第二章__随机变量及其概率分布_考试模拟题答案
- 格式:doc
- 大小:708.50 KB
- 文档页数:9
第一章 随机事件及其概率练习: 1. 判断正误(1)必然事件在一次试验中一定发生,小概率事件在一次试验中一定不发生。
(B )(2)事件的发生与否取决于它所包含的全部样本点是否同时出现。
(B )(3)事件的对立与互不相容是等价的。
(B ) (4)若()0,P A = 则A =∅。
(B )(5)()0.4,()0.5,()0.2P A P B P AB ===若则。
(B ) (6)A,B,C 三个事件至少发生两个可表示为AB BC AC ⋃⋃(A ) (7)考察有两个孩子的家庭孩子的性别,{()Ω=两个男孩(,两个女孩),(一个男孩,}一个女孩),则P{}1=3两个女孩。
(B )(8)若P(A)P(B)≤,则⊂A B 。
(B ) (9)n 个事件若满足,,()()()i j i j i j P A A P A P A ∀=,则n 个事件相互独立。
(B )(10)只有当A B ⊂时,有P(B-A)=P(B)-P(A)。
(A ) 2. 选择题(1)设A, B 两事件满足P(AB)=0,则©A. A 与B 互斥B. AB 是不可能事件C. AB 未必是不可能事件D. P(A)=0 或 P(B)=0 (2)设A, B 为两事件,则P(A-B)等于(C)A. P(A)-P(B)B. P(A)-P(B)+P(AB)C. P(A)-P(AB)D. P(A)+P(B)-P(AB) (3)以A 表示事件“甲种产品畅销,乙种产品滞销”,则其对立事件A 为(D)A. “甲种产品滞销,乙种产品畅销”B. “甲乙两种产品均畅销”C. “甲种产品滞销”D. “甲种产品滞销或乙种产品畅销”(4)若A, B 为两随机事件,且B A ⊂,则下列式子正确的是(A) A. P(A ∪B)=P(A) B. P(AB)=P(A) C. P(B|A)=P(B) D. P(B-A)=P(B)-P(A) (5)设(),(),()P A B a P A b P B c ⋃===,则()P AB 等于(B)A. ()a c c + B . 1a c +-C.a b c +- D. (1)b c -(6)假设事件A 和B 满足P(B|A)=1, 则(B)A. A 是必然事件 B . (|)0P B A = C. A B ⊃ D. A B ⊂ (7)设0<P(A)<1,0<P(B)<1, (|)(|)1P A B P A B += 则(D)A. 事件A, B 互不相容B. 事件A 和B 互相对立C. 事件A, B 互不独立 D . 事件A, B 互相独立8.,,.,,.D ,,.,,.,,1419.(),(),(),(),()37514131433.,.,.,.,37351535105A B A AB A B B AB A B C AB A B D AB A B P B A P B A P AB P A P B A B C φφφφ≠=≠====对于任意两个事件必有(C )若则一定独立;若则一定独立;若则有可能独立;若则一定不独立;已知则的值分别为:(D)三解答题1.(),(),(),(),(),(),().P A p P B q P AB r P A B P AB P A B P AB ===设求下列事件的概率:解:由德摩根律有____()()1()1;P A B P AB P AB r ⋃==-=-()()()();P AB P B AB P B P AB q r =-=-=-()()()()(1)()1;P A B P A P B P AB p q q r r p ⋃=+-=-+--=+-________()()1[()()()]1().P AB P A B P A P B P AB p q r =⋃=-+-=-+-2.甲乙两人独立地对同一目标射击一次,命中率分别是0.6和0.5,现已知目标被命中,求它是甲射击命中的概率。
第二章随机变量及其分布2.1 随机变量习题1随机变量的特征是什么?解答:①随机变量是定义在样本空间上的一个实值函数.②随机变量的取值是随机的,事先或试验前不知道取哪个值.③随机变量取特定值的概率大小是确定的.习题2试述随机变量的分类.解答:①若随机变量X的所有可能取值能够一一列举出来,则称X为离散型随机变量;否则称为非离散型随机变量.②若X的可能值不能一一列出,但可在一段连续区间上取值,则称X为连续型随机变量.习题3盒中装有大小相同的球10个,编号为0,1,2,⋯,9,从中任取1个,观察号码是“小于5”,“等于5”,“大于5”的情况,试定义一个随机变量来表达上述随机试验结果,并写出该随机变量取每一个特定值的概率.解答:分别用ω1,ω2,ω3表示试验的三个结果“小于5”,“等于5”,“大于5”,则样本空间S={ω1,ω2,ω3},定义随机变量X如下:X=X(ω)={0,ω=ω11,ω=ω2,2,ω=ω3则X取每个值的概率为P{X=0}=P{取出球的号码小于5}=5/10,P{X=1}=P{取出球的号码等于5}=1/10,P{X=2}=P{取出球的号码大于5}=4/10.2.2 离散型随机变量及其概率分布习题1设随机变量X服从参数为λ的泊松分布,且P{X=1}=P{X=2},求λ.解答:由P{X=1}=P{X=2},得λe-λ=λ22e-λ,解得λ=2.习题2设随机变量X的分布律为P{X=k}=k15,k=1,2,3,4,5,试求(1)P{12<X<52;(2)P{1≤X≤3};(3)P{X>3}.