A 为A 的伴随矩阵,E 为3阶单位矩阵.【答案】 ⎥⎥⎥⎦⎤⎢⎢⎢⎣⎡------=522252225*A , ⎥⎥⎥⎦⎤⎢⎢⎢⎣⎡-=-1000011101P ,P A P B *1-==⎥⎥⎥⎦⎤⎢⎢⎢⎣⎡----322452007.从而⎥⎥⎥⎦⎤⎢⎢⎢⎣⎡----=+5224720092E B ,)3()9(522472009)2(2--=---=+-λλλλλλE B E , 故B+2E 的特征值为.3,9321===λλλ当921==λλ时,解0)9(=-x A E ,得线性无关的特征向量为,0111⎥⎥⎥⎦⎤⎢⎢⎢⎣⎡-=η ,1022⎥⎥⎥⎦⎤⎢⎢⎢⎣⎡-=η 所以属于特征值921==λλ的所有特征向量为⎥⎥⎥⎦⎤⎢⎢⎢⎣⎡-+⎥⎥⎥⎦⎤⎢⎢⎢⎣⎡-=+102011212211k k k k ηη,其中21,k k 是不全为零的任意常数.当33=λ时,解0)3(=-x A E ,得线性无关的特征向量为⎥⎥⎥⎦⎤⎢⎢⎢⎣⎡=1103η, 所以属于特征值33=λ的所有特征向量为⎥⎥⎥⎦⎤⎢⎢⎢⎣⎡=110333k k η,其中03≠k 为任意常数. 十 、(本题满分8分)已知平面上三条不同直线的方程分别为 :1l 032=++c by ax , :2l 032=++a cy bx , :3l 032=++b ay cx .试证这三条直线交于一点的充分必要条件为.0=++c b a【答案】必要性设三条直线321,,l l l 交于一点,则线性方程组⎪⎩⎪⎨⎧-=+-=+-=+,32,32,32b ay cx a cy bx c by ax (*) 有唯一解,故系数矩阵⎥⎥⎥⎦⎤⎢⎢⎢⎣⎡=a c c b b a A 222与增广矩阵⎥⎥⎥⎦⎤⎢⎢⎢⎣⎡---=b a c a c b c b a A 323232的秩均为2,于是.0=A由于 ])[(6323232222bc ac ab c b a c b a ba ca c bcb aA ---++++=---==])()())[((3222a c cb b ac b a -+-+-++, 但根据题设 0)()()(222≠-+-+-a c c b b a ,故 .0=++c b a充分性:由0=++c b a ,则从必要性的证明可知,0=A ,故秩.3)(<A 由于])([2)(22222b b a a b ac cb ba ++-=-==0]43)21[(222≠++-b b a , 故秩(A)=2. 于是, 秩(A)=秩)(A =2.因此方程组(*)有唯一解,即三直线321,,l l l 交于一点.十一 、(本题满分10分)已知甲、乙两箱中装有同种产品,其中甲箱中装有3件合格品和3件次品,乙箱中仅装有3件合格品. 从甲箱中任取3件产品放入乙箱后,求:(1) 乙箱中次品件数的数学期望;(2) 从乙箱中任取一件产品是次品的概率.【答案】 (1) X 的可能取值为0,1,2,3,X 的概率分布为36333}{C C C k X P kk -==, k=0,1,2,3. 即 X 0 1 2 3 P 201 209 209 201 因此.232013209220912010=⨯+⨯+⨯+⨯=EX (2) 设A 表示事件“从乙箱中任取一件产品是次品”,由于}0{=X ,}1{=X ,}2{=X ,}3{=X 构成完备事件组,因此根据全概率公式,有∑====30}{}{)(k k X A P k X P A P=∑∑====⋅=303}{616}{k k k X kP k k X P=.41236161=⋅=EX 十二 、(本题满分8分)设总体X 的概率密度为⎩⎨⎧≤>=--,,,0,2)()(2θθθx x e x f x其中0>θ是未知参数. 从总体X 中抽取简单随机样本n X X X ,,,21 ,记).,,,min(ˆ21nX X X =θ(1) 求总体X 的分布函数F(x); (2) 求统计量θˆ的分布函数)(ˆx F θ;(3) 如果用θˆ作为θ的估计量,讨论它是否具有无偏性. 【答案】 (1).,,0,1)()()(2θθθ≤>⎩⎨⎧-==⎰∞---x x e dt t f x F xx (2) }),,,{min(}ˆ{)(21ˆx X X X P x P x F n≤=≤= θθ =}),,,{min(121x X X X P n >- =},,,{121x X x X x X P n >>>- =n x F )](1[1--=.,,0,1)(2θθθ≤>⎩⎨⎧---x x e x n(3) θˆ概率密度为 .,,0,2)()()(2ˆˆθθθθθ≤>⎩⎨⎧==--x x ne dxx dF x f x n 因为 ⎰⎰+∞--+∞∞-==θθθθdx nxe dx x xf E x n )(2ˆ2)(ˆ=θθ≠+n21, 所以θˆ作为θ的估计量不具有无偏性.。
