全国高校院校代码(新)
- 格式:xls
- 大小:334.00 KB
- 文档页数:72
1.清华大学(211、985院校)学校代码10003建筑学土木工程动力工程及工程热物理电气工程水利工程全国高校建筑学排名第一,各学科历史悠久,资源丰富,报考的理想选择。
2.同济大学(211、985院校)学校代码10247一级学科国家重点学科:建筑学土木工程老八校第二名,王牌为城市规划,建筑学仅次于清华,同为理想选择。
3.东南大学(211、985院校)学校代码10286一级学科国家重点学科:建筑历史与理论老八校第三名,学习气氛优异,其建筑史专业全国第一。
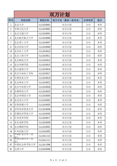
4.天津大学(211、985院校)学校代码10056一级学科国家重点学科:建筑学水利工程老八校之一,建筑设计及其理论水平与清华不相上下,全国第一所现代大学。
5.华南理工大学(211、985院校)学校代码10561建筑学水利工程老八校之一,建筑设计及其理论水平与清华不相上下,全国第一所现代大学6.重庆大学(211、985院校)学校代码106117.哈尔滨工业大学(211、985院校)学校代码102138.西安建筑科技大学(普通院校)学校代码10703新疆平均分数线9.浙江大学(211.985院校)学校代码10335新疆平均分数线10.南京大学(211.985院校)学校代码1028411.南京林业大学(普通院校)学校代码10298 新疆平均分数线12.湖南大学(211.985院校)学校代码1053213.北京工业大学(211院校)学校代码1000514北京林业大学(211院校)学校代码1002215.上海交通大学(211.985院校)学校代码1024816.大连理工大学(211.985院校)学校代码1014117.合肥工业大学(211 院校)学校代码1035918.武汉理工大学(211院校)学校代码10497新疆平均分数线20.太原理工大学(211院校)学校代码1011221.青岛理工大学(普通院校)学校代码10429 新疆平均分数线青岛理工大学是一所以工为主,理工结合,土木建筑、机械制造、环境能源学科特色鲜明,理、工、经、管、文、法多学科协调发展,科学教育与人文教育相结合的多科性大学。
【新4位】全国高等学院代码、北京大学 1101中国人民大学 1102清华大学 1103北方交通大学 1104北京科技大学 1105石油大学 1106北京邮电大学 1107北京化工大学 1108中国农业大学 1109北京林业大学 1110北京中医药大学 1111北京师范大学 1112北京外国语大学 1113北京语言大学 1114对外经济贸易大学 1115中央财经大学 1116中国政法大学 1117中央民族大学 1118中国人民公安大学 1119中国协和医科大学 1120北京体育大学 1121北京理工大学 1122北京航空航天大学 1123北京工商大学 1124北京联合大学 1125北京工业大学 1126北方工业大学 1127首都医科大学 1128首都师范大学 1129首都经济贸易大学 1130北京广播学院 1131国际关系学院 1132中央美术学院 1133中央戏剧学院 1134中央音乐学院 1135北京电子科技学院 1136外交学院 1137中国青年政治学院 1138中华女子学院 1139北京机械工业学院 1140北京建筑工程学院 1141北京服装学院 1142北京印刷学院 1143北京信息工程学院 1144北京石油化工学院 1145首钢工学院 1146北京农学院 1147首都体育学院 1148北京第二外国语学院 1149北京物资学院 1150中国音乐学院 1151北京舞蹈学院 1152北京电影学院 1153中国戏曲学院 1154北京青年政治学院 1155海淀走读大学 1156北京轻工职业技术学院 1157北京信息职业技术学院 1158北京工业职业技术学院 1159北京科技经营管理学院 1160北京吉利大学 1161北京农业职业学院 1162南开大学 1201天津大学 1202天津工业大学 1203天津科技大学 1204天津医科大学 1205天津师范大学 1206中国民用航空学院 1207天津理工学院 1208天津城市建设学院 1209天津农学院 1210天津中医学院 1211天津职业技术师范学院 121天津外国语学院 1213天津财经学院 1214天津商学院 1215天津体育学院 1216天津美术学院 1217天津音乐学院 1218天津医学高等专科学校 1219天津公安警官职业学院 1220天津电子信息职业技术学院 1221 天津滨海职业学院 1222天津轻工职业技术学院 1223天津现代职业技术学院 1224天津工程职业技术学院 1225天津职业大学 1226天津机电职业技术学院 1227天津工业职业技术学院 1228民办天狮职业技术学院 1229天津渤海职业技术学院 1230天津交通职业学院 1231天津中德职业技术学院 1232天津青年职业学院 1233天津工商职业技术学院 1234天津文化艺术职业学院 1235天津开发区职业技术学院 1236 天津对外经济贸易职业学院 1237 华北电力大学 1301河北大学 1302河北工业大学 1303燕山大学 1304河北科技大学 1305河北农业大学 1306河北医科大学 1307河北师范大学 1308河北经贸大学 1309中国人民武装警察部队学院 1310 中央司法警官学院 1311华北科技学院 1312河北理工学院 1313石家庄铁道学院 1314河北建筑科技学院 1315河北建筑工程学院 1316石家庄经济学院 1317华北煤炭医学院 1318张家口医学院 1319承德医学院 1320邢台学院 1321河北职业技术师范学院 1322唐山师范学院 1323廊坊师范学院 1324河北体育学院 1325唐山学院 1326防灾技术高等专科学校 1327承德石油高等专科学校 1328河北工程技术高等专科学校 1329华北航天工业学院 1330张家口农业高等专科学校 1331邯郸农业高等专科学校 1332邯郸医学高等专科学校 1333邢台医学高等专科学校 1334邯郸师范专科学校 1335保定师范专科学校 1336石家庄师范专科学校 1337承德民族师范高等专科学校 1338 沧州师范专科学校 1339张家口师范专科学校 1340衡水师范专科学校 1341保定金融高等专科学校 1342石家庄职业技术学院 1343邢台职业技术学院 1344保定职业技术学院 1345河北职业技术学院 1346河北工业职业技术学院 1347邯郸职业技术学院 1348张家口职业技术学院 1349石家庄铁路工程职业技术学院 1350 沧州职业技术学院 1351承德民族职业技术学院 1352河北能源职业技术学院 1353河北工程技术职业学院 1354石家庄外经贸职业学院 1355石家庄东方美术职业学院 1356河北京都高尔夫职业学院 1357石家庄计算机职业学院 1358河北建材职业技术学院 1359河北政法职业学院 1360河北远东职业技术学院 1361石家庄信息工程职业学院 1362河北石油职业技术学院 1363衡水职业技术学院 1364秦皇岛职业技术学院 1365邯郸中原外国语职业学院 1366唐山职业技术学院 1367石家庄法商职业学院 1368石家庄影视艺术职业学院 1369唐山工业职业技术学院 1370秦皇岛外国语职业学院 1371河北化工医药职业技术学院 1372 河北交通职业技术学院 1373承德旅游职业学院 1374河北省艺术职业学院 1375山西大学 1401太原理工大学 1402山西农业大学 1403山西医科大学 1404山西师范大学 1405山西财经大学 1406华北工学院 1407太原重型机械学院 1408长治医学院 1409山西中医学院 1410忻州师范学院 1411运城学院 1412太原师范学院 1413雁北师范学院 1414太原电力高等专科学校 1415大同医学专科学校 1416吕梁高等专科学校 1417晋东南师范专科学校 1418晋中师范高等专科学校 1419山西财政税务专科学校 1420山西警官高等专科学校 1421大同职业技术学院 1422太原大学 1423山西工业职业技术学院 1424山西财贸职业技术学院 1425山西建筑工程职业技术学院 1426 山西兴华职业学院 1427山西戏剧职业学院 1428山西机电职业技术学院 1429晋城职业技术学院 1430北岳职业技术学院 1431山西生物应用职业技术学院 1432 山西交通职业技术学院 1433山西艺术职业学院 1434长治职业技术学院 1435阳泉职业技术学院 1436山西水利职业技术学院 1437山西林业职业技术学院 1438山西工程职业技术学院 1439内蒙古大学 1501内蒙古民族大学 1502内蒙古工业大学 1503内蒙古农业大学 1504内蒙古师范大学 1505包头钢铁学院 1506内蒙古医学院 1507包头医学院 1508包头师范学院 1509内蒙古财经学院 1510内蒙古民族高等专科学校 1511 赤峰民族师范高等专科学校 1512 呼伦贝尔学院 1513集宁师范高等专科学校 1514民办内蒙古丰州学院 1515内蒙古建筑职业技术学院 1516 河套大学 1517包头职业技术学院 1518内蒙古体育职业学院 1519内蒙古警察职业学院 1520兴安职业技术学院 1521大连理工大学 2101东北大学 2102大连海事大学 2103辽宁大学 2104沈阳大学 2105大连大学 2106辽宁工程技术大学 2107沈阳工业大学 2108辽宁石油化工大学 2109鞍山科技大学 2110沈阳农业大学 2111中国医科大学 2112大连医科大学 2113沈阳药科大学 2114辽宁师范大学 2115沈阳师范大学 2116东北财经大学 2117大连民族学院 2118中国刑事警察学院 2119沈阳建筑工程学院 2120大连铁道学院 2121沈阳工业学院 2122沈阳化工学院 2123辽宁工学院 2124大连轻工业学院 2125沈阳航空工业学院 2126大连水产学院 2127辽宁中医学院 2128锦州医学院 2129沈阳医学院 2130锦州师范学院 2131鞍山师范学院 2132大连外国语学院 2133沈阳体育学院 2134鲁迅美术学院 2135沈阳音乐学院 2136阜新高等专科学校 2137沈阳电力高等专科学校 2138本溪冶金高等专科学校 2139辽宁交通高等专科学校 2140锦州师范高等专科学校 2141铁岭师范高等专科学校 2142抚顺师范高等专科学校 2143朝阳师范高等专科学校 2144辽宁税务高等专科学校 2145辽宁财政高等专科学校 2146辽宁警官高等专科学校 2147渤海船舶职业学院 2148营口职业技术学院 2149丹东职业技术学院 2150辽宁农业职业技术学院 2151盘锦职业技术学院 2152抚顺职业技术学院 2153辽宁商务职业学院 2154辽宁对外经贸职业学院 2155鞍山市高等职业专科学校 2156 大连商务职业学院 2157辽阳职业技术学院 2158大连职业技术学院 2159大连东软信息技术职业学院 2160 辽宁广告职业学院 2161辽宁金融职业学院 2162辽宁石化职业技术学院 2163辽宁经济职业技术学院 2164辽宁机电职业技术学院 2165辽宁信息职业技术学院 2166大连艺术职业学院 2167吉林大学 2201东北师范大学 2202延边大学 2203北华大学 2204长春大学 2205长春理工大学 2206长春工业大学 2207吉林农业大学 2208吉林师范大学 2209东北电力学院 2210吉林化工学院 2211吉林建筑工程学院 2212长春工程学院 2213长春中医学院 2214长春师范学院 2215白城师范学院 2216通化师范学院 2217吉林工程技术师范学院 2218长春税务学院 2219吉林体育学院 2220吉林艺术学院 2221吉林粮食高等专科学校 2222长春汽车工业高等专科学校 2223 吉林特产高等专科学校 2224长春医学高等专科学校 2225吉林商业高等专科学校 2226吉林财税高等专科学校 2227长春金融高等专科学校 2228吉林公安高等专科学校 2229吉林对外经贸职业学院 2230辽源职业技术学院 2231长春东方职业学院 2232民办吉林华侨外语职业学院 2233 四平职业大学 2234吉林交通职业技术学院 2235吉林农业工程职业技术学院 2236 吉林司法警官职业学院 2237长春职业技术学院 2238吉林工业职业技术学院 2239吉林电子信息职业技术学院 2240 东北林业大学 2301哈尔滨工业大学 2302哈尔滨工程大学 2303黑龙江大学 2304佳木斯大学 2305齐齐哈尔大学 2306东北农业大学 2308黑龙江八一农垦大学 2309哈尔滨医科大学 2310黑龙江中医药大学 2311哈尔滨师范大学 2312哈尔滨商业大学 2313大庆石油学院 2314黑龙江科技学院 2315黑龙江工程学院 2316哈尔滨学院 2317齐齐哈尔医学院 2318牡丹江医学院 2319牡丹江师范学院 2320哈尔滨体育学院 2321大庆高等专科学校 2322黑龙江水利专科学校 2323绥化师范专科学校 2324克山师范专科学校 2325鹤岗师范高等专科学校 2326哈尔滨金融高等专科学校 2327民办黑龙江东方学院 2328鸡西大学 2329伊春职业学院 2330黑龙江农业职业技术学院 2331黑龙江建筑职业技术学院 2332牡丹江大学 2333大庆职业学院 2334齐齐哈尔职业学院 2335黑龙江农业工程职业学院 2336黑龙江林业职业技术学院 2337黑龙江司法警官职业学院 2338黑龙江农垦职业学院 2339哈尔滨电力职业技术学院 2340哈尔滨铁道职业技术学院 2341大兴安岭职业学院 2342黑龙江畜牧兽医职业学院 2343黑龙江农业经济职业学院 2344哈尔滨职业技术学院 2345哈尔滨华夏计算机职业技术学院 2346 黑龙江艺术职业学院 2347复旦大学 3101同济大学 3102上海交通大学 3103东华大学 3105华东师范大学 3106上海外国语大学 3107上海财经大学 3108上海大学 3109上海理工大学 3110上海工程技术大学 3111上海水产大学 3112上海第二医科大学 3113上海中医药大学 3114上海师范大学 3115上海海运学院 3116上海电力学院 3117上海应用技术学院 3118上海对外贸易学院 3119华东政法学院 3120上海体育学院 3121上海音乐学院 3122上海戏剧学院 3123上海杉达学院 3124上海海关高等专科学校 3125上海电机技术高等专科学校 3126上海医疗器械高等专科学校 3127上海出版印刷高等专科学校 3128上海旅游高等专科学校 3129立信会计高等专科学校 3130上海金融高等专科学校 3131上海公安高等专科学校 3132民办新侨职业技术学院 3133上海第二工业大学 3134上海商业职业技术学院 3135民办东海职业技术学院 3136上海城市管理职业技术学院 3137民办上海托普信息技术职业学院 3138 民办上海邦德职业技术学院 3139上海农林职业技术学院 3140民办上海建桥职业技术学院 3141上海电子信息职业技术学院 3142上海建峰职业技术学院 3143上海科学技术职业学院 3144上海海事职业技术学院 3145民办上海工商外国语职业学院 3146 上海交通职业技术学院 3147民办上海济光职业技术学院 3148 上海行健职业学院 3149民办上海中侨职业技术学院 3150 南京大学 3201东南大学 3202中国矿业大学 3203河海大学 3204江南大学 3205南京农业大学 3206中国药科大学 3207南京理工大学 3208南京航空航天大学 3209苏州大学 3210扬州大学 3211江苏大学 3212南京工业大学 3213南京林业大学 3214南京医科大学 3215南京中医药大学 3216南京师范大学 3217徐州师范大学 3218南京邮电学院 3219华东船舶工业学院 3220南京气象学院 3221南通工学院 3222淮海工学院 3223江苏工业学院 3224南京工程学院 3225常州工学院 3226淮阴工学院 3227盐城工学院 3228徐州医学院 3229南通医学院 3230淮阴师范学院 3231江苏技术师范学院 3232南通师范学院 3233南京晓庄学院 3234盐城师范学院 3235苏州科技学院 3236南京经济学院 3237南京审计学院 3238江苏警官学院 3239南京体育学院 3240南京艺术学院 3241三江学院 3242南京森林公安高等专科学校 3243 常熟高等专科学校 3244镇江市高等专科学校 3245南京动力高等专科学校 3246连云港师范高等专科学校 3247 泰州师范高等专科学校 3248泰州职业技术学院 3249徐州建筑职业技术学院 3250连云港职业技术学院 3251民办明达职业技术学院 3252南通职业大学 3253南京市农业专科学校 3254苏州职业大学 3255彭城职业大学 3256无锡商业职业技术学院 3257扬州市职业大学 3258无锡职业技术学院 3259沙洲职业工学院 3260苏州工艺美术职业技术学院 3261 南通航运职业技术学院 3262南通纺织职业技术学院 3263金陵职业大学 3264南京工业职业技术学院 3265南京化工职业技术学院 3266常州机电职业技术学院 3267常州工程职业技术学院 3268南京信息职业技术学院 3269宿迁职业技术学院 3270江阴职业技术学院 3271江苏畜牧兽医职业技术学院 3272 炎黄职业技术学院 3273徐州工业职业技术学院 3274正德职业技术学院 3275常州纺织服装职业技术学院 3276 常州信息职业技术学院 3277南京交通职业技术学院 3278苏州农业职业技术学院 3279江苏农林职业技术学院 3280江苏信息职业技术学院 3281钟山职业技术学院 3282无锡南洋职业技术学院 3283九州职业技术学院 3284紫琅职业技术学院 3285硅湖职业技术学院 3286苏州工业园区职业技术学院 3287 江苏食品职业技术学院 3288培尔职业技术学院 3289常州轻工职业技术学院 3290金肯职业技术学院 3291南京特殊教育职业技术学院 3292 淮安信息职业技术学院 3293浙江大学 3301宁波大学 3302浙江工业大学 3303浙江师范大学 3304杭州电子工业学院 3305浙江工程学院 3306嘉兴学院 3307浙江科技学院 3308中国计量学院 3309浙江海洋学院 3310浙江林学院 3311浙江中医学院 3312温州医学院 3313杭州师范学院 3314绍兴文理学院 3315台州学院 3316温州师范学院 3317湖州师范学院 3318杭州商学院 3319浙江财经学院 3320中国美术学院 3321浙江万里学院 3322公安海警高等专科学校 3323浙江水利水电专科学校 3324杭州医学高等专科学校 3325浙江医药高等专科学校 3326丽水师范专科学校 3327浙江广播电视高等专科学校 3328 浙江公安高等专科学校 3329民办浙江树人学院 3330温州职业技术学院 3331宁波职业技术学院 3332温州大学 3333宁波高等专科学校 3334浙江交通职业技术学院 3335民办金华职业技术学院 3336浙江工贸职业技术学院 3337台州职业技术学院 3338浙江工商职业技术学院 3339浙江艺术职业学院 3340浙江东方职业技术学院 3341义乌工商职业技术学院 3342宁波大红鹰职业技术学院 3343 浙江机电职业技术学院 3344绍兴越秀外国语职业学院 3345 丽水职业技术学院 3346衢州职业技术学院 3347湖州职业技术学院 3348嘉兴职业技术学院 3349宁波服装职业技术学院 3350杭州职业技术学院 3351绍兴托普信息职业技术学院 3352 浙江育英职业技术学院 3353浙江经贸职业技术学院 3354浙江建设职业技术学院 3355浙江经济职业技术学院 3356浙江金融职业学院 3357浙江警官职业学院 3358浙江商业职业技术学院 3359浙江工业职业技术学院 3360浙江旅游职业学院 3361合肥工业大学 3401中国科学技术大学 3402安徽大学 3403安徽理工大学 3404安徽工业大学 3405安徽农业大学 3406安徽医科大学 3407安徽师范大学 3408安徽建筑工业学院 3409安徽工程科技学院 3410安徽中医学院 3411皖南医学院 3412蚌埠医学院 3413阜阳师范学院 3414安庆师范学院 3415安徽技术师范学院 3416淮北煤炭师范学院 3417淮南师范学院 3418安徽财贸学院 3419铜陵学院 3420合肥学院 3421皖西学院 3422巢湖学院 3423黄山学院 3424蚌埠高等专科学校 3425安徽医学高等专科学校 3426安徽中医药高等专科学校 3427滁州师范专科学校 3428芜湖师范专科学校 3429池州师范专科学校 3430宿州师范专科学校 3431亳州师范高等专科学校 3432芜湖职业技术学院 3433淮南联合大学 3434安徽水利水电职业技术学院 3435安徽商贸职业技术学院 3436民办三联职业技术学院 3437民办安徽新华职业学院 3438安徽警官职业学院 3439淮北职业技术学院 3440淮南职业技术学院 3441民办万博科技职业学院 3442安徽纺织职业技术学院 3443铜陵职业技术学院 3444宿州职业技术学院 3445阜阳职业技术学院 3446安徽工贸职业技术学院 3447安徽工业经济职业技术学院 3448安徽交通职业技术学院 3449安徽电子信息职业技术学院 3450合肥通用职业技术学院 3451安徽体育运动职业技术学院 3452民办安徽文达信息技术职业学院 3453 民办合肥经济技术职业学院 3454民办安徽外国语职业技术学院 3455 宣城职业技术学院 3456安徽广播影视职业技术学院 3457民办安徽明星科技职业学院 3458六安职业技术学院 3459池州职业技术学院 3460滁州职业技术学院 3461厦门大学 3501华侨大学 3502福建农林大学 3503集美大学 3504福州大学 3505仰恩大学 3506福建医科大学 3507福建师范大学 3508福建工程学院 3509福建中医学院 3510泉州师范学院 3511漳州师范学院 3512闽江学院 3513莆田学院 3514三明高等专科学校 3515宁德师范高等专科学校 3516龙岩师范高等专科学校 3517南平师范高等专科学校 3518福建商业高等专科学校 3519福建公安高等专科学校 3520福建华南女子职业学院 3521黎明职业大学 3522闽西职业大学 3523鹭江职业大学 3524漳州职业技术学院 3525福建交通职业技术学院 3526泉州育青职业技术学院 3527泉州光电信息职业学院 3528厦门华夏职业学院 3529福州英华职业学院 3530泉州中营职业学院 3531泉州华光摄影艺术职业学院 3532 福州职业技术学院 3533南昌大学 3601华东交通大学 3602江西农业大学 3603江西师范大学 3604江西财经大学 3605南方冶金学院 3606东华理工学院 3607景德镇陶瓷学院 3608南昌航空工业学院 3609江西中医学院 3610赣南医学院 3611赣南师范学院 3612江西科技师范学院 3613上饶师范学院 3614井冈山师范学院 3615宜春学院 3616九江学院 3617景德镇高等专科学校 3618南昌高等专科学校 3619新余高等专科学校 3620萍乡高等专科学校 3621南昌水利水电高等专科学校 3622井冈山医学高等专科学校 3623抚州师范专科学校 3624江西公安专科学校 3625蓝天职业技术学院 3626江西工业职业技术学院 3627九江职业技术学院 3628九江职业大学 3629江西航天科技职业学院 3630江西渝州科技职业学院 3631江西新亚职业技术学院 3632江西应用技术职业学院 3633江西司法警官职业学院 3634井冈山职业技术学院 3635江西财经职业学院 3636鹰潭职业技术学院 3637江西现代职业技术学院 3638江西艺术职业学院 3639江西交通职业技术学院 3640江西电力职业技术学院 3641江西旅游商贸职业学院 3642江西机电职业技术学院 3643江西陶瓷工艺美术职业技术学院 3644 江西环境工程职业学院 3645江西信息应用职业技术学院 3646江西工业工程职业技术学院 3647山东大学 3701中国海洋大学 3702青岛大学 3703山东科技大学 3704山东理工大学 3705聊城大学 3706烟台大学 3707青岛科技大学 3708济南大学 3709山东农业大学 3710山东中医药大学 3711山东师范大学 3712曲阜师范大学 3713青岛建筑工程学院 3714山东轻工业学院 3715山东建筑工程学院 3716潍坊学院 3717山东交通学院 3718莱阳农学院 3719潍坊医学院 3720泰山医学院 3721济宁医学院 3722滨州医学院 3723烟台师范学院 3724临沂师范学院 3725德州学院 3726山东经济学院 3727山东财政学院 3728中国煤炭经济学院 3729山东体育学院 3730山东艺术学院 3731山东工艺美术学院 3732泰山学院 3733山东电力高等专科学校 3734山东水利专科学校 3735菏泽医学专科学校 3736临沂医学专科学校 3737菏泽师范专科学校 3738济宁师范专科学校 3739枣庄师范专科学校 3740滨州师范专科学校 3741山东公安专科学校 3742民办山东万杰医学高等专科学校 3743 民办青岛滨海职业学院 3744山东劳动职业技术学院 3745聊城职业技术学院 3746威海职业学院 3747曲阜远东职业技术学院 3748山东南山职业技术学院 3749青岛职业技术学院 3750济宁职业技术学院 3751山东商业职业技术学院 3752山东军星职业技术学院 3753日照职业技术学院 3754莱芜职业技术学院 3755烟台职业学院 3756淄博职业学院 3757山东圣翰财贸职业学院 3758山东交通职业学院 3759山东水利职业学院 3760山东信息职业技术学院 3761山东外贸职业学院 3762青岛酒店管理职业技术学院 3763 山东英才职业技术学院 3764山东畜牧兽医职业学院 3765山东纺织职业学院 3766潍坊职业学院 3767东营职业学院 3768德州科技职业学院 3769潍坊科技职业学院 3770山东力明科技职业学院 3771山东服装职业学院 3772山东大王职业学院 3773青岛飞洋职业技术学院 3774滨州职业学院 3775郑州大学 4101河南大学 4102河南科技大学 4103河南农业大学 4104河南师范大学 4105焦作工学院 4106郑州工程学院 4107华北水利水电学院 4108郑州轻工业学院 4109黄河科技学院 4110平顶山工学院 4111中原工学院 4112郑州航空工业管理学院 4113河南中医学院 4114新乡医学院 4115信阳师范学院 4116安阳师范学院 4117商丘师范学院 4118河南职业技术师范学院 4119南阳师范学院 4120周口师范学院 4121洛阳师范学院 4122河南财经学院 4123许昌学院 4124铁道警官高等专科学校 4125郑州电力高等专科学校 4126郑州工业高等专科学校 4127河南机电高等专科学校 4128河南纺织高等专科学校 4129洛阳工业高等专科学校 4130郑州牧业工程高等专科学校 4131 信阳农业高等专科学校 4132郑州澍青医学高等专科学校 4133 平顶山师范高等专科学校 4134 新乡师范高等专科学校 4135驻马店师范高等专科学校 4136 郑州师范高等专科学校 4137焦作师范高等专科学校 4138河南商业高等专科学校 4139河南财政税务高等专科学校 4140 河南公安高等专科学校 4141三门峡职业技术学院 4142中州大学 4143河南职业技术学院 4144郑州铁路职业技术学院 4145民办中原职业技术学院 4146黄河水利职业技术学院 4147漯河职业技术学院 4148焦作大学 4149洛阳大学 4150南阳理工学院 4151平原大学 4152安阳大学 4153开封大学 4154许昌职业技术学院 4155郑州华信职业技术学院 4156郑州科技职业学院 4157平顶山工业职业技术学院 4158 商丘职业技术学院 4159河南司法警官职业学院 4160河南工业职业技术学院 4161濮阳职业技术学院 4162鹤壁职业技术学院 4163济源职业技术学院 4164周口职业技术学院 4165武汉大学 4201中南财经政法大学 4202武汉理工大学 4204中国地质大学 4205华中农业大学 4206华中师范大学 4207中南民族大学 4208湖北大学 4209三峡大学 4210江汉大学 4211武汉科技大学 4212襄樊学院 4213湖北工学院 4214江汉石油学院 4215武汉化工学院 4216湖北汽车工业学院 4217武汉科技学院 4218武汉工业学院 4219湖北农学院 4220湖北中医学院 4221郧阳医学院 4222孝感学院 4223湖北师范学院 4224黄冈师范学院 4225荆州师范学院 4226湖北经济学院 4227湖北警官学院 4228武汉体育学院 4229湖北美术学院 4230武汉音乐学院 4231湖北民族学院 4232咸宁学院 4233黄石高等专科学校 4234湖北药检高等专科学校 4235湖北中医药高等专科学校 4236 沙洋师范高等专科学校 4237郧阳师范高等专科学校 4238湖北财经高等专科学校 4239黄冈职业技术学院 4240荆门职业技术学院 4241武汉生物工程职业技术学院 4242 武汉时代职业学院 4243十堰职业技术学院 4244孝感职业技术学院 4245恩施职业技术学院 4246。
