微积分II(甲)多元函数积分学练习解答
- 格式:docx
- 大小:641.70 KB
- 文档页数:13
第七章 多元函数积分学典型习题解答与提示习 题 7-11.(1)2σ=⎰⎰DV x yd ; (2)|sin |σ=⎰⎰DV xy d 。
2.提示:利用σσ=⎰⎰Dd 。
3.(1)小于零; (2)零; (3)大于零; (4)大于零。
4.(1)利用估值不等式(),σσσ≤≤⎰⎰Dm f x y d M 易于发现,当(),x y 在边界时,函数1++x y 取得最小值和最大值,已知01,02≤≤≤≤x y ,故114≤++≤x y ,即1,4==m M ,122σσ==⨯=⎰⎰Dd ,所以()218σ≤++≤⎰⎰Dx y d ;(2)提示,()()11max ,,min ,100102====M f x y m f x y ,200σ=, 故10051原积分2≤≤。
5.(1)0; (2)0; (3)124=I I 。
习 题 7-21.(1)3223a ; (2)9; (3)12; (4)0。
2.(1)83;(2)16;(3)令=DI ,1022⎡⎤===⎢⎥⎣⎦⎰⎰⎰I dx ,=t ,则21,2=-=-x t dx tdt ,()()()0122418212415I t t t dt tt dt =--=-=⎰⎰; (4)22222211arctan ⎤⎤==⎥⎥++⎣⎦⎣⎦⎰⎰⎰y y y D yy yx dxdy dx dy dy x y x y y()2111arctan arctan ln 1424ππ⎤⎡=-=-+-⎢⎥⎢⎥⎣⎦⎣⎦y dy y y y y1ln 2122=-; (5)111111+-+++----=+⎰⎰⎰⎰⎰⎰x xx yx yx y x x Dedxdy dx e dy dx e dy1111110[][]+++-----=+⎰⎰x y x x y x x x e dx e dx()()01211211+---=-+-⎰⎰x x e e dx e e dx0121121101122+---⎡⎤⎡⎤=-+-⎢⎥⎢⎥⎣⎦⎣⎦x x e e x ex e1=-e e。
微积分II (甲)多元函数积分学练习题解答1.计算二重积分22d D x yσ⎰⎰,其中D 是由1,,2y x y x x ===所围成的闭区域. 解:222121x xDx xyd dx dy y σ=⎰⎰⎰⎰ ()231124x x dx =-=⎰ 2.计算二重积分Dxyd σ⎰⎰,其中D 是由直线2y y x ==、和2y x =所围成的闭区域.解:202yy Dxyd dy xydx σ=⎰⎰⎰⎰2234003338322y dy y ⎛⎫=== ⎪⎝⎭⎰ 3. 作出积分区域的图形,交换积分次序,计算10dy ⎰.解:21021)9x I dx ==⎰⎰4.计算二重积分2,{(,)Dy xd D x y x σ-=≤⎰⎰ 解: 12D D D =⋃(1D 是所有阴影部分面积)12222DD D y x d y x d y x d σσσ-=-+-⎰⎰⎰⎰⎰⎰()()2211222101x xdx x y dy dx y x dy --=-+-⎰⎰⎰⎰11424111146(22)2215x dx x x dx --=+-+=⎰⎰. 5.用极坐标计算Dσ⎰⎰,其中D 为{22(,)|4,0,0x y x y x y +≤≥≥.解:32233220cos cos =cos cos =4DDDr r rdrd r drd d r dr d r dr ππσθθθθθθθθ=⋅⋅==⎰⎰⎰⎰⎰⎰⎰⎰⎰⎰6. 设D 为闭区域22{(,)|2}x y x y y +≤,将二重积分(,)Df x y d σ⎰⎰化为极坐标下的累次积分.2解:I=2sin 0(cos ,sin )d f r r rdr πθθθθ⎰⎰.7. 设D 为闭区域22{(,)|2,}x y x y x y x +≤≤,将二重积分(,)Df x y d σ⎰⎰化为极坐标下的累次积分.解:I=2cos 402(cos ,sin )d f r r rdr πθπθθθ-⎰⎰.8. 利用二重积分计算由曲面22z x y =+和平面1z =所围成的立体的体积. 解 设所求体积为V ,则有=V ()221Dxy d σ--⎰⎰,其中 (){}22,1D x y xy =+≤,于是=V ()()22211D Dxy d r rdrd σθ--=-⎰⎰⎰⎰=()212012d r rdr ππθ-=⎰⎰.9.求由三个坐标面和平面1=+y x 及抛物面z y x -=+622所围立体的体积. 解 设所求体积为V ,则有=V ()⎰⎰--Dd y xσ226,其中 (){}x y x y x D -≤≤≤≤=10,10,,于是=V ()⎰⎰--Dd y xσ226=()112206x dx xy dy ---⎰⎰()1323011766136x x x x dx ⎡⎤=--+--=⎢⎥⎣⎦⎰10.求由()π≤≤=x x y 0sin 与0=y 所围的均质薄板的质量中心. 解 设该薄板所在区域为D ,则 该均质薄板的面积为 0sin 2S xdx π==⎰,又有 sin 00x Dxd dx xdy πσπ==⎰⎰⎰⎰, 及sin 04x Dyd dx y dy ππσ==⎰⎰⎰⎰,由均质平面薄片的质量中心公式可得所求质量中心坐标为⎪⎭⎫⎝⎛8,2ππ.二、三重积分11. 求xydV Ω⎰⎰⎰,其中Ω为1x y +=,1z =与三个坐标面所围成的三棱柱体.解xydV Ω⎰⎰⎰111x dx dy xydz -=⎰⎰⎰=1100x dx xydy -⎰⎰()120111224x x dx =-=⎰. 12. 求()⎰⎰⎰Ω+++dV z y x 311,其中Ω为三个坐标面与平面1=++z y x 所围成的四面体.解()⎰⎰⎰Ω+++dV z y x 311()111300011x x y dx dy dz x y z ---=+++⎰⎰⎰ =()1121318821x dx x dy x y -⎡⎤-+⎢⎥++⎢⎥⎣⎦⎰⎰()1013115ln 2218828x dx x ⎡⎤⎛⎫=-+=-⎢⎥ ⎪+⎝⎭⎣⎦⎰. 13.计算下列三重积分⎰⎰⎰Ω+dV y x z 22 ,其中Ω由22z x y =+及平面1z =围成. 解 Ω在z xoy =平面上的投影区域为22{(,)1}x y x y +≤ 可用柱面坐标计算:221211122200012401224(1).21r r d r dr zdz r dr z r r dr πθπππΩ⎛⎫== ⎪⎝⎭=-=⎰⎰⎰⎰⎰⎰⎰⎰ 14. 计算,⎰⎰⎰ΩzdV 其中Ω是由球面4222=++z y x 与抛物面z y x 322=+所围成(在抛物面内的那一部分)的闭区域.解 球面4222=++z y x 与抛物面z y x 322=+的交线为2222243x y z x y z⎧++=⎪⎨+=⎪⎩ 从中解得两曲面交线为,1=z 223x y +=,Ω在xOy 面上的投影区域为:D ,30≤≤r πθ20≤≤,利用柱面坐标,对投影区域D 内任一点),,(θr 有2243r z r -≤≤, 所以I 23r DzdV rdrd θΩ==⎰⎰⎰⎰⎰⎰2203r d zdz πθ=⋅⎰⎰⎰π413=. 15.计算()d V z y x⎰⎰⎰Ω++222,其中Ω是球体1222≤++z y x .解()⎰⎰⎰⎰⎰⎰ΩΩ=++θϕρϕρd d d dV z y xsin 42222140004sin 5d d d ππθϕϕρρπ==⎰⎰⎰16. 计算球体22222a z y x ≤++在锥面22y x z +=上方部分Ω的体积.解 在球面坐标系中, :Ω,20a r ≤≤,40πϕ≤≤πθ20≤≤,故所求体积V ⎰⎰⎰Ω=dV 2240sin d d d ππθϕρϕρ=⎰⎰⎰42sin ππϕϕ=⎰.)12(343a -=π17.求由曲面)0(2222>=++a az z y x 及222z y x =+(含有z 轴部分)所围成空间的体积.解 在球面坐标下计算⎰⎰⎰⎰⎰⎰ΩΩ==θϕρϕρd d d dV V sin 222cos 240sin a d d d ππϕθϕϕρρ=⎰⎰⎰3334082cos sin 3a d a ππϕϕϕπ==⎰.18. 立体Ω是圆柱面122=+y x 内部, 平面2=z 下方, 抛物面221y x z --=上方部分, 其上任一点的密度与它到z 轴之距离成正比(比例系数为K ), 求Ω的质量m .解 据题意得,密度函数为,),,(22y x K z y x +=ρ所以.),,(22⎰⎰⎰⎰⎰⎰ΩΩ+==dV y x K dV z y x m ρ利用柱面坐标,先对z 积分,Ω在xOy 平面上投影域D 为},1),({22≤+=y x y x D故222212122001()r Dr m Kr rdrd dz K r drd dzK d r dr dzπθθθ-Ω-===⎰⎰⎰⎰⎰⎰⎰⎰⎰1220162(1)15KK r r dr ππ=+=⎰. 三、曲线积分19. 计算⎰Γxdl ,其中 Γ是由x y =和2x y = 围成的区域的整个边界。
第七章 多元函数积分学典型习题解答与提示习 题 7-11.(1)2σ=⎰⎰DV xyd ; (2)|sin |σ=⎰⎰DV xy d 。
2.提示:利用σσ=⎰⎰Dd 。
3.(1)小于零; (2)零; (3)大于零; (4)大于零。
4.(1)利用估值不等式(),σσσ≤≤⎰⎰Dm f x y d M 易于发现,当(),x y 在边界时,函数1++x y 取得最小值和最大值,已知01,02≤≤≤≤x y ,故114≤++≤x y ,即1,4==m M ,122σσ==⨯=⎰⎰Dd ,所以()218σ≤++≤⎰⎰Dx y d ;(2)提示,()()11m ax ,,m in ,100102====M f x y m fx y ,200σ=,故10051原积分2≤≤。
