质谱练习题
- 格式:doc
- 大小:423.00 KB
- 文档页数:9
判断题部分1.在质谱图中处于高质量端、m/z最大的峰一定是分子离子峰(X)2.由C、H、O、N组成的有机化合物,N为奇数,M一定是奇数;N为偶数,M 也为偶数。
()3.质谱中出现的多电荷离子,可使m/z下降,根据这个性质可用低质量范围的质谱仪检测相对分子量较大的化合物()4.亚稳离子一般在质谱中不出现(X )5.在裂解过程中,分子离子失去较大基团的断裂过程占优势()6.分子离子峰一般就是质谱中的基峰(X )7.在质谱仪中,各种离子通过离子交换树脂分离柱后被依次分离。
( X )8.碎片离子越不稳定,其在质谱中的信号就越强(X )9.在质谱解析中,一般通过氮律就能确定分子离子峰(X )10.在EI谱中,醇类化合物的分子离子峰很小或不出现()11.质谱图上最强的离子峰称为分子离子峰(X)12.质谱图上不可能出现m/z比分子离子峰小3~14的碎片离子峰()13.适当降低电子轰击电压,若峰强度不增加,则该峰肯定不是分子离子峰(X )14.分子离子峰的强度可以为推测化合物的类型提供参考信息. ()15.在裂解过程中,同一前体离子总是失去较大基团的断裂过程占优势,称为最大烷基丢失原则。
()16.在化学电离源的质谱图中,最强峰通常是准分子离子峰。
(√)17.质谱分析是以基峰的m/z为标准(规定为零),计算出其他离子峰的m/z值。
()18.在化学电离源的质谱图中,最强峰通常是准分子离子峰。
()19.由于不能生成带正电荷的卤素离子,所以在质谱分析中是无法确定分子结构中是否有卤元素存在的。
()20.贝农表的作用是帮助确定化合物的分子式。
()21.在标准质谱图中,醇类化合物的分子离子峰很小或不出现。
()22.核磁共振波谱法与红外吸收光谱法一样,都是基于电磁辐射的分析法。
(√)23.质量数为奇数,核电荷数为偶数的原子核,其自旋量子数为零。
(X)24.自旋数I=1的原子核在静磁场中,相对于外磁场,可能有二种取向。
(X)25核磁共振波谱仪的磁场越强,其分辨率越高。
液相色谱法及质谱分析练习题带答案一、单选题1、高压、高效、高速是现代液相色谱的特点,下列哪一个不是采用高压的原因()。
A、可加快流速,缩短分析时间B、高压可使分离效率显著提高C、采用了细粒度固定相所致D、采用了填充毛细管柱正确答案: D2、吸附作用在下面哪种色谱方法中起主要作用。
()A、液一液色谱法B、液一固色谱法C、键合相色谱法D、离子交换色谱法正确答案: B3、在液相色谱中,常用作固定相又可用作键合相基体的物质是()。
A、分子筛B、硅胶C、氧化铝D、活性炭正确答案: B4、水在下述色谱中,洗脱能力最弱(作为底剂)的是()。
A、正相色谱法B、反相色谱法C、吸附色谱法D、空间排阻色谱法正确答案: B5、在液相色谱中,提高色谱柱柱效的最有效途径是()。
A、减小填料粒度B、适当升高柱温C、降低流动相的流速D、增大流动相的流速正确答案: A6、液相色谱中不影响色谱峰扩展的因素是()。
A、涡流扩散项B、分子扩散项C、传质扩散项D、柱压效应正确答案: B7、高效液相色谱仪与气相色谱仪比较增加了()A、恒温箱B、进样装置C、程序升温D、梯度淋洗装置正确答案: D二、判断题1、高效液相色谱适用于大分子,热不稳定及生物试样的分析。
正确答案:正确2、反相分配色谱适于非极性化合物的分离。
正确答案:正确3、液相色谱的流动相又称为淋洗液,改变淋洗液的组成、极性可显著改变组分分离效果。
正确答案:正确4、高效液相色谱法采用梯度洗脱,是为了改变被测组分的保留值,提高分离度。
正确答案:正确5、高压输液泵是高效液相色谱仪的关键部件之一,按其工作原理分为恒流泵和恒压泵。
正确答案:正确6、高效液相色谱柱柱效高,凡是能用液相色谱分析的样品不用气相色谱法分析。
正确答案:错误。
药物分析技术的练习题答案一、选择题1. 药物分析中常用的色谱技术不包括以下哪一项?A. 高效液相色谱(HPLC)B. 薄层色谱(TLC)C. 气相色谱(GC)D. 质谱(MS)2. 以下哪种方法不适用于药物的定量分析?A. 紫外-可见光谱法B. 核磁共振(NMR)分析C. 荧光光谱法D. 原子吸收光谱法3. 药物分析中,用于确定药物纯度的常用指标是什么?A. 熔点B. 溶解度C. 旋光度D. 比旋光度4. 药物分析中,以下哪种物质不属于杂质?A. 原料药中的微量金属B. 合成过程中的副产物C. 药物中的有效成分D. 药物储存过程中的降解产物5. 在药物分析中,以下哪种方法可以用于检测药物的稳定性?A. 热重分析(TGA)B. 差示扫描量热法(DSC)C. 红外光谱法(IR)D. 以上都是二、填空题6. 在药物分析中,_________是指在一定条件下,药物分解或转化为其他物质的速率。
7. 药物分析中,_________是指药物在特定溶剂中的溶解能力。
8. 药物分析中,_________是指药物在不同波长下的吸光度,用于定量分析。
9. 药物分析中,_________是指药物在不同溶剂中的分配系数,用于研究药物的溶解度和分配特性。