院校代码院校名称更新情况10001北京大学北京医科大学并入10002中国人民大学10003清华大学10004北京交通大学京电高专并入此校,北方交大更名10005北京工业大学建材局管干院北京水电等并入此校10006北京航空航天大学10007北京理工大学10008北京科技大学10009北方工业大学10010北京化工大学10012北京服装学院10013北京邮电大学10015北京印刷学院10016北京建筑工程学院10017北京石油化工学院10018北京电子科技学院10019中国农业大学10020北京农学院10022北京林业大学10023中国协和医科大学10025首都医科大学原北京医学高等专科学校并入此校10026北京中医药大学原北京针灸骨伤学院并入此校10027北京师范大学10028首都师范大学10029首都体育学院原北京体育师范学院更名10030北京外国语大学10031北京第二外国语学院10032北京语言大学原北京语言文化大学更名10033北京广播学院10034中央财经大学中央财政管理干部学院并入10036对外经济贸易大学中国金融学院并入此校10037北京物资学院10040外交学院10041中国人民公安大学10042国际关系学院10043北京体育大学10045中央音乐学院10046中国音乐学院10047中央美术学院10048中央戏剧学院10049中国戏曲学院10050北京电影学院10051北京舞蹈学院10052中央民族大学10053中国政法大学中央政法管理干部学院并入10054华北电力大学(北京)10772北京信息工程学院电子管干院北京成人电子两校并入11232北京机械工业学院11413中国矿业大学(北京)11414石油大学(北京)11415中国地质大学(北京)11417北京联合大学11418海淀走读大学11625中国青年政治学院11626北京青年政治学院11831首钢工学院11912首都经济贸易大学11921北京工商大学11954中华女子学院成人转普校原代码50050变更11971中国防卫科技学院华北石油职大(河北远东)并入新建41102北京工业职业技术学院41103北京信息职业技术学院41104北京轻工职业技术学院41105北京科技经营管理学院41106北京吉利大学41107北京农业职业学院市农管干院并入50001北京市海淀区职工大学50002北京市东城区职工业余大学50004北京市崇文区职工大学50005北京市宣武区红旗业余大学50006北京市石景山区业余大学50007北京市朝阳区职工大学50008北京市机械工业局职工大学50017首都钢铁公司职工大学50018北京市医药总公司职工大学50019北京市工艺美术品总公司职大与工美学校合建艺术职院待删除50021北京市建设职工大学50022北京市房地产职工大学50023北京市物资贸易职工学院50025北京市总工会职工大学50028北京人民警察学院50061北京教育学院市成教院并入该校50080北京市计划劳动管理干部学院原北京市劳动管理干部学院更名51160北京市广播电视大学51161中央广播电视大学51624北京市丰台区职工大学51625北京市实验大学51626北京市西城经济科技大学北京市西城区职工大学并入该校51627北京汽车工业总公司职工大学51630北京市农工商联合总公司职大51631北京市职工体育运动技术学院51637北京市经济管理干部学院51638北京市财贸管理干部学院北京市立信会计并入,升格待删除51639北京市政法管理干部学院51641中国工运学院51650中国纺织政治函授学院51800华北电业联合职工大学51837首都联合职工大学90001国防大学90020防化指挥工程学院90022陆军航空兵学院90025解放军艺术学院90026后勤指挥学院90037北京军医学院90039装备指挥技术学院90041装甲兵工程学院90051空军指挥学院90203特种警察学院90204武警北京指挥学院10055南开大学10056天津大学10057天津科技大学原天津轻工业学院更名新建10058天津工业大学原天津纺织工学院更名新建10059中国民用航空学院10060天津理工学院10061天津农学院10063天津中医学院10065天津师范大学10066天津职业技术师范学院10068天津外国语学院10069天津商学院10070天津财经学院10071天津体育学院10072天津音乐学院10073天津美术学院10080河北工业大学10792天津城市建设学院11032天津职业大学11126武警医学院11904天津医科大学11908天津医学高等专科学校原天津市职工医学院改制新建41201民办天狮职业技术学院41202天津工业职业技术学院41203天津滨海职业学院41204天津工程职业技术学院油田职大并入41205天津现代职业技术学院津一轻职大并入41206天津轻工职业技术学院二轻职大并入41207天津电子信息职业技术学院41208天津公安警官职业学院41209天津机电职业技术学院职工机电院并入41210天津渤海职业技术学院职工化院并入41211天津中德职业技术学院职工技院现代企管院并入41212天津青年职业学院青年职技职院并入41213天津对外经济贸易职业学院41214天津工商职业技术学院41215天津交通职业学院原天津交通学校职大合并新建备案41216天津文化艺术职业学院原天津职工工艺美院艺校合并新建41217天津开发区职业技术学院天津联合业余大学开发区中专合建50063天津市和平区新华职工大学50064天津市河西区职工大学50065天津市河东区职工大学50066天津市红桥区职工大学50067天津市河北区职工大学50068天津市南开区职工大学50069天津市塘沽区职工大学50070天津市建筑工程业余大学50071天津市职工公用事业学院50073天津市职工经济技术大学50086天津汽车工业总公司职工大学50095天津市渤海化工职工学院50104天津市冶金工业局职工大学50110天津市建材工业局职工大学50112天津市医药职工大学50113天津市职工科学技术大学50116大港石油管理局职工大学50121天津市管理干部学院51171天津市广播电视大学51172天津物资管理干部学院51174天津市财贸管理干部学院51175天津市政法管理干部学院51176天津市工会管理干部学院51653天津市机械局职工机械工业大学51659天津市房地产局职工大学90030军事交通学院90049海军后勤学院10075河北大学10076河北建筑科技学院华北水利水电学院(邯郸)并入10077石家庄经济学院10079华北电力大学(保定)10081河北理工学院10082河北科技大学10084河北建筑工程学院10085河北工程技术高等专科学校10087张家口农业高等专科学校10090华北煤炭医学院10092张家口医学院10093承德医学院10094河北师范大学10096保定师范专科学校10097张家口师范专科学校10098承德民族师范高等专科学校10099唐山师范学院原唐山师专升格更名10100廊坊师范学院原廊坊师专教育学院师校合并新建10101衡水师范专科学校10102石家庄师范专科学校10103邯郸师范专科学校10104邢台学院原邢台师范高专升格更名10105沧州师范专科学校10107石家庄铁道学院10216燕山大学10795邯郸农业高等专科学校10796邯郸医学高等专科学校10798河北科技师范学院原河北职业技术师范学院更名11104华北科技学院原华北矿业高专升格更名11105中国人民武装警察部队学院11236河北体育学院11420保定金融高等专科学校11629华北航天工业学院11775防灾技术高等专科学校11777承德石油高等专科学校11821邢台职业技术学院原总后军需部院校划转地方11918河北经贸大学11919河北医科大学11920河北农业大学11960唐山学院原唐专交大分校职大合并新建11964邢台医学高等专科学校原邢台卫校升格新建11972中央司法警官学院中央司法警官教育学院51182改制19145东北大学秦皇岛分校41302河北工业职业技术学院41303河北职业技术学院41304邯郸职业技术学院41305石家庄职业技术学院41306张家口职业技术学院41307承德民族职业技术学院41308沧州职业技术学院41309石家庄铁路工程职业技术学院41310河北能源职业技术学院41311保定职业技术学院41312石家庄影视艺术职业学院41313河北建材职业技术学院河北建材职大并入41314河北政法职业学院省政法管干院并入41315河北石油职业技术学院管道局职院并入41316河北工程技术职业学院保定职大并入41317衡水职业技术学院41318秦皇岛职业技术学院41319唐山职业技术学院41320唐山工业职业技术学院41321邯郸中原外国语职业学院41322石家庄计算机职业学院41323石家庄法商职业学院41324承德旅游职业学院原承德旅游中专财经学校合并新建41325河北省艺术职业学院原河北省艺术学校升格新建41326河北远东职业技术学院原华北石油职工大学基础上新建41327河北交通职业技术学院河北交通学校更名升格41328河北化工医药职业技术学院河北化工学校更名升格41329秦皇岛外国语职业学院南戴河外国语师范更名升格41330石家庄信息工程职业学院石家庄市财经学校更名升格41331石家庄外经贸职业学院石家庄北方专修学院更名升格41332石家庄东方美术职业学院石家庄燕赵美术中专更名升格41333河北京都高尔夫职业学院新建50129开滦矿务局职工大学50136河北省经贸管理干部学院50139河北地质职工大学50143邯郸市职工大学50144河北省职工医学院50146农业部乡镇企业管理干部学院50150河北邯郸地区教育学院50156河北省衡水地区教育学院50158河北张家口地区教育学院50159河北保定地区教育学院51177河北省广播电视大学51179张家口市职工大学51180石家庄市职工业余大学51183华北石油教育学院51184邯郸市教育学院51186秦皇岛教育学院51721秦皇岛环境管理干部学院51723化工部石家庄管理干部学院51802河北青年管理干部学院51804石油物探职工大学90003石家庄陆军指挥学院90013炮兵指挥学院90017廊坊陆军导弹学院90038白求恩军医学院90040军械工程学院90062空军第四飞行学院90064空军第六飞行学院90070石家庄陆军学院10108山西大学10109太原重型机械学院10110华北工学院10112太原理工大学10113山西农业大学10114山西医科大学10116大同医学专科学校10117长治医学院10118山西师范大学10119太原师范学院10120雁北师范学院10121晋中师范高等专科学校10122晋东南师范专科学校10123运城学院原运城高专更名升格10124忻州师范学院原忻州师专师范学校合并升格新建10125山西财经大学10805太原电力高等专科学校10809山西中医学院10812吕梁高等专科学校11120武警部队专科学校11242太原大学11243大同职业技术学院11566山西经济管理学院11630山西财政税务专科学校11928山西警官高等专科学校原公安部管干院山西警校合并新建19110华北工学院(分校)41401山西工业职业技术学院原山西矿业职业技术学院更名41402山西建筑职业技术学院山西建筑工程职业技术学院更名41403山西工程职业技术学院41404晋城职业技术学院晋城教院并入41405北岳职业技术学院41406山西生物应用职业技术学院41407山西交通职业技术学院41408山西兴华职业学院41409长治职业技术学院41410山西艺术职业学院41411阳泉职业技术学院原阳泉职业技术学(筹)基础上新建41412山西水利职业技术学院原山西水利职大水校合并新建41413山西林业职业技术学院原山西林业学校升格新建41414山西财贸职业技术学院原山西省财贸学校升格新建41415山西戏剧职业学院原山西省戏曲学校升格新建41416山西机电职业技术学院原山西省机械工业学校升格新建50030阳泉市教育学院50031广播电影电视管理干部学院50162太原化学工业公司职工大学50163山西机电职工学院50164太原钢铁公司职工钢铁学院50166山西职工医学院50167山西煤炭职工联合大学50169山西兵器工业职工大学50175山西省职工二轻学院50179山西职工文学院50183长治职工大学50193太原市教育学院50197山西省吕梁地区教育学院51187山西省广播电视大学51188太原经济管理干部学院并入太原城市职业技术学院待删除51189山西煤炭管理干部学院51190山西经济管理干部学院51191山西青年管理干部学院51787山西政法管理干部学院51788长治市教育学院10126内蒙古大学10127包头钢铁学院10128内蒙古工业大学10132内蒙古医学院10133包头医学院10135内蒙古师范大学10137包头师范学院包头师专教育学院师校合新建升格10138赤峰民族师范高等专科学校10139内蒙古财经学院10819呼伦贝尔学院11427集宁师范高等专科学校11428青山大学11429民办内蒙古丰州学院11631河套大学11709内蒙古民族高等专科学校原内蒙古蒙文专科学校更名新建11922内蒙古农业大学11947内蒙古民族大学民族师院蒙医学院哲畜牧合并新建41501包头职业技术学院41502内蒙古建筑职业技术学院原呼和浩特职业技术学院更名41503兴安职业技术学院兴安盟教院并入41504内蒙古警察职业学院41505内蒙古体育职业学院新增备案50198呼和浩特市职工大学并入呼和浩特职业学院待删除50199内蒙古水利职工大学50202包头钢铁公司职工大学50204包头市职工大学50206内蒙古矿业职工大学50207内蒙古自治区管理干部学院50208内蒙古教育学院50209呼和浩特教育学院并入呼和浩特职业学院待删除50211锡林郭勒盟教育学院50213伊克昭盟教育学院50216哲里木盟教育学院50217赤峰教育学院51192内蒙古自治区广播电视大学51193内蒙古呼和浩特管理干部学院并入呼和浩特职业学院待删除10140辽宁大学辽宁外国语师范高等专科学校并入10141大连理工大学10142沈阳工业大学10143沈阳航空工业学院10144沈阳工业学院10145东北大学10146鞍山科技大学原鞍山钢铁学院更名10147辽宁工程技术大学10148辽宁石油化工大学原抚顺石油学院更名10149沈阳化工学院10150大连铁道学院10151大连海事大学10152大连轻工业学院10153沈阳建筑工程学院10154辽宁工学院10157沈阳农业大学10158大连水产学院10159中国医科大学10160锦州医学院10161大连医科大学10162辽宁中医学院10163沈阳药科大学10164沈阳医学院10165辽宁师范大学10166沈阳师范大学原沈阳师院辽宁教院合并新建10167锦州师范学院辽宁商业高等专科学校并入10169鞍山师范学院10171朝阳师范高等专科学校10172大连外国语学院10173东北财经大学10175中国刑事警察学院10176沈阳体育学院国办发[2001]15号划转、共建10177沈阳音乐学院10178鲁迅美术学院10179抚顺师范高等专科学校10180锦州师范高等专科学校锦州职大并入该校10182铁岭师范高等专科学校11035沈阳大学11036鞍山市高等职业专科学校11037抚顺职业技术学院11248辽宁农业职业技术学院11250阜新高等专科学校11257大连民族学院11258大连大学11430本溪冶金高等专科学校11432辽宁警官高等专科学校11500辽宁交通高等专科学校11632沈阳电力高等专科学校11735辽宁税务高等专科学校11779辽宁财政高等专科学校19144沈阳工业学院(分校)42101渤海船舶职业学院葫芦岛职技院更名42102盘锦职业技术学院42103辽宁金融职业学院辽宁金融职大银行学校合并新建42104辽宁商务职业学院42105大连职业技术学院42106大连商务职业学院42107辽阳职业技术学院辽阳师范高等专科学校更名新建42108营口职业技术学院营口师专营口高职专合并新建42109丹东职业技术学院丹东纺专丹东师专合并新建42110辽宁对外经贸职业学院辽宁万成经贸职业学院更名新建42111大连艺术职业学院42112大连东软信息技术职业学院42113辽宁石化职业技术学院锦州石化职大石化学校合并新建42114辽宁经济职业技术学院辽宁经济管理干部学院转制新建42115辽宁机电职业技术学院辽宁仪器仪表工业学校升格新建42116辽宁广告职业学院新建42117辽宁信息职业技术学院辽宁电子、供销学校合并新建50361辽宁体育运动技术学院50380辽宁省管理干部学院51086沈阳市二轻家具职工大学51087辽宁兵器工业职工大学51089沈阳新光动力机械公司职工大学51090沈阳航空职工大学升格更名为航空职技院待删除51094辽宁建设职工大学51097辽宁省直属机关职工大学51110大连工人大学51120大连职工大学51121鞍山职工大学51122鞍钢职工工学院51123鞍钢职工医学专科学校51125抚顺矿务局职工工学院51126抚顺石油化工公司职工大学51127辽宁轻工职工大学51128抚顺职工大学51129本溪钢铁公司职工工学院51131丹东职工大学51138阜新矿务局职工大学51143北票矿务局职工煤矿专科学校51144朝阳职工大学51149大连市教育学院51196辽宁省广播电视大学51212辽宁职工体育运动技术学院升格更名为体育运动职技院待删除51215沈阳市职工大学合建为沈阳职技院待删除51222本溪职工大学51225辽宁财贸职工大学51226阜新职工大学51227阜新煤炭职工医学专科学校51689辽宁农业管理干部学院51692辽宁工运学院51693辽宁卫生职业医学院51694辽宁文化艺术职工大学51695辽宁冶金职工大学51806沈阳市联合职工大学合建为沈阳职技院待删除51842辽宁政法管理干部学院51843沈阳机械工业职工大学51844新乐精密机器公司职工大学51845冶金部鞍山冶金管理干部学院51847铁岭职工大学51848沈阳市广播电视大学51849大连市广播电视大学90015沈阳炮兵学院90046海军大连舰艇学院90050海军飞行学院90061空军第三飞行学院90069大连陆军学院90093大连医学高等专科学校90201武警指挥学院90209武警沈阳指挥学院10183吉林大学原吉工大白医大长科大长邮并入此10184延边大学10186长春理工大学原长春光学精密机械学院更名10188东北电力学院10190长春工业大学原吉林工学院更名10191吉林建筑工程学院10192吉林化工学院10193吉林农业大学10199长春中医学院10200东北师范大学10202通化师范学院10203吉林师范大学原四平师范学院更名10204吉林工程技术师范学院原吉林职业师范学院更名10205长春师范学院10206白城师范学院原白城师范高专升格更名10207长春税务学院10208吉林体育学院10209吉林艺术学院10964吉林华桥外语职业学院原民办吉林华桥外语职业学院更名11044四平职业大学11261吉林财税高等专科学校11262吉林商业高等专科学校11263吉林粮食高等专科学校11436长春汽车工业高等专科学校11439吉林特产高等专科学校吉林农垦特产高等专科学校更名11440长春金融高等专科学校11441吉林公安高等专科学校11726长春大学11823长春医学高等专科学校11923北华大学11927长春工程学院水电高专建筑高专工业高专合新建42201吉林交通职业技术学院42202辽源职业技术学院42203吉林对外经贸职业学院国际语言文化学院并入42204长春东方职业学院42205吉林电子信息职业技术学院原吉林冶金工业学校升格42206吉林工业职业技术学院原吉林化工学校升格42207吉林司法警官职业学院原吉林省司法警官学校升格42208吉林农业工程职业技术学院原吉林省农业机械化学校升格42209长春职业技术学院长春高级职业技校更名升格50226长春市职工大学50229长春市建筑职工业余大学50230吉林省直属机关业余大学50231长春市直属机关业余大学50232长春职工医科大学50234吉林市职工大学50236吉林化学工业公司职工大学50238吉林职工医科大学50239长春市成人文理学院50242通化市职工大学50243通化钢铁公司职工大学50244吉林省油田职工大学50245延边职工大学50248延边黎明农民大学50249梨树农村成人高等专科学校50250扶余农村成人高等专科学校50252吉林省教育学院50253长春教育学院51230吉林省广播电视大学51231白城市职工大学51235吉林电力职工大学51240吉林省行政管理干部学院51243吉林省经济管理干部学院51704吉林卫生管理干部学院51851长春煤炭管理干部学院51887长春市广播电视大学90029军需大学90042装甲兵技术学院90057空军第二航空学院90058空军长春飞行学院空军飞行学员统一由该校录取90065空军第七飞行学院10212黑龙江大学10213哈尔滨工业大学原哈尔滨建筑大学并入此校10217哈尔滨工程大学10219黑龙江科技学院原黑龙江矿业学院更名10220大庆石油学院10221齐齐哈尔大学10223黑龙江八一农垦大学10224东北农业大学10225东北林业大学10226哈尔滨医科大学鸡西煤炭医学高等专科学校并入10228黑龙江中医药大学10229牡丹江医学院10231哈尔滨师范大学呼兰师专黑龙江农垦师专并入10233牡丹江师范学院10235大庆高等专科学校10236绥化师范专科学校10238克山师范专科学校10240哈尔滨商业大学原黑龙江商学院更名龙江财专并入10242哈尔滨体育学院10243黑龙江水利专科学校10245哈尔滨金融高等专科学校11046牡丹江大学11230齐齐哈尔医学院11444佳木斯大学11445鸡西大学11914哈尔滨理工大学11917民办黑龙江东方学院11929哈尔滨学院原哈尔滨大学哈师专等五校合新建11930黑龙江工程学院黑交通高专哈工程高专合升格新建11959鹤岗师范高等专科学校鹤岗市师范学校等中专合并新建42301黑龙江建筑职业技术学院42302伊春职业学院42303黑龙江司法警官职业学院42304齐齐哈尔职业学院42305黑龙江林业职业技术学院42306黑龙江农业职业技术学院42307黑龙江农业工程职业学院42308大庆职业学院大庆石油局职大并入42309黑龙江农垦职业学院42310哈尔滨职业技术学院哈经管建设财贸科技机电轻工合建42311哈尔滨电力职业技术学院原哈尔滨电力学校升格新建42312哈尔滨铁道职业技术学院原哈尔滨铁路工程学校升格新建42313大兴安岭职业学院原教院师范林校卫校林业师范合建42314黑龙江畜牧兽医职业学院原省畜牧兽医学校升格新建42315黑龙江农业经济职业学院原省农业经济学校升格新建42316黑龙江艺术职业学院黑龙江省艺校文艺干校合建42317哈尔滨华夏计算机职业技术学院黑龙江华夏计算机专修学院更名50264黑龙江兵器工业职工大学50266哈尔滨航空职工大学50268哈尔滨轻型车厂职工大学50269哈尔滨市职工大学50284黑龙江省邮电职工大学50287黑龙江省科技职工大学50290黑龙江省直属机关职工大学50292哈尔滨市教师体育学院50293黑龙江省电力职工大学50294黑龙江省物资职工大学50306齐齐哈尔市建设职工大学50311齐齐哈尔市职工大学50315牡丹江市联合职工大学50316黑龙江省二轻职工大学50319佳木斯市联合职工大学50326鸡西市职工大学50327鹤岗矿务局职工大学50328双鸭山矿务局职工工学院50329大庆职工大学50330大庆石油化工总厂职工大学50334伊春市职工大学50335黑龙江省经济管理干部学院50337黑龙江省农垦管理干部学院50343黑龙江省政法管理干部学院50344黑龙江省教育学院50347齐齐哈尔市教育学院50349黑龙江省绥化地区教育学院50350牡丹江市教育学院50351佳木斯市教育学院50358五常朝鲜族教师进修学院51244黑龙江省广播电视大学51245大庆职工医学院51742黑龙江金融职工大学51743鸡西煤炭职工医学院51744黑龙江省商业职工大学51745黑龙江省社会科学院职工大学51746哈尔滨市职工医学院51747黑龙江省职工体育运动技术学院51748黑龙江省森林工业管理干部学院51876哈尔滨市广播电视大学90059空军第一飞行学院10246复旦大学上海医科大学并入此校10247同济大学上海铁道大学并入此校10248上海交通大学。
全国院校代码表院校代码院校名称变更情况院校代码院校名称变更情况院校代码院校名称变更情况10001北京大学北京医科大学并入10002中国人民大学10003清华大学10004北京交通大学"京电高专并入此校,北方交大更名"10005北京工业大学建材局管干院北京水电等并入此校10006北京航空航天大学10007北京理工大学10008北京科技大学10009北方工业大学10010北京化工大学10012北京服装学院10013北京邮电大学10015北京印刷学院10296苏州丝绸工学院10298南京林业大学10299江苏大学苏理工大更名镇江医学院师专并入10300南京气象学院10301南京动力高等专科学校10304南通工学院10305盐城工学院10307南京农业大学10311南通医学院10312南京医科大学10313徐州医学院10315南京中医药大学10316中国药科大学10319南京师范大学10320徐州师范大学10323淮阴师范学院10554湖南商学院10556长沙电力学院湖南轻工业高等专科学校并入此校10557湘潭师范学院10836株洲师范高等专科学校11077长沙大学11528湖南建材高等专科学校11532湖南财经高等专科学校11534湖南公安高等专科学校11535株洲工学院11538湖南女子职业大学11539湖南大学衡阳分校11601湖南税务高等专科学校11836郴州医学高等专科学校11850长沙航空职业技术学院主管代码沿用原总后军需部之代码11936南华大学中南工学院衡阳医学院合并新建10016北京建筑工程学院10017北京石油化工学院10018北京电子科技学院10019中国农业大学10020北京农学院10022北京林业大学10023中国协和医科大学10025首都医科大学原北京医学高等专科学校并入此校10026北京中医药大学原北京针灸骨伤学院并入此校10027北京师范大学10028首都师范大学10029首都体育学院原北京体育师范学院更名10030北京外国语大学10324盐城师范学院10325南通师范学院10327南京经济学院江苏财经高专江苏经管干院并入10329江苏警官学院原江苏公安专科学校升格更名10330南京体育学院10331南京艺术学院10333常熟高等专科学校11048金陵职业大学11049淮阴工学院淮阴工专职大省农职大合升格更名11051镇江市高等专科学校11052南通职业大学11053彭城职业大学11054苏州职业大学11055常州工学院原常州工技学院常州冶金11942中南大学中南工大湖南医长沙铁道合并新建11949湖南工程学院原湘潭机电湖南纺织合并新建升格11962邵阳学院原邵阳师专高专合并新建11966湖南城市学院原湖南城建高专益阳师专合并新建44301长沙民政职业技术学院44302湖南工业职业技术学院44303湘南医学高等专科学校44305湖南交通职业技术学院原交通学校升格新建44307怀化医学高等专科学校怀化卫生学校更名升格44308湖南生物与机电工程职技学院长沙农校等升格新建44309湖南科技职业学院省轻工业学校升格新建44311湖南省第一师范学校校名不变,升为专科层次普通高校44312湖南托普信息职业技术学院湖南信息职业技术学院更名10031北京第二外国语学院10032北京语言大学原北京语言文化大学更名10033北京广播学院10034中央财经大学中央财政管理干部学院并入10036对外经济贸易大学中国金融学院并入此校10037北京物资学院10040外交学院10041中国人民公安大学10042国际关系学院10043北京体育大学10045中央音乐学院10046中国音乐学院10047中央美术学院10048中央戏剧学院10049中国戏曲学院职大合并11117扬州大学11287南京审计学院南京金融高等专科学校并入此校11288沙洲职业工学院11290南京市农业专科学校11462扬州市职业大学11463江苏技术师范学院原常州技术师范学院更名11466南京森林公安高等专科学校原南京人民警察学校升格新建11641淮海工学院连云港化工高等专科学校并入此校11913三江学院原民办三江升格为三江学院(本科)11931南京晓庄学院南京师专教育学院晓庄44313湖南冶金职业技术学院原株洲职业技术学院更名44314湖南环境生物职业技术学院衡阳职业技术学院更名44315湖南涉外经济职业学院44316湖南铁道职业技术学院44317永州职业技术学院44318湖南大众传媒职业技术学院44319长沙通信职业技术学院44320湘潭职业技术学院湘潭职大并入44321湖南商务职业技术学院44322郴州职业技术学院44323娄底职业技术学院44324张家界航空工业职业技术学院44325湖南工程职业技术学院湖南工程职大长沙工程学校合建44326长沙环境保护职业技术学院长沙环境保护学校升格新建44327湖南艺术职业学院湖南艺术学校电影学校合并新建10050北京电影学院10051北京舞蹈学院10052中央民族大学10053中国政法大学中央政法管理干部学院并入10054华北电力大学(北京)10772北京信息工程学院电子管干院北京成人电子两校并入11232北京机械工业学院11413中国矿业大学(北京)11414石油大学(北京) 