电磁场与电磁波课后答案 郭辉萍版1-6章
- 格式:doc
- 大小:2.36 MB
- 文档页数:33
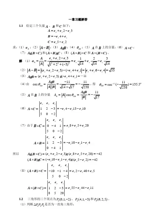
一章习题解答1.1 给定三个矢量A 、B 和C 如下: 23x y z =+-A e e e4y z =-+B e e52x z =-C e e求:(1)A a ;(2)-A B ;(3)A B ;(4)AB θ;(5)A 在B 上的分量;(6)⨯A C ;(7)()⨯A B C 和()⨯A B C ;(8)()⨯⨯A B C 和()⨯⨯A B C 。
解 (1)23A x y z+-===+-e e e A a e e e A (2)-=A B (23)(4)x y z y z +---+=e e e ee 64x y z +-=e e e (3)=A B (23)x y z +-e e e (4)y z -+=e e -11(4)由 c o s AB θ=8==A B A B ,得 1c o s AB θ-=(135.5= (5)A 在B 上的分量 B A =A c o s AB θ==A B B (6)⨯=A C 123502x y z-=-e e e 41310x y z ---e e e (7)由于⨯=B C 041502x yz-=-e e e 8520x y z ++e e e ⨯=A B 123041xyz-=-e e e 1014x y z ---e e e所以 ()⨯=A B C (23)x y z +-e e e (8520)42x y z ++=-e e e ()⨯=A B C (1014)x y z ---e e e (52)42x z -=-e e(8)()⨯⨯=A B C 1014502x y z---=-e e e 2405x y z -+e e e()⨯⨯=A B C 1238520xy z -=e e e 554411x y z --e e e1.2 三角形的三个顶点为1(0,1,2)P -、2(4,1,3)P -和3(6,2,5)P 。
(1)判断123PP P ∆是否为一直角三角形;(2)求三角形的面积。
第一章矢量分析重点和难点关于矢量的定义、运算规则等内容可让读者自学。
应着重讲解梯度、散度、旋度的物理概念和数学表示,以及格林定理和亥姆霍兹定理。
至于正交曲面坐标系一节可以略去。
考虑到高年级同学已学过物理学,讲解梯度、散度和旋度时,应结合电学中的电位、积分形式的高斯定律以及积分形式的安培环路定律等内容,阐述梯度、散度和旋度的物理概念。
详细的数学推演可以从简,仅给出直角坐标系中的表达式即可。
讲解无散场和无旋场时,也应以电学中介绍的静电场和恒定磁场的基本特性为例。
至于格林定理,证明可免,仅给出公式即可,但应介绍格林定理的用途。
前已指出,该教材的特色之一是以亥姆霍兹定理为依据逐一介绍电磁场,因此该定理应着重介绍。
但是由于证明过程较繁,还要涉及? 函数,如果学时有限可以略去。
由于亥姆霍兹定理严格地定量描述了自由空间中矢量场与其散度和旋度之间的关系,因此应该着重说明散度和旋度是产生矢量场的源,而且也是惟一的两个源。
所以,散度和旋度是研究矢量场的首要问题。
此外,还应强调自由空间可以存在无散场或无旋场,但是不可能存在既无散又无旋的矢量场。
这种既无散又无旋的矢量场只能存在于局部的无源区中。
重要公式 直角坐标系中的矢量表示:z z y y x x A A A e e e A ++= 矢量的标积:代数定义:z z y y x x B A B A B A ++=⋅B A几何定义:θcos ||||B A B A =⋅矢量的矢积:代数定义:zyxz y xz y xB B B A A A e e e B A =⨯几何定义:θsin ||B ||A e B A z =⨯标量场的梯度:zy x z y ∂∂+∂∂+∂∂=∇ΦΦΦΦe e e x矢量场的散度:zA y A x A z y x ∂∂+∂∂+∂∂=⋅∇A 高斯定理:⎰⎰⋅=⋅∇SVV d d S A A矢量场的旋度:zy xz y A A A z y x ∂∂∂∂∂∂=⨯∇e e e A x ; 斯托克斯定理:⎰⎰⋅=⋅⨯∇lSd d )(l A S A无散场:0)(=⨯∇⋅∇A ; 无旋场:0)(=∇⨯∇Φ格林定理:第一和第二标量格林定理:⎰⎰⋅∇=∇+∇⋅∇SVV 2d )(d )(S ΦψΦψΦψ()⎰⎰⋅∇-∇=∇-∇SVV 22d d )(S ψΦΦψψΦΦψ第一和第二矢量格林定理:()⎰⎰⋅⨯∇⨯=⨯∇⨯∇⋅-⨯∇⋅⨯∇SVV d d ])()[(S Q P Q P Q P⎰⎰⋅⨯∇⨯-⨯∇⨯=⨯∇⨯∇⋅-⨯∇⨯∇⋅SVV d ][ d ]()([S P Q Q P Q P P Q亥姆霍兹定理: )()()(r A r r F ⨯∇+-∇=Φ,式中⎰'''-'⋅∇'=V V d )(41)(r r r F r πΦ V V ''-'⨯∇'=⎰'d )(41)(r r r F r A π三种坐标系中矢量表示式之间的转换关系:⎥⎥⎥⎦⎤⎢⎢⎢⎣⎡⎥⎥⎥⎦⎤⎢⎢⎢⎣⎡-=⎥⎥⎥⎦⎤⎢⎢⎢⎣⎡z y x z r A A A A A A 100cos sin 0sin cos φφφφφ⎥⎥⎥⎦⎤⎢⎢⎢⎣⎡⎥⎥⎥⎦⎤⎢⎢⎢⎣⎡--=⎥⎥⎥⎦⎤⎢⎢⎢⎣⎡z y x r A A A A A A 0cos sin sin sin cos cos cos cos sin sin cos sin φφθφθφθθφθφθφθ⎥⎥⎥⎦⎤⎢⎢⎢⎣⎡⎥⎥⎥⎦⎤⎢⎢⎢⎣⎡-=⎥⎥⎥⎦⎤⎢⎢⎢⎣⎡z r r A A A A A A φφθθθθθ 010sin 0cos cos 0sin题 解第一章 题 解1-1 已知三个矢量分别为z y e e e A x 32-+=;z y e e e B x 23++=;z e e C x -=2。
第六章时变电磁场有一导体滑片在两根平行的轨道上滑动,整个装置位于正弦时变磁场之中,如题图所示。
滑片的位置由确定,轨道终端接有电阻,试求电流i.解穿过导体回路abcda的磁通为故感应电流为一根半径为a的长圆柱形介质棒放入均匀磁场中与z轴平行。
