液压与气压传动第三版-许福玲课后习题答案
- 格式:doc
- 大小:327.50 KB
- 文档页数:12
液压与气压传动课后答案一、选择题1.液压传动的优点有哪些?(单选题)A. 功率密度高B. 体积小C. 可靠性高D. 轻便灵活正确答案:A、C、D解析:液压传动具有功率密度高、可靠性高、轻便灵活等优点。
2.气压传动的优点有哪些?(多选题)A. 维护简单B. 噪音小C. 温升小D. 环境污染小正确答案:A、B、C、D解析:气压传动具有维护简单、噪音小、温升小、环境污染小等优点。
二、填空题1.液压传动的工作介质是________。
答案:液体解析:液压传动是利用液体传递能量的传动方式。
2.液压传动中,液体通过_______来传递压力和动力。
答案:油管、油管路解析:液压传动中,液体通过油管或油管路来传递压力和动力。
3.气压传动的工作介质是_______。
答案:气体解析:气压传动是利用气体传递动力和能量的传动方式。
4.气压传动中,气体通过_______来传递压力和动力。
答案:气管、气管路解析:气压传动中,气体通过气管或气管路来传递压力和动力。
三、简答题1.请简述液压传动的工作原理。
答案:液压传动是利用液体传递压力和动力的传动方式。
液压传动系统由液压源、执行元件、油管路、控制元件等组成。
液压源通过驱动液体产生压力,将液压能量转化为机械能,通过油管路传递至执行元件上。
执行元件接收液压能量,将其转化为机械能,完成各种工作过程。
控制元件通过控制液体的流量、压力和方向,实现对液压传动系统的控制。
液压传动具有功率密度高、可靠性高、轻便灵活等优点,被广泛应用于机械、冶金、航空、航天等领域。
2.请简述气压传动的工作原理。
答案:气压传动是利用气体传递动力和能量的传动方式。
气压传动系统由气源、执行元件、气管路、控制元件等组成。
气源通过驱动气体产生压力,将气压能量转化为机械能,通过气管路传递至执行元件上。
执行元件接收气压能量,将其转化为机械能,完成各种工作过程。
控制元件通过控制气体的流量、压力和方向,实现对气压传动系统的控制。
气压传动具有维护简单、噪音小、温升小、环境污染小等优点,广泛应用于化工、纺织、食品、医药等领域。
11-2. 某液压油在大气压下的体积是L 50,当压力升高后,其体积减少到L 9.49,设液压油的体积弹性模数MPa K 700=求压力升高值。
求压力升高值。
解:压缩率压缩率MPaV V Kp k p v V K 4.150)509.49(7001)(1=--=D -=D =¶¶-=1-4. 用恩氏粘度计测得ρ=850kg/m 3的某液压油200mL 流过的时间为t 1=153s 。
20℃时200mL 蒸馏水流过的时间t 2=51s 。
问该液压油的E为多少?动力粘度)(s Pa ×m 为多少?运动粘度s m /2=u 为多少?解:解:1-5.如图所示,一具有一定真空度的容器用一根管子倒置于一液面与大气相通的水槽中,液体在管中上升的高度h = 1m ,设液体的密度为ρ= 1000㎏/m 33,试求容器内的真空度。
解:以液面为等压面,由液体静压力基本方程得由液体静压力基本方程得 p +ρgh = p a 所以真空度为所以真空度为p a -p =ρgh =1000×9.89.8××1 =9800(Pa Pa)) 1-6.如图所示,密闭容器中充满了密度为ρ的液体,柱塞直径为d ,重量为F G ,在力F 作用下处于平衡状态,柱塞浸入液体深度为h 。
试确定液体在测压管内上升的高度x 。
解:深度为h 的平面为等压面,的平面为等压面,列出柱塞和测压管在等压面列出柱塞和测压管在等压面上的压力平衡方程为上的压力平衡方程为则 h gd F F x G -×+=r p 2)(4 1-10.如图示一抽吸设备水平放置,其出口和大气相通,细管处断面积212.3cm A =,出口处管道面积124A A =,m h 1=,求开始能够抽吸时,水平管中所必需通过的流量Q 。
按理想液体计算。
按理想液体计算。
解:对截面ⅠⅡ列伯努利方程,设通过中心线的水平面为基准解:对截面ⅠⅡ列伯努利方程,设通过中心线的水平面为基准1-11.如图示弯管,试利用动量方程求流动液体对弯管的作用力。
液压与气动技术(第三版) 部分习题参考答案第2章 液压传动基础2-7 解: st t t E t 51121==︒2.351.45123040>==︒E EE ︒-︒=46.7ν)()(s mm s mm 2232389.33887.0276.3451.4451.46.7≈=-=-⨯=)(10390010389.33236s P mkg v a ⋅⨯=⨯⨯==--ρμ2-8 解:机械(杠杆)增力75025⋅=⋅'F F)(6)(600025750KN N FF ===' 液压增力2244d F D Gππ'=)(04.41613342222KN F d D G =⨯='⋅=2-9 解:取等压面M-M21gh p gh p a s a ρρ+=+)m kg 800( 10175603321=⨯⨯==h h sρρ2-10 解:(1)取等压面M-M由于不计油液重量,不计大气压力(管内相对压力为1个标准大气压)则U 形管左边A M p p =左 , 右边gh p g M ρ=右 即 gh p A ρ=)(760)(76.08.9106.1310101325.036mm m g p h g A g ==⨯⨯⨯==ρ (2)管内压力为1个工程大气压(a MP 0981.0))(1110)(1.118.9900100981.06cm m g p h y a y ==⨯⨯==ρ2-11 解:(a ))(3.6)(103.61.0410546242MPa P d Fp a =⨯=⨯⨯==ππ(b))(3.642MPa d Fp ==π2-12 解: v d Av q V 24π== )(85.025*********1062526242s m A q v v =⨯⨯=⨯⨯⨯==-ππw p v g h p v g h p ∆+++=++22222211112121ραρραρ式中a p p =1, 01=h , 01=v ,2h =H ,代入上式,整理可得2222222v d l v gH p p a ρλραρ⋅++=-el e R vdR <=⨯⨯⨯==--5.10621020102585.063ν=2300, 层流,2=α0705.075==eR λ 2p p a -285.090010254.00705.0285.029004.08.9900232⨯⨯⨯⨯+⨯⨯+⨯⨯=-=4545(Pa)第3章 液压动力元件3-6 已知:p =10MPa ,n =1450r/min ,V =200mL/r ,95.0=V η,9.0=η求:?0=P , ?