11415中国地质大学(北京)11417北京联合大学11418海淀走读大学11625中国青年政治学院11626北京青年政治学师范合并11939连云港师范高等专科学校连云港教院师范学校海州师范合建11950南京工程学院原南京机专南京电专合并新建升格11951苏州科技学院苏城建环保院、苏铁师院合并新建11957泰州师范高等专科学校原泰州师范泰兴师范学校合并新建19030北京外国语大学淮海分校北外民办性质的二级学院2002年批43201民办明达职业技术学院43202连云港职业技术学院43203南京工业职业技44328湖南体育职业学院湖南职工体院、体校合并新建44329湖南机电职业技术学院湖南机电学校更名升格50487铁道部工业职工大学50774涟源钢铁总厂职工大学50775湖南工业职工大学50777湖南省工艺美术职工大学50779湖南省轻工业厅职工大学50780湖南石化职工大学50785长沙市职工大学50786衡阳市职工大学50787湘潭市职工大学50788株洲市职工大学50789湖南兵器工业职工大学50792湖南机电职工大学50793南方动力机械公司职工工学院50794衡阳有色冶金职工大学50797湖南金融管理干部学院50798衡阳工业职工大学50810长沙市教师进修学院50812湘潭市教师进修学院院11831首钢工学院11912首都经济贸易大学11921北京工商大学11954中华女子学院成人转普校原代码50050变更11971中国防卫科技学院华北石油职大(河北远东)并入新建41102北京工业职业技术学院41103北京信息职业技术学院41104北京轻工职业技术学院41105北京科技经营管理学院41106北京吉利大学41107北京农业职业学院市农管干院并入50001北京市海淀区职术学院43204徐州建筑职业技术学院43205泰州职业技术学院43206无锡职业技术学院43207南通纺织职业技术学院43208苏州工艺美术职业技术学院43209常州信息职业技术学院43210南通航运职业技术学院43211无锡商业职业技术学院43212南京交通职业技术学院43213淮安信息职业技术学院43214江苏畜牧兽医职业技术学院50814郴州地区教师进修学院50815湘西民族教师进修学院51156湖南工业科技职工大学51306湖南省广播电视大学51310益阳地区教师进修学院51313湖南省经济管理干部学院51766湖南农村金融职工大学51767湖南纺织职工大学51768湖南有色金属职工大学51770岳阳职工高等专科学校90002国防科学技术大学10558中山大学中山医科大学并入10559暨南大学10560汕头大学10561华南理工大学10564华南农业大学10566湛江海洋大学10570广州医学院10571广东医学院10572广州中医药大学10573广东药学院10574华南师范大学工大学50002北京市东城区职工业余大学50004北京市崇文区职工大学50005北京市宣武区红旗业余大学50006北京市石景山区业余大学50007北京市朝阳区职工大学50008北京市机械工业局职工大学50017首都钢铁公司职工大学50018北京市医药总公司职工大学50019北京市工艺美术品总公司职大与工美学校合建艺术职院待删除50021北京市建设职工大学43215常州纺织服装职业技术学院43216苏州农业职业技术学院43217苏州工业园区职业技术学院43218南京化工职业技术学院原南京化工学校升格,新增备案43219正德职业技术学院新增备案43220无锡南洋职业技术学院新增备案43221钟山职业技术学院新增备案43222培尔职业技术学院新增备案43223炎黄职业技术学院新增备案43224金肯职业技术学院新设43225紫琅职业技术学院新设10576韶关学院原韶关大学韶关教育学院合并新建10577惠州学院惠阳师专惠州教院合并升格更名10578韩山师范学院10579湛江师范学院10580肇庆学院原西江大学肇庆教育学院合并更名10581惠州大学10582嘉应学院原嘉应大学嘉应教育学院合并新建10583民办培正商学院10585广州体育学院10586广州美术学院10587星海音乐学院10588广东技术师范学院原广东职业技术师范学院更名10590深圳大学10592广东商学院11078广州大学广州师院师专教育学院等并入新建11106广州航海高等专科学校11110广东公安高等专科学校50022北京市房地产职工大学50023北京市物资贸易职工学院50025北京市总工会职工大学50028北京人民警察学院50061北京教育学院市成教院并入该校50080北京市计划劳动管理干部学院原北京市劳动管理干部学院更名51160北京市广播电视大学51161中央广播电视大学51624北京市丰台区职工大学51625北京市实验大学51626北京市西城经济科技大学北京市西城43226九州职业技术学院新设43227硅湖职业技术学院新设43228江阴职业技术学院江阴市职大转制更名43229宿迁职业技术学院新建43230南京信息职业技术学院南京无线电学校更名升格43231常州工程职业技术学院常州化工江苏建材工业学校合建43232常州轻工职业技术学院常州轻工业学校更名升格43233常州机电职业技术学院常州机械学校更名升格43234徐州工业职业技术学院徐州化工学校11114民办南华工商学院11121私立华联学院11347仲恺农业技术学院11349五邑大学11540广州金融高等专科学校11656茂名学院广东石化高专茂名教院石职大合并11819东莞理工学院原东莞理工升格为本科院校11909佛山科学技术学院11910广东外语外贸大学11911广东工业大学19027北京师范大学珠海教育园区北师大民办性质二级学院2002年批19614电子科技大学中山学院中山学院并入新建44401广州民航职业技术学院44402广东白云职业技术学院民办白云职业技术学院更名44403广东轻工职业技术学院44404顺德职业技术学院44405广东交通职业技术学院区职工大学并入该校51627北京汽车工业总公司职工大学51630北京市农工商联合总公司职大51631北京市职工体育运动技术学院51637北京市经济管理干部学院51638北京市财贸管理干部学院"北京市立信会计并入,升格待删除"51639北京市政法管理干部学院51641中国工运学院51650中国纺织政治函授学院51800华北电业联合职工大学51837首都联合职工大学90001国防大学更名升格43235江苏食品职业技术学院江苏食品学校淮安经贸学校合建43236江苏农林职业技术学院江苏省农林学校更名升格43237江苏信息职业技术学院无锡无线电学校锡山职教合建43238南京特殊教育职业技术学院南京特殊教育师范学校更名升格50440南京联合职工大学50442南京电子工业职工大学50451江苏电力职工大学50453江苏冶金职工大学50455江苏省职工医科44406番禺职业技术学院44407广东水利电力职业技术学院44408深圳信息职业技术学院深圳工业、财校、教育学院合建44409深圳高等职业技术学院44410深圳职业技术学院44411潮汕职业技术学院民办潮汕职业技术学院更名44412广东松山职业技术学院44413广东农工商职业技术学院农工商管干院并入44414佛山职业技术学院44415广东新安职业技术学院民办新安职业技术学院更名44416广东省外语艺术职业学院原广东外语职业学院更名44417广东机电职业技术学院44418广东建设职业技术学院44419广东纺织职业技术学院44420广东女子职业技术学院44421广东岭南职业技术学院44422汕尾职业技术学院90020防化指挥工程学院90022陆军航空兵学院90025解放军艺术学院90026后勤指挥学院90037北京军医学院90039装备指挥技术学院90041装甲兵工程学院90051空军指挥学院90203特种警察学院90204武警北京指挥学院10055南开大学10056天津大学10057天津科技大学原天津轻工业学院更名新建10058天津工业大学原天津纺织工学院更名新建10059中国民用航空学院大学50456江苏对外贸易职工大学50457南京市机械工业职工大学50460南京市职工大学50464无锡市职工大学50470无锡市城建职工大学50485常州市电子工业职工大学50488常州市职工大学50494苏州市职工大学50497苏州市建筑工程局职工大学50501苏州市职工业余大学50502南通市职工大学50504南通市工人业余大学50509扬州市职工大学50516江苏教育学院50519徐州教育学院44423河源职业技术学院44424罗定职业技术学院44425阳江职业技术学院44426广东财经职业学院广东财税高专并入44427揭阳职业技术学院新建44428广东邮电职业技术学院新建44429汕头职业技术学院新建44430清远职业技术学院新建44431广东亚视演艺职业学院新建44432广东司法警官职业学院广东司法警校、司法学校合并新建44433广东建华职业学院新设44434广东工贸职业技术学院南华工商学院西院(资源)新建50060广州市联合职工大学50075广州金桥管理干部学院50077南方成人经贸学院50079南海成人学院50818广州业余大学50819广州市职工大学10060天津理工学院10061天津农学院10063天津中医学院10065天津师范大学10066天津职业技术师范学院10068天津外国语学院10069天津商学院10070天津财经学院10071天津体育学院10072天津音乐学院10073天津美术学院10080河北工业大学10792天津城市建设学院11032天津职业大学11126武警医学院11904天津医科大学11908天津医学高等专科学校原天津市职工医学院改制新建41201民办天狮职业技术学院50521苏州教育学院50526扬州教育学院50529江苏商业管理干部学院50697江南社会学院51255江苏省广播电视大学51256南京人口管理干部学院51257江苏省省级机关管理干部学院江苏省省级机关干部业余大学更名51396南京市广播电视大学51731徐州经济管理干部学院51828江苏省青年管理干部学院51853南京金陵旅馆管理干部学院90004南京陆军指挥学院50821湛江市业余大学50824广东省韶钢集团公司职工大学50826广东省国防工业职工大学50833佛山煤田职工地质学院50835汕头市业余大学50836汕头市职工业余大学50837韶关市职工大学50839江门市职工业余大学50843广东成人财经学院50844佛山职工大学50846广东教育学院50847汕头教育学院50851佛山教育学院50853湛江教育学院50855广州市公安管理干部学院50858珠海教育学院50859广东省公安司法管理干部学院广东省政法管理干部学院更名50861广东省经济管理干部学院51241广东省科技干部管理学院51264佛山职工医学院41202天津工业职业技术学院41203天津滨海职业学院41204天津工程职业技术学院油田职大并入41205天津现代职业技术学院津一轻职大并入41206天津轻工职业技术学院二轻职大并入41207天津电子信息职业技术学院41208天津公安警官职业学院41209天津机电职业技术学院职工机电院并入41210天津渤海职业技术学院职工化院并入41211天津中德职业技术学院职工技院现代企管院并入90006解放军理工大学90008解放军国际关系学院90019工程兵指挥学院90024南京政治学院90032解放军镇江船艇学院90043海军指挥学院90055空军后勤学院10335浙江大学10336杭州电子工业学院10337浙江工业大学10338浙江工程学院10340浙江海洋学院10341浙江林学院10343温州医学院10344浙江中医学院10345浙江师范大学10346杭州师范学院杭州医高专并入此校10347湖州师范学院10348宁波师范学院51315广东省广播电视大学51316华南文艺成人学院51317广东新华教育学院广东业余大学更名新建51318广东省成人科技大学51319广东省职工体育运动技术学院51320广东社会科学大学原广东社会科技大学更名51328江门教育学院51330广东省财贸管理干部学院51331广州市经济管理干部学院51333广州市财贸管理干部学院51334广东省农业管理干部学院51336广东青年管理干部学院51393广州市广播电视大学51727广州市乡镇企业管理干部学院51829广东省行政管理干部学院51888深圳市广播电视大学90007解放军体育学院90033第一军医大学90047海军广州舰艇学院41212天津青年职业学院青年职技职院并入41213天津对外经济贸易职业学院41214天津工商职业技术学院41215天津交通职业学院原天津交通学校职大合并新建备案41216天津文化艺术职业学院原天津职工工艺美院艺校合并新建41217天津开发区职业技术学院天津联合业余大学开发区中专合建50063天津市和平区新华职工大学50064天津市河西区职工大学50065天津市河东区职工大学50066天津市红桥区职10349绍兴文理学院10350台州学院原台州师范高专升格更名10351温州师范学院10352丽水师范专科学校10353杭州商学院10355中国美术学院10356中国计量学院10829公安海警高等专科学校10876浙江万里学院原浙江万里职业技术学院更名11057浙江科技学院杭州应用工程技术学院更名11058宁波高等专科学校11148杭州医学高等专科学校并入杭州师范学院待删除11292温州大学90219武警广州指挥学院10593广西大学10594广西工学院10595桂林电子工业学院10596桂林工学院10597广西农学院10598广西医科大学10599右江民族医学院10600广西中医学院10601桂林医学院10602广西师范大学10603广西师范学院10604南宁师范高等专科学校10605河池师范高等专科学校10606玉林师范学院玉林师专玉林教院合并升格更名10607广西艺术学院10608广西民族学院10609右江民族师范高等专科学校11350广西体育高等专科学校11351广西商业高等专科学校11546柳州师范高等专科学校工大学50067天津市河北区职工大学50068天津市南开区职工大学50069天津市塘沽区职工大学50070天津市建筑工程业余大学50071天津市职工公用事业学院50073天津市职工经济技术大学50086天津汽车工业总公司职工大学50095天津市渤海化工职工学院50104天津市冶金工业局职工大学50110天津市建材工业局职工大学50112天津市医药职工大学11481浙江水利水电专科学校11482浙江财经学院11483浙江公安高等专科学校11646宁波大学11647浙江广播电视高等专科学校11842民办浙江树人学院11926嘉兴学院嘉兴高专及浙江经济高专合并新建11956浙江医药高等专科学校原浙江医药学校建为医高专19335浙江大学城市学院43301浙江艺术职业学院原浙江艺校等合并升格新建备案43302浙江交通职业技术学院11548广西财政高等专科学校11549邕江大学11607钦州师范高等专科学校11824桂林师范高等专科学校原桂林教育学院师范学校合并新建11825桂林航天工业高等专科学校11837桂林旅游高等专科学校11838梧州师范高等专科学校19593广西大学梧州分校44501广西职业技术学院44502广西机电职业技术学院44503柳州职业技术学院44505南宁职业技术学院44506广西建设职业技术学院广西建筑职大建筑工程学校合建44507广西水利电力职业技术学院广西水电学校更名升格44508广西交通职业技术学院广西交通学校更名升格44509广西农业职业技术学院广西农业学校更名升格50113天津市职工科学技术大学50116大港石油管理局职工大学50121天津市管理干部学院51171天津市广播电视大学51172天津物资管理干部学院51174天津市财贸管理干部学院51175天津市政法管理干部学院51176天津市工会管理干部学院51653天津市机械局职工机械工业大学51659天津市房地产局职工大学90030军事交通学院90049海军后勤学院10075河北大学43303杭州职业技术学院原杭州职大并入43304民办金华职业技术学院43306义乌工商职业技术学院原杭大义乌分校、义乌商贸(资源)43307宁波职业技术学院43308温州职业技术学院43309浙江工商职业技术学院43310浙江工贸职业技术学院43311绍兴越秀外国语职业学院43312台州职业技术学院43313浙江机电职业技术学院原浙江机电职大并入43314浙江商业职业技44510广西生态工程职业技术学院广西林业学校更名升格44511广西国际商务职业技术学院广西外贸学校更名升格50867桂林市职工大学50869广西自治区经济管理干部学院50870广西教育学院50873梧州市教育学院51302南宁市教育学院51338广西壮族自治区广播电视大学51339广西公安管理干部学院51340广西政法管理干部学院51671桂林地区教师进修学院51675南宁地区教育学院51676广西自治区卫生管理干部学院51678广西直属机关业余大学90054桂林空军学院90075桂林陆军学院10565华南热带农业大学10589海南大学10076河北建筑科技学院华北水利水电学院(邯郸)并入10077石家庄经济学院10079华北电力大学(保定)10081河北理工学院10082河北科技大学10084河北建筑工程学院10085河北工程技术高等专科学校10087张家口农业高等专科学校10090华北煤炭医学院10092张家口医学院10093承德医学院10094河北师范大学10096保定师范专科学校10097张家口师范专科学校10098承德民族师范高术学院新建43315浙江警官职业学院新建43316浙江工业职业技术学院新建43317浙江旅游职业学院新建43318浙江金融职业学院新建43319浙江经济职业技术学院新建43320浙江建设职业技术学院原浙江育才职大并入43321浙江经贸职业技术学院新建43322浙江育英职业技术学院新建43323绍兴托普信息职业技术学院新建43325宁波服装职业技术学院新建43326嘉兴职业技术学11100三亚学院(筹)原琼州大学改变办学类型更名筹建11658海南师范学院11810海南医学院44601海南职业技术学院44602海口经济职业技术学院原海口市业余大学更名新建44603三亚卓达旅游职业学院44604海南国科园职业技术学院50822海南铁矿职工大学50854海南教育学院51865海南省广播电视大学10611重庆大学重建大重建高专并入此校10617重庆邮电学院10618重庆交通学院10625西南农业大学四川畜牧兽医学院并入10631重庆医科大学10635西南师范大学重庆轻工职大并入该校10637重庆师范学院市纺织工业局职大并入该校等专科学校10099唐山师范学院原唐山师专升格更名10100廊坊师范学院原廊坊师专教育学院师校合并新建10101衡水师范专科学校10102石家庄师范专科学校10103邯郸师范专科学校10104邢台学院原邢台师范高专升格更名10105沧州师范专科学校10107石家庄铁道学院10216燕山大学10795邯郸农业高等专科学校10796邯郸医学高等专科学校10798河北科技师范学院新建43327湖州职业技术学院新建43328衢州职业技术学院新建43329丽水职业技术学院新建43330宁波大红鹰职业技术学院宁波大红职业专修学院(资源)新建43331浙江东方职业技术学院浙江东方专修学院(资源)新建50013东海业余专科学校50034浙江省政法管理干部学院50532浙江省电力职工大学50543富春江水电职工大学50544宁波市纺织局职工大学10642渝西学院重庆师范高专、渝州教院合并新建10643重庆三峡学院原四川三峡学院更名10647涪陵师范学院涪陵师范高专升格、涪陵教院并入10650四川外语学院10652西南政法大学10655四川美术学院11356渝州大学11551重庆工业高等专科学校11660重庆工学院重庆经济管理干部学院并入11799重庆商学院11829重庆石油高等专科学校11916重庆电力高等专科学校45001重庆电子职业技术学院45002重庆工业职业技术学院原重庆机械局职大等合并新建45003重庆工程职业技术学院45004重庆社会工作职业学院45005重庆警官职业学院45006重庆职业技术学院。
[大连大学教务处]大连大学院校代码教育部为高校编排的代码有5位(此代码全国通用),各省教育考试院为高校编排代码有4位(此代码一般作填报高考志愿用,同一所高校在不同省份代码也不一样),由于高校办学情况每年都有变动,所以高校代码也有变化。
下面是关于大连大学院校代码范文,希望你喜欢。
大连大学院校代码大连大学院校代码:10152全国院校代码(由于学校众多,仅列部分)北京10001北京大学10002中国人民大学10003清华大学10004北京交通大学10005北京工业大学10006北京航空航天大学10007北京理工大学10008北京科技大学10009北方工业大学10010北京化工大学10012北京服装学院10013北京邮电大学10015北京印刷学院10016北京建筑大学10017北京石油化工学院10018北京电子科技学院10019中国农业大学10020北京农学院10022北京林业大学10024北京协和医学院10025首都医科大学10026北京中医药大学10027北京师范大学10028首都师范大学10029首都体育学院10030北京外国语大学10031北京第二外国语学院10032北京语言大学10033中国传媒大学10034中央财经大学10036对外经济贸易大学10037北京物资学院10040外交学院10041中国人民公安大学10042国际关系学院10043北京体育大学10045中央音乐学院10046中国音乐学院10047中央美术学院10048中央戏剧学院10049中国戏曲学院10050北京电影学院10051北京舞蹈学院10052中央民族大学10053中国政法大学10054华北电力大学(北京) 10772北京信息工程学院11232北京机械工业学院11413中国矿业大学(北京) 11414中国石油大学(北京) 11415中国地质大学(北京) 11417北京联合大学11418海淀走读大学11625中国青年政治学院11626北京青年政治学院11831首钢工学院11912首都经济贸易大学11921北京工商大学11954中华女子学院11971中国防卫科技学院12453中国劳动关系学院天津10055南开大学10056天津大学10057天津科技大学10058天津工业大学10059中国民用航空学院10060天津理工大学10061天津农学院10065天津师范大学10066天津职业技术师范学院10068天津外国语学院10069天津商学院10070天津财经大学10071天津体育学院10072天津音乐学院10073天津美术学院10080河北工业大学10792天津城市建设学院11126 武警医学院11904天津医科大学11908天津医学高等专科学校河北10075河北大学10076河北建筑科技学院10077石家庄经济学院10079华北电力大学(保定) 10080河北工业大学10081 河北联合大学10082河北科技大学10084河北建筑工程学院10085河北工程技术高等专科学校10087张家口农业高等专科学校10090华北煤炭医学院10092张家口医学院10093承德医学院10094河北师范大学10096保定师范专科学校10097张家口师范专科学校10098河北民族师范学院10099唐山师范学院10100廊坊师范学院10101衡水师范专科学校10102石家庄师范专科学校10103邯郸师范专科学校10104邢台学院10105沧州师范专科学校10107石家庄铁道大学10216燕山大学10795邯郸农业高等专科学校10796邯郸医学高等专科学校10798河北科技师范学院11104华北科技学院11105中国人民武装警察部队学院11236河北体育学院11420保定金融高等专科学校11629北华航天工业学院11775防灾科技学院11777承德石油高等专科学校11821邢台职业技术学院11918河北经贸大学11919河北医科大学11920河北农业大学11960唐山学院11964邢台医学高等专科学校11972中央司法警官学院12352河北软件职业技术学院12367河北石油职业技术学院12418河北能源职业技术学院12784河北传媒学院12887河北旅游职业学院12389河北建材职业技术学院12415沧州职业技术学院12796石家庄城市职业学院(原石家庄法商职业学院) 13070石家庄财经职业学院13071河北交通职业技术学院13072河北化工医药职业技术学院13393河北机电职业技术学院13394渤海石油职业学院13395廊坊职业技术学院13400石家庄理工职业学院13690河北司法警官职业学院13822河北女子职业技术学院13895燕京理工学院14103冀中职业学院14158石家庄人民医学高等专科学校14185石家庄科技工程职业学院14208河北劳动关系职业学院14213石家庄科技职业学院14255廊坊东方职业技术学院14259泊头职业学院14280廊坊燕京职业技术学院14281承德护理职业学院14335廊坊卫生职业学院19145东北大学秦皇岛分校50139河北地质职工大学山西10108山西大学10109太原重型机械学院10110华北工学院10112太原理工大学10113山西农业大学10114山西医科大学10116大同医学专科学校10117长治医学院10118山西师范大学10119太原师范学院10120雁北师范学院10121晋中师范高等专科学校10122晋东南师范专科学校10123运城学院10124忻州师范学院10125山西财经大学10805太原电力高等专科学校10809山西中医学院10812吕梁高等专科学校11120 武警部队专科学校11242太原大学11243大同职业技术学院11566山西经济管理学院11630山西财政税务专科学校11928山西警官高等专科学校19110华北工学院(分校)内蒙古自治区10126内蒙古大学10127内蒙古科技大学10128内蒙古工业大学10132内蒙古医学院10133包头医学院10135内蒙古师范大学10137包头师范学院10138 赤峰民族师范高等专科学校10139内蒙古财经学院10819呼伦贝尔学院11427集宁师范高等专科学校11428 青山大学11429 民办内蒙古丰州学院11631河套大学11709内蒙古民族高等专科学校11922内蒙古农业大学11947内蒙古民族大学辽宁10140辽宁大学10141大连理工大学10142沈阳工业大学10143沈阳航空航天大学10144沈阳理工大学10145东北大学10146鞍山科技大学10147辽宁工程技术大学10148辽宁石油化工大学10149沈阳化工学院10150 大连铁道学院10151大连海事大学10152大连工业大学(原大连轻工业学院) 10153 沈阳建筑工程学院10154辽宁工学院10157沈阳农业大学10158大连水产学院10159中国医科大学10160锦州医学院10161大连医科大学10162 辽宁中医学院10163沈阳药科大学10164沈阳医学院10165辽宁师范大学10166沈阳师范大学10167锦州师范学院10169鞍山师范学院10171朝阳师范高等专科学校10172大连外国语学院10173东北财经大学10175中国刑事警察学院10176沈阳体育学院10177沈阳音乐学院10178鲁迅美术学院10179抚顺师范高等专科学校10180锦州师范高等专科学校10182铁岭师范高等专科学校11035沈阳大学11036鞍山市高等职业专科学校11037抚顺职业技术学院11248辽宁农业职业技术学院11250阜新高等专科学校11257大连民族学院11258大连大学11430本溪冶金高等专科学校11432辽宁警官高等专科学校11500辽宁交通高等专科学校11632沈阳电力高等专科学校11735辽宁税务高等专科学校11779辽宁财政高等专科学校19144 沈阳工业学院(分校) 13201 沈阳工学院吉林10183吉林大学10184延边大学10186长春理工大学10188东北电力学院10190长春工业大学10191吉林建筑工程学院10192吉林化工学院10193吉林农业大学10199长春中医学院10200东北师范大学10202通化师范学院10203吉林师范大学10204吉林工程技术师范学院10205长春师范学院10206白城师范学院10207吉林财经大学10208吉林体育学院10209吉林艺术学院10964吉林华桥外语职业学院11044四平职业大学11261吉林财税高等专科学校11262吉林商业高等专科学校11263吉林粮食高等专科学校11436长春汽车工业高等专科学校11439吉林特产高等专科学校11440长春金融高等专科学校11441吉林公安高等专科学校11726长春大学11823长春医学高等专科学校11923北华大学11927长春工程学院黑龙江10212黑龙江大学10213哈尔滨工业大学10217哈尔滨工程大学10219黑龙江科技学院10220大庆石油学院10221齐齐哈尔大学10223黑龙江八一农垦大学10224东北农业大学10225东北林业大学10226哈尔滨医科大学10228黑龙江中医药大学10229牡丹江医学院10231哈尔滨师范大学10233牡丹江师范学院10235大庆师范学院10236绥化学院10238克山师范专科学校10240哈尔滨商业大学10242哈尔滨体育学院10243黑龙江水利专科学校10245哈尔滨金融高等专科学校11046牡丹江大学11230齐齐哈尔医学院11444佳木斯大学11445鸡西大学11914哈尔滨理工大学11917 民办黑龙江东方学院11929哈尔滨学院11930黑龙江工程学院11959鹤岗师范高等专科学校上海10246复旦大学10247同济大学10251华东理工大学10252上海理工大学10254上海海事大学10255东华大学10256上海电力学院10262上海医疗器械高等专科学校10264上海水产大学10266上海第二医科大学10268上海中医药大学10269华东师范大学10271上海外国语大学10272上海财经大学10273上海对外贸易学院10274上海海关高等专科学校10275上海旅游高等专科学校10276华东政法学院10277上海体育学院10278上海音乐学院10279上海戏剧学院10283上海公安高等专科学校10856上海工程技术大学11047立信会计高等专科学校11458上海电机技术高等专科学校11636上海师范高等专科学校11639 上海金融高等专科学校11733上海出版印刷高等专科学校11833上海杉达学院10280上海大学11940上海应用技术学院江苏10284南京大学10285苏州大学10286东南大学10287南京航空航天大学10288南京理工大学10289华东船舶工业学院10290中国矿业大学10291南京工业大学10292江苏工业学院10293南京邮电学院10294河海大学10295江南大学10296苏州丝绸工学院10298南京林业大学10299江苏大学10300南京信息工程大学10301南京动力高等专科学校10304南通工学院10305盐城工学院10307南京农业大学10311南通医学院10312南京医科大学10313徐州医学院10315南京中医药大学10316中国药科大学10319南京师范大学10320徐州师范大学10323淮阴师范学院10324盐城师范学院10325南通师范学院10327南京经济学院10329江苏警官学院10330南京体育学院10331南京艺术学院10333常熟高等专科学校11048金陵职业大学11049淮阴工学院11051镇江市高等专科学校11052南通职业大学11053 彭城职业大学11054苏州职业大学11055常州工学院11117扬州大学11287南京审计学院11288沙洲职业工学院11290 南京市农业专科学校11462扬州市职业大学11463江苏技术师范学院11466南京森林公安高等专科学校11641淮海工学院11913三江学院11931南京晓庄学院11939连云港师范高等专科学校11950南京工程学院11951苏州科技学院12047江苏经贸职业技术学院浙江10335浙江大学10336杭州电子科技大学10337浙江工业大学10338浙江理工大学10340浙江海洋大学10341浙江农林大学10343温州医科大学10344浙江中医药大学10345浙江师范大学10346杭州师范大学10347湖州师范学院10349绍兴文理学院10350台州学院10351温州大学10352丽水学院10353浙江工商大学10355中国美术学院10356中国计量大学10829公安海警学院10876浙江万里学院11057浙江科技学院11292温州大学11481浙江水利水电学院11482浙江财经大学11483浙江警察学院11646宁波大学11647浙江传媒学院11842 浙江树人学院11926嘉兴学院11956浙江医药高等专科学校43321浙江经贸职业技术学院安徽10357安徽大学10358中国科学技术大学10359合肥工业大学10360安徽工业大学10361安徽理工大学10363安徽工程大学10364安徽农业大学10366安徽医科大学10367蚌埠医学院10368皖南医学院10369安徽中医药大学10370安徽师范大学10233阜阳师范学院10372安庆师范学院10373淮北师范大学10374芜湖师范专科学校10375黄山学院10377滁州学院10378安徽财经大学10379宿州学院10380巢湖学院10381淮南师范学院10383铜陵学院10878安徽建筑大学10879安徽科技学院11059合肥学院11305蚌埠学院11306池州学院11308淮南联合大学11932皖西学院11961安徽医学高等专科学校11963亳州师范高等专科学校11968安徽中医药高等专科学校福建10384厦门大学10385华侨大学10386福州大学10388福建工程学院10392福建医科大学10393福建中医学院10394福建师范大学10395闽江学院10397武夷学院10398宁德师范学院10399泉州师范学院10402漳州师范学院11062厦门理工学院11311三明学院11312龙岩学院11313福建商业高等专科学校11315 闽西职业大学11317黎明职业大学11495福建警察学院11498莆田学院11499福建华南女子职业学院11784仰恩大学11900集美大学11948福建农林大学江西10404华东交通大学10405东华理工学院10406南昌航空工业学院10407南方冶金学院10408景德镇陶瓷学院10410江西农业大学10412江西中医学院10413赣南医学院10414江西师范大学10416上饶师范学院10418赣南师范学院10419 井岗山师范学院10420抚州师范专科学校10421江西财经大学10888江西医学院上饶分院10890井冈山医学高等专科学校10892 江西医学院抚州分院10894景德镇高等专科学校10895萍乡高等专科学校11318江西科技师范学院11319南昌水利水电高等专科学校11322南昌高等专科学校11504江西公安专科学校11505九江职业大学11508新余高等专科学校11902南昌大学11938宜春学院11955九江学院12941江西财经职业学院13873赣西科技职业学院山东10422山东大学10423中国海洋大学10424山东科技大学10425石油大学(华东) 10426青岛科技大学14100山东政法学院10427济南大学10429青岛建筑工程学院10430山东建筑工程学院。