设棒以角速度绕轴作等速旋转,求介质内的极化强度、体积内和表面上单位长度的极化电荷。
解介质棒内距轴线距离为r处的感应电场为故介质棒内的极化强度为极化电荷体密度为极化电荷面密度为则介质体积内和表面上同单位长度的极化电荷分别为平行双线传输线与一矩形回路共面,如题图所示。
设、、,求回路中的感应电动势。
解由题给定的电流方向可知,双线中的电流产生的磁感应强度的方向,在回路中都是垂直于纸面向内的。
故回路中的感应电动势为式中故则有一个环形线圈,导线的长度为l,分别通过以直流电源供应电压U0和时变电源供应电压U(t)。
讨论这两种情况下导线内的电场强度E。
解设导线材料的电导率为,横截面积为S,则导线的电阻为而环形线圈的电感为L,故电压方程为当U=U0时,电流i也为直流,。
故此时导线内的切向电场为当U=U(t)时,,故即求解此微分方程就可得到。
一圆柱形电容器,内导体半径为a,外导体内半径为b,长为l。
设外加电压为,试计算电容器极板间的总位移电流,证明它等于电容器的传导电流。
解当外加电压的频率不是很高时,圆柱形电容器两极板间的电场分布与外加直流电压时的电场分布可视为相同(准静态电场),即故电容器两极板间的位移电流密度为则式中,是长为l的圆柱形电容器的电容。
流过电容器的传导电流为可见由麦克斯韦方程组出发,导出点电荷的电场强度公式和泊松方程。
解点电荷q产生的电场满足麦克斯韦方程和由得据散度定理,上式即为利用球对称性,得故得点电荷的电场表示式由于,可取,则得即得泊松方程试将麦克斯方程的微分形式写成八个标量方程:(1)在直角坐标中;(2)在圆柱坐标中;(3)在球坐标中。
解(1)在直角坐标中(2)在圆柱坐标中(3)在球坐标系中已知在空气中,求和。
第一章习题解答给定三个矢量、和如下:求:(1);(2);(3);(4);(5)在上的分量;(6);(7)和;(8)和。
解(1)(2)(3)-11(4)由,得(5)在上的分量(6)(7)由于所以(8)三角形的三个顶点为、和。
(1)判断是否为一直角三角形;(2)求三角形的面积。
解(1)三个顶点、和的位置矢量分别为,,则,,由此可见故为一直角三角形。
(2)三角形的面积求点到点的距离矢量及的方向。
解,,则且与、、轴的夹角分别为给定两矢量和,求它们之间的夹角和在上的分量。
解与之间的夹角为在上的分量为给定两矢量和,求在上的分量。
解所以在上的分量为证明:如果和,则;解由,则有,即由于,于是得到故如果给定一未知矢量与一已知矢量的标量积和矢量积,那么便可以确定该未知矢量。
设为一已知矢量,而,和已知,试求。
解由,有故得在圆柱坐标中,一点的位置由定出,求该点在:(1)直角坐标中的坐标;(2)球坐标中的坐标。
解(1)在直角坐标系中、、故该点的直角坐标为。
(2)在球坐标系中、、故该点的球坐标为用球坐标表示的场,(1)求在直角坐标中点处的和;(2)求在直角坐标中点处与矢量构成的夹角。
解(1)在直角坐标中点处,,故(2)在直角坐标中点处,,所以故与构成的夹角为球坐标中两个点和定出两个位置矢量和。
证明和间夹角的余弦为解由得到一球面的半径为,球心在原点上,计算:的值。
解在由、和围成的圆柱形区域,对矢量验证散度定理。
解在圆柱坐标系中所以又故有求(1)矢量的散度;(2)求对中心在原点的一个单位立方体的积分;(3)求对此立方体表面的积分,验证散度定理。
解(1)(2)对中心在原点的一个单位立方体的积分为(3)对此立方体表面的积分故有计算矢量对一个球心在原点、半径为的球表面的积分,并求对球体积的积分。
解又在球坐标系中,,所以求矢量沿平面上的一个边长为的正方形回路的线积分,此正方形的两边分别与轴和轴相重合。
再求对此回路所包围的曲面积分,验证斯托克斯定理。
第六章 时变电磁场6.1 有一导体滑片在两根平行的轨道上滑动,整个装置位于正弦时变磁场5cos mT z e t ω=B 之中,如题 6.1图所示。
滑片的位置由0.35(1cos )m x t ω=-确定,轨道终端接有电阻0.2R =Ω,试求电流i.解 5cos 0.2(0.7)cos [0.70.35(1cos )]0.35cos (1cos )z z d B ad ab t x t t t t ωωωωωΦ==⨯=⨯-=--=+⎰g g B S e e故感应电流为110.35sin (12cos ) 1.75sin (12cos )mAin d i R R dt t t t t R ωωωωωωΦ==-=-+-+E6.2 一根半径为a 的长圆柱形介质棒放入均匀磁场0z B =B e 中与z 轴平行。
设棒以角速度ω绕轴作等速旋转,求介质内的极化强度、体积内和表面上单位长度的极化电荷。
解 介质棒内距轴线距离为r 处的感应电场为00z r r r B φωω=⨯=⨯=E v B e e B e故介质棒内的极化强度为 00000(1)()e r r r r B r B εεεωεεω==-=-P E e e X极化电荷体密度为2000011()()2()P rP r B r r r rB ρεεωεεω∂∂=-∇⋅=-=--∂∂=--P极化电荷面密度为00()(P r r r a e r σεεωε==⋅=-⋅=-P n B e 则介质体积内和表面上同单位长度的极化电荷分别为220020012()212()P P PS P Q a a B Q a a B πρπεεωπσπεεω=⨯⨯=--=⨯⨯=-6.3 平行双线传输线与一矩形回路共面,如题6.3图所示。
设0.2a m=、0.1m b c d ===、71.0cos(210)A i t π=⨯,求回路中的感应电动势。
解 由题给定的电流方向可知,双线中的电流产生的磁感应强度的方向,在回路中都是垂直于纸面向内的。
第一章习题解答【习题Ll解】【习题L2解】【习题L3解】(1)要使ALR,则须散度A-B=O所以从Z∙5=T+3H8c=0可得:3b+8c=l即只要满足3b÷8c=l就可以使向量二和向量了垂直。