解答:(1)P{12<X<52=P{X=1}+P{X=2}=115+215=15;(2)P{≤X≤3}=P{X=1}+P{X=2}+P{X=3}=115+215+315=25;(3)P{X>3}=P{X=4}+P{X=5}=415+515=35.习题3已知随机变量X只能取-1,0,1,2四个值,相应概率依次为12c,34c,58c,716c,试确定常数c,并计算P{X<1∣X≠0}.解答:依题意知,12c+34c+58c+716c=1,即3716c=1,解得c=3716=2.3125.由条件概率知P{X<1∣X≠0}=P{X<1,X≠0}P{X≠0}=P{X=-1}P{X≠0}=12c1-34c=24c-3=26.25=0.32.习题4一袋中装有5只球,编号为1,2,3,4,5.在袋中同时取3只,以X表示取出的3只球中的最大号码,写出随机变量X的分布律.解答:随机变量X的可能取值为3,4,5.P{X=3}=C22⋅1C53=110,P{X=4}=C32⋅1C53=310,P{X=5}=C42⋅1C53=35,所以X的分布律为(1)X的概率分布;(2)P{X≥5};(3)在两次调整之间能以0.6的概率保证生产的合格品数不少于多少?解答:(1)P{X=k}=(1-p)kp=(0.9)k×0.1,k=0,1,2,⋯;(2)P{X≥5}=∑k=5∞P{X=k}=∑k=5∞(0.9)k×0.1=(0.9)5;(3)设以0.6的概率保证在两次调整之间生产的合格品不少于m件,则m应满足P{X≥m}=0.6,即P{X≤m-1}=0.4. 由于P{X≤m-1}=∑k=0m-1(0.9)k(0.1)=1-(0.9)m,故上式化为1-0.9m=0.4,解上式得m≈4.85≈5,因此,以0.6的概率保证在两次调整之间的合格品数不少于5.习题7设某运动员投篮命中的概率为0.6,求他一次投篮时,投篮命中的概率分布.解答:此运动员一次投篮的投中次数是一个随机变量,设为X,它可能的值只有两个,即0和1. X=0表示未投中,其概率为p1=P{X=0}=1-0.6=0.4,X=1表示投中一次,其概率为p2=P{X=1}=0.6.则随机变量的分布律为由于每次取出的产品仍放回去,各次抽取相互独立,下次抽取时情况与前一次抽取时完全相同,所以X的可能取值是所有正整数1,2,⋯,k,⋯.设第k次才取到正品(前k-1次都取到次品),则随机变量X的分布律为P{X=k}=310×310×⋯×310×710=(310)k-1×710,k=1,2,⋯.习题10设随机变量X∼b(2,p),Y∼b(3,p),若P{X≥1}=59,求P{Y≥1}.解答:因为X∼b(2,p),P{X=0}=(1-p)2=1-P{X≥1}=1-5/9=4/9,所以p=1/3.因为Y∼b(3,p),所以P{Y≥1}=1-P{Y=0}=1-(2/3)3=19/27.习题11纺织厂女工照顾800个纺绽,每一纺锭在某一段时间τ内断头的概率为0.005,在τ这段时间内断头次数不大于2的概率.解答:以X记纺锭断头数,n=800,p=0.005,np=4,应用泊松定理,所求概率为:P{0≤X≤2}=P{⋃0≤xi≤2{X=xi}=∑k=02b(k;800,0.005)≈∑k=02P(k;4)=e-4(1+41!+422!)≈0.2381.习题12设书籍上每页的印刷错误的个数X服从泊松分布,经统计发现在某本书上,有一个印刷错误与有两个印刷错误的页数相同,求任意检验4页,每页上都没有印刷错误的概率.解答:\becauseP{X=1}=P{X=2},即λ11!e-λ=λ22!e-λ⇒λ=2,∴P{X=0}=e-2,∴p=(e-2)4=e-8.2.3 随机变量的分布函数习题1F(X)={0,x<-20.4,-2≤x<01,x≥0,是随机变量X的分布函数,则X是___________型的随机变量. 解答:离散.由于F(x)是一个阶梯函数,故知X是一个离散型随机变量.习题2设F(x)={0x<0x20≤1,1x≥1问F(x)是否为某随机变量的分布函数.解答:首先,因为0≤F(x)≤1,∀x∈(-∞,+∞).其次,F(x)单调不减且右连续,即F(0+0)=F(0)=0,F(1+0)=F(1)=1,且F(-∞)=0,F(+∞)=1,所以F(x)是随机变量的分布函数.习题3已知离散型随机变量X的概率分布为P{X=1}=0.3,P{X=3}=0.5,P{X=5}=0.2,试写出X的分布函数F(x),并画出图形.解答:由题意知X的分布律为:试求:(1)系数A与B;(2)X落在(-1,1]内的概率.解答:(1)由于F(-∞)=0,F(+∞)=1,可知{A+B(-π2)A+B(π2)=1=0⇒A=12,B=1π,于是F(x)=12+1πarctanx,-∞<x<+∞;(2)P{-1<X≤1}=F(1)-F(-1)=(12+1πarctan1)-[12+1πarctanx(-1)]=12+1π⋅π4-12-1π(-π4)=12.习题7在区间[0,a]上任意投掷一个质点,以X表示这个质点的坐标.设这个质点落在[0,a]中任意小区间内的概率与这个小区间的长度成正比例,试求X的分布函数.解答:F(x)=P{X≤x}={0,x<0xa,0≤x<a.1,x≥a2.4 连续型随机变量及其概率密度习题1设随机变量X的概率密度为f(x)=12πe-(x+3)24(-∞<x<+∞),则Y=¯∼N(0,1).解答:应填3+X2.由正态分布的概率密度知μ=-3,σ=2由Y=X-μσ∼N(0,1),所以Y=3+X2∼N(0,1).