10. 药物分析中,_________是指药物分子在特定条件下的振动频率,用于表征药物的结构。
三、简答题11. 简述高效液相色谱(HPLC)在药物分析中的应用。
12. 解释什么是药物的生物等效性,并说明其在药物分析中的重要性。
13. 描述药物分析中如何使用质谱(MS)来鉴定未知化合物。
14. 阐述药物分析中如何通过紫外-可见光谱法来确定药物的浓度。
15. 药物分析中,如何通过熔点测定来评估药物的纯度?四、计算题16. 假设你有一个药物样品,其在最大吸收波长下的吸光度为0.5,已知该药物的标准曲线方程为A=0.01C+0.1,其中A是吸光度,C是药物的浓度(mg/mL)。
请计算该药物样品的浓度。
质谱剖析习题一、简答题1.以单聚焦质谱仪为例,说明构成仪器各个主要部分的作用及原理。
2.双聚焦质谱仪为何能提升仪器的分辨率3.试述飞翔时间质谱计的工作原理, 它有什么特色4.比较电子轰击离子源、场致电离源及场分析电离源的特色。
5.试述化学电离源的工作原理。
6.有机化合物在电子轰击离子源中有可能产生哪些种类的离子从这些离子的质谱峰中能够获取一些什么信息7.怎样利用质谱信息来判断化合物的相对分子质量判断分子式8.色谱与质谱联用后有什么突出特色9.怎样实现气相色谱-质谱联用10.试述液相色谱-质谱联用的急迫性。
二、选择题1. 3,3- 二甲基戊烷:遇到电子流轰击后,最简单断裂的键位是:()A1和4B2和3C5和6D2和 32.在丁烷的质谱图中,M对( M+1)的比率是()A 100:B 100:C 100:D 100:3.以下化合物含C、 H或 O、N,试指出哪一种化合物的分子离子峰为奇数()A C6H6BC 6H5NO2 C C 4H2 N6OD C 9H10 O24.在以下化合物中,何者不可以发生麦氏重排()5.用质谱法剖析无机资料时,宜采纳下述哪一种或几种电离源()A 化学电离源B电子轰击源C高频火花源 D B或C6.某化合物的质谱图上出现m/ z31的强峰,则该化合物不行能为()A醚B醇C胺D醚或醇7.一种酯类(M=116),质谱图上在m/ z 57(100%), m/ z 29(27%)及 m/ z 43(27%)处均有离子峰,初步推测其可能构造以下,试问该化合物构造为()A (CH 3) 2 CHCOOCB CH3CHCOOCHCHCH252223C CH3(CH2) 3COOCH3D CH 3 COO(CH2)3CH38.按分子离子的稳固性摆列下边的化合物序次应为() A苯> 共轭烯烃 > 酮> 醇B苯> 酮> 共轭烯烃 > 醇C共轭烯烃 > 苯> 酮> 醇D苯> 共轭烯烃 > 醇> 酮9.化合物在质谱图上出现的主要强峰是()A m/z 15B m/z29C m/z43D m/z7110.溴己烷经均裂后,可产生的离子峰的最可能状况为:()A m/ z 93B m/ z 93和 m/ z 95C /71D /71和 /73m z m z m z11.在 C2 H 5F 中, F 对下述离子峰有贡献的是()AM B+1C+2D及+2 M M M M12.某化合物的 S 图上出现/74 的强峰,R 光谱在 3400~ 3200cm -1有一宽峰, 1700~ 1750c-1M m e m 有一强峰,则该化合物可能是()A R 1-( CH2)3- COOCH3B R 1-( CH2)4- COOHC R 1-CH2(CH3 ) - CH2- CH- COOHDB或C13.在质谱图谱中若某烃化合物的(M+1) 和 M峰的强度比为24: 100 ,则在该烃中存在碳原子的个数为()。
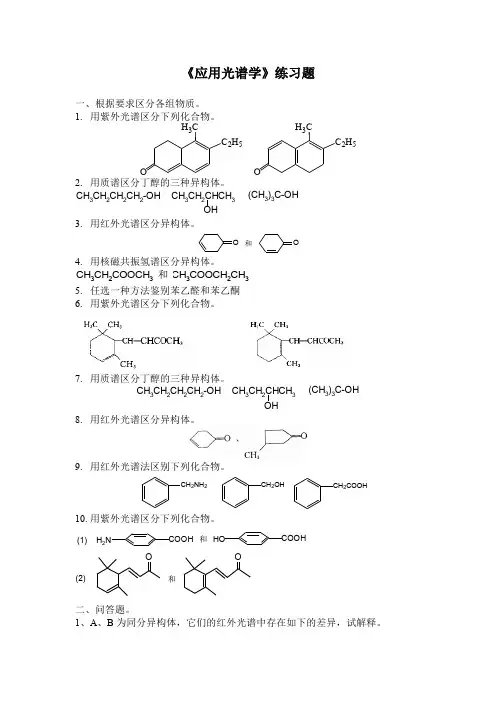
《应用光谱学》练习题一、根据要求区分各组物质。
1. 用紫外光谱区分下列化合物。
H 3CC 2H 5OH 3CC 2H 5O2. 用质谱区分丁醇的三种异构体。
CH 3CH 2CH 2CH 2-OH CH 3CH 2CHCH 3OH(CH 3)3C-OH3. 用红外光谱区分异构体。
OO4.CH 3CH 2COOCH 33COOCH 2CH 35. 任选一种方法鉴别苯乙醛和苯乙酮6. 用紫外光谱区分下列化合物。
7. 用质谱区分丁醇的三种异构体。
CH 3CH 2CH 2CH 2-OHCH 3CH 2CHCH 3OH(CH 3)3C-OH8. 用红外光谱区分异构体。
9. 用红外光谱法区别下列化合物。
(1)CH 2NH 2CH 2OHCH 2COOH10. 用紫外光谱区分下列化合物。
H 2NCOOH HOCOOHOO二、问答题。
1、A 、B 为同分异构体,它们的红外光谱中存在如下的差异,试解释。
O O OH OOOH2、解释苯酚和苯酚钠紫外光谱的差异。
苯酚210nm , 270nm 苯酚钠235nm , 287nm3、甲醇是测定紫外光谱时常用的溶剂,而测定红外光谱时不能用甲醇作溶剂为什么?4. 如何用紫外光谱法、红外光谱法、核磁共振法区别有机化合物(如1,2—二苯基乙烯)的顺、反几何异构体?5.下列化合物用“箭头”标记的氢核,何者共振峰位于低场?为什么?CO CH36. 比较化合物中用箭头标记的氢核,何者氢核的共振峰位于低场?为什么?COCO(1)(2)与7. 某化合物经MC检测出分子离子峰的m/z为67。
