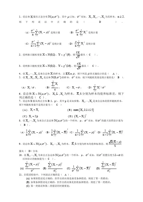
华科数理统计作业答案 练习2
- 格式:docx
- 大小:208.23 KB
- 文档页数:8
1、设总体X 服从正态分布),(2σμN ,其中μ已知,2σ未知,n X X X ,,,21 为其样本,2≥n ,则下列说法中正确的是(D )。
(A )∑=-ni i X n122)(μσ是统计量 (B )∑=ni i X n122σ是统计量(C )∑=--ni iX n 122)(1μσ是统计量 (D )∑=ni iX n12μ是统计量2、设两独立随机变量)1,0(~N X,)9(~2χY ,则YX 3服从( C )。
3、设两独立随机变量)1,0(~N X,2~(16)Y χ,则C )。
4、设n X X ,,1 是来自总体X 的样本,且μ=EX,则下列是μ的无偏估计的是( A ).5、设4321,,,X X X X 是总体2(0,)N σ的样本,2σ未知,则下列随机变量是统计量的是( B ).(A )3/X σ; (B )414ii X=∑; (C )σ-1X ; (D )4221/ii Xσ=∑6、设总体),(~2σμN X ,1,,n X X L 为样本,S X ,分别为样本均值和标准差,则下列正确的是( C ). 7、设总体X 服从两点分布B (1,p ),其中p 是未知参数,15,,X X ⋅⋅⋅是来自总体的简单随机样本,则下列随机变量不是统计量为( C ) ( A ) . 12X X +( B ){}max ,15i X i ≤≤( C ) 52X p + ( D )()251X X -8、设1,,n X X ⋅⋅⋅为来自正态总体2(,)N μσ的一个样本,μ,2σ未知。
则2σ的最大似然估计量为( B )。
(A )∑=-n i i X n 12)(1μ (B )()211∑=-n i i X X n (C )∑=--n i i X n 12)(11μ(D )()∑=--n i iX X n 1211 9、设总体),(~2σμN X ,1,,n X X ⋅⋅⋅为样本,S X ,分别为样本均值和标准差,则)X Sμ-服从( D )分布.10、设1,,n X X ⋅⋅⋅为来自正态总体2(,)N μσ的一个样本,μ,2σ未知。
概率论与数理统计阶段练习2参考答案《概率论与数理统计》阶段练习2参考答案1、一报童卖报, 每份0.15元,其成本为0.10元. 报馆每天给报童1000份报, 并规定他不得把卖不出的报纸退回. 设X 为报童每天卖出的报纸份数, 试将报童赔钱这一事件用随机变量的表达式表示.2、设随机变量X 的概率分布为:0,,2,1,0,!}{>===λλ k k a K X P k.试确定常数a .解依据概率分布的性质:,1}{0}{==≥=∑kk X P k X P 欲使上述函数为概率分布应有,0≥a,1!0==∑∞=k kae K a λλ 从中解得.λ-=e a注: 这里用到了常见的幂级数展开式.!0∑∞==k kK e λλ3、X 具有离散均匀分布, 即,,,2,1,/1)(n i n x X P i ===求X 的分布函数.解将X 所取的n 个值按从小到大的顺序排列为)()2()1(n x x x ≤≤≤则)1(x x <时,,0}{)(=≤=x X P x F)2()1(x x x <≤时,,/1}{)(n x X P x F =≤= )3()2(x x x <≤时,,/2}{)(n x X P x F =≤= ……)1()(+<≤k k x x x 时,,/}{)(n k x X P x F =≤= )(n x x ≥时,1}{)(=≤=x X P x F故 )(x F<=≥<),,m a x (,1),,2,1(),,m i n (,/),,m i n (,0111n j n n x x x x k n j x x x x n k x x x 当个不大于中恰好有且当当4、设随机变量X 的概率分布为4/12/14/1421i p X -,求X 的的分布函数,并求{},2/1≤X P {},2/52/3≤<="" {}.32≤≤x="">5、设随机变量X 的密度函数为≤≤--=其它,011,12)(2x x x f π求其分布函数)(x F . 解∞-=≤=xdt t f x X P x F )(}{)(当,1-<="" f="" p="" 当,11≤≤-x="">--∞--+=xdt t dt x F 121120)(π21arcsin 112++-=x x xππ当,1>x ,1)(=x F 故>≤≤-++--<=.1,111,21 arcsin 111,0)(2x x x x x x x F ππ6、设随机变量X 具有概率密度≤≤-<≤=.,0,43,22,30,)(其它x x x kx x f}.2/71{)3();()2(;)1(≤<="" 解="">+∞∞-=,1)(dx x f 得,122433=??-+dx x kxdx 解得,6/1=k 于是X 的概率密度为., 043,2230,6)(≤≤-<≤=其它x x x xx f(2) X 的分布函数为)(x F≥<≤??? ??