习题2已知X∼f(x)={2x,0<x<10,其它,求P{X≤0.5};P{X=0.5};F(x).解答:P{X≤0.5}=∫-∞0.5f(x)dx=∫-∞00dx+∫00.52xdx=x2∣00.5=0.25,P{X=0.5}=P{X≤0.5}-P{X<0.5}=∫-∞0.5f(x)dx-∫-∞0.5f(x)dx=0.当X≤0时,F(x)=0;当0<x<1时,F(x)=∫-∞xf(t)dt=∫-∞00dt+∫0x2tdt=t2∣0x=x2;当X≥1时,F(x)=∫-∞xf(t)dt=∫-∞00dt+∫0x2tdt+∫1x0dt=t2∣01=1,故F(x)={0,x≤0x2,0<x<1.1,x≥1习题3设连续型随机变量X的分布函数为F(x)={A+Be-2x,x>00,x≤0,试求:(1)A,B的值;(2)P{-1<X<1};(3)概率密度函数F(x).解答:(1)\becauseF(+∞)=limx→+∞(A+Be-2x)=1,∴A=1;又\becauselimx→0+(A+Be-2x)=F(0)=0,∴B=-1.(2)P{-1<X<1}=F(1)-F(-1)=1-e-2.(3)f(x)=F′(x)={2e-x,x>00,x≤0.习题4服从拉普拉斯分布的随机变量X的概率密度f(x)=Ae-∣x∣,求系数A及分布函数F(x).解答:由概率密度函数的性质知,∫-∞+∞f(x)dx=1,即∫-∞+∞Ae-∣x∣dx=1,而∫-∞+∞Ae-∣x∣dx=∫-∞0Aexdx+∫0+∞Ae-xdx=Aex∣-∞0+(-Ae-x∣0+∞)=A+A=2A或∫-∞+∞Ae-xdx=2∫0+∞Ae-xdx=-2Ae-x∣0+∞=2A,所以2A=1,即A=1/2.从而f(x)=12e-∣x∣,-∞<x<+∞,又因为F(x)=∫-∞xf(t)dt,所以当x<0时,F(x)=∫-∞x12e-∣t∣dt=12∫-∞xetdt=12et∣-∞x=12ex;当x≥0时,F(x)=∫-∞x12e-∣x∣dt=∫-∞012etdt+∫0x12e-tdt=12et∣-∞0-12e-t∣0x=12-12e-x+12=1-12e-x,从而F(x)={12ex,x<01-12e-x,x≥0.习题5某型号电子管,其寿命(以小时计)为一随机变量,概率密度f(x)={100x2,x≥1000,其它,某一电子管的使用寿命为X,则三个电子管使用150小时都不需要更换的概率.解答:设电子管的使用寿命为X,则电子管使用150小时以上的概率为P{X>150}=∫150+∞f(x)dx=∫150+∞100x2dx=-100x∣150+∞=100150=23,从而三个电子管在使用150小时以上不需要更换的概率为p=(2/3)3=8/27.习题6设一个汽车站上,某路公共汽车每5分钟有一辆车到达,设乘客在5分钟内任一时间到达是等可能的,试计算在车站候车的10位乘客中只有1位等待时间超过4分钟的概率.解答:设X为每位乘客的候车时间,则X服从[0,5]上的均匀分布. 设Y表示车站上10位乘客中等待时间超过4分钟的人数. 由于每人到达时间是相互独立的.这是10重伯努力概型. Y服从二项分布,其参数n=10,p=P{X≥4}=15=0.2,所以P{Y=1}=C101×0.2×0.89≈0.268.习题7设X∼N(3,22).(1)确定C,使得P{X>c}=P{X≤c};(2)设d满足P{X>d}≥0.9,问d至多为多少?解答:因为X∼N(3,22),所以X-32=Z∼N(0,1).(1)欲使P{X>c}=P{X≤c},必有1-P{X≤c}=P{X≤c},即P{X≤c}=1/2,亦即Φ(c-32)=12,所以c-3=0,故c=3.(2)由P{X>d}≥0.9可得1-P{X≤d}≥0.9,即P{X≤d}≤0.1.于是Φ(d-32)≤0.1,Φ(3-d2)≥0.9.查表得3-d2≥1.282,所以d≤0.436.习题8设测量误差X∼N(0,102),先进行100次独立测量,求误差的绝对值超过19.6的次数不小于3的概率.解答:先求任意误差的绝对值超过19.6的概率p,p=P{∣X∣>19.6}=1-P{∣X∣≤19.6}=1-P{∣X10∣≤1.96=1-[Φ(1.96)-Φ(-1.96)]=1-[2Φ(1.96)-1]=1-[2×0.975-1]=1-0.95=0.05.设Y为100次测量中误差绝对值超过19.6的次数,则Y∼b(100,0.05).因为n很大,p很小,可用泊松分布近似,np=5=λ,所以P{Y≥3}≈1-50e-50!-51e-51!-52e-52!=1-3722-5≈0.87.习题9某玩具厂装配车间准备实行计件超产奖,为此需对生产定额作出规定. 根据以往记录,各工人每月装配产品数服从正态分布N(4000,3600).假定车间主任希望10%的工人获得超产奖,求:工人每月需完成多少件产品才能获奖?解答:用X表示工人每月需装配的产品数,则X∼N(4000,3600).设工人每月需完成x件产品才能获奖,依题意得P{X≥x}=0.1,即1-P{X<x}=0.1,所以1-F(x)=0.1,即1-Φ(x-400060)=0.1,所以Φ(x-400060)=0.9.查标准正态人分布表得Φ(1.28)=0.8997,因此x-400060≈1.28,即x=4077件,就是说,想获超产奖的工人,每月必须装配4077件以上.习题10某地区18岁女青年的血压(收缩压,以mm-HG计)服从N(110,122).在该地区任选一18岁女青年,测量她的血压X.(1)求P{X≤105},P{100<X≤120};(2)确定最小的x,使P{X>x}≤0.005.