试问,从分子离子峰的质荷比,你可获得哪些结构信息?8. 从防风草分离得一化合物,其紫外光谱在乙醇中λmax=241nm。
根据文献及其它光谱测定可能为松香酸(A)或左旋海松酸(B)。
试问从防风草分离的该化合物为何物?COOH COOH(A)(B)9.用其它方法分得一成分,测得UV光谱的λmax=268nm,初步确定该化合物结构可能位A或B。
质谱练习题答案质谱练习题答案质谱是一种分析化学技术,广泛应用于化学、生物、环境等领域。
它通过将化合物转化为离子,并根据离子的质量-电荷比进行分析,从而得到化合物的结构和组成信息。
质谱练习题是帮助学生巩固质谱原理和应用知识的重要工具。
下面是一些常见的质谱练习题及其答案,希望对学习者有所帮助。
题目一:以下哪个质谱仪不适用于大分子的质谱分析?A. 液质谱仪B. 气质谱仪C. 电喷雾质谱仪D. MALDI-TOF质谱仪答案:B. 气质谱仪解析:气质谱仪主要适用于描绘小分子化合物的质谱图谱,而对于大分子化合物如蛋白质、多肽等,气质谱仪的分析能力有限。
相比之下,液质谱仪、电喷雾质谱仪和MALDI-TOF质谱仪在大分子分析方面表现更出色。
题目二:以下哪个质谱技术适用于分析化合物的分子量?A. GC-MSB. LC-MSC. MALDI-TOF-MSD. 电喷雾质谱答案:C. MALDI-TOF-MS解析:MALDI-TOF-MS(基质辅助激光解析离子飞行时间质谱)是一种常用于分析化合物分子量的质谱技术。
它通过将样品与基质混合,利用激光脉冲将样品分子转化为离子,并根据离子的飞行时间来测定其质量。
题目三:以下哪个离子化技术适用于气相色谱质谱联用分析?A. 电子轰击离子化(EI)B. 化学电离(CI)C. 电喷雾离子化(ESI)D. 大气压化学电离(APCI)答案:A. 电子轰击离子化(EI)解析:气相色谱质谱联用分析中常用的离子化技术是电子轰击离子化(EI)。
在EI离子源中,电子束与分析物分子碰撞,使其电离产生碎片离子。
这些离子会根据质量-电荷比被质谱仪分析,从而得到分析物的质谱图谱。
题目四:以下哪个质谱技术适用于分析化合物的结构?A. 质子转移反应质谱(PTR-MS)B. 碰撞诱导解离质谱(CID)C. 高分辨质谱(HRMS)D. 脂质质谱(Lipidomics)答案:B. 碰撞诱导解离质谱(CID)解析:碰撞诱导解离质谱(CID)是一种常用于分析化合物结构的质谱技术。
课程基本信息学科物理年级高二学期第一学课题质谱仪与回旋加速器教科书书名:物理选择性必修2出版社:人民教育出版社学生信息姓名学校班级学号课后练习练习与应用(教材19页)第1题、第2题、第4题补充练习:1.质谱仪是测量带电粒子的比荷和分析同位素的重要工具。
如图所示,带电粒子从容器A下方的小孔S1飘入电势差为U的加速电场,其初速度几乎为零,然后经过S3沿着与磁场垂直的方向进入磁感应强度为B的匀强磁场中,最后打到照相底片D上。
现有某种元素的三种同位素的原子核由容器A进入质谱仪,最后分别打在底片P1、P2、P3三个位置。
不计粒子重力。
则打在P1处的粒子A.质量最小B.比荷最小C.动能最小D.动量最小2.在高能物理研究中,回旋加速器起着重要作用,其工作原理如图所示。
D1和D2是两个中空的半圆金属盒,它们之间有一定的电势差。
两个半圆盒处于与盒面垂直的匀强磁场中。
中央A处的粒子源产生的α粒子,在两盒之间被电场加速,α粒子进入磁场后做匀速圆周运动。
忽略α粒子在电场中的加速时间,不考虑相对论效应。
下列说法正确的是A.α粒子运动半个圆周之后,电场的方向必须改变B.α粒子在磁场中运动的周期越来越大C.磁感应强度越大,α粒子离开加速器时的动能就越大D.两盒间电势差越大,α粒子离开加速器时的动能就越大3.质谱仪是一种精密仪器,是测量带电粒子的质量和分析同位素的重要工具。
图中所示的质谱仪是由加速电场和偏转磁场组成。
带电粒子从容器A下方的小孔S1飘入电势差为U 的加速电场,其初速度几乎为0,然后经过S 3沿着与磁场垂直的方向进入磁感应强度为B 的匀强磁场中,最后打到照相底片D 上。
不计粒子重力。
(1)若由容器A 进入电场的是质量为m 、电荷量为q的粒子,求:a .粒子进入磁场时的速度大小v ;b .粒子在磁场中运动的轨道半径R 。
(2)若由容器A 进入电场的是互为同位素的两种原子核P 1、P 2,由底片上获知P 1、P 2在磁场中运动轨迹的直径之比是2: 1。
例1:未知物1得质谱图。
解:从图谱上瞧,该化合物得裂解碎片极少,说明应为具有高度稳定性结构得化合物,不易进一步被裂解。
例2、未知物2得质谱图。
解:该化合物为具有两个稳定结构单元得化合物,分子离子峰具有较为稳定得结构,易失去一个苯基形成m/z105得高度稳定得碎片。
分子离子与m/z105碎片离子之间由较弱得键连接。
例3、未知物3得质谱图。
解:该化合物得质谱峰很孤单,同位素峰丰度非常小,低质量端得峰没有伴随峰。
