高频 通信电子线路严国萍版(科学出版社)第五章作业答案
- 格式:doc
- 大小:543.50 KB
- 文档页数:5
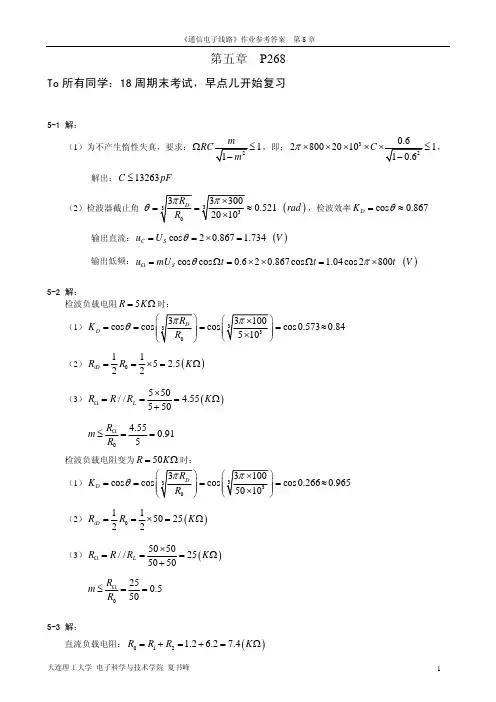
第五章振幅调制与解调习题参考答案5- 1有一调幅波,载波功率为100W,试求当与时,每一对边频功率就是多少?[参考答案:,]解:因为边频功率,所以当时,当时,5-2试指出下列两种电压就是什么已调波?写出已调波表示式,并指出它们在单位负载上消耗得平均功率及相应得频谱宽度。
⑴⑵[参考答案:(1),(2)]解:⑴为标准调幅波频谱宽度(2)为双边带调幅波5-3如图P5—3所示用频率1000kHz得载波信号同时传送两路得频谱图(1) 求输出电压表示式。
(2) 画出用理想模拟相乘器实现该调幅框图。
(3) 估算在单位负载上平均功率与频带宽度。
图P5 —3解:(1) 图P5 —3所示得频率图就是两路已调波作为调制信号对载波进行二次调制即对载波=103kHz而言,它得调制信号就是由两个调幅信号合成。
第一个调幅信号得载波频率为=10kH z,第二个调幅信号得载波频率为=3X104kH z,且它们得调制频率均为3X0kHz。
合成后得已调波为v V Cm 1 M a1(1 cos Q t)cos 1t M a2(1 cos Q t)cos 2t cos C t由图5—1可知6 4 4C 2 n 10 rad/s, 1 2 n 10 rad/s, 2 6 n 10 rad/s,v 10 1 0.8(1 cos Q t)cos -f. 0.6(1 cos Q t)cos 2t cos C t⑵ 实现调幅得方框图如图P5- 3J 所示。
(2) 为普通调幅(AM)波,波形与频谱图如图P5 - 4J2所示图P5-3J ⑴(3) 负载上平均功率应为所有分量功率之与,故V 21 F a v -C m4 1.524 222 322 421 02W 87.5W2R L 2频带宽度为5-4试画出下列三种已调波电压得波形与频谱图。
(1) (2) (3)解:(1)为双边带(DSB)波,波形与频谱图如图P5-4J1 所示。
(b)频谱图图 P5 -4J1⑶为单边带(SSB)波,波形与频谱图如图P5—4J3所示5 -5如图P5—5所示,试画出它们得频谱图。
第五章高频作业解答5-9 试用相位条件的判断准则,判明题图5-1所示的LC 振荡器交流等效电路,哪个可以振荡?哪个不可以振荡?或在什么条件下才能振荡?(b) (c) (d) 解答:(b) 不能起振(be 与bc 电抗性质相同了) (c) 考虑管子的极间电容C i 时可能起振 (d) 当1122C L C L 时可以起振5-12 试画出题图5-2各振荡器的交流等效电路,并判断哪些电路可以振荡?哪些电路不能产生振荡?若不能振荡,请改正。
+V+V+V CC(a) (b) (c)2(e) 解答:(a) 可以起振 (b)不能起振,应将电感抽头接到三极管的发射极(c) 不能起振(e) 可以起振,工作在晶体标称频率上5-13 题图5-3表示三回路振荡器的交流等效电路,假定有以下六种情况,即L1题图5-31) L1C1>L2C2>L3C3;2) L1C1<L2C2<L3C3;3) L1C1=L2C2=L3C3;4) L1C1=L2C2>L3C3;5) L1C1<L2C2=L3C3;6) L1C1<L3C3<L2C2;试问哪几种情况可能振荡?等效为哪种类型的振荡电路?其振荡频率与各回路的固有谐振频率之间有什么关系?解答:1)L 1C 1> L 2C 2> L 3C 3 当,f>f 1,即1121C L f π>时,ce 是容性;f>f 2,即2221C L f π>时,be 是容性;f<f 3,即3321C L f π<时,cb 是感性;由于112233111C L C L C L >>可取f 同时满足上述条件。
所以上述情况可能振荡。
属于电容三端电路。
2)L 1C 1< L 2C 2< L 3C 3 当,f< f 1,即1121C L f π<时,ce 是感性;f< f 2,即2221C L f π<时,be 是感性;f> f 3,即3321C L f π>时,cb 是容性;由于112233111C L C L C L <<f 可同时满足以上条件,所以这种情况可以振荡,属于电感三端电路。