(2)要使4||月,则须旋度AxB=O所以从可得b=-3,c=-8【习题1・4解】A=I2以+9e y+6z,B=CIeX+be y,因为3JLA,所以应有A∙3=0g∣j(12久+9e y+e z^∙^ae x+Z?Gy)=12Q+9/?=0(I)又因为同=1;所以病存=1;(2)一4由⑴,⑵解得Q=±《,"=+W【习题1.5解】由矢量积运算规则4_B=A?C a x a2a3=(%Z-+(a3x-a x z)e y+(01y-a2x)e7xyz =8名+纥5+BZeZ取一线元:dl=e x dx+e y dy+e z dz则有dx_dy_dz则矢量线所满足的微分方程为丁二万一=Hιy xy"z或写成=常数)a2z-a3ya3x-a l za↑y-a2x求解上面三个微分方程:可以直接求解方程,也可以采用以下方法d(qx)="(/丁)二d(%z)a i a2z-a i a3ya2a3x-a l a2za l a3y-a2a i xxdx_ydy_ZdZx(a2z-a3y)y{a3x-a x z)z(a l y-a2x)由(1)(2)式可得d(a2y)=k(a2a3x-aλa2z)ydy=k(a3xy-a}yz)(4)对⑶⑷分别求和所以矢量线方程为【习题L6解】矢量场A=(αxz+x2)eχ+Sy+孙2)0+{z-z1-∖-cxz-2xyz)e z假设A是一个无源场,则应有divΛ=O即:divA=V•4=空L+空L+空■=O∂x∂y∂z因为A=axz+X2∕ξ=by+xy1A z=z-z1+cxz-2xyzx所以有divA=az+2x+b+2xy+l-2z+cχ-2xy=X(2+c)÷z(a-2)+b+l=0 得a=2,b=-1,c=-2【习题1.7解】设矢径r的方向与柱面垂直,并且矢径不到柱面的距离相等(r=a)f∙ds-[rds=a∖ds=a2πah所以,①=S JSJS【习题1.8解】φ=3X2y i A=X2yze v+3xy2e^而rot((∕A)=Vx(以)=×A÷V^×A又=巴?十3?+再等=6xye x+3jc2e y ox-oy∂z所以+9x3y2e v-lSx2y3e v+6x3y2ze z=3X2y2[(9X一X2)e x-9yeγ+4xze z]【习题1.9解】所以&CyCzrotA=VXA=———∂x∂y∂zA x A y A(-1+1)&+(4/Z-4xz)e、+(2y-2y)&=6由于场H的旋度处处等于0,所以矢量场A为无旋场。
第6章 平面电磁波点评:1、6-8题坡印廷矢量单位,2W m ,这里原答案有误!2、6-13题第四问应为右旋圆极化波。
3、6-19题第三问和第四问,原答案错误。
这里在介质一中,z<0。
4、矢量书写一定引起重视,和标量书写要分清,结果若是确切的数值则单位一定要标清楚。
5、马上期末考试,那些对参考答案借鉴过多的同学务必抓紧时间把每道题目弄懂!本章是考试重点,大家务必弄懂每道题。
6-1、已知正弦电磁场的电场瞬时值为()()88,0.03sin 100.04cos 10 3x x z t t kz t kz V m πππ⎛⎫=-+-- ⎪⎝⎭E e e试求:⑴ 电场的复矢量;⑵ 磁场的复矢量和瞬时值。
解:(1)()8,0.03cos 102x z t t kz ππ⎛⎫=-- ⎪⎝⎭E e +80.04cos 103x t kz ππ⎛⎫-- ⎪⎝⎭e所以电场的复矢量为32()0.030.04 j j jkz x z e e e V m ππ---⎡⎤=+⎢⎥⎣⎦E e(2) 由复数形式的麦克斯韦方程,得到磁场的复矢量3200054321()0.030.04 7.610 1.0110j j jkz x y yj j jkz y E j kz e e e j z k e e e A mππππωμωμωμ--------⎡⎤∂=-∇⨯==+⎢⎥∂⎣⎦⎡⎤=⨯+⨯⎢⎥⎣⎦H E e e e磁场的瞬时值则为()5848(,)7.610sin 101.0110cos 103y z t k t kz t kz πππ--⎡⎤⎛⎫=⨯-+⨯-- ⎪⎢⎥⎝⎭⎣⎦H e6-2、真空中同时存在两个正弦电磁场,电场强度分别为1110jk z x E e -=E e ,2220jk z y E e -=E e ,试证明总的平均功率流密度等于两个正弦电磁场的平均功率流密度之和。
解:由麦克斯韦方程11111001()jk z xyy E jk E e j zωμ-∂∇⨯==-=-∂E e e H 可得111100jk z yk E e ωμ-=H e故2*11011101Re 22zk E ωμ⎡⎤=⨯=⎢⎥⎣⎦S E H e 同理可得22222002()y jk z xx E jk E e j zωμ-∂∇⨯=-=--=-∂E e e H222200jk z xk E e ωμ-=-H e2*22022201Re 22zk E ωμ⎡⎤=⨯=⎢⎥⎣⎦S E H e 另一方面,因为12=+E E E 0y x x y E Ej z zωμ∂∂∇⨯=-+=-∂∂E e e H所以212120100jk z jk z xyk k E e E e ωμωμ--=-+H e e22*110220120011Re 22z k E k E ωμωμ⎛⎫⎡⎤=⨯=+=+ ⎪⎢⎥⎣⎦⎝⎭S E H e S S6-5、已知在自由空间中球面波的电场为0sin cos()E t kr r θθω⎛⎫=- ⎪⎝⎭E e ,求H 和k 。
《电磁场与电磁波》知识点及参考答案第1章 矢量分析1、如果矢量场F 的散度处处为0,即0F∇⋅≡,则矢量场是无散场,由旋涡源所产生,通过任何闭合曲面S 的通量等于0。
2、如果矢量场F 的旋度处处为0,即0F ∇⨯≡,则矢量场是无旋场,由散度源所产生,沿任何闭合路径C 的环流等于0。
3、矢量分析中的两个重要定理分别是散度定理(高斯定理)和斯托克斯定理, 它们的表达式分别是:散度(高斯)定理:SVFdV F dS ∇⋅=⋅⎰⎰和斯托克斯定理:sCF dS F dl∇⨯⋅=⋅⎰⎰。
4、在有限空间V 中,矢量场的性质由其散度、旋度和V 边界上所满足的条件唯一的确定。
( √ )5、描绘物理状态空间分布的标量函数和矢量函数,在时间为一定值的情况下,它们是唯一的。