大学毕业院校代码及全国各学位授予单位代码全国高等院校代码查询秀秀聪者院校代码院校名称变更情况院校代码院校名称变更情况院校代码院校名称变更情况10001 北京大学北京医科大学并入10002 中国人民大学10003 清华大学10004 北京交通大学"京电高专并入此校,北方交大更名" 10005 北京工业大学建材局管干院北京水电等并入此校10006 北京航空航天大学10007 北京理工大学10008 北京科技大学10009 北方工业大学10010 北京化工大学10012 北京服装学院10013 北京邮电大学10015 北京印刷学院10016 北京建筑工程学院10017 北京石油化工学院10018 北京电子科技学院10019 中国农业大学10020 北京农学院10022 北京林业大学10023 中国协和医科大学10025 首都医科大学原北京医学高等专科学校并入此校10026 北京中医药大学原北京针灸骨伤学院并入此校10027 北京师范大学10028 首都师范大学10029 首都体育学院原北京体育师范学院更名10030 北京外国语大学10031 北京第二外国语学院10032 北京语言大学原北京语言文化大学更名10033 北京广播学院10034 中央财经大学中央财政管理干部学院并入10036 对外经济贸易大学中国金融学院并入此校10037 北京物资学院10040 外交学院10041 中国人民公安大学10042 国际关系学院10043 北京体育大学10045 中央音乐学院10046 中国音乐学院10047 中央美术学院10048 中央戏剧学院10049 中国戏曲学院10050 北京电影学院10051 北京舞蹈学院10052 中央民族大学10053 中国政法大学中央政法管理干部学院并入10054 华北电力大学(北京) 10772 北京信息工程学院电子管干院北京成人电子两校并入11232 北京机械工业学院11413 中国矿业大学(北京) 11414 石油大学(北京) 11415 中国地质大学(北京) 11417 北京联合大学11418 海淀走读大学11625 中国青年政治学院11626 北京青年政治学院11831 首钢工学院11912 首都经济贸易大学11921 北京工商大学11954 中华女子学院成人转普校原代码50050变更11971 中国防卫科技学院华北石油职大(河北远东)并入新建41102 北京工业职业技术学院41103 北京信息职业技术学院41104 北京轻工职业技术学院41105 北京科技经营管理学院41106 北京吉利大学41107 北京农业职业学院市农管干院并入50001 北京市海淀区职工大学50002 北京市东城区职工业余大学50004 北京市崇文区职工大学50005 北京市宣武区红旗业余大学50006 北京市石景山区业余大学50007 北京市朝阳区职工大学50008 北京市机械工业局职工大学50017 首都钢铁公司职工大学50018 北京市医药总公司职工大学50019 北京市工艺美术品总公司职大与工美学校合建艺术职院待删除50021 北京市建设职工大学50022 北京市房地产职工大学50023 北京市物资贸易职工学院50025 北京市总工会职工大学50028 北京人民警察学院50061 北京教育学院市成教院并入该校50080 北京市计划劳动管理干部学院原北京市劳动管理干部学院更名51160 北京市广播电视大学51161 中央广播电视大学51624 北京市丰台区职工大学51625 北京市实验大学51626 北京市西城经济科技大学北京市西城区职工大学并入该校51627 北京汽车工业总公司职工大学51630 北京市农工商联合总公司职大51631 北京市职工体育运动技术学院51637 北京市经济管理干部学院51638 北京市财贸管理干部学院"北京市立信会计并入,升格待删除" 51639 北京市政法管理干部学院51641 中国工运学院51650 中国纺织政治函授学院51800 华北电业联合职工大学51837 首都联合职工大学90001 国防大学90020 防化指挥工程学院90022 陆军航空兵学院90025 解放军艺术学院90026 后勤指挥学院90037 北京军医学院90039 装备指挥技术学院90041 装甲兵工程学院90051 空军指挥学院90203 特种警察学院90204 武警北京指挥学院10055 南开大学10056 天津大学10057 天津科技大学原天津轻工业学院更名新建10058 天津工业大学原天津纺织工学院更名新建10059 中国民用航空学院10060 天津理工学院10061 天津农学院10063 天津中医学院10065 天津师范大学10066 天津职业技术师范学院10068 天津外国语学院10069 天津商学院10070 天津财经学院10071 天津体育学院10072 天津音乐学院10073 天津美术学院10080 河北工业大学10792 天津城市建设学院11032 天津职业大学11126 武警医学院11904 天津医科大学11908 天津医学高等专科学校原天津市职工医学院改制新建41201 民办天狮职业技术学院41202 天津工业职业技术学院41203 天津滨海职业学院41204 天津工程职业技术学院油田职大并入41205 天津现代职业技术学院津一轻职大并入41206 天津轻工职业技术学院二轻职大并入41207 天津电子信息职业技术学院41208 天津公安警官职业学院41209 天津机电职业技术学院职工机电院并入41210 天津渤海职业技术学院职工化院并入41211 天津中德职业技术学院职工技院现代企管院并入41212 天津青年职业学院青年职技职院并入41213 天津对外经济贸易职业学院41214 天津工商职业技术学院41215 天津交通职业学院原天津交通学校职大合并新建备案41216 天津文化艺术职业学院原天津职工工艺美院艺校合并新建41217 天津开发区职业技术学院天津联合业余大学开发区中专合建50063 天津市和平区新华职工大学50064 天津市河西区职工大学50065 天津市河东区职工大学50066 天津市红桥区职工大学50067 天津市河北区职工大学50068 天津市南开区职工大学50069 天津市塘沽区职工大学50070 天津市建筑工程业余大学50071 天津市职工公用事业学院50073 天津市职工经济技术大学50086 天津汽车工业总公司职工大学50095 天津市渤海化工职工学院50104 天津市冶金工业局职工大学50110 天津市建材工业局职工大学50112 天津市医药职工大学50113 天津市职工科学技术大学50116 大港石油管理局职工大学50121 天津市管理干部学院51171 天津市广播电视大学51172 天津物资管理干部学院51174 天津市财贸管理干部学院51175 天津市政法管理干部学院51176 天津市工会管理干部学院51653 天津市机械局职工机械工业大学51659 天津市房地产局职工大学90030 军事交通学院90049 海军后勤学院10075 河北大学10076 河北建筑科技学院华北水利水电学院(邯郸)并入10077 石家庄经济学院10079 华北电力大学(保定) 10081 河北理工学院10082 河北科技大学10084 河北建筑工程学院10085 河北工程技术高等专科学校10087 张家口农业高等专科学校10090 华北煤炭医学院10092 张家口医学院10093 承德医学院10094 河北师范大学10096 保定师范专科学校10097 张家口师范专科学校10098 承德民族师范高等专科学校10099 唐山师范学院原唐山师专升格更名10100 廊坊师范学院原廊坊师专教育学院师校合并新建10101 衡水师范专科学校10102 石家庄师范专科学校10103 邯郸师范专科学校10104 邢台学院原邢台师范高专升格更名10105 沧州师范专科学校10107 石家庄铁道学院10216 燕山大学10795 邯郸农业高等专科学校10796 邯郸医学高等专科学校10798 河北科技师范学院原河北职业技术师范学院更名11104 华北科技学院原华北矿业高专升格更名11105 中国人民武装警察部队学院11236 河北体育学院11420 保定金融高等专科学校11629 华北航天工业学院11775 防灾技术高等专科学校11777 承德石油高等专科学校11821 邢台职业技术学院原总后军需部院校划转地方11918 河北经贸大学11919 河北医科大学11920 河北农业大学11960 唐山学院原唐专交大分校职大合并新建11964 邢台医学高等专科学校原邢台卫校升格新建11972 中央司法警官学院中央司法警官教育学院51182改制19145 东北大学秦皇岛分校41302 河北工业职业技术学院41303 河北职业技术学院41304 邯郸职业技术学院41305 石家庄职业技术学院41306 张家口职业技术学院41307 承德民族职业技术学院41308 沧州职业技术学院41309 石家庄铁路工程职业技术学院41310 河北能源职业技术学院41311 保定职业技术学院41312 石家庄影视艺术职业学院41313 河北建材职业技术学院河北建材职大并入41314 河北政法职业学院省政法管干院并入41315 河北石油职业技术学院管道局职院并入41316 河北工程技术职业学院保定职大并入41317 衡水职业技术学院41318 秦皇岛职业技术学院41319 唐山职业技术学院41320 唐山工业职业技术学院41321 邯郸中原外国语职业学院41322 石家庄计算机职业学院41323 石家庄法商职业学院41324 承德旅游职业学院原承德旅游中专财经学校合并新建41325 河北省艺术职业学院原河北省艺术学校升格新建41326 河北远东职业技术学院原华北石油职工大学基础上新建41327 河北交通职业技术学院河北交通学校更名升格41328 河北化工医药职业技术学院河北化工学校更名升格41329 秦皇岛外国语职业学院南戴河外国语师范更名升格41330 石家庄信息工程职业学院石家庄市财经学校更名升格41331 石家庄外经贸职业学院石家庄北方专修学院更名升格41332 石家庄东方美术职业学院石家庄燕赵美术中专更名升格41333 河北京都高尔夫职业学院新建50129 开滦矿务局职工大学50136 河北省经贸管理干部学院50139 河北地质职工大学50143 邯郸市职工大学50144 河北省职工医学院50146 农业部乡镇企业管理干部学院50150 河北邯郸地区教育学院50156 河北省衡水地区教育学院50158 河北张家口地区教育学院50159 河北保定地区教育学院51177 河北省广播电视大学51179 张家口市职工大学51180 石家庄市职工业余大学51183 华北石油教育学院51184 邯郸市教育学院51186 秦皇岛教育学院51721 秦皇岛环境管理干部学院51723 化工部石家庄管理干部学院51802 河北青年管理干部学院51804 石油物探职工大学90003 石家庄陆军指挥学院90013 炮兵指挥学院90017 廊坊陆军导弹学院90038 白求恩军医学院90040 军械工程学院90062 空军第四飞行学院90064 空军第六飞行学院90070 石家庄陆军学院10108 山西大学10109 太原重型机械学院10110 华北工学院10112 太原理工大学10113 山西农业大学10114 山西医科大学10116 大同医学专科学校10117 长治医学院10118 山西师范大学10119 太原师范学院10120 雁北师范学院10121 晋中师范高等专科学校10122 晋东南师范专科学校10123 运城学院原运城高专更名升格10124 忻州师范学院原忻州师专师范学校合并升格新建10125 山西财经大学10805 太原电力高等专科学校10809 山西中医学院10812 吕梁高等专科学校11120 武警部队专科学校11242 太原大学11243 大同职业技术学院11566 山西经济管理学院11630 山西财政税务专科学校11928 山西警官高等专科学校原公安部管干院山西警校合并新建19110 华北工学院(分校) 41401 山西工业职业技术学院原山西矿业职业技术学院更名41402 山西建筑职业技术学院山西建筑工程职业技术学院更名41403 山西工程职业技术学院41404 晋城职业技术学院晋城教院并入41405 北岳职业技术学院41406 山西生物应用职业技术学院41407 山西交通职业技术学院41408 山西兴华职业学院41409 长治职业技术学院41410 山西艺术职业学院41411 阳泉职业技术学院原阳泉职业技术学(筹)基础上新建41412 山西水利职业技术学院原山西水利职大水校合并新建41413 山西林业职业技术学院原山西林业学校升格新建41414 山西财贸职业技术学院原山西省财贸学校升格新建41415 山西戏剧职业学院原山西省戏曲学校升格新建41416 山西机电职业技术学院原山西省机械工业学校升格新建50030 阳泉市教育学院50031 广播电影电视管理干部学院50162 太原化学工业公司职工大学50163 山西机电职工学院50164 太原钢铁公司职工钢铁学院50166 山西职工医学院50167 山西煤炭职工联合大学50169 山西兵器工业职工大学50175 山西省职工二轻学院50179 山西职工文学院50183 长治职工大学50193 太原市教育学院50197 山西省吕梁地区教育学院51187 山西省广播电视大学51188 太原经济管理干部学院并入太原城市职业技术学院待删除51189 山西煤炭管理干部学院51190 山西经济管理干部学院51191 山西青年管理干部学院51787 山西政法管理干部学院51788 长治市教育学院10126 内蒙古大学10127 包头钢铁学院10128 内蒙古工业大学10132 内蒙古医学院10133 包头医学院10135 内蒙古师范大学10137 包头师范学院包头师专教育学院师校合新建升格10138 赤峰民族师范高等专科学校10139 内蒙古财经学院10819 呼伦贝尔学院11427 集宁师范高等专科学校11428 青山大学11429 民办内蒙古丰州学院11631 河套大学11709 内蒙古民族高等专科学校原内蒙古蒙文专科学校更名新建11922 内蒙古农业大学11947 内蒙古民族大学民族师院蒙医学院哲畜牧合并新建41501 包头职业技术学院41502 内蒙古建筑职业技术学院原呼和浩特职业技术学院更名41503 兴安职业技术学院兴安盟教院并入41504 内蒙古警察职业学院41505 内蒙古体育职业学院新增备案50198 呼和浩特市职工大学并入呼和浩特职业学院待删除50199 内蒙古水利职工大学50202 包头钢铁公司职工大学50204 包头市职工大学50206 内蒙古矿业职工大学50207 内蒙古自治区管理干部学院50208 内蒙古教育学院50209 呼和浩特教育学院并入呼和浩特职业学院待删除50211 锡林郭勒盟教育学院50213 伊克昭盟教育学院50216 哲里木盟教育学院50217 赤峰教育学院51192 内蒙古自治区广播电视大学51193 内蒙古呼和浩特管理干部学院并入呼和浩特职业学院待删除10140 辽宁大学辽宁外国语师范高等专科学校并入10141 大连理工大学10142 沈阳工业大学10143 沈阳航空工业学院10144 沈阳工业学院10145 东北大学10146 鞍山科技大学原鞍山钢铁学院更名10147 辽宁工程技术大学10148 辽宁石油化工大学原抚顺石油学院更名10149 沈阳化工学院10150 大连铁道学院10151 大连海事大学10152 大连轻工业学院10153 沈阳建筑工程学院10154 辽宁工学院10157 沈阳农业大学10158 大连水产学院10159 中国医科大学10160 锦州医学院10161 大连医科大学10162 辽宁中医学院10163 沈阳药科大学10164 沈阳医学院10165 辽宁师范大学10166 沈阳师范大学原沈阳师院辽宁教院合并新建10167 锦州师范学院辽宁商业高等专科学校并入10169 鞍山师范学院10171 朝阳师范高等专科学校10172 大连外国语学院10173 东北财经大学10175 中国刑事警察学院10176 沈阳体育学院国办发[2001]15号划转、共建10177 沈阳音乐学院10178 鲁迅美术学院10179 抚顺师范高等专科学校10180 锦州师范高等专科学校锦州职大并入该校10182 铁岭师范高等专科学校11035 沈阳大学11036 鞍山市高等职业专科学校11037 抚顺职业技术学院11248 辽宁农业职业技术学院11250 阜新高等专科学校11257 大连民族学院11258 大连大学11430 本溪冶金高等专科学校11432 辽宁警官高等专科学校11500 辽宁交通高等专科学校11632 沈阳电力高等专科学校11735 辽宁税务高等专科学校11779 辽宁财政高等专科学校19144 沈阳工业学院(分校) 42101 渤海船舶职业学院葫芦岛职技院更名42102 盘锦职业技术学院42103 辽宁金融职业学院辽宁金融职大银行学校合并新建42104 辽宁商务职业学院42105 大连职业技术学院42106 大连商务职业学院42107 辽阳职业技术学院辽阳师范高等专科学校更名新建42108 营口职业技术学院营口师专营口高职专合并新建42109 丹东职业技术学院丹东纺专丹东师专合并新建42110 辽宁对外经贸职业学院辽宁万成经贸职业学院更名新建42111 大连艺术职业学院42112 大连东软信息技术职业学院42113 辽宁石化职业技术学院锦州石化职大石化学校合并新建42114 辽宁经济职业技术学院辽宁经济管理干部学院转制新建42115 辽宁机电职业技术学院辽宁仪器仪表工业学校升格新建42116 辽宁广告职业学院新建42117 辽宁信息职业技术学院辽宁电子、供销学校合并新建50361 辽宁体育运动技术学院50380 辽宁省管理干部学院51086 沈阳市二轻家具职工大学51087 辽宁兵器工业职工大学51089 沈阳新光动力机械公司职工大学51090 沈阳航空职工大学升格更名为航空职技院待删除51094 辽宁建设职工大学51097 辽宁省直属机关职工大学51110 大连工人大学51120 大连职工大学51121 鞍山职工大学51122 鞍钢职工工学院51123 鞍钢职工医学专科学校51125 抚顺矿务局职工工学院51126 抚顺石油化工公司职工大学51127 辽宁轻工职工大学51128 抚顺职工大学51129 本溪钢铁公司职工工学院51131 丹东职工大学51138 阜新矿务局职工大学51143 北票矿务局职工煤矿专科学校51144 朝阳职工大学51149 大连市教育学院51196 辽宁省广播电视大学51212 辽宁职工体育运动技术学院升格更名为体育运动职技院待删除51215 沈阳市职工大学合建为沈阳职技院待删除51222 本溪职工大学51225 辽宁财贸职工大学51226 阜新职工大学51227 阜新煤炭职工医学专科学校51689 辽宁农业管理干部学院51692 辽宁工运学院51693 辽宁卫生职业医学院51694 辽宁文化艺术职工大学51695 辽宁冶金职工大学51806 沈阳市联合职工大学合建为沈阳职技院待删除51842 辽宁政法管理干部学院51843 沈阳机械工业职工大学51844 新乐精密机器公司职工大学51845 冶金部鞍山冶金管理干部学院51847 铁岭职工大学51848 沈阳市广播电视大学51849 大连市广播电视大学90015 沈阳炮兵学院90046 海军大连舰艇学院90050 海军飞行学院90061 空军第三飞行学院90069 大连陆军学院90093 大连医学高等专科学校90201 武警指挥学院90209 武警沈阳指挥学院10183 吉林大学原吉工大白医大长科大长邮并入此10184 延边大学10186 长春理工大学原长春光学精密机械学院更名10188 东北电力学院10190 长春工业大学原吉林工学院更名10191 吉林建筑工程学院10192 吉林化工学院10193 吉林农业大学10199 长春中医学院10200 东北师范大学10202 通化师范学院10203 吉林师范大学原四平师范学院更名10204 吉林工程技术师范学院原吉林职业师范学院更名10205 长春师范学院10206 白城师范学院原白城师范高专升格更名10207 长春税务学院10208 吉林体育学院10209 吉林艺术学院10964 吉林华桥外语职业学院原民办吉林华桥外语职业学院更名11044 四平职业大学11261 吉林财税高等专科学校11262 吉林商业高等专科学校11263 吉林粮食高等专科学校11436 长春汽车工业高等专科学校11439 吉林特产高等专科学校吉林农垦特产高等专科学校更名11440 长春金融高等专科学校11441 吉林公安高等专科学校11726 长春大学11823 长春医学高等专科学校11923 北华大学11927 长春工程学院水电高专建筑高专工业高专合新建42201 吉林交通职业技术学院42202 辽源职业技术学院42203 吉林对外经贸职业学院国际语言文化学院并入42204 长春东方职业学院42205 吉林电子信息职业技术学院原吉林冶金工业学校升格42206 吉林工业职业技术学院原吉林化工学校升格42207 吉林司法警官职业学院原吉林省司法警官学校升格42208 吉林农业工程职业技术学院原吉林省农业机械化学校升格42209 长春职业技术学院长春高级职业技校更名升格50226 长春市职工大学50229 长春市建筑职工业余大学50230 吉林省直属机关业余大学50231 长春市直属机关业余大学50232 长春职工医科大学50234 吉林市职工大学50236 吉林化学工业公司职工大学50238 吉林职工医科大学50239 长春市成人文理学院50242 通化市职工大学50243 通化钢铁公司职工大学50244 吉林省油田职工大学50245 延边职工大学50248 延边黎明农民大学50249 梨树农村成人高等专科学校50250 扶余农村成人高等专科学校50252 吉林省教育学院50253 长春教育学院51230 吉林省广播电视大学51231 白城市职工大学51235 吉林电力职工大学51240 吉林省行政管理干部学院51243 吉林省经济管理干部学院51704 吉林卫生管理干部学院51851 长春煤炭管理干部学院51887 长春市广播电视大学90029 军需大学90042 装甲兵技术学院90057 空军第二航空学院90058 空军长春飞行学院空军飞行学员统一由该校录取90065 空军第七飞行学院10212 黑龙江大学10213 哈尔滨工业大学原哈尔滨建筑大学并入此校10217 哈尔滨工程大学10219 黑龙江科技学院原黑龙江矿业学院更名10220 大庆石油学院10221 齐齐哈尔大学10223 黑龙江八一农垦大学10224 东北农业大学10225 东北林业大学10226 哈尔滨医科大学鸡西煤炭医学高等专科学校并入10228 黑龙江中医药大学10229 牡丹江医学院10231 哈尔滨师范大学呼兰师专黑龙江农垦师专并入10233 牡丹江师范学院10235 大庆高等专科学校10236 绥化师范专科学校10238 克山师范专科学校10240 哈尔滨商业大学原黑龙江商学院更名龙江财专并入10242 哈尔滨体育学院10243 黑龙江水利专科学校10245 哈尔滨金融高等专科学校11046 牡丹江大学11230 齐齐哈尔医学院11444 佳木斯大学11445 鸡西大学11914 哈尔滨理工大学11917 民办黑龙江东方学院11929 哈尔滨学院原哈尔滨大学哈师专等五校合新建11930 黑龙江工程学院黑交通高专哈工程高专合升格新建11959 鹤岗师范高等专科学校鹤岗市师范学校等中专合并新建42301 黑龙江建筑职业技术学院42302 伊春职业学院42303 黑龙江司法警官职业学院42304 齐齐哈尔职业学院42305 黑龙江林业职业技术学院42306 黑龙江农业职业技术学院42307 黑龙江农业工程职业学院42308 大庆职业学院大庆石油局职大并入42309 黑龙江农垦职业学院42310 哈尔滨职业技术学院哈经管建设财贸科技机电轻工合建42311 哈尔滨电力职业技术学院原哈尔滨电力学校升格新建42312 哈尔滨铁道职业技术学院原哈尔滨铁路工程学校升格新建42313 大兴安岭职业学院原教院师范林校卫校林业师范合建42314 黑龙江畜牧兽医职业学院原省畜牧兽医学校升格新建42315 黑龙江农业经济职业学院原省农业经济学校升格新建42316 黑龙江艺术职业学院黑龙江省艺校文艺干校合建42317 哈尔滨华夏计算机职业技术学院黑龙江华夏计算机专修学院更名50264 黑龙江兵器工业职工大学50266 哈尔滨航空职工大学50268 哈尔滨轻型车厂职工大学50269 哈尔滨市职工大学50284 黑龙江省邮电职工大学50287 黑龙江省科技职工大学50290 黑龙江省直属机关职工大学50292 哈尔滨市教师体育学院50293 黑龙江省电力职工大学50294 黑龙江省物资职工大学50306 齐齐哈尔市建设职工大学50311 齐齐哈尔市职工大学50315 牡丹江市联合职工大学50316 黑龙江省二轻职工大学50319 佳木斯市联合职工大学50326 鸡西市职工大学50327 鹤岗矿务局职工大学50328 双鸭山矿务局职工工学院50329 大庆职工大学50330 大庆石油化工总厂职工大学50334 伊春市职工大学50335 黑龙江省经济管理干部学院50337 黑龙江省农垦管理干部学院50343 黑龙江省政法管理干部学院50344 黑龙江省教育学院50347 齐齐哈尔市教育学院50349 黑龙江省绥化地区教育学院50350 牡丹江市教育学院50351 佳木斯市教育学院50358 五常朝鲜族教师进修学院51244 黑龙江省广播电视大学51245 大庆职工医学院51742 黑龙江金融职工大学51743 鸡西煤炭职工医学院51744 黑龙江省商业职工大学51745 黑龙江省社会科学院职工大学51746 哈尔滨市职工医学院51747 黑龙江省职工体育运动技术学院51748 黑龙江省森林工业管理干部学院51876 哈尔滨市广播电视大学90059 空军第一飞行学院10246 复旦大学上海医科大学并入此校10247 同济大学上海铁道大学并入此校10248 上海交通大学10251 华东理工大学10252 上海理工大学10254 上海海运学院10255 东华大学10256 上海电力学院10262 上海医疗器械高等专科学校10264 上海水产大学10266 上海第二医科大学10268 上海中医药大学上海医学高等专科学校并入此校10269 华东师范大学上海幼师高专并入该校10270 上海师范大学10271 上海外国语大学10272 上海财经大学10273 上海对外贸易学院10274 上海海关高等专科学校10275 上海旅游高等专科学校10276 华东政法学院10277 上海体育学院国办发[2001]15号划转、共建10278 上海音乐学院10279 上海戏剧学院10283 上海公安高等专科学校10856 上海工程技术大学11047 立信会计高等专科学校11458 上海电机技术高等专科学校11636 上海师范高等专科学校11639 上海金融高等专科学校11733 上海出版印刷高等专科学校11833 上海杉达学院原民办杉达学院更名升格(为本科) 11903 上海大学11940 上海应用技术学院上海冶专轻专化专三校合升格新建43101 民办新侨职业技术学院43102 民办东海职业技术学院43103 上海建峰职业技术学院新设43104 上海商业职业技术学院43105 上海第二工业大学成人高校转,上海东沪职技院并入43106 民办上海济光职业技术学院43107 民办上海建桥职业技术学院43108 民办上海工商外国语职业学院43109 上海科学技术职业学院43110 上海海事职业技术学院上海海运职大并入43111 上海电子信息职业技术学院上海仪表职大并入43112 上海交通职业技术学院上海海港职大并入43113 上海城市管理职业技术学院上海建设职大并入43114 上海行健职业学院上海闸北业大并入43115 民办上海中侨职业技术学院新设43116 民办上海托普信息技术。
普通高校代码学校代码学校名称10001 北京大学10002 中国人民大学10003 清华大学10004 北京交通大学10005 北京工业大学10006 北京航空航天大学10007 北京理工大学10008 北京科技大学10009 北方工业大学10010 北京化工大学10011 北京工商大学10012 北京服装学院10013 北京邮电大学10015 北京印刷学院10016 北京建筑工程学院10017 北京石油化工学院10018 北京电子科技学院10019 中国农业大学10020 北京农学院10022 北京林业大学10023 中国协和医科大学10025 首都医科大学10026 北京中医药大学10027 北京师范大学10028 首都师范大学10029 首都体育学院10030 北京外国语大学10031 北京第二外国语学院10032 北京语言大学10033 中国传媒大学10034 中央财经大学10036 对外经济贸易大学10037 北京物资学院10038 首都经济贸易大学10040 外交学院10041 中国人民公安大学10042 国际关系学院10043 北京体育大学10045 中央音乐学院10046 中国音乐学院10047 中央美术学院10048 中央戏剧学院10049 中国戏曲学院10050 北京电影学院10051 北京舞蹈学院10052 中央民族大学10053 中国政法大学10054 华北电力大学10772 北京信息工程学院10853 北京工业职业技术学院10857 北京信息职业技术学院10858 北京电子科技职业学院11090 北京京北职业技术学院11092 北京交通职业技术学院11149 中华女子学院11232 北京机械工业学院11413 中国矿业大学(北京)11414 中国石油大学(北京)11415 中国地质大学(北京)11417 北京联合大学11418 北京城市学院11625 中国青年政治学院11626 北京青年政治学院11831 首钢工学院12448 北京农业职业学院12451 北京政法职业学院12453 中国劳动关系学院12561 北京财贸职业学院12564 北京北大方正软件职业技术学院12565 北京经贸职业学院12566 北京经济技术职业学院12567 北京戏曲艺术职业学院12568 北京汇佳职业学院12569 北京现代职业技术学院12733 北京科技经营管理学院12802 北京吉利大学13703 北京科技职业学院13728 北京培黎职业学院13826 北京锡华国际经贸职业学院10055 南开大学10056 天津大学10057 天津科技大学10058 天津工业大学10059 中国民用航空学院10060 天津理工大学10061 天津农学院10062 天津医科大学10063 天津中医学院10065 天津师范大学10066 天津工程师范学院10068 天津外国语学院10069 天津商学院10070 天津财经大学10071 天津体育学院10072 天津音乐学院10073 天津美术学院10792 天津城市建设学院10859 民办天狮职业技术学院10860 天津工业职业技术学院11032 天津职业大学12105 天津中德职业技术学院12484 天津滨海职业学院12487 天津工程职业技术学院12535 天津青年职业学院12719 天津渤海职业技术学院12720 天津电子信息职业技术学院12721 天津机电职业技术学院12722 天津现代职业技术学院12723 天津公安警官职业学院12732 天津轻工职业技术学院12788 天津对外经济贸易职业学院12803 天津工商职业技术学院12880 天津医学高等专科学校12881 天津开发区职业技术学院12882 天津文化艺术职业学院12883 天津交通职业学院13700 天津冶金职业技术学院13701 天津石油职业技术学院13702 天津城市职业学院13863 天津铁道职业技术学院13911 天津工艺美术职业学院10075 河北大学10076 河北工程学院10077 石家庄经济学院10080 河北工业大学10081 河北理工大学10082 河北科技大学10084 河北建筑工程学院10085 河北工程技术高等专科学校10086 河北农业大学10089 河北医科大学10090 华北煤炭医学院10092 河北北方学院10093 承德医学院10094 河北师范大学10096 保定师范专科学校10098 承德民族师范高等专科学校10099 唐山师范学院10100 廊坊师范学院10101 衡水学院10102 石家庄学院10103 邯郸学院10104 邢台学院10105 沧州师范专科学校10107 石家庄铁道学院10216 燕山大学10798 河北科技师范学院10837 河北职业技术学院10873 河北工业职业技术学院11033 唐山学院11034 邯郸职业技术学院11104 华北科技学院11105 中国人民武装警察部队学院11236 河北体育学院11238 石家庄职业技术学院11420 保定金融高等专科学校11423 张家口职业技术学院11424 承德职业学院11629 北华航天工业学院11775 防灾技术高等专科学校11777 承德石油高等专科学校11821 邢台职业技术学院11832 河北经贸大学11903 中央司法警官学院12352 河北软件职业技术学院12367 河北石油职业技术学院12389 河北建材职业技术学院12408 