第5章 振幅调制、振幅解调与混频电路5.1 已知调制信号()2cos(2π500)V,u t t Ω=⨯载波信号5()4cos(2π10)V,c u t t =⨯令比例常数1a k =,试写出调幅波表示式,求出调幅系数及频带宽度,画出调幅波波形及频谱图。
[解] 5()(42cos 2π500)cos(2π10)AM u t t t =+⨯⨯54(10.5cos 2π500)cos(2π10)V t t =+⨯⨯20.5,25001000Hz 4a m BW ===⨯= 调幅波波形和频谱图分别如图P5.1(s)(a)、(b)所示。
5.2 已知调幅波信号5[1cos(2π100)]cos(2π10)V o u t t =+⨯⨯,试画出它的波形和频谱图,求出频带宽度BW 。
[解] 2100200Hz BW =⨯=调幅波波形和频谱图如图P5.2(s)(a)、(b)所示。
5.3已知调制信号3[2cos(2π210)3cos(2π300)]Vu t t Ω=⨯⨯+⨯,载波信号55cos(2π510)V,1c a u t k =⨯⨯=,试写出调辐波的表示式,画出频谱图,求出频带宽度BW 。
[解] 35()(52cos2π2103cos2π300)cos2π510c u t t t t =+⨯⨯+⨯⨯⨯3555353555(10.4cos2π2100.6cos2π300)cos2π5105cos2π510cos2π(510210)cos2π(510210)1.5cos2π(510300) 1.5cos2π(510300)(V)t t tt t t t t t =+⨯⨯+⨯⨯⨯=⨯⨯+⨯+⨯+⨯-⨯+⨯++⨯- 3max 222104kHz BW F =⨯=⨯⨯=频谱图如图P5.3(s)所示。
5.4 已知调幅波表示式6()[2012cos(2π500)]cos(2π10)V u t t t =+⨯⨯,试求该调幅波的载波振幅cm U 、调频信号频率F 、调幅系数a m 和带宽BW 的值。
《通信电子线路》课程的部分习题答案第一章习题参考答案:1-1:1-3:解:1-5:解:第二章习题解答: 2-3,解:2-4,由一并联回路,其通频带B 过窄,在L 、C 不变的条件下,怎样能使B 增宽? 答:减小Q 值或减小并联电阻2-5,信号源及负载对谐振回路有何影响,应该如何减弱这种影响? 答:1、信号源内阻及负载对串联谐振回路的影响:通常把没有接入信号源内阻和负载电阻时回路本身的Q 值叫做无载Q (空载Q 值)如式通常把接有信号源内阻和负载电阻时回路的Q 值叫做有载QL,如式为空载时的品质因数为有载时的品质因数 Q Q QQ LL <可见oo Q RL Q ==ωLS L R R R LQ ++=0ω结论:串联谐振回路通常适用于信号源内阻Rs 很小 (恒压源)和负载电阻RL 也不大的情况。
2、信号源内阻和负载电阻对并联谐振回路的影响2-8,回路的插入损耗是怎样引起的,应该如何减小这一损耗?答:由于回路有谐振电阻R p 存在,它会消耗功率因此信号源送来的功率不能全部送给负载R L ,有一部分功率被回路电导g p 所消耗了。
回路本身引起的损耗称为插入损耗,用K l 表示 无损耗时的功率,若R p = ∞, g p = 0则为无损耗。
有损耗时的功率插入损耗 通常在电路中我们希望Q 0大即损耗小,其中由于回路本身的Lg Q 0p 01ω=,而Lg g g Q 0L p s L )(1ω++=。
2-11,L ps p p p p p p p 11R R R R Q Q G C LG Q L ++===故ωω同相变化。
与L S L R R Q 、 性。
