数字信号处理教程 程佩青 课后题答案
- 格式:doc
- 大小:1.29 MB
- 文档页数:31
第一章 离散时间信号与系统2.任意序列x(n)与δ(n)线性卷积都等于序列本身x(n),与δ(n-n 0)卷积x(n- n 0),所以(1)结果为h(n) (3)结果h(n-2) (2(4)3 .已知 10,)1()(<<--=-a n u a n h n,通过直接计算卷积和的办法,试确定单位抽样响应为 )(n h 的线性移不变系统的阶跃响应。
4. 判断下列每个序列是否是周期性的,若是周期性的,试确定其周期:)6()( )( )n 313si n()( )()873cos()( )(ππππ-==-=n j e n x c A n x b n A n x a分析:序列为)cos()(0ψω+=n A n x 或)sin()(0ψω+=n A n x 时,不一定是周期序列,nmm m n n y n - - -∞ = - ⋅ = = ≥ ∑ 2 31 2 5 . 0 ) ( 01当 3 4n m nm m n n y n 2 2 5 . 0 ) ( 1⋅ = = - ≤ ∑ -∞ = - 当 aa a n y n a a an y n n h n x n y a n u a n h n u n x m m nnm mn -==->-==-≤=<<--==∑∑--∞=---∞=--1)(11)(1)(*)()(10,)1()()()(:1时当时当解①当=0/2ωπ整数,则周期为0/2ωπ;②;为为互素的整数)则周期、(有理数当 , 2 0Q Q P QP =ωπ ③当=0/2ωπ无理数 ,则)(n x 不是周期序列。
解:(1)0142/3πω=,周期为14 (2)062/13πω=,周期为6 (2)02/12πωπ=,不是周期的 7.(1)[][]12121212()()()()()()[()()]()()()()[()][()]T x n g n x n T ax n bx n g n ax n bx n g n ax n g n bx n aT x n bT x n =+=+=⨯+⨯=+所以是线性的T[x(n-m)]=g(n)x(n-m) y(n-m)=g(n-m)x(n-m) 两者不相等,所以是移变的y(n)=g(n)x(n) y 和x 括号内相等,所以是因果的。
目 录第1章 离散时间信号与系统1.1 复习笔记1.2 课后习题详解1.3 名校考研真题详解第2章 Z变换与离散时间傅里叶变换(DTFT)2.1 复习笔记2.2 课后习题详解2.3 名校考研真题详解第3章 离散傅里叶变换(DFT)3.1 复习笔记3.2 课后习题详解3.3 名校考研真题详解第4章 快速傅里叶变换(FFT)4.1 复习笔记4.2 课后习题详解4.3 名校考研真题详解第5章 数字滤波器的基本结构5.1 复习笔记5.2 课后习题详解5.3 名校考研真题详解第6章 几种特殊滤波器及简单一、二阶数字滤波器设计6.1 复习笔记6.2 课后习题详解6.3 名校考研真题详解第7章 无限长单位冲激响应(IIR)7.1 复习笔记7.2 课后习题详解7.3 名校考研真题详解第8章 有限长单位冲激响应(FIR)数字滤波器设计方法8.1复习笔记8.2 课后习题详解8.3 名校考研真题详解第9章 序列的抽取与插值——多抽样率数字信号处理基础9.1 复习笔记9.2 课后习题详解9.3 名校考研真题详解第10章 数字信号处理中的有限字长效应10.1 复习笔记10.2 课后习题详解10.3 名校考研真题详解第1章 离散时间信号与系统1.1 复习笔记一、离散时间信号——序列1.序列序列可以有三种表示法。
(1)函数表示法。
例如x(n)=a n u(n)。
(2)数列的表示法。
例如x(n)={...,-5,-3,-l,0,2,7,9,…)本书中,凡用数列表示序列时,都将n=0时x(o)的值用下划线(_)标注,这个例子中有z(-1)=-3,x(0)=-l,x(1)=0,…(3)用图形表示,如图l-1所示。
图1-1 离散时间信号的图形表示2.序列的运算(1)基于对序列幅度x(n)的运算序列的简单运算有①加法;②乘法;③累加;④序列绝对和;⑤序列的能量;⑥平均功率。
(2)基于对n的运算①移位,某序列为x(n)则x(n-m)就是x(n)的移位序列,当m=正数时,表示序列x(n)逐项依次右移(延时)m位;当m=负数时,表示序列 x(n)逐项依次左移(超前)m位;②翻褶,若序列为x(n),则x(-n)是以n=0为对称轴将x(n)序列加以翻褶;③时间尺度变换。
数字信号处理(程佩青)课后习题解答(1)1. 什么是数字信号处理?数字信号处理(Digital Signal Processing,DSP)是指对数字信号进行滤波、采样、压缩、编码和解码等操作的一种信号处理技术。
数字信号处理通过离散采样将连续时间信号转换为离散时间信号,并利用数学算法对离散时间信号进行处理和分析。
数字信号处理广泛应用于音频处理、图像处理、视频处理、通信系统等领域。
2. 采样定理的原理是什么?采样定理又称为奈奎斯特-香农采样定理(Nyquist-Shannon Sampling Theorem),是指在进行模拟信号的离散化处理时,采样频率必须大于模拟信号中最高频率的两倍。
采样定理的原理是根据信号的频谱特性,将模拟信号转换为离散时间信号时,需要保证采样频率足够高,以避免采样后的信号出现混叠现象,即频域上的重叠造成的信息损失。
根据奈奎斯特-香农采样定理,采样频率必须大于模拟信号中最高频率的2倍,才能完全还原原始信号。
3. 什么是混叠现象?如何避免混叠现象?混叠现象是指在进行模拟信号的采样时,由于采样频率低于模拟信号中的最高频率,导致频域上的重叠,从而造成采样信号中出现与原始信号不一致的频谱。
混叠现象会使得原始信号的高频部分被错误地表示成低频部分,从而损失了原始信号的信息。
为了避免混叠现象,可以采取以下措施:- 提高采样频率:采样频率必须大于模拟信号中最高频率的两倍,以保证信号的频谱不发生重叠。
- 使用低通滤波器:在采样前,先通过低通滤波器将模拟信号中的高频成分滤除,以避免混叠现象。
滤波器的截止频率应该设置为采样频率的一半。
4. 离散时间信号和连续时间信号有哪些区别?离散时间信号和连续时间信号是两种不同的信号表示形式。
离散时间信号是在时间上离散的,通常由序列表示,每个时间点上有对应的取样值。
离散时间信号可以通过采样连续时间信号得到,采样时将连续时间信号在一定时间间隔内进行取样。