解答:已知血压X∼N(110,122).(1)P{X≤105}=P{X-11012≤-512≈1-Φ(0.42)=0.3372,P{100<X≤120}=Φ(120-11012)-Φ(100-11012)=Φ(0.833)-Φ(-0.833)=2Φ(0.833)-1≈0.595.(2)使P{X>x}≤0.05,求x,即1-P{X≤x}≤0.05,亦即Φ(x-11012)≥0.95,查表得x-10012≥1.645,从而x≥129.74.习题11设某城市男子身高X∼N(170,36),问应如何选择公共汽车车门的高度使男子与车门碰头的机会小于0.01.解答:X∼N(170,36),则X-1706∼N(0,1).设公共汽车门的高度为xcm,由题意P{X>x}<0.01,而P{X>x}=1-P{X≤x}=1-Φ(x-1706)<0.01,即Φ(x-1706)>0.99,查标准正态表得x-1706>2.33,故x>183.98cm.因此,车门的高度超过183.98cm时,男子与车门碰头的机会小于0.01.习题12某人去火车站乘车,有两条路可以走. 第一条路程较短,但交通拥挤,所需时间(单位:分钟)服从正态分布N(40,102);第二条路程较长,但意外阻塞较少,所需时间服从正态分布N(50,42),求:(1)若动身时离开车时间只有60分钟,应走哪一条路线?(2)若动身时离开车时间只有45分钟,应走哪一条路线?解答:设X,Y分别为该人走第一、二条路到达火车站所用时间,则X∼N(40,102),Y∼N(50,42).哪一条路线在开车之前到达火车站的可能性大就走哪一条路线.(1)因为P{X<60}=Φ(60-4010)=Φ(2)=0.97725,P{Y<60}=Φ(60-504)=Φ(2.5)=0.99379,所以有60分钟时应走第二条路.(2)因为P{X<45}=Φ(45-4010)=Φ(0.5)=0.6915,P{X<45}=Φ(45-504)=Φ(-1.25)=1-Φ(1.25)=1-0.8925=0.1075所以只有45分钟应走第一条路.2.5 随机变量函数的分布习题1已知X的概率分布为Y-101P2*******习题3设随机变量X服从[a,b]上的均匀分布,令Y=cX+d(c≠0),试求随机变量Y的密度函数. 解答:fY(y)={fX(y-dc)⋅1∣c∣,a≤y-dc≤b0,其它,当c>0时,fY(y)={1c(b-a),ca+d≤y≤cb+d0,其它,当c<0时,fY(y)={-1c(b-a),cb+d≤y≤ca+d0,其它.习题4设随机变量X服从[0,1]上的均匀分布,求随机变量函数Y=eX的概率密度fY(y).解答:f(x)={1,0≤x≤10,其它,f=ex,x∈(0,1)是单调可导函数,y∈(1,e),其反函数为x=lny,可得f(x)={fX(lny)∣ln′y,1<y<e0,其它={1y,1<y<e0,其它.习题5设X∼N(0,1),求Y=2X2+1的概率密度.解答:因y=2x2+1是非单调函数,故用分布函数法先求FY(y).FY(y)=P{Y≤y}=P{2X2+1≤y}(当y>1时)=P{-y-12≤X≤y-12=∫-y-12y-1212πe-x2dx,所以fY(y)=F′Y(y)=22πe-12⋅y-12⋅122y-1,y>1,于是fY(y)={12π(y-1)e-y-14,y>10,y≤1.习题6设连续型随机变量X的概率密度为f(x),分布函数为F(x),求下列随机变量Y的概率密度:(1)Y=1X;(2)Y=∣X∣.解答:(1)FY(y)=P{Y≤y}=P{1/X≤y}.①当y>0时,FY(y)=P{1/X≤0}+P{0<1/X≤y}=P{X≤0}+P{X≥1/y}=F(0)+1-F(1/y),故这时fY(y)=[-F(1y)]′=1y2f(1y);;②当y<0时,FY(y)=P{1/y≤X<0}=F(0)-F(1/y),故这时fY(y)=1y2f(1y);③当y=0时,FY(y)=P{1/X≤0}=P{X<0}=F(0),故这时取fY(0)=0,综上所述fY(y)={1y2⋅f(1y),y≠00,y=0.(2)FY(y)=P{Y≤y}=P{∣X∣≤y}.①当y>0时,FY(y)=P{-y≤X≤y}=F(y)-F(-y)这时fY(y)=f(y)+f(-y);②当y<0时,FY(y)=P{∅}=0,这时fY(y)=0;③当y=0时,FY(y)=P{Y≤0}=P{∣X∣≤0}=P{X=0}=0,故这时取FY(y)=0,综上所述fY(y)={f(y)+f(-y),y>00,y≤0.习题7某物体的温度T(∘F)是一个随机变量, 且有T∼N(98.6,2),已知θ=5(T-32)/9,试求θ(∘F)的概率密度.解答:已知T∼N(98.6,2).θ=59(T-32),反函数为T=59θ+32,是单调函数,所以fθ(y)=fT(95y+32)⋅95=12π⋅2e-(95y+32-98.6)24⋅95=910πe-81100(y-37)2.习题8设随机变量X在任一区间[a,b]上的概率均大于0,其分布函数为FY(x),又Y在[0,1]上服从均匀分布,证明:Z=FX-1(Y)的分布函数与X的分布函数相同.