示该化合物含有单同位素元素,分子中得氢很少。
例4:未知物4得质谱图。
解:髙质量端得质谱峰很弱,低质量端得质谱峰多而强。
示为脂肪族化合物。
例5、某化合物得化学式就是C8H16O,其质谱数据如下表,试确定其结构式43 57 58 71 85 86 128 相对丰度/% 100 80 57 77 63 25 23 解:⑴ 不饱与度Ω=1+8+(16/2)=1,即有一个双键(或一个饱与环);⑵ 不存在烯烃特有得m/z41及41+14n系列峰(烯丙基得α断裂所得),因此双键可能为羰基所提供,而且没有m/z29(HCO+)得醛特征峰,所以可能就是一个酮;⑶ 根据碎片离子表,m/z为43、57、71、85得系列就是C n H2n+1及C n H2n+1CO 离子,分别就是C3H7+、CH3CO+,C4H9+、C2H5CO+,C5H11+、C3H7CO+及C6H13+、C4H9CO+离子;⑷ 化学式中N原子数为0(偶数),所以m/z为偶数者为奇电子离子,即m/z86与58得离子一定就是重排或消去反应所得,且消去反应不可能,所以就是发生麦氏重排,羰基得γ位置上有H,而且有两个γH。
m/z86来源于M42(C3H6、丙稀),表明m/z86得离子就是分子离子重排丢失丙稀所得; m/z58得重排离子就是m/z86得离子经麦氏重排丢失质量为26得中性碎片(C2H4、乙烯)所产生, 从以上信息及分析,可推断该化合物可能为:由碎片裂解得一般规律加以证实:例6、某化合物由C、H、O三种元素组成,其质谱图如下图,测得强度比M :(M+1) :(M+2)=100 :8、9 :0、79 试确定其结构式。
质谱练习题答案根据您的要求,我将为您编写一篇关于质谱练习题答案的文章,以下是文章的正文:质谱练习题答案一、选择题1.答案:C。
在质谱仪中,离子会穿过磁场,其轨迹受磁场的影响而弯曲。
质谱仪的磁场通常为恒定磁场,因此质谱仪中的离子在磁场中盘旋运动。
2.答案:A。
质谱仪的工作原理是通过将化合物分子中的分子或原子离子化,使其得到带电,然后根据其质量和电荷比,通过磁场的作用将其分离并检测。
因此,质谱仪主要用于分析化合物的质量。
3.答案:B。
质谱仪中,离子会被加速器加速,使其具有一定的动能。
离子的动能与其质量和电荷成正比,动能越高,离子在质谱仪中运动的速度越快。
因此,质量较大的离子会以较慢的速度通过质谱仪。
4.答案:D。
质谱仪中使用的离子检测器主要有离子倍增器和荧光检测器。
离子倍增器能够将进入其中的离子放大数倍,从而提高其检测的灵敏度。
荧光检测器则通过检测离子与材料之间的荧光发射来实现离子的检测。
5.答案:C。
在质谱仪中,离子会根据其质量和电荷比在磁场中偏转,不同质量的离子会以不同的轨迹运动。
离子的运动轨迹会被记录并转化为质谱图,从而可以通过质谱图来确定化合物中的成分。
二、填空题1.答案:毛细管电泳质谱(CE-MS)。
毛细管电泳质谱(Capillary Electrophoresis-Mass Spectrometry)是将毛细管电泳与质谱技术相结合的一种分析方法,可以用于分析极性化合物、药物、蛋白质等。
2.答案:飞行时间质谱(TOF-MS)。
飞行时间质谱(Time-of-Flight Mass Spectrometry)是一种基于离子在磁场中飞行时间差异的分析方法,可以用于测定离子的质量。
它具有高分辨率、高灵敏度的特点。
3.答案:MALDI-TOF-MS。
MALDI-TOF-MS(Matrix-assisted Laser Desorption/Ionization Time-of-Flight Mass Spectrometry)是一种基于激光诱导裂解的质谱分析方法,常用于生物大分子(如蛋白质、多肽等)的分析。
分析化学仪器分析习题答案分析化学仪器分析习题答案分析化学仪器是现代化学分析的重要工具,通过它们可以对样品中的成分进行准确、快速的分析。
在学习分析化学仪器的过程中,习题是不可或缺的一部分。
通过解答习题,我们可以巩固所学的知识,提高对仪器原理和操作的理解。
下面将针对一些常见的分析化学仪器习题进行分析和解答。
一、气相色谱仪习题1. 某气相色谱仪的色谱柱长度为30米,内径为0.25毫米,填充物为5%聚二甲基硅氧烷。
某物质在该色谱柱上的保留时间为10分钟,计算该物质的线速度。
解答:线速度可以用公式v = L/t计算,其中L为色谱柱长度,t为保留时间。
代入数据计算得到线速度v = 30/10 = 3米/分钟。
2. 某气相色谱仪的进样口温度为250摄氏度,某物质的沸点为200摄氏度,该物质能否通过该进样口进入色谱柱?解答:进样口温度高于物质的沸点,说明该物质在进样口处已经处于气态,因此可以通过进样口进入色谱柱。
二、液相色谱仪习题1. 某液相色谱仪的流动相为甲醇-水溶液,甲醇的体积分数为60%,某物质的保留时间为5分钟,计算该物质的保留指数。
解答:保留指数可以用公式K' = (t - t0)/t0计算,其中t为保留时间,t0为流动相的保留时间。
甲醇的体积分数为60%,因此t0 = 5/(1-0.6) = 12.5分钟。