河北政法职业学院12415 沧州职业技术学院12418 河北能源职业技术学院12424 石家庄铁路职业技术学院12543 保定职业技术学院12773 秦皇岛职业技术学院12782 石家庄计算机职业学院12783 石家庄外国语职业学院12784 石家庄影视艺术职业学院12785 唐山职业技术学院12786 衡水职业技术学院12787 唐山工业职业技术学院12796 石家庄法商职业学院12884 邢台医学高等专科学校12885 河北省艺术职业学院12886 河北远东职业技术学院12887 承德旅游职业学院13070 石家庄外经贸职业学院13071 河北交通职业技术学院13072 河北化工医药职业技术学院13073 石家庄信息工程职业学院13074 秦皇岛外国语职业学院13075 石家庄东方美术职业学院13076 河北京都高尔夫职业学院13391 保定虎振职业技术学院13392 保定电力职业技术学院13393 河北机电职业技术学院13394 渤海石油职业学院13395 廊坊职业技术学院13396 唐山科技职业技术学院13397 石家庄邮电职业技术学院13398 河北公安警察职业学院13399 石家庄工商职业学院13400 石家庄联合技术职业学院13402 石家庄外语翻译职业学院13403 石家庄科技信息职业学院13690 河北司法警官职业学院13779 沧州医学高等专科学校13822 河北女子职业技术学院13823 河北通信职业技术学院10108 山西大学10109 太原科技大学10110 中北大学10112 太原理工大学10113 山西农业大学10114 山西医科大学10116 大同医学专科学校10117 长治医学院10118 山西师范大学10119 太原师范学院10120 雁北师范学院10121 晋中学院10122 长治学院10123 运城学院10124 忻州师范学院10125 山西财经大学10805 太原电力高等专科学校10809 山西中医学院10812 吕梁高等专科学校11242 太原大学11243 大同职业技术学院11245 山西工业职业技术学院11630 山西财政税务专科学校12111 山西警官高等专科学校12388 长治职业技术学院12704 山西艺术职业学院12774 晋城职业技术学院12775 山西建筑职业技术学院12776 山西生物应用职业技术学院12777 山西工程职业技术学院12778 山西交通职业技术学院12779 山西兴华职业学院12780 北岳职业技术学院12888 山西机电职业技术学院12889 山西戏剧职业学院12890 山西财贸职业技术学院12891 山西林业职业技术学院12892 山西水利职业技术学院12893 阳泉职业技术学院13171 临汾职业技术学院13528 山西综合职业技术学院13529 山西煤炭职业技术学院13530 山西金融职业技术学院13532 太原城市职业技术学院13541 山西信息职业技术学院13691 山西工商职业学院13692 山西体育职业学院13693 山西警官职业学院13694 山西国际商务职业学院13695 潞安职业技术学院13696 太原旅游职业学院13697 山西旅游职业学院13698 山西管理职业学院13745 山西电力职业技术学院13821 忻州职业技术学院13862 山西同文外语职业学院13913 晋中职业技术学院13914 山西华澳商贸职业学院13934 山西运城农业职业技术学院10126 内蒙古大学10127 内蒙古科技大学10128 内蒙古工业大学10129 内蒙古农业大学10132 内蒙古医学院10135 内蒙古师范大学10136 内蒙古民族大学10138 赤峰学院10139 内蒙古财经学院10819 呼伦贝尔学院10871 内蒙古建筑职业技术学院11427 集宁师范高等专科学校11429 内蒙古丰州职业学院11631 河套大学11709 内蒙古民族高等专科学校12057 包头职业技术学院12443 兴安职业技术学院12670 呼和浩特职业学院12671 包头轻工职业技术学院12672 内蒙古财税职业学院12673 内蒙古电子信息职业技术学院12674 内蒙古机电职业技术学院12675 内蒙古化工职业学院12676 内蒙古商贸职业学院12677 锡林郭勒职业学院12797 内蒙古警察职业学院12894 内蒙古体育职业学院13699 乌兰察布职业学院13740 通辽职业学院13741 科尔沁艺术职业学院13824 内蒙古交通职业技术学院13864 包头钢铁职业技术学院13915 乌海职业技术学院10140 辽宁大学10141 大连理工大学10142 沈阳工业大学10143 沈阳航空工业学院10144 沈阳理工大学10145 东北大学10146 鞍山科技大学10147 辽宁工程技术大学10148 辽宁石油化工大学10149 沈阳化工学院10150 大连交通大学10151 大连海事大学10152 大连轻工业学院10153 沈阳建筑大学10154 辽宁工学院10157 沈阳农业大学10158 大连水产学院10159 中国医科大学10160 锦州医学院10161 大连医科大学10162 辽宁中医学院10163 沈阳药科大学10164 沈阳医学院10165 辽宁师范大学10166 沈阳师范大学10167 渤海大学10169 鞍山师范学院10171 朝阳师范高等专科学校10172 大连外国语学院10173 东北财经大学10175 中国刑事警察学院10176 沈阳体育学院10177 沈阳音乐学院10178 鲁迅美术学院10179 抚顺师范高等专科学校10180 锦州师范高等专科学校10181 营口职业技术学院10182 铁岭师范高等专科学校10841 辽宁对外经贸学院10845 大连职业技术学院10957 辽宁农业职业技术学院11035 沈阳大学11036 鞍山市高等职业专科学校11037 抚顺职业技术学院11249 辽阳职业技术学院11250 阜新高等专科学校11258 大连大学11430 辽宁科技学院11432 辽宁警官高等专科学校11500 辽宁交通高等专科学校11632 沈阳工程学院11735 辽宁税务高等专科学校11779 辽东学院12026 大连民族学院12063 盘锦职业技术学院12590 沈阳航空职业技术学院12591 辽宁体育运动职业技术学院12592 铁岭农业职业技术学院12593 辽宁林业职业技术学院12594 沈阳职业技术学院12595 锦州商务职业学院12730 大连商务职业学院12839 大连艺术职业学院12840 大连东软信息技术职业学院12895 辽宁金融职业学院12896 辽宁信息职业技术学院12897 辽宁广告职业学院12898 辽宁机电职业技术学院12899 辽宁经济职业技术学院12900 辽宁石化职业技术学院12931 渤海船舶职业学院13957 辽宁美术职业学院13958 大连软件职业学院13959 大连翻译职业学院13960 辽宁商贸职业学院13961 大连枫叶职业技术学院10183 吉林大学10184 延边大学10186 长春理工大学10188 东北电力学院10190 长春工业大学10191 吉林建筑工程学院10192 吉林化工学院10193 吉林农业大学10199 长春中医学院10200 东北师范大学10201 北华大学10202 通化师范学院10203 吉林师范大学10204 吉林工程技术师范学院10205 长春师范学院10206 白城师范学院10207 长春税务学院10208 吉林体育学院10209 吉林艺术学院10847 辽源职业技术学院10964 吉林华桥外国语学院11044 四平职业大学11261 吉林财税高等专科学校11262 吉林商业高等专科学校11263 吉林粮食高等专科学校11436 长春汽车工业高等专科学校11437 长春工程学院11439 吉林农业科技学院11440 长春金融高等专科学校11441 吉林公安高等专科学校11726 长春大学11823 长春医学高等专科学校12049 吉林交通职业技术学院12305 吉林对外经贸职业学院12306 长春东方职业学院12901 吉林司法警官职业学院12902 吉林电子信息职业技术学院12903 吉林工业职业技术学院12904 吉林农业工程职业技术学院13161 长春职业技术学院13706 吉林医药学院13743 白城医学高等专科学校13916 长春信息技术职业学院13917 松原职业技术学院10212 黑龙江大学10213 哈尔滨工业大学10214 哈尔滨理工大学10217 哈尔滨工程大学10219 黑龙江科技学院10220 大庆石油学院10222 佳木斯大学10223 黑龙江八一农垦大学10224 东北农业大学10225 东北林业大学10226 哈尔滨医科大学10228 黑龙江中医药大学10229 牡丹江医学院10231 哈尔滨师范大学10232 齐齐哈尔大学10233 牡丹江师范学院10234 哈尔滨学院10235 大庆师范学院10236 绥化学院10238 齐齐哈尔高等师范专科学校10240 哈尔滨商业大学10242 哈尔滨体育学院10245 哈尔滨金融高等专科学校10872 伊春职业学院11046 牡丹江大学11230 齐齐哈尔医学院11445 鸡西大学11446 黑龙江东方学院11449 黑龙江工商职业技术学院11635 哈尔滨华夏计算机职业技术学院11802 黑龙江工程学院12053 黑龙江建筑职业技术学院12490 黑龙江艺术职业学院12718 大庆职业学院12724 黑龙江林业职业技术学院12725 黑龙江农业职业技术学院12726 黑龙江农业工程职业学院12727 黑龙江农垦职业学院12728 黑龙江司法警官职业学院12729 齐齐哈尔职业学院12905 鹤岗师范高等专科学校12906 哈尔滨电力职业技术学院12907 哈尔滨铁道职业技术学院12908 大兴安岭职业学院12909 黑龙江畜牧兽医职业学院12910 黑龙江农业经济职业学院12911 哈尔滨职业技术学院13302 哈尔滨现代公共关系职业学院13447 黑龙江生物科技职业学院13448 黑龙江商业职业学院13449 黑龙江公安警官职业学院13450 黑龙江信息技术职业学院13451 黑龙江北开职业技术学院13452 黑龙江农垦林业职业技术学院13453 黑龙江农垦农业职业技术学院13729 黑龙江旅游职业技术学院13730 黑龙江三江美术职业学院13731 黑龙江生态工程职业学院13732 黑龙江煤炭职业技术学院13744 黑河学院13918 七台河职业学院13935 黑龙江民族职业学院10246 复旦大学10247 同济大学10248 上海交通大学10251 华东理工大学10252 上海理工大学10254 上海海事大学10255 东华大学10256 上海电力学院10259 上海应用技术学院10262 上海医疗器械高等专科学校10264 上海水产大学10268 上海中医药大学10269 华东师范大学10270 上海师范大学10271 上海外国语大学10272 上海财经大学10273 上海对外贸易学院10274 上海海关高等专科学校10275 上海旅游高等专科学校10276 华东政法学院10277 上海体育学院10278 上海音乐学院10279 上海戏剧学院10280 上海大学10283 上海公安高等专科学校10851 上海东海职业技术学院10852 上海新侨职业技术学院10856 上海工程技术大学11047 上海立信会计学院11458 上海电机学院11639 上海金融学院11733 上海出版印刷高等专科学校11833 上海杉达学院11835 上海政法学院12044 上海第二工业大学12050 上海商学院12493 上海行健职业学院12495 上海城市管理职业技术学院12497 上海交通职业技术学院12498 上海海事职业技术学院12499 上海电子信息职业技术学院12583 上海东方文化职业学院12584 上海民远职业技术学院12585 上海欧华职业技术学院12586 上海思博职业技术学院12587 上海立达职业技术学院12588 上海工艺美术职业学院12798 上海济光职业技术学院12799 上海建桥职业技术学院12800 上海工商外国语职业学院12801 上海科学技术职业学院12912 上海农林职业技术学院12913 上海邦德职业技术学院12914 上海托普信息技术职业学院12915 上海中侨职业技术学院12916 上海建峰职业技术学院13747 上海电影艺术职业学院13907 上海中华职业技术学院10284 南京大学10285 苏州大学10286 东南大学10287 南京航空航天大学10288 南京理工大学10289 江苏科技大学10290 中国矿业大学10291 南京工业大学10292 江苏工业学院10293 南京邮电大学10294 河海大学10295 江南大学10298 南京林业大学10299 江苏大学10300 南京信息工程大学10301 南京动力高等专科学校10304 南通大学10305 盐城工学院10307 南京农业大学10312 南京医科大学10313 徐州医学院10315 南京中医药大学10316 中国药科大学10319 南京师范大学10320 徐州师范大学10323 淮阴师范学院10324 盐城师范学院10327 南京财经大学10329 江苏警官学院10330 南京体育学院10331 南京艺术学院10332 苏州科技学院10333 常熟理工学院10826 民办明达职业技术学院10848 无锡职业技术学院10849 徐州建筑职业技术学院10850 南京工业职业技术学院10958 南通纺织职业技术学院10960 苏州工艺美术职业技术学院11049 淮阴工学院11050 连云港职业技术学院11051 镇江市高等专科学校11052 南通职业大学11054 苏州职业大学11055 常州工学院11117 扬州大学11122 三江学院11276 南京工程学院11287 南京审计学院11288 沙洲职业工学院11460 南京晓庄学院11462 扬州市职业大学11463 江苏技术师范学院11585 连云港师范高等专科学校11641 淮海工学院11998 徐州工程学院12047 江苏经贸职业技术学院12048 南京特殊教育职业技术学院12054 九州职业技术学院12056 紫琅职业技术学院12078 硅湖职业技术学院12106 泰州职业技术学院12213 南京森林公安高等专科学校12317 常州信息职业技术学院12678 江苏联合职业技术学院12679 江苏海事职业技术学院12680 应天职业技术学院12681 无锡科技职业学院12683 扬州环境资源职业技术学院12684 南通农业职业技术学院12685 苏州经贸职业技术学院12686 苏州工业职业技术学院12687 苏州托普信息职业技术学院12702 无锡商业职业技术学院12703 南通航运职业技术学院12804 南京交通职业技术学院12805 淮安信息职业技术学院12806 江苏畜牧兽医职业技术学院12807 常州纺织服装职业技术学院12808 苏州农业职业技术学院12809 苏州工业园区职业技术学院12917 泰州师范高等专科学校12918 培尔职业技术学院12919 炎黄职业技术学院12920 南京化工职业技术学院12921 正德职业技术学院12922 钟山职业技术学院12923 无锡南洋职业技术学院13017 江南影视艺术职业学院13101 常州轻工职业技术学院13102 常州工程职业技术学院13103 江苏农林职业技术学院13104 江苏食品职业技术学院13105 建东职业技术学院13106 南京铁道职业技术学院13107 徐州工业职业技术学院13108 江苏信息职业技术学院13110 宿迁职业技术学院13112 南京信息职业技术学院13113 江海职业技术学院13114 常州机电职业技术学院13137 江阴职业技术学院13573 金陵科技学院13748 无锡城市职业技术学院13749 无锡工艺职业技术学院13750 金山职业技术学院13751 健雄职业技术学院13752 盐城纺织职业技术学院13753 江苏财经职业技术学院13754 扬州工业职业技术学院13962 苏州港大思培科技职业学院13963 昆山登云科技职业学院13964 南京视觉艺术职业学院10335 浙江大学10336 杭州电子科技大学10337 浙江工业大学10338 浙江理工大学10340 浙江海洋学院10341 浙江林学院10343 温州医学院10344 浙江中医学院10345 浙江师范大学10346 杭州师范学院10347 湖州师范学院10349 绍兴文理学院10350 台州学院10351 温州师范学院10352 丽水学院10353 浙江工商大学10354 嘉兴学院10355 中国美术学院10356 中国计量学院10829 公安海警高等专科学校10864 温州职业技术学院10876 浙江万里学院11057 浙江科技学院11058 宁波工程学院11292 温州大学11481 浙江水利水电专科学校11482 浙江财经学院11483 浙江公安高等专科学校11646 宁波大学11647 浙江传媒学院11842 浙江树人学院12036 浙江交通职业技术学院12061 金华职业技术学院12645 宁波城市职业技术学院12789 浙江工商职业技术学院12790 台州职业技术学院12791 浙江工贸职业技术学院12792 绍兴越秀外国语职业学院12860 浙江医药高等专科学校12861 浙江机电职业技术学院12862 浙江建设职业技术学院12863 浙江艺术职业学院12864 浙江经贸职业技术学院12865 浙江商业职业技术学院12866 浙江经济职业技术学院12867 浙江旅游职业学院12868 浙江育英职业技术学院12869 浙江警官职业学院12870 浙江金融职业学院12871 浙江工业职业技术学院12872 杭州职业技术学院12874 嘉兴职业技术学院12875 湖州职业技术学院12876 绍兴托普信息职业技术学院12877 衢州职业技术学院12878 丽水职业技术学院13001 宁波大红鹰职业技术学院13002 浙江东方职业技术学院13003 义乌工商职业技术学院13023 浙江医学高等专科学校13025 浙江纺织服装职业技术学院13027 浙江长征职业技术学院13028 嘉兴南洋职业技术学院13029 浙江广厦建设职业技术学院13742 宁波天一职业技术学院16301 宁波诺丁汉大学10357 安徽大学10358 中国科学技术大学10359 合肥工业大学10360 安徽工业大学10361 安徽理工大学10363 安徽工程科技学院10364 安徽农业大学10366 安徽医科大学10367 蚌埠医学院10368 皖南医学院10369 安徽中医学院10370 安徽师范大学10371 阜阳师范学院10372 安庆师范学院10373 淮北煤炭师范学院10375 黄山学院10376 皖西学院10377 滁州学院10378 安徽财经大学10379 宿州学院10380 巢湖学院10381 淮南师范学院10383 铜陵学院10869 安徽职业技术学院10878 安徽建筑工业学院10879 安徽科技学院10959 民办三联职业技术学院10963 淮北职业技术学院11059 合肥学院11061 芜湖职业技术学院11305 蚌埠高等专科学校11306 池州师范专科学校11308 淮南联合大学12072 安徽商贸职业技术学院12073 安徽水利水电职业技术学院12074 阜阳职业技术学院12216 安徽新华学院12217 铜陵职业技术学院12218 民办万博科技职业学院12219 安徽警官职业学院12220 淮南职业技术学院12334 安徽工业经济职业技术学院12810 民办安徽文达信息技术职业学院12811 安徽工贸职业技术学院12812 宿州职业技术学院12813 六安职业技术学院12814 安徽电子信息职业技术学院12815 民办合肥经济技术职业学院12816 安徽交通职业技术学院12817 安徽体育运动职业技术学院12924 安徽中医药高等专科学校12925 安徽医学高等专科学校12926 亳州师范高等专科学校13058 巢湖职业技术学院13059 滁州职业技术学院13060 池州职业技术学院13061 宣城职业技术学院13062 安徽广播影视职业技术学院13064 民办安徽明星科技职业学院13065 民办安徽外国语职业技术学院13336 安徽电气工程职业技术学院13337 安徽冶金科技职业学院13338 安徽城市管理职业学院13339 安徽机电职业技术学院13340 安徽工商职业学院13341 安徽中澳科技职业学院13342 阜阳科技职业学院13343 亳州职业技术学院13344 安徽国防科技职业学院13345 安庆职业技术学院13346 安徽艺术职业学院13760 马鞍山师范高等专科学校13845 安徽财贸职业学院13846 安徽国际商务职业学院13847 安徽公安职业学院13848 安徽林业职业技术学院13849 安徽审计职业学院13850 安徽新闻出版职业技术学院13851 安徽邮电职业技术学院13852 安徽工业职业技术学院10384 厦门大学10385 华侨大学10386 福州大学10388 福建工程学院10389 福建农林大学10390 集美大学10392 福建医科大学10393 福建中医学院10394 福建师范大学10395 闽江学院10397 南平师范高等专科学校10398 宁德师范高等专科学校10399 泉州师范学院10402 漳州师范学院10866 福建交通职业技术学院11062 厦门理工学院11311 三明学院11312 龙岩学院11313 福建商业高等专科学校11314 漳州职业技术学院11315 闵西职业技术学院11317 黎明职业大学11495 福建公安高等专科学校11498 莆田学院11499 福建华南女子职业学院11502 福州职业技术学院11784 仰恩大学12625 福建林业职业技术学院12626 福建信息职业技术学院12627 福建水利电力职业技术学院12628 福建电力职业技术学院12629 厦门海洋职业技术学院12630 福建农业职业技术学院12634 泉州医学高等专科学校12708 福州英华职业学院12709 厦门华夏职业学院12710 泉州光电信息职业学院12711 泉州纺织服装职业学院12927 泉州华光摄影艺术职业学院12928 泉州中营职业学院13733 福建警官职业学院13762 福州外语外贸职业技术学院13763 福建金融职业技术学院13764 闵北职业技术学院13765 福州黎明职业技术学院13766 泉州信息职业技术学院13767 厦门演艺职业学院13768 厦门华天涉外职业技术学院13769 福州科技职业技术学院13770 泉州经贸职业技术学院13771 福建对外经济贸易职业技术学院13772 湄洲湾职业技术学院13773 福州海峡职业技术学院10403 南昌大学10404 华东交通大学10405 东华理工学院10406 南昌航空工业学院10407 江西理工大学10408 景德镇陶瓷学院10410 江西农业大学10412 江西中医学院10413 赣南医学院10414 江西师范大学10416 上饶师范学院10417 宜春学院10418 赣南师范学院10419 井冈山学院10421 江西财经大学10839 江西工业职业技术学院10846 江西蓝天学院10894 景德镇高等专科学校10895 萍乡高等专科学校11318 江西科技师范学院11319 南昌工程学院11504 江西公安专科学校11505 九江职业大学11508 新余高等专科学校11785 九江职业技术学院11843 九江学院12766 江西渝州科技职业学院12795 南昌理工学院12929 江西司法警官职业学院12930 江西陶瓷工艺美术职业技术学院12932 江西旅游商贸职业学院12933 江西电力职业技术学院12934 江西环境工程职业学院12936 江西艺术职业学院12937 鹰潭职业技术学院12938 江西城市职业学院12939 江西信息应用职业技术学院12940 江西交通职业技术学院12941 江西财经职业学院12942 江西应用技术职业学院12943 江西现代职业技术学院12944 江西工业工程职业技术学院12976 江西机电职业技术学院。
学校代码学校名称省市代码省市名称办学类型办学类型代码性质类别10001北京大学11北京11普通高等学校:本科院校:大学1101综合大学10002中国人民大学11北京11普通高等学校:本科院校:大学1101综合大学10003清华大学11北京11普通高等学校:本科院校:大学1102理工院校10004北京交通大学11北京11普通高等学校:本科院校:大学1102理工院校10005北京工业大学11北京11普通高等学校:本科院校:大学1102理工院校10006北京航空航天大学11北京11普通高等学校:本科院校:大学1102理工院校10007北京理工大学11北京11普通高等学校:本科院校:大学1102理工院校10008北京科技大学11北京11普通高等学校:本科院校:大学1102理工院校10009北方工业大学11北京11普通高等学校:本科院校:大学1102理工院校10010北京化工大学11北京11普通高等学校:本科院校:大学1102理工院校10011北京工商大学11北京11普通高等学校:本科院校:大学1108财经院校10012北京服装学院11北京12普通高等学校:本科院校:学院1202理工院校10013北京邮电大学11北京11普通高等学校:本科院校:大学1102理工院校10015北京印刷学院11北京12普通高等学校:本科院校:学院1202理工院校10016北京建筑工程学院11北京12普通高等学校:本科院校:学院1202理工院校10017北京石油化工学院11北京12普通高等学校:本科院校:学院1202理工院校10018北京电子科技学院11北京12普通高等学校:本科院校:学院1202理工院校10019中国农业大学11北京校:本科院校:大学1103农林院校10020北京农学院11北京12普通高等学校:本科院校:学院1203农林院校10022北京林业大学11北京11普通高等学校:本科院校:大学1104林业院校10023北京协和医学院11北京12普通高等学校:本科院校:学院1205医药院校10025首都医科大学11北京11普通高等学校:本科院校:大学1105医药院校10026北京中医药大学11北京11普通高等学校:本科院校:大学1105医药院校10027北京师范大学11北京11普通高等学校:本科院校:大学1106师范院校10028首都师范大学11北京11普通高等学校:本科院校:大学1106师范院校10029首都体育学院11北京12普通高等学校:本科院校:学院1210体育院校10030北京外国语大学11北京11普通高等学校:本科院校:大学1107语文院校10031北京第二外国语学院11北京12普通高等学校:学院1207语文院校10032北京语言大学11北京11普通高等学校:本科院校:大学1107语文院校10033中国传媒大学11北京11普通高等学校:本科院校:大学1107语文院校10034中央财经大学11北京11普通高等学校:本科院校:大学1108财经院校10036对外经济贸易大学11北京11普通高等学校:本科院校:大学1108财经院校10037北京物资学院11北京12普通高等学校:本科院校:学院1208财经院校10038首都经济贸易大学11北京11普通高等学校:本科院校:大学1108财经院校10040外交学院11北京12普通高等学校:本科院校:学院1207语文院校10041中国人民公安大学11北京校:本科院校:大学1109政法院校10042国际关系学院11北京12普通高等学校:本科院校:学院1209政法院校10043北京体育大学11北京11普通高等学校:本科院校:大学1110体育院校10045中央音乐学院11北京12学院1211艺术院校10046中国音乐学院11北京12普通高等学校:本科院校:学院1211艺术院校10047中央美术学院11北京12普通高等学校:本科院校:学院1211艺术院校10048中央戏剧学院11北京12普通高等学校:本科院校:学院1211艺术院校10049中国戏曲学院11北京12普通高等学校:本科院校:学院1211艺术院校10050北京电影学院11北京12普通高等学校:本科院校:学院1211艺术院校10051北京舞蹈学院11北京12普通高等学校:本科院校:学院1211艺术院校10052中央民族大学11北京11普通高等学校:本科院校:大学1112民族院校10053中国政法大学11北京11普通高等学校:本科院校:大学1109政法院校10054华北电力大学11北京11普通高等学校:本科院校:大学1102理工院校10853北京工业职业技术学院11北京14普通高等学校:专科院校:高等职业学校1402理工院校10857北京信息职业技术学院11北京14普通高等学校:专科院校:高等职业学校1402理工院校10858北京电子科技职业学院11北京14普通高等学校:专科院校:高等职业学校1402理工院校11090北京京北职业技术学院11北京14普通高等学校:专科院校:高等职业学校1402理工院校11092北京交通职业技术学院11北京校:专科院校:高等职业学校1402理工院校11149中华女子学院11北京12普通高等学校:本科院校:学院1207语文院校11232北京信息科技大学11北京11普通高等学校:本科院校:大学1102理工院校11413中国矿业大学(北京)11北京11普通高等学校:本科院校:大学1102理工院校11414中国石油大学11北京11普通高等学校:本科院校:大学1102理工院校11415中国地质大学(北京)11北京11普通高等学校:本科院校:大学1102理工院校11417北京联合大学11北京11普通高等学校:本科院校:大学1101综合大学11418北京城市学院11北京12普通高等学校:本科院校:学院1201综合大学11625中国青年政治学院11北京12普通高等学校:本科院校:学院1209政法院校11626北京青年政治学院11北京13普通高等学校:专科院校:高等专科学校1307语文院校11831首钢工学院11北京12普通高等学校:本科院校:学院1202理工院校12448北京农业职业学院11北京14普通高等学校:专科院校:高等职业学校1403农林院校12451北京政法职业学院11北京14普通高等学校:专科院校:高等职业学校1409政法院校12453中国劳动关系学院11北京12普通高等学校:本科院校:学院1209政法院校12561北京财贸职业学院11北京14普通高等学校:专科院校:高等职业学校1408财经院校12564北京北大方正软件职业技术学院11北京校:专科院校:高等职业学校1402理工院校12565北京经贸职业学院11北京14普通高等学校:专科院校:高等职业学校1408财经院校12566北京经济技术职业学院11北京14普通高等学校:专科院校:高等职业学校1408财经院校12567北京戏曲艺术职业学院11北京14普通高等学校:专科院校:高等职业学校1411艺术院校12568北京汇佳职业学院11北京14普通高等学校:专科院校:高等职业学校1407语文院校12569北京现代职业技术学院11北京14普通高等学校:专科院校:高等职业学校1402理工院校12733北京科技经营管理学院11北京14普通高等学校:专科院校:高等职业学校1408财经院校12802北京吉利大学11北京14普通高等学校:专科院校:高等职业学校1402理工院校13703北京科技职业学院11北京14普通高等学校:专科院校:高等职业学校1402理工院校13728北京培黎职业学院11北京14普通高等学校:专科院校:高等职业学校1408财经院校14019北京警察学院11北京12普通高等学校:本科院校:学院1209政法院校14073北京经济管理职业学院11北京14普通高等学校:专科院校:高等职业学校1408财经院校14075北京劳动保障职业学院11北京14普通高等学校:专科院校:高等职业学校1408财经院校14139北京社会管理职业学院11北京校:专科院校:高等职业学校1409政法院校14140北京新圆明职业学院11北京14普通高等学校:专科院