( √ )6、标量场的梯度运算和矢量场的旋度运算都是矢量。
( √ )7、梯度的方向是等值面的切线方向。
(× )8、标量场梯度的旋度恒等于0。
( √ ) 9、习题1.12, 1.16。
第2章 电磁场的基本规律(电场部分)1、静止电荷所产生的电场,称之为静电场;电场强度的方向与正电荷在电场中受力的方向相同。
2、在国际单位制中,电场强度的单位是V/m(伏特/米)。
3、静电系统在真空中的基本方程的积分形式是:V V sD d S d V Q ρ⋅==⎰⎰和0lE dl ⋅=⎰。
4、静电系统在真空中的基本方程的微分形式是:V D ρ∇⋅=和0E∇⨯=。
5、电荷之间的相互作用力是通过电场发生的,电流与电流之间的相互作用力是通过磁场发生的。
6、在两种媒质分界面的两侧,电场→E 的切向分量E 1t -E 2t =0;而磁场→B 的法向分量B 1n -B 2n =0。
7、在介电常数为e 的均匀各向同性介质中,电位函数为 2211522x y z ϕ=+-,则电场强度E=5x y zxe ye e --+。
8、静电平衡状态下,导体内部电场强度、磁场强度等于零,导体表面为等位面;在导体表面只有电场的法向分量。
第一章习题解答1.2给定三个矢量A ,B ,C :A =x a +2y a -3z aB = -4y a +z aC =5x a -2za 求:⑴矢量A 的单位矢量A a ;⑵矢量A 和B 的夹角AB;⑶A ·B 和A B⑷A ·(B C )和(A B )·C ;⑸A (BC )和(AB )C解:⑴A a =A A=149A =(x a +2y a -3z a )/14⑵cosAB=A ·B /A BAB=135.5o⑶A ·B =11, A B =10x a y a 4za ⑷A ·(BC )=42 (A B )·C =42 ⑸A(B C )=55x a 44ya 11za (AB )C =2xa 40y a +5za 1.3有一个二维矢量场F(r)=x a (y )+y a (x),求其矢量线方程,并定性画出该矢量场图形。
解:由dx/(y)=dy/x,得2x +2y =c 1.6求数量场=ln (2x +2y +2z )通过点P (1,2,3)的等值面方程。
解:等值面方程为ln (2x +2y +2z )=c则c=ln(1+4+9)=ln14 那么2x +2y +2z =141.9求标量场(x,y,z )=62x 3y +ze 在点P (2,-1,0)的梯度。
解:由=xa x+ya y+za z=12x 3yx a +182x 2y y a +ze z a 得=24x a +72y a +za 1.10 在圆柱体2x +2y =9和平面x=0,y=0,z=0及z=2所包围的区域,设此区域的表面为S:⑴求矢量场A 沿闭合曲面S 的通量,其中矢量场的表达式为A =x a 32x +y a (3y+z )+z a (3z x)⑵验证散度定理。
解:⑴?s d A =A dS ?曲+A d S ?xoz+A dS ?yoz +A dS ?上+A dS?下A d S ?曲=232(3cos3sin sin )z d d 曲=156.4A dS ?xoz=(3)yz dxdz xoz= 6A dS ?yoz=23x dydz yoz=0A dS ?上+A dS ?下=(6cos )d d 上+cos d d 下=272?s d A =193⑵dV A V?=(66)Vx dV =6(cos1)Vd d dz =193即:ss d A =dVA V?1.13 求矢量A =x a x+y a x 2y 沿圆周2x +2y =2a 的线积分,再求A 对此圆周所包围的表面积分,验证斯托克斯定理。
第一章 矢量场1.1 z y x C z y x B z y xA ˆˆˆ3;ˆ2ˆˆ;ˆˆ3ˆ2+-=-+=-+=ρρρ 求:(a) A ; (b) ∃b ; (c) ρρA B ⋅ ; (d) ρρB C ⨯ ; (e) ()ρρρA B C ⨯⨯ (f)()ρρρA B C ⨯⋅ 解:(a) 14132222222=++=++=z y x A A A A ; (b) )ˆ2ˆˆ(61ˆz y x BB b -+==ρρ( c) 7=⋅B A ρρ; (d) z y xC B ˆ4ˆ7ˆ---=⨯ρρ (e)z y x C B A ˆ4ˆ2ˆ2)(-+=⨯⨯ρρρ (f)19)(-=⋅⨯C B A ρρρ 1.2 ρA z =++2∃∃∃ρπϕ; ρB z =-+-∃∃∃ρϕ32 求:(a) A ; (b) ∃b ; (c) ρρA B ⋅ ; (d) ρρB A ⨯ ; (e) B A ρρ+解:(a) 25π+=A ;(b) )ˆ2ˆ3ˆ(141ˆz b -+-=ϕρ;(c) 43-=⋅πB A ρρ (d) z A B ˆ)6(ˆ3ˆ)23(+--+=⨯πϕρπρρ (e) z B A ˆˆ)3(ˆ-++=+ϕπρρρ 1.3 ρA r=+-22∃∃∃πθπϕ; ρB r =-∃∃πθ 求:(a) A ; (b) ∃b ; (c) ρρA B ⋅ ; (d) ρρB A ⨯ ; (e) ρρA B +解:(a) 254π+=A ; (b) )ˆˆ(11ˆ2θππ-+=r b ; (c) 22π-=⋅B A ρρ ; (d) ϕπθππˆ3ˆ2ˆ22++=⨯rA B ρρ ; (e) ϕπˆ2ˆ3-=+r B A ρρ 1.4 ρA x y z =+-∃∃∃2; ρB x y z =+-α∃∃∃3 当ρρA B ⊥时,求α。
解:当ρρA B ⊥时,ρρA B ⋅=0, 由此得 5-=α1.5 将直角坐标系中的矢量场ρρF x y z xF x y z y 12(,,)∃,(,,)∃==分别用圆柱和圆球坐标系中的坐标分量表示。
第一章 习题解答1.2给定三个矢量A ,B ,C : A =x a +2y a -3z a B = -4y a +z aC =5x a -2za求:错误!未找到引用源。
矢量A 的单位矢量A a ; 错误!未找到引用源。
矢量A 和B 的夹角AB θ; 错误!未找到引用源。
A ·B 和A ⨯B错误!未找到引用源。