2003年普通高等学校招生全国统一考试(辽宁卷)数 学第Ⅰ卷(选择题 共60分)注意事项:1.答第Ⅰ卷前,考生务必将自己的姓名、准考号、考试科目用铅笔涂写在答题卡上2.每小题选出答案后,用铅笔把答题卡上对应题目的答案标号涂黑,如需改动,用橡 皮擦干净后,再选涂其它答案,不能答在试题卷上参考公式:如果事件A 、B 互斥,那么 球的表面积公式P (A+B )=P (A )+P (B ) S=4πR 2如果事件A 、B 相互独立,那么 其中R 表示球的半径P (A ·B )=P (A )·P (B ) 球的体积公式如果事件A 在一次试验中发生的概率是P.334R V π=那么n 次独立重复试验中恰好发生k 次的概 率 其中R 表示球的半径k n k k n n P P C k P --=)1()(一、选择题:本大题共12小题,每小题5分,共60分,在每小题给出的四个选项中,只有一项是符合题目要求的.1.与曲线11-=x y 关于原点对称的曲线为 ( )A .x y +=11B .x y +-=11C .x y -=11D .xy --=112. 已知==-∈x x x 2tan ,54cos ),0,2(则π( )A .247B .-247C .724D .-724 3.=+-2)3(31i i( )A .i 4341+ B .i 4341--C .i 2321+ D .i 2321--4.已知四边形ABCD 是菱形,点P 在对角线AC 上(不包括端点A 、C ),则=( )A .)1,0(),(∈+λλAD AB B .)22,0(),(∈+λλC .)1,0(),(∈-λλD .)22,0(),(∈-λλBC AB 5.设函数⎪⎩⎪⎨⎧>≤-=-0,0,12)(,21x xx x f x 若1)(0>x f ,则x 0的取值范围是( )A .(-1,1)B .(-1,+∞)C .(-∞,-2)∪(0,+∞)D .(-∞,-1)∪(1,+∞)6.等差数列}{n a 中,已知33,4,31521==+=n a a a a ,则n 为 ( )A .48B .49C .50D .51 7.函数),1(,11ln+∞∈-+=x x x y 的反函数为( )A .),0(,11+∞∈+-=x e e y xx B .),0(,11+∞∈-+=x e e y xxC .)0,(,11-∞∈+-=x e e y xx D .)0,(,11-∞∈-+=x e e y xx 8.棱长为a 的正方体中,连结相邻面的中心,以这些线段为棱的八面体的体积为( )A .33aB .43aC .63aD .123a9.设c bx ax x f a ++=>2)(,0,曲线)(x f y =在点))(,(00x f x P 处切线的倾斜角的取值范围为]4,0[π,则P 到曲线)(x f y =对称轴距离的取值范围为 ( )A .]1,0[aB .]21,0[aC .|]2|,0[a b D .|]21|,0[ab - 10.已知双曲线中心在原点且一个焦点为与其相交于直线1),0,7(-=x y F M 、N 两点,MN中点的横坐标为,32-则此双曲线的方程是 ( )A .14322=-y x B .13422=-y x C .12522=-y x D .15222=-y x 11.已知长方形的四个顶点A (0,0),B (2,0),C (2,1)和D (0,1).一质点从AB 的中点P 0沿与AB 夹角为θ的方向射到BC 上的点P 1后,依次反射到CD 、DA 和AB 上的点P 2,P 3和P 4(入射角等于反射角). 设P 4的坐标为(x 4,0),若214<<x , 则θtan 的取值范围是( )A .(31,1) B .)32,31(C .)21,52(D .)32,52(12.一个四面体的所有棱长都为2,四个顶点在同一球面上,则此球的表面积为 ( ) A .3π B .4πC .π33D .6π第Ⅱ卷(非选择题 共90分)二、填空题:本大题共4小题,每小题4分,共16分.答案填在题中横线上. 13.92)21(xx -展开式中9x 的系数是 . 14.某公司生产三种型号的轿车,产量分别为1200辆,6000辆和2000辆,为检验该公司的产品质量现用分层抽样的方法抽取46辆进行检验,这三种型号的轿车依次应抽取, , 辆 15.某城市在中心广场建造一个花圃,花圃分为6个部分 (如图).现要栽种4种不同颜色的花,每部分栽种一种且相邻部分不能栽种同样颜色的花,不同的栽种方 法有 (以数字作答) 16.