较高而获得较好的选择以使也较大的情况,很大,负载电阻内阻并联谐振适用于信号源L L S Q R R ∴11P P K l '=率回路有损耗时的输出功率回路无损耗时的输出功L2L s s L 201g g g I g V P ⋅⎪⎪⎭⎫ ⎝⎛+==L 2p L ss L 211g g g g I g V P ⋅⎪⎪⎭⎫ ⎝⎛++=='20L 1111⎪⎪⎪⎪⎭⎫⎝⎛-='=Q Q P P K l2-12,解:2-13,5.5Mhz 时,电路的失调为:66.655.0*23.33f f 2Q p 0==∆=ξ 2-14,解:又解:接入系数p=c1/(c1+c2)=0.5,折合后c0’=p 2*c0=0.5pf,R0’=R0/ p 2=20k Ω,总电容C=Ci+C0’+C1C2/(C1+C2)=15.5pf,回路谐振频率fp=45.2Mhz ,谐振阻抗Rp=1/(1/Ri+1/Rp0+1/R0’),其中Rp0为空载时回路谐振阻抗,Rp0=Q0*2π*fp*L=22.72K Ω,因此,回路的总的谐振阻抗为:Rp=1/(1/Ri+1/Rp0+1/R0’)=5.15 K Ω,有载QL=Rp/(2π*fp*L )=22.67,通频带B=fp/QL=1.994Mhz 2-17;第三章习题参考答案:3-3,晶体管的跨导gm是什么含义,它与什么参量有关?答:3-4,为什么在高频小信号放大器中,要考虑阻抗匹配问题?答:3-7,放大器不稳定的原因是什么?通常有几种方法克服?答:不稳定原因:克服方法:3-9,解:3-10;解:第四章习题参考答案:4-1,答:4-3,答:4-5,解:4-6;第五章习题参考答案:5-4,答:5-7,答:5-9,答:5-12,答:(e)图,在L 、C 发生谐振时,L 、C 并联阻抗为无穷大,虽然满足正反馈条件,但增益不满足≥1,故不能振荡?5-13,[书上(6)L1C1〈L3C3〈L2C2=〉f1〉f3〉f2,不能起振] 解:5-15;如图(a)所示振荡电路,(1)画出高频交流等效电路,说明振荡器类型;(2)计算振荡器频率57uH 57uH解:(1)图(b)是其高频交流等效电路,该振荡器为:电容三端式振荡器(2)振荡频率:L=57uH,振荡频率为:,f0=9.5Mhz第六章习题参考答案:6-1,6-3,6-5,解:6-7,解:6-9,解:6-13,解:6-14;答:第七章习题参考答案:7-3,7-5,解:7-9,什么是直接调频和间接调频?它们各有什么优缺点?答:7-10,变容二极管调频器获得线性调制的条件是什么?7.11答:7-12;如图是话筒直接调频的电路,振荡频率约为:20Mhz 。
高频电子线路参考答案第2章 小信号选频放大器2.1 已知并联谐振回路的1μH,20pF,100,L C Q ===求该并联回路的谐振频率0f 、谐振电阻p R 及通频带0.7BW 。
[解] 90-612110.035610Hz 35.6MHz 2π2π102010f LCH F-===⨯=⨯⨯6312640.71010022.4k 22.361022.36k 201035.610Hz35.610Hz 356kH z100p HR Q Ff BW Q ρρ--===Ω=⨯Ω=Ω⨯⨯===⨯=2.2 并联谐振回路如图P2.2所示,已知:300pF,390μH,100,C L Q ===信号源内阻s 100k ,R =Ω负载电阻L 200k ,R =Ω求该回路的谐振频率、谐振电阻、通频带。
[解] 011465kHz 2π2π390μH 300PFf LC≈==⨯0.70390μH100114k Ω300PF////100k Ω//114.k Ω//200k Ω=42k Ω42k Ω42k Ω371.14k Ω390μH/300 PF/465kHz/37=12.6kHzp e s p Lee e R Q R R R R R Q BWf Q ρρ===========2.3 已知并联谐振回路的00.710MHz,C=50pF,150kHz,f BW ==求回路的L 和Q 以及600kHz f ∆=时电压衰减倍数。