5.(1)0; (2)0; (3)124=I I 。
习 题 7-21.(1)3223a ; (2)9; (3)12; (4)0。
2.(1)83; (2)16;(3)令=⎰⎰DI ,122⎡⎤===⎢⎥⎣⎦⎰⎰⎰I dx ,=t ,则21,2=-=-x t dx tdt ,()()()0122418212415I tt t dt ttdt =--=-=⎰⎰;(4)22222211arctan ⎤⎤==⎢⎥⎢⎥++⎣⎦⎣⎦⎰⎰⎰⎰yyy Dyy yx dxdy dx dy dy x yx y y()2111arctan arctan ln 1424ππ⎤⎡=-=-+-⎢⎥⎢⎥⎣⎦⎣⎦y dy y y y y1ln 2122=-;(5)0111111+-+++----=+⎰⎰⎰⎰⎰⎰x x x y x yx yx x De dxdy dx edy dx edy1111110[][]+++-----=+⎰⎰x yx x yxx x edx edx()()01211211+---=-+-⎰⎰x x eedx e edx121121101122+---⎡⎤⎡⎤=-+-⎢⎥⎢⎥⎣⎦⎣⎦x x e e x ex e 1=-e e。
微积分II (甲)多元函数积分学练习题一、二重积分 1.计算二重积分22d Dx yσ⎰⎰,其中D 是由1,,2y x y x x ===所围成的闭区域. 2.计算二重积分Dxyd σ⎰⎰,其中D 是由直线2y y x ==、和2y x =所围成的闭区域.3. 作出积分区域的图形,交换积分次序,计算10dy ⎰.4.计算二重积分2,{(,)1,02}Dy xd D x y x y σ-=≤≤≤⎰⎰5.用极坐标计算Dσ⎰⎰,其中D 为{}22(,)|4,0,0x y x y x y +≤≥≥.6. 设D 为闭区域22{(,)|2}x y x y y +≤,将二重积分(,)Df x y d σ⎰⎰化为极坐标下的累次积分.7. 设D 为闭区域22{(,)|2,}x y x y x y x +≤≤,将二重积分(,)Df x y d σ⎰⎰化为极坐标下的累次积分.8. 利用二重积分计算由曲面22z x y =+和平面1z =所围成的立体的体积. 9.求由三个坐标面和平面1=+y x 及抛物面z y x -=+622所围立体的体积. 10.求由()π≤≤=x x y 0sin 与0=y 所围的均质薄板的质量中心.二、三重积分 11. 求xydV Ω⎰⎰⎰,其中Ω为1x y +=,1z =与三个坐标面所围成的三棱柱体.12. 求()⎰⎰⎰Ω+++dV z y x 311,其中Ω为三个坐标面与平面1=++z y x 所围成的四面体. 13.计算下列三重积分⎰⎰⎰Ω+dV y x z 22 ,其中Ω由22z x y =+及平面1z =围成. 14. 计算,⎰⎰⎰ΩzdV 其中Ω是由球面4222=++z y x与抛物面z y x 322=+所围成(在抛物面内的那一部分)的闭区域. 15.计算()d V z y x⎰⎰⎰Ω++222,其中Ω是球体1222≤++z y x .16. 计算球体22222a z y x ≤++在锥面22y x z +=上方部分Ω的体积.17.求由曲面)0(2222>=++a az z y x 及222z y x =+(含有z 轴部分)所围成空间的体积.18. 立体Ω是圆柱面122=+y x 内部, 平面2=z 下方, 抛物面221y x z --=上方部分, 其上任一点的密度与它到z 轴之距离成正比(比例系数为K ), 求Ω的质量m .三、曲线积分19. 计算⎰Γxdl ,其中 Γ是由x y =和2x y = 围成的区域的整个边界。
专升本高等数学(一)-多元函数微积分学(二)(总分:99.98,做题时间:90分钟)一、{{B}}选择题{{/B}}(总题数:9,分数:18.00)1.设z=ln(x2+y),则等于A. B. C. D(分数:2.00)A.B. √C.D.解析:[解析] 本题主要考查简单二元函数偏导数的计算. [*](答案为B)2.设z=(lny)xy∙ A.xy(lny)xy-1∙ B.(lny)xy lnlny∙ C.y(lny)xy lnlny∙ D.x(lny)xy lnlny(分数:2.00)A.B.C. √D.解析:[解析] 本题主要考查简单二元函数偏导数的计算. [*](答案为C)3.设z=sin(xy2)∙ A.-2xycos(xy2)∙ B.-y2cos(xy2)∙ C.2xycos(xy2)∙ D.y2cos(xy2)(分数:2.00)A.B.C. √D.解析:[解析] 本题主要考查简单二元函数偏导数的计算. [*].(答案为C)4.已知f(xy,x-y)=x2+y2∙ A.2+2y∙ B.2-2y∙ C.2x+2y∙ D.2x-2y(分数:2.00)A. √B.C.D.解析:[解析] 本题主要考查简单二元函数偏导数的计算.f(xy,x-y)=x2+y2=(x-y)2+2xy,f(x,y)=2x+y2,[*],[*].(答案为A)5.函数z=3x2y+2xy3在点(1,1)处的全微分dz|(1,1)等于∙ A.4dx-3dy∙ B.4dx+3dy∙ C.8dx+9dy∙ D.8dx-9dy(分数:2.00)A.B.C. √D.解析:[解析] [*],[*],dz|(1,1)8dx+9dy.(答案为C)6.______∙ A.{(x,y)|x2+y2≤4}∙ B.{(x,y)|x2+y2≤4且x≠0}∙ C.{(x,y)|x2+y2≤4且x≠0,y≠0}∙ D.{(x,y)|x2+y2≤4且y≠0}(分数:2.00)A.B.C. √D.解析:7.______∙ A.{(x,y)|0<x2+y2≤2}∙ B.{(x,y)|0≤x2+y2≤2}∙ C.{(x,y)|0<x2+y2<2}∙ D.{(x,y)|0≤x2+y2<2}(分数:2.00)A. √B.C.D.解析:8.设f(x,y)=,则=______ A. B. C. D(分数:2.00)A.B.C. √D.解析:9.设,则f(x,y)=______A. B. C D.xe x(分数:2.00)A. √B.C.D.解析:二、{{B}}填空题{{/B}}(总题数:13,分数:26.00)10.,则.(分数:2.00)填空项1:__________________ (正确答案:[*])解析:[解析] 根据二元函数的定义,函数关系只取决于定义域与对应法则,而与变量所选用的记号无关,如果函数表达式中的第一自变量用记号u表示,第二自变量用记号v表示,则给定的函数对应法则为[*].如果将第一自变量u用[*]替换,第二自变量v用[*]替换,则有 [*]11.f(x,y)=2x2+y2,则f(xy,x2-y2)= 1.(分数:2.00)填空项1:__________________ (正确答案:x4+y4)解析:[解析] f(xy,x2-y2)=2(xy)2+(x2-y2)2=x4+y4.12.f(x+y,x-y)=x2-y2,则f(x,y)=______.(分数:2.00)填空项1:__________________ (正确答案:xy)解析:[解析] 解法Ⅰ (置换法)令[*]解得[*]代入给定函数,则有 [*],因为函数关系与变量所选用的记号无关,再用字母x,y代换字母u,v,则有f(x,y)=xy 解法Ⅱ (拼凑法)由于f(x+y,x-y)=(x+y)(x-y),则有f(x,y)=xy13.f(xy,x-y)=x2+y2+xy,则f(x,y)=______.(分数:2.00)填空项1:__________________ (正确答案:3x+y2)解析:[解析] 由于f(xy,x-y)=x2+y2+xy=(x-y)2+3xy,则有f(x,y)=3x+y2.14.设函数z=x2+ye x.(分数:2.00)填空项1:__________________ (正确答案:2x+ye x)解析:[解析] 本题主要考查计算二元函数的一阶偏导数.[*]=2x+ye x.15.设z=sin(x2y).(分数:2.00)填空项1:__________________ (正确答案:x2cos(x2y))解析:[解析] 本题主要考查计算二元函数的一阶偏导数. [*].16.设z=,则.(分数:2.00)填空项1:__________________ (正确答案:1)解析:[解析] 本题主要考查计算二元函数的一阶偏导数.解法Ⅰ [*],[*].解法Ⅱ 由于是求函数[*]在点(1,0)处对x的偏导数,可先求出z(x,0),即将y=0代入函数[*],可得到关于x的一元函数,然后再求其在x=1处的导数.[*],[*].17.函数z=ln(1+x2-y2)的全微分dz=______.(分数:2.00)填空项1:__________________ (正确答案:[*])解析:[解析] [*], [*].18.设z=ln(x+y2).(分数:2.00)填空项1:__________________ (正确答案:dx)解析:[解析] 本题主要考查计算二元函数的一阶全微分.解法Ⅰ [*],[*],[*].解法Ⅱ [*],[*].19.设z=x2y+siny.(分数:2.00)填空项1:__________________ (正确答案:2x)解析:[解析] 本题主要考查计算二元函数的二阶混合偏导数. [*].20.函数z=z(x,y)是由方程x2z+2y2z2+y=0确定,则dz=______.(分数:2.00)填空项1:__________________ (正确答案:[*])解析:[解析] 两种解法如下.解法Ⅰ (公式法)令F(x,y,z)=x2z+2y2z2+y,分别求出三元函数F(x,y,z)对x,y,z的导数,对其中一个变量求导时,其他两个变量视为常数.[*],[*]解法Ⅱ (直接微分法)将方程两边同时求微分d(x2z)+d(2y2z2)+dy=0,2xdxz+x2dz+4ydy2+4y2zdz+dy=0,经整理,得(x2+4y2z)dz=-2xzdx-(4yz2+1)dy,即[*].21.