=i P 解:(1)求液压泵的输出功率 液压泵的实际流量)min(5.27595.01450102003LVn q q v v vt v =⨯⨯⨯===-ηη 液压泵的输出功率)(92.45)(1092.451065.27510103460kW W pq P v =⨯=⨯⨯⨯== (2)求电机的驱动功率)(519.092.450kW P P i ===η3-7 已知:m =3mm ,z =15, b =25mm , n=1450r/min , min /25L q v =求:?=V , ?=V η解:)(48.22102531566.666.6322rmL b zm V =⨯⨯⨯⨯==-)min (59.3214501048.223LVn q vt =⨯⨯==-7671.059.3225===vt v v q q η (可见齿轮泵容积效率较低)3-8 已知:转子外径d =83mm ,定子内径D =89mm ,叶片宽度b =30mm求:(1)当rm L V 16=时,?=e ; (2)?max =V解:(1)beD V π2=)(954.0)(0954.010893014.321622mm cm bD V e ==⨯⨯⨯⨯==-π (2))(32mm dD e =-=)(30.501086330223max rmL beD V =⨯⨯⨯⨯==-ππ3-9 已知:︒=18γ,d =15mm ,D =116mm , z =7, 95.0==m V ηη,n =980r/min , p =32MPa求:?max =V , ?=vt q , ?=V q , ?=i P解:z r D d V ⋅=tan 42max π)(60.46718tan 1161542r mL =⨯︒⨯⨯⨯=π)min(67.4598060.46LVn q vt =⨯==)min.(38.4395.067.45L q q v vt v =⨯=⋅=ηm v vi pq P P ηηη==)(6.25)(2563595.095.0)106/(1038.433246kW W ==⨯⨯⨯⨯=第4章 液压执行元件4-4 已知:p =3.5MPa , D =0.09m , d =0.04m , v =0.0152m/s 求:F =?,?=V q 解:)(86.17)(178585.3)(422kN N d D F ==⨯-=π)(40152.022d D vA q v -⨯==π=7.76×10-5m 3/s = 4.6L/min 4-6 已知:min /30L q V =, MPa p 4= 求:(1)若 v 2 =v 3 = 4m/min ,D =?,d =?(2) F =? 解: D =1.414d324v d q v ⋅=π34v q d vπ=)(78)(108.760/614.3)106/(30424mm m d =⨯=⨯⨯⨯=-查表4-4,取d =80mm)(14.1132mm d D ==查表4-5,取D =110mm)(38)(37994411044221kN N p D F ==⨯⨯==ππ)(18)(178984)80110(4)(422222kN N p d D F ==⨯-=-=ππ)(20)(20096423KN N p d F ===π4-7 已知:单杆缸, D =125mm ,d =90mm , min /40L q v =,a MP p 5.21= ,02=p求:(1)无杆腔进油,v 1,F 1=? (2)有杆腔进油,v 2,F 2=? (3)差动连接,v 3,F 3=? 解:(1)无杆腔进油)(66.30)(30665.212544212111kN N p D A p F ==⨯⨯===ππ(2)有杆腔进油 5.210)90125(4)(422122212⨯⨯-⨯=⋅-==ππp d D A p F=14768N=14.77(kN)min)/(77.6)/(1128.0)(42221m s m d D q A q v vv ==-==π (3)差动连接)(9.15)(15896259044212313KN N p d A p F ==⨯⨯===ππmin)/(29.6)/(105.01090106/4044624233m s m d q A q v v v ==⨯⨯⨯⨯===-ππ第5章 液压控制元件5-6 解:(a )a MP p 2=, (b)a MP p 11= 5-7 解:(a) 取决于调定压力值低的阀; (b )取决于调定压力值高的阀。
目录第一章液压与气压传动概述 (2)第二章液压传动的基础知识 (3)第三章液压泵与液压马达 (16)第四章液压缸 (25)第五章液压基本回路与控制阀 (33)第六章液压辅助元件 (60)第七章液压系统实例 (62)第八章液压系统的设计计算 (65)第九章液压伺服系统 (74)第十章气源装置与气动辅件 (78)第十一章气缸 (78)第十二章气动控制元件与基本回路 (80)一液压与气压传动概述1.1答:液压与气压传动都是借助于密封容积的变化,利用流体的压力能与机械能之间的转换来传递能量的。
液压传动系统和气压传动系统主要有以下四部分组成:(1)动力元件:液压泵或气源装置,其功能是将原电动机输入的机械能转换成流体的压力能,为系统提供动力。
(2)执行元件:液压缸或气缸、液压马达或气压马达,它们的功能是将流体的压力能转换成机械能,输出力和速度(或转矩和转速),以带动负载进行直线运动或旋转运动。
(3)控制元件:压力流量和方向控制阀,它们的作用是控制和调节系统中流体的压力、流量和流动方向,以保证执行元件达到所要求的输出力(或力矩)、运动速度和运动方向。
(4)辅助元件:保证系统正常工作所需要的辅助装置,包括管道、管接头、油箱或储气罐、过滤器和压力计等。
1.2答:液压传动的主要优点:在输出相同功率的条件下,液压转动装置体积小、重量轻、结构紧凑、惯性小、并且反应快。
可在运行过程中实现大范围的无级调速、且调节方便。
调速范围一般可达100:1,甚至高达2000:1。
传动无间隙,运动平稳,能快速启动、制动和频繁换向。
操作简单,易于实现自动化,特别是与电子技术结合更易于实现各种自动控制和远距离操纵。
不需要减速器就可实现较大推力、力矩的传动。
易于实现过载保护,安全性好;采用矿物油作工作介质,滋润滑性好,故使用寿命长。
液压元件已是标准化、系列化、通用化产品、便于系统的设计、制造和推广应用。
液压传动的主要缺点:(1)油液的泄露、油液的可压缩性、油管的弹性变形会影响运动的传递正确性,故不宜用于精确传动比的场合。
试题库及参考答案一、填空题1.液压系统中的压力取决于(负载),执行元件的运动速度取决于(流量)。
2.液压传动装置由(动力元件)、(执行元件)、(控制元件)和(辅助元件)四部分组成,其中(动力元件)和(执行元件)为能量转换装置。
3.液体在管道中存在两种流动状态,(层流)时粘性力起主导作用,(紊流)时惯性力起主导作用,液体的流动状态可用(雷诺数)来判断。
4.在研究流动液体时,把假设既(无粘性)又(不可压缩)的液体称为理想流体。
5.由于流体具有(粘性),液流在管道中流动需要损耗一部分能量,它由(沿程压力)损失和(局部压力)损失两部分组成。