-+<≤<=??4,143,22630,60,03030x x dt t dt tx dt t x x x .4,143,4/2330,12/0,022??≥<≤-+-<≤<=x x x x x x x (3) ?=≤<2/71)(}2/71{dx x f X P ?-+=2/73312261dx x xdx 2/73231242121-+=x x x ,4841= 或)1()2/7(}2/71{F F X P -=≤<.48/41=7、设某项竞赛成绩N X ~(65, 100),若按参赛人数的10%发奖,问获奖分数线应定为多少?解设获奖分数线为,0x 则求使1.0}{0=≥x X P 成立的.0x)(1}{1}{000x F x X P x X P -=<-=≥,1.0106510=??-Φ-=x即,9.010650=??-Φx 查表得,29.110650=-x 解得,9.770=x 故分数线可定为78分.8、在电源电压不超过200伏,在200~240伏和超过240伏三种情形下,某种电子元件损坏的概率分别为0.1,0.001和0.2. 假设电源电压X 服从正态分布N (220,252),试求:(1) 该电子元件损坏的概率α;(2) 该电子元件损坏时,电源电压在200~240伏的概率β.解引入事件=1A {电压不超过200 伏},=2A {电压不超过200~240 伏},=3A {电压超过240伏};=B {电子元件损坏}.由条件知),25,220(~2N X 因此-≤-=≤=2522020025220}200{)(1X P X P A P ;212.0)8.0(1)8.0(=Φ-=-Φ=}240200{)(2≤≤=X P A P ?≤-≤-=8.0252208.0X P .576.01)8.0(2=-Φ= }240{1}240{)(3≤-=>=X P X P A P .212.0)8.0(1=Φ-=(1) 由题设条件,,1.0)|(1=A B P ,001.0)|(2=A B P 2.0)|(3=A B P于是由全概率公式, 有.0642.0)|()()(31===∑=i iiA B P A P B P α(2) 由贝叶斯公式, 有.009.0)()|()()|(222≈==B P A B P A P B A P β9、已知某台机器生产的螺栓长度X (单位:厘米)服从参数,05.10=μ06.0=σ的正态分布. 规定螺栓长度在12.005.10±内为合格品, 试求螺栓为合格品的概率.解根据假设),06.0,05.10(~2N X记,12.005.10-=a ,12.005.10+=b 则}{b X a ≤≤表示螺栓为合格品. 于是}{b X a P ≤≤??-Φ-??? ??-Φ=σμσμa b )2()2(-Φ-Φ=)]2(1[)2(Φ--Φ=1)2(2-Φ=19772.02-?=.9544.0=即螺栓为合格品的概率等于0.9544. 10.已知)5.0,8(~2N X ,求(1) );7(),9(F F (2) }105.7{≤≤X P ;(3) };1|8{|≤-X P(4) }.5.0|9{|<-X P11.某种型号电池的寿命X 近似服从正态分布),(2σμN , 已知其寿命在250小时以上的概率和寿命不超过350小时的概率均为92.36%, 为使其寿命在x -μ和x +μ之间的概率不小于0.9, x 至少为多少?12、设)1,0(~N X , 求2X Y =的密度函数. 解记Y 的分布函数为),(x F Y 则}.{}{)(2x X P x Y P x F Y ≤=≤=显然, 当0<="" 时,;0}{)(2="≤=x">当0≥x 时, }{)(2x X P x F Y ≤=.1)(2}{-Φ=<<-=x x X x P从而2X Y =的分布函数为??<≥-Φ=0,00,1)(2)(x x x x F Y于是其密度函数为<≥='=0,00),(1)()(x x x x x F x f Y Y ?.0,00,212/??<≥=-x x e x x π注: 以上述函数为密度函数的随机变量称为服从)1(2χ分布, 它是一类更广泛的分布)(2n χ在1=n 时的特例. 关于)(2n χ分布的细节将在第五章中给出.13、设随机变量X 服从参数为λ的指数分布, 求 }2,m in{X Y = 的分布函数.解根据已知结果, X 的分布函数≤>-=-0,00,1)(x x e x F x X λ Y 的分布函数}}2,{m in{}{)(y X P y Y P y F Y ≤=≤=}}2,{m in{1y X P >-=}.2,{1y y X P >>-=当2-= 当2≥y 时,.1)(=y F Y代入X 的分布函数中可得.2,120,10,0)(??≥<<-≤=-y y e y y F y Y λ注:在本例中, 虽然X 是连续型随机变量, 但Y 不是连续型随机变量, 也不是离散型随机变量, Y 的分布在2=y 处间断.14、设随机变量X 在)1,0(上服从均匀分布, 求X Y ln 2-=的概率密度. 解在区间 (0,1) 上, 函数,0ln -=x y 02<-='xy 于是y 在区间),0(+∞上单调下降, 有反函数2/)(y e y h x -==从而 ??<<=---其它,010,)()()(2/2/2/y y y X Y e dye d ef y f 已知X 在在(0,1)上服从均匀分布,<<=其它,010,1)(x x f X 代入)(y f Y 的表达式中, 得>=-其它, 00,21)(2/y e y f y X即Y 服从参数为1/2的指数分布.15. 设X 的分布列为10/310/110/110/15/12/52101i p X -试求: (1) 2X 的分布律; (2) 2X 的分布律.16. 设随机变量X 的概率密度为<<=.,0,0,/2)(2其它ππx x x f 求X Y sin =的概率密度.。