对于四面体ABCD ,给出下列四个命题 ①若AB=AC ,BD=CD ,则BC ⊥AD ②若AB=CD ,AC=BD ,则BC ⊥AD③若AB ⊥AC ,BD ⊥CD ,则BC ⊥AD ④若AB ⊥CD ,BD ⊥AC ,则BC ⊥AD 其中真命题的序号是 .(写出所有真命题的序号)三、解答题:本大题共6小题,共74分.解答应写出文字说明,证明过程或演算步骤. 17.(本小题满分12分)已知正四棱柱ABCD —A 1B 1C 1D 1,AB=1,AA 1=2,点E 为CC 1中点,点F 为BD 1中点.(1)证明EF 为BD 1与CC 1的公垂线; (2)求点D 1到面BDE 的距离.AA18.(本小题满分12分)已知函数)0,0)(sin()(πϕωϕω≤≤>+=x x f 是R 上的偶函数,其图像关于点)0,43(πM 对称,且在区间]2,0[π上是单调函数,求ϕ和ω的值.19.(本小题满分12分) 设0>a ,求函数)),0(()ln()(+∞∈+-=x a x x x f 的单调区间.20.(本小题满分12分)A 、B 两个代表队进行乒乓球对抗赛,每队三名队员,A 队队员是A 1,A 2,A 3,B123现按表中对阵方式出场,每场胜队得1分,负队得0分,设A 队、B 队最后所得总 分分别为ξ、η(1)求ξ、η的概率分布; (2)求E ξ,E η. 21.(本小题满分14分)设0a 为常数,且)(2311+--∈-=N n a a n n n(1)证明对任意012)1(]2)1(3[51,1a a n n n n n nn ⋅-+⋅-+=≥-; (2)假设对任意1≥n 有1->n n a a ,求0a 的取值范围.22.(本小题满分14分)已知常数a >0,向量c =(0,a ),i =(1,0),经过原点O 以c +λi 为方向向量的直线与经过定点A (0,a )以i -2λc 为方向向量的直线相交于点P ,其中λ∈R.试问:是否存在两个定点E 、F ,使得|PE|+|PF|为定值.若存在,求出E 、F 的坐标;若不存在,说明理由.2003年普通高等学校招生全国统一考试(辽宁卷)数学试题(理工农医类)参考解答一、选择题:本题考查基本知识和基本运算每小题5分,满分60分1.A2.D3.B4.A5.D6.C7.B8.C9.B 10.D 11.C 12.A 二、填空题:本题考查基本知识和基本运算,每小题4分,满分16分13.221-14.6,30,10 15.120 16.①④ 三、解答题17.本小题主要考查线面关系和四棱柱等基础知识,考查空间想象能力和推理能力.满分12分.AA(I )证法一:取BD 中点M ,连结MC ,FM ,∵F 为BD 1中点, ∴FM ∥D 1D 且FM=21D 1D又EC=21CC 1,且EC ⊥MC , ∴四边形EFMC 是矩形 ∴EF ⊥CC 1 …………3分 又CM ⊥面DBD 1 ∴EF ⊥面DBD 1 ∵BD 1⊂面DBD 1,∴EF ⊥BD 1 故EF 为BD 1与CC 1的公垂线. 证法二:建立如图的坐标系,得)OB (0,1,0),D 1(1,0,2),F )1,21,21( C 1(0,0,2),E (0,0,1).…………2分)2,0,0(),0,21,21(1==∴CC EF)2,1,1(1-=BD ……………………4分 0,011=⋅=⋅∴BD CC即EF ⊥CC 1,EF ⊥BD 1故EF 是CC 1与BD 1的公垂线.……6分 (II )解:连结ED 1,有DBE D DBD E V V --=11由(I )知EF ⊥面DBD 1,设点D 1到面BDE 的 距离为d ,则S △DBC ·d=S △DBD 1·EF.………………9分 ∵AA 1=2·AB=1.22,2====∴EF ED BE BD 23)2(2321,2222121=⋅⋅==⋅⋅=∴∆∆DBC DBD S S 33223222=⨯=∴d故点D 1到平面BDE 的距离为332. 18. 本小题主要考查三角函数的图象和单调性、奇偶性等基本知识,以及分析问题和推理计算能力.满分12分.解:由)(x f 是偶函数,得)()(x f x f =-,即)sin()sin(ϕωϕω+=+-x x , 所以x x ωϕωϕsin cos sin cos =-对任意x 都成立,且0>ω,所以得0cos =ϕ, 依题设πϕ≤≤0,所以解得2πϕ=.……………………4分由)(x f 的图象关于点M 对称,得)43()43(x f x f +-=-ππ, 取,0=x 得),43()43(ππf f -=所以,0)43(=πf43cos)243sin()43(ωππωππ=+=f , 2,1,0,243,0,043cos =+=>=∴k k ππωπωωπ得又…, ………………8分,2,1,0),12(32=+=∴k k ω….