6.液流流经薄壁小孔的流量与(小孔通流面积)的一次方成正比,与(压力差)的1/2次方成正比。
通过小孔的流量对(温度)不敏感,因此薄壁小孔常用作可调节流阀。
1 7.通过固定平行平板缝隙的流量与(压力差)一次方成正比,与(缝隙值)的三次方成正比,这说明液压元件内的(间隙)的大小对其泄漏量的影响非常大。
8.变量泵是指(排量)可以改变的液压泵,常见的变量泵有(单作用叶片泵)、(径向柱塞泵)、(轴向柱塞泵)其中(单作用叶片泵)和(径向柱塞泵)是通过改变转子和定子的偏心距来实现变量,(轴向柱塞泵)是通过改变斜盘倾角来实现变量。
1 9.液压泵的实际流量比理论流量(小);而液压马达实际流量比理论流量(大)。
1 10.斜盘式轴向柱塞泵构成吸、压油密闭工作腔的三对运动摩擦副为(柱塞与缸体)、(缸体与配油盘)、(滑履与斜盘)。
11.外啮合齿轮泵的排量与(模数)的平方成正比,与的(齿数)一次方成正比。
因此,在齿轮节圆直径一定时,增大(模数),减少(齿数)可以增大泵的排量。
12.外啮合齿轮泵位于轮齿逐渐脱开啮合的一侧是(吸油)腔,位于轮齿逐渐进入啮合的一侧是(压油)腔。
(吸13.为了消除齿轮泵的困油现象,通常在两侧盖板上开(卸荷槽),使闭死容积由大变少时与(压油)腔相通,闭死容积由小变大时与(压油)腔相通。
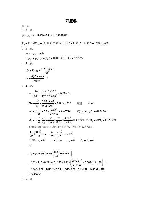
习题解第一章1— 3:解:1136009.811133416p gh Pa ρ==⨯⨯=汞11334169009.810.51334164414.5129001.5A A p p gZ Pa ρ=-=-⨯⨯=-=1— 4:解:10009.810.54905a a p p ghp p p gh Paρρ=-∴=-==⨯⨯=真1— 5:解:h dg mg F x d mg F g h x -+=+=+22)(4)(4)(πρπρ1— 6:解:3224416100.85/600.02q v m s d ππ-⨯⨯==≈⨯⨯ 422220.850.02Re 1545232020.11100.850.20.007463.88229.817520.850.1791545.3215450.0229.81vdv h mp gh Pag l v h m p gh Pad g ζζζλλλαυζρλρ-⨯===<=⨯==⨯≈∆==⨯=⋅⋅=⨯⨯≈ ∆==⨯层流或或列油箱液面与泵进口出的伯努利方程,以管子中心为基础:ζλαραρh h h z m z v h z gv g p z g v g p w w a +====+++=++07.0022211222221211式中:则:2222125220.85108809.810.78809.810.00740.17929.81106042.988632.80.26106042.982244.53103798.450.1a v p p gz g h h g Pa MPaλζαρρ⎛⎫=+-++ ⎪⎝⎭⎛⎫⨯=+⨯⨯-⨯⨯++ ⎪⨯⎝⎭=-⨯=-==:1— 9:解:方法一:2222322212244300015286620.050.010.610.6158.28440.610.000078558.280.0028440.002835.70.01440.0028 1.40.05d F p Pa D d q c A m sq m v s d q m v s D ππππππππ⨯∆===⨯⨯⨯==⨯=⨯⨯=⨯⨯=⨯===⨯⨯===⨯由动量方程:设缸底对液体的作用力为f ,方向向左,取β=1,则:()()()212130009000.002835.7 1.43000 2.5234.3300086.42913.6F f q v v f F q v v Nρρ-=-=--=-⨯⨯-=-⨯=-= 则液体对缸底的作用力方向向右。
习题解第一章 1— 3:解:p 1汞gh 13600 9.81 1 133416 Pap A p 1gZ A 133416900 9.81 0.5133416 4414.5 129001.5 Pa1— 4:解:Q p p a ghp 真 p a pgh1000 9.81 0.54905Pa1— 5:解:(x h)g4( F mg)d 24(F mg)hxg d21— 6:解:4q4 16 10 3 0.85m / svd2600.022Revd0.850.02 15452320 层流20.11 104hv 20.20.85 2 0.0074 m或 pgh63.88Pa2g9.812hlv 27520.85 2 0.179m 或 pgh 1545.3 Pad 2g1545 0.022 9.81列油箱液面与泵进口出的伯努利方程,以管子中心为基础:p a 1v 12z 1p 2 2 v 22z 2 h wg2gg 2g式中: v 1z 10.7mz 2h w hh则:p 2p agz 1g2 v 22hh2g105 880 9.81 0.7 880 9.812 0.852 0.00740.179:2 9.81106042.988632.8 0.26 106042.982244.53 103798.45Pa0.1MPa1— 9:解:方法一:p4F4 30001528662PaD 20.052qc d A 0 2d 2 2 0.012 58.28p0.611528662 0.61490040.61 0.0000785 58.28 0.0028m 3sv 24q 4 0.0028 35.7 msd 2 0.012 v 14q 4 0.0028D 221.4m0.05s由动量方程:设缸底对液体的作用力为 f ,方向向左,取 β=1 ,则:F f q v 2 v 1fFq v 2 v 13000 900 0.0028 35.7 1.430002.52 34.3 3000 86.4 2913.6 N则液体对缸底的作用力方向向右。
液压与气动技术应用(样卷2)答案一、
二、填空题:
1.外负载
2.定量泵变量泵
3. 往复直线回转
4. 体积m3/s
5. 稳压卸荷
6. 压力行程
7.减压阀
8.能源装置执行装置控制调节装置辅助装置
9.气缸气动马达
10.一次压力控制二次压力控制
三、选择题:
1.C
2.A
3.A
4.C
5.A
6.A
7.C
8.C
9.D 10.D
四、判断题:
1.×
2.√
3.×
4.×
5.√
6.√
7.×
8.√
9.×10.×
五、
元件:定量泵、先导式溢流阀、两位四通电磁换向阀、两位三通电磁换向阀、单向阀、调速阀、单出杆活塞液压缸
工作原理:
按下启动按钮,电磁铁1Y A、2Y A同时得电,换向阀3左位接入、换向阀5右位接入,实现差动连接,液压缸活塞向右快速运动;当到达某一位置时,发出电信号使2Y A断电,阀5左位接入,完成由调速阀实现的工作进给;工作进给完成,则1Y A也断电,阀3右位接入,完成油路换向,液压缸活塞向左退回。
六、
元件:气泵、单向阀、节流阀、气缸、二位五通电磁换向阀
工作原理:
1.气泵1——阀2左位——单向阀6——气缸左腔
气缸右腔——节流阀3——阀2左位——排出}实现由3调定的速度2. 电磁铁1YA得电,电磁换向阀2右位接通;
气泵1——阀2右位——单向阀4——气缸右腔
气缸左腔——节流阀5——阀2右位——排出}实现由5调定的速度。
第一章习题答案1-1 填空题1.液压传动是以(液体)为传动介质,利用液体的(压力能)来实现运动和动力传递的一种传动方式。
2.液压传动必须在(密闭的容器内)进行,依靠液体的(压力)来传递动力,依靠(流量)来传递运动。
3.液压传动系统山(动力元件)、(执行元件)、(控制元件)、(辅助元件)和(工作介质)五部分组成。
4.在液压传动中,液压泵是(动力)元件,它将输入的(机械)能转换成(压力)能,向系统提供动力。
5. 在液压传动中,液压缸是(执行)元件,它将输入的(压力)能转换成(机械)能。
6.各种控制阀用以控制液压系统所需要的(油液压力)、(油液流量)和(油液流动方向),以保证执行元件实现各种不同的工作要求。
7.液压元件的图形符号只表示元件的(功能),不表示元件(结构)和(参数),以及连接口的实际位置和元件的(空间安装位置和传动过程)。
8.液压元件的图形符号在系统中均以元件的(常态位)表示。
1-2 判断题1.液压传动不易获得很大的力和转矩。
(X)2.液压传动装置工作平稳,能方便地实现无级调速,但不能快速起动、制动和频繁换向。
(X)3.液压传动与机械、电气传动相配合时,易实现较复杂的自动工作循环。
(✓)4.液压传动系统适宜在传动比要求严格的场合采用。
(X)第二章习题答案2-1 填空题1.液体受压力作用发生体积变化的性质称为液体的(可压缩性),可用(体积压缩系数)或(体积弹性模量)表示,体积压缩系数越大,液体的可压缩性越(大);体积弹性模量越大,液体的可压缩性越(小)。
在液压传动中一般可认为液体是(不可压缩的)。
2.油液粘性用(粘度)表示;有(动力粘度)、(运动粘度)、(相对粘度)三种表示方法;计量单位m2/s是表示(运动)粘度的单位;l m2/s = (10心厘斯。
3.某一种牌号为L-HL22的普通液压油在40。
C时(运动)粘度的中心值为22厘斯(mm2/s)。
4.选择液压油时,主要考虑油的(粘度)。
(选项:成分、密度、粘度、可压缩性)5.当液压系统的工作压力高,环境温度高或运动速度较慢时,为了减少泄漏,宜选用粘度较(高)的液压油。
第1章 思考题和习题解1.3 液压传动系统由哪几部分组成?各组成部分的作用是什么?答:(1)动力装置:动力装置是指能将原动机的机械能转换成为液压能的装置,它是液压系统的动力源。
(2)控制调节装置:其作用是用来控制和调节工作介质的流动方向、压力和流量,以保证执行元件和工作机构的工作要求。
(3)执行装置:是将液压能转换为机械能的装置,其作用是在工作介质的推动下输出力和速度(或转矩和转速),输出一定的功率以驱动工作机构做功。
(4)辅助装置:除以上装置外的其它元器件都被称为辅助装置,如油箱、过滤器、蓄能器、冷却器、管件、管接头以及各种信号转换器等。
它们是一些对完成主运动起辅助作用的元件,在系统中是必不可少的,对保证系统正常工作有着重要的作用。
(5)工作介质:工作介质指传动液体,在液压系统中通常使用液压油液作为工作介质。
1.6 液压油液的粘度有几种表示方法?它们各用什么符号表示?它们又各用什么单位?答:(1)动力粘度η :动力粘度又称为绝对粘度,由式:dydu A F f =η确定。
(2)运动粘度ν :液体的动力粘度与其密度的比值被称为液体的运动粘度,即:ηνρ=(3)相对粘度: 1.7 国家新标准规定的液压油液牌号是在多少温度下的哪种粘度的平均值?答:我国液压油的牌号是用它在温度为40℃时的运动粘度平均值来表示的。
例如32号液压油,就是指这种油在40℃时的运动粘度平均值为32 mm 2/s 。
1.8 密闭容器内液压油的体积压缩系数κ为1.5×103-/MPa ,压力在1 MPa 时的容积为2 L 。
求在压力升高到10 MPa 时液压油的容积为多少?解:根据体积压缩系数公式:1V VP ∆∆-=κ可得:027.01092105.169-=⨯⨯⨯⨯-=∆⋅-=∆-p V V κL则:压缩后油的容积为V t = 2 - 0.027 = 1.973 L 答:压缩后油的容积为1.973 L1.12 液压传动的介质污染原因主要来自哪几个方面?应该怎样控制介质的污染?答:液压油液被污染的原因是很复杂的,但大体上有以下几个方面:(1)残留物的污染(2)侵入物的污染:液(3)生成物的污染:这主要指液压传动系统在工作过程中所产生的金属微粒、密封材料磨损颗粒、涂料剥离片、水分、气泡及油液变质后的胶状物等所造成的液压油液污染。
液压与气压传动第三版课后答案第一章传动介质的基本概念1.1 传动介质的分类根据传动介质的性质和作用方式,传动介质可以分为液压传动和气压传动两大类。
液压传动是利用液体作为传动介质,通过液体在管路中传递压力来实现转换、传递和控制力、转矩和运动的一种传动方式。
气压传动是利用气体作为传动介质,通过气体在管路中传递压力来实现转换、传递和控制力、转矩和运动的一种传动方式。
1.2 传动介质的基本性质传动介质的基本性质包括压力、流量、密度、温度、黏度等。
压力是指单位面积上的力量,它与传动介质的力的大小和面积有关。
流量是指单位时间内通过一个截面的液压或气压量。
密度是指单位体积的质量。
温度是指物体的热平衡状态。
黏度是指流体内不同层之间抵抗相对运动的能力。
第二章液压传动系统2.1 液压传动系统的基本组成液压传动系统主要由液压能源装置、执行元件、控制元件、辅助元件和管路系统组成。
液压能源装置包括液压泵、液压油箱、过滤器等。
执行元件包括液压缸、液压马达等。
控制元件包括油压阀、溢流阀、方向阀等。
辅助元件包括油管、接头、压力表等。
管路系统由上述元件连接而成,用于传送液压能量和信息。
2.2 液压传动系统的工作原理液压传动系统的工作原理是利用液体的不可压缩性来实现力和运动的传递。
当液压泵工作时,产生的高压油经过管道和阀门进入液压缸或液压马达,使其产生力和运动。
液压控制元件通过控制液压流量和压力来调节和控制执行元件的工作。
2.3 液压传动系统的特点液压传动系统具有以下特点:•传动平稳、准确性好:液压传动系统具有较高的传动精度和运动平稳性,可以实现微小的位移和精确的位置控制。
•功率密度大:液压传动系统的工作压力高,传动效率高,功率密度大,适用于大功率和大扭矩的传动。
•动力源多样化:液压传动系统可以采用不同的液压能源,如电动泵、发动机、气压泵等,适用于不同的工况需求。
•传递远距离:液压传动系统可以通过长距离的管路传递力和运动,适用于远距离传动。