A ·(B ⨯C )和(A ⨯B )·C ;错误!未找到引用源。
A ⨯(B ⨯C )和(A ⨯B )⨯C解:错误!未找到引用源。
A a =A A=(x a +2y a -3z a ) 错误!未找到引用源。
cos AB θ=A ·B /A BAB θ=135.5o错误!未找到引用源。
A ·B =-11, A ⨯B =-10x a -y a -4z a 错误!未找到引用源。
A ·(B ⨯C )=-42(A ⨯B )·C =-42错误!未找到引用源。
A ⨯(B ⨯C )=55x a -44y a -11z a(A ⨯B )⨯C =2x a -40y a +5z a1.3有一个二维矢量场F(r)=x a (-y )+y a (x),求其矢量线方程,并定性画出该矢量场图形。
解:由dx/(-y)=dy/x,得2x +2y =c1.6求数量场ψ=ln (2x +2y +2z )通过点P (1,2,3)的等值面方程。
解:等值面方程为ln (2x +2y +2z )=c 则c=ln(1+4+9)=ln14 那么2x +2y +2z =141.9求标量场ψ(x,y,z )=62x 3y +ze 在点P (2,-1,0)的梯度。
解:由ψ∇=x a x ψ∂∂+y a y ψ∂∂+z a zψ∂∂=12x 3y x a +182x 2y y a +ze z a 得ψ∇=-24x a +72y a +z a1.10 在圆柱体2x +2y =9和平面x=0,y=0,z=0及z=2所包围的区域,设此区域的表面为S: 错误!未找到引用源。
第一章习题解答【习题1.1解】222222222222222222222222222222222222cos cos cos cos cos cos 1xx x y z yx y z z x y z x y z x y z x y z x y z x y z x y z 矢径r 与轴正向的夹角为,则同理,矢径r 与y 轴正向的夹角为,则矢径r 与z 轴正向的夹角为,则可得从而得证a a b b g g a b g =++=++=++++=++++++++++==++【习题1.2解】924331329(243)54(9)(243)236335x y z x y z x y z x y z x y z x y z x y z x y z A B e e e e e e e e e A B e e e e e e e e e A B e e e e e e A B +=--+-+=-+=----+=---∙=--∙-+=+-=⨯()()-()(9)(243)19124331514x y z x y z x y z x y ze e e e e e e e e e e e =--⨯-+=---=--+【习题1.3解】已知,38,x y z x y z A e be ce B e e e =++=-++ (1)要使A B ⊥,则须散度 0A B =所以从 1380A B b c =-++=可得:381b c += 即只要满足3b+8c=1就可以使向量和向量垂直。
(2)要使A B ,则须旋度 0A B ⨯= 所以从1(83)(8)(3)0138xy zx y z e e e A B b c b c e c e b e ⨯==--+++=- 可得 b=-3,c=-8 【习题1.4解】已知129x y z A e e e =++,x y B ae be =+,因为B A ⊥,所以应有0A B ∙= 即()()1291290xy z x y ee e ae be a b ++∙+=+= ⑴又因为 1B =; 所以221a b +=; ⑵由⑴,⑵ 解得 34,55a b =±=【习题1.5解】由矢量积运算规则123233112()()()x y zx y z x x y y z ze e e A Ca a a a z a y e a x a z e a y a x e xyzB e B e B e B =?=-+-+-=++取一线元:x y z dl e dx e dy e dz =++则有xy z xyz e e e dlB B B dx dy dzB ?=则矢量线所满足的微分方程为 x y zd x d y d z B B B == 或写成233112()dx dy dzk a z a y a x a z a y a x==---=常数 求解上面三个微分方程:可以直接求解方程,也可以采用下列方法k xa a y a a z a d z a a x a a y a d y a a z a a x a d =-=-=-323132132231211)()()( (1)k x a y a z zdzz a x a y ydy y a z a x xdx =-=-=-)()()(211332 (2)由(1)(2)式可得)()(31211y a a x a a k x a d -=)()(21322z a a x a a k y a d -= (3) )()(32313x a a y a a k z a d -= )(32xy a xz a k xdx -=)(13yz a xy a k ydy -= (4))(21xz a yz a k zdz -=对(3)(4)分别求和0)()()(321=++z a d y a d x a d 0)(321=++z a y a x a d0=++zdz ydy xdx 0)(222=++z y x d所以矢量线方程为1321k z a y a x a =++ 2222k z y x =++【习题1.6解】已知矢量场222()()(2)x y z A axz x e by xy e z z cxz xyz e =++++-+- 若 A 是一个无源场 ,则应有 div A =0即: div A =0y x zA A A A x y z∂∂∂∇⋅=++=∂∂∂ 因为 2x A axz x =+ 2y A by xy =+ 22z A z z cxz xyz =-+- 所以有div A =az+2x+b+2xy+1-2z+cx-2xy =x(2+c)+z(a-2)+b+1=0 