函数f(x,y)=4(x-y)-x2-y2的极大值点是______.(分数:2.00)填空项1:__________________ (正确答案:8)解析:[解析] 解方程组[*]得驻点(2,-2),计算[*],B2-AC=-4<0,A=-2<0,所以函数的极大值点为(2,-2),极大值为f(2,-2)=8.22. 1.(分数:2.00)填空项1:__________________ (正确答案:{(x,y)|1<x2+y2≤2})解析:三、{{B}}解答题{{/B}}(总题数:1,分数:56.00)求下列二元函数的定义域.(分数:55.98)3.11)__________________________________________________________________________________________ 正确答案:(由于分式函数,要求分式的分母不为零,而对于根式函数,要求偶次方根号下的被开方式必须大于或等于零,则有[*]所以D={(x,y)|0<x2+y2≤4},此函数的定义域是以点(0,0)为圆心,以2为半径的圆周及圆周所围成的不含圆心、不含圆周上及圆周内的y轴部分的有界半开半闭区域(如下图).[*])解析:(2).z=ln(y2-2x+1).(分数:3.11)__________________________________________________________________________________________ 正确答案:(由于对数函数,要求真数式必须大于零,则有y2-2x+1>0,即y2>2x-1.所以D={(x,y)|y2>2x-1},此函数的定义域是以点([*],0)为顶点,以x为对称轴,开口向右的抛物线所围成的左侧无界开区域(如下图).[*])解析:3.11)正确答案:(对于函数arcsinf(x,y),arccosf(x,y),要求|f(x,y)|≤1,则有 [*]即[*] 所以D={(x,y)|-2≤x≤2,-3≤y≤3},此函数的定义域是直线x=-2,x=2,y=-3,y=3所围成的有界闭区域(如下图).[*]) 解析:3.11)__________________________________________________________________________________________正确答案:(要使函数解析式有意义,自变量x,y应同时满足[*]即[*]亦即[*]所以D={(x,y)|y2≤4x,x2+y2<1且x≠0,y≠0},此函数的定义域是抛物线y2=4x和圆x2+y2=1所围成的,但不含原点及抛物线间劣弧段的有界半开半闭区域(如下图).[*])解析:(5).,求 3.11)__________________________________________________________________________________________正确答案:([*], [*].)解析:(6).设z=e u sinv,u=xy,v=x+y 3.11)__________________________________________________________________________________________正确答案:(根据二元复合函数求导的链式法则,有[*]=e xy sin(x+y)y+e xy cos(x+y)=e xy[ysin(x+y)+cos(x+y)],[*]=e xy sin(x+y)x+e xy cos(x+y)=e xy[xsin(x+y)+cos(x+y)].)解析:(7).设z=f(u,v),而u=x2y,,其中f(u,v) 3.11)__________________________________________________________________________________________正确答案:(本题主要考查用二元复合函数的链式法则求偏导数. [*])解析:(8).设z=f(xy,x2+y2),且f 3.11)__________________________________________________________________________________________正确答案:(本题主要考查用二元复合函数的链式法则求偏导数.设z=f(u,v),u=xy,v=x2+y2,[*])解析:(9).设函数z=arctan(xy)+2x2+y,求dz.(分数:3.11)__________________________________________________________________________________________正确答案:(本题主要考查计算二元函数的全微分. [*])解析:(10).dz.(分数:3.11)正确答案:([*])解析:(11).设函数f(u,v)dz.(分数:3.11)__________________________________________________________________________________________ 正确答案:(本题主要考查计算二元复合函数的全微分. [*], [*])解析:(12).设函数z=ln(2-x+y) 3.11)__________________________________________________________________________________________ 正确答案:([*].)解析:(13).设函数z=ln(1-x+y)+x2y 3.11)__________________________________________________________________________________________ 正确答案:([*].)解析:(14).设函数,求 3.11)__________________________________________________________________________________________ 正确答案:([*])解析:(15).设函数z=z(x,y)是由方程x2+y2-xyz2=0 3.11)__________________________________________________________________________________________ 正确答案:(令F(x,y,z)=x2+y3-xyz2,分别求出三元函数F(x,y,z)对x,y,z的导数,对其中一个变量求导时,其他两个变量视为常数.[*])解析:(16).设z=f(x,y)是由方程F(x+mz,y+nz)=0所确定,其中m、n为常数,F(u,v)为可微分函数,数:3.11)__________________________________________________________________________________________ 正确答案:(本题主要考查计算二元函数的偏导数.设 F(u,v)=0,u=x+mz,v=y+nz, [*] [*])解析:(17).设z=z(x,y)是由方程yz+x2+z=0所确定,求dz.(分数:3.11)__________________________________________________________________________________________ 正确答案:(令F(x,y,z)=yz+x2+z,分别求出三元函数F(x,y,z)对x,y,z的导数,对其中一个变量求导时,其他两个变量视为常数.[*])解析:(18).设函数z=z(x,y)是由方程z=x+ye z 3.11)__________________________________________________________________________________________ 正确答案:(令F(x,y,z)=x+ye z-z,[*])解析:。
考研数学二(多元函数微积分)历年真题试卷汇编2(题后含答案及解析)题型有:1. 选择题 2. 填空题 3. 解答题选择题下列每题给出的四个选项中,只有一个选项符合题目要求。
1.(2010年)设函数z=z(χ,y)由方程F()=0确定,其中F为可微函数,且F′2≠0,则【】A.χ.B.z.C.-χ.D.-z.正确答案:B解析:由隐函数求导公式得知识模块:多元函数微积分2.(2010年) 【】A.B.C.D.正确答案:D解析:知识模块:多元函数微积分3.(2011年)设函数f(χ),g(χ)均有二阶连续导数,满足f(0)>0,g(0)<0,且f′(0)=g′(0)=0,则函数z=f(χ)g(y)在点(0,0)处取得极小值的一个充分条件是【】A.f〞(0)<0,g〞(0)>0.B.f〞(0)<0,g〞(0)<0.C.f〞(0)>0,g〞(0)>0.D.f〞(0)>0,g〞(0)<0.正确答案:A解析:则AC=B2>0 故z=f(χ)g(y)在(0,0)点取极小值.应选A.知识模块:多元函数微积分4.(2012年)设函数f(χ,y)可微,且对任意χ,y都有型<0,则使不等式f(χ1,y1)<f(χ2,y2)成立的一个充分条件是【】A.χ1>χ2,y1<y2B.χ1>χ2,y1>y2C.χ1<χ2,y1<y2D.χ1<χ2,y1>y2正确答案:D解析:由于偏导数本质上就是一元函数导数,则由型可知,f(χ,y)关于变量χ是单调增的,关于变量y是单调减的.因此,当χ1<χ2,y1>y2时,f(χ1,y1)<f(χ2,y1),f(χ2,y1)<f(χ2,y2) 则f(χ1,y1)<f(χ2,y2) 故应选D.知识模块:多元函数微积分5.(2012年)设区域D由曲线y=sinχ=±,y=1围成,则(χy5-1)dχdy =【】A.πB.2C.