液压传动与气动技术(第三版)习题册参考答案第一篇㊀液压传动模块一液压传动系统的认知任务1认知液压传动工作原理一㊁填空题1.液体能量控制2.工作油腔滑动密封3.小大4.油液液压缓冲5.泄漏传动比6.较大不宜7.爬行振动噪声二㊁选择题1.A2.B3.A三㊁判断题1.ˑ2.ˑ3.ɿ4.ɿ5.ˑ6.ɿ7.ɿ8.ɿ四㊁思考题1.什么是帕斯卡原理?答:帕斯卡原理:在密闭容器内,施加于静止液体上的压力(单位面积上承受的力)将以等值同时传到各点㊂这就是静压传递原理或称帕斯卡原理㊂2.什么是液压传动?简述其工作原理㊂答:(液压传动是利用液体作为工作介质来进行能量传递的一种传动方式㊂液压传动的工作原理是以油液为工作介质,依靠密封容积的变化来传递运动,依靠油液内部的压力传递动力㊂)3.简述液压传动的优点㊂答:(1)传动平稳(2)质量轻体积小(3)承载能力大(4)容易实现无级调速(5)易于实现过载保护(6)液压元件能够自动润滑(7)容易实现复杂动作(8)简化机构(9)便于实现自动化(10)便于实现 三化任务2认知液压传动系统组成一㊁填空题1.动力部分执行部分控制部分辅助部分2.压力㊁流量㊁流动方向3.储油㊁过滤㊁测量㊁密封4.结构示意图图形符号图5.机械能压力能(液压能)6.液压马达压力能机械能7.调定压力油箱定值8.功能操作(控制)方法9.工作位置油流的通道10.静止状态零位二㊁选择题1.A2.A3.C4.B5.B三㊁判断题1.ɿ2.ˑ3.ɿ4.ˑ5.ɿ6.ˑ7.ˑ8.ɿ四㊁思考题1.通过液压传动系统的组成㊂答:1.动力部分2.执行部分3.控制部分4.辅助部分2.简述液压叉车前叉液压传动系统的组成部分㊁元件及其作用㊂答:组成部分㊀㊀元件㊀㊀㊀㊀㊀㊀㊀㊀㊀㊀㊀作用动力部分液压泵向液压传动系统供给压力油执行部分液压缸输出运动,带动前叉上㊁下运动控制部分溢流阀㊁节流阀和换向阀控制液压传动系统工作时压力㊁前叉的运动方向和速度辅助部分网式过滤器㊁油箱及油管过滤清洁液压油,输送液压油,蓄存液压油3.液压油的主要性能指标及选用原则㊂答:主要性能指标:(1)黏性(2)黏度指数(3)闪点选用原则:(1)根据液压压系统的工作压力选择(2)根据工作环境选择(3)根据工作速度选择模块二动力元件与执行元件的维修任务1折弯机液压泵的维修一㊁填空题1.机械能液压能能量转换2.齿轮泵柱塞泵叶片泵3.外啮合齿轮泵内啮合齿轮泵4.泵体两端盖齿轮的各个齿间吸油腔压油腔5.密封容积配流装置大气6.定量变量定量7.单作用双作用8.转子定子叶片9.渐开线摆线10.减小小于11.柱塞往复运动径向柱塞泵轴向柱塞泵12.一次压油13.直轴斜轴二㊁选择题1.B2.A3.B4.A5.C6.C7.A8.A9.C10.B11.A 12.B13.C14.C15.B三㊁判断题1.ɿ2.ˑ3.ɿ4.ɿ5.ɿ6.ˑ7.ˑ8.ɿ9.ɿ10.ˑ11.ˑ12.ɿ13.ɿ四㊁思考题1.简述齿轮泵常见故障以及其产生原因㊂答:齿轮泵常见故障主要包括不打油或输油量不足及压力提不高㊁噪声严重及压力波动厉害㊁液压泵旋转不灵活或咬死㊂不打油或输油量不足及压力提不高原因:1)电动机的转向错误;2)吸入管道或过滤器堵塞;3)轴向间隙或径向间隙过大;4)各连接处泄漏而引入空气混入;5)油液黏度太大或油液温升太高㊂噪声严重及压力波动厉害:1)吸入管道及滤油器部分堵塞或入口滤油器容积小;2)从吸油管或轴密封处吸入空气,或者油中有气泡;3)泵和联轴器不同心或擦伤;4)齿轮本身的精度不高;5)齿轮油泵骨架式油封损坏或装装轴时骨架油封内弹簧脱落㊂液压泵旋转不灵活或咬死:1)轴向间隙或径向间隙过;2)装配不良,盖板与轴同心度不好,长轴弹簧紧固脚太长,滚针套质量太差;3)泵和联轴器同轴度不好;4)油液中的杂质被吸入泵体㊂2.试比较单作用叶片泵与双作用叶片泵结构和工作原理的异同㊂答:单作用叶片泵:转子每回转一周,每个密封容积完成一次吸油和排油;转子单向承受油腔油压作用,径向压力不平衡,输出油量可改变,只需改变转子中与定子中心偏心距㊂双作用叶片泵:泵转子每回转一周,每个密封容积完成两次吸油和压油,泵有两个对称设置的吸油和压油区,作用在转子上的液压力互相平衡,转子与定子同轴㊂3.简述外啮合齿轮泵的应用场合答:外啮合齿轮泵输出的流量较均匀,构造简单,工作可靠,维护方便,一般具有输送流量小和输出压力高的特点㊂通常齿轮泵用输送黏性较大的液体,不易输送黏度较的液体及含有杂质的液体(严重影响齿轮泵的寿命)㊂任务2压力机动力油缸的检修一㊁填空题1.液压能㊁机械能㊁往复直线运动2.双作用单出杆液压缸双作用双出杆液压缸3.活塞杆活塞缸体4.有杆腔无杆腔5.推力运行特性速度6.大慢7.差单出杆液压缸8.活塞和活塞杆密封装置缓冲装置9.缸盖缓冲装置10.长小11.结构简单较长12.两个柱塞缸一套齿条传动装置二㊁选择题1.B2.C3.A4.A5.C6.B7.B8.B9.A10.A11.C三㊁判断题1.ɿ2.ˑ3.ˑ4.ˑ5.ˑ6.ɿ7.ˑ8.ɿ9.ɿ10.ɿ11.ɿ四㊁思考题1.什么是液压执行元件?有哪些类型?用途如何?答:在液压系统中,将液体的液压能转换为机械能的能量转换装置叫做液压执行元件㊂F2=0.3(N)F1=0.6(N)2)v1=q/A1=2ˑ104/0.008=0.025m2/sv2=q2/A1=v1A2/A1=0.025ˑ0.005/0.008=0.016m2/s3)pA1=F1+P0A20.8=F1+0.625F2F1=F2=0.49(N)4)pA1=F1+P0A20.8=0+0.625F2F2=0.28(N)答:略2.某一系统工作阻力F阻=30KN,工作压力p=4ˑ106Pa,试确定双活塞杆液压缸的活塞直径D和活塞杆直径d㊂(取d=0.7D)解:π[D2-(0.7D)2]4=Fp=30000 4ˑ106D=30000ˑ40.51ˑπˑ4ˑ106=0.1(m)d=0.7D=0.07(m)答:略模块三 方向控制阀任务1㊀平面磨床工作台制换向控制回路设计一㊁填空题1.阀芯与阀体相对位置㊀油液流动方向㊀油路2.四㊀三3.中位机能4.通断㊁变向㊁停止(包括锁紧)换向5.手动式㊀机动式㊀电磁式㊀液动式㊀电液动式㊀气动式6.滑阀机能7.滑阀式㊀转阀式㊀球阀式8.方框㊀接通状态二㊁选择题1.A㊀2.A㊀3.C㊀4.A㊀5.C三㊁判断题1.ɿ㊀2.ɿ㊀3.ˑ㊀4.ɿ㊀5.ˑ㊀6.ɿ㊀7.ɿ㊀8.ˑ四㊁思考题1.答:1)按阀的结构形式有:滑阀式㊁转阀式㊁球阀式㊁锥阀式㊂2)按阀的操纵方式有:手动式㊁机动式㊁电磁式㊁液动式㊁电液动式㊁气动式㊂3)按阀的工作位置数和控制的通道数有:二位二通阀㊁二位三通阀㊁二位四通阀㊁三位四通阀㊁三位五通阀等㊂2.答:1)当系统有卸荷要求时:应选用中位时油口P与T相互连通的形式,如H㊁K㊁M型㊂2)当系统有保压要求时:应选用中位时油口P口封闭的形式,如O㊁Y型等㊂3)当对执行元件换向精度要求较高时:应选用中位时油口A与B被封闭的形式,如O㊁M型㊂4)当对执行元件换向平稳性要求较高时:应选用中位时油口A㊁B与T口相互连通的形式,如H㊁Y㊁X型㊂5)当对执行元件起动平稳性要求较高时:应选用中位时油口A与B均不与T连通的形式,如O㊁C㊁P型㊂任务2㊀液压吊车锁紧控制回路设计一㊁填空题1.钢球式㊁锥阀式2.0.035~0.05㊁0.2~0.63.二通开关阀㊁保压阀4.普通㊀液控5.