当k =0时,]2,0[)232sin()(,32ππω在+==x x f 上是减函数;当k =1时,]2,0[)22sin()(,2ππω在+==x x f 上是减函数;当2≥k 时,]2,0[)2sin()(,310ππωω在+=≥x x f 上不是单调函数.所以,综合得232==ωω或. ………………12分 19.本小题主要考查导数的概念和计算,应用导数研究函数性质的方法及推理和运算能力. 满分12分.解:)0(121)(>+-='x ax xx f . ………………2分 当0,0>>x a 时 0)42(0)(22>+-+⇔>'a x a x x f .0)42)0)(22<+-+⇔<'a x a x x f(i )当1>a 时,对所有0>x ,有0)42(22>+-+a a x . 即0)(>'x f ,此时)(x f 在),0(+∞内单调递增. …………5分 (ii )当1=a 时,对1≠x ,有0)42(22>+-+a x a x ,即0)(>'x f ,此时)(x f 在(0,+∞)内单调递增,在),1(+∞内单调递增又知函数)(x f 在x=1处连续,因此,函数)(x f 在(0,+∞)内单调递增…………7分 (iii )当10<<a 时,令0)(>'x f ,即0)42(22>+-+a x a x . 解得a a x a a x -+->---<122,122或.因此,函数)(x f 在区间)122,0(a a ---内单调递增,在区间),122(+∞-+-a a 内也单调递增. ………………10分 令0)42(,0)(22<+-+<'a x a x x f 即, 解得a a x a a -+-<<---122122.因此,函数)(x f 在区间)122,12-2a a a a -+---(内单调递减. ………………12分20.本小题考查离散型随机变量分布列和数学期望等概念,考查运用概率知识解决实际问题的能力.满分12分. 解:(1)ξ、η的可能取值分别为3,2,1,0.758525232)3(=⨯⨯==ξP 7528525332525231535232)2(=⨯⨯+⨯⨯+⨯⨯==ξP 52525331535231535332)1(=⨯⨯+⨯⨯+⨯⨯==ξP ,253535331)0(=⨯⨯==ξP …………4分 根据题意知ξ+η=3,所以 P(η=0)=P(ξ=3)=758, P(η=1)=P(ξ=2)= 7528P(η=2)=P(ξ=1)= 52, P(η=3)=P(ξ=0)= 253. …………8分(2)15222530521752827583=⨯+⨯+⨯+⨯=ξE ; 因为ξ+η=3,所以 .15233=-=ξηE E …………12分21.本小题主要考查数列、等比数列的概念,考查数学归纳法,考查灵活运用数学知识分析问题和解决问题的能力,满分14分. (1)证法一:(i )当n=1时,由已知a 1=1-2a 0,等式成立; (ii )假设当n=k (k ≥1)等式成立,则,2)1(]2)1(3[5101a a k k k k kk ---+=- 那么01112)1(]2)1(3[52323a a a k k k k kkk kk +-+---+-=-= .2)1(]2)1(3[5101111a k k k k k ++++-+-+=也就是说,当n=k+1时,等式也成立.根据(i )和(ii ),可知等式对任何n ∈N +,成立. …………6分证法二:如果设),3(233111-----=-n n n n n a a αα 用1123---=n n n a a 代入,可解出51=α. 所以⎭⎬⎫⎩⎨⎧-53n n a 是公比为-2,首项为531-a 的等比数列. ).()2)(5321(5310+-∈---=-∴N n a a n n n即.2)1(52)1(301a a n n nn n n -+-+=- ………………6分(2)解法一:由n a 通项公式 .23)1(523)1(32011111a a a n n n n n n n -----⨯-+⨯-+⨯=-)(1N n a a n n ∈>∴-等价于 ).