-2D.-π正确答案:D解析:作辅助线y=-sinχ(-≤χ≤0).如图,将区域D分为两部分D1和D2,其中D1关于χ轴对称,D2关于y轴对称,而χy5分别关于变量χ和y 都是奇函数,则知识模块:多元函数微积分6.(2013年)设z=f(χy),其中函数f可微,则【】A.2yf′(χy).B.-2yf′(χy).C.f(χy).D.-f(χy).正确答案:A解析:知识模块:多元函数微积分7.(2013年)设Dk是圆域D={(χ,y)|χ2+y2≤1)在第k象限的部分,记IK=(y-χ)dχdy(k=1,2,3,4),则【】A.I1>0.B.I2>0.C.I3>0.D.I4>0.正确答案:B解析:由于D1和D3关于直线y=χ对称,则而在D2上,y-χ>0,在D4上y-χ<0,则I2>0,I4<0 故应选B.知识模块:多元函数微积分8.(2014年)设函数u(χ,y)在有界闭区域D上连续,在D的内部具有2阶连续偏导数,且满足≠0及=0,则【】A.u(χ,y)的最大值和最小值都在D的边界上取得B.u(χ,y)的最大值和最小值都在D的内部取得C.u(χ,y)的最大值在D的内部取得,最小值都在D的边界上取得D.u(χ,y)的最小值在D的内部取得,最大值都在D的边界上取得正确答案:A解析:由题设可知,B≠0,A+C=0,则AC-B2<0 故函数u(χ,y)在区域D内无极值点,因此,u(χ,y)的最大值和最小值都在D的边界上取得.故应选A.知识模块:多元函数微积分9.(2015年)设函数f(u,v)满足f(χ+y,)=χ2-y2,则依次是【】A.,0B.0,C.-,0D.0,-正确答案:D解析:故应选D.知识模块:多元函数微积分10.(2015年)设D是第一象限中由曲线2χy=1,4χy=1与直线y=χ,y=χ围成的平面区域,函数f(χ,y)在D上连续,则(χ,y)dχdy=【】A.B.C.D.正确答案:B解析:由题设知积分域D如图所示,曲线2χy=1,4χy=1在极坐标下方程分别为2r2cosθsinθ=1,4r2cosθsinθ=1 即,直线y=χ,y =χ在极坐标下的方程为,则故应选B.知识模块:多元函数微积分填空题11.(2014年)设z=z(χ,y)是由方程e2yz+χ+y2+z=确定的函数,则dz=_______.正确答案:-(dχ+dy).解析:将χ=y=代入e2yz+χ+y2+z=得知识模块:多元函数微积分12.(2015年)若函数z=z(χ,y)由方程eχ+2y+3z+χyz=1确定,则dz|(0,0)=________.正确答案:-(dχ+2dy).解析:将χ=0,y=0代入eχ+2y+3z+χyz=1中得e3z=1,则z=0 方程eχ+2y+3z+χyz=1两端微分得eχ+2y+3z(dχ+2dy+3dz)+yzdχ+χzdy+χydz=0 将χ=0,y=0,z=0代入上式得dχ+2dy+3dz=0 则dz|(1,0)=-(dχ+2dy).知识模块:多元函数微积分13.(2011年)设平面区域D由直线y=χ,圆χ2+y2=2y及y轴所围成,则二重积分χydσ=_______.正确答案:解析:知识模块:多元函数微积分解答题解答应写出文字说明、证明过程或演算步骤。
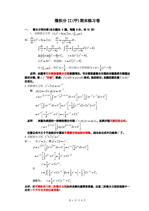
微积分II(甲)期末练习卷一. 微分方程问题(本大题共 3 题,每题 5分,共15 分)1. 求解微分方程 20(4)2,1x y x xy y ='-==.解:222(4)2, (4)dy dy x x xy dx dx y x -==-; ()()122222121, 4(4)(4)ln ln 4, 4, c dy x dy dxd x y x y x y x C ye x ==---=-+=±-⎰⎰⎰⎰记1cC e =±,得通解:()24y C x =-, 由01x y==,得14C =-,所以微分方程特解为()2144y x =-- 点评:此题考可分离变量微分方程掌握情况。
可分离变量微分方程的关键是将方程通过因式分解,使,x y “分家”,变成:()()f y dy g x dx =形式,然后积分。
本题还要注意1cC e =±的变化。
2.求解微分方程 22x y xy xe -'-=.解: 2()2,()x p x x q x xe -=-=,()222222222222(2)(2)22221241144x dx x dxx x x x x x x x x x x xy e xe e dx C e xe e dx C e xe dx C e e d x C e e C e Ce ----------⎡⎤⎰⎰⎡⎤=+=+⎢⎥⎣⎦⎣⎦⎡⎤⎡⎤=+=--+⎢⎥⎣⎦⎣⎦⎛⎫=-+=-+ ⎪⎝⎭⎰⎰⎰⎰点评: 本题为典型的一阶线性微分方程()()y p x y q x '+=,这类方程只要记住公式:()()()p x dx p x dxy e q x e dx C -⎡⎤⎰⎰=+⎢⎥⎣⎦⎰注意公式中三个不定积分计算后不需要另再加积分常数,因为本公式中已经有C 了。
3.求解微分方程 2xy y e '''+=. 解一: 设y p '=,得2xp p e '+=,222323211 33dx dxx x x x x x xp e e e dx C e e dx C e e C e Ce ----⎡⎤⎰⎰⎡⎤=+=+⎢⎥⎣⎦⎣⎦⎡⎤=+=+⎢⎥⎣⎦⎰⎰即 22221,3111332x x x x x x y e Ce y e Ce dx e Ce C ---'=+⎛⎫⎛⎫=+=+-+ ⎪ ⎪⎝⎭⎝⎭⎰通解为: 21213x xy e C e C -=++点评:对可降阶的三种二阶微分方程如何求解问题需要掌握。
第2章 多元函数微分学一、二元函数的极限专题练习:1.求下列二元函数的极限: (1)()11(,)2,2lim2;y xy x y xy +⎛⎫→- ⎪⎝⎭+ (2)()()2222(,),3limsin;x y x y x y →∞∞++(3) ()(,)0,1sin lim;x y xyx →(4)((,)0,0limx y →解: (1) 当1(,)2,2x y ⎛⎫→- ⎪⎝⎭时,10xy +→,因此()[]1112(1)11(,)2,(,)2,22lim2lim1(1)e yxy y xy x y x y xy xy -++⎛⎫⎛⎫→-→- ⎪⎪⎝⎭⎝⎭⎧⎫+=++=⎨⎬⎩⎭。
(2) 当()(,),x y →-∞+∞时,2230x y →+,因此222233sin ~x y x y++, ()()()()22222222(,),(,),33limsinlim 3x y x y x y x y x y x y →∞∞→∞∞+=+⋅=++。
(3) 当()(,)0,1x y →时,0xy →,因此sin ~xy xy ,()()(,)0,1(,)0,1sin limlim 1x y x y xy xyx x →→==。
(4) 当()(,)0,0x y →10,0xy →→,因此,(())())(,)0,0(,)0,0(,)0,01limlimlim12x y x y x y xy xy→→→===。
2.证明:当()(,)0,0x y →时,()44344(,)x y f x y xy=+的极限不存在。
证明: 取2(0)y kx k =≠,则()()()()()()()444484433334444444(,)0,0(,)0,0(,)0,0limlimlim11x y x y x y x y k x x k k xyxk xk k →→→===++++显然此极限值与k 的取值相关,因此当()(,)0,0x y →时,()44344(,)x y f x y xy=+的极限不存在。
(完整版)多元函数微分法及其应⽤习题及答案第⼋章多元函数微分法及其应⽤(A)1.填空题(1)若()y x f z ,=在区域D 上的两个混合偏导数y x z 2,xy z2 ,则在D 上,xy zy x z =22。
(2)函数()y x f z ,=在点()00,y x 处可微的条件是()y x f z ,=在点()00,y x 处的偏导数存在。
(3)函数()y x f z ,=在点()00,y x 可微是()y x f z ,=在点()00,y x 处连续的条件。
2.求下列函数的定义域(1)y x z -=;(2)22arccos yx z u +=3.求下列各极限(1)x xy y x sin lim 00→→; (2)11lim 00-+→→xy xyy x ; (3)22222200)()cos(1lim y x y x y x y x ++-→→4.设()xy x z ln =,求y x z 23及23y x z。
5.求下列函数的偏导数 (1)xyarctgz =;(2)()xy z ln =;(3)32z xy e u =。
6.设u t uv z cos 2+=,t e u =,t v ln =,求全导数dt dz 。
7.设()z y e u x -=,t x =,t y sin =,t z cos =,求dtdu。
8.曲线??=+=4422y y x z ,在点(2,4,5)处的切线对于x 轴的倾⾓是多少?9.求⽅程1222222=++c11.设()y x f z ,=是由⽅程y z z x ln =确定的隐函数,求xz,y z ??。
12.设x y e e xy =+,求dxdy 。
13.设()y x f z ,=是由⽅程03=+-xy z e z确定的隐函数,求xz,y z ??,y x z 2。
14.设y ye z x cos 2+=,求全微分dz 。
15.求函数()222ln y x z ++=在点()2,1的全微分。