直通式㊀直角式二㊁判断题1.ɿ㊀2.ˑ㊀3.ˑ㊀4.ɿ㊀5.ˑ㊀6.ɿ㊀7.ɿ三㊁思考题1.答:安装在液压泵出口,防止系统压力突然升高而损坏液压泵㊂防止系统中的油液在泵停机时倒流回油箱;安装在回油路中作为背压阀;与其它阀组合成单向控制阀㊂2.答:对单向阀的主要性能要求是:油液向一个方向通过时压力损失要小;反向不通时密封性要好;动作灵敏,工作时无撞击和噪声㊂3.答:1)保持压力㊂2)用于液压缸的 支承 ㊂3)实现液压缸的锁紧㊂4)实现大流量排油㊂5)作为充油阀使用㊂6)组合成换向阀㊂模块四 压力控制阀任务1㊀半自动车床夹紧回路设计一㊁填空题1.油液压力㊀弹簧力2.直动式㊀先导式3.定值㊀定比㊀定差4.溢流稳压㊀限压保护㊀卸荷㊀远程调压㊀背压作用5.先导阀㊁主阀6.单级调压回路㊀远程调压回路㊀多级调压回路7.0.5㊀0.58.增压缸㊀增压器二㊁选择题1.B㊀2.C㊀3.C㊀4.C㊀5.B㊀6.C㊀7.A㊀8.B三㊁判断题1.ɿ㊀2.ɿ㊀3.ɿ㊀4.ˑ㊀5.ˑ㊀6.ɿ㊀7.ɿ㊀8.ˑ㊀9.ɿ㊀10.ɿ四㊁思考题1.答:当外负载趋于无穷大时,液压泵输出的全部流量,通过溢流阀溢回油箱㊂当二位二通阀断电时,因溢流阀外控口被堵死,泵出口压力决定于p1,即p1=5MPa㊂当二位二通阀通电时,溢流阀外控口被接通,泵出口压力决定于远程调压阀的最小调整压力,即p3=2MPa㊂2.答:当负载趋于无穷大时,泵输出的流量通过溢流阀回油箱㊂由于三个溢流阀串联在一起,各溢流阀进㊁出油口一一接通,所以泵的出口压力是三个溢流阀的调整压力之和㊂即p=p1+p2+p3=5MPa+3MPa+2MPa=10MPa3.答:YA断电,负载压力无穷大时的系统压力,此时先导式溢流阀外控口被堵死,当系统压力达到溢流阀的调整压力时,溢流阀进行溢流,所以无论负载多么大,系统压力都是溢流阀的调整压力,即系统压力为5MPa㊂YA断电,负载压力为3MPa时的系统压力由于没有达到溢流阀的调整压力5MPa,故溢流阀不溢流,则系统压力仍为3MPa㊂YA通电,负载压力为3MPa时的系统压力此时溢流阀外控口与油箱相通,泵在零压下卸荷,系统压力为零,因此系统压力不能达到负载压力的需要,执行元件不运动㊂任务2㊀切割装置回路设计一㊁填空题1.定压减压阀㊀定差减压阀㊀定比减压阀2.压力㊀接通㊀切断3.直控㊀液控4.液压缸(执行元件)㊀行程控制5.支路㊀串接6.压力㊀电二㊁选择题1.B㊀2.A㊀3.B㊀4.A㊀5.C三㊁判断题1.ɿ㊀2.ɿ㊀3.ɿ㊀4.ɿ㊀5.ˑ㊀6.ɿ㊀7.ɿ㊀8.ˑ㊀9.ɿ四㊁思考题1.答:荷回路的功用是指在液压泵驱动电动机不频繁启闭的情况下,使液压泵在功率输出接近于零的情况下运转,以减少功率损耗,降低系统发热,延长泵和电动机的寿命㊂因为液压泵的输出功率为其流量和压力的乘积,因而,两者任一近似为零,功率损耗即近似为零㊂3.进油路㊀回油路㊀旁油路4.同步阀㊀分流阀㊀集流阀㊀分流集流阀5.节流阀㊀调速阀㊀分流阀6.平衡㊀较小7.压力差㊀不稳定二㊁选择题1.C㊀2.B㊀3.A㊀4.A㊀5.C㊀6.C㊀7.B三㊁判断题1.ˑ㊀2.ˑ㊀3.ˑ㊀4.ˑ㊀5.ˑ㊀6.ɿ㊀7.ˑ㊀8.ɿ㊀9.ˑ㊀10.ɿ四㊁思考题1.答:(1)活塞运动速度v与节流阀的通流面积A成正比,即通流面积越大,则活塞运动速度越高㊂(2)由于油液经节流阀后才进入液压缸,故油温高㊁泄漏大;又由于没有背压,所以运动平稳性差㊂(3)因为液压缸的进油面积大,当通过节流阀的流量为最小稳定流量时,可使执行元件获得较低的运动速度,所以调速围大㊂(4)因启动时进入液压缸的流量受到节流阀的控制,故可减少启动时冲击㊂(5)液压泵在恒压恒流量下工作,输出功率不随执行元件的负载和速度的变化而变化,多余的油液经溢流阀流回油箱,造成功率浪费,故效率低㊂2.答:(1)因节流阀串联在回油路上,油液经节流阀流回油箱,可减少系统发热和泄漏,而节流阀又起背压作用,故运动平稳性较好㊂同时还具有承受负值负载的能力㊂(2)与进油路节流调速回路一样,也是将多余油液由溢流阀溢走,造成功率损失,故效率低㊂(3)停止后的启动冲击较大㊂任务2㊀半自动车床进给速度控制一㊁填空题1.串联减压式调速阀㊁溢流节流阀㊁普通调速阀㊁温度补偿调速阀2.定差减压阀㊁节流阀3.并联㊀定差溢流阀㊀并联4.相对较高㊀进油路节流5.平稳㊀前冲6.调速阀㊀能量损失㊀发热7.高压㊁小流量㊀低压㊁大流量二㊁判断题1.ɿ㊀2.ɿ㊀3.ˑ㊀4.ɿ㊀5.ˑ㊀6.ɿ㊀7.ˑ㊀8.ˑ㊀9.ɿ㊀10.ɿ三㊁思考题1.答:节流阀口不变时,当调速阀出口压力增加后,减压阀的开口减小,减少节流阀的进出流量,当调速阀的出口压力减小后,减压阀的开口渐渐变大,使得节流阀的进流量减模块六 液压系统分析与维护任务1㊀YA32-200型四柱万能液压机液压系统分析思考题1㊁答:(1)了解液压设备对液压系统的动作要求㊂(2)逐步浏览整个系统,了解系统(回路)由哪些元件组成,再以各个执行元件为中心,将系统分成若干个子系统㊂(3)对每一执行元件及其有关连的阀件等组成的子系统进行分析,并了解此子系统包含哪些基本回路㊂然后再根椐此执行元件的动作要求,参照电磁线圈的动作顺序表读懂此子系统㊂(4)根据液压没备中各执行元件间互锁㊁同步㊁防干扰等要求,分析各子系统之间的关系,并进一步读懂系统中是如何实现这些要求的㊂(5)全面读懂整个系统后,最后归纳总结整个系统有哪些特点㊂2.答:1)液压基本回路的确定是否符合主机的动作要求㊂2)各主油路之间㊁主油路与控制油路之间有无矛盾和干涉现象㊂3)液压元件的代用㊁变换和合并是否合理㊁可行㊂4)液压系统性能的改进方向㊂3.答:(1)有关液压元件的名称:1 变量泵(液压泵)2 液控换向阀3 液压缸4 电磁换向阀5 行程阀6 单向阀7 液控顺序阀8 单向阀滑台作快进时的运作过程和油路情况㊂当按下启动按钮,换向阀的电磁铁YA1通电,阀的左位接入系统,液控换向阀在控制压力油作用下,其左位也接入系统工作㊂因快进时系统压力较低,液控顺序未打开㊂这时的油路情况是:进油路:变量泵1ң阀8ң阀2左位ң阀5下位ң液压缸3左腔;回油路:液压缸3右腔ң阀2左位ң阀6ң阀5下位ң液压缸3左腔㊂这时,液压缸3左右两腔都通压力油,形成差动连接回路,滑台此时的负载较小,所以系统压力较低变量泵输出流量大,滑台向左快速前进㊂4.如图所示为某大型压力机的液压系统图,试对该系统进行分析并加以改进㊂答:(读者自行分析)任务2㊀SZ-250型塑料注射成型机液压系统分析与维护思考题1.(1)3 二位二通电磁换向阀,主油管快进和工进的换接㊂4 二位二通电磁换向阀,起卸荷作用㊂7 精滤油器,进一点过滤,确保调速阀工作可靠㊂10 压力继电器,在油压力降低到接近零时,发出一个电讯号,指挥下一步动作㊂(2)1YA2YA3YA4YA 快进+-++工进+--+快退-+-+停止----(3)进油路:滤油器6ң油泵1ң换向阀2ң油缸左腔回油路:右缸右腔ң换向阀ң精滤油器7ң调速阀8ң油箱2.