得 a=2, b= -1, c= - 2 【习题1.7解】设矢径 r 的方向与柱面垂直,并且矢径 r到柱面的距离相等(r =a )所以,2sssr ds rds a ds a ah πΦ===⎰⎰⎰=22a h π=【习题1.8解】已知23x y φ=,223yz A x yze xy e =+ 而 A A A A rot⨯∇+⨯∇=⨯∇=φφφφ)()(2222(6)3203xy zx y ze e e A xy x y e y e xyze x y z x yz xy ∂∂∂∇⨯==--+∂∂∂ 2223[(6)32]x y z A x y xy x y e y e xyze φ∴∇⨯=--+又y x z y xe x e xy ze y e x e 236+=∂∂+∂∂+∂∂=∇φφφφ 232233222630918603xy z x y z e e e A xyx x y e x y e x y ze x yz xy φ∇⨯==-+所以222()3[(6)32]x y z rot A A A x y xy x y e y e xyze φφφ=∇⨯+∇⨯=--+ +z y x e z y x e y x e y x 2332236189+-=]49)9[(3222z y x e xz e y e x x y x+--【习题1.9解】已知 222(2)(2)(22)x y zA y x z e x y z e x z y z e =++-+-+ 所以()()1144(22)0xyzyy x x z z x y z x yzx y z A A A A A A rot A A x y z y z z x x y A A A xz xz y y e e ee e e e e e ∂∂⎛⎫⎛⎫∂∂∂∂∂∂∂⎛⎫=∇⨯==-+-+- ⎪ ⎪ ⎪∂∂∂∂∂∂∂∂∂⎝⎭⎝⎭⎝⎭-++-+-=由于场A 的旋度处处等于0,所以矢量场A 为无旋场。
第一章 习题解答1.2给定三个矢量A ,B,C :A =x a+2y a -3z a B= -4y a +z aC=5x a -2za求:错误!未找到引用源。
矢量A的单位矢量A a ;错误!未找到引用源。
矢量A 和B的夹角A B θ; 错误!未找到引用源。
A ·B 和A ⨯B错误!未找到引用源。
A ·(B ⨯C )和(A ⨯B)·C ;错误!未找到引用源。
A ⨯(B ⨯C )和(A ⨯B)⨯C解:错误!未找到引用源。
A a =AA=149A ++ =(x a +2y a -3z a)/14错误!未找到引用源。
co s A Bθ =A ·B /A BA B θ=135.5o错误!未找到引用源。
A ·B =-11, A ⨯B=-10x a -y a -4z a错误!未找到引用源。
A ·(B⨯C )=-42(A ⨯B)·C =-42错误!未找到引用源。
A ⨯(B⨯C )=55x a -44y a -11z a(A ⨯B)⨯C =2x a -40y a +5z a1.3有一个二维矢量场F (r )=x a (-y )+y a (x),求其矢量线方程,并定性画出该矢量场图形。
解:由dx/(-y)=dy/x,得2x +2y =c1.6求数量场ψ=ln (2x +2y +2z )通过点P (1,2,3)的等值面方程。
解:等值面方程为ln (2x +2y +2z )=c 则c=ln(1+4+9)=ln14 那么2x +2y +2z =141.9求标量场ψ(x,y,z )=62x 3y +ze 在点P (2,-1,0)的梯度。
解:由ψ∇=x a x ψ∂∂+y a yψ∂∂+z a z ψ∂∂=12x 3y x a +182x 2y y a +z e z a得ψ∇=-24x a +72y a +z a1.10 在圆柱体2x +2y =9和平面x=0,y=0,z=0及z=2所包围的区域,设此区域的表面为S: 错误!未找到引用源。
第6章习题答案6-1 在1=r μ、4=r ε、0=σ的媒质中,有一个均匀平面波,电场强度是)3sin(),(πω+-=kz t E t z E m若已知MHz 150=f ,波在任意点的平均功率流密度为2μw/m 265.0,试求:(1)该电磁波的波数?=k 相速?=p v 波长?=λ波阻抗?=η (2)0=t ,0=z 的电场?)0,0(=E(3)时间经过μs 1.0之后电场)0,0(E 值在什么地方?(4)时间在0=t 时刻之前μs 1.0,电场)0,0(E 值在什么地方? 解:(1))rad/m (22πεπμεω===r cfk )m/s (105.1/8⨯==r p c v ε)m (12==kπλ )Ω(60120πεμπη=rr=(2)∵ 6200210265.02121-⨯===m rm av E E S εεμη∴ (V/m)1000.12-⨯=m E)V/m (1066.83sin)0,0(3-⨯==πm E E(3) 往右移m 15=∆=∆t v z p(4) 在O 点左边m 15处6-8微波炉利用磁控管输出的2.45GHz 频率的微波加热食品,在该频率上,牛排的等效复介电常数)j 3.01(40~-=rε。
求: (1)微波传入牛排的穿透深度δ,在牛排内8mm 处的微波场强是表面处的百分之几?(2)微波炉中盛牛排的盘子是发泡聚苯乙烯制成的,其等效复介电常数=r ε~ )103.0j 1(03.14-⨯-。
说明为何用微波加热时,牛排被烧熟而盘子并没有被毁。
解:(1)20.8mm m 0208.011211212==⎥⎥⎦⎤⎢⎢⎣⎡-⎪⎭⎫ ⎝⎛+==-ωεσμεωαδ%688.20/8/0===--e e E E z δ(2)发泡聚苯乙烯的穿透深度(m)1028.103.1103.01045.22103212213498⨯=⨯⨯⨯⨯⨯⨯⨯=⎪⎭⎫ ⎝⎛===-πμεωεσωμεσαδ可见其穿透深度很大,意味着微波在其中传播的热损耗极小,所以不会被烧毁。