解答:因X在任一有限区间[a,b]上的概率均大于0,故FX(x)是单调增加函数,其反函数FX-1(y)存在,又Y在[0,1]上服从均匀分布,故Y的分布函数为FY(y)=P{Y≤y}={0,y<0y,0≤y≤11,y>0,于是,Z的分布函数为FZ(z)=P{Z≤z}=P{FX-1(Y)≤z}=P{Y≤FX(z)}={0,FX(z)<0FX(z),0≤FX(z)≤1,1,FX(z)>1由于FX(z)为X的分布函数,故0≤FX(z)≤1.FX(z)<0和FX(z)>1均匀不可能,故上式仅有FZ(z)=FX(z),因此,Z与X的分布函数相同.总习题解答习题1从1∼20的整数中取一个数,若取到整数k的概率与k成正比,求取到偶数的概率.解答:设Ak为取到整数k,P(Ak)=ck,k=1,2,⋯,20.因为P(⋃K=120Ak)=∑k=120P(Ak)=c∑k=120k=1,所以c=1210,P{取到偶数}=P{A2∪A4∪⋯∪A20}=1210(2+4+⋯+20)=1121.习题2若每次射击中靶的概率为0.7,求射击10炮,(1)命中3炮的概率;(2)至少命中3炮的概率;(3)最可能命中几炮.解答:若随机变量X表示射击10炮中中靶的次数. 由于各炮是否中靶相互独立,所以是一个10重伯努利概型,X服从二项分布,其参数为n=10,p=0.7,故(1)P{X=3}=C103(0.7)3(0.3)7≈0.009;(2)P{X≥3}=1-P{X<3}=1-[C100(0.7)0(0.3)10+C101(0.7)1(0.3)9+C102(0.7)2(0.3)8]≈0.998;(3)因X∼b(10,0.7),而k0=[(n+1)p]=[(10+1)]×0.7=[7.7]=7,故最可能命中7炮.习题3在保险公司里有2500名同一年龄和同社会阶层的人参加了人寿保险,在1年中每个人死亡的概率为0.002,每个参加保险的人在1月1日须交120元保险费,而在死亡时家属可从保险公司里领20000元赔偿金,求:(1)保险公司亏本的概率;(2)保险公司获利分别不少于100000元, 200000元的概率.解答:(1)以“年”为单位来考虑,在1年的1月1日,保险公司总收入为2500×120元=30000元.设1年中死亡人数为X,则X∼b(2500,0.002),则保险公司在这一年中应付出200000X(元),要使保险公司亏本,则必须200000X>300000即X>15(人).因此,P{保险公司亏本}=P{X>15}=∑k=162500C2500k(0.002)k×(0.998)2500-k≈1-∑k=015e-55kk!≈0.000069,由此可见,在1年里保险公司亏本的概率是很小的.(2)P{保险公司获利不少于100000元}=P{300000-200000X≥100000}=P{X≤10}=∑k=010C2500k(0.002)×(0.998)2500-k≈∑k=010e-55kk!≈0.986305,即保险公司获利不少于100000元的概率在98%以上.P{保险公司获利不少于200000元}=P{300000-200000X≥200000}=P{X≤5}=∑k=05C2500k(0.002)k×(0.998)2500-k≈∑k=05e-55kk!≈0.615961,即保险公司获利不少于200000元的概率接近于62%.习题4一台总机共有300台分机,总机拥有13条外线,假设每台分机向总机要外线的概率为3%, 试求每台分机向总机要外线时,能及时得到满足的概率和同时向总机要外线的分机的最可能台数.解答:设分机向总机要到外线的台数为X, 300台分机可看成300次伯努利试验,一次试验是否要到外线. 设要到外线的事件为A,则P(A)=0.03,显然X∼b(300,0.03),即P{X=k}=C300k(0.03)k(0.97)300-k(k=0,1,2,⋯,300),因n=300很大,p=0.03又很小,λ=np=300×0.03=9,可用泊松近似公式计算上面的概率. 因总共只有13条外线,要到外线的台数不超过13,故P{X≤13}≈∑k=0139kk!e-9≈0.9265,(查泊松分布表)且同时向总机要外线的分机的最可能台数k0=[(n+1)p]=[301×0.03]=9.习题5在长度为t的时间间隔内,某急救中心收到紧急呼救的次数X服从参数t2的泊松分布,而与时间间隔的起点无关(时间以小时计),求:(1)某一天从中午12至下午3时没有收到紧急呼救的概率;(2)某一天从中午12时至下午5时至少收到1次紧急呼救的概率.解答:(1)t=3,λ=3/2,P{X=0}=e-3/2≈0.223;X-101pi1/22-13/2-2(2)由F(x)=P{X≤x}计算X的分布函数F(x)={0,1/2,2-1/2,1,x<-1-1≤x<00≤x<0x≥1.习题7设随机变量X的分布函数F(x)为F(x)={0,x<0Asinx,0≤x≤π/2,1,x>π/2则A=¯,P{∣X∣<π/6}=¯.解答:应填1;1/2.由分布函数F(x)的右连续性,有F(π2+0)=F(π2)⇒A=1.因F(x)在x=π6处连续,故P{X=π6=12,于是有P{∣X∣<π6=P{-π6<X<π6=P{-π6<X≤π6=F(π6)-F(-π6)=12..习题8使用了x小时的电子管,在以后的Δx小时内损坏的概率等于λΔx+o(Δx),其中λ>0是常数,求电子管在损坏前已使用时数X的分布函数F(x),并求电子管在T小时内损坏的概率.解答:因X的可能取值充满区间(0,+∞),故应分段求F(x)=P{X≤x}.当x≤0时,F(x)=P{X≤x}=P(∅)=0;当x>0时,由题设知P{x<X≤x+Δx/X}=λΔx+o(Δx),而P{x<X≤x+Δx/X}=P{x<X≤x+Δx,X>x}P{X>x}=P{x<X≤x+Δx}1-P{X≤x}=F(x+Δx)-F(x)1-F(x),故F(X+Δx)-F(x)1-F(x)=λΔx+o(Δx),即F(x+Δx)-F(x)Δx=[1-F(x)][λ+o(Δx)Δx],令o(Δx)→0,得F′(x)=λ[1-F(x)].