校:高等职业学校1408财经院校14215北京体育职业学院11北京14普通高等学校:专科院校:高等职业学校1410体育院校14279北京交通运输职业学院11北京14普通高等学校:专科院校:高等职业学校1402理工院校10055南开大学12天津11普通高等学校:大学1101综合大学10056天津大学12天津11普通高等学校:本科院校:大学1102理工院校10057天津科技大学12天津11普通高等学校:本科院校:大学1102理工院校10058天津工业大学12天津11普通高等学校:本科院校:大学1102理工院校10059中国民航大学12天津11普通高等学校:本科院校:大学1102理工院校10060天津理工大学12天津11普通高等学校:本科院校:大学1102理工院校10061天津农学院12天津12普通高等学校:本科院校:学院1203农林院校10062天津医科大学12天津11普通高等学校:本科院校:大学1105医药院校10063天津中医药大学12天津11普通高等学校:本科院校:大学1105医药院校10065天津师范大学12天津11普通高等学校:本科院校:大学1106师范院校10066天津职业技术师范大学12天津11普通高等学校:本科院校:大学1106师范院校10068天津外国语大学12天津11普通高等学校:本科院校:大学1107语文院校10069天津商业大学12天津校:本科院校:大学1108财经院校10070天津财经大学12天津11普通高等学校:本科院校:大学1108财经院校10071天津体育学院12天津12普通高等学校:本科院校:学院1210体育院校10072天津音乐学院12天津12普通高等学校:本科院校:学院1211艺术院校10073天津美术学院12天津12普通高等学校:本科院校:学院1211艺术院校10792天津城市建设学院12天津12普通高等学校:本科院校:学院1202理工院校10859天津天狮学院12天津12普通高等学校:本科院校:学院1201综合大学11032天津职业大学12天津14普通高等学校:专科院校:高等职业学校1401综合大学12105天津中德职业技术学院12天津14普通高等学校:专科院校:高等职业学校1402理工院校12484天津滨海职业学院12天津14普通高等学校:专科院校:高等职业学校1401综合大学12487天津工程职业技术学院12天津14普通高等学校:专科院校:高等职业学校1402理工院校12535天津青年职业学院12天津14普通高等学校:专科院校:高等职业学校1407语文院校12719天津渤海职业技术学院12天津14普通高等学校:专科院校:高等职业学校1401综合大学12720天津电子信息职业技术学院12天津14普通高等学校:专科院校:高等职业学校1402理工院校12721天津机电职业技术学院12天津14普通高等学校:专科院校:高等职业学校1402理工院校12722天津现代职业技术学院12天津校:专科院校:高等职业学校1401综合大学12723天津公安警官职业学院12天津14普通高等学校:专科院校:高等职业学校1409政法院校12732天津轻工职业技术学院12天津14普通高等学校:专科院校:高等职业学校1401综合大学12788天津对外经济贸易职业学院12天津14普通高等学校:专科院校:高等职业学校1408财经院校12803天津国土资源和房屋职业学院12天津14普通高等学校:专科院校:高等职业学校1401综合大学12880天津医学高等专科学校12天津13普通高等学校:专科院校:高等专科学校1305医药院校12881天津开发区职业技术学院12天津14普通高等学校:专科院校:高等职业学校1401综合大学12882天津艺术职业学院12天津14普通高等学校:专科院校:高等职业学校1411艺术院校12883天津交通职业学院12天津14普通高等学校:专科院校:高等职业学校1402理工院校13700天津冶金职业技术学院12天津14普通高等学校:专科院校:高等职业学校1402理工院校13701天津石油职业技术学院12天津14普通高等学校:专科院校:高等职业学校1402理工院校13702天津城市职业学院12天津14普通高等学校:专科院校:高等职业学校1401综合大学13863天津铁道职业技术学院12天津14普通高等学校:专科院校:高等职业学校1402理工院校13911天津工艺美术职业学院12天津校:专科院校:高等职业学校1411艺术院校14020天津城市建设管理职业技术学院12天津14普通高等学校:专科院校:高等职业学校1401综合大学14021天津生物工程职业技术学院12天津14普通高等学校:专科院校:高等职业学校1405医药院校14022天津海运职业学院12天津14普通高等学校:专科院校:高等职业学校1401综合大学14102天津广播影视职业学院12天津14普通高等学校:专科院校:高等职业学校1411艺术院校10075河北大学13河北11普通高等学校:本科院校:大学1101综合大学10076河北工程大学13河北11普通高等学校:本科院校:大学1102理工院校10077石家庄经济学院13河北12普通高等学校:本科院校:学院1208财经院校10080河北工业大学13河北11普通高等学校:本科院校:大学1102理工院校10081河北联合大学13河北11普通高等学校:本科院校:大学1101综合大学10082河北科技大学13河北11普通高等学校:本科院校:大学1102理工院校10084河北建筑工程学院13河北12普通高等学校:本科院校:学院1202理工院校10085河北工程技术高等专科学校13河北13普通高等学校:专科院校:高等专科学校1302理工院校10086河北农业大学13河北11普通高等学校:本科院校:大学1103农林院校10089河北医科大学13河北11普通高等学校:本科院校:大学1105医药院校10092河北北方学院13河北校:本科院校:学院1201综合大学10093承德医学院13河北12普通高等学校:本科院校:学院1205医药院校10094河北师范大学13河北11普通高等学校:本科院校:大学1106师范院校10096保定学院13河北12普通高等学校:本科院校:学院1206师范院校10098河北民族师范学院13河北12普通高等学校:本科院校:学院1206师范院校10099唐山师范学院13河北12普通高等学校:本科院校:学院1206师范院校10100廊坊师范学院13河北12普通高等学校:本科院校:学院1206师范院校10101衡水学院13河北12普通高等学校:本科院校:学院1206师范院校10102石家庄学院13河北12普通高等学校:本科院校:学院1201综合大学10103邯郸学院13河北12普通高等学校:本科院校:学院1206师范院校10104邢台学院13河北12普通高等学校:本科院校:学院1206师范院校10105沧州师范学院13河北12普通高等学校:本科院校:学院1206师范院校10107石家庄铁道大学13河北11普通高等学校:本科院校:大学1102理工院校10216燕山大学13河北11普通高等学校:本科院校:大学1102理工院校10798河北科技师范学院13河北12普通高等学校:本科院校:学院1206师范院校10873河北工业职业技术学院13河北14普通高等学校:专科院校:高等职业学校1402理工院校11033唐山学院13河北12普通高等学校:本科院校:学院1202理工院校11034邯郸职业技术学院13河北校:专科院校:高等职业学校1402理工院校11104华北科技学院13河北12普通高等学校:本科院校:学院1202理工院校11105中国人民武装警察部队学院13河北12普通高等学校:本科院校:学院1209政法院校11236河北体育学院13河北12普通高等学校:本科院校:学院1210体育院校11238石家庄职业技术学院13河北14普通高等学校:专科院校:高等职业学校1401综合大学11420河北金融学院13河北12普通高等学校:本科院校:学院1208财经院校11423张家口职业技术学院13河北14普通高等学校:专科院校:高等职业学校1402理工院校11629北华航天工业学院13河北12普通高等学校:本科院校:学院1202理工院校11775防灾科技学院13河北12普通高等学校:本科院校:学院1202理工院校11777承德石油高等专科学校13河北13普通高等学校:专科院校:高等专科学校1302理工院校11821邢台职业技术学院13河北14普通高等学校:专科院校:高等职业学校1402理工院校11832河北经贸大学13河北11普通高等学校:本科院校:大学1108财经院校11903中央司法警官学院13河北12普通高等学校:本科院校:学院1209政法院校12352河北软件职业技术学院13河北14普通高等学校:专科院校:高等职业学校1402理工院校12367河北石油职业技术学院13河北14普通高等学校:专科院校:高等职业学校1402理工院校12389河北建材职业技术学院13河北校:专科院校:高等职业学校1402理工院校12408河北政法职业学院13河北14普通高等学校:专科院校:高等职业学校1409政法院校12415沧州职业技术学院13河北14普通高等学校:专科院校:高等职业学校1401综合大学12418河北能源职业技术学院13河北14普通高等学校:专科院校:高等职业学校1402理工院校12424石家庄铁路职业技术学院13河北14普通高等学校:专科院校:高等职业学校1402理工院校12543保定职业技术学院13河北14普通高等学校:专科院校:高等职业学校1401综合大学12773秦皇岛职业技术学院13河北14普通高等学校:专科院校:高等职业学校1402理工院校12782石家庄计算机职业学院13河北14普通高等学校:专科院校:高等职业学校1402理工院校12783石家庄外国语职业学院13河北14普通高等学校:专科院校:高等职业学校1407语文院校12784河北传媒学院13河北12普通高等学校:本科院校:学院1211艺术院校12785唐山职业技术学院13河北14普通高等学校:专科院校:高等职业学校1405医药院校12786衡水职业技术学院13河北14普通高等学校:专科院校:高等职业学校1402理工院校12787唐山工业职业技术学院13河北14普通高等学校:专科院校:高等职业学校1402理工院校12796石家庄法商职业学院13河北校:专科院校:高等职业学校1408财经院校12884邢台医学高等专科学校13河北13普通高等学校:专科院校:高等专科学校1305医药院校12885河北省艺术职业学院13河北14普通高等学校:专科院校:高等职业学校1411艺术院校12887河北旅游职业学院13河北14普通高等学校:专科院校:高等职业学校1401综合大学13070石家庄外经贸职业学院13河北14普通高等学校:专科院校:高等职业学校1408财经院校13071河北交通职业技术学院13河北14普通高等学校:专科院校:高等职业学校1402理工院校13072河北化工医药职业技术学院13河北14普通高等学校:专科院校:高等职业学校1402理工院校13073石家庄信息工程职业学院13河北14普通高等学校:专科院校:高等职业学校1401综合大学13074河北外国语职业学院13河北14普通高等学校:专科院校:高等职业学校1407语文院校13075石家庄东方美术职业学院13河北14普通高等学校:专科院校:高等职业学校1411艺术院校13391保定科技职业学院13河北14普通高等学校:专科院校:高等职业学校1402理工院校13392保定电力职业技术学院13河北14普通高等学校:专科院校:高等职业学校1402理工院校13393河北机电职业技术学院13河北14普通高等学校:专科院校:高等职业学校1402理工院校13394渤海石油职业学院13河北校:专科院校:高等职业学校1402理工院校13395廊坊职业技术学院13河北14普通高等学校:专科院校:高等职业学校1401综合大学13396唐山科技职业技术学院13河北14普通高等学校:专科院校:高等职业学校1402理工院校13397石家庄邮电职业技术学院13河北14普通高等学校:专科院校:高等职业学校1402理工院校13398河北公安警察职业学院13河北14普通高等学校:专科院校:高等职业学校1409政法院校13399石家庄工商职业学院13河北14普通高等学校:专科院校:高等职业学校1408财经院校13400石家庄理工职业学院13河北14普通高等学校:专科院校:高等职业学校1402理工院校13402石家庄外语翻译职业学院13河北14普通高等学校:专科院校:高等职业学校1407语文院校13403石家庄科技信息职业学院13河北14普通高等学校:专科院校:高等职业学校1402理工院校13690河北司法警官职业学院13河北14普通高等学校:专科院校:高等职业学校1409政法院校13779沧州医学高等专科学校13河北13普通高等学校:专科院校:高等专科学校1305医药院校13822河北女子职业技术学院13河北14普通高等学校:专科院校:高等职业学校1407语文院校14018石家庄医学高等专科学校13河北13普通高等学校:专科院校:高等专科学校1305医药院校14047石家庄外事职业学院13河北校:专科院校:高等职业学校1401综合大学14103冀中职业学院13河北14普通高等学校:专科院校:高等职业学校1402理工院校14158石家庄人民医学高等专科学校13河北13普通高等学校:专科院校:高等专科学校1305医药院校14185石家庄科技工程职业学院13河北14普通高等学校:专科院校:高等职业学校1401综合大学14208河北劳动关系职业学院13河北14普通高等学校:专科院校:高等职业学校1401综合大学14213石家庄科技职业学院13河北14普通高等学校:专科院校:高等职业学校1402理工院校14225廊坊东方职业技术学院13河北14普通高等学校:专科院校:高等职业学校1401综合大学14259泊头职业学院13河北14普通高等学校:专科院校:高等职业学校1401综合大学14260宣化科技职业学院13河北14普通高等学校:专科院校:高等职业学校1401综合大学14280廊坊燕京职业技术学院13河北14普通高等学校:专科院校:高等职业学校1401综合大学14281承德护理职业学院13河北14普通高等学校:专科院校:高等职业学校1405医药院校10108山西大学14山西11普通高等学校:本科院校:大学1101综合大学10109太原科技大学14山西11普通高等学校:本科院校:大学1102理工院校10110中北大学14山西11普通高等学校:本科院校:大学1102理工院校10112太原理工大学14山西校:本科院校:大学1102理工院校10113山西农业大学14山西11普通高等学校:本科院校:大学1103农林院校10114山西医科大学14山西11普通高等学校:本科院校:大学1105医药院校10117长治医学院14山西12普通高等学校:本科院校:学院1205医药院校10118山西师范大学14山西11普通高等学校:本科院校:大学1106师范院校10119太原师范学院14山西12普通高等学校:本科院校:学院1206师范院校10120山西大同大学14山西11普通高等学校:本科院校:大学1101综合大学10121晋中学院14山西12普通高等学校:本科院校:学院1201综合大学10122长治学院14山西12普通高等学校:本科院校:学院1201综合大学10123运城学院14山西12普通高等学校:本科院校:学院1201综合大学10124忻州师范学院14山西12普通高等学校:本科院校:学院1206师范院校10125山西财经大学14山西11普通高等学校:本科院校:大学1108财经院校10805太原电力高等专科学校14山西13普通高等学校:专科院校:高等专科学校1302理工院校10809山西中医学院14山西12普通高等学校:本科院校:学院1205医药院校10812吕梁学院14山西12普通高等学校:本科院校:学院1201综合大学11242太原大学14山西14普通高等学校:专科院校:高等职业学校1401综合大学11630山西省财政税务专科学校14山西校:专科院校:高等专科学校1308财经院校12111山西警官高等专科学校14山西13普通高等学校:专科院校:高等专科学校1309政法院校12388长治职业技术学院14山西14普通高等学校:专科院校:高等职业学校1402理工院校12704山西艺术职业学院14山西14普通高等学校:专科院校:高等职业学校1411艺术院校12774晋城职业技术学院14山西14普通高等学校:专科院校:高等职业学校1401综合大学12775山西建筑职业技术学院14山西14普通高等学校:专科院校:高等职业学校1402理工院校12776山西生物应用职业技术学院14山西14普通高等学校:专科院校:高等职业学校1405医药院校12777山西工程职业技术学院14山西14普通高等学校:专科院校:高等职业学校1402理工院校12778山西交通职业技术学院14山西14普通高等学校:专科院校:高等职业学校1402理工院校12779山西兴华职业学院14山西14普通高等学校:专科院校:高等职业学校1408财经院校12780大同煤炭职业技术学院14山西14普通高等学校:专科院校:高等职业学校1402理工院校12888山西机电职业技术学院14山西14普通高等学校:专科院校:高等职业学校1402理工院校12889山西戏剧职业学院14山西14普通高等学校:专科院校:高等职业学校1411艺术院校12890山西财贸职业技术学院14山西校:专科院校:高等职业学校1408财经院校12891山西林业职业技术学院14山西14普通高等学校:专科院校:高等职业学校1404林业院校12892山西水利职业技术学院14山西14普通高等学校:专科院校:高等职业学校1402理工院校12893阳泉职业技术学院14山西14普通高等学校:专科院校:高等职业学校1401综合大学13171临汾职业技术学院14山西14普通高等学校:专科院校:高等职业学校1401综合大学13528山西职业技术学院14山西14普通高等学校:专科院校:高等职业学校1402理工院校13529山西煤炭职业技术学院14山西14普通高等学校:专科院校:高等职业学校1402理工院校13530山西金融职业学院14山西14普通高等学校:专科院校:高等职业学校1408财经院校13532太原城市职业技术学院14山西14普通高等学校:专科院校:高等职业学校1401综合大学13541山西信息职业技术学院14山西14普通高等学校:专科院校:高等职业学校1402理工院校13691山西工商职业学院14山西14普通高等学校:专科院校:高等职业学校1408财经院校13692山西体育职业学院14山西14普通高等学校:专科院校:高等职业学校1410体育院校13693山西警官职业学院14山西14普通高等学校:专科院校:高等职业学校1409政法院校。
2022各院校代码及专业代码表怎么查院校和专业代码每年的院校代码和专业代码会有所不同,具体以当年官⽅发布为准。
下⾯是相关内容,来看⼀下!各院校代码及专业代码表(每年的院校代码和专业代码会有所不同,具体以当年官⽅发布为准。
以下供参考)专业代码专业名称01学科门类:哲学0101哲学类010101哲学010102逻辑学010103K宗教学02学科门类:经济学0201经济学类020101经济学020102经济统计学0202财政学类020201K财政学020202税收学0203⾦融学类020301K⾦融学020302⾦融⼯程020303保险学020304投资学0204经济与贸易类020401国际经济与贸易020402贸易经济03学科门类:法学0301法学类030101K法学0302政治学类030201政治学与⾏政学030202国际政治030203外交学0303社会学类030301社会学030302社会⼯作0304民族学类030401民族学0305马克思主义理论类030501科学社会主义030502中国共产党历史030503思想政治教育0306公安学类030601K治安学030602K侦查学030603K边防管理04学科门类:教育学0401教育学类040101教育学040102科学教育040103⼈⽂教育040104教育技术学(注:可授教育学或理学或⼯学学⼠学位)040105艺术教育(注:可授教育学或艺术学学⼠学位)040106学前教育040107⼩学教育040108特殊教育0402体育学类040201体育教育040202K运动训练040203社会体育指导与管理040204K武术与民族传统体育040205运动⼈体科学05学科门类:⽂学0501中国语⾔⽂学类050101汉语⾔⽂学050102汉语⾔050103汉语国际教育050104中国少数民族语⾔⽂学050105古典⽂献学0502外国语⾔⽂学类050201英语050202俄语050203德语050204法语050205西班⽛语050206阿拉伯语050207⽇语050208波斯语050209朝鲜语050210菲律宾语050211梵语巴利语050212印度尼西亚语050213印地语050214柬埔寨语050215⽼挝语050216缅甸语050217马来语050218蒙古语050219僧伽罗语050220泰语050221乌尔都语050222希伯来语050223越南语050224豪萨语050225斯⽡希⾥语050226阿尔巴尼亚语050227保加利亚语050228波兰语050229捷克语050230斯洛伐克语050231罗马尼亚语050232葡萄⽛语050233瑞典语050234塞尔维亚语050235⼟⽿其语050236希腊语050237匈⽛利语050238意⼤利语050239泰⽶尔语050240普什图语050241世界语050242孟加拉语050243尼泊尔语050244克罗地亚语050245荷兰语050246芬兰语050247乌克兰语050248挪威语050249丹麦语050250冰岛语050251爱尔兰语050252拉脱维亚语050253⽴陶宛语050254斯洛⽂尼亚语050255爱沙尼亚语050256马⽿他语050257哈萨克语050258乌兹别克语050259祖鲁语050260拉丁语050261翻译050262商务英语0503新闻传播学类050301新闻学050302⼴播电视学050303⼴告学050304传播学050305编辑出版学06学科门类:历史学0601历史学类060101历史学060102世界史060103考古学060104⽂物与博物馆学07学科门类:理学0701数学类070101数学与应⽤数学070102信息与计算科学0702物理学类070201物理学070202应⽤物理学070203核物理0703化学类070301化学070302应⽤化学(注:可授理学或⼯学学⼠学位)0704天⽂学类070401天⽂学0705地理科学类070501地理科学070502⾃然地理与资源环境(注:可授理学或管理学学⼠学位)070503⼈⽂地理与城乡规划(注:可授理学或管理学学⼠学位)070504地理信息科学0706⼤⽓科学类070601⼤⽓科学070602应⽤⽓象学0707海洋科学类070701海洋科学070702海洋技术(注:可授理学或⼯学学⼠学位)0708地球物理学类070801地球物理学070802空间科学与技术(注:可授理学或⼯学学⼠学位)0709地质学类070901地质学070902地球化学0710⽣物科学类071001⽣物科学071002⽣物技术(注:可授理学或⼯学学⼠学位)071003⽣物信息学(注:可授理学或⼯学学⼠学位)071004⽣态学0711⼼理学类071101⼼理学(注:可授理学或教育学学⼠学位)071102应⽤⼼理学(注:可授理学或教育学学⼠学位)0712统计学类071201统计学071202应⽤统计学08学科门类:⼯学0801⼒学类080101理论与应⽤⼒学(注:可授⼯学或理学学⼠学位)080102⼯程⼒学0802机械类080201机械⼯程080202机械设计制造及其⾃动化080203材料成型及控制⼯程080204机械电⼦⼯程080205⼯业设计080206过程装备与控制⼯程080207车辆⼯程080208汽车服务⼯程0803仪器类080301测控技术与仪器0804材料类080401材料科学与⼯程080402材料物理(注:可授⼯学或理学学⼠学位)080403材料化学(注:可授⼯学或理学学⼠学位)080404冶⾦⼯程080405⾦属材料⼯程080406⽆机⾮⾦属材料⼯程080407⾼分⼦材料与⼯程080408复合材料与⼯程0805能源动⼒类080501能源与动⼒⼯程0806电⽓类080601电⽓⼯程及其⾃动化0807电⼦信息类080701电⼦信息⼯程(注:可授⼯学或理学学⼠学位)080702电⼦科学与技术(注:可授⼯学或理学学⼠学位)080703通信⼯程080704微电⼦科学与⼯程(注:可授⼯学或理学学⼠学位)080705光电信息科学与⼯程(注:可授⼯学或理学学⼠学位)080706信息⼯程0808⾃动化类080801⾃动化0809计算机类080901计算机科学与技术(注:可授⼯学或理学学⼠学位)080902软件⼯程080903⽹络⼯程080904K信息安全(注:可授⼯学或理学或管理学学⼠学位)080905物联⽹⼯程080906数字媒体技术0810⼟⽊类081001⼟⽊⼯程081002建筑环境与能源应⽤⼯程081003给排⽔科学与⼯程081004建筑电⽓与智能化0811⽔利类081101⽔利⽔电⼯程081102⽔⽂与⽔资源⼯程081103港⼝航道与海岸⼯程0812测绘类081201测绘⼯程081202遥感科学与技术0813化⼯与制药类081301化学⼯程与⼯艺081302制药⼯程0814地质类081401地质⼯程081402勘查技术与⼯程081403资源勘查⼯程0815矿业类081501采矿⼯程081502⽯油⼯程081503矿物加⼯⼯程081504油⽓储运⼯程0816纺织类081601纺织⼯程081602服装设计与⼯程(注:可授⼯学或艺术学学⼠学位)0817轻⼯类081701轻化⼯程081702包装⼯程081703印刷⼯程0818交通运输类081801交通运输081802交通⼯程081803K航海技术081804K轮机⼯程081805K飞⾏技术0819海洋⼯程类081901船舶与海洋⼯程0820航空航天类082001航空航天⼯程082002飞⾏器设计与⼯程082003飞⾏器制造⼯程082004飞⾏器动⼒⼯程082005飞⾏器环境与⽣命保障⼯程0821兵器类082101武器系统与⼯程082102武器发射⼯程082103探测制导与控制技术082104弹药⼯程与爆炸技术082105特种能源技术与⼯程082106装甲车辆⼯程082107信息对抗技术0822核⼯程类082201核⼯程与核技术082202辐射防护与核安全082203⼯程物理082204核化⼯与核燃料⼯程0823农业⼯程类082301农业⼯程082302农业机械化及其⾃动化082303农业电⽓化082304农业建筑环境与能源⼯程082305农业⽔利⼯程0824林业⼯程类082401森林⼯程082402⽊材科学与⼯程082403林产化⼯0825环境科学与⼯程类082501环境科学与⼯程082502环境⼯程082503环境科学(注:可授⼯学或理学学⼠学位)082504环境⽣态⼯程0826⽣物医学⼯程类082601⽣物医学⼯程(注:可授⼯学或理学学⼠学位)0827⾷品科学与⼯程类082701⾷品科学与⼯程(注:可授⼯学或农学学⼠学位)082702⾷品质量与安全082703粮⾷⼯程082704乳品⼯程082705酿酒⼯程0828建筑类082801建筑学082802城乡规划082803风景园林(注:可授⼯学或艺术学学⼠学位)0829安全科学与⼯程类082901安全⼯程0830⽣物⼯程类083001⽣物⼯程0831公安技术类083101K刑事科学技术083102K消防⼯程09学科门类:农学0901植物⽣产类090101农学090102园艺090103植物保护090104植物科学与技术090105种⼦科学与⼯程090106设施农业科学与⼯程(注:可授农学或⼯学学⼠学位)0902⾃然保护与环境⽣态类090201农业资源与环境090202野⽣动物与⾃然保护区管理090203⽔⼟保持与荒漠化防治0903动物⽣产类090301动物科学0904动物医学类090401动物医学090402动物药学0905林学类090501林学090502园林090503森林保护0906⽔产类090601⽔产养殖学090602海洋渔业科学与技术0907草学类090701草业科学10学科门类:医学1001基础医学类100101K基础医学1002临床医学类100201K临床医学1003⼝腔医学类100301K⼝腔医学1004公共卫⽣与预防医学类100401K预防医学100402⾷品卫⽣与营养学(注:授予理学学⼠学位)1005中医学类100501K中医学100502K针灸推拿学100503K藏医学100504K蒙医学100505K维医学100506K壮医学100507K哈医学1006中西医结合类100601K中西医临床医学1007药学类100701药学(注:授予理学学⼠学位)100702药物制剂(注:授予理学学⼠学位)1008中药学类100801中药学(注:授予理学学⼠学位)100802中药资源与开发(注:授予理学学⼠学位)1009法医学类100901K法医学1010医学技术类101001医学检验技术(注:授予理学学⼠学位)101002医学实验技术(注:授予理学学⼠学位)101003医学影像技术(注:授予理学学⼠学位)101004眼视光学(注:授予理学学⼠学位)101005康复治疗学(注:授予理学学⼠学位)101006⼝腔医学技术(注:授予理学学⼠学位)101007卫⽣检验与检疫(注:授予理学学⼠学位)1011护理学类101101护理学(注:授予理学学⼠学位)12学科门类:管理学1201管理科学与⼯程类120101管理科学(注:可授管理学或理学学⼠学位)120102信息管理与信息系统(注:可授管理学或⼯学学⼠学位)120103⼯程管理(注:可授管理学或⼯学学⼠学位)120104房地产开发与管理120105⼯程造价(注:可授管理学或⼯学学⼠学位)1202⼯商管理类120201K⼯商管理120202市场营销120203K会计学120204财务管理120205国际商务120206⼈⼒资源管理120207审计学120208资产评估120209物业管理120210⽂化产业管理(注:可授管理学或艺术学学⼠学位)1203农业经济管理类120301农林经济管理120302农村区域发展(注:可授管理学或农学学⼠学位)1204公共管理类120401公共事业管理120402⾏政管理120403劳动与社会保障120404⼟地资源管理(注:可授管理学或⼯学学⼠学位)120405城市管理1205图书情报与档案管理类120501图书馆学120502档案学120503信息资源管理1206物流管理与⼯程类120601物流管理120602物流⼯程(注:可授管理学或⼯学学⼠学位)1207⼯业⼯程类120701⼯业⼯程(注:可授管理学或⼯学学⼠学位)1208电⼦商务类120801电⼦商务(注:可授管理学或经济学或⼯学学⼠学位)1209旅游管理类120901K旅游管理120902酒店管理120903会展经济与管理13学科门类:艺术学1301艺术学理论类130101艺术史论1302⾳乐与舞蹈学类130201⾳乐表演130202⾳乐学130203作曲与作曲技术理论130204舞蹈表演130205舞蹈学130206舞蹈编导1303戏剧与影视学类130301表演130302戏剧学130303电影学130304戏剧影视⽂学130305⼴播电视编导130306戏剧影视导演130307戏剧影视美术设计130308录⾳艺术130309播⾳与主持艺术130310动画1304美术学类130401美术学130402绘画130403雕塑130404摄影1305设计学类130501艺术设计学130502视觉传达设计130503环境设计130504产品设计130505服装与服饰设计130506公共艺术130507⼯艺美术130508数字媒体艺术如何查询学校代码和专业代码第⼀种⽅法是省级招⽣管理部门的发放的招⽣院校专业⽬录,也可到省级招⽣管理部门的⽹站上查询,这是最为权威的⽅法。