连续时间信号是在时间上连续的,可以用数学函数、图像或者波形图来表示,不存在取样点。
程佩青第四版答案【篇一:数字信号答案(第三版)程佩青 -需要的看看啊啊】数字信号处理教程课后习题及答案目录离散时间信号与系统 z变换离散傅立叶变换快速傅立叶变换数字滤波器的基本结构无限长单位冲激响应(iir)数字滤波器的设计方法有限长单位冲激响应(fir)数字滤波器的设计方法数字信号处理中有限字长效应第一章离散时间信号与系统1 .直接计算下面两个序列的卷积和y(n)?x(n)*h(n)h(n)???an , 0?n?n?1?0, 其他nn? x(n)????? n0,n0?n??0,n?n0请用公式表示。
分析:①注意卷积和公式中求和式中是哑变量m(n 看作参量),结果y(n)中变量是 n,??y(n)?x(m)h(n?m)??h(m)x(n?m) ; m????m???②分为四步(1)翻褶( -m ),(2)移位( n ),(3)相乘,(4)相加,求得一个 n 的 y(n) 值,如此可求得所有 n 值的y(n) ;③一定要注意某些题中在n 的不同时间段上求和范围的不同(3)?n0 ?n?1当n?n0?n?1n时 ,???n0?????n1?y(n)??x(m)h(n?m)m?n-n?1?n?1?n0??n?1?n0?,???nn?????m????m?n0?n?m?n0??m?n?n?1?m?n?n?1解:y(n)?x(n)*h(n)?m????x(m)h(n?m)y(n)?0?(1)(2)当n?n0时n当n0?n?n0?n?1时 ,部分重叠y(n)?nm?n0?x(m)h(n?m)m?n0?m?n0???n?m?n?n?m?n0???nmy(n)??n?n0?n?1?n0?,(???)(1)x(n)? ? (n),(2)x(n)? r3(n),如此题所示,因而要分段求解。
(3)x(n)? ? (n?2),(4)x(n)? 2nu(?n?1),h(n)?r5(n)h(n)?r4(n) h(n)?0.5nr3(n)h(n)?0.5nu(n)2 .已知线性移不变系统的输入为x(n),系统的单位抽样响应 ???n?n0??n?n?1????n?11???n?1?n?n0?n??n???,?????y(n)?n?n?n0,?????为h(n),试求系统的输出y(n),并画图。
第一章 离散时间信号与系统2.任意序列x(n)与δ(n)线性卷积都等于序列本身x(n),与δ(n-n 0)卷积x(n- n 0),所以(1)结果为h(n) (3)结果h(n-2) (2(4)3 .已知 10,)1()(<<--=-a n u a n h n,通过直接计算卷积和的办法,试确定单位抽样响应为 )(n h 的线性移不变系统的阶跃响应。
4. 判断下列每个序列是否是周期性的,若是周期性的,试确定其周期:)6()( )( )n 313si n()( )()873cos()( )(ππππ-==-=n j e n x c A n x b n A n x a分析:序列为)cos()(0ψω+=n A n x 或)sin()(0ψω+=n A n x 时,不一定是周期序列,nmm m n n y n - - -∞ = - ⋅ = = ≥ ∑ 2 31 2 5 . 0 ) ( 01当 3 4n m nm m n n y n 2 2 5 . 0 ) ( 1⋅ = = - ≤ ∑ -∞ = - 当 aa a n y n a a an y n n h n x n y a n u a n h n u n x m m nnm mn -==->-==-≤=<<--==∑∑--∞=---∞=--1)(11)(1)(*)()(10,)1()()()(:1时当时当解①当=0/2ωπ整数,则周期为0/2ωπ;②;为为互素的整数)则周期、(有理数当 , 2 0Q Q P QP =ωπ ③当=0/2ωπ无理数 ,则)(n x 不是周期序列。
解:(1)0142/3πω=,周期为14 (2)062/13πω=,周期为6 (2)02/12πωπ=,不是周期的 7.(1)[][]12121212()()()()()()[()()]()()()()[()][()]T x n g n x n T ax n bx n g n ax n bx n g n ax n g n bx n aT x n bT x n =+=+=⨯+⨯=+所以是线性的T[x(n-m)]=g(n)x(n-m) y(n-m)=g(n-m)x(n-m) 两者不相等,所以是移变的y(n)=g(n)x(n) y 和x 括号内相等,所以是因果的。
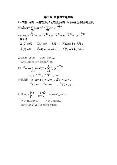
第三章 离散傅立叶变换1.如下图,序列x(n)是周期为6的周期性序列,试求其傅立叶级数的系数。
∑∑=-===562650)(~)(~)(X ~:n nkj nkn e n x W n x k π解kj k j k j k j kj e e e e e 562462362262621068101214πππππ-----+++++=计算求得:。
339)5(~; 33)4(~ ; 0)3(~; 33)2(~;339)1(~;60)0(~j X j X X j X j X X +=-==+=-==。
并作图表示试求设)(~),(~)(~ .))(()(~),()(.264k X n x k X n x n x n R n x == ∑∑=-===56265)(~)(~)(~:n nk jnk n en x W n x k X π解k j k j k j e e e πππ---+++=3231。
计算求得: 3)5(~; 1)4(~ ; 0)3(~ ;1)2(~; 3)1(~ ; 4)0(~j X X X X j X X ====-==。
的周期卷积并作图与试求令其它,设 )(~)(~,))(()(~,))(()(~,)2()(,040,1)(.3464n h n x n h n h n x n x n R n h nn n n x ==-=⎩⎨⎧≤≤+=解:在一个周期内的计算值等各序列。