这是关于F(x)的变量可分离微分方程,分离变量dF(x)1-F(x)=λdx,积分之得通解为C[1-F(x)]=e-λx(C为任意常数).注意到初始条件F(0)=0,故C=1.于是F(x)=1-e-λx,x>0,λ>0,故X的分布函数为F(x)={0,x≤01-e-λx,x>0(λ>0),从而电子管在T小时内损坏的概率为P{X≤T}=F(T)=1-e-λT.习题9设连续型随机变量X的分布密度为f(x)={x,0<x≤12-x,1<x≤20,其它,求其分布函数F(x).解答:当x≤0时,F(x)=∫-∞x0dt=0;当0<x≤1时,F(x)=∫-∞xf(t)dt=∫-∞00tdt+∫0xtdt=12x2;当1<x≤2时,F(x)=∫-∞xf(t)dt=∫-∞00dt+∫01tdt+∫1x(2-t)dt=0+12+(2t-12t2)∣1x=-1+2x-x22;当x>2时,F(x)=∫-∞00dt+∫01tdt+∫12(2-t)dt+∫2x0dt=1,故F(x)={0,x≤212x2,0<x≤1-1+2x-x22,1<x≤21,x>2.习题10某城市饮用水的日消费量X(单位:百万升)是随机变量,其密度函数为:f(x)={19xe-x3,x>00,其它,试求:(1)该城市的水日消费量不低于600万升的概率;(2)水日消费量介于600万升到900万升的概率.解答:先求X的分布函数F(x).显然,当x<0时,F(x)=0,当x≥0时有F(x)=∫0x19te-t3dt=1-(1+x3)e-x3故F(x)={1-(1+x3)e-x3,x≥00,x<0,所以P{X≥6}=1-P{X<6}=1-P(X≤6}=1-F(6)=1-[1-(1+x3)e-x3]x=6=3e-2,P{6<X≤9}=F(9)-F(6)=(1-4e-3)-(1-3e-2)=3e-2-4e-3.习题11已知X∼f(x)={cλe-λx,x>a0,其它(λ>0),求常数c及P{a-1<X≤a+1}.解答:由概率密度函数的性质知∫-∞+∞f(x)dx=1,而∫-∞+∞f(x)dx=∫-∞a0dx+∫a+∞cλe-λxdx=c∫a+∞e-λxd(λx)=-ce-λx\vlinea+∞=ce-λa,所以ce-λa=1,从而c=eλa.于是P{a-1<X≤a+1}=∫a-1a+1f(x)dx=∫a-1a0dx+∫aa+1λeλae-λxdx=-eλae-λx\vlineaa+1=-eλa(e-λ(a+1)-e-λa)=1-e-λ.注意,a-1<a,而当x<a时,f(x)=0.习题12已知X∼f(x)={12x2-12x+3,0<x<10,其它,计算P{X≤0.2∣0.1<X≤0.5}.解答:根据条件概率;有P{X≤0.2∣0.1<X≤0.5}=P{X≤0.2,0.1<X≤0.5}P{0.1<X≤0.5}=P{0.1<X≤0.2}P{0.1<X≤0.5}=∫0.10.2(12x2-12x+2)dx∫0.10.5(12x2-12x+3)dx=(4x3-6x2+3x)∣0.10.2(4x3-6x2+3x)∣0.10.5=0.1480.256=0.578125.习题13若F1(x),F2(x)为分布函数,(1)判断F1(x)+F2(x)是不是分布函数,为什么?(2)若a1,a2是正常数,且a1+a2=1.证明:a1F1(x)+a2F2(x)是分布函数.解答:(1)F(+∞)=limx→+∞F(x)=limx→+∞F1(x)+limx→+∞F2(x)=1+1=2≠1故F(x)不是分布函数.(2)由F1(x),F2(x)单调非减,右连续,且F1(-∞)=F2(-∞)=0,F1(+∞)=F2(+∞)=1,可知a1F1(x)+a2F2(x)单调非减,右连续,且a1F1(-∞)+a2F2(-∞)=0,a1F1(+∞)+a2F2(+∞)=1.从而a1F1(x)+a2F2(x)是分布函数.习题14设随机变量X的概率密度ϕ(x)为偶函数,试证对任意的a>0,分布函数F(x)满足:(1)F(-a)=1-F(a);(2)P{∣X∣>a}=2[1-F(a)].解答:(1)F(-a)=∫-∞-aϕ(x)dx=∫a+∞ϕ(-t)dt=∫a+∞ϕ(x)dx=1-∫-∞aϕ(x)dx=1-F(a).(2)P{∣X∣>a}=P{X<-a}+P{X>a}=F(-a)+P{X≥a}F(-a)+1-F(a)=2[1-F(a)].习题15设K在(0,5)上服从均匀分布,求x的方程4x2+4Kx+K+2=0有实根的概率.解答:因为K∼U(0,5),所以fK(k)={1/5,0<k<50,其它,方程4x2+4Kx+K+2=0有实根的充要条件为(4K)2-4⋅4(K+2)≥0,即K2-K-2≥0,亦即(k-2)(K+1)≥0,解得K≥2(K≤-1舍去),所以P{方程有实根}=P{K≥2}=∫2515dx=35.习题16某单位招聘155人,按考试成绩录用,共有526人报名,假设报名者考试成绩X∼N(μ,σ2), 已知90分以上12人,60分以下83人,若从高分到低分依次录取,某人成绩为78分,问此人是否能被录取?解答:要解决此问题首先确定μ,σ2, 因为考试人数很多,可用频率近似概率.