数理统计习题答案习题5.1解答1. 设总体服从()λP 分布,试写出样本的联合分布律. n X X X ,,,12 解:()的分布律为:即X P X ~,λ ()!k e P X k k λλ-==, 0,1,2,,,n k =n X X X ,,,12 的联合分布律为:()n n P X x X x X x ===,,,1122 = ()()()n n P X x P X x P X x === 1122=nx x x x e x e x e nλλλλλλ---⋅2121=λλn n x x xe x x x n-+++!!!1212, n i n x i 0,1,2,,,1,2,, ==2. 设总体X 服从()0,1N 分布,试写出样本的联合分布密度. n X X X ,,,12 解:,即()~0,1X N X 分布密度为:()2221x p x e -=π,+∞<<-∞xn X X X ,,,12 的联合分布密度为:()∏==ni i n x x x p x p112*(),,...=22222221212121n x x x eee --⋅-πππ=()}212exp{122∑=--n i i x n π x i n i ,1,2,, =+∞<<∞-. 3. 设总体X 服从()2,μσN 分布,试写出样本的联合分布密度. n X X X ,,,12 解:()2~,μσX N ,即X 分布密度为:()p x =()}2exp{2122σμπσ--x ,∞<<∞-xn X X X ,,,12 的联合分布密度为:()∏==ni i n x xx p x p 112*,,...)(=)()}21exp{121222∑-⋅⋅-=-ni i n n x μσπσ, x i n i ,1,2,, =+∞<<∞-.4. 根据样本观测值的频率分布直方图可以对总体作什么估计与推断? 解:频率分布直方图反映了样本观测值落在各个区间长度相同的区间的频率大小,可以估计X 取值的位置与集中程度,由于每个小区间的面积就是频率,所以可以估计或推断X 的分布密度. 5. 略. 6. 略.习题5.2解答1. 观测5头基础母羊的体重(单位:kg)分别为53.2,51.3,54.5,47.8,50.9,试计算这个样本观测值的数字特征:(1)样本总和,(2)样本均值,(3)离均差平方和,(4)样本方差,(5)样本标准差,(6)样本修正方差,(7)样本修正标准差,(8)样本变异系数,(9)众数,(10)中位数,(11)极差,(12)75%分位数.解:设53.2,51.3,54.5,47.8,50.954321=====x x x x x()257.7151=∑=i ix,()51.54251==∑=i ix x(3) ss =()2512512xx xnx i ii i-=-∑∑===13307.84-5×51.542=25.982(4)=2s ()∑=-51251i i x x =51ss =5.1964, (5)s =2.28; (6) =s s *ss n 11-=6.4955(7)=2.5486; (8)*s cv =100⨯*xs =4.945;(9)每个数都是一个,故没有众数.(10)中位数为=51.3; (11)极差为54.5-47.8=6.7;(12)0.75分位数为53.2. 3x2. 观测100支金冠苹果枝条的生长量(单位:cm)得到频数表如下:组下限 19.5 24.5 29.5 34.5 39.5 44.5 49.5 54.5 59.5 组上限 24.5 29.5 34.5 39.5 44.5 49.5 54.5 59.5 64.5 组中值 22 27 32 37 42 47 52 57 62频数 8 11 13 18 18 15 10 4 3试计算这个样本观测值的数字特征:(1)样本总和,(2)样本均值,(3)离均差平方和,(4)样本方差,(5)样本标准差,(6)样本修正方差,(7)样本修正标准差,(8)样本变异系数,(9)众数,(10)中位数,(11)极差,(12)75%分位数.解:设组中值依次为,频数依次为,129,,,x x x 129,,,n n n +=++=912n n n n 100,()=∑=911i i in x 3950;()=+=∑=911912i i in xn n x 39.5;()()-=-==∑∑==29129123ss n x x n xnx i i ii i i 210039.5166300-⨯=10275;()==s ss 100142102.75; ()=s 510.137;()=-=*ss n s 1162103.788 ()=*s 710.188;()=⨯=*1008xs cv 25.79;()93742或众数是()50,210=n ;中位数为39.523742=+;()11极差为:62-22=40;()4783,0.7568,12612512分位数为+++=+++=∴n n n n n n .3.