代入数据计算得到保留指数K' = (5 - 12.5)/12.5 = -0.6。
2. 某液相色谱仪的检测器为紫外可见光检测器,波长为254纳米,某物质在该波长下的吸光度为0.8,计算该物质的浓度。
解答:浓度可以用公式A = εlc计算,其中A为吸光度,ε为摩尔吸光系数,l 为光程。
由于未给出摩尔吸光系数和光程,无法计算出物质的浓度。
三、质谱仪习题1. 某质谱仪的分辨率为5000,某物质的两个峰之间的质量差为0.1原子单位,计算该物质的质量。
解答:分辨率可以用公式R = m/Δm计算,其中R为分辨率,m为质量,Δm 为两个峰之间的质量差。
一、单选题1. 以下自旋量子数I=0的原子核是( ) A.919FB. 24HeC. 11HD.714N2. NMR 中,当质子核外电子云密度增加时( ) A. 屏蔽效应增强,相对化学位移大,峰出现在高场 B. 屏蔽效应减弱,相对化学位移大,峰出现在高场 C. 屏蔽效应增强,相对化学位移小,峰出现在高场 D. 屏蔽效应增强,相对化学位移大,峰出现在低场3. 下列化合物中,化学位移最小的是( ) A. CH 3BrB. CH 3ClC. CH 3ID. CH 3F4. 下列化合物中,哪种标有*的氢具有最大的化学位移( ) A. CH 4*B. CH 3*CH 3C. CH 2* (CH 3)2D. CH * (CH 3)35. 1HNMR 不能直接提供以下哪种结构信息( ) A. 不同质子的种类数B. 同类质子个数C. 化合物中双键的个数与位置D. 相邻碳原子上质子的个数6. 二氟甲烷中质子峰的裂分数和强度为( ) A. 1和1B. 2和1:1C. 3和1:2:1D. 4和1:3:3:17. 下列哪种核磁技术不能简化图谱( ) A. 加大磁场强度B. 化学位移试剂C. 去偶法D. 改变内标试剂8. 下列系统中,哪种质子和其它原子之间能观察到自旋分裂现象( ) A.H O 16-B.H Cl 35-C.H Br 79-D.H F 19-9. 下面化合物在NMR 中出现单峰的是( ) A. CH 3CH 2ClB. CH 3CH 2OHC. CH 3CH 3D. CH 3CH(CH 3)210.分子式为C 5H 10O 的化合物,其NMR 谱上只出现两个单峰,最有可能的结构式为( ) A. (CH 3)2CHCOCH 3B. CH 3CH 2CH 2COCH 3C. (CH 3)3COHD. CH 3CH 2COCH 2CH 311.下列分子中(a )(b )质子属于磁等价的是( )A. CCH 3H ClCCH 3Ha B.C CHaHbF FC. ClHaHbD.NHa Hb HClCl12.某二氯甲苯的1H NMR谱图中,呈现一组单峰,一组二重峰一组三重峰,则该化合物可能是()A.CH3ClClB.CH3Cl C.CH3ClD.CH3ClCl13.试指出下列哪种说法是正确的()A. 质量数最大的峰为分子离子峰B. 强度最大的峰为分子离子峰C. 质量数第二大的峰为分子离子峰D. 降低电离室的轰击能量,分子离子峰的强度会增大14.若某烃类化合物MS谱图上M+1和M峰的强度比为24:100,则该烃中可能存在碳数为()A. 2个B. 8个C. 22个D. 46个15.仅由CHO组成的有机化合物的分子离子峰的质荷比为()A. 由仪器的质量分析器决定B. 奇数C. 由仪器的离子源决定D. 偶数16.某化合物分子离子峰区相对丰度为M/M+2/M+4=1:2:1,该分子是中可能含有溴原子的个数为()A. 1个B. 2个C. 3个D. 4个17.采用电子轰击源时,分子离子能被进一步裂解成多种碎片离子,其主要原因是()A. 加速电场的作用B. 碎片离子均比分子离子稳定C. 电子流的能量大D. 分子之间相互碰撞18.某酯的质谱图上m/z=71和m/z=43处有碎片离子峰出现,则该酯的C、H组成可为()A. C5H10B. C4H8C. C5H12D. C4H1019.下列能产生m/92强离子峰的结构可能是()A. B. C. D.20.质谱图中,CH3Cl的M+2峰强度约为M峰的()A. 1/3B. 1/2C.1/4D.相当21.区分CH3C6H5Cl和CH3C6H5Br 下别化合物最为简便的方法是()A. IRB. UVC. NMRD. MS22.采用磁质量分析的质谱仪,若磁场强度保持恒定,而加速电压逐渐增加,则最先通过固定的收集器狭缝的是()。