根据已知条件P{X>90}=12/526≈0.0228,P{X≤90}=1-P{X>90}≈1-0.0228}=0.9772;又因为P{X≤90}=P{X-μσ≤90-μσ, 所以有Φ(90-μσ)=0.9772, 反查标准正态表得90-μσ=2 ①同理:P{X≤60}=83/526≈0.1578; 又因为P{X≤60}=P{X-μσ≤60-μσ,故Φ(60-μσ)≈0.1578.因为0.1578<0.5,所以60-μσ<0, 故Φ(μ-60σ)≈1-0.1578=0.8422, 反查标准正态表得μ-60σ≈1.0 ②联立①,②解得σ=10,μ=70, 所以,X∼N(70,100).某人是否能被录取,关键看录取率. 已知录取率为155526≈0.2947, 看某人是否能被录取,解法有两种:方法1:P{X>78}=1-P{X≤78}=1-P{x-7010≤78-7010=1-Φ(0.8)≈1-0.7881=0.2119,因为0.2119<0.2947(录取率), 所以此人能被录取.方法2:看录取分数线. 设录取者最低分为x0, 则P{X≥x0}=0.2947(录取率),P{X≤x0}=1-P{X≥x0}=1-0.2947=0.7053,P{X≤x0}=P{x-7010≤x0-7010=Φ{x0-7010=0.7053,反查标准正态表得x0-7010≈0.54, 解得x0≈75. 此人成绩78分高于最低分,所以可以录取. 习题17假设某地在任何长为t(年)的时间间隔内发生地震的次数N(t)服从参数为λ=0.1t的泊松分布,X表示连续两次地震之间间隔的时间(单位:年).(1)证明X服从指数分布并求出X的分布函数;(2)求今后3年内再次发生地震的概率;(3)求今后3年到5年内再次发生地震的概率.解答:(1)当t≥0时,P{X>t}=P{N(t)=0}=e-0.1t,∴F(t)=P{X≤t}=1-P{X>t}=1-e-0.1t;当t<0时,F(t)=0,∴F(x)={1-e-0.1t,x≥00,x<0,X服从指数分布(λ=0.1);(2)F(3)=1-e-0.1×3≈0.26;(3)F(5)-F(3)≈0.13.习题18100件产品中,90个一等品,10个二等品,随机取2个安装在一台设备上,若一台设备中有i个(i=0,1,2)二等品,则此设备的使用寿命服从参数为λ=i+1的指数分布.(1)试求设备寿命超过1的概率;(2)已知设备寿命超过1,求安装在设备上的两个零件都是一等品的概率.解答:(1)设X表示设备寿命. A表示“设备寿命超过1”,Bi表示“取出i个二等品”(i=0,1,2),则X的密度函数为fX(x)={λe-λx,x>00,x≤0 (λ=i+1,i=0,1,2),P(B0)=C902C1002, P(B1)=C901C102C1002, P(B2)=C102C1002,P(A∣B0)=∫1+∞e-xdx=e-1,P(A∣B1)=∫1+∞2e-2xdx=e-2,P(A∣B2)=∫1+∞3e-3xdx=e-3,由全概率公式:P(A)=∑i=02P(Bi)P(A∣Bi)≈0.32.(2)由贝叶斯公式:P(B0∣A)=P(B0)P(A∣B0)P(A)≈0.93.习题19设随机变量X的分布律为由定理即得fY(x)={0,y<3(y-32)3e-(y-32),y≥3.习题21设随机变量X的概率密度fX(x)={e-x,x>00,其它,求Y=eX的概率密度.解答:因为α=min{y(0),y(+∞)}=min{1,+∞}=1,β=max{y(0),y(+∞)}=max{1,+∞}=+∞.类似上题可得fY(y)={fX[h(y)]∣h′(y)∣,1<y<+∞0,其它={1/y2,1<y<+∞0,其它.习题22设随便机变量X的密度函数为fX(x)={1-∣x∣,-1<x<10,其它,求随机变量Y=X2+1的分布函数与密度函数.解答:X的取值范围为(-1,1),则Y的取值范围为[1,2).当1≤y<2时,FY(y)=P{Y≤y}=P{X2+1≤y}=P{-Y-1≤x≤y-1}=∫-y-1y-1(1-∣x∣)dx=2∫0y-1(1-x)dx=1-(1-y-1)2,从而Y的分布函数为FY(y)={0,y<11-(1-y-1)2,1≤y<2,1,其它Y的概率密度为fY(y)={1y-1-1,1<y<20,其它.。
概率论与数理统计练习题系 专业 班 姓名 学号第六章 随机变量数字特征一.填空题1. 若随机变量X 的概率函数为1.03.03.01.02.043211pX-,则=≤)2(X P ;=>)3(X P ;=>=)04(X X P .2. 若随机变量X 服从泊松分布)3(P ,则=≥)2(X P 8006.0413≈--e.3. 若随机变量X 的概率函数为).4,3,2,1(,2)(=⋅==-k c k X P k则=c1516. 4.设A ,B 为两个随机事件,且A 与B 相互独立,P (A )=,P (B )=,则()P AB =____________.() 5.设事件A 、B 互不相容,已知()0.4=P A ,()0.5=P B ,则()=P AB6. 盒中有4个棋子,其中2个白子,2个黑子,今有1人随机地从盒中取出2个棋子,则这2个棋子颜色相同的概率为____________.(13) 7.设随机变量X 服从[0,1]上的均匀分布,则()E X =____________.(12) 8.设随机变量X 服从参数为3的泊松分布,则概率密度函数为 __.(k 33(=,0,1,2k!P X k e k -==L )) 9.某种电器使用寿命X (单位:小时)服从参数为140000λ=的指数分布,则此种电器的平均使用寿命为____________小时.