志愿填报院校代码是什么(2023)什么是志愿填报的院校代码院校代码是一个由数字组成的代码字符串,是为了方便考生填写自己的愿望而添加的。
院校代码由教育部统一安排,五位数。
为方便高考生填报申请,省教育考试院将对本地区(含省、直辖市、自治区)高校招生计划进行四位数重新安排。
由于每年高校办学形势的变化,对《高校办学规范》进行了调整。
院校代码又称大学代码、学校代码。
教育部有5个高校代码(全国通用),省级教育考试院有4个高校代码(高考填报通用),同一所大学在不同的省份有不同的代码)。
因为高校的情况每年都在变化,所以院校代码也在变化。
填报高考前,要认真阅读和了解当地政府发布的各类高校招生信息,熟悉招生政策法规;认真阅读当地当年招生特刊刊登的招生专业目录和考生填报志愿须知,了解办学性质、收费标准和批次,掌握填报志愿的其他要求;通过相关高校的网站和宣传资料,了解院校代码、高校的定位、专业设置、办学特色、师资队伍和培养方向。
志愿填报院校代码怎么填教育部为高校编排的院校代码有5位(此代码全国通用),各省教育考试院为高校编排代码有4位(此代码一般作填报高考志愿用,同一所高校在不同省份代码也不一样),由于高校办学情况每年都有变动,所以高校代码也有变化。
正确的院校代码,如——清华大学代码:1115北京大学:1105内蒙古大学:1680注:院校代码都为四位,在志愿填报时,只要输入正确会在填写栏后自动生成院校全名称,专业也有相关的代码,一定要填写正确,否则会影响到报考结果。
高考志愿填报的步骤一、登录网站网上填报志愿要在省招办指定的网上进行,登录指定网页,打开浏览器,输入网报网址。
指定网页一般会印制在准考证上面。
二、输入用户名密码用户名是考生准考证上的14位报名号数字,第一次登录网上报名系统的初始密码是身份证号码,输入用户名和密码后即可登录网上报名系统。
三、填写基本信息并修改初始密码考生应仔细阅读网上填报志愿的流程和注意事项,了解操作流程和相关要求以后再填写住址、电话等重要信息。
2023高考志愿填报专业代码大全(院校代码+专业代码) 一、全国各省院校代码汇总华北地区北京市高校10001北京大学10002中国人民大学10003清华大学10004北京交通大学10005北京工业大学10006北京航空航天大学10007北京理工大学10008北京科技大学10009北方工业大学10010北京化工大学10011北京工商大学10012北京服装学院10013北京邮电大学10015北京印刷学院10016北京建筑大学10017北京石油化工学院10018北京电子科技学院10019中国农业大学10020北京农学院10022北京林业大学10024北京协和医学院10025首都医科大学10026北京中医药大学10027北京师范大学10028首都师范大学10029首都体育学院10030北京外国语大学10031北京第二外国语学院10032北京语言大学10033中国传媒大学10034中央财经大学10036对外经济贸易大学10037北京物资学院10038首都经济贸易大学10040外交学院10041中国人民公安大学10042国际关系学院10043北京体育大学10045中央音乐学院10046中国音乐学院10047中央美术学院10048中央戏剧学院10049中国戏曲学院10050北京电影学院10051北京舞蹈学院10052中央民族大学10053中国政法大学10054华北电力大学(北京)11232北京信息科技大学11413中国矿业大学(北京)11414中国石油大学(北京)11415中国地质大学(北京)11417北京联合大学11418北京城市学院11625中国青年政治学院11626北京青年政治学院11831首钢工学院11921北京工商大学11954中华女子学院12453中国劳动关系学院14596中国社会科学院大学14430中国科学院大学天津市高校10055南开大学10056天津大学10057天津科技大学10058天津工业大学10059中国民航大学10060天津理工大学10061天津农学院10063天津中医药大学10065天津师范大学10066天津职业技术师范大学10068天津外国语大学10069天津商业大学10070天津财经大学10071天津体育学院10072天津音乐学院10073天津美术学院10792天津城建大学11032天津职业大学11904天津医科大学11908天津医学高等专科学校河北省高校10075河北大学10076河北工程大学10077河北地质大学10079华北电力大学保定校区10080河北工业大学10081华北理工大学10082河北科技大学10084河北建筑工程学院10085河北水利电力学院10092河北北方学院10093承德医学院10094河北师范大学10096保定学院10098河北民族师范学院10099唐山师范学院10100廊坊师范学院10101衡水学院10102石家庄学院10103邯郸学院10104邢台学院10105沧州师范学院10107石家庄铁道大学10216燕山大学10798河北科技师范学院11104华北科技学院11105中国人民警察大学11236河北体育学院11420河北金融学院11629北华航天工业学院11775防灾科技学院11777承德石油高等专科学校11821邢台职业技术学院11918河北经贸大学11919河北医科大学11920河北农业大学11960唐山学院11972中央司法警官学院12352河北软件职业技术学院12367河北石油职业技术学院12389河北建材职业技术学院12415沧州职业技术学院12418河北能源职业技术学院12784河北传媒学院12796石家庄城市职业学院12887河北旅游职业学院13070石家庄财经职业学院13071河北交通职业技术学院13072河北化工医药职业技术学院13393河北机电职业技术学院13394渤海石油职业学院13395廊坊职业技术学院13400石家庄理工职业学院13404河北大学工商学院13592燕山大学里仁学院13595河北农业大学现代科技学院13690河北司法警官职业学院13822河北女子职业技术学院13891中国地质大学长城学院13895燕京理工学院13899北京中医药大学东方学院14103冀中职业学院14158石家庄人民医学高等专科学校14185石家庄科技工程职业学院14202北京交通大学海滨学院14208河北劳动关系职业学院14213石家庄科技职业学院14255廊坊东方职业技术学院14259泊头职业学院14280廊坊燕京职业技术学院14281承德护理职业学院14335廊坊卫生职业学院19145东北大学秦皇岛分校山西省高校10108山西大学10109太原科技大学10110中北大学10112太原理工大学10113山西农业大学10114山西医科大学10117长治医学院10118山西师范大学10119太原师范学院10120山西大同大学10121晋中学院10122长治学院10123运城学院10124忻州师范学院10125山西财经大学10809山西中医药大学10812吕梁学院11242太原学院11630山西省财政税务专科学校13533山西大学商务学院内蒙古高校10126内蒙古大学10127内蒙古科技大学10128内蒙古工业大学10132内蒙古医科大学10135内蒙古师范大学10138赤峰学院10139内蒙古财经大学10819呼伦贝尔学院11427集宁师范学院11429内蒙古丰州职业学院11631河套学院11709呼和浩特民族学院10129内蒙古农业大学11947内蒙古民族大学东北三省辽宁省高校10140辽宁大学10141大连理工大学10142沈阳工业大学10143沈阳航空航天大学10144沈阳理工大学10145东北大学10146辽宁科技大学10147辽宁工程技术大学10148辽宁石油化工大学10149沈阳化工大学10150大连交通大学10151大连海事大学10152大连工业大学10153沈阳建筑大学10154辽宁工业大学10157沈阳农业大学10158大连海洋大学10159中国医科大学10160锦州医科大学10161大连医科大学10162辽宁中医药大学10163沈阳药科大学10164沈阳医学院10165辽宁师范大学10166沈阳师范大学10167渤海大学10169鞍山师范学院10171朝阳师范高等专科学校10172大连外国语大学10173东北财经大学10175中国刑事警察学院10176沈阳体育学院10177沈阳音乐学院10178鲁迅美术学院10179抚顺师范高等专科学校10180锦州师范高等专科学校10182铁岭师范高等专科学校11035沈阳大学11036鞍山市高等职业专科学校11037抚顺职业技术学院11248辽宁农业职业技术学院11250阜新高等专科学校11257大连民族大学11258大连大学11430本溪冶金高等专科学校11432辽宁警官高等专科学校11500辽宁交通高等专科学校11632沈阳电力高等专科学校11735辽宁税务高等专科学校11779辽宁财政高等专科学校13201沈阳工学院吉林省高校10183吉林大学10184延边大学10186长春理工大学10188东北电力大学10190长春工业大学10191吉林建筑大学10192吉林化工学院10193吉林农业大学10199长春中医药大学10200东北师范大学10202通化师范学院10203吉林师范大学10204吉林工程技术师范学院10205长春师范学院10206白城师范学院10207吉林财经大学10208吉林体育学院10209吉林艺术学院10964吉林外国语大学11044四平职业大学11261吉林财税高等专科学校11262吉林商业高等专科学校11263吉林粮食高等专科学校11436长春汽车工业高等专科学校11439吉林特产高等专科学校11440长春金融高等专科学校11441吉林公安高等专科学校11726长春大学11823长春医学高等专科学校11923北华大学11927长春工程学院14291[5]吉林科技职业技术学院黑龙江省高校10212黑龙江大学10213哈尔滨工业大学10217哈尔滨工程大学10214哈尔滨理工大学10220东北石油大学10221齐齐哈尔大学10223黑龙江八一农垦大学10224东北农业大学10225东北林业大学10226哈尔滨医科大学10228黑龙江中医药大学10229牡丹江医学院10231哈尔滨师范大学10233牡丹江师范学院10235大庆师范学院10236绥化学院10238齐齐哈尔高等师范专科学校10240哈尔滨商业大学10242哈尔滨体育学院10245哈尔滨金融学院11046牡丹江大学11230齐齐哈尔医学院11444佳木斯大学11445黑龙江工业学院10219黑龙江科技大学11917黑龙江东方学院11929哈尔滨学院11930黑龙江工程学院华东地区上海市高校10246复旦大学10247同济大学10248上海交通大学10251华东理工大学10252上海理工大学10254上海海事大学10255东华大学10256上海电力大学10262上海健康医学院10264上海海洋大学10268上海中医药大学10269华东师范大学10270上海师范大学10271上海外国语大学10272上海财经大学10273上海对外经济贸易大学10274上海海关学院10275上海旅游高等专科学校10276华东政法大学10277上海体育学院10278上海音乐学院10279上海戏剧学院10280上海大学10283上海公安学院10856上海工程技术大学11047上海立信会计金融学院11458上海电机学院11733上海出版印刷高等专科学校11833上海杉达学院11940上海应用技术大学12023上海第二工业大学江苏省高校10284南京大学10285苏州大学10286东南大学10287南京航空航天大学10288南京理工大学10289江苏科技大学10290中国矿业大学10291南京工业大学10292常州大学10293南京邮电大学10294河海大学10295江南大学10298南京林业大学10299江苏大学10300南京信息工程大学10304南通大学10305盐城工学院10307南京农业大学10312南京医科大学10313徐州医科大学10315南京中医药大学10316中国药科大学10319南京师范大学10320江苏师范大学10323淮阴师范学院10324盐城师范学院10327南京财经大学10329江苏警官学院10330南京体育学院10331南京艺术学院10333常熟理工学院11049淮阴工学院11051镇江市高等专科学校11052南通职业大学11054苏州职业大学11055常州工学院11117扬州大学11287南京审计大学11288沙洲职业工学院11462扬州职业大学11463江苏理工学院11641江苏海洋大学11931南京晓庄学院11939连云港师范高等专科学校11950南京工程学院11951苏州科技大学12023江苏经贸职业技术学院13655南京航空航天大学金城学院13687南京传媒学院浙江省高校10335浙江大学10336杭州电子科技大学10337浙江工业大学10338浙江理工大学10340浙江海洋大学10341浙江农林大学10343温州医科大学10344浙江中医药大学10345浙江师范大学10346杭州师范大学10347湖州师范学院10349绍兴文理学院10350台州学院10351温州大学10352丽水学院10353浙江工商大学10355中国美术学院10356中国计量大学10829公安海警学院10876浙江万里学院11057浙江科技学院11292温州大学11481浙江水利水电学院11482浙江财经大学11483浙江警察学院11646宁波大学11647浙江传媒学院11842浙江树人学院11926嘉兴学院安徽省高校10233阜阳师范大学10357安徽大学10358中国科学技术大学10359合肥工业大学10360安徽工业大学10361安徽理工大学10363安徽工程大学10364安徽农业大学10366安徽医科大学10367蚌埠医学院10368皖南医学院10369安徽中医药大学10370安徽师范大学10372安庆师范大学10373淮北师范大学10375黄山学院10377滁州学院10378安徽财经大学10379宿州学院10380巢湖学院10381淮南师范学院10383铜陵学院10878安徽建筑大学10879安徽科技学院11059合肥学院11305蚌埠学院11306池州学院11308淮南联合大学11932皖西学院11961安徽医学高等专科学校11963亳州师范高等专科学校福建省高校10384厦门大学10385华侨大学10386福州大学10388福建工程学院10390集美大学10392福建医科大学10393福建中医药大学10394福建师范大学10395闽江学院10397武夷学院10398宁德师范学院10399泉州师范学院10402闽南师范大学11062厦门理工学院11311三明学院11312龙岩学院11313福建商业高等专科学校11315闽西职业技术学院11317黎明职业大学11495福建警察学院11498莆田学院11499福建华南女子职业学院11784仰恩大学10389福建农林大学山东省高校10422山东大学10423中国海洋大学10424山东科技大学10425中国石油大学(华东)10426青岛科技大学10427济南大学10429青岛理工大学10430山东建筑大学10431齐鲁工业大学10433山东理工大学10434山东农业大学10435青岛农业大学10438潍坊医学院10439山东第一医科大学10440滨州医学院10441山东中医药大学10442山东医学高等专科学校10443济宁医学院10444菏泽医学专科学校10445山东师范大学10446曲阜师范大学10447聊城大学10448德州学院10449滨州学院10451鲁东大学10452临沂大学10453泰山学院10454济宁学院10455菏泽学院10456山东财经大学10457山东体育学院10458山东艺术学院10904枣庄学院10908山东工艺美术学院11065青岛大学11066烟台大学11067潍坊学院11323山东水利专科学校11324山东警察学院11510山东交通学院11688山东工商学院11827山东电力高等专科学校14100山东政法学院华中地区江西省高校10404华东交通大学10405东华理工大学10406南昌航空大学10408景德镇陶瓷大学10410江西农业大学10412江西中医药大学10413赣南医学院10414江西师范大学10416上饶师范学院10418赣南师范大学10420抚州师范专科学院10421江西财经大学10890井冈山医学高等专科学校10894景德镇高等专科学校10895萍乡高等专科学校11318江西科技师范学院11319南昌水利水电高等专科学校11322南昌高等专科学校11504江西公安专科学校11505九江职业大学11508新余高等专科学校11902南昌大学11938宜春学院11955九江学院12941江西财经职业学院13873赣西科技职业学院11319南昌工程学院河南省高校10078华北水利水电大学10459郑州大学10460河南理工大学10462郑州轻工业大学10463河南工业大学10464河南科技大学10465中原工学院10466河南农业大学10467河南科技学院10469河南牧业经济学院10471河南中医药大学10472新乡医学院10475河南大学10476河南师范大学10477信阳师范学院10478周口师范学院10479安阳师范学院10480许昌学院10481南阳师范学院10482洛阳师范学院10483商丘师范学院10484河南财经政法大学10485郑州航空工业管理学院10916新乡师范高等专科学校10918驻马店师范高等专科学校10919平顶山学院11068郑州工程技术学院11069开封大学11070洛阳理工学院11071新乡学院11326信阳农业高等专科学校11327郑州工业高等专科学校11329河南机电高等专科学校11330安阳工学院11515洛阳工业高等专科学校11517河南纺织高等专科学校11522焦作大学11652河南财政金融学院11653南阳理工学院11765河南城建学院11788河南警官学院11828郑州电力高等专科学校11834黄河科技学院13501河南大学民生学院10480许昌学院13504安阳学院13503信阳学院[3]湖北省高校10486武汉大学10487华中科技大学10488武汉科技大学10489长江大学10490武汉工程大学10491中国地质大学(武汉)10495武汉纺织大学10496武汉轻工大学10497武汉理工大学10500湖北工业大学10504华中农业大学10507湖北中医药大学10511华中师范大学10512湖北大学10513湖北师范大学10514黄冈师范学院10517湖北民族大学10518汉江师范学院10519湖北文理学院10520中南财经政法大学10522武汉体育学院10523湖北美术学院10524中南民族大学10525湖北汽车工业学院10528湖北工程学院10834武汉职业技术学院10920湖北理工学院10927湖北科技学院10929湖北医药学院10955黄冈职业技术学院10956长江职业学院11072江汉大学11074荆州理工职业学院11075三峡大学11332湖北警官学院11334湖北工业职业技术学院11335鄂州职业大学11336荆楚理工学院11524武汉音乐学院11600湖北经济学院11654武汉商学院11796武汉城市职业学院11798武汉东湖学院11800汉口学院12023湖北职业技术学院12023武汉船舶职业技术学院12309武昌首义学院12310武昌理工学院12347恩施职业技术学院12354襄阳职业技术学院12362武汉生物工程学院12369武汉工贸职业学院12737荆州职业技术学院12738武汉工程职业技术学院12740仙桃职业学院12744湖北轻工职业技术学院12752湖北交通职业技术学院12951湖北中医药高等专科学校12952武汉航海职业技术学院12977武汉铁路职业技术学院12978武汉软件工程职业学院12979湖北三峡职业技术学院12980随州职业技术学院12981武汉电力职业技术学院12982湖北水利水电职业技术学院12983湖北城市建设职业技术学院12984武汉警官职业学院12985湖北生物科技职业学院12986湖北开放职业学院12987武汉科技职业学院12988武汉外语外事职业学院12989武汉信息传播职业技术学院12990武昌职业学院12991武汉商贸职业学院13188武汉晴川学院13234湖北大学知行学院13235武汉科技大学城市学院13236三峡大学科技学院13237江汉大学文理学院13238湖北工业大学工程技术学院13239武汉工程大学邮电与信息工程学院13240武汉纺织大学外经贸学院13241武昌工学院13242武汉工商学院13245长江大学工程技术学院13246长江大学文理学院13247湖北商贸学院13248湖北汽车工业学院科技学院13249湖北医药学院药护学院13250湖北民族大学科技学院13251湖北经济学院法商学院13253武汉体育学院体育科技学院13256湖北师范大学文理学院13257湖北文理学院理工学院13258湖北工程学院新技术学院13262文华学院13263湖北艺术职业学院13264武汉交通职业学院13265咸宁职业技术学院13266长江工程职业技术学院13634武汉学院13664武汉工程科技学院13666武汉华夏理工学院13686武汉传媒学院13793江汉艺术职业学院13795武汉工业职业技术学院13796武汉民政职业学院13797鄂东职业技术学院13798湖北财税职业学院13799黄冈科技职业学院13800湖北国土资源职业学院13801湖北生态工程职业技术学院14035武汉设计工程学院14061三峡电力职业学院14099湖北第二师范学院14119湖北科技职业学院14120湖北青年职业学院14197湖北工程职业学院14258三峡旅游职业技术学院14355天门职业学院14356湖北体育职业学院14357襄阳汽车职业技术学院14467湖北幼儿师范高等专科学校湖南省高校10530湘潭大学10531吉首大学10532湖南大学10533中南大学10534湖南科技大学10536长沙理工大学10537湖南农业大学10538中南林业科技大学10541湖南中医药大学10542湖南师范大学10543湖南理工学院10545湘南学院10546衡阳师范学院10548怀化学院10549湖南文理学院10551湖南科技学院10553湖南人文科技学院10554湖南工商大学10555南华大学11077长沙学院11528湖南工学院11532湖南财政经济学院11534湖南警察学院11535湖南工业大学11538湖南女子学院11601湖南税务高等专科学校10547邵阳学院11966湖南城市学院13037怀化职业技术学院12303湖南涉外经济学院华南地区广东省高校10558中山大学10559暨南大学10560汕头大学10561华南理工大学10564华南农业大学10566广东海洋大学10570广州医科大学10571广东医科大学10572广州中医药大学10573广东药科大学10574华南师范大学10576韶关学院10577惠州学院10578韩山师范学院10579湛江师范学院10580肇庆学院10582嘉应学院10585广州体育学院10586广州美术学院10587星海音乐学院10588广东技术师范大学10590深圳大学10592广东财经大学11078广州大学11106广州航海学院11110广东警官学院11113深圳职业技术学院11114广东南华工商职业学院11121私立华联学院11347仲恺农业工程学院11349五邑大学11540广东金融学院11656广东石油化工学院11819东莞理工学院11846广东外语外贸大学11845广东工业大学12121南方医科大学12957深圳信息职业技术学院13177北京师范大学珠海分校13675北京理工大学珠海学院13684珠海科技学院11545电子科技大学中山学院13712茂名职业技术学院12772河源职业技术学院广西高校10593广西大学10594广西科技大学10595桂林电子科技大学10596桂林理工大学10598广西医科大学10599右江民族医学院10600广西中医药大学10601桂林医学院10602广西师范大学10603南宁师范大学10604广西民族师范学院10605河池学院10606玉林师范学院10607广西艺术学院10608广西民族大学10609右江民族师范高等专科学校11350广西体育高等专科学校11351广西商业高等专科学校11546柳州师范高等专科学校11548广西财政高等专科学校11549南宁学院11607北部湾大学11825桂林航天工业学院11837桂林旅游学院11838贺州学院13640广西民族大学相思湖学院13890北京航空航天大学北海学院11355南宁职业技术学院12104柳州职业技术学院11773广西职业技术学院海南省高校10589海南大学11100海南热带海洋学院11658海南师范大学11810海南医学院13892三亚学院西南地区重庆市高校10611重庆大学10617重庆邮电大学10618重庆交通大学10631重庆医科大学10635西南大学10637重庆师范大学10642重庆文理学院10643重庆三峡学院10647长江师范学院10650四川外国语大学10652西南政法大学10655四川美术学院11551重庆科技学院11660重庆理工大学11799重庆工商大学11916重庆电力高等专科学校12605重庆三峡职业学院10610四川大学10613西南交通大学10614电子科技大学10615西南石油大学10616成都理工大学10619西南科技大学10621成都信息工程大学10622四川轻化工大学10623四川工业学院10624中国民用航空飞行学院10626四川农业大学10628西昌学院10632西南医科大学10633成都中医药大学10634川北医学院10636四川师范大学10638西华师范大学10639绵阳师范学院10640内江师范学院10641宜宾学院10644四川文理学院10646阿坝师范学院10623西华大学10649乐山师范学院10651西南财经大学10653成都体育学院10654四川音乐学院10656西南民族大学11079成都大学11116成都工业学院11360攀枝花学院11552四川旅游学院11553成都纺织高等专科学校11661四川民族学院11841民办四川天一学院11937四川警察学院12966宜宾职业技术学院贵州省高校10657贵州大学10660贵阳医科大学10661遵义医科大学10662贵阳中医药大学10663贵州师范大学10664遵义师范学院10665铜仁师范高等专科学校10666黔西南民族师范高等专科学校10667安顺师范高等专科学校10668 毕节师范高等专科学校10669黔东南民族师范高等专科学校10670黔南民族师范学院10671贵州财经大学10672贵州民族大学10976贵阳学院10977六盘水师范学院14440贵州理工学院云南省高校10673云南大学10674昆明理工大学10676云南农业大学10677西南林业大学10678昆明医科大学10679大理大学10680云南中医药大学10681云南师范大学10682昆明学院10683昭通学院10684曲靖师范学院10685普洱学院10686保山学院10687 红河学院10689云南财经大学10690云南艺术学院10691云南民族大学11390玉溪师范学院11391楚雄师范学院11392云南警官学院11393昆明学院11556文山学院11557昆明冶金高等专科学校西藏高校10694西藏大学10695西藏民族大学10696西藏藏医药大学西北地区10697西北大学10698西安交通大学10699西北工业大学10700西安理工大学10701西安电子科技大学10702西安工业大学10703西安建筑科技大学10704西安科技大学10705西安石油大学10708陕西科技大学10709西安工程大学10710长安大学10716陕西中医药大学10718陕西师范大学10719延安大学10722咸阳师范学院10723渭南师范学院10724西安外国语大学10726西北政法大学10727西安体育学院10728西安音乐学院10729西安美术学院11080西安文理学院11395榆林学院11396商洛学院11397安康学院11400西安培华学院11664西安邮电大学11665武警工程大学11736西安航空学院11826西安电力高等专科学校11840西安医学院11905宝鸡文理学院11924西北农林科技大学11952陕西理工大学甘肃省高校10730兰州大学10731兰州理工大学10732兰州交通大学10733甘肃农业大学10735甘肃中医药大学10736西北师范大学10737兰州城市学院10738陇东学院10739天水师范学院10740河西学院10741兰州财经大学10742西北民族大学11406甘肃政法大学11561甘肃民族师范学院11562甘肃文理学院11807兰州工业学院青海省高校10743青海大学10746青海师范大学10748青海民族大学宁夏区高校10749宁夏大学10752宁夏医科大学10753宁夏师范学院11407北方民族大学新疆区高校10755新疆大学10757塔里木大学10758新疆农业大学10759石河子大学10762新疆师范大学10763喀什师范大学10764伊犁师范大学10765和田师范专科学校10766新疆财经大学10768新疆艺术学院10994新疆工程学院10995新疆警察学院10997昌吉学院11565乌鲁木齐职业大学11818新疆维吾尔医学专科学校11925新疆医科大学二、大学专业代码大全基本专业352种专业代码专业名称1学科门类:哲学101哲学类10101哲学10102逻辑学010103K宗教学2学科门类:经济学201经济学类20231经济学20232经济统计学202财政学类020231K财政学20232税收学203金融学类020231K金融学20232金融工程20233保险学20234投资学204经济与贸易类20231国际经济与贸易20232贸易经济3学科门类:法学301法学类030101K法学302政治学类30201政治学与行政学30202国际政治30203外交学303社会学类30301社会学30302社会工作304民族学类30401民族学305马克思主义理论类30501科学30502中国共产党历史30503思想政治教育306公安学类030601K治安学030602K侦查学030603K边防管理4学科门类:教育学401教育学类40101教育学40102科学教育40103人文教育40104教育技术学(注:可授教育学或理学或工学学士学位)40105艺术教育(注:可授教育学或艺术学学士学位)40106学前教育40107小学教育40108特殊教育402体育学类40201体育教育040202K运动训练40203社会体育指导与管理040204K武术与民族传统体育40205运动人体科学5学科门类:文学501中国语言文学类50101汉语言文学50102汉语言50103汉语国际教育50104中国少数民族语言文学50105古典文献学502外国语言文学类50201英语50202俄语50203德语50204法语50205西班牙语50206阿拉伯语50207日语50208波斯语50209朝鲜语50210菲律宾语50211梵语巴利语50212印度尼西亚语50213印地语50214柬埔寨语50215老挝语50216缅甸语50217马来语50218蒙古语50219僧伽罗语50220泰语50221乌尔都语50222希伯来语50223越南语50224豪萨语50225斯瓦希里语50226阿尔巴尼亚语50227保加利亚语50228波兰语50229捷克语50230斯洛伐克语50231罗马尼亚语50232葡萄牙语50233瑞典语50234塞尔维亚语50235土耳其语50236希腊语50237匈牙利语50238意大利语50239泰米尔语50240普什图语50241世界语50242孟加拉语50243尼泊尔语50244克罗地亚语50245荷兰语50246芬兰语50247乌克兰语50248挪威语50249丹麦语50250冰岛语50251爱尔兰语50252拉脱维亚语50253立陶宛语50254斯洛文。