试画出所示如图已知)())((),())3((,))(()())((),())((,))((,13)(.47755633665n R n x n R n x n x n R n x n R n x n x P n x ----)(~)(~*)(~)(~m n h n h n x n y -==)(~)(~*)(~)(~m n h n h n x n y -==)()()5()(x(n)(4)N n 0 ),n -(n )()3()()()2()()(cos )()1()(52000n R n n x n nR n x n R a n x n R n a n x DFT N N N N n N ==<<===δω闭合形式表达式点试求以下有限长序列的])21sin()2sin()21sin()2sin([21])()()()([21)(]1111[)(][)(])([)()(cos )()()(cos )(:0)2(21020)2(2102)2(21)2(21)2(21222)2(21)2(21)2(21222)()(211)(10)(2110211000000000000000000002002002022002ϖπϖϖπϖωωϖπϖϖπϖϖπϖπϖπϖϖϖϖπϖπϖπϖϖϖωωωωωωωωππππππ-++⋅=--+--=--+--=+=+===---+---------+-++-----+---=---=+--=---=-∑∑∑∑k N e N e k N eN e a e ee e e e eeeee e a k R ee ee a k R eea k R e e e a k R en a k X n R n a n x k N j N j k Nj Njk Nj k Nj k Nj NjNjN jk Nj k N j k Nj NjNjNjN k j N j k j N j N N n nj N n nk j N N n nkj n j n j N n N nkj N N N N N N N 解)(111121)(21)()(21)()(cos )( )()(cos )( ) 1 (:)2()2(10)2(10)2(1020010200000k R e e e e a k R e e a k R e e e a k Re n a k X n R n a n x N k N j N j k Nj Nj N N n nN j N n nk N j N N n nk N j n j n j N n N nk N j N ⎥⎥⎦⎤⎢⎢⎣⎡--+--=⎥⎦⎤⎢⎣⎡+=⎥⎦⎤⎢⎣⎡+===--+---=---=+--=---=-∑∑∑∑ωπωωπωωπωππωωπωω解⎥⎥⎥⎦⎤---⎢⎢⎢⎣⎡--=------+-++---)()()()(21)2(21)2(21)2(21222)2(21)2(21)2(212220000000ωπωπωπωωωωπωπωπωωωk Nj k N j k N j N jN jNjk N j k N j k N j Nj N j N j e e e eeee e e e e e a⎥⎥⎥⎥⎦⎤--⎢⎢⎢⎢⎣⎡+⋅=--+--)21sin()2sin()21sin()2sin(210)2(21020)2(21020000ωπωωπωωπωωπωk N e Nek N e Ne a k Nj Njk N j N jk Nj N N n nk Njn N n aea ea k X n R a n x ππ210211)()()((2)--=---===∑)( )()( )()()( 0,)()( (3)02102010200k Re k Re n n k Re n x k X N n n n n x Nk n N j NN n nk N j N n NnkN j πππδδ--=--=-=-==<<-=∑∑)(1)( 11)1()())1(()(])1)2( 2[)1( 32()1)(()()()()( )()(411)1(32)1(321)1(110)1(1k R W Nk X N W W N k R W N k R N W N W W W N W W W nW nWW k X k R nW k X W k R nW k X n nR n x N kNkNkN N N n nk N N k N N k N k N k N N kN k N k N N n kn N N n nk Nk NN n N k n N k NN n N nkN N --=∴-=--+--=+--=-+-+++--++++=-=-==∴=∑∑∑∑∑-=---=+-=-=+-=••••••)(kNN N n nkNN W Nk X n nR n x W n k X n R n n x --===∴=∑-=1)()()()4()( )()(5111022,则小题的结论根据第)(221111122)1(232)1(23210)1(2121)1(2)1()2()(12)2()(2)2(2)2()12()1(]1()2(4[)1(94)1)(()(k N kN kNN n nk NN n nkNk N N kN k N k N N k N k N k N N n kn NN n nk NkNN n k n Nk NW N W N N k X W NN N k X N N nWN N W n N N W N W W W N W W W W n W nW k X Wn k X W ---=∴----=+--=+--=-+--=-+-+++--++++=-=-=∑∑∑∑∑-=-=---=+-=-=+••••••)•••±±±===∑-=,6,4,2,0)(~)3(?])0([)()2(?)()1(:;)(~1)(~).(~.61)/2(k k x X k X k X e k X Nn x n x N k nk N j 哪些序列列能做到成虚数外除时间原点使所有的哪些序列能够通过选择成为实数时间原点使所有的哪些序列能够通过选择问傅里叶级数这些序列可以表示成列如图画出了几个周期序π条件。
第四章 快速傅立叶变换运算需要多少时间。
计算需要多少时间,用,问直拉点的,用它来计算每次复加速度为平均每次复乘需如果一台通用计算机的FFT DFT[x(n)]512s 5 s50.1μμ解: 解: ⑴ 直接计算: 复乘所需时间:复加所需时间:⑵用FFT 计算: 复乘所需时间:复加所需时间:运算一次完成。