I 10.令 x = asect第四章 不定积分答案2 24. I = sin x sinxdx = - 1-cosxdcosx 、填空题 2.F x |亠 C 3.1 二-cosx — \ 3 1 31 3 cos x J ■ C cos x-cosx C3 3x C 5.4. -C In 2 」x 335.一丄Cxxe (e x ) +1dx 二一de _2 二 arctang XC ’1+(e x ) 6. 6e x C 7.-3sin x C I 二 t 2—1 t 2tdt =2 t 4 -t 2 dt8. 3x x arcta n x C 39.x r 2 C1-In 3x + 2x +C 2 1 2 10. In 2x C 2 -cos2x C 12. le 7x C7114. 丄 In 1+2x+C 2 13. 7. 令 t = 6x11.15.1—2x C 1 316. 「cosx cos x C 3 8. 17. e" 1 x C 18. 6"dt t 123t 2—6t +6ln t +1 +C1 13x^ -6x® +6 In x令 x= si nt3I =1 - sin 2t 2costdt - I i cost dt二、 单项选择题 1 . C 2 . A 3 . D 4 7 . D 8 . D 9 . 12.B 三、 计算题 1 .A10.A.B11.Bx二 sec 2 tdt 二 tant CCTT79 .令 x =ta ntseC tdt (1+tan 2t j2 .■sec 4-dt二 costdt sec t2 -.2 -x 2d 2 -x2 -x 2 C2. 1 x 2 = l n 1 x 2 C-exd ;1 111 cos2t dt t —sin2t C2 2 4 11 1x t sintcost C arctanx 2 C 2 2 21 x 23.1-e" C.a2 sect -1 asectantdt =a tarn tdtasec=a lise^t -1 dt =a tant -t Cf'-2—2 、x -a aarccos a x4C=Jx2 217. a-a -aarccos Cx2x 2 _xI = - x de = x e_ 2xe*dx-x2e» -2 xde^-x2e» -2xe" 2 e^dx_x2 _2x_2 e」C11. I =dx2、厂1_ 1 sect tant3 ta nt22令x^sect secttantdt 18.=1J322Jsec t -1dt^1sectdt31=Tn sect +tant 3 C = 】ln33x站4219.12.1 d 3x-1 _J(3X-12+6 3=]| n j9x2-6x+7+3x-1+C13. 2 2I =xln 1 X - xdln 1 x2 =xln 1 x2 =xln 1 x -x^dx;_2x 2arctanx C20.14.xde x = xe x - e x dx =xe x-e x C15.I = x arccosx - xd arccosxx arccosx dx1-x21「1 ,2 .= xarccosx-—J ;2d(1-x )21.16.x arccosx - 1 - x2 CI = lnxdl 」一hx ^dx — Sx」C x x x x x4 4二(ln x)2d£4(ln x)2-4 41 3x ln xdx = — (ln x)21 4| 1x ln x8 81 4 1 4--x ln x x C8 324x 2(ln x)44=—(ln x)24x4 (ln x)4=sin xde xx41(2ln x)—dx44 x4、4 1 .x dxx=e x sin x - e x cosxdx=e x sin x - cosxde xX ・x x .=e sin x -e cosx e dcosx= e x(sin x-cosx) - ' e x sin xdxe x sin xdx = - e x(sin x -cosx) C2I = sec x secxdx = secxd tan x=secxtanx- 'tanx tanx secxdx=secxtanx- '(sec x-1)secxdx=secxtan x- sef xdx亠i secxdx3=secxtanx- Jsec xdx + In secx +31[sec xdx = —(secxtanx + ln secx +2x-8 ln xdx4tanxtanx C令t=, xI二.eStdt = 2 tdd =2td -2 ddt= 2td -2& C =2 =e x-2e x C22. l=Jlnlnxdlnx =(lnlnx)nx —J Inxd(lnlnx) 21.=lnlnx lnx- lnx —-dxlnx x =lnlnx lnx-lnx C 23.24.F b —F a1e --e22.5ln623.d cos2x = 4 xcos2x sin2xC4 825.1 26. JI227. e-2 28.4 29. 2,3-2arctan f 3 - arctan f 124. l = ln xd3 1 3x lnx x ——■C3 9第五章定积分及其应用答案32.5633.e 34. _135.<36. 1 37. 38. 12 2 3兀 139. 一2 _2二单项选择题30.0 31.0、填空题[f (x pxb a4.2.03.5.负6.正7. l1>l28. 1. A 2 . D 3 . B 4 . C 5 . A 6 . C7. C 8 . B9 . A 10.C 11.C 12.D 13.C 14.C 15.B 16.C17.A 18.B 19.B 20.A 21.B22.C 23.B 24.A 25.C 26.A三、证明题1冃2 9. l1>l2 证:令u=a, b-a,则10.- 11. 12. baf x dx du 二b-a dx,所以13. 2xe x14. sin xb - a ] I f || a b - a x dx =1 1f u du = 0 f x dx-x sin3fi x 16.10,1 2x1 cos2 x215.2.证:令u)]17.1 18.fx3f (x2=x2,则du = 2xdx ,所以1 a2.d^=- 0 uf udu=? 0 1 a220xf x dx19. f 12f0=03 20. 3.证:令u -二-x,则du - -dx,则IT- -2:xf sinxdx 二:】灵-u f sin u du 二負「x f sinx dx 23x2sin 1 x3 31 u 2所以 o xf sinx dx 二 o 2xf sinx dx - xf sin0 0 5fnxdx 飞2x -3-2x x-1x-2 e , x 二 = 二 02xf sinx ck 02 二-x f sinxck v 02得fin^dx 一1:: 0, f 2 二 e* 0, e JI 4.证:x 4令,有。
可编辑修改精选全文完整版第八章 多元函数微分法及其应用 复习题及解答一、选择题 1. 极限= (提示:令22y k x =) ( B )(A) 等于0 (B) 不存在 (C) 等于(D) 存在且不等于0或2、设函数,则极限= ( C )(提示:有界函数与无穷小的乘积仍为无穷小)(A) 不存在 (B) 等于1 (C) 等于0 (D) 等于2 3、设函数,则(,)f x y ( A )(提示:①在220x y +≠,(,)f x y 处处连续;②在0,0x y →→ ,令y kx =,200(0,0)x x y f →→→=== ,故在220x y +=,函数亦连续.所以,(,)f x y 在整个定义域内处处连续.)(A) 处处连续 (B) 处处有极限,但不连续 (C) 仅在(0,0)点连续 (D) 除(0,0)点外处处连续4、函数在点处具有偏导数是它在该点存在全微分的 ( A ) (A)必要而非充分条件(B)充分而非必要条件(C)充分必要条件 (D)既非充分又非必要条件 5、设,则= ( B )(A)(B)(C)(D)6、设,则 ( A )(A ) (B ) (C ) (D )7、设yxz arctan=,v u x +=,v u y -=,则=+v u z z ( C ) (A )22v u v u -- (B )22v u u v -- (C )22v u v u +- (D )22v u uv +-8、若,则= ( D ) (A) (B)(C)(D)9、设,则( A )(A) 2 (B) 1+ln2 (C) 0 (D) 1 10、设,则 ( D )(A) (B)(C) (D)11、曲线在点处的法平面方程是 (C ) (A) (B)(C)(D)12、曲线在点处的切线方程是 (A )(A) 842204x z y --=-=(B) (C) (D)13、曲面在点处的切平面方程为 (D )(A ) (B )(C )(D )14、曲面在点处的法线方程为 (A )(A ) (B ) (C ) (D )15、设函数,则点是函数 的 ( B )(A )极大值点但非最大值点 (B )极大值点且是最大值点(C )极小值点但非最小值点 (D )极小值点且是最小值点 16、设函数具有二阶连续偏导数,在处,有2)()(,0)()(,0)(,0)(000000======P f P f P f P f P f P f yx xy yy xx y x ,则( C )(A )点是函数的极大值点 (B )点是函数的极小值点(C )点非函数的极值点 (D )条件不够,无法判定17、函数在222421x y z ++=条件下的极大值是 ( C )(A) (B) (C) (D)二、填空题 1、极限= ⎽⎽⎽⎽⎽⎽⎽ .答:2、极限=⎽⎽⎽⎽⎽⎽⎽ .答:3、函数的定义域为 ⎽⎽⎽⎽⎽⎽⎽ .答:4、函数的定义域为 ⎽⎽⎽⎽⎽⎽⎽ .答:,5、设函数,则= ⎽⎽⎽⎽⎽⎽⎽ .答:6、设函数,则= ⎽⎽⎽⎽⎽⎽⎽ .答:222x y x-(22()()(,)()()2x y x y x y f x y x y x y x y x+--+-==++-)7、设,要使处处连续,则A= ⎽⎽⎽⎽⎽⎽⎽ .