质谱分析考试题及答案一、选择题(每题2分,共20分)1. 质谱分析中,分子离子峰是指:A. 离子峰中最重的峰B. 离子峰中质量最小的峰C. 分子失去一个电子形成的离子峰D. 分子失去一个氢原子形成的离子峰答案:C2. 质谱分析中,同位素峰是指:A. 由于分子中含有不同质量的同位素原子而形成的峰B. 由于仪器误差而形成的峰C. 由于样品不纯而形成的峰D. 由于操作失误而形成的峰答案:A3. 在质谱分析中,质荷比(m/z)是指:A. 离子的质量与电荷的比值B. 离子的电荷与质量的比值C. 离子的质量与分子的比值D. 离子的电荷与分子的比值答案:A4. 质谱分析中,分辨率(R)是指:A. 相邻两个峰的峰高之比B. 相邻两个峰的峰宽之比C. 相邻两个峰的峰面积之比D. 相邻两个峰的质量差与其平均质量的比值答案:D5. 质谱分析中,碎片离子峰是指:A. 分子离子失去一个电子形成的离子峰B. 分子离子失去一个氢原子形成的离子峰C. 分子离子进一步断裂形成的离子峰D. 分子离子与溶剂分子结合形成的离子峰答案:C6. 在质谱分析中,电子轰击电离(EI)是一种:A. 软电离技术B. 硬电离技术C. 化学电离技术D. 电喷雾电离技术答案:B7. 质谱分析中,质谱图的横坐标表示的是:A. 离子的电荷数B. 离子的质量数C. 离子的质荷比D. 离子的动能答案:C8. 质谱分析中,质谱图的纵坐标表示的是:A. 离子的电荷数B. 离子的质量数C. 离子的质荷比D. 离子的相对丰度答案:D9. 质谱分析中,质谱仪的灵敏度通常是指:A. 仪器的分辨率B. 仪器的检测限C. 仪器的扫描速度D. 仪器的稳定性答案:B10. 在质谱分析中,质谱仪的动态范围是指:A. 仪器能够检测到的离子质量范围B. 仪器能够检测到的离子电荷范围C. 仪器能够检测到的离子丰度范围D. 仪器能够检测到的离子能量范围答案:C二、填空题(每空1分,共20分)1. 质谱分析中,分子离子峰的质荷比等于分子的相对分子质量减去________。
质谱练习题及答案1. 填空题a) 质谱仪是一种根据样品的质荷比进行分析的仪器。
b) 入射系统的作用是将待分析的分子样品转化成离子态。
c) 质谱分析中,离子的质荷比可以通过磁场的作用进行分离。
d) 质谱仪中的检测器通常使用电子倍增器或光电倍增管。
2. 选择题a) 在质谱仪中,对于需要高分辨率的分析,应该选择:1) 超高真空系统2) 离子源温度控制3) 离子选择器4) 磁场强度调节答案:1) 超高真空系统b) 以下哪个是常用的质谱分析模式:1) MALDI2) ELISA3) HPLC4) GC答案:4) GC (气相色谱)3. 计算题对于一台质谱仪,其磁场强度为0.5 T,质荷比分辨率为3000。
若待测离子的质量为100 Daltons,它的质荷比误差是多少?答案:质荷比误差 = (质荷比分辨率)^(-1) = 1/3000 = 0.000333质荷比误差 = 目标离子质荷比 / 质荷比= 100 / 0.000333 ≈ 300300.34. 简答题请简要说明质谱仪的工作原理。
质谱仪通过将待测样品化为离子态,并在磁场中进行分离和测量来进行分析。
首先,样品通过入射系统进入离子源,在离子源中,样品分子通常通过电离技术,如电子轰击电离或化学离子化,转化为离子。
接下来,离子进入质荷比选择器,该选择器根据离子的质量和电荷进行瞬时分离。
离子在磁场中沿着螺旋轨道运动,不同质荷比的离子会受到不同的向心力,导致它们在运动轨迹上产生分离。
最后,离子进入检测器,如电子倍增器或光电倍增管,被转化为电信号,并经过放大和记录,最终得到质谱图谱。
质谱图谱展示了不同质荷比的离子的相对丰度或峰强度,进而用于确定样品中不同化合物的存在和浓度。
通过以上练习题,我们可以加深对质谱仪的原理和应用的理解。
质谱仪作为一种重要的分析工具,广泛用于化学、生物、环境等领域的研究中。
它可以提供准确、快速和灵敏的分析结果,为科学研究和工业应用提供有力支持。
高考物理质谱仪和磁流体发电机习题知识点及练习题附答案解析一、高中物理解题方法:质谱仪和磁流体发电机1.质谱仪是一种测定带电粒子质量和分析同位素的重要工具,它的构造原理如图所示离子源S产生的各种不同正离子束速度可看作为零,经加速电场加速电场极板间的距离为d、电势差为加速,然后垂直进入磁感应强度为B的有界匀强磁场中做匀速圆周运动,最后到达记录它的照相底片P上设离子在P上的位置与入口处之间的距离为x.求该离子的荷质比;若离子源产生的是带电量为q、质量为和的同位素离子,它们分别到达照相底片上的、位置图中末画出,求、间的距离.【答案】(1)(2)【解析】【分析】(1)根据粒子在磁场中的运动半径,通过半径公式求出粒子的速度,再根据动能定理得出粒子的比荷.(2)根据动能定理、半径公式求出粒子打到照相机底片上位置与入口处的距离,从而求出P1、P2间的距离△x.【详解】(1)离子在电场中加速,由动能定理得:;离子在磁场中做匀速圆周运动,由牛顿第二定律得:由①②式可得:(2)由①②式可得粒子在磁场中的运动半径是,则:对离子,同理得:则照相底片上、间的距离:;2.一束硼离子以不同的初速度,沿水平方向经过速度选择器,从O 点进入方向垂直纸面向外的匀强偏转磁场区域,分两束垂直打在O 点正下方的离子探测板上P 1和P 2点,测得OP 1:OP 2=2:3,如图甲所示.速度选择器中匀强电场的电场强度为E ,匀强磁场的磁感应强度为B 1,偏转磁场的磁感应强度为B 2.若撤去探测板,在O 点右侧的磁场区域中放置云雾室,离子运动轨迹如图乙所示.设离子在云雾室中运动时受到的阻力F f =kq ,式中k 为常数,q 为离子的电荷量.不计离子重力.求(1)硼离子从O 点射出时的速度大小; (2)两束硼离子的电荷量之比;(3)两种硼离子在云雾室里运动的路程之比. 