点试用一个为了提高运算效率值求今需要从值的点实序列是两个已知IFFTN n y n x k Y k X DFT n y n x N k Y k X ,,)(),()(),(,)(),()(),(.2sN T N01152.0512log105log105 2251262261=⨯⨯⨯=⨯⨯=--sT T T sN N T 013824.0 002304.0512log512105.0log105.0 2126262=+=∴=⨯⨯⨯=⨯⨯⨯=--sT T T sN N T 441536.1 130816.0)1512(512105.0)1(105.0 21662=+=∴=-⨯⨯⨯=-⨯⨯⨯=--sN T 31072.1 512105 105 26261=⨯⨯=⨯⨯=--值的过程。
)(),(完成计算点)可用一次()()(综上所述,构造序列)()()()(可得:)()()(再根据都是实序列,)(),(由原题可知:)()()()(()()(性质:又根据可得序列点作对取序列依据题意解 ]Im[ ]Re[ ][][ ][ ).()( )()()( )()();()( ::n y n x IFFT N k jY k X k Z n z n y n z n x n jy n x n z n y n x n jy n x k Y jIDFT k X IDFT k jY k X IDFT DFT n z IFFT N k Z k jY k X k Z k Y n y k X n x +===+=+=+=++=⇔⇔。
输出倒位序顺序频率抽取采用输入自然输出自然数顺序序时间抽取采用输入倒位流图抽取法的按时间抽取法及按频率画出基时), ,,( 2,16.3FFT N -=。
第一章 离散时间信号与系统2.任意序列x(n)与δ(n)线性卷积都等于序列本身x(n),与δ(n-n 0)卷积x(n- n 0),所以(1)结果为h(n) (3)结果h(n-2) (2(4)3 .已知 10,)1()(<<--=-a n u a n h n,通过直接计算卷积和的办法,试确定单位抽样响应为 )(n h 的线性移不变系统的阶跃响应。
4. 判断下列每个序列是否是周期性的,若是周期性的,试确定其周期:)6()( )( )n 313si n()( )()873cos()( )(ππππ-==-=n j e n x c A n x b n A n x a分析:序列为)cos()(0ψω+=n A n x 或)sin()(0ψω+=n A n x 时,不一定是周期序列,nmm m n n y n - - -∞ = - ⋅ = = ≥ ∑ 2 31 2 5 . 0 ) ( 01当 3 4n m nm m n n y n 2 2 5 . 0 ) ( 1⋅ = = - ≤ ∑ -∞ = - 当 aa a n y n a a an y n n h n x n y a n u a n h n u n x m m nnm mn -==->-==-≤=<<--==∑∑--∞=---∞=--1)(11)(1)(*)()(10,)1()()()(:1时当时当解①当=0/2ωπ整数,则周期为0/2ωπ;②;为为互素的整数)则周期、(有理数当 , 2 0Q Q P QP =ωπ ③当=0/2ωπ无理数 ,则)(n x 不是周期序列。
解:(1)0142/3πω=,周期为14 (2)062/13πω=,周期为6 (2)02/12πωπ=,不是周期的 7.(1)[][]12121212()()()()()()[()()]()()()()[()][()]T x n g n x n T ax n bx n g n ax n bx n g n ax n g n bx n aT x n bT x n =+=+=⨯+⨯=+所以是线性的T[x(n-m)]=g(n)x(n-m) y(n-m)=g(n-m)x(n-m) 两者不相等,所以是移变的y(n)=g(n)x(n) y 和x 括号内相等,所以是因果的。
第八章 数字信号处理中有限字长效应1. 设数字滤波器的系统函数为:21174081822.07235682.11017221333.0)(---+-=z z z z H现用8 bit 字长的寄存器来存放其系数,试求此时表示式。
该滤波器的实际 )( ∧z H分析:把所有正数用b+1=8bit 寄存器长度表示,其中第一位存整数位,后七位用来存小数位。
2111022101022101022107421875.07265625.11015625.0)( )7421875.0()1011111.0( )11011110110.0()74081822.0( )7265625.1()1011101.1( )11011100100.1()7235682.1( )015625.0()0000010.0( )100000010001.0()017221333.0( , ,8 :---∧+-=∴=→⋅⋅⋅==→⋅⋅⋅==→⋅⋅⋅=z z z z H bit小数后七位用来存第一位用来存整数位号正数字长的寄存器存放无符设解).(),(,)().(),(0n ,00n ,)1(21)(,)(28)(? 50 , )( . ,.01,,, ,2222 ,,5 .)(4321c b d b a n x b P c n n a d c b a d c b a s b n重作当尾数采用舍入处理时重作其输入为所示系统研究种响应比较大时如何比较这两问时响应。
求出未量化系统在中输入的响应系统对。
试计算已量化的符号位和前四位即只保留乘法的结果作截尾处理。
或是其中寄存器值为符号位即位寄存器表示成原码量都用网络中的系数和所有变系统用定点算法实现。
⎪⎩⎪⎨⎧<≥-=-≤≤⨯+⨯+⨯+⨯=----32)(,,)(])41(6132[)(4111611132)411)(1(21)()()(1121)(4111)( )(:111111→-=∴-⋅--⋅=--=⋅=⇒-⋅=-=------n y n n u n y z z z z z H z X z Y z z X z z H a n 较大时即当解5.0)0()0(,5.0)0()0(,====∧x y x y 未量化时,截尾量化后666503906.0)5(625.0)5(^==y y 625.0)1(625.0)1(==∧y y 65625.0)2(625.0)2(==∧y y 6640625.0)3(625.0)3(==∧y y 666015625.0)4(625.0)4(==∧y y ,32)(,→n y n 未作量化处理时较大时当85)(y →∧n 作截尾处理时1111121)(4111)(:)(---+⋅=-+=z z X z z z H c 解)1(21)()()(141--=⋅=∴z z H z X z Y 0)(,),()41(21)(→=n y n n u n y n较大时当5.0)0()0(,5.0)0()0(,====∧x y x y 未量化截尾量化后125.0)1(125.0)1(==∧y y 03125.0)2(0)2(==∧y y 0078125.0)3(0)3(==∧y y 001953125.0)4(0)4(==∧y y 50004882812.0)5(0)5(==∧y y 0)(,→∞→∧,时,当未作量化处理n y n:,4111)()()( )(:1可得由解--==z z X z Y z H b)()1(41)(n x n y n y +-=()[]。