(1)去掉阀7和去掉阀3(阀6作为背压阀不应去掉)(2)组成液压系统的基本回路:换向回路㊁调压回路㊁卸载回路㊁进油节流调速回路㊁速度换接回路3.1YA2YA3YA4YA 机械手原位+---手臂下降--+-手指夹紧-++-手臂上升-+--手腕逆转-+-+手臂下降-+++手指松开--++手臂下升---+手腕顺转----卸荷+---第二篇㊀气动技术模块七气动传动系统的认知任务1气动传动系统组成的认知一㊁填空题1.气动技术工作介质信号传递2.气源装置气动控制元件辅助元件3.压缩空气机械装置4.机械方式电气方式液压方式气动方式5.执行元件控制元件辅助元件6.压力机械气缸气动马达7.结构简单密封可靠易燃易爆8.直动式先导式9.压缩空气直线运动旋转运动摆动10.速度时间顺序行程二㊁选择题1.A2.C3.C三㊁判断题1.ˑ2.ɿ3.ˑ4.ɿ5.ˑ6.ɿ四㊁思考题1.简述气动技术的特点㊂答:1.工作介质是压缩空气,空气到处都有,用量不受限制,排气处理简单,不污染环境㊂2.压缩空气为快速流动的工作介质,故可获得较高的工作速度㊂3.全气动控制具有防火㊁防爆㊁耐潮的能力㊂4.气动装置结构简单㊁轻便㊁按装维护简单㊂5.输出力及工作速度调节方便,大小可无限变化㊂6.空气具有可压缩性,不易实现准确定位和速度控制㊂7.气缸输出的力能满足许多应用场合,但其输出的力较小,出力应限制在20KN~ 30KN之间㊂8.排气噪音较大,现在这个问题已因吸音材料和消音器的发展大部分获得解决㊂2.简述气动系统的组成㊂答:1.气源装置:气泵㊁气站㊁三联件等㊂主要是把空气压缩到原来体积的1/7左右形成压缩空气,并对压缩空气进行处理,最终可以向系统供应干净㊁干燥的压缩空气㊂2.执行元件:气缸㊁摆动缸㊁气马达等㊂利用压缩空气实现不同的动作,来驱动不同的机械装置㊂可以实现往复直线运动㊁旋转运动及摆动等㊂3.控制元件:换向阀㊁顺序阀㊁压力控制阀㊁调速阀等㊂气动控制元件有未级主控元Y=AB+A C+BC=AB+A C+BC(A+A)=AB+A C+ABC+ABC=AB(1+C)+A C(1+B)=AB+A C2)Y=ABC+ABC+ABC解:Y=ABC+ABC+ABC=ABC+ABC+ABC+ABC=BC(A+A)+AC(B+B)=BC+AC2.解:Y=ABC+ACB+ABC+AB C=AB(C+C)+AB(C+C)=AB+AB=A(B+B)=A五㊁思考题:1.(提示:在A1㊁A2处分别设置一行程阀,其中A1处的行程阀控制一压力控制阀, A2处的行程阀控制一延时控制阀,而这两个控制阀的输出信号都控制主控阀以使活塞杆退回㊂)模块九 双缸控制回路设计任务1㊀检测装置系统回路设计一、填空题1.生产工艺流程㊀执行元件㊀动作顺序㊀程序框图2.方框㊀动作㊀行程3.B缸活塞杆伸出㊀B缸活塞杆缩回4.行程信号器(行程阀)㊀输出的信号5.B缸活塞杆伸出到行程终端触发行程阀b1,发出信号b16.行程阀b1发出控制信号,A缸活塞杆收回7.该动作的状态线㊀行程控制信号线8.信号 动作状态图㊀信号㊀动作9.一个行程㊀换向线10.直接控制㊀记忆控制㊀程序控制任务2玻璃抓取机械手真空元件的选择一㊁填空题1.吸力的大小真空度的大小2.公称直径有效直径3.F=π4D2eΔP V吸盘的有效直径真空度4.安全系数吸盘数量5.真空度有效吸着面积6.供给阀(或真空切换阀)真空度的时间7.泄漏量8.0.5mm过滤器油雾分离器二㊁选择题1.A2.B3.B4.C5.B6.A7.A8.C三㊁判断题1.ˑ2.ɿ3.ˑ4.ˑ5.ɿ6.ɿ7.ˑ8.ˑ9.ɿ10.ˑ四㊁思考题1.如何选择吸盘?答:吸盘的理论吸吊力是吸盘内真空度P与吸盘的有效吸着面积A的乘积㊂吸盘的实际吸吊力应考虑被吸吊工件的重量及搬运过程中的运动如速度,还应给足够的余量,以保证吸吊的安全㊂搬运过程中的运动加速度,应考虑启动加速度㊁停止加速度㊁平移加速度和转动加速度(包括播晃)㊂特别是面积大的板状物的吸吊,不应忽视在搬运过程中会受到很大的风阻㊂对面积大的吸吊物㊁重的吸吊物㊁有振动的吸吊物,或要求快速搬运的吸吊物㊁为防止被吊物的脱落,通常使用多个吸盘进行吸吊㊂这些吸盘应合理配置,以使吸吊合力作用点与被吸吊重物的重心尽量靠近㊂2.真空发生器及真空切换阀如何选择?答:(1)吸附响应时间吸附响应时间是指从供给阀(或真空切换阀)换向开始,使吸盘内到达吸附工件所必需真空度的时间㊂(2)工件吸附时的泄漏量吸附透气性工件(如纸张㊁表面粗糙的工件等),由于吸盘内从大气吸入流量,吸盘内的真空度有可能达不到吸着工件所必需的真空度,故在选定真空发生器(或真空切换阀)时,必须考虑吸着工件的泄漏量㊂(3)真空发生器及真空切换阀的确定按无漏气量和有漏气量分别计算确定选择㊂模块十一 气动传动系统分析与维护任务1㊀颜料调色振动机气动系统分析一㊁填空题1.初始状态㊀工作状态㊀控制路线2.管子㊀管接头㊀硬管㊀软管㊀硬管㊀软管二㊁思考题1.答:1)在分析气动系统图时应当仔细研究各元件之间的联系,掌握各个元件的性能和在系统中的作用㊂2)分析系统图时,要弄清各个元件的初始状态和工作状态以及压缩空气的控制路线㊂3)在分析系统时,还必须对系统的控制要求的合理性提出一定的意见,并能对一些元器件能进行代用和替换㊂4)分析系统后可以提出对系统进行完善㊁改进的一些合理的建议和方案㊂2.如按下启动按钮,双气控阀1.10输出压缩空气使得主控阀1.1左位按入系统,压缩空气同时进入缸1.0/1的左腔及缸1.0/2的右腔,使得缸1.0/1的活塞杆前伸和缸1.0/2的活塞杆后退㊂当缸1.0/1的活塞杆压下行程阀1.3,压缩空气进入延时阀1.5,延时一段时间后,阀1.5输出压缩空气使得主控阀1.1右位接入系统,压缩空气同进进入缸1.0/1的右腔及缸1.0/2的左腔,使得缸1.0/1的活塞后退和缸1.0/2的活塞杆前伸到如图所示的初始位置;当缸1.0/1的活塞杆压下行程阀1.2后延时阀1.8延时一段时间后,双压阀1.10才有压缩空气输出,使得主控阀1.1.左位按入系统㊂如此循环,直到按下停止按钮任务2㊀压印装置控制系统维护与故障诊断一㊁填空题1.经常性㊀定期性2.冷凝水排放㊀检查润滑油3.每日㊀每周㊀外部4.清洁干燥㊀密封性㊀油雾器㊀气压5.实际经验㊀简单的仪表㊀故障原因6.逻辑推理㊀步步逼近7.初期故障㊀突发故障㊀老化故障8.一周㊀同一㊀滴油量9.每天㊀每周㊀每月10.简㊀繁㊀易㊀难㊀不可能的㊀非主要的11.望㊀闻㊀问㊀切二㊁判断题1.ɿ㊀2.ˑ㊀3.ɿ㊀4.ˑ㊀5.ˑ㊀6.ɿ㊀7.ɿ㊀8.ˑ㊀9.ɿ㊀10.ˑ㊀11.ˑ㊀12.ˑ㊀13.ɿ㊀14.ɿ㊀15.ɿ三㊁思考题1.答:日常维护的主要内容是:冷凝水排放㊁检查润滑油和空压机系统的管理㊂冷凝水排放及整个气动系统,从空压机㊁后冷却器㊁气罐㊁管道系统直到各处空气过滤器㊁干燥器和自动排水器等㊂在每天工作结束后,应将各处冷凝水排一言堂掉,以防夜间温度低于0ħ,导致冷凝水结冰㊂在气动装置运转时,每天应检查一次油雾器的滴油量是否符合要求,油色是否正常,即油中不要混入灰尘和水分等㊂空压机系统的日常管理工作是:是否向后冷却器供给冷却水,空压机有否异常声音和异常发热,润滑油位是否正常㊂2.