【答案】(1)1Ev B =;(2)3:2;(3)2:3. 【解析】 【分析】 【详解】只有竖直方向受力平衡的离子,才能沿水平方向运动离开速度选择器 由电场力公式F 电=qE洛伦兹力公式F 洛=qvB 1则有F 电=F 洛综合以上可得1E v B =(2)设到达P 1点离子的电荷量为q 1,到达P 2点离子的电荷量为q 2,进入磁场后,根据牛顿第二定律,则有22v qvB m r=解得2mvr qB =根据题意有1223r r = 考虑到进入偏转磁场的硼离子的质量相同、速度相同,得122132q r q r == (3)设电荷量为q 1离子运动路程为s 1,电荷量为q 2离子运动路程为s 2,在云雾室内受到的阻力始终与速度方向相反,做负功,洛伦兹力不做功,有W =﹣F f s =△E K且F f =kq得122123s q s q ==3.质谱仪可用来对同位素进行分析,其主要由加速电场和边界为直线PQ 的匀强偏转磁场组成,如图甲所示。
质谱练习题及答案一、选择题1. 质谱法中,分子离子峰通常出现在质谱图的哪个部分?A. 低质量端B. 高质量端C. 不确定D. 没有分子离子峰2. 质谱分析中,同位素峰是指:A. 由不同元素组成的离子峰B. 由同一元素不同核素组成的离子峰C. 由分子的不同结构异构体产生的离子峰D. 由分子的电子激发态产生的离子峰3. 质谱分析中,碎片离子峰通常用于:A. 确定分子的精确质量B. 确定分子的分子式C. 推断分子结构D. 测量分子的热稳定性4. 在质谱分析中,电子电离源(EI)产生的离子化方式是:A. 通过电子撞击分子B. 通过激光照射分子C. 通过化学反应D. 通过静电场5. 质谱分析中,软电离技术的主要目的是:A. 减少分子离子的碎片化B. 增加分子离子的碎片化C. 测量分子的热稳定性D. 测量分子的光学性质二、填空题1. 在质谱分析中,______是指分子失去一个或多个原子或原子团后形成的离子。
2. 质谱图上的基峰是指______的峰,通常用于校正质谱仪。
3. 质谱分析中,______是分子离子失去一个质子形成的离子,通常用于确定分子的分子式。
4. 质谱分析中,______是一种利用分子与激光相互作用产生的离子化方式,常用于生物大分子的分析。
5. 质谱分析中,______是一种通过分子与惰性气体原子碰撞产生的离子化方式,常用于分析分子的热稳定性。
三、简答题1. 请简要说明质谱分析中,分子离子峰和碎片离子峰的区别。
2. 描述质谱分析中,软电离技术与硬电离技术的主要区别。
3. 质谱分析中,为什么需要使用同位素校正来确定分子的精确质量?四、计算题1. 假设一个分子的分子量为 180.1 Da,已知其同位素丰度为:M+1 为 1.1%,M+2 为 0.3%。
请计算该分子的精确质量。
2. 如果一个分子的质谱图上显示了M+1和M+2的峰,且M+1的相对强度为10%,M+2的相对强度为1%,已知该分子的元素组成为C5H10O2,计算该分子的分子式。
例1:未知物1的质谱图。
解:从图谱上看,该化合物的裂解碎片极少,说明应为具有高度稳定性结构的化合物,不易进一步被裂解。
例2、未知物2的质谱图。
解:该化合物为具有两个稳定结构单元的化合物,分子离子峰具有较为稳定的结构,易失去一个苯基形成m/z105的高度稳定的碎片。
分子离子与m/z105碎片离子之间由较弱的键连接。
例3、未知物3的质谱图。
解:该化合物的质谱峰很孤单,同位素峰丰度非常小,低质量端的峰没有伴随峰。
示该化合物含有单同位素元素,分子中的氢很少。
例4:未知物4的质谱图。
解:髙质量端的质谱峰很弱,低质量端的质谱峰多而强。
示为脂肪族化合物。
例5、某化合物的化学式是C8H16O,其质谱数据如下表,试确定其结构式
43 57 58 71 85 86 128 相对丰度/% 100 80 57 77 63 25 23 解:⑴ 不饱和度Ω=1+8+(-16/2)=1,即有一个双键(或一个饱和环);
⑵ 不存在烯烃特有的m/z41及41+14n系列峰(烯丙基的α断裂所得),因此双键可能为
羰基所提供,而且没有m/z29(HC O+)的醛特征峰,所以可能是一个酮;
⑶ 根据碎片离子表,m/z为43、57、71、85的系列是C n H2n+1及C n H2n+1CO 离
子,分别是C3H7+、CH3CO+,C4H9+、C2H5CO+,C5H11+、C3H7CO+及C6H13+、C4H9CO+离子;
⑷ 化学式中N原子数为0(偶数),所以m/z为偶数者为奇电子离子,即m/z86
和58的离子一定是重排或消去反应所得,且消去反应不可能,所以是发生麦氏重排,羰基的γ位置上有H,而且有两个γ-H。
m/z86来源于M-42(C3H6、丙稀),表明m/z86的离子是分子离子重排丢失丙稀所得; m/z58的重排离子是m/z86的离子经麦氏重排丢失质量为26的中性碎片(C2H4、乙烯)所产生,从以上信息及分析,可推断该化合物可能为:
由碎片裂解的一般规律加以证实:
例6、某化合物由C、H、O三种元素组成,其质谱图如下图,测得强度比M :(M+1):(M+2)=100 ::试确定其结构式。