第一章 离散时间信号与系统2.任意序列x(n)与δ(n)线性卷积都等于序列本身x(n),与δ(n-n 0)卷积x(n- n 0),所以(1)结果为h(n) (3)结果h(n-2) (2x(m)()h n m -n1 1 1 0 0 0 0 y(n) 0 11 1 1 12 2 1 1 13 3 1 1 1 1 34 0 1 1 1 1 2 511111(4)3 .已知 10,)1()(<<--=-a n u a n h n,通过直接计算卷积和的办法,试确定单位抽样响应为 )(n h 的线性移不变系统的阶跃响应。
4. 判断下列每个序列是否是周期性的,若是周期性的,试确定其周期:)6()( )( )n 313si n()( )()873cos()( )(ππππ-==-=n j e n x c A n x b n A n x a分析:序列为)cos()(0ψω+=n A n x 或)sin()(0ψω+=n A n x 时,不一定是周期序列, nmm m n n y n - - -∞ = - ⋅ = = ≥ ∑ 2 31 2 5 . 0 ) ( 01当 3 4n m nm m n n y n 2 2 5 . 0 ) ( 1⋅ = = - ≤ ∑ -∞ = - 当 aa a n y n a a an y n n h n x n y a n u a n h n u n x m m nnm mn -==->-==-≤=<<--==∑∑--∞=---∞=--1)(11)(1)(*)()(10,)1()()()(:1时当时当解①当=0/2ωπ整数,则周期为0/2ωπ;②;为为互素的整数)则周期、(有理数当 , 2 0Q Q P QP =ωπ ③当=0/2ωπ无理数 ,则)(n x 不是周期序列。
解:(1)0142/3πω=,周期为14 (2)062/13πω=,周期为6 (2)02/12πωπ=,不是周期的 7.(1)[][]12121212()()()()()()[()()]()()()()[()][()]T x n g n x n T ax n bx n g n ax n bx n g n ax n g n bx n aT x n bT x n =+=+=⨯+⨯=+所以是线性的T[x(n-m)]=g(n)x(n-m) y(n-m)=g(n-m)x(n-m) 两者不相等,所以是移变的y(n)=g(n)x(n) y 和x 括号内相等,所以是因果的。
第三章 离散傅立叶变换1.如下图,序列x(n)是周期为6的周期性序列,试求其傅立叶级数的系数。
∑∑=-===56265)(~)(~)(X ~:n nkj nkn e n x W n x k π解kj k j k j kj kj e e e e e 562462362262621068101214πππππ-----+++++=计算求得:。
339)5(~; 33)4(~ ; 0)3(~; 33)2(~;339)1(~;60)0(~j X j X X j X j X X +=-==+=-==。
并作图表示试求设)(~),(~)(~ .))(()(~),()(.264k X n x k X n x n x n R n x == ∑∑=-===56265)(~)(~)(~:n nk jnk n en x W n x k X π解k j kj k j e e e πππ---+++=3231。
计算求得: 3)5(~; 1)4(~ ; 0)3(~ ;1)2(~; 3)1(~ ; 4)0(~j X X X X j X X ====-==。
的周期卷积并作图与试求令其它,设 )(~)(~,))(()(~,))(()(~,)2()(,040,1)(.3464n h n x n h n h n x n x n R n h nn n n x ==-=⎩⎨⎧≤≤+=解:在一个周期内的计算值)(~)(~*)(~)(~m n h n h n x n y -==)(~)(~*)(~)(~m n h n h n x n y -==等各序列。
试画出所示如图已知)())((),())3((,))(()())((),())((,))((,13)(.47755633665n R n x n R n x n x n R n x n R n x n x P n x ----)()()5()(x(n)(4)N n 0 ),n -(n )()3()()()2()()(cos )()1()(52000n R n n x n nR n x n R a n x n R n a n x DFT N N N N n N ==<<===δω闭合形式表达式点试求以下有限长序列的])21sin()2sin()21sin()2sin([21])()()()([21)(]1111[)(][)(])([)()(cos )()()(cos )(:0)2(21020)2(2102)2(21)2(21)2(21222)2(21)2(21)2(21222)()(211)(10)(2110211000000000000000000002002002022002ϖπϖϖπϖωωϖπϖϖπϖϖπϖπϖπϖϖϖϖπϖπϖπϖϖϖωωωωωωωωππππππ-++⋅=--+--=--+--=+=+===---+---------+-++-----+---=---=+--=---=-∑∑∑∑k N e N e k N e N e a e ee e e e eeeee e a k R ee ee a k R eea k R e e e a k R en a k X n R n a n x k N j N j k Nj Njk Nj k Nj k Nj NjNjN jk Nj k N j k Nj NjNjNjN k j N j k j N j N N n nj N n nk j