答:8、设,要使在(0,0)处连续,则A= ⎽⎽⎽⎽⎽⎽⎽ .答:19、函数221x y z x +=-的间断点是 .答:直线10x -=上的所有点10、函数的间断点为 ⎽⎽⎽⎽⎽⎽⎽ .答:直线及11、设,则_________ .答:3cos5 12、设,则= _________ .答:1 13、设,则=_________ .答:14、设,则在极坐标系下,= _________ .答:015、设,则= _________.答:16、设,则= ___________ .答:17、函数由所确定,则= ___________ .答:18、设函数由方程所确定,则= _______ .答:19、由方程所确定的函数在点(1,0,-1)处的全微分= _________ .答:20、曲线在点处的切线方程是_________.答:21、曲线在对应于点处的法平面方程是___________. 答:01132=+--e y x22、曲面在点处的法线方程为_________ .答:eze y x 22212=-+=- 23、曲面在点处的切平面方程是_________.答:24、设函数由方程确定,则函数的驻点是_________ .答:(-1,2) 27、函数的驻点是_________.答:(1,1)25、若函数在点处取得极值,则常数_________,_________.答:0,426、函数在条件下的极大值是_______答:三、计算题1、求下列二元函数的定义域,并绘出定义域的图形.(1) z = (2)ln()z x y =+ (3)1ln()z x y =+ (4)ln(1)z xy =-解:(1)要使函数z =有意义,必须有2210x y --≥,即有221x y +≤.故所求函数的定义域为22{(,)|1}D x y x y =+≤,图形为图3.1(2)要使函数ln()z x y =+有意义,必须有0x y +>.故所有函数的定义域为{}(,)|0D x y x y =+>,图形为图3.2(3)要使函数1ln()z x y =+有意义,必须有ln()0x y +≠,即0x y +>且1x y +≠.故该函数的定义域为{}(,)|01D x y x y x y =+>+≠,,图形为图3.3(4)要使函数ln(1)z xy =-有意义,必须有10xy ->.故该函数的定义域为{(,)|1}D x y xy =>,图形为图3.4图3.1 图3.2图3.3 图3.4 2、求极限 .解:= 43、求极限 .解:原式=4、求极限 .解:= -85、设,求.解:6、设,求.解:7、设函数由所确定,试求(其中).解一:原式两边对求导得,则同理可得:解二:xy xz F F y z xy yz F F x z x y y x ++-=-=++-=-=∂∂∂∂, 8、求函数的极值.解:由,得驻点074334>=--==yyyxxy xx z z z z D,函数在点处取极小值.9、设,而,求.解:=-++(sin )3432t t e x y10、设,求.解:11、设,求.解:,,12、求函数的全微分.解:四、应用题1、要造一容积为128立方米的长方体敞口水池,已知水池侧壁的单位造价是底部的2倍,问水池的尺寸应如何选择,方能使其造价最低? 解:设水池的长、宽、高分别为米.水池底部的单位造价为. 则水池造价 且令由 ⎪⎪⎩⎪⎪⎨⎧=-==++==++==++=01280440404xyz L xy y x L xz z x L yz z y L z y x λλλλ得由于实际问题必定存在最小值,因此当水池的长、宽、高分别为8米、8米、2米时,其造价最低.2、某工厂生产两种商品的日产量分别为x 和y (件),总成本函数22128),(y xy x y x C +-=(元).商品的限额为42=+y x ,求最小成本. 解:约束条件为042),(=-+=y x y x ϕ,构造拉格朗日函数22(,,)812(42)F x y x xy y x y λλ=-+++-,解方程组160240420x y F x y F x y F x y λλλ'⎧=-+=⎪'=-++=⎨⎪'=+-=⎩,得唯一驻点)17,25(),(=y x ,由实际情况知,)17,25(),(=y x 就是使总成本最小的点,最小成本为8043)17,25(=C (元).3、某工厂生产两种产品甲和乙,出售单价分别为10元与9元,生产x 单位的产品甲与生产y 单位的产品乙的总费用是)33(01.03240022y xy x y x +++++元, 求取得最大利润时,两种产品的产量各为多少?解:),(y x L 表示获得的总利润,则总利润等于总收益与总费用之差,即有利润目标函数)]33(01.032400[)910(),(22y xy x y x y x y x L +++++-+=)0,0(,400)33(01.06822>>-++-+=y x y xy x y x ,令⎩⎨⎧=+-='=+-='0)6(01.060)6(01.08y x L y x L yx,解得唯一驻点(120,80).又因06.0,01.0,006.0-=''=-=''=<-=''=yy xy xx L C L B L A ,得0105.332>⨯=--B AC .得极大值320)80,120(=L . 根据实际情况,此极大值就是最大值.故生产120单位产品甲与80单位产品乙时所得利润最大320元. 五、证明题 1、设)11(yx e z +-=, 求证z yz y x z x 222=∂∂+∂∂.证明: 因为2)11(1x e x z y x ⋅=∂∂+-, 2)11(1ye y z y x ⋅=∂∂+-, 所以z e e yz y x z x y x y x 2)11()11(22=+=∂∂+∂∂+-+- 2、证明函数nx ey tkn sin 2-=满足关系式22x y k t y ∂∂=∂∂ 证明:因为nx e kn kn nx e ty tkn t kn sin )(sin 2222⋅-=-⋅⋅=∂∂--, nx nex y tkn cos 2-=∂∂, nx e n xy t kn sin 2222--=∂∂, nx ekn xy k tkn sin 2222--=∂∂, 所以22xy k t y ∂∂=∂∂.3、设z =xy +xF (u ), 而xyu =, F (u )为可导函数, 证明xy z y z y x z x +=∂∂+∂∂⋅.证明:y z y x z x ∂∂⋅+∂∂⋅])([])()([yu u F x x y x u u F x u F y x ∂∂'+⋅+∂∂'++=)]([)]()([u F x y u F xyu F y x '+⋅+'-+==xy +xF (u )+xy =z +xy .。
习题 1—1 解答1.设xf (x, y ) xy,求yf(x ,y),f1(x,1),yf (xy,xy),f1(x, y)解xf (x ,y ) xy;yf1(x,1)y1xyyx; f (xy,xy)x2y ;2 f1(x, y)yxy2x2.设f (x, y ) ln x ln y ,证明:f (xy,uv ) f (x,u ) f (x,v ) f (y,u ) f (y,v)f (xy,uv ) ln(xy ) ln(uv ) (ln x ln y)(ln u ln v )ln x ln u ln x ln v ln y ln u ln y ln vf (x,u ) f (x,v ) f (y,u ) f (y,v)3.求下列函数的定义域,并画出定义域的图形:(1)f (x, y ) 1x 2 y 2 1;4x y(2)f (x, y ) ;ln(1x y )22 2x y z2 2 2(3)f (x, y ) 1;a b c2 2 2x y z(4)f (x, y, z ) .1x 2 y z2 2解(1)D {(x, y) x 1, y 1y1-1 O 1x-1(2)D (x, y) 0x y 1, y 4x2 2 y21-1 1O x-11(3)D x y z2 2 2(x, y ) 1a b c2 2 2zc-a-b O b yax(4)( , , ) 0, 0, 0, 1D x y z x y z x 2 y z2 2z1O y11x4.求下列各极限:1xy (1)limx0 x y2 2y 11 0= 1 0 1ln(x e y ln(1 e )) 0(2)lim ln 2 x 1 2 12 0x yy02 xy4 (2xy 4)(2 (3)lim limx xy xy0 0 (xy x 2xy4) 4)14y0 y0sin(xy) sin(xy)(4)lim lim x 2 x y2 x 2 xyy0 y05.证明下列极限不存在:x y (1)lim ;x 0 x yy0x y2 2 (2)limx 0 x y (xy )2 2 2y0(1)证明如果动点P(x, y) 沿y 2x 趋向(0,0)x y x 2x则lim lim 3;x 0 x 0x y x 2xy2x0如果动点P(x, y) 沿x 2y 趋向(0,0) ,则lim lim 3 3x y yy0 x y y0 yx 2 y02所以极限不存在。