如将通频带加宽为300 kHz ,应在回路两端并接一个多大的电阻? [解] 6262120115105μH (2π)(2π1010)5010L H f C --===⨯=⨯⨯⨯⨯ 6030.7101066.715010f Q BW ⨯===⨯2236022*********.78.11010p oU f Q f U ••⎛⎫⎛⎫∆⨯⨯=+=+= ⎪ ⎪⨯⎝⎭⎝⎭当0.7300kHz BW =时6030.746120101033.33001033.31.061010.6k 2π2π10105010e e e ef Q BW Q R Q f C ρ-⨯===⨯====⨯Ω=Ω⨯⨯⨯⨯而471266.72.131021.2k 2π105010p R Q ρ-===⨯Ω=Ω⨯⨯⨯ 由于,p e pRR R R R =+所以可得10.6k 21.2k 21.2k 21.2k 10.6k e p p eR R R R R Ω⨯Ω===Ω-Ω-Ω2.4 并联回路如图P2.4所示,已知:360pF,C =1280μH,L ==100,Q 250μH,L = 12=/10,n N N =L 1k R =Ω。
高频通信电子线路答案严国萍(科学出版社)第六章作业答案26-13 二极管检波电路如题图6-2所示,设Kd=1,求下列情况下的输出电压v0,并定性画出其波形。
分析等幅高频信号经检波后变成直流信号;载波抑制的调幅波,输出电压为正半周包络;普通调幅波,输出电压为其包络;同时还要判断是否过量调幅。
解(1)等幅高频信号经检波后变成直流信号vo=KdVs(t)=1×1V=1V(2)这是载波抑制的调幅波,输出电压为正半周包络,vo=|cos10t|3(3)这是调幅度为0.5的调幅波,输出电压为其包络vo=1+0.5cos10t3(4)这是一过量调幅的调幅波vo=|0.5+cos10t|36-15 题图6-3中,若,,,,;二极管的;fi=465kHz;调制系数m=30%;输入信号振幅Vim=0.5V;如果R2的触点放在最高端,计算低放管输入端所获得的低频电压与功率,以及相对于输入载波功率的检波功率增益。
题图6-3分析此题关键是判断交流电阻和直流电阻的问题;剩下的完全按照公式可以求解。
R2放在最高端时,交流负载=R1+R2ri2/(R2+ri2)。
解R2放在最高端时负载电阻为交流负载=R1+R2ri2/(R2+ri2)=直流负载RL=R1+R2=510+4700==()低频电压振幅==0.3×0.5×0.85V=0.127V低放管输入端低频电压振幅Vi2=(R2ri2/(R2+ri2))/(R1+(R2ri2/(R2+ri2)))=0.078V低频功率=Vi2/2ri2=3×10W 输入电阻Ri=RL/2=输入载波功率Pi=Vi2/(2Ri)=4.8×10-5W2-6功率增益=6-17 电视接收机第二频道图像载频为56.75MHz,伴音载频为66.25MHz,如果要得到的图象中频为38MHz,试问这时电视机的本振频率为多少?伴音中频为多少?分析本振频率,中频。
解本振频率伴音中频6-18 已知高输输入信号的频谱如题图6-4所示。
高频电子线络第五版答案第1章计算机网络体系结构1.1 计算机网络结构和功能计算机网络是指将多台计算机通过通信线路连接起来,以实现数据和信息的传输和共享的系统。
计算机网络的主要目标是提供可靠的数据传输和高效的资源共享。
计算机网络有两种基本的结构:客户端-服务器结构和对等结构。
在客户端-服务器结构中,有一个或多个服务器提供服务,而客户端通过网络访问服务器获取服务。
在对等结构中,每个计算机都可以既充当客户端又充当服务器,彼此之间对等地共享服务。
计算机网络的功能包括数据通信、资源共享、并发处理、负载均衡和容错。
其中,数据通信是计算机网络的核心功能,通过分组交换和数据报文传输实现。
1.2 计算机网络的体系结构计算机网络的体系结构指的是计算机网络的层次化结构,将计算机网络分为多个不同的层次,并定义了每个层次中的协议和功能。
目前使用最广泛的计算机网络体系结构是TCP/IP体系结构,它分为四个层次:物理层、数据链路层、网络层和传输层。
物理层主要负责数据的物理传输,数据链路层负责数据在相邻节点之间的传输。
网络层负责数据的路由和转发,传输层负责数据的分段和传输。
另一种常见的计算机网络体系结构是OSI参考模型,它分为七个层次:物理层、数据链路层、网络层、传输层、会话层、表示层和应用层。
OSI参考模型提供了一个通用的框架,方便不同厂家的设备进行互联。