N N n nkj n j n j N n N nkj N N N N N N N 解)(111121)(21)()(21)()(cos )( )()(cos )( ) 1 (:)2()2(10)2(10)2(1020010200000k R e ee e a k R e e a k R e e e a k Re n a k X n R n a n x N k N j N j k Nj Nj N N n nN j N n nk N j N N n nk N j n j n j N n N nk N j N ⎥⎥⎦⎤⎢⎢⎣⎡--+--=⎥⎦⎤⎢⎣⎡+=⎥⎦⎤⎢⎣⎡+===--+---=---=+--=---=-∑∑∑∑ωπωωπωωπωππωωπωω解⎥⎥⎥⎦⎤---⎢⎢⎢⎣⎡--=------+-++---)()()()(21)2(21)2(21)2(21222)2(21)2(21)2(212220000000ωπωπωπωωωωπωπωπωωωk Nj k N j k N j N jN jNjk N j k N j k N j Nj N j N j e e e eeee e e e e e a⎥⎥⎥⎥⎦⎤--⎢⎢⎢⎢⎣⎡+⋅=--+--)21sin()2sin()21sin()2sin(210)2(21020)2(21020000ωπωωπωωπωωπωk N e Nek N e Ne a k Nj Njk N j N jk Nj N N n nk NjnN n aea eak X n R a n x ππ210211)()()((2)--=---===∑)( )()( )()()( 0,)()( (3)02102010200k Re k Re n n k Re n x k X N n n n n x Nk n N j NN n nk N j N n NnkN j πππδδ--=--=-=-==<<-=∑∑)(1)( 11)1()())1(()(])1)2( 2[)1( 32()1)(()()()()( )()(411)1(32)1(321)1(110)1(1k R W Nk X N W W N k R W N k R N W N W W W N W W W nW nWW k X k R nW k X W k R nW k X n nR n x N kNkNkN N N n nk N N k N N k N k N k N N kN k N k N N n kn N N n nk Nk NN n N k n N k NN n N nkN N --=∴-=--+--=+--=-+-+++--++++=-=-==∴=∑∑∑∑∑-=---=+-=-=+-=∙∙∙∙∙∙)(kNN N n nkNN W Nk X n nR n x W n k X n R n n x --===∴=∑-=1)()()()4()( )()(5111022,则小题的结论根据第)(221111122)1(232)1(23210)1(2121)1(2)1()2()(12)2()(2)2(2)2()12()1(]1()2(4[)1(94)1)(()(k N kN kNN n nk NN n nkNk N N kN k N k N N k N k N k N N n kn NN n nk NkNN n kn N k NW N W N N k X W NN N k X N N nWN N W n N N W N W W W N W W W W n W nW k X W n k X W ---=∴----=+--=+--=-+--=-+-+++--++++=-=-=∑∑∑∑∑-=-=---=+-=-=+∙∙∙∙∙∙)∙∙∙±±±===∑-=,6,4,2,0)(~)3(?])0([)()2(?)()1(:;)(~1)(~).(~.61)/2(k k x X k X k X ek X Nn x n x N k nkN j 哪些序列列能做到成虚数外除时间原点使所有的哪些序列能够通过选择成为实数时间原点使所有的哪些序列能够通过选择问傅里叶级数这些序列可以表示成列如图画出了几个周期序π条件。
第七章 有限长单位冲激响应(FIR )数字滤波器的设计方法1. 用矩形窗设计一个FIR 线性相位低通数字滤波器。
已知 21,5.0==N c πω。
求出)(n h 并画出)(log 20ωj e H 曲线。
分析:此题给定的是理想线性相位低通滤波器,故⎪⎩⎪⎨⎧<<<<≤≤=-。
-- , , 0- , )(c c c c ωωππωωωωωωαωj j d e eH解:ωπππωωd eeH n h nj j d d ⎰-=)(21)()()](sin[21αωαωπωωπωωωωα--==⎰--n n d eec c c nj j cc⎪⎪⎩⎪⎪⎨⎧≤≤--====-=为其他故:其中n n n n n w n h n h N d c ,0200,)10(]2sin[)()()(5.0 102/)1( πππωα h( 0)= 9.7654073033E-4h( 1)= 3.5358760506E-2 h( 2)= -9.7657600418E-4 h( 3)= -4.5465879142E-2 h( 4)= 9.7651791293E-4 h( 5)= 6.3656955957E-2 h( 6)= -9.7658322193E-4 h( 7)= -1.0610036552E-1 h( 8)= 9.7643269692E-4 h( 9)= 3.1830877066E-1 h( 10)= 4.9902343750E-1 h( 11)= 3.1830900908E-1 h( 12)= 9.7669276875E-4 h( 13)= -1.0610023141E-1 h( 14)= -9.7654142883E-4 h( 15)= 6.3657015562E-2 h( 16)= 9.7660662141E-4 h( 17)= -4.5465819538E-2 h( 18)= -9.7654841375E-4 h( 19)= 3.5358794034E-2 h( 20)= 9.7658403683E-42.用三角形窗设计一个FIR 线性相位低通数字滤波器。
第一章 离散时间信号与系统2.任意序列x(n)与δ(n)线性卷积都等于序列本身x(n),与δ(n-n 0)卷积x(n- n 0),所以(1)结果为h(n) (3)结果h(n-2) ((4)3 .已知 10,)1()(<<--=-a n u a n h n,通过直接计算卷积和的办法,试确定单位抽样响应为 )(n h 的线性移不变系统的阶跃响应。