微积分II (甲)多元函数积分学练习题解答1.计算二重积分22d D x yσ⎰⎰,其中D 是由1,,2y x y x x ===所围成的闭区域. 解:222121x xDx xyd dx dy y σ=⎰⎰⎰⎰ ()231124x x dx =-=⎰ 2.计算二重积分Dxyd σ⎰⎰,其中D 是由直线2y y x ==、和2y x =所围成的闭区域.解:202yy Dxyd dy xydx σ=⎰⎰⎰⎰2234003338322y dy y ⎛⎫=== ⎪⎝⎭⎰ 3. 作出积分区域的图形,交换积分次序,计算10dy ⎰.解:21021)9x I dx ==⎰⎰4.计算二重积分2,{(,)Dy xd D x y x σ-=≤⎰⎰ 解: 12D D D =⋃(1D 是所有阴影部分面积)12222DD D y x d y x d y x d σσσ-=-+-⎰⎰⎰⎰⎰⎰()()2211222101x xdx x y dy dx y x dy --=-+-⎰⎰⎰⎰11424111146(22)2215x dx x x dx --=+-+=⎰⎰. 5.用极坐标计算Dσ⎰⎰,其中D 为{22(,)|4,0,0x y x y x y +≤≥≥.解:32233220cos cos =cos cos =4DDDr r rdrd r drd d r dr d r dr ππσθθθθθθθθ=⋅⋅==⎰⎰⎰⎰⎰⎰⎰⎰⎰⎰6. 设D 为闭区域22{(,)|2}x y x y y +≤,将二重积分(,)Df x y d σ⎰⎰化为极坐标下的累次积分.2解:I=2sin 0(cos ,sin )d f r r rdr πθθθθ⎰⎰.7. 设D 为闭区域22{(,)|2,}x y x y x y x +≤≤,将二重积分(,)Df x y d σ⎰⎰化为极坐标下的累次积分.解:I=2cos 402(cos ,sin )d f r r rdr πθπθθθ-⎰⎰.8. 利用二重积分计算由曲面22z x y =+和平面1z =所围成的立体的体积. 解 设所求体积为V ,则有=V ()221Dxy d σ--⎰⎰,其中 (){}22,1D x y xy =+≤,于是=V ()()22211D Dxy d r rdrd σθ--=-⎰⎰⎰⎰=()212012d r rdr ππθ-=⎰⎰.9.求由三个坐标面和平面1=+y x 及抛物面z y x -=+622所围立体的体积. 解 设所求体积为V ,则有=V ()⎰⎰--Dd y xσ226,其中 (){}x y x y x D -≤≤≤≤=10,10,,于是=V ()⎰⎰--Dd y xσ226=()112206x dx xy dy ---⎰⎰()1323011766136x x x x dx ⎡⎤=--+--=⎢⎥⎣⎦⎰10.求由()π≤≤=x x y 0sin 与0=y 所围的均质薄板的质量中心. 解 设该薄板所在区域为D ,则 该均质薄板的面积为 0sin 2S xdx π==⎰,又有 sin 00x Dxd dx xdy πσπ==⎰⎰⎰⎰, 及sin 04x Dyd dx y dy ππσ==⎰⎰⎰⎰,由均质平面薄片的质量中心公式可得所求质量中心坐标为⎪⎭⎫⎝⎛8,2ππ.二、三重积分11. 求xydV Ω⎰⎰⎰,其中Ω为1x y +=,1z =与三个坐标面所围成的三棱柱体.解xydV Ω⎰⎰⎰111x dx dy xydz -=⎰⎰⎰=1100x dx xydy -⎰⎰()120111224x x dx =-=⎰. 12. 求()⎰⎰⎰Ω+++dV z y x 311,其中Ω为三个坐标面与平面1=++z y x 所围成的四面体.解 ()⎰⎰⎰Ω+++dV z y x 311()111300011x x y dx dy dz x y z ---=+++⎰⎰⎰ =()1121318821x dx x dy x y -⎡⎤-+⎢⎥++⎢⎥⎣⎦⎰⎰()1013115ln 2218828x dx x ⎡⎤⎛⎫=-+=-⎢⎥ ⎪+⎝⎭⎣⎦⎰. 13.计算下列三重积分⎰⎰⎰Ω+dV y x z 22 ,其中Ω由22z x y =+及平面1z =围成. 解 Ω在z xoy =平面上的投影区域为22{(,)1}x y x y +≤ 可用柱面坐标计算:221211122200012401224(1).21r r d r dr zdz r dr z r r dr πθπππΩ⎛⎫== ⎪⎝⎭=-=⎰⎰⎰⎰⎰⎰⎰⎰ 14. 计算,⎰⎰⎰ΩzdV 其中Ω是由球面4222=++z y x 与抛物面z y x 322=+所围成(在抛物面内的那一部分)的闭区域.解 球面4222=++z y x 与抛物面z y x 322=+的交线为2222243x y z x y z⎧++=⎪⎨+=⎪⎩ 从中解得两曲面交线为,1=z 223x y +=,Ω在xOy 面上的投影区域为:D ,30≤≤r πθ20≤≤,利用柱面坐标,对投影区域D 内任一点),,(θr 有2243r z r -≤≤, 所以I 23r DzdV rdrd θΩ==⎰⎰⎰⎰⎰⎰2203r d zdz πθ=⋅⎰⎰⎰π413=. 15.计算()d V z y x⎰⎰⎰Ω++222,其中Ω是球体1222≤++z y x .解()⎰⎰⎰⎰⎰⎰ΩΩ=++θϕρϕρd d d dV z y xsin 42222140004sin 5d d d ππθϕϕρρπ==⎰⎰⎰16. 计算球体22222a z y x ≤++在锥面22y x z +=上方部分Ω的体积.解 在球面坐标系中, :Ω,20a r ≤≤,40πϕ≤≤πθ20≤≤,故所求体积V ⎰⎰⎰Ω=dV 224sin d d d ππθϕρϕρ=⎰⎰⎰340)2sin 3d ππϕϕ=⋅⎰.)12(343a -=π 17.求由曲面)0(2222>=++a az z y x 及222z y x =+(含有z 轴部分)所围成空间的体积.解 在球面坐标下计算⎰⎰⎰⎰⎰⎰ΩΩ==θϕρϕρd d d dV V sin 222cos 24sin a d d d ππϕθϕϕρρ=⎰⎰⎰3334082cos sin 3a d a ππϕϕϕπ==⎰.18. 立体Ω是圆柱面122=+y x 内部, 平面2=z 下方, 抛物面221y x z --=上方部分, 其上任一点的密度与它到z 轴之距离成正比(比例系数为K ), 求Ω的质量m .解 据题意得,密度函数为,),,(22y x K z y x +=ρ所以.),,(22⎰⎰⎰⎰⎰⎰ΩΩ+==dV y x K dV z y x m ρ利用柱面坐标,先对z 积分,Ω在xOy 平面上投影域D 为},1),({22≤+=y x y x D故222212122001()r Dr m Kr rdrd dz K r drd dzK d r dr dzπθθθ-Ω-===⎰⎰⎰⎰⎰⎰⎰⎰⎰1220162(1)15KK r r dr ππ=+=⎰. 三、曲线积分19. 计算⎰Γxdl ,其中 Γ是由x y =和2x y = 围成的区域的整个边界。
解 设Γ=»OA OA+,交点为O )0,0(和A )1,1(, 直线段OA 的方程:x y =,[0,1]x ∈OA xdl =⎰1⎰=1222x =22曲线段»OA的方程:2y x =,[0,1]x ∈ »OA xdl ⎰=1⎰=1032)41(3281x +⋅=)155(121-⎰Γxdl =⎰OAxdl +»OAxdl ⎰=22+)155(121-. 20.计算(),x y dl Γ+⎰Γ是曲线22x t y t z t ⎧=⎪=⎨⎪=⎩上从点()1,2,1到点()2,4,4的一段曲线.xoyA解:由于曲线段为22x t y t z t ⎧=⎪=⎨⎪=⎩,[1,2]t ∈,因此22112322211()(23133(54).44x y dl t t t Γ+=+===+=⎰⎰⎰⎰ 21.求(),222dl z y x ⎰Γ++其中Γ是圆周⎩⎨⎧=++=++02222z y x a z y x .解()22222322llxy z dl a dl a a a ππ++==⨯=⎰⎰.22.计算(),dy x y xydx ⎰Γ-+L 是抛物线2x y =上从点()0,0到点()1,1的一段弧.解 Γ的参数方程为2,x xy x=⎧⎨=⎩,起点0,x =终点1,x = 于是()()12220()xydx y x dy x x dx x x d x Γ+-=⋅+-⎰⎰()13202x x x x dx ⎡⎤=+-⋅⎣⎦⎰()132013212x x dx =-=⎰.23. 计算,2dx y ⎰Γ其中Γ为半径为a ,圆心在原点,按顺时针方向绕行的上半圆周.解 Γ的参数方程为cos sin x a y a θθ=⎧⎨=⎩,起点,θπ=终点0,θ= 则()022232sin cos sin cos y dx a d a a d ππθθθθΓ==-⎰⎰⎰ ()32341cos cos 3ad a πθθ=--=⎰. 24.设3223,F x i zy j x yk =+-u r r r r计算,F dl Γ⋅⎰u r r 其中Γ是从点()()0,0,01,2,3B A 到的直线段AB .解 直线段AB 的方程为123z y x == 化为参数方程得10,,2,3≤≤===t t z t y t x ,从而 F dl Γ⋅=⎰u r r ()()()0322322133332232x dx zy dy x ydz t t t t t dt Γ⎡⎤+-=⨯+⨯⨯-⎣⎦⎰⎰48787013-==⎰dt t . 25.设一个质点在(,)M x y 处受到力F u r 的作用,F u r的大小与M 到原点O 的距离成正比(比例系数为k ),F u r 的方向恒指向原点.此质点由点(,0)A a 沿椭圆12222=+by a x 按逆时针方向移动到点(0,)B b ,求力F 所作的功W .解 椭圆的参数方程为t b y t a x sin ,cos ==,t 从0变到2π. r OM xi y j →==+r r r , ||()()||rF k r k xi y j r =⋅⋅-=-+ru r r r r r ,其中0k >是比例常数.于是 =--=⎰ABkydy kxdx W ⎰+-ABydy xdx k2220(cos sin sin cos )ka t tb t t dt π=--+⎰222220()sin cos ()2k k a b t tdt a b π=-=-⎰. 26.利用格林公式计算⎰Γ++-dy y x dx x y )3()( ,其中Γ:9)4()1(22=-+-y x ,取逆时针方向.