1.3 计算机网络的发展与应用计算机网络的发展经历了多个阶段,从早期的局域网发展到现在的互联网。
随着互联网的普及,计算机网络的应用也变得越来越广泛。
计算机网络的应用包括电子邮件、远程登录、文件传输、万维网、视频会议和即时通讯等。
这些应用方便了人们之间的交流和信息共享,提高了工作效率和生活质量。
第2章物理层2.1 数据通信基础数据通信是指将数据从一个地方传输到另一个地方的过程。
数据通信的基本要素有发送器、接收器、传输介质和信道。
发送器将要传输的数据转换为电信号,并通过传输介质将电信号传输到接收器。
第5章振幅调制、振幅解调与混频电路5.1已知调制信号u (t) 2cos(2 n 500t)V,载波信号%(t) 4cos(2 n 10 t) V,令比例常数k a 1,试写出调幅波表示式,求出调幅系数及频带宽度,画出调幅波波形及频谱图。
5[解] u AM (t) (4 2cos2 n 500 t)cos(2 n 10 t)4(1 0.5cos2n 500 t)cos(2 n 105 )t V2 m a — 0.5, BW 2 500 1000 Hz4调幅波波形和频谱图分别如图P5.1(s)(a)、(b)所示。
5.2已知调幅波信号%[1 cos(2n 100t)]cos(2 n 105 t) V,试画出它的波形和频谱图,求出频带宽度BW。
[解] BW 2 100 200 HzwT 涉#泸评/ 伽阖pF HD调幅波波形和频谱图如图P5.2(s)(a)、(b)所示5.3已知调制信号u [2cos(2 n 2 103t) 3cos(2 n 3001)] V 载波信号料aJ L L____ L那禰T彌他//kHz/召阿』53 5[解] u c(t) (5 2cos2 n 2 10 t 3cos2 n 300t)cos2 n 5 10 tBW 2 F max 2 2 101 2 3 4 kHz频谱图如图P5.3(s)所示。
1[解]由m a U cm 1 V,可得m a 2/ U cm 2/5 0.42BW 2 5 103 Hz=10 kHz5(1 0.4cos2 n 255cos2 n 5 10 t51.5cos2 n(5 103 510 t 0.6cos2 n 300t)cos2 n 5 10 t3cos2 TT(5 10 2 10 ) t5300) t 1.5cos2 n(5 105 3cos2n(5 10 t 2 10 ) t300)t(V)5.4 已知调幅波表示式u(t) [20 12cos(2 n 500 t)]cos(2 n1061) V,试求该调幅波的载波振幅U泅、调频信号频率F、调幅系数 g和带宽BW的值。
第5章 振幅调制、振幅解调与混频电路填空题(1) 模拟乘法器是完成两个模拟信号 相乘 功能的电路,它是 非线性 器件,可用来构成 频谱 搬移电路。
(2) 用低频调制信号去改变高频信号振幅的过程,称为 调幅 ;从高频已调信号中取出原调制信号的过程,称为 解调 ;将已调信号的载频变换成另一载频的过程,称为 混频 。
(3) 在低功率级完成的调幅称 低电平 调幅,它通常用来产生 DSB 、SSB 调幅信号;在高功率级完成的调幅称为 高电平 调幅,用于产生 AM 调幅信号。
(4)包络检波器,由 非线性器件 和 低通滤波器 组成,适用于解调 AM 信号。
(5) 取差值的混频器输入信号为36()0.1[10.3cos(210)](cos210)V s u t t t ππ=+⨯⨯,本振信号为6()cos(2 1.510)V L u t t π=⨯⨯,则混频器输出信号的载频为 0.5M Hz ,调幅系数m a 为 ,频带宽度为 2k Hz 。
(6) 超外差式调幅广播收音机的中频频率为465kHz ,当接收信号频率为600kHz 时,其本振频率为 1065 kHz ,中频干扰信号频率为 465 kHz ,镜像干扰信号频率为 1530 kHz 。
理想模拟相乘器的增益系数1M 0.1V A -=,若X u 、Y u 分别输入下列各信号,试写出输出电压表示式并说明输出电压的特点。