2020艺术类器乐提前批院校名单及代码艺术本科提前批学校的代码有:中央音乐学院(10045)、中国戏曲学院(10049)、中央戏剧学院(10048)、中央民族大学(10052)、中央美术学院(10047)、北京舞蹈学院(10051)、中国音乐学院(10046)、北京电影学院(10050)等。
一、中央音乐学院1、是中国十一所独立设置的专业音乐学院之一,国家首批“世界一流学科建设高校”代表国内西方音乐教育水平,培养西方音乐专门人才的高等音乐学府,学校1950年于天津举行成立典礼,于1958年自天津迁至北京现址。
2、学院设有钢琴系、音乐学系、指挥系、作曲系、管弦系、声乐歌剧系、音乐教育系、音乐科技部、音乐教育学院、乐队学院继续教育学院等共18个教学单位,开设三大专业51个招考方向。
二、中国戏曲学院1、是教育部第一批中华优秀传统文化传承基地、北京戏曲文化传承与发展研究基地、北京市哲社管理二级单位,中华人民共和国文化和旅游部与北京市人民政府共建高校,成立于1950年1月28日,原隶属文化部,最初称文化部戏曲改进局戏曲实验学校。
2、学院设有8个系和思想政治理论课教学部、体育部、继续教育部、中国戏曲学院附属中等戏曲学校,开办14个本科专业和27个专业方向。
三、中央戏剧学院1、是由中华人民共和国教育部直属,国家首批“世界一流学科建设高校”国家“特色重点学科项目”建设高校,入选国家建设高水平大学公派研究生项目,拥有联合国教科文组织戏剧教育席位,是新中国第一所戏剧教育高等学校。
2、学院下辖表演系、导演系、舞台美术系、戏剧文学系、音乐剧系、京剧系、歌剧系、舞剧系、偶剧系、戏剧教育系、戏剧管理系、电影电视系、戏剧学系等13个教学系,开办8个本科专业。
四、中央民族大学1、是国家民委、北京市和教育部共建的综合性全国重点大学,国家“双一流”世界一流大学建设高校(A类)、国家“985工程”和“211工程”重点建设高校,坐落于北京市海淀区,南邻国家图书馆,北依中关村科技园。
全国院校代码表四位数
全国院校的代码是由教育部确定、发布的,通常是一个四位数。
一般而言,全国各个省市的高等学校代码规则如下:
- 按照省级行政区划进行编排,每个省都有一个固定的两位数
代码,作为高等学校的前两位数字。
- 在省级代码的基础上,按照学校所在市的行政区划进行编排,通常是两位数,作为高等学校的后两位数字。
举个例子,如果一个高校位于湖南省长沙市,那么该高校的代码可能是43开头,再加上长沙市的代码,比如01,那么该高
校的代码可能是4301。
需注意的是,不同省份、不同市级行政区划的编号规则可能会有一些差异。
此外,教育部也会根据需要进行一些调整和变更,因此具体的代码还需以教育部发布的最新版本为准。
xxdm xxmc provcode provname 10378安徽财经大学34安徽13611安徽财经大学商学院34安徽13845安徽财贸职业学院34安徽13338安徽城市管理职业学院34安徽10357安徽大学34安徽13612安徽大学江淮学院34安徽13336安徽电气工程职业技术学院34安徽12814安徽电子信息职业技术学院34安徽10363安徽工程科技学院34安徽13613安徽工程科技学院机电学院34安徽12811安徽工贸职业技术学院34安徽13340安徽工商职业学院34安徽10360安徽工业大学34安徽13614安徽工业大学工商学院34安徽12334安徽工业经济职业技术学院34安徽13852安徽工业职业技术学院34安徽13062安徽广播影视职业技术学院34安徽13344安徽国防科技职业学院34安徽13846安徽国际商务职业学院34安徽13339安徽机电职业技术学院34安徽10879安徽技术师范学院34安徽10878安徽建筑工业学院34安徽13615安徽建筑工业学院城市建设学院34安徽12816安徽交通职业技术学院34安徽12219安徽警官职业学院34安徽10361安徽理工大学34安徽13848安徽林业职业技术学院34安徽10364安徽农业大学34安徽13616安徽农业大学经济技术学院34安徽13849安徽审计职业学院34安徽10370安徽师范大学34安徽13617安徽师范大学皖江学院34安徽12073安徽水利水电职业技术学院34安徽12817安徽体育运动职业技术学院34安徽13850安徽新闻出版职业技术学院34安徽13337安徽冶金科技职业学院34安徽10366安徽医科大学34安徽13618安徽医科大学临床医学院34安徽12925安徽医学高等专科学校34安徽13346安徽艺术职业学院34安徽13851安徽邮电职业技术学院34安徽10869安徽职业技术学院34安徽13341安徽中澳科技职业学院34安徽10369安徽中医学院34安徽12924安徽中医药高等专科学校34安徽10372安庆师范学院34安徽13345安庆职业技术学院34安徽11305蚌埠高等专科学校34安徽10367蚌埠医学院34安徽12926亳州师范高等专科学校34安徽13343亳州职业技术学院34安徽10380巢湖学院34安徽13058巢湖职业技术学院34安徽11306池州师范专科学校34安徽13060池州职业技术学院34安徽10377滁州学院34安徽13059滁州职业技术学院34安徽13342阜阳科技职业学院34安徽10371阜阳师范学院34安徽13619阜阳师范学院信息工程学院34安徽12074阜阳职业技术学院34安徽10359合肥工业大学34安徽12410合肥通用职业技术学院34安徽11059合肥学院34安徽10373淮北煤炭师范学院34安徽13620淮北煤炭师范学院信息学院34安徽10963淮北职业技术学院34安徽11308淮南联合大学34安徽10381淮南师范学院34安徽12220淮南职业技术学院34安徽10375黄山学院34安徽12813六安职业技术学院34安徽13064民办安徽明星科技职业学院34安徽13065民办安徽外国语职业技术学院34安徽12810民办安徽文达信息技术职业学院34安徽12216民办安徽新华职业学院34安徽12815民办合肥经济技术职业学院34安徽10959民办三联职业技术学院34安徽12218民办万博科技职业学院34安徽10379宿州学院34安徽12812宿州职业技术学院34安徽10383铜陵学院34安徽12217铜陵职业技术学院34安徽10368皖南医学院34安徽10376皖西学院34安徽10374芜湖师范专科学校34安徽11061芜湖职业技术学院34安徽13061宣城职业技术学院34安徽10358中国科学技术大学34安徽12072安徽商贸职业技术学院34安徽省13760马鞍山师范高等专科学校34安徽省10009北方工业大学11北京12564北京北大方正软件职业技术学院11北京12561北京财贸职业学院11北京11418北京城市学院11北京10001北京大学11北京10031北京第二外国语学院11北京10050北京电影学院11北京10018北京电子科技学院11北京10858北京电子科技职业学院11北京10012北京服装学院11北京10011北京工商大学11北京13630北京工商大学嘉华学院11北京10005北京工业大学11北京10853北京工业职业技术学院11北京10006北京航空航天大学11北京10010北京化工大学11北京12568北京汇佳职业学院11北京11232北京机械工业学院11北京12802北京吉利大学11北京10016北京建筑工程学院11北京10004北京交通大学11北京11090北京京北职业技术学院11北京12566北京经济技术职业学院11北京12565北京经贸职业学院11北京10008北京科技大学11北京12733北京科技经营管理学院11北京13703北京科技职业学院11北京10007北京理工大学11北京11417北京联合大学11北京10022北京林业大学11北京10020北京农学院11北京12448北京农业职业学院11北京13728北京培黎职业学院11北京11626北京青年政治学院11北京10027北京师范大学11北京10017北京石油化工学院11北京10043北京体育大学11北京10030北京外国语大学11北京10051北京舞蹈学院11北京10037北京物资学院11北京13864北京锡华国际经贸职业学院11北京12567北京戏曲艺术职业学院11北京12569北京现代职业技术学院11北京10772北京信息工程学院11北京10857北京信息职业技术学院11北京12563北京艺术设计职业学院11北京10015北京印刷学院11北京10013北京邮电大学11北京10032北京语言大学11北京12451北京政法职业学院11北京10026北京中医药大学11北京10036对外经济贸易大学11北京10042国际关系学院11北京10003清华大学11北京11414石油大学11北京10038首都经济贸易大学11北京10028首都师范大学11北京13629首都师范大学科德学院11北京10029首都体育学院11北京10025首都医科大学11北京11831首钢工学院11北京10040外交学院11北京10033中国传媒大学11北京12453中国劳动关系学院11北京10019中国农业大学11北京11625中国青年政治学院11北京10002中国人民大学11北京10041中国人民公安大学11北京10049中国戏曲学院11北京10023中国协和医科大学11北京10046中国音乐学院11北京10053中国政法大学11北京11149中华女子学院11北京10034中央财经大学11北京10047中央美术学院11北京10052中央民族大学11北京10048中央戏剧学院11北京10045中央音乐学院11北京13689燕京华侨职业学院11北京市12628福建电力职业技术学院35福建10388福建工程学院35福建11495福建公安高等专科学校35福建11499福建华南女子职业学院35福建10866福建交通职业技术学院35福建13733福建警官职业学院35福建12625福建林业职业技术学院35福建10389福建农林大学35福建12993福建农林大学东方学院35福建12630福建农业职业技术学院35福建11313福建商业高等专科学校35福建10394福建师范大学35福建12992福建师范大学闽南科技学院35福建13472福建师范大学协和学院35福建12627福建水利电力职业技术学院35福建12626福建信息职业技术学院35福建10392福建医科大学35福建10393福建中医学院35福建10386福州大学35福建13468福州大学阳光学院35福建12708福州英华职业学院35福建11502福州职业技术学院35福建10385华侨大学35福建13115华侨大学福建音乐学院35福建10390集美大学35福建13471集美大学诚毅学院35福建11317黎明职业大学35福建11312龙岩学院35福建11315闵西职业技术学院35福建10395闽江学院35福建10397南平师范高等专科学校35福建10398宁德师范高等专科学校35福建11498莆田学院35福建12710泉州光电信息职业学院35福建12927泉州华光摄影艺术职业学院35福建10399泉州师范学院35福建12711泉州育青职业技术学院35福建12928泉州中营职业学院35福建11311三明学院35福建10384厦门大学35福建13469厦门大学嘉庚学院35福建12629厦门海洋职业技术学院35福建12709厦门华夏职业学院35福建11062厦门理工学院35福建11784仰恩大学35福建10402漳州师范学院35福建11314漳州职业技术学院35福建13771福建对外经济贸易职业技术学院35福建省13763福建金融职业技术学院35福建省13773福州海峡职业技术学院35福建省13769福州科技职业技术学院35福建省13765福州黎明职业技术学院35福建省13762福州外语外贸职业技术学院35福建省13772湄洲湾职业技术学院35福建省13764闵北职业技术学院35福建省13770泉州经贸职业技术学院35福建省13766泉州信息职业技术学院35福建省12634泉州医学高等专科学校35福建省13768厦门华天涉外职业技术学院35福建省13767厦门演艺职业学院35福建省11808定西师范高等专科学校62甘肃12836甘肃工业职业技术学院62甘肃12511甘肃建筑职业技术学院62甘肃13519甘肃交通职业技术学院62甘肃12834甘肃警察职业学院62甘肃11562甘肃联合大学62甘肃12835甘肃林业职业技术学院62甘肃10733甘肃农业大学62甘肃11406甘肃政法学院62甘肃10735甘肃中医学院62甘肃11561合作民族师范高等专科学校62甘肃10740河西学院62甘肃12539酒泉职业技术学院62甘肃10730兰州大学62甘肃11807兰州工业高等专科学校62甘肃10732兰州交通大学62甘肃13514兰州交通大学博文学院62甘肃10731兰州理工大学62甘肃13515兰州理工大学技术工程学院62甘肃10741兰州商学院62甘肃13512兰州商学院长青学院62甘肃13511兰州商学院陇桥学院62甘肃10737兰州师范高等专科学校62甘肃10838兰州石化职业技术学院62甘肃12832兰州外语职业学院62甘肃12833兰州职业技术学院62甘肃10738陇东学院62甘肃11806陇南师范高等专科学校62甘肃11805平凉医学高等专科学校62甘肃10739天水师范学院62甘肃13518武威职业学院62甘肃10742西北民族大学62甘肃10736西北师范大学62甘肃13510西北师范大学知行学院62甘肃11809张掖医学高等专科学校62甘肃13675北京理工大学珠海学院44广东13177北京师范大学珠海分校44广东10965潮汕职业技术学院44广东11545电子科技大学中山学院44广东11819东莞理工学院44广东13844东莞理工学院城市学院44广东13719东莞南博职业技术学院44广东12046番禺职业技术学院44广东11847佛山科学技术学院44广东12327佛山职业技术学院44广东10822广东白云职业技术学院44广东12005广东财经职业学院44广东12736广东纺织职业技术学院44广东12959广东工贸职业技术学院44广东11845广东工业大学44广东13656广东工业大学华立学院44广东12573广东化工制药职业技术学院44广东12743广东机电职业技术学院44广东10588广东技术师范学院44广东12955广东建华职业学院44广东12741广东建设职业技术学院44广东10861广东交通职业技术学院44广东11540广东金融学院44广东11110广东警官学院44广东12572广东科学技术职业学院44广东12749广东岭南职业技术学院44广东12322广东农工商职业技术学院44广东12742广东女子职业技术学院44广东10833广东轻工职业技术学院44广东10592广东商学院44广东12962广东省外语艺术职业学院44广东10862广东水利电力职业技术学院44广东12960广东司法警官职业学院44广东12060广东松山职业技术学院44广东12578广东体育职业技术学院44广东11846广东外语外贸大学44广东13707广东文艺职业学院44广东12325广东新安职业技术学院44广东12577广东行政职业学院44广东12961广东亚视演艺职业学院44广东10573广东药学院44广东10571广东医学院44广东12953广东邮电职业技术学院44广东13657广州大学松田学院44广东13709广州工程技术职业学院44广东13714广州工商职业技术学院44广东11106广州航海高等专科学校44广东12575广州康大职业技术学院44广东13717广州科技职业技术学院44广东10586广州美术学院44广东12040广州民航职业技术学院44广东13716广州南洋理工职业学院44广东13715广州涉外经济职业技术学院44广东10585广州体育学院44广东13708广州体育职业技术学院44广东10570广州医学院44广东10572广州中医药大学44广东10578韩山师范学院44广东12772河源职业技术学院44广东10561华南理工大学44广东10564华南农业大学44广东10574华南师范大学44广东13667华南师范大学增城学院44广东13718惠州经济职业技术学院44广东10577惠州学院44广东13684吉林大学珠海学院44广东10559暨南大学44广东10582嘉应学院44广东13711江门职业技术学院44广东12956揭阳职业技术学院44广东12770罗定职业技术学院44广东11656茂名学院44广东13712茂名职业技术学院44广东11114民办南华工商学院44广东12059民办培正商学院44广东12121南方医科大学44广东12574南海东软信息技术职业学院44广东12958清远职业技术学院44广东10560汕头大学44广东12954汕头职业技术学院44广东12765汕尾职业技术学院44广东10576韶关学院44广东10590深圳大学44广东12957深圳信息职业技术学院44广东11113深圳职业技术学院44广东10831顺德职业技术学院44广东11121私立华联学院44广东11349五邑大学44广东10587星海音乐学院44广东12771阳江职业技术学院44广东10566湛江海洋大学44广东10579湛江师范学院44广东13721肇庆工商职业技术学院44广东13720肇庆科技职业技术学院44广东10580肇庆学院44广东10558中山大学44广东13710中山火炬职业技术学院44广东11347仲恺农业技术学院44广东13713珠海城市职业技术学院44广东12576珠海艺术职业学院44广东13525北海宏源足球职业学院45广西13524北海艺术设计职业学院45广西13523北海职业学院45广西11548广西财经学院45广西10593广西大学45广西13638广西大学行健文理学院45广西13831广西电力职业技术学院45广西13830广西东方外语职业学院45广西13828广西工贸职业技术学院45广西10594广西工学院45广西13639广西工学院鹿山学院45广西12364广西工业职业技术学院45广西12379广西国际商务职业技术学院45广西10867广西机电职业技术学院45广西13138广西建设职业技术学院45广西12356广西交通职业技术学院45广西13827广西经贸职业技术学院45广西13520广西警官高等专科学校45广西10608广西民族学院45广西13640广西民族学院相思湖学院45广西12382广西农业职业技术学院45广西12344广西生态工程职业技术学院45广西10602广西师范大学45广西13641广西师范大学漓江学院45广西10603广西师范学院45广西13642广西师范学院师园学院45广西11608广西水利电力职业技术学院45广西11350广西体育高等专科学校45广西13829广西演艺职业学院45广西10598广西医科大学45广西10607广西艺术学院45广西11773广西职业技术学院45广西10600广西中医学院45广西13643广西中医学院赛恩斯新医药学院45广西13521贵港职业学院45广西10595桂林电子工业学院45广西13644桂林电子工业学院信息科技学院45广西10596桂林工学院45广西13645桂林工学院博文管理学院45广西11825桂林航天工业高等专科学校45广西11837桂林旅游高等专科学校45广西13526桂林山水职业学院45广西11671桂林师范高等专科学校45广西10601桂林医学院45广西10605河池学院45广西13522河池职业学院45广西11546柳州师范高等专科学校45广西12069柳州医学高等专科学校45广西12104柳州职业技术学院45广西10604南宁师范高等专科学校45广西11355南宁职业技术学院45广西11607钦州师范高等专科学校45广西11838梧州师范高等专科学校45广西11549邕江大学45广西10609右江民族师范高等专科学校45广西10599右江民族医学院45广西10606玉林师范学院45广西11078广州大学44广东省13810肇庆医学高等专科学校44广东省10667安顺师范高等专科学校52贵州12821安顺职业技术学院52贵州10668毕节师范高等专科学校52贵州10976贵阳学院52贵州10660贵阳医学院52贵州13676贵阳医学院神奇民族医药学院52贵州10662贵阳中医学院52贵州13647贵阳中医学院时珍学院52贵州10671贵州财经学院52贵州13648贵州财经学院商务学院52贵州10657贵州大学52贵州13649贵州大学科技学院52贵州13650贵州大学明德学院52贵州13053贵州电力职业技术学院52贵州12336贵州电子信息职业技术学院52贵州12223贵州航天职业技术学院52贵州12850贵州鸿源管理工程职业学院52贵州12222贵州交通职业技术学院52贵州12107贵州警官职业学院52贵州13052贵州科技工程职业学院52贵州12224贵州理工职业技术学院52贵州10672贵州民族学院52贵州13651贵州民族学院人文科技学院52贵州11731贵州商业高等专科学校52贵州10663贵州师范大学52贵州13652贵州师范大学求是学院52贵州10977六盘水师范高等专科学校52贵州13054六盘水职业技术学院52贵州10669黔东南民族师范高等专科学校52贵州12822黔东南民族职业技术学院52贵州10670黔南民族师范学院52贵州11663黔南民族医学高等专科学校52贵州12823黔南民族职业技术学院52贵州10666黔西南民族师范高等专科学校52贵州10665铜仁师范高等专科学校52贵州13055铜仁职业技术学院52贵州10664遵义师范学院52贵州10661遵义医学院52贵州13653遵义医学院医学与科技学院52贵州12824遵义职业技术学院52贵州13818贵州轻工职业技术学院52贵州省13817黔西南民族职业技术学院52贵州省12308海口经济职业技术学院46海南10589海南大学46海南13875海南经贸职业技术学院46海南13575海南软件职业技术学院46海南11658海南师范学院46海南13577海南外国语职业学院46海南13876海南万和信息职业技术学院46海南11810海南医学院46海南13576海南政法职业学院46海南11999海南职业技术学院46海南10565华南热带农业大学46海南11100琼州大学46海南12717三亚卓达旅游职业学院46海南13811琼台师范高等专科学校46海南省13392保定电力职业技术学院13河北13391保定虎振职业技术学院13河北11420保定金融高等专科学校13河北10096保定师范专科学校13河北12543保定职业技术学院13河北11629北华航天工业学院13河北10105沧州师范专科学校13河北12415沧州职业技术学院13河北12887承德旅游职业学院13河北10098承德民族师范高等专科学校13河北11777承德石油高等专科学校13河北10093承德医学院13河北11424承德职业学院13河北11775防灾技术高等专科学校13河北10103邯郸学院13河北11034邯郸职业技术学院13河北12783邯郸中原外国语职业学院13河北10092河北北方学院13河北10075河北大学13河北13404河北大学工商学院13河北10085河北工程技术高等专科学校13河北10076河北工程学院13河北13578河北工程学院科信学院13河北10080河北工业大学13河北13584河北工业大学城市学院13河北10873河北工业职业技术学院13河北13398河北公安警察职业学院13河北13072河北化工医药职业技术学院13河北13393河北机电职业技术学院13河北12389河北建材职业技术学院13河北10084河北建筑工程学院13河北13071河北交通职业技术学院13河北13076河北京都高尔夫职业学院13河北11832河北经贸大学13河北13414河北经贸大学经济管理学院13河北10082河北科技大学13河北13409河北科技大学理工学院13河北10798河北科技师范学院13河北10081河北理工大学13河北13408河北理工大学轻工学院13河北12418河北能源职业技术学院13河北10086河北农业大学13河北13595河北农业大学现代科技学院13河北13822河北女子职业技术学院13河北12352河北软件职业技术学院13河北12885河北省艺术职业学院13河北10094河北师范大学13河北13411河北师范大学汇华学院13河北12367河北石油职业技术学院13河北11236河北体育学院13河北13823河北通信职业技术学院13河北10089河北医科大学13河北13415河北医科大学临床学院13河北12886河北远东职业技术学院13河北12408河北政法职业学院13河北10837河北职业技术学院13河北10101衡水学院13河北12786衡水职业技术学院13河北10079华北电力大学13河北13417华北电力大学科技学院13河北11104华北科技学院13河北10090华北煤炭医学院13河北13596华北煤炭医学院冀唐学院13河北13394华油职业技术学院13河北10100廊坊师范学院13河北13395廊坊职业技术学院13河北13074秦皇岛外国语职业学院13河北12773秦皇岛职业技术学院13河北13075石家庄东方美术职业学院13河北12796石家庄法商职业学院13河北13399石家庄工商职业学院13河北12782石家庄计算机职业学院13河北10077石家庄经济学院13河北13594石家庄经济学院华信学院13河北13403石家庄科技信息职业学院13河北13400石家庄联合技术职业学院13河北10107石家庄铁道学院13河北13593石家庄铁道学院四方学院13河北12424石家庄铁路职业技术学院13河北13070石家庄外经贸职业学院13河北13402石家庄外语翻译职业学院13河北13073石家庄信息工程职业学院13河北10102石家庄学院13河北12784石家庄影视艺术职业学院13河北13397石家庄邮电职业技术学院13河北11238石家庄职业技术学院13河北12787唐山工业职业技术学院13河北13396唐山科技职业技术学院13河北10099唐山师范学院13河北11033唐山学院13河北12785唐山职业技术学院13河北10104邢台学院13河北12884邢台医学高等专科学校13河北11821邢台职业技术学院13河北10216燕山大学13河北13592燕山大学里仁学院13河北11423张家口职业技术学院13河北11105中国人民武装警察部队学院13河北11903中央司法警官学院13河北11330安阳工学院41河南10479安阳师范学院41河南13504安阳师范学院人文管理学院41河南10484河南财经学院41河南11652河南财政税务高等专科学校41河南10475河南大学41河南13501河南大学民生学院41河南11517河南纺织高等专科学校41河南10463河南工业大学41河南12794河南工业职业技术学院41河南11788河南公安高等专科学校41河南11329河南机电高等专科学校41河南13499河南检察职业学院41河南10464河南科技大学41河南10467河南科技学院41河南13506河南科技学院新科学院41河南10460河南理工大学41河南13507河南理工大学万方科技学院41河南10466河南农业大学41河南11651河南商业高等专科学校41河南10476河南师范大学41河南13502河南师范大学新联学院41河南12781河南司法警官职业学院41河南10824河南职业技术学院41河南13564河南质量工程职业学院41河南10471河南中医学院41河南12793鹤壁职业技术学院41河南10078华北水利水电学院41河南11834黄河科技学院41河南12058黄河水利职业技术学院41河南10918黄淮学院41河南12768济源职业技术学院41河南11522焦作大学41河南12950焦作师范高等专科学校41河南11069开封大学41河南11070洛阳大学41河南11515洛阳工业高等专科学校41河南10482洛阳师范学院41河南10835漯河职业技术学院41河南11653南阳理工学院41河南10481南阳师范学院41河南11765平顶山工学院41河南12748平顶山工业职业技术学院41河南10919平顶山学院41河南11071平原大学41河南11787濮阳职业技术学院41河南10842三门峡职业技术学院41河南13500商丘科技职业学院41河南10483商丘师范学院41河南12745商丘职业技术学院41河南12735铁道警官高等专科学校41河南10916新乡师范高等专科学校41河南10472新乡医学院41河南13505新乡医学院三全学院41河南11326信阳农业高等专科学校41河南10477信阳师范学院41河南13503信阳师范学院华锐学院41河南10480许昌学院41河南12067许昌职业技术学院41河南10459郑州大学41河南11828郑州电力高等专科学校41河南10485郑州航空工业管理学院41河南12747郑州华信职业技术学院41河南13498郑州交通职业学院41河南13497郑州经贸职业学院41河南12746郑州科技职业学院41河南10469郑州牧业工程高等专科学校41河南10462郑州轻工业学院41河南12949郑州师范高等专科学校41河南12948郑州澍青医学高等专科学校41河南10843郑州铁路职业技术学院41河南13565郑州信息科技职业学院41河南10465中原工学院41河南13508中原工学院信息商务学院41河南11068中州大学41河南10478周口师范学院41河南12750周口职业技术学院41河南13779沧州医学高等专科学校13河北省13690河北司法警官职业学院13河北省13789河南交通职业技术学院41河南省13788河南经贸职业学院41河南省13790河南农业职业学院41河南省13780漯河医学高等专科学校41河南省13781南阳医学高等专科学校41河南省13782商丘医学高等专科学校41河南省13785嵩山少林武术职业学院41河南省13784信阳职业技术学院41河南省13787永城职业学院41河南省13783郑州电子信息职业技术学院41河南省13786郑州工业安全职业学院41河南省13791郑州旅游职业学院41河南省13792郑州职业技术学院41河南省10235大庆师范学院23黑龙江10220大庆石油学院23黑龙江13299大庆石油学院华瑞学院23黑龙江12718大庆职业学院23黑龙江12908大兴安岭职业学院23黑龙江10225东北林业大学23黑龙江10224东北农业大学23黑龙江13300东北农业大学成栋学院23黑龙江12906哈尔滨电力职业技术学院23黑龙江10217哈尔滨工程大学23黑龙江10213哈尔滨工业大学23黑龙江13307哈尔滨工业大学华德应用技术学院23黑龙江11635哈尔滨华夏计算机职业技术学院23黑龙江10245哈尔滨金融高等专科学校23黑龙江10214哈尔滨理工大学23黑龙江13301哈尔滨理工大学远东学院23黑龙江10240哈尔滨商业大学23黑龙江13298哈尔滨商业大学德强商务学院23黑龙江13306哈尔滨商业大学广厦学院23黑龙江10231哈尔滨师范大学23黑龙江13296哈尔滨师范大学恒星学院23黑龙江10242哈尔滨体育学院23黑龙江12907哈尔滨铁道职业技术学院23黑龙江10234哈尔滨学院23黑龙江10226哈尔滨医科大学23黑龙江12911哈尔滨职业技术学院23黑龙江12905鹤岗师范高等专科学校23黑龙江13744黑河学院23黑龙江10223黑龙江八一农垦大学23黑龙江13451黑龙江北开职业技术学院23黑龙江10212黑龙江大学23黑龙江13303黑龙江大学剑桥学院23黑龙江11446黑龙江东方学院23黑龙江11802黑龙江工程学院23黑龙江13304黑龙江工程学院昆仑旅游学院23黑龙江11449黑龙江工商职业技术学院23黑龙江13449黑龙江公安警官职业学院23黑龙江12053黑龙江建筑职业技术学院23黑龙江10219黑龙江科技学院23黑龙江12724黑龙江林业职业技术学院23黑龙江13729黑龙江旅游职业技术学院23黑龙江13732黑龙江煤炭职业技术学院23黑龙江13452黑龙江农垦林业职业技术学院23黑龙江。