4. 判断下列每个序列是否是周期性的,若是周期性的,试确定其周期:nmm m n n y n - - -∞ = - ⋅ = = ≥ ∑ 2 31 2 5 . 0 ) ( 01当 3 4n m nm m n n y n 2 2 5 . 0 ) ( 1⋅ = = - ≤ ∑ -∞ = - 当 aa a n y n a a an y n n h n x n y a n u a n h n u n x m m n nm mn -==->-==-≤=<<--==∑∑--∞=---∞=--1)(11)(1)(*)()(10,)1()()()(:1时当时当解)6()( )( )n 313si n()( )()873cos()( )(ππππ-==-=n j e n x c A n x b n A n x a分析:序列为)cos()(0ψω+=n A n x 或)sin()(0ψω+=n A n x 时,不一定是周期序列, ①当=0/2ωπ整数,则周期为0/2ωπ;②;为为互素的整数)则周期、(有理数当 , 2 0Q Q P QP =ωπ ③当=0/2ωπ无理数 ,则)(n x 不是周期序列。
解:(1)0142/3πω=,周期为14 (2)062/13πω=,周期为6 (2)02/12πωπ=,不是周期的 7.(1)[][]12121212()()()()()()[()()]()()()()[()][()]T x n g n x n T ax n bx n g n ax n bx n g n ax n g n bx n aT x n bT x n =+=+=⨯+⨯=+所以是线性的T[x(n-m)]=g(n)x(n-m) y(n-m)=g(n-m)x(n-m) 两者不相等,所以是移变的y(n)=g(n)x(n) y 和x 括号内相等,所以是因果的。
(x 括号内表达式满足小于等于y 括号内表达式,系统是因果的)│y(n)│=│g(n)x(n)│<=│g(n)││x(n)│x(n)有界,只有在g(n)有界时,y(n)有界,系统才稳定,否则系统不稳定 (3)T[x(n)]=x(n-n0)线性,移不变,n-n0<=n 即n0>=0时系统是因果的,稳定 (5)线性,移变,因果,非稳定 (7)线性,移不变,非因果,稳定(8)线性,移变,非因果,稳定 8.不稳定。
是因果的。
时当解:∴∞⇒++=∴=<•••∑∞-∞=,1101|)(| ,0)( , 0 )1(22n n h n h n稳定。
!!!是因果的。
时,当∴=+++++<++++=+++=∴=<•••••••••∑∞-∞=3814121111*2*311*2111211101|)(| ,0)(0 )2(n n h n h n 不稳定。
是因果的。
时,当∴∞⇒+++=∴=<•••∑∞-∞=210333|)(| ,0)(0 )3(n n h n h n稳定。
是非因果的。
时,当∴=+++=∴≠<•••--∞-∞=∑23333|)(|,0)(0)4(21n n h n h n系统是稳定的。
系统是因果的。
时,当∴=+++=∴=<•••∑∞-∞=7103.03.03.0|)(|,0)(0 )5(210n n h n h n 系统不稳定。
系统是非因果的。
时,当∴∞⇒++=∴≠<•••--∞-∞=∑213.03.0|)(|0)(0 )6(n n h n h n系统稳定。
系统是非因果的。
时,当∴=∴≠<∑∞-∞=1|)(|0)(0 )7(n n h n h n第二章 Z 变换1. 求以下序列的z 变换,并画出零极点图和收敛域。
(7)分析:Z 变换定义∑∞-∞=-==n nzn x z X n x Z )()()]([,n 的取值是)(n x 的有值范围。
Z 变换的收敛域是满足∞<=∑∞-∞=-M zn x n n)(的z 值范围。
解:(1) 由Z 变换的定义可知:nn nzaz X -∞-∞=⋅=∑)(nn n nn n z a za-∞=---∞=-∑∑+=1nn n nn n z a z a -∞=∞=∑∑+=01))(1()1()1)(1(1111212a z az a z a az az a za az az ---=---=-+-=-)(21)()2(n u n x n⎪⎭⎫⎝⎛=)1(21)()3(--⎪⎭⎫⎝⎛-=n u n x n)1(,1)()4(≥=n nn x 为常数)00(0,)sin()()5(ωω≥=n n n n x 10,)()cos()()6(0<<+=r n u n Ar n x n Φω)1||()()1(<=a an x n∞====<<<<z z az a z az a z a az ,0 1, 11,1 零点为:极点为:即:且收敛域:解:(2) 由z 变换的定义可知:n n n z n u z X -∞-∞=∑=)()21()(∑∞=-=0)21(n nn z12111--=z21 1121><⋅z z 即:收敛域:0 21==z z 零点为:极点为:解:(3)nn n z n u z X -∞-∞=∑---=)1()21()(∑--∞=--=1)21(n n n z∑∞=-=12n n n z zz212--=12111--=z 21 12 <<z z 即:收敛域:)(21)()2(n u n x n⎪⎭⎫ ⎝⎛=)1(21)()3(--⎪⎭⎫⎝⎛-=n u n x n0 21==z z 零点为:极点为:解: (4) ∑-⋅∞==11)(n nz nz X∑∞--=-=•••11)(1)(n n z n n dz z dX 21)(11z z z n n -=-=∑∞=-- ,1||>z。