解 本题中y x Q x y P +=-=3,,则3=∂∂xQ,1=∂∂y P , 由格林公式,原式=(31)18Ddxdy π-=⎰⎰27.利用格林公式计算2,xydx y dy Γ+⎰Ñ ,其中Γ是顶点为(0,0),(1,0),(1,1),(0,1)的正方形,取逆时针方向. 解 本题中2,P xy Q y ==,则0Qx∂=∂,P x y ∂=∂,由格林公式,原式=11001.2Dxdxdy xdx dy -=-=-⎰⎰⎰⎰ 28 计算曲线积分()(2)y x I e x dx xe y dy G=++-ò, 其中Γ为从起点O )0,0(出发经点A (1,0)到达终点B )2,1(的圆弧段.解 令 x e P y +=,y xe Q y2-=,则y e xQ=∂∂,y e y P =∂∂ , 由此得I 与路径无关,不妨取积分路径为AB OA +,则=I ⎰+OA Qdy Pdx +⎰+ABQdy Pdx=1200(1)(2)yx dx e y dy ++-⎰⎰=272-e . 29.利用格林公式,计算下列曲线积分()()dy m y e dx my y ex x-+-⎰Γcos sin ,其中Γ是从)0,(a A 沿 上半圆周)0(222>=+a ax y x 到原点)0,0(O解 添加直线段OA ,方向取x 轴的正向,它与Γ围成的区域记为D ,令m y e Q my y e P x x -=-=cos ,sin ,则m yPx Q =∂∂-∂∂, 在区域D 上满足格林公式,应用格林公式得到()()dy m y e dx my y ex x-+-⎰Γcos sin()()dy m y e dx my y ex OAx-+-=⎰+Γcos sin()()dy m y e dx my y ex OAx-+--⎰cos sin ,其中()()=-+-⎰+Γdy m y e dx my y e xOA xcos sin 82a m d y P x Q D πσ=⎪⎪⎭⎫ ⎝⎛∂∂-∂∂⎰⎰,()()0cos sin =-+-⎰dy m y e dx my y ex OAx,从而()()8cos sin 2a m dy m y e dx my y e xxπ=-+-⎰Γ. 30.证明()(2)yye x dx xe y dy ++-0=为全微分方程,并求其通解.解 令y P e x =+,2yQ xe y =-,易得y P Q e y x∂∂==∂∂ 在xOy 面内处处成立,所以该方程为全微分方程. 不妨取)0,0(),(00=y x ,得到方程左边的一个原函数为00(,)(,)(,)()(2)x y y y x y u x y e x dx xe y dy =++-⎰(,)(0,0)()(2)x y y y e x dx xe y dy =++-⎰ (,0)(0,0)x =+⎰(,)(,0)()(2)x y y y x e x dx xe y dy ++-⎰(,0)(0,0)()x y e x dx =++⎰(,)(,0)(2)x y y x xe y dy -⎰()x e x dx =++⎰(2)yy xe y dy -⎰22(1)2y x x x e y =++--222y x xe y =+- 从而所求通解为c y xe x y +-+222. (或用凑微分法求通解,注意到=du ()(2)y y e x dx xe y dy ++-2y y e dx xdx xe dy ydy =++-()2y y e dx xe dy xdx ydy =++-221()()()2y d xe d x d y =+-221()2y d xe x y c =+-+,所以所求通解为c y xe x y +-+222.) 31. 计算,1dS z S⎰⎰ 其中S 是球面2222a z y x =++被平面()a h h z <<=0所截出的顶部.解 S 的方程为 222y x a z --=,S 在xoy 平面上的投影区域为(){}2222,h a y x y x D xy -≤+=,且 dxdy yx a a dxdy y z x z dS 222221--=⎪⎪⎭⎫⎝⎛∂∂+⎪⎭⎫ ⎝⎛∂∂+=, 则dxdy yx a a dS z xy D S ⎰⎰⎰⎰--=2221, 利用极坐标得222222001xyS D ar r dS drd a d dr z a r a r πθθ==--⎰⎰⎰⎰⎰⎰ ()2212ln 2ln2aa a r a hππ⎡=--=⎢⎣. 32计算(),22dS y xS⎰⎰+其中S 是锥面22y x z +=及平面1=z 所围成的整个区域边界.解 设21S S S +=,其中 ()11:221≤+=y xz S ,,dS dxdy = (){}1,22≤+=y x y x D xy ,()10:222≤≤+=z y x z S ,,2dxdy ds =(){}1,22≤+=y x y x D xy ,则()=+⎰⎰dS y xS 122()21223002xyD x y dxdy d r dr ππθ+==⎰⎰⎰⎰,()=+⎰⎰dS y xS 222(2122302xyD x y d r dr πθ+==⎰⎰⎰, 最后()=+⎰⎰dS y xS22()++⎰⎰dS y xS 122()π221222+=+⎰⎰dS y xS . 33. 求⎰⎰SzdS ,其中S 是抛物面()()221012z x y z =+≤≤的一部分.解 S 在xoy 平面上的投影区域为(){}2,22≤+=y x y x D xy ,它的方程为:()2221y x z +=,()xy D y x ∈,dS ==则⎰⎰SzdS (2212xyD x y =+⎰⎰202d r πθ=⎰⎰()361152+=π34.计算球面2222a z y x =++介于平面0=z 和()a h h z <<=0,之间的部分的面积.解 球面2222a z y x =++介于平面0=z 和()a h h z <<=0,之间的部分在xoy 平面上投影区域为(){}22222,ay x h a y x D xy ≤+≤-=由曲面面积公式得所求面积为 σσd y x a a d y z x z S xyxyD D ⎰⎰⎰⎰--=⎪⎪⎭⎫⎝⎛∂∂+⎪⎭⎫ ⎝⎛∂∂+=222221202a d ah pqp ==蝌.35 计算⎰⎰Sxyzdxdy ,其中S 是2221x y z ++=在第一卦限的外侧. 解 S 在xoy 平面上的投影区域为(){}22,1,0,0xy D x y xy x y =+≤≥≥:S z =则⎰⎰S xyzdxdyxyD =⎰⎰12cos d r dr πθθθ=⎰⎰115=. 36.2Syzdzdx dxdy +⎰⎰,其中S 是上半球面2224x y z ++=的外侧.解 由题意,S 的单位法向量为⎪⎭⎪⎬⎫⎪⎩⎪⎨⎧++++++=222222222,,z y x z z y x y z y x x n ρ, S 在xoy 平面上的投影区域为(){}4,22≤+=y x y x D xy , S 的方程为:()xy D y x y x z ∈--=,,422,2Syzdzdx dxdy +⎰⎰ds z y x z z y x y yz S⎪⎪⎭⎫⎝⎛++⨯+++⨯=⎰⎰2222222 dxdy y x y y x x yx zy x y xyD 22222222222244142--+--+--+++=⎰⎰()222232022sin 84812.xyxyxyD D D y dxdy y dxdy dxdyd r dr πθθππππ=+=+=+=+=⎰⎰⎰⎰⎰⎰⎰⎰37. 利用高斯公式计算曲面积分xdydz z y dxdy y x S)()(-+-⎰⎰, 其中S 为柱面221x y +=及平面0,3z z ==所围成的空间闭区域Ω的整个边界曲面的外侧.解 这里(),0,P y z x Q R x y =-==- ,z y x P -=∂∂, 0=∂∂y Q , 0=∂∂zR由高斯公式得dydz z y dxdy y x S)()(-+-⎰⎰⎰⎰⎰⎰⎰⎰ΩΩ-=-=dz rdrd z r dV z y θθ)sin ()(2139(sin )2d rdr r z dz ππθθ=-=-⎰⎰⎰. 38.计算曲面积分dS z y x S)cos cos cos (222γβα++⎰⎰, 其中S 为锥面222x y z +=介于平面0z =及(0)z h h =>之间的部分的下侧,cos α、cos β、cos γ是S 上点(,,)x y z 处的法向量的方向余弦.解一222222(cos cos cos )SSxy z dS x dydz y dzdx z dxdy αβγ++=++⎰⎰⎰⎰,根据被积函数的奇偶性和积分区域的对称性,220Sx dydz y dzdx +=⎰⎰,则22222242330()=.2SSDhDx dydz y dzdx z dxdy z dxdy xy dxdyh r drd d r dr ππθθ++==-+-=-=-⎰⎰⎰⎰⎰⎰⎰⎰⎰⎰ 解二 设1S 为222()z h x y z =+≤的上侧,则S 与1S 一起构成一个闭曲面,记它们围成的空间闭区域为Ω,由高斯公式得⎰⎰⎰⎰⎰Ω+++=++dv z y x dS z y x S S )(2)cos cos cos (1222γβα, 根据被积函数的奇偶性和积分区域的对称性, 0)(=+⎰⎰⎰Ωdv y x ,则⎰⎰⎰⎰⎰⎰⎰⎰⎰ΩΩΩ++=++zdv dv y x dv z y x )()(20h hrzdv d rdr zdz πθΩ==⎰⎰⎰⎰⎰⎰2340112()24h h r r dr h ππ=-=⎰, 而42222222211)cos cos cos (h dxdy h dS z dS z y x h y x S S πγβα===++⎰⎰⎰⎰⎰⎰≤+, 因此4442222121)cos cos cos (h h h dS z y x Sπππγβα-=-=++⎰⎰.。