()23()15()1(201+--∈<--N n a n n ……① …………8分(i )当n=2k -1,k=1,2,…时,①式即为 32022)23()15()1(--<--k k a即为 .51)23(51320+<-k a ……②②式对k=1,2,…都成立,有 .3151)23(5110=+⨯<-a ………………10分(ii )当n=2k ,k=1,2,…时,①式即为 .)23()15()1(22012--<--k k a即为 .51)23(51220+⨯->-k a ……③ ③式对k=1,2,…都成立,有 .051)23(512120=+⨯->-⨯a …………12分综上,①式对任意n ∈N *,成立,有.3100<<a故a 0的取值范围为).31,0( …………14分解法二:如果1->n n a a (n ∈N *)成立,特别取n=1,2有 .031001>-=-a a a.06012>=-a a a 因此 .3100<<a …………9分下面证明当.3100<<a 时,对任意n ∈N *,.01>--n n a a 由a n 的通项公式 .235)1(23)1(32)(5011111a a a n n n n n n n -----⨯⨯-+⨯-+⨯=-(i )当n=2k -1,k=1,2…时, 011112352332)(5a a a n n n n n ----⨯⨯-⨯+⨯=->025*******=⨯-⨯+⨯---n n n (12)分(ii )当n=2k ,k=1,2…时,011112352332)(5a a a n n n n n ----⨯⨯+⨯-⨯=->.0233211≥⨯-⨯--n n 故a 0的取值范围为).31,0( …………14分22.本小题主要考查平面向量的概念和计算,求轨迹的方法,椭圆的方程和性质,利用方程判定曲线的性质,曲线与方程的关系等解析几何的基本思想和综合解题能力,满分12分.解:根据题设条件,首先求出点P 坐标满足的方程,据此再判断是否存在两定点,使得点P到两定点距离的和为定值.∵i =(1,0),c=(0,a ), ∴c+λi =(λ,a ),i -2λc=(1,-2λa ). (2)分因此,直线OP 和AP 的方程分别为 ax y =λ 和 ax a y λ2-=-. …………4分消去参数λ,得点),(y x P 的坐标满足方程222)(x a a y y -=-.整理得 .1)2()2(81222=-+a a y x ……① …………7分 因为,0>a 所以得:(i )当22=a 时,方程①是圆方程,故不存在合乎题意的定点E 和F ; (ii )当220<<a 时,方程①表示椭圆,焦点)2,2121(2a a E -和)2,2121(2a a F --为合乎题意的两个定点;(iii )当22>a 时,方程①也表示椭圆,焦点))21(21,0(2-+a a E 和))21(21,0(2--a a F 为合乎题意的两个定点. …………12分。
东北大学高等数学(上)期末考试试卷2003.1.10一、填空题(将正确答案填在横线上,本大题共4小题, 每小题3分, 共12分)1. 设)(x f 处处连续,且3)2(=f ,则=→)2sin (3sin limxx f xx x ( )2. 函数31292)(23-+-=x x x x f 在闭区间( )单调减. 3. ⎰=xdx 2tan( )4. 已知,23→→→→--=k j i a →→→→-+=k j i b 2,则→→b a ,夹角的余弦是( ) 二、单项选择题(在每个小题四个备选答案中选出一个正确答案,填在题末的括号中)(本大题共4小题, 每小题4分, 共16分)1.)()(x x e e x x f --=在其定义域),(+∞-∞是( ).(A )有界函数; (B )单调函数; (C )奇函数; (D )偶函数 2.设)100()4)(3)(2)(1()(+⋅⋅⋅+-+-=x x x x x x x f ,则)1(f '=( ). (A )101!; (B )-100!; (C )100!101-; (D )99!100-.3.定积分⎰4302sin πdx x =( ) (A )21;(B )23; C )21-;(D )23-4.直线37423z y x =-+=-+与平面3224=--z y x 的关系是( )(A )平行,但直线不在平面上; (B )直线在平面上; (C )垂直相交; (D )相交但不垂直. 三.试解下列各题(6⨯6=36分)1. 求极限)1(1lim2222---→xxx ex xe2.设222,ln cosdxy d x x y 求=3.设dy y x xy yxx y y ),求,所确定(由方程00arctan ln )(22≠≠=+=4.⎪⎩⎪⎨⎧<<-==⎰⎰22sin cos 220ππt dxy d udue y udu e x t utu。