(1) 6X Y 3cos(2π10)V u u t ==⨯;(2) 6X 2cos(2π10)V u t =⨯,6Y cos(2π 1.46510)V u t =⨯⨯; (3) 6X 3cos(2π10)V u t =⨯,3Y 2cos(2π10)V u t =⨯; (4) 6X 3cos(2π10)V u t =⨯,3Y [42cos(2π10)]V u t =+⨯[解] (1) 22660.13cos 2π100.45(1cos 4π10)V O M x y u A u u t t ==⨯⨯=+⨯ 为直流电压和两倍频电压之和。
一.通信电子线路复习资料科学出版社严国萍第1章1.什么是调制?2.无线通信什么缘故要先调制再发射?3.什么是微波?射频频段包括?4.无线电波有哪些传播方式?各种波长的波适合于哪种传播方式?第2章1.串联谐振与并联谐振的相同点有哪些?不同点有哪些?2.串并联阻抗的相互变换公式3.抽头变换的几种情形〔阻抗形式的、电流源、电压源〕4.P26中要求的处理方式5.什么是插入损耗?其值范畴及其意义?第3章1.高频小信号谐振放大器的特点及其在通信系统中的位置P682.高频小信号谐振放大器的质量指标有哪些?各指标取什么值好3.单级高频小信号谐振放大器的电路组成如何?4.多级与单级的区别有哪些?5.自激产生的缘故及克服方法第4章1.谐振功率放大器的特点及其在通信系统中的位置P922.谐振功率放大器与小信号谐振放大器的联系与区别3.谐振功率放大器与非谐振功率放大器的联系与区别4.谐振功率放大器的半导通角有何特点5.谐振功率放大器的电路组成如何?各部分的作用?6.谐振功率放大器的要紧指标?如何处理达到指标最优?7.谐振功率放大器的实际电路要解决哪些问题?8.谐振功率放大器与丙类倍频器有何联系与区别第6章1.振幅调制的定义及分类 P1572.一般调幅波的频谱有何特点,谱线如何做?3.调幅电路的分类及相应可用于产生何种调幅波?P1644.产生单边带信号的方法及实际的方法是什么?5.高电平调幅与谐振功放有何联系与区别6.各种调幅波分别用什么解调方法7.二级管峰值包络检波器的工作原理及失真指标8.混频器与变频器有何联系与区别?9.混频器的要紧的干扰有哪些?含义如何?第7章1.调角与调幅有何区别,各自特点如何?2.调频与调相各自的定义及定义式3.什么是频偏与调制指数?二者有何关系?7-20式4.调频与调相的频谱有何特点?有效带宽及其特点?5.调频波的功率有何特点6.调频与调相有何联系与区别P227上7.调频方法分类。
什么是直截了当调频与间接调频?8.间接调频的关键是什么?调相的方法有哪些?P2339.什么叫鉴频与鉴相?10.鉴频的常用方法分别有哪些?11.鉴频器的要紧特性是什么?如何定义?用哪些指标衡量?相应的指标的含义如何?第8章1.什么是数字调制? P2522.数字调制的载波与调制信号为?3.数字调制的分类4.绝对调相与相对调相的定义5.二进制绝对调相有何缺点?6.如何实现二进制相对调相的调制与解调?7.二进制相对调相的要紧的优缺点8.如何明白得二进制数字调制、四进制数字调制、八进制数字调制?第10章1.相位锁定的条件2.什么是捕捉过程?什么是跟踪过程?二、复习题1.调制信号为t t v 2102cos )(⨯=Ωπ,未调制时的载波频率0f 为107Hz,载波振幅为1V,分别进行调频和调相,且P f K K 和值的大小均为100,试完成以下任务:1) 分别运算调频和调相时的瞬时频率和瞬时相位.2) 分别运算调频和调相时的频偏和调制指数.3) 分别运算已调制的调频波和调相波的有效频带宽度.4) 分别运算在单位电阻上调频波和调相波的的平均功率5) 写出已调调频波和调相波电压的数学表达式. 解:1) 调频时的频偏和调制指数:)/(2002100秒弧度=⨯==∆ΩV K f f ω调相时的频偏和调制指数:)/(1041000221005秒弧度⨯=⨯⨯⨯=Ω=∆ΩππωV K p p2)3) W 4)4. 关于锁相环路〔PLL 〕:1)简述锁相环路的组成并画出组成框图,然后简要说明各部分的作用。
第五章高频作业解答
5-9 试用相位条件的判断准则,判明题图5-1所示的LC 振荡器交流等效电路,哪个可以振荡?哪个不可以振荡?或在什么条件下才能振荡?