略.4. 设是一组实数,a 和是任意非零实数,n x x x ,,,12 b bx ay i i -=(i n 1,, =),x 、y 分别为、的均值, =i x i y 2xs ∑-iixn(x 2)1,=2ys 1n(y y i i-)∑2,试证明:① b x a y -=;② 222b s s x y =. 解①:∑∑==-==ni i ni i b x a ny ny 1111= ()∑=-ni i x a bn11= ⎪⎪⎭⎫ ⎝⎛-∑=n i i x na nb 11= b x a -;②=2y s 1n∑-ii y y 2()=∑=⎪⎪⎭⎫⎝⎛---ni i b x a b x a n121=∑=⎪⎪⎭⎫⎝⎛-ni i b x x n 121=221x s b .1.求分位数(1),(2)()820.05x ()1220.95x 。
习题一1 设总体X 的样本容量5=n ,写出在下列4种情况下样本的联合概率分布. 1)),1(~p B X ; 2))(~λP X ; 3)],[~b a U X ; 4))1,(~μN X .解 设总体的样本为12345,,,,X X X X X , 1)对总体~(1,)X B p ,其中:5115i i x x ==∑2)对总体~()X P λ其中:5115i i x x ==∑3)对总体~(,)X U a b 4)对总体~(,1) X N μ2 为了研究玻璃产品在集装箱托运过程中的损坏情况,现随机抽取20个集装箱检查其产品损坏的件数,记录结果为:1,1,1,1,2,0,0,1,3,1,0,0,2,4,0,3,1,4,0,2,写出样本频率分布、经验分布函数并画出图形.解 设(=0,1,2,3,4)i i 代表各箱检查中抽到的产品损坏件数,由题意可统计出如下的样本频率分布表:()()()(1)10,(),,=1,2,,1,1,n k k k x x kF x x x x k n n x x +<⎧⎪⎪≤<-⎨⎪≥⎪⎩L ,据此得出样本分布函数:图经验分布函数3解图 数据直方图它近似服从均值为172,方差为的正态分布,即(172,5.64)N .4 设总体X 的方差为4,均值为μ,现抽取容量为100的样本,试确定常数k ,使得满足9.0)(=<-k X P μ.解()- 5P X k P k μ⎫⎪<=<⎪⎭因k 较大,由中心极限定理(0,1)X N : 所以:()50.95k Φ=查表得:5 1.65k =,0.33k ∴=.5 从总体2~(52,6.3)X N 中抽取容量为36的样本,求样本均值落在到之间的概率.解 ()50.853.8 1.1429 1.7143X P X P ⎛⎫<<=-<< ⎪⎝⎭6 从总体~(20,3)X N 中分别抽取容量为10与15的两个独立的样本,求它们的均值之差的绝对值大于的概率.解 设两个独立的样本分别为:110,,X X K 与115,,Y Y K ,其对应的样本均值为:X 和Y . 由题意知:X 和Y 相互独立,且:3~(20,)10X N ,3~(20,)15Y N7 设110,,X X K 是总体~(0,4)X N 的样本,试确定C ,使得1021()0.05i i P X C =>=∑.解 因~(0,4)i X N ,则~(0,1)2iX N ,且各样本相互独立,则有: 所以:10102211()()144iii i CP X C P X ==>=>∑∑查卡方分位数表:c/4=,则c=.8 设总体X 具有连续的分布函数()X F x ,1,,n X X K 是来自总体X 的样本,且i EX μ=,定义随机变量:试确定统计量∑=ni i Y 1的分布.解 由已知条件得:~(1,)i Y B p ,其中1()X p F μ=-.因为i X 互相独立,所以i Y 也互相独立,再根据二项分布的可加性,有1~(,)nii YB n p =∑,1()X p F μ=-.9 设1,,n X X K 是来自总体X 的样本,试求2,,EX DX ES 。