的收敛域为故的收敛域相同,的收敛域和因为1||)()()(1ln)1ln(ln )(>-=--=∴z z X dzz dX z X z zz z z X ∞===z 1,0 零点为:极点为:z z解:(5) 设 )()sin()(0n u n n y ⋅=ω则有 1||cos 21sin )()(20101>+-=⋅=----∞-∞=∑z z z z zn y z Y nn ,ωω 而 )()(n y n n x ⋅=∴)()(z Y dz dz z X ⋅-=1||,)cos 21(sin )1(2201021>+--=----z z z z z ωω 因此,收敛域为 :1>z∞==-====-z z z z e z e z j j ,0,1,1 , 00零点为:(极点为二阶)极点为:ωω解:(6))1(,1)()4(≥=n nn x 为常数)00(0,sin )()5(ωω≥=n n n n x 10),()cos()()6(0<<+=r n u n Ar n x n φω1,cos 21)cos(cos cos 21sin sin cos 21cos 1cos )( )()sin(sin )()cos(cos )(]sin )sin(cos )[(cos( )()cos()( 20101201012010100000>+---=+-⋅-+--⋅=∴⋅⋅-⋅⋅=⋅-⋅=⋅+=---------z zz z z z z z z z z Y n u n n u n n u n n n u n n y ωωφφωωφωωφωφωφφωφωφω设[]。
:的收敛域为则而的收敛域为则 || )( cos 21)cos(cos )()( )()( 1 )( 220101r z z X z r r z r z A r zY A z X n y Ar n x z z Y n >+---=⋅=∴⋅=>---ωωφφ (7)Z[u(n)]=z/z-1 Z[nu(n)]=2-z[]1(1)d z zdz z z =-- 2223Z[n u(n)]=-z [](1)(1)d z z z dz z z +=--零点为z=0,±j,极点为z=111211123.,,()1111212 (1) (), z (2) (), z 11241144111114 (3)(), z (4) (), z 8115311515X z z zz X z X z z z z z a X z X z az a z z ---------=>=<----=>=<<--+用长除法留数定理部分分式法求以下的反变换分析:长除法:对右边序列(包括因果序列)H (z )的分子、分母都要按z 的降幂排列,对左边序列(包括反因果序列)H (z )的分子、分 母都要按z 的升幂排列。
部分分式法:若X (z )用z 的正幂表示,则按X(z)/z 写成部分分式,然后求各极点的留数,最后利用已知变换关系求z 反变换可得 x (n )。
留数定理法:。
号(负号)”数时要取“用围线外极点留,号(负号)”必取“用围线内极点留数时不)(。
现的错误这是常出,相抵消)(来和不能用,消的形式才能相抵的表达式中也要化成因而注意留数表示是)( 2 )1/(1 )/(1 )( )()())(( Re 11111-----=-==----k k k n kn k kn z z z z z z z z X z z z z X z z z z z z X s(1)(i )长除法:1212111411211)(---+=--=z z zz X,2/1||,2/1>-=z z 而收敛域为:极点为按降幂排列分母要为因果序列,所以分子因而知)(n x•••-+---2141211z z112111211--++z z211412121------z z z241-z∑∞=---⋅⎪⎭⎫⎝⎛-=-+-=•••02121 41211)(n nnz z z z X所以:)(21)(n u n x n⋅⎪⎭⎫⎝⎛-=(1)(ii)留数定理法: ⎰--+=c n dz z z j n x 11211121)(π, 设 c 为21>z 内的逆时针方向闭合曲线:当0≥n 时,nn z z z z 211112111+=+--在c 内有 21-=z 一个单极点则0 ,2121Re )(21≥⎪⎭⎫⎝⎛-=⎥⎥⎥⎥⎦⎤⎢⎢⎢⎢⎣⎡+=-=n z z s n x n n z,是因果序列由于 )( n x0)( 0 =<n x n 时,故)(21)( n u n x n⋅⎪⎭⎫⎝⎛-=所以(1)(iii)部分分式法:212111411211)(121+=+=--=---z z z z zz X 因为 21>z所以 )(21)(n u n x n⋅⎪⎭⎫⎝⎛-=(2)(i). 长除法:41,41<=z z 而收敛域为由于极点为 , 因而 )(n x 是左边序列,所以要按z 的 升幂排列:•••+++2112288z zzz z 82241---22877z z z -3221122828zz z -∑∑--∞=--∞=⋅⋅+=⋅⋅+=+++=•••112478 478 112288)(n nnn nn z z z z z X所以 )1(417)(8)(--⋅⎪⎭⎫⎝⎛⋅+⋅=n u n n x nδ(2)(ii)留数定理法:41)( 21)(1,为设<=⎰-z c dz z z X j n x c n π 内的逆时针方向闭合曲线 时:当 0 <n1)(-n z z X 在c 外有一个单极点41=z)0( ,)41(7 ])([Re )(411<⋅=-=∴=-n z z X s n x n z n时:当 0 =n1)(-n z z X 在c 内有一个单极点0=z∴0,8])([Re )(01====-n z z X s n x z n,内无极点在时:当 )( 0 1c z z X n n ->0,0)( >=n n x 则:综上所述,有:)1()41(7)(8)(--+=n u n n x n δ(2)(iii). 部分分式法:4178)41(2)(--+=--=z z z z z z z X 则 1411784178)(---=--=z z z z X 因为 41<z 则)(n x 是左边序列所以 )1()41(7)(8)(--+=n u n n x n δ(3)(i). 长除法: 因为极点为az 1=,由a z 1>可知,)(n x 为因果序列, 因而要按 z 的降幂排列: •••+-+-+---221)1(1)1(11z a a az a a a a az a z az 11--+-1)1(1)1()1(--+----zaa a a a aa••••••----+----2211)1(1)1(1)1(1z a a az a a az aa a 则∑∞=-⋅⎪⎭⎫⎝⎛-+-=11)1(1)(n n nz a a a a z X所以)1(1)1()(1)(-⋅⎪⎭⎫⎝⎛⋅-+⋅-=n u a a a n a n x nδ(3)(ii). 留数定理法:az dz z z X j n x c n 1c )(21)(1>=⎰-为,设π 内的逆时针方向闭合曲线。