(b) (c) (d) 解答:
(b) 不能起振(be 与bc 电抗性质相同了) (c) 考虑管子的极间电容C i 时可能起振 (d) 当1122C L C L 时可以起振
5-12 试画出题图5-2各振荡器的交流等效电路,并判断哪些电路可以振荡?哪些电路不能产生振荡?若不能振荡,请改正。
+V
+V
+V CC
(a) (b) (c)
2
(e) 解答:
(a) 可以起振 (b)
不能起振,应将电感抽头接到三极管的发射极
(c) 不能起振
(e) 可以起振,工作在晶体标称频率上
5-13 题图5-3表示三回路振荡器的交流等效电路,假定有以下六种情况,即
L
1
题图5-3
1) L1C1>L2C2>L3C3;
2) L1C1<L2C2<L3C3;
3) L1C1=L2C2=L3C3;
4) L1C1=L2C2>L3C3;
5) L1C1<L2C2=L3C3;
6) L1C1<L3C3<L2C2;
试问哪几种情况可能振荡?等效为哪种类型的振荡电路?其振荡频率与各回路的固有谐振频率之间有什么关系?
解答:1)L 1C 1> L 2C 2> L 3C 3 当,f>f 1,即1
121C L f π>
时,ce 是容性;
f>f 2,即2
221C L f π>时,be 是容性;
f<f 3,即3321C L f π<
时,cb 是感性;
由于
1
12
23
3111C L C L C L >
>
可取f 同时满足上述条件。
所以上述情况可能振荡。
属于电容三端电路。
2)L 1C 1< L 2C 2< L 3C 3 当,f< f 1,即1
121C L f π<
时,ce 是感性;
f< f 2,即2
221C L f π<
时,be 是感性;
f> f 3,即3
321C L f π>
时,cb 是容性;
由于
1
12
23
3111C L C L C L <
<
f 可同时满足以上条件,所以这种情况可以振荡,属于电感三端电路。
3)L 1C 1= L 2C 2=L 3C 3 不可能振荡。
4)L 1C 1= L 2C 2>L 3C 3; f> f 1,ce 为容性; f> f 2,be 为容性; f< f 3,cb 为感性; 因为
1
12
23
3111C L C L C L =
>
即f 可同时满足上述条件,产生振荡,这种情况属于电容三端电路。
5)L 1C 1< L 2C 2=L 3C 3;
若电路为电容三端电路,必有 L 1C 1= L 2C 2> L 3C 3
若电路为电感三端电路,则应满足下列条件:
1
12
23
3212121C L C L C L πππ=
<
即 L 3C 3> L 2C 2= L 1C 1
而上述条件均不满足,所以不能振荡。
6)L 1C 1< L 3C 3< L 2C 2;
当此电路为电容三端电路时,应满足 L 1C 1> L 2C 2> L 3C 3
当此电路为电感三端电路时,应满足 L 3C 3> L 2C 2> L 1C 1
以上均不能得出 L 1C 1< L 3C 3< L 2C 2,因而这种情况不能振荡。
5-15 对于题图5-5所示振荡电路。
(1) 画出高频交流等效电路,说明振荡器类型; (2) 计算振荡频率。
57μ
题图5-5
解答:
L
上图为等效电路图,是电容三端式振荡电路。
pF C C C C C C C C C C C 9.43.315
2.8152.22.82.215
2.82.24142214213=+⨯+⨯+⨯⨯⨯=+++
=∑
MHz LC f 57.910
9.4105714.321
2112
6
0=⨯⨯⨯⨯⨯=
=
--∑
π
5-17 题图5-6(a)(b)分别为10MHz 和25MHz 的晶体振荡器。
试画出交流等效电路,说明晶
体在电路中的作用,并计算反馈系数。
10k
输出
10k
题图5-6(a ) 题图5-6(b)
解答:交流等效电路分别如下图 (a)(b)所示,图(a)中晶体等效为电感,反馈系数
5.0300
150
==F ,图(b)中晶体等效为短路元件,反馈系数16.0270
43==F
(a) (b)。