第二章 参数估计2.4 设子样1.3,0.6,1.7,2.2,0.3,1.1是来自具有密度函数()1f x ββ=;,0x β<<的总体,试用矩法估计总体均值、总体方差及参数β. 解: 1.30.6 1.7 2.20.3 1.1 1.26X μ+++++===.()()()()()()()22222222111 1.3 1.20.6 1.2 1.7 1.2 2.2 1.20.3 1.2 1.1 1.26ni i X X n σ=⎡⎤=-=-+-+-+-+-+-⎣⎦∑ ()222222210.10.60.510.90.10.4076σ=+++++==. ()()0112E X x f x dx xdx ββββ+∞-∞===⎰⎰;.令()E X X =,则12X β=,即2X β=.参数β的矩估计量为ˆ22 1.2 2.4X β==⨯=.2.6 设总体X 的密度函数为()f x θ;,1X ,2X ,…,n X 为其样本,求下列情况下θ的MLE.(iii )()()100x x e x f x ααθθαα--⎧>⎪=⎨⎪⎩,;,其它α已知解:当0i X >()12i n = ,,,时,似然函数为: ()()()()111111ni i i n n n x n x i i i i i i L f x x e x eαααθθαθθθαθα=----===∑⎛⎫=== ⎪⎝⎭∏∏∏;.()()11ln ln ln 1ln n ni i i i L n n x x αθθααθ===++--∑∑.由()1ln 0ni i L nx αθθθ=∂=-=∂∑,得θ的MLEˆθ,即1ˆnii nxαθ==∑.2.7 设总体X 的密度函数为()()1f x x ββ=+,01x <<,1X ,2X ,…,n X 为其子样,求参数β的MLE 及矩法估计。
今得子样观察值为0.3,0.8,0.27,0.35,0.62及0.55,求参数β的估计值。
【最新整理,下载后即可编辑】第一章:统计量及其分布19.设母体ξ服从正态分布N (),,2σμξ和2n S 分别为子样均值和子样方差,又设()21,~σμξN n +且与n ξξξ,,,21 独立, 试求统计量111+--+n n S nn ξξ的抽样分布. 解: 因为ξξ-+1n 服从⎪⎭⎫⎝⎛+21,0σn n N 分布. 所以()1,0~121N nn n σξξ+-+ 而()1~222-n nS nχσ且2n S 与ξξ-+1n 独立,, 所以()1~1111--÷+--+n t S n n n n S nnn σξξ分布. 即111+--+n n S nn εε服从()1-n t 分布. 20. (),,,1,,n i i i =ηξ是取自二元正态分布N ()ρσσμμ222121,,,的子样,设()∑∑∑===-===n i i i ni n i i n S n n 12111,1,1ξξηηξξξ2,()2121∑=-=n i i n S ηηη和()()()()∑∑∑===----=ni ini ii ni ir 12211ηηξξηηξξ试求统计量()122221--+---n S rS S S ηξηξμμηξ的分布.解: 由于().21μμηξ-=-E()()=-+=-ηξηξηξ,cov 2D D D nn nn2122212σσρσσ-+.所以()()n212221212σρσσσμμηξ-+---服从()1,0N 分布 .()()()()()()()[]211212121222122ηξηξηηξξηηξξ---=----+-=-+∑∑∑∑====i ini i i ni i ni i ni S rS S S ni i ηξ-是正态变量,类似于一维正态变量的情况,可证ηξηξS rS S S 222-+与ηξ-相互独立.()()1~22221222122--+-+n S rS S S n χσρσσσηξηξ, 所以 统计量()122221--+---n S rS S S ηξηξμμηξ()()()()1)2(222122212221222121--+-+-+---=n S rS S S n nσρσσσσρσσσμμηξηξηξ服从()1-n t 分布.第二章:估计量1. 设n ξξ,,1 是来自二点分布的一个子样,试求成功概率p 的矩法估计量.解: p E =ξ ξ=∴pˆ 3. 对容量为n 的子样,求密度函数()()⎪⎩⎪⎨⎧<<-=其它,00,2;2ax x a a a x f中参数a 的矩法估计3. 对容量为n 的子样,求密度函数 ()()⎪⎩⎪⎨⎧<<-=其它,00,2;2ax x a a a x f中参数a 的矩法估计量. 解: ()322a dx x a ax E a=-=⎰ξ 令ξ=3a得ξ3ˆ=a . 4.在密度函数 ()()10,1<<+=x x a x f a 中参数a 的极大似然估计量是什么?矩法估计量是什么?解: (1) ()()()∏∏==+=+=ni i ni nn i x x L 111ααααα ()i ix∀<<1∴()().ln 1ln ln 1⎪⎪⎭⎫⎝⎛⋅++=∏=n i i x n L ααα令()0ln 1ln 1=++=∂∂∑=i ni x nL ααα, 得 ∑=--=ni iL xn1ln 1ˆα。