第一章 矢量场 1.1 z y x C z y x B z y x A ˆˆˆ3;ˆ2ˆˆ;ˆˆ3ˆ2+-=-+=-+=ρρρ 求:(a) A ; (b) ∃b ; (c) ρρA B ⋅ ; (d) ρρB C ⨯ ; (e) ()ρρρA B C ⨯⨯ (f) ()ρρρA B C ⨯⋅ 解:(a) 14132222222=++=++=z y x A A A A ; (b) )ˆ2ˆˆ(61ˆz y x B B b -+==ρρ ( c) 7=⋅B A ρρ; (d) z y x C B ˆ4ˆ7ˆ---=⨯ρρ (e) z y x C B A ˆ4ˆ2ˆ2)(-+=⨯⨯ρρρ (f) 19)(-=⋅⨯C B A ρρρ 1.2 ρA z =++2∃∃∃ρπϕ; ρB z =-+-∃∃∃ρϕ32 求:(a) A ; (b) ∃b ; (c) ρρA B ⋅ ; (d) ρρB A ⨯ ; (e) B A ρρ+ 解:(a) 25π+=A ;(b) )ˆ2ˆ3ˆ(141ˆz b -+-=ϕρ;(c) 43-=⋅πB A ρρ (d) z A B ˆ)6(ˆ3ˆ)23(+--+=⨯πϕρπρρ (e) z B A ˆˆ)3(ˆ-++=+ϕπρρρ 1.3 ρA r =+-22∃∃∃πθπϕ; ρB r =-∃∃πθ 求:(a) A ; (b) ∃b ; (c) ρρA B ⋅ ; (d) ρρB A ⨯ ; (e) ρρA B + 解:(a) 254π+=A ; (b) )ˆˆ(11ˆ2θππ-+=r b ; (c) 22π-=⋅B A ρρ ; (d) ϕπθππˆ3ˆ2ˆ22++=⨯r A B ρρ ; (e) ϕπˆ2ˆ3-=+r B A ρρ 1.4 ρA x y z =+-∃∃∃2; ρB x y z =+-α∃∃∃3 当ρρA B ⊥时,求α。
解:当ρρA B ⊥时,ρρA B ⋅=0, 由此得 5-=α 1.5 将直角坐标系中的矢量场ρρF x y z xF x y z y 12(,,)∃,(,,)∃==分别用圆柱和圆球坐标系中的坐标分量表示。
第一章 习题解答1.2给定三个矢量A ,B ,C : A =x a +2y a -3z a B = -4y a +z aC =5x a -2za求:错误!未找到引用源。
矢量A 的单位矢量A a ; 错误!未找到引用源。
矢量A 和B 的夹角AB θ; 错误!未找到引用源。
A ·B 和A ⨯B错误!未找到引用源。
A ·(B ⨯C )和(A ⨯B )·C ;错误!未找到引用源。
A ⨯(B ⨯C )和(A ⨯B )⨯C解:错误!未找到引用源。
A a =A A=(x a +2y a -3z a ) 错误!未找到引用源。
cos AB θ=A ·B /A BAB θ=135.5o错误!未找到引用源。
A ·B =-11, A ⨯B =-10x a -y a -4z a 错误!未找到引用源。
A ·(B ⨯C )=-42(A ⨯B )·C =-42错误!未找到引用源。
A ⨯(B ⨯C )=55x a -44y a -11z a(A ⨯B )⨯C =2x a -40y a +5z a1.3有一个二维矢量场F(r)=x a (-y )+y a (x),求其矢量线方程,并定性画出该矢量场图形。
解:由dx/(-y)=dy/x,得2x +2y =c1.6求数量场ψ=ln (2x +2y +2z )通过点P (1,2,3)的等值面方程。
解:等值面方程为ln (2x +2y +2z )=c 则c=ln(1+4+9)=ln14 那么2x +2y +2z =141.9求标量场ψ(x,y,z )=62x 3y +ze 在点P (2,-1,0)的梯度。
解:由ψ∇=x a x ψ∂∂+y a y ψ∂∂+z a zψ∂∂=12x 3y x a +182x 2y y a +ze z a 得ψ∇=-24x a +72y a +z a1.10 在圆柱体2x +2y =9和平面x=0,y=0,z=0及z=2所包围的区域,设此区域的表面为S: 错误!未找到引用源。
求矢量场A 沿闭合曲面S 的通量,其中矢量场的表达式为A =x a 32x +y a (3y+z )+z a (3z -x)错误!未找到引用源。
验证散度定理。
解:错误!未找到引用源。
⎰•s d A=A d S •⎰曲+A d S •⎰xoz+A d S •⎰yoz+A d S •⎰上+A d S •⎰下A d S •⎰曲=232(3cos 3sin sin )z d d ρθρθθρθ++⎰曲=156.4A d S •⎰xoz=(3)y z dxdz +⎰xoz=-6A d S •⎰yoz=-23x dydz ⎰yoz=0A d S •⎰上+A d S •⎰下=(6cos )d d ρθρθρ-⎰上+cos d d ρθρθ⎰下=272π ⎰•s d A=193错误!未找到引用源。
dV A V⎰•∇=(66)V x dV +⎰=6(cos 1)Vd d dz ρθρθ+⎰=193即:⎰•ss d A=dV A V⎰•∇1.13 求矢量A =x a x+y a x 2y 沿圆周2x +2y =2a 的线积分,再求A ∇⨯对此圆周所包围的表面积分,验证斯托克斯定理。
解:⎰•l l d A =2Lxdx xy dy +⎰=44a πA ∇⨯=z a 2y⎰•⨯∇S s d A =2S y dS ⎰=22sin Sd d θρρρθ⎰=44a π 即:⎰•ll d A =⎰•⨯∇Ss d A,得证。
1.15求下列标量场的梯度: 错误!未找到引用源。
u=xyz+2xu ∇=xa u x ∂∂+y a u y ∂∂+z a u z∂∂=x a (yz+zx)+y a xz+z a xy错误!未找到引用源。
u=42x y+2y z -4xzu ∇=xa u x ∂∂+y a u y ∂∂+z a u z∂∂=x a (8xy-4z)+y a (42x +2yz)+z a (2y -4x)错误!未找到引用源。
u ∇=xa u x ∂∂+y a u y ∂∂+z a uz∂∂=x a 3x+y a 5z+z a 5y1.16 求下列矢量场在给定点的散度错误!未找到引用源。
A •∇=x A x ∂∂+y A y ∂∂+z A z ∂∂=32x +32y +3(1,0,1)|-=6错误!未找到引用源。