解:⑴ 化合物的分子量M=136,根据M、M+1、M+2强度比值,可以看出该化合物不含S、Cl、Br原子,从M+1/M的强度比估计该化合物大约含有8个碳原子。
查Beynon表,根据氮规则确定该化合物最可能的化学式为C8H8O2;
⑵ 计算不饱和度,Ω=1+8+(-8/2)=5,图谱中m/z77、51以及39的离子峰,表明化合物中有单取代苯环。
苯环的不饱和度为4,还剩余一个不饱和度,考虑到分子中有两个原原子,其剩余的不饱和度很可能是构成C=O基);
⑶m/z105峰应由m/z136的分子离子丢失或产生;m/z 77峰为苯基碎片离子峰,由m/z105脱 CO或C2H4所得。
由于图谱中没有m/z91的峰,所以
m/z105的碎片离子不可能烷基苯侧链断裂形成的,该峰只能是苯甲酰基离子。
综上所述,该化合物的可能结构为:或。
用IR光谱很容易确定为哪一种结构。
例7、某化合物的化学式为C5H12S,其质谱如下图,试确定其结构式。
化合物C5H12S的质谱图。
解:⑴计算不饱和度,Ω=1+5+(-12/2)=0,为饱和化合物;
⑵图中有m/z70、42的离子峰,根据氮规则,这两峰应为奇电子离子峰,是通过重排或消去反应形成。
分子离子峰为m/z104,丢失34质量单位后生成碎片离子m/z70,丢失的碎片应为H2S中性分子,说明化合物是硫醇;m/z 42是分子离子丢失(34+28)后产生的离子,即丢失了中性碎片(H2S+C2H4),其裂解过程可能是下述二种结构通过六元环的过渡。
⑶m/z47是一元硫醇发生α断裂产生的离子CH2=H
⑷m/z61是CH2 CH2SH离子,说明有结构为R-CH2-CH2-SH 存在;
⑸m/z29是C2H5+离子,说明化合物是直链结构,m/z 55、41、27离子系列是烷基键的碎片离子。
综上解释,该化合物最可能结构式为: CH3-(CH2)3-CH2SH0。
例8:一个羰基化合物,经验式为C6H12O,其质谱见下图,判断该化合物是何物。
解:图中m/z100的峰可能为分子离子峰,那么它的分子量则为100。
m/z85的峰是分子离子脱掉质量数为15的碎片所得,应为脱去一个甲基。
m/z 43的碎片等于M-57,是分子去掉
C4H9的碎片。
m/z 57的碎片是C4H9+或者是M-(Me-CO)。
根据酮的裂分规律可初步判断它为甲基丁基酮,裂分方式为:
以上结构中C4H9可以是伯、仲、叔丁基,质谱图中的m/z 72峰,应该是分子离子经麦氏重排脱去乙烯分子后生成的碎片离子。
只有仲丁基经麦氏重排后才能得到m/z72的碎片,如为正丁基通过麦氏重排得不到m/z 72的碎片。
因此该化合物为3-甲基-2-戊酮。
习题
1、简述单聚焦质谱的工作原理。
2、质谱仪由哪几部分组成各部分的作用是什么(划出质谱仪的方框示意图)
3、在质谱仪中当收集离子的狭缝位置和加速电压V固定时,若逐渐增大磁场强度H,对具
4、在质谱分析中,较常遇到的离子断裂方式有哪几种
5、认别质谱图中的分子离子峰应注意哪些问题如何提高分子离子峰的强度
6、有不同质荷比的正离子,其通过狭缝的顺序如何确定
7、在质谱仪中若将下述的离子分离开,其具有的分辨率是多少
(1) C12H10O+和C12H11N+ (2)CH2CO+和C3H7+
8、用质谱法对四种化合物的混合物进行定量分析,它们的分子量分别为,
9、解释下列术语:均裂、异裂、半异裂、分子离子(峰)、同位素离子(峰)、亚稳离子(峰)、麦氏重排、消除反应、奇电子离子、偶电子离子、氮律。
10、试确定具有下述分子式的化合物,其形成的离子具有偶数电子,还是奇数电子
(1)C3H8(2)CH3CO (3)C6H5COOC2H5(4)C6H5NO2
11、有一化合物其分子离子的m/z分别为120,其碎片离子的m/z为105,问其亚稳离子的m/z是多少
12、某有机化合物(M=140)其质谱图中有m/z分别为83和57的离子峰,试问下述哪种结构式与上述质谱数据相符合。
13解释下列化合物质谱中某些主要离子的可能断裂途径:
①丁酸甲酯质谱中的m/z43、59、71、74;
②乙基苯质谱中的m/z91、92;
③庚酮-4质谱中的m/z43、71、86;
④三乙胺质谱中的m/z30、58、86。
14、某一未知物的质谱图如图所示,m/z为93,95的谱线强度接近,m/z为79,81峰也类似,而m/z为49,51 的峰强度之比为3∶1。
试推测器结构。
15、某一液体的化学式为C5H12O,bp 138℃,质谱数据如图所示,试推测其结构。
16、某化合物C4H8O的质谱图如下,试推断其结构,并写出主要碎片离子的断裂过程。
17、某化合物为C8H8O的质谱图如下,试推断其结构,并写出主要碎片离子的断裂过程
18、某一液体化合物C4H8O2, 163o C,质谱数据如下图所示,试推断其结构
19、某一液体化合物C5H12O,138℃,质谱数据如下图所示,试推断其结构
20、化合物A含C %,含H %,固体83℃;化合物B含%,含H %,液体181℃,其质谱数据分别如下图(a)、(b)所示,试推断它们的结构。