概率论与数理统计习题 第二章 随机变量及其分布习题2-1 一袋中装有5只球,编号为1,2,3,4,5.在袋中同时取3只,以X 表示取出的3只球中的最大号码,写出X 随机变量的分布律.解:X 可以取值3,4,5,分布律为1061)4,3,2,1,5()5(1031)3,2,1,4()4(1011)2,1,3()3(352435233522=⨯====⨯====⨯===C C P X P C C P XP C C P X P 中任取两球再在号一球为中任取两球再在号一球为号两球为号一球为也可列为下表X : 3, 4,5 P :106,103,101习题2-2 进行重复独立试验,设每次试验成功的概率为p ,失败的概率为p -1)10(<<p .(1)将试验进行到出现一次成功为止,以X 表示所需的试验次数,求X 的分布律.(此时称X 服从以p 为参数的几何分布.)(2)将试验进行到出现r 次成功为止,以Y 表示所需的试验次数,求Y 的分布律.(此时称Y 服从以p r ,为参数的巴斯卡分布.)(3)一篮球运动员的投篮命中率为%45.以X 表示他首次投中时累计已投篮的次数,写出X 的分布律,并计算X 取偶数的概率.解:(1)P (X=k )=qk -1p k=1,2,……(2)Y=r+n={最后一次实验前r+n -1次有n 次失败,且最后一次成功},,2,1,0,)(111 ===+=-+--+n p q C p p q C n r Y P r n n n r r n n n r 其中 q=1-p , 或记r+n=k ,则 P {Y=k }= ,1,,)1(11+=----r r k p p C rk r r k(3)P (X=k ) = (0.55)k -10.45k=1,2…P (X 取偶数)=311145.0)55.0()2(1121===∑∑∞=-∞=k k k k X P习题2-3 一房间有同样大小的窗子,其中只有一扇是打开的。
1. 收集到26家保险公司人员构成的数据,现希望对目前保险公司从业人员受高等教育的程度和年轻化的程度进行推断,具体来说就是推断具有高等教育水平的员工平均比例是否低于80%,35岁以下的年轻人的平均比例是否为0.5。
(数据见 练习2数据.xls—练习2.1)解:(1)推断具有高等教育水平(大专及以上)的员工平均比例是否低于80%。
处理数据,结果如下设具有高等教育水平员工的平均比例为μ且服从正态分布。
原假设H 0:保险公司具有高等教育水平(大专及以上)的员工比例平均值不低于0.8,即 H 0 :8.0≥μ备择假设:H 1:8.0<μ样本平均比例为 0.729273x = ,样本标准差198178.0=s 采用t 检验()()0.050.952525 1.7081t t =-=--1.8198=26/198178.08.0729273.0/s -x T =-==n μ,落在拒绝域内,拒绝原假设。
结论:没有足够的证据表明具有高等教育水平(大专及以上)的员工平均比例高于80%。
(2)35岁以下的年轻人的平均比例是否为0.5 处理数据,结果如下:设35岁以下的年轻人的平均比例μ服从正态分布。
原假设H 0:年轻人比例的平均值与0.5无显著性差异,即H 0:5.0=μ 备择假设H 1: 5.0≠μ样本平均比例为 0.713875x = ,标准差s =0.150683 采用双尾t 检验:t 0.25=2.0595T =x̅−μs √n =0.713875−0.50.150683√26=7.2374落在拒绝域内,拒绝原假设。
结论:没有足够的证据表明35岁以下的年轻人的平均比例为0.5。
2. 练习1中保险公司的类别分为:1. 全国性公司;2. 区域性公司;3. 外资和中外合资公司。
试分析公司类别1与3的人员构成中,具有高等教育水平的员工比例的均值是否存在显著性的差异。
(数据见 练习2数据.xls—练习2.1) 解:分别设1类、3类公司具有高等教育水平员工比例为12,μμ 处理数据,结果如下设具有高等教育水平员工比例12μμ、服从正态分布。
第二章 参数估计2.2 对容量为n 的子样,对密度函数其22(),0(;)0,0x x f x x x ααααα⎧-⎪=⎨⎪≤≥⎩ 中参数α的矩法估计。
解:1202()()a E x x x dx ααα==-⎰22022()x x dx ααα=-⎰2321221333ααααααα=-=-= 所以 133a x α∧== 其中121,21(),,,n n x x x x x x x n =+++ 为n 个样本的观察值。
2.6 设总体X 的密度函数为12(;),,,,n f x X X X θ 为其样本,求下列情况下θ∧的MLE 。
(ii)1,01(;)0,x x f x αθθ-⎧=⎨⎩ 其它 0θ (v )1,0(;)0,x e x f x θθθ-⎧≥⎪=⎨⎪⎩其它 0θ 解:(ii)1111()n n n i i i i L x x θθθθθ--====∏∏1ln ()ln (1)ln n i i L n x θθθ==+-∑11111ln ()ln 01(ln )(ln )n i i n n i i i i d L n x d n x x n θθθθ=∧--===+==-=-∑∑∑ (v)111()n i i x n L e θθθ=-∑= 11ln ()ln()nii L n x θθθ==--∑211ln ()101,n i i n i i d L n X d x x X n θθθθθ=∧==-+===∑∑2.10 设总体123(,1),,,X N X X X μ 为一样本,试证明下述三个估计变量11232123312313151021153412111362X X X X X X X X X μμμ=++=++=++ 都是μ的无偏估计量,并求出每一估计量的方差,问哪一个最小? 证:1123131()()()()5102E E X E X E X μ=++131()5102μμ=++= 同理:2123115()()()()3412E E X E X E X μ=++ 115()3412μμ=++= 3123111()()()()362E E X E X E X μ=++ 111()362μμ=++= ∴12,,μμμ是μ的无偏估计量。