其中,求设.5.⎰dx e x x 2求6.⎰>-aa dx x a x2220)(计算四、(6分)设)(01)1ln(0)(11x f x x x ex f x ,求⎪⎩⎪⎨⎧≤<-+>=-的间断点,并说明间断点的所属类型.五、(8分)求过点(2,0,-3)且与直线⎩⎨⎧=+-+=-+-012530742z y x z y x 垂直的平面方程.六、(8分)求由曲线232x x y x y -==与所围城的平面图形的面积. 七、(8分)曲线631x y =(x>0)上哪一点的法线在y 轴上的截距为最小.八、(6分)设f (x )在[a ,b ]上连续,在(a ,b )内二阶可导,且()()0f a f b =≥,又有()0f c <()a c b <<.试证:在内至少存在两点1212()0()0f f ξξξξ''''>>,使,.高等数学参考答案 2003.1.10一、填空题, 每小题3分,共4小题,(1) 9; (2)[]1,2; (3) tan x - x +C; (4)-.二、选择题, 每小题4分,共4小题. (1) D; (2) C; (3) B; (4) A. 三、每小题6分,共6小题.1. 原式=2241limxx ex x→--=2322lim4xx xexx→-=2201lim2xx ex→-221lim 22x xx→==.2.2cos 2cos sin ln x y x x x x'=-+2cos sin 2ln x x x x=-+22sin 2sin cos cos 22ln x x x xy x x xx--''=-⋅-+222sin 2cos 2cos 2ln .xx x x xx=-⋅-+3. 22xdx ydyx y++=22xdy ydxx y-+,.x y dy dx x y+=-4. cos ,sin ,ttdxdy e t e t dt dt==tan .dy t dx=223tan 1.cos t d y d t dt dxdt dx e t =⋅=⋅5. 原式=22xxx e xe dx-⎰=222.xxxx e xe e C -++6. 原式=222220sin cos a t a tdtπ⎰=422420sin (1sin )16at t dt aππ-=⎰.四、解x =1是间断点,10lim ()x f x →-=1110lim 0,x x e-→-=10lim ()x f x →+=1110lim ,x x e-→+=+∞故x =1是第二类间断点x =0是间断点,00lim ()x f x →-=00lim ln(1)0,x x →++=00lim ()x f x →+=e -1.故x =0是跳跃间断点(或第一类间断点) .五、法向量n ={}12416,14,11352ij k-=--,所求平面方程为16(2)1411(3)0x y z --+++=即161411650x y z -+++=.六、解交点为32,2,y x y x x ⎧=⎨=-⎩得到0,2,1,x x x ==-=A =0322(2)x x x dx--+⎰+0322(2)x x x dx----⎰=042321143x x x -⎡⎤-+⎢⎥⎣⎦+124301143x x x ⎡⎤--⎢⎥⎣⎦ =8(44)3+++(111)43--=3712.七、解设曲线上点为(61,3x x),52y x '=. 法线方程为6511()32Y x X x x-=--,在y 轴上的截距为641132b x x =+,5522db x dxx =-,2424110()d bx dxx=+令0dbdx=,得到x =1,且正根只有一个,可微函数在定义域内只有一个驻点,是极小值点.所以x =1为b (x )的最小值点,所求点为(1,13). 八、解因为f (x )在[],a b 上连续,f (x )在[],a b 上取最小值,又f (a )=f (b )≥0,且f (c )<0(a<c<b),(a <c <b ),所以f (x )必在(a,b )内某一点x 0取最小值,且f (x 0)<0,又因为f (x )在(a,b )内可导,x 0为极小值点(a < x 0<b ),所以0()0,f x '= f (x )在[][]00,,,a x x b 上都满足Lagrange 中值定理条件,所以有01100()()()0,f x f a f a x x a ηη-'=<<<-,02020()()()0,f b f x f x bb x ηη-'=><<-,又()f x '在[][]1002,,,x x ηη上都满足Lagrange 中值定理条件,所以有 01101()()()f x f f x ηξη''-''=-101()0.f x ηη'-=>-110x ηξ<<20220()()()f f x f x ηξη''-''=-=220()0.f x ηη'>-022x ξη<<.所以1()0,f ξ''>2()0f ξ''>.1a b ξ<<2a bξ<<.。