答:从故障的症状,推理出故障的真正原因,可按下面三步进行㊂1)从故障的症状,推理出故障的本质原因㊂2)从故障的本质原因,推理出故障的本质原因㊂3)从各种可能的常见的原因中,推理出故障的真实原因㊂3.故障种类有哪些?各有什么特点?答:由于故障发生的时期不同,故障的内容和原因也不同㊂因此,可将故障分为初期故障㊁突发故障和老化故障㊂初期故障:调试阶段和开始运转的二㊁三个月内发生的故障称为初期故障㊂其产生有原因主要有零件毛刺没有清除干净,装配不合理或误差较大,零件制造误差或设计不当所造成的㊂突发故障:系统在稳定运行时期内突然发生的故障称为突发故障㊂突发故障是无法预测的,只能采取安全保护措施加以防范,或准备一引起易损备件,以便及时更换失效的元件㊂老化故障:个别或少数元件达到使用寿命后发生的故障称为老化故障㊂4.略(提示:从两个气缸开始逐级往下分析每个元件是否有故障㊂)5.(提示:1)编号由读者自行完成2)当按下启动按钮后A缸伸出ңB缸伸出ңB缸退回ңA缸退回㊂)综合测试卷一答案一㊁判断题1.ˑ㊀2.ɿ㊀3.ˑ㊀4.ɿ㊀5.ɿ㊀6.ˑ㊀7.ɿ㊀8.ˑ㊀9.ˑ㊀10.ɿ二㊁选择题1.B㊀2.B㊀3.C㊀4.C㊀5.B㊀6.B㊀7.B㊀8.B㊀9.C㊀10.A㊀11.A㊀12.C三㊁填空题1.流量㊀压力㊀功率2.密封容积的变化㊀油液内部的压力3.活塞两侧有效作用面积差㊀单出杆液压缸4.吸油和压油㊀偏心距㊀偏心方向㊀输油量㊀输油方向5.间隙密封㊀密封圈密封6.空气㊀节能㊁高效㊁价廉㊁无污染7.气 液阻尼㊀压缩空气㊀油液㊀气压和液压四㊁问答题(1)静压传递原理㊀传递性(2)>(3)三(4)动力元件㊀执行元件㊀控制元件㊀辅助元件㊀传动介质(5)4㊀7(6)1㊁2㊁3㊁4㊁5㊁6㊁7(7)不能(8)错五㊁计算题1.1)G=12kN2)p1=p2=106Pa2.1)v=0.038m/s㊀水平向右2)q排=6ˑ10-4m3/s六㊁综合题1)㊀㊀㊀㊀㊀㊀电磁铁动作㊀㊀㊀㊀㊀㊀㊀1YA2YA3YA4YA DP 快进+-+--一工进+----二工进+--+-快退-+--+停止泵卸荷-----2)V=q A1-A2㊀㊀p=F A1-A23)换向回路,闭锁回路 三位四通换向阀调压回路 溢流阀卸荷回路 二位二通电磁阀回油节流调速回路 节流阀速度换接回路 二位三通电磁阀㊁节流阀㊁二位二通电磁阀综合测试卷二答案一㊁填空题1.油液㊀密封容积㊀液体内部压力2.机械能㊀液压能3.换向阀㊀气缸4.缸体㊀3㊀活塞杆㊀25.执行元件㊀控制元件㊀辅助元件6.0.167ˑ104㊀106㊀107.节流阀㊀减压阀8.流速㊀流速㊀流速㊀v㊀A9.空气过滤器㊀油雾器10.液体㊀处处相等二㊁选择题1.D㊀2.A㊀3.A㊀4.D㊀5.A㊀6.C㊀7.C㊀8.B三㊁判断题1.ˑ㊀2.ɿ㊀3.ɿ㊀4.ɿ㊀5.ˑ㊀6.ˑ㊀7.ˑ㊀8.ɿ㊀9.ɿ㊀10.ˑ四㊁计算题1.解:v1=4q1π(d22-d21)=4ˑ256ˑ104πˑ(0.0082-0.032)=0.097(m/s)v2=4q2πd24=4ˑv1ˑπd224πˑ0.0025=0.248(m/s)q2=v2ˑπ(d24-d23)4=0.248ˑ3.14ˑ(0.0025-0.0001)4=0.00047(m3/s)答:v1为0.097m/s,v为0.2482m/s,q2为0.00047m3/s㊂2.解:(1)p1=p2=G/A=10ˑ105Pa,(2)F=p1ˑ(A1-A2)=3000N,向有杆腔方向运动答:略五㊁综合题1.㊀㊀㊀㊀㊀㊀㊀电磁铁动作㊀㊀㊀㊀㊀㊀㊀㊀YA1YA2YA3YA4YA5 A夹紧---+-B快进+-++-B工进+--+-B快退-+-+-B停止---+-A松开-----停止泵卸荷----+2.切削缸B工进:进油路:1ң3ң6(左)ңB(左腔)回油路:B(左腔)ң10(左)ң9ң6(左)ң油箱综合测试卷三答案一㊁判断题1.ˑ㊀2.ˑ㊀3.ɿ㊀4.ˑ㊀5.ˑ㊀6.ɿ㊀7.ˑ㊀8.ɿ㊀9.ˑ㊀10.ɿ二㊁选择题1.C㊀2.D㊀3.B㊀4.B㊀5.C㊀6.C㊀7.D㊀8.C㊀9.C㊀10.B三㊁填空题1.动力元件㊀执行元件㊀控制元件㊀辅助元件㊀传动介质2.压力㊀流量3.回油阻力㊀运动速度㊀对端盖的撞击4. M5.液压泵㊀执行元件6.黏性㊀可压缩性㊀湿度7.加压㊀差压8.工作压力㊀流量四㊁名词解释1.活塞两腔同时通压力油,利用活塞两端面积差进行工作的单出杆液压缸也叫差动液压缸㊂2.三位换向阀的阀芯处于中间位置时,其油口间的通路有各种不同的联结方式,以适应各种不同的工作要求㊂这种常态时的内部通路形式称为滑阀机能㊂五㊁计算题1.1)p=18ˑ105Pa2)H=7.5ˑ10-3m2.1)p A=50ˑ105Pa㊀p B=20ˑ105Pa㊀p C=20ˑ105Pa2)p A=15ˑ105Pa㊀p B=15ˑ105Pa㊀p C=20ˑ105Pa六㊁综合题1)㊀㊀㊀㊀㊀㊀㊀㊀电磁铁1YA2YA3YA4YA动作㊀㊀㊀㊀㊀㊀㊀㊀㊀快进+-++工进+--+快退-+-+停止泵卸荷----。
(完整版)液压与⽓压传动课后习题答案《液压与⽓压传动》习题解答第1章液压传动概述1、何谓液压传动?液压传动有哪两个⼯作特性?答:液压传动是以液体为⼯作介质,把原动机的机械能转化为液体的压⼒能,通过控制元件将具有压⼒能的液体送到执⾏机构,由执⾏机构驱动负载实现所需的运动和动⼒,把液体的压⼒能再转变为⼯作机构所需的机械能,也就是说利⽤受压液体来传递运动和动⼒。
液压传动的⼯作特性是液压系统的⼯作压⼒取决于负载,液压缸的运动速度取决于流量。
2、液压传动系统有哪些主要组成部分?各部分的功⽤是什么?答:⑴动⼒装置:泵,将机械能转换成液体压⼒能的装置。
⑵执⾏装置:缸或马达,将液体压⼒能转换成机械能的装置。
⑶控制装置:阀,对液体的压⼒、流量和流动⽅向进⾏控制和调节的装置。
⑷辅助装置:对⼯作介质起到容纳、净化、润滑、消声和实现元件间连接等作⽤的装置。
⑸传动介质:液压油,传递能量。
3、液压传动与机械传动、电⽓传动相⽐有哪些优缺点?答:液压传动的优点:⑴输出⼒⼤,定位精度⾼、传动平稳,使⽤寿命长。
⑵容易实现⽆级调速,调速⽅便且调速范围⼤。
⑶容易实现过载保护和⾃动控制。
⑷机构简化和操作简单。
液压传动的缺点:⑴传动效率低,对温度变化敏感,实现定⽐传动困难。
⑵出现故障不易诊断。
⑶液压元件制造精度⾼,⑷油液易泄漏。
第2章液压传动的基础知识1、选⽤液压油有哪些基本要求?为保证液压系统正常运⾏,选⽤液压油要考虑哪些⽅⾯?答:选⽤液压油的基本要求:⑴粘温特性好,压缩性要⼩。
⑵润滑性能好,防锈、耐腐蚀性能好。
⑶抗泡沫、抗乳化性好。
⑷抗燃性能好。
选⽤液压油时考虑以下⼏个⽅⾯,⑴按⼯作机的类型选⽤。
⑵按液压泵的类型选⽤。
⑶按液压系统⼯作压⼒选⽤。
⑷考虑液压系统的环境温度。
⑸考虑液压系统的运动速度。
⑹选择合适的液压油品种。
2、油液污染有何危害?应采取哪些措施防⽌油液污染?答:液压系统中污染物主要有固体颗粒、⽔、空⽓、化学物质、微⽣物等杂物。