概率论与数理统计习题二答案概率论与数理统计习题二答案概率论与数理统计是一门重要的数学学科,广泛应用于各个领域。
习题是学习这门学科的重要方式之一,通过解答习题可以巩固理论知识,提高问题解决能力。
本文将针对概率论与数理统计习题二给出详细的答案解析。
1. 设事件A和事件B为两个相互独立的事件,且P(A) = 0.3,P(B) = 0.4。
求P(A并B)和P(A或B)。
解析:由于事件A和事件B是相互独立的,所以P(A并B) = P(A) * P(B) = 0.3 * 0.4 = 0.12。
而P(A或B) = P(A) + P(B) - P(A并B) = 0.3 + 0.4 - 0.12 = 0.58。
2. 一批产品中有10%的次品,从中随机抽取5个产品进行检验,求恰好有3个次品的概率。
解析:设事件A为恰好有3个次品,事件B为抽取的5个产品中有3个次品。
根据二项分布的概率公式,P(B) = C(5, 3) * (0.1)^3 * (0.9)^2 = 10 * 0.001 * 0.81 = 0.0081。
因此,恰好有3个次品的概率为0.0081。
3. 一批产品的质量服从正态分布,已知平均值为μ,标准差为σ。
从中随机抽取一个样本,样本容量为n。
求样本均值的期望值和方差。
解析:样本均值的期望值为总体均值μ,样本均值的方差为总体方差除以样本容量n。
因此,样本均值的期望值为μ,方差为σ^2/n。
4. 设X和Y是两个随机变量,它们的协方差为Cov(X, Y) = 5,方差分别为Var(X) = 9,Var(Y) = 16。
求随机变量Z = 2X + 3Y的方差。
解析:根据随机变量的性质,Var(Z) = Var(2X + 3Y) = 4Var(X) + 9Var(Y) +12Cov(X, Y) = 4 * 9 + 9 * 16 + 12 * 5 = 36 + 144 + 60 = 240。
5. 设X服从参数为λ的指数分布,即X ~ Exp(λ)。
1. 收集到26家保险公司人员构成的数据,现希望对目前保险公司从业人员受高等教育的程度和年轻化的程度进行推断,具体来说就是推断具有高等教育水平的员工平均比例是否低于80%,35岁以下的年轻人的平均比例是否为0.5。
(数据见 练习2数据.xls—练习
2.1)
解:(1)推断具有高等教育水平(大专及以上)的员工平均比例是否低于80%。
处理数据,结果如下
设具有高等教育水平员工的平均比例为μ且服从正态分布。
原假设H 0:保险公司具有高等教育水平(大专及以上)的员工比例平均值不低于0.8,即 H 0 :8.0≥μ
备择假设:H 1:8.0<μ
样本平均比例为 0.729273x = ,样本标准差198178.0=s 采用t 检验
()()0.050.952525 1.7081t t =-=-
-1.8198=26
/198178.08
.0729273.0/s -x T =-==
n μ,落在拒绝域内,拒绝原假设。
结论:没有足够的证据表明具有高等教育水平(大专及以上)的员工平均比例高于80%。
(2)35岁以下的年轻人的平均比例是否为0.5 处理数据,结果如下:
设35岁以下的年轻人的平均比例μ服从正态分布。
原假设H 0:年轻人比例的平均值与0.5无显著性差异,即H 0:5.0=μ 备择假设H 1: 5.0≠μ
样本平均比例为 0.713875x = ,标准差s =0.150683 采用双尾t 检验:
t 0.25=2.0595
T =x̅−μs √n =0.713875−0.50.150683
√26
=7.2374
落在拒绝域内,拒绝原假设。
结论:没有足够的证据表明35岁以下的年轻人的平均比例为0.5。
2. 练习1中保险公司的类别分为:1. 全国性公司;2. 区域性公司;
3. 外资和中外合资公司。
试分析公司类别1与3的人员构成中,具有高等教育水平的员工比例的均值是否存在显著性的差异。
(数据见 练习2数据.xls—练习2.1) 解:分别设1类、3类公司具有高等教育水平员工比例为12,μμ 处理数据,结果如下
设具有高等教育水平员工比例12μμ、服从正态分布。
原假设 012:H μμ= ,即公司类别1与3具有高等教育水平的员工比例均值无显著性差异 备择假设112:H μμ≠。
样本平均比例为 10.61203x = ,20.810663x = 标准差s 1=0.261348
s
2=0.121239
()()0.0250.9752222 2.0739t t =-=-,()0.97522 2.0739t =
s p =√(n 1−1)s 12+(n 2−1)s 2
2n 1+n 2−2
=0.178198 t =
(x̅−x̅)−(μ−μ)
s p √1n 1+1
n
2
=−2.574
落在拒绝域内,故拒绝原假设;