A•∇=2xy+z+6z (1,1,0)|=21.17求下列矢量场的旋度。
错误!未找到引用源。
A ∇⨯=0错误!未找到引用源。
A ∇⨯=x a (x -x )+y a (y -y )+z a (z -z )=0 1.19 已知直角坐标系中的点P(x,y,z)和点Q(x ’,y ’,z ’),求: 错误!未找到引用源。
P 的位置矢量r 和Q 点的位置矢量'r ; 错误!未找到引用源。
从Q 点到P 点的距离矢量R ; 错误!未找到引用源。
r ∇⨯和r•∇; 错误!未找到引用源。
1()R∇。
解:错误!未找到引用源。
r =x a x+y a y+z a z;'r =x a x ’+y a y ’+z a z ’错误!未找到引用源。
R =r -'r =x a (x -x ’)+y a (y -y ’)+z a (z -z ’)错误!未找到引用源。
r ∇⨯=0, r•∇=3错误!未找到引用源。
1R =1()R ∇=(xa x ∂∂+y a y ∂∂+z a z ∂∂)1R=-x a 212(')2x x R R --y a 212(')2y y R R --z a 212(')2z z R R - =-x a 3'x x R--y a 3'y y R --z a 3'z z R -=-31R[x a (x -x ’)+y a (y -y ’)+z a (z -z ’)]=-3R R即:1()R∇=-3R R第一章 习题解答1.2给定三个矢量A ,B ,C : A =x a +2y a -3z a B = -4y a +z aC =5x a -2za求:错误!未找到引用源。
矢量A 的单位矢量A a ; 错误!未找到引用源。
矢量A 和B 的夹角AB θ; 错误!未找到引用源。
A ·B 和A ⨯B错误!未找到引用源。
A ·(B ⨯C )和(A ⨯B )·C ;错误!未找到引用源。
A ⨯(B ⨯C )和(A ⨯B )⨯C解:错误!未找到引用源。
A a =A A=(x a +2y a -3z a )错误!未找到引用源。
cos AB θ=A ·B /A BAB θ=135.5o错误!未找到引用源。
A ·B =-11, A ⨯B =-10x a -y a -4z a 错误!未找到引用源。
A ·(B ⨯C )=-42(A ⨯B )·C =-42错误!未找到引用源。
A ⨯(B ⨯C )=55x a -44y a -11z a(A ⨯B )⨯C =2x a -40y a +5z a1.3有一个二维矢量场F(r)=x a (-y )+y a (x),求其矢量线方程,并定性画出该矢量场图形。
解:由dx/(-y)=dy/x,得2x +2y =c1.6求数量场ψ=ln (2x +2y +2z )通过点P (1,2,3)的等值面方程。
解:等值面方程为ln (2x +2y +2z )=c 则c=ln(1+4+9)=ln14 那么2x +2y +2z =141.9求标量场ψ(x,y,z )=62x 3y +ze 在点P (2,-1,0)的梯度。
解:由ψ∇=x a x ψ∂∂+y a y ψ∂∂+z a zψ∂∂=12x 3y x a +182x 2y y a +ze z a 得ψ∇=-24x a +72y a +z a1.10 在圆柱体2x +2y =9和平面x=0,y=0,z=0及z=2所包围的区域,设此区域的表面为S: 错误!未找到引用源。
求矢量场A 沿闭合曲面S 的通量,其中矢量场的表达式为A =x a 32x +y a (3y+z )+z a (3z -x)错误!未找到引用源。
验证散度定理。
解:错误!未找到引用源。
⎰•s d A=A d S •⎰曲+A d S •⎰xoz+A d S •⎰yoz+A d S •⎰上+A d S •⎰下A d S •⎰曲=232(3cos 3sin sin )z d d ρθρθθρθ++⎰曲=156.4A d S •⎰xoz=(3)y z dxdz +⎰xoz=-6A d S •⎰yoz=-23x dydz ⎰yoz=0A d S •⎰上+A d S •⎰下=(6cos )d d ρθρθρ-⎰上+cos d d ρθρθ⎰下=272π ⎰•s d A=193错误!未找到引用源。
dV A V⎰•∇=(66)V x dV +⎰=6(cos 1)Vd d dz ρθρθ+⎰=193即:⎰•ss d A=dV A V⎰•∇1.13 求矢量A =x a x+y a x 2y 沿圆周2x +2y =2a 的线积分,再求A ∇⨯对此圆周所包围的表面积分,验证斯托克斯定理。
解:⎰•l l d A =2Lxdx xy dy +⎰=44a πA ∇⨯=z a 2y⎰•⨯∇S s d A =2S y dS ⎰=22sin Sd d θρρρθ⎰=44a π 即:⎰•ll d A =⎰•⨯∇Ss d A,得证。
1.15求下列标量场的梯度: 错误!未找到引用源。
u=xyz+2xu ∇=xa u x ∂∂+y a u y ∂∂+z a u z∂∂=x a (yz+zx)+y a xz+z a xy错误!未找到引用源。
u=42x y+2y z -4xzu ∇=xa u x ∂∂+y a u y ∂∂+z a u z∂∂=x a (8xy-4z)+y a (42x +2yz)+z a (2y -4x)错误!未找到引用源。
u ∇=xa u x ∂∂+y a u y ∂∂+z a uz∂∂=x a 3x+y a 5z+z a 5y1.16 求下列矢量场在给定点的散度错误!未找到引用源。
A •∇=x A x ∂∂+y A y ∂∂+z A z∂∂=32x +32y +3(1,0,1)|-=6错误!未找到引用源。
A•∇=2xy+z+6z (1,1,0)|=21.17求下列矢量场的旋度。
错误!未找到引用源。
A ∇⨯=错误!未找到引用源。
A ∇⨯=x a (x -x )+y a (y -y )+z a (z -z )=0 1.19 已知直角坐标系中的点P(x,y,z)和点Q(x ’,y ’,z ’),求: 错误!未找到引用源。