结论:没有足够的证据表明公司类别1与3具有高等教育水平的员工比例的均值无显著性差异
3. 欲研究不同收入群体对某种特定商品是否有相同的购买习惯,市场研究人员调查了4个不同收入组的消费者共527人,购买习惯分别为:经常购买,不购买,有时购买。
要求:(1)提出假设;(2)计算ξ2值;(3)以99%的显著性水平进行检验。
(数据见 练习2数据.xls—练习2.3) (1)提出假设
0H :不同收入群体对某种特定商品购买习惯相同 1H :不同收入群体对某种特定商品购买习惯不同
(2)计算2χ值
采用列联分析,处理数据结果如下:
χ2
=
∑∑(f ij −e ij )e
ij
=4j=1
3i=117.6729,自由度为()()31416-⨯-= 其中,
ij f 表示第i 行j 列的实际频数,ij e 表示第i 行j 列的期望频数。
(3)以99%的显著性水平进行检验
()2
20.99616.812χχ=<
拒绝原假设
结论:没有足够的证据表明不同收入群体对某种特定商品购买习惯相同。
4. 由我国某年沿海和非沿海省市自治区的人均国内生产总值(GDP)的抽样数
据,采用各种非参数检验方法进行检验,判断它们的分布是否存在显著性差异,并进行评价。
(数据见练习2数据.xls—练习2.4)
解:1)曼-惠特尼U检验
H0:沿海和非沿海GDP无显著性差异;
H1:沿海和非沿海GDP有显著性差异。
沿海样本数量m=12,非沿海样本数量n=18,故Wilcoxon W=W Y=180
U=W-0.5n(n+1)=9
α=。
P值等于0<0.05
拒绝原假设,选择备择假设
结论:沿海和非沿海地区GDP有显著性差异
5.某企业在制定某商品的广告策略时,收集了该商品在不同地区采用不同广告
形式促销后的销售额数据,希望对广告形式和地区是否对商品销售额产生影响进行分析,
a)以商品销售额为因变量,广告形式和地区为自变量,通过单因素方差分
析方法分别对广告形式、地区对销售额的影响进行分析;
b)试进一步分析,究竟哪种广告形式的作用较明显,哪种不明显,以及销
售额和地区之间的关系等。
c)试分析广告形式、地区以及两者的交互作用是否对商品销售额产生影响。
(数据见练习2数据.xls—练习2.5,其中广告形式为:1. 报纸; 2. 广播;
3. 宣传品;
4. 体验)
解:
(a) 以商品销售额为因变量,广告形式和地区为自变量,通过单因素方差分析方法分别对广告形式、地区对销售额的影响进行分析;
广告形式对销售额的影响
α=。
首先需要对数据进行重新排列,排列结果如下:显著性水平0.05
使用Excel进行单因素方差分析,结果如下:
结论:P值为0.71413>0.05,所以不能拒绝原假设
决策:没有足够的证据表明广告形式对销售额有影响
● 地区对销售额的影响
显著性水平0.05α=。
使用Excel 进行单因素方差分析,结果如下:
决策:p 值为0.035082<0.05,拒绝原假设 结论:地区对销售额有显著影响
(b )试进一步分析,究竟哪种广告形式的作用较明显,哪种不明显,以及销售额和地区之间的关系等。
● 分析哪种广告形式的作用较明显,哪种不明显
1、根据前面的计算结果134274.6,73.2,58.2,69.3x x x ====
2、提出假设
0:i j H μμ= ;1:i j H μμ≠
3、计算LSD
()()()120.9750.97540436 2.0281t n k t t α--=-== 216.9917MSE = 计算得
1 2.021813.319LSD t α-===
4、检验
1274.673.2 1.413.319x x -=-=< 广告形式1与广告形式2差异不明显 1374.658.216.413.391x x -=-=> 广告形式1与广告形式3差异明显
1474.669.3 5.313.319x x -=-=< 广告形式1与广告形式4差异不明显 2373.258.215.013.319x x -=-=> 广告形式2与广告形式3差异明显 2473.269.3 3.913.319x x -=-=< 广告形式2与广告形式4差异不明显 3458.269.311.113.319x x -=-=< 广告形式3与广告形式4差异不明显 综上可以认为广告形式3对销售额的影响明显
分析销售额和地区之间的关系
销售额与地区之间的关系强度
23959.5259467.770.4185SSA R SST === 表明地区对销售额的影响强度不是很大
(c) 分析广告形式、地区以及两者的交互作用是否对商品销售额产生影响 交互作用的双因素方差分析
首先要进行数据处理,将地区按顺序分为五组,地区为影响因素A ,广告形式为影响因素B ;
显著性水平 0.05α=。
使用Excel 进行双因素有交互作用方差分析,结果如下:
2.13772 2.866081A F F α=>= ,拒绝原假设,即地区对销售量有显著影响; 2.840731
3.098391B F F α<== ,不拒绝原假设,即没有足够证据表明广告形式对
销售量有显著影响;
0.970689 2.277581AB F F α<== ,不拒绝原假设,即没有足够证据表明地区和广
告形式的交互作用对销售额有显著影响。