(40000)10在3男生2女生中任取3人,用X 表示取到女生人数,则X 的概率函数为11.若随机变量X 的概率密度为)(,1)(2+∞<<-∞+=x xa x f ,则=a π1;=>)0(X P ;==)0(X P 0 .12.若随机变量)1,1(~-U X ,则X 的概率密度为 1(1,1)()2x f x ⎧∈-⎪=⎨⎪⎩其它13.若随机变量)4(~e X ,则=≥)4(X P ;=<<)53(X P .14..设随机变量X 的可能取值为0,1,2,相应的概率分布为 , ,,则()E X =15.设X 为正态分布的随机变量,概率密度为2(1)8()x f x +-=,则2(21)E X -= 916.已知X ~B (n,p ),且E (X )=8,D (X )=,则n= 。
概率论与数理统计第一部份 习题第一章 概率论基本概念一、填空题1、设A ,B ,C 为3事件,则这3事件中恰有2个事件发生可表示为 。
2、设3.0)(,1.0)(=⋃=B A P A P ,且A 与B 互不相容,则=)(B P 。
3、口袋中有4只白球,2只红球,从中随机抽取3只,则取得2只白球,1只红球的概率 为 。
4、某人射击的命中率为0.7,现独立地重复射击5次,则恰有2次命中的概率为 。
5、某市有50%的住户订晚报,有60%的住户订日报,有80%的住户订这两种报纸中的一种,则同时订这两种报纸的百分比为 。
6、设A ,B 为两事件,3.0)(,7.0)(==B A P A P ,则=)(B A P 。
7、同时抛掷3枚均匀硬币,恰有1个正面的概率为 。
8、设A ,B 为两事件,2.0)(,5.0)(=-=B A P A P ,则=)(AB P 。
9、10个球中只有1个为红球,不放回地取球,每次1个,则第5次才取得红球的概率 为 。
10、将一骰子独立地抛掷2次,以X 和Y 分别表示先后掷出的点数,{}10=+=Y X A {}Y X B >=,则=)|(A B P 。
11、设B A ,是两事件,则B A ,的差事件为 。
12、设C B A ,,构成一完备事件组,且,7.0)(,5.0)(==B P A P 则=)(C P ,=)(AB P 。
13、设A 与B 为互不相容的两事件,,0)(>B P 则=)|(B A P 。
14、设A 与B 为相互独立的两事件,且4.0)(,7.0)(==B P A P ,则=)(AB P 。
15、设B A ,是两事件,,36.0)(,9.0)(==AB P A P 则=)(B A P 。
16、设B A ,是两个相互独立的事件,,4.0)(,2.0)(==B P A P 则=)(B A P 。
17、设B A ,是两事件,如果B A ⊃,且2.0)(,7.0)(==B P A P ,则=)|(B A P 。
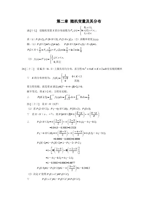
第二章 随机变量及其分布18.[十七] 设随机变量X 的分布函数为⎪⎩⎪⎨⎧≥<≤<=.,1,1,ln ,1,0)(e x e x x x x F X ,求(1)P (X<2), P {0<X ≤3}, P (2<X<25);(2)求概率密度f X (x ). 解:(1)P (X ≤2)=F X (2)= ln2, P (0<X ≤3)= F X (3)-F X (0)=1,45ln 2ln 25ln )2()25(252(=-=-=<<X X F F X P (2)⎪⎩⎪⎨⎧<<==其它,0,1,1)(')(e x x x F x f24.[二十二] 设K 在(0,5)上服从均匀分布,求方程02442=+++K xK x 有实根的概率∵ K 的分布密度为:⎪⎩⎪⎨⎧<<-=其他50051)(K K f要方程有根,就是要K 满足(4K )2-4×4× (K+2)≥0。
解不等式,得K ≥2时,方程有实根。
∴53051)()2(5522=+==≥⎰⎰⎰∞+∞+dx dx dx x f K P 25.[二十三] 设X ~N (3.22)(1)求P (2<X ≤5),P (-4)<X ≤10),P {|X|>2},P (X>3)∵ 若X ~N (μ,σ2),则P (α<X ≤β)=φ-⎪⎭⎫ ⎝⎛-σμβφ⎪⎭⎫ ⎝⎛-σμα ∴P (2<X ≤5) =φ-⎪⎭⎫ ⎝⎛-235φ⎪⎭⎫ ⎝⎛-232=φ(1)-φ(-0.5) =0.8413-0.3085=0.5328P (-4<X ≤10) =φ-⎪⎭⎫ ⎝⎛-2310φ⎪⎭⎫ ⎝⎛--234=φ(3.5)-φ(-3.5) =0.9998-0.0002=0.9996P (|X |>2)=1-P (|X |<2)= 1-P (-2< P <2 )=⎥⎦⎤⎢⎣⎡⎪⎭⎫ ⎝⎛--Φ-⎪⎭⎫ ⎝⎛-Φ-2322321 =1-φ(-0.5) +φ(-2.5) =1-0.3085+0.0062=0.6977P (X >3)=1-P (X ≤3)=1-φ⎪⎭⎫⎝⎛-233=1-0.5=0.5(2)决定C 使得P (X > C )=P (X ≤C )∵P (X > C )=1-P (X ≤C )= P (X ≤C )得 P (X ≤C )=21=0.5 又P (X ≤C )=φ023,5.023=-=⎪⎭⎫ ⎝⎛-C C 查表可得∴ C =3 28.[二十六] 一工厂生产的电子管的寿命X (以小时计)服从参数为μ=160,σ(未知)的正态分布,若要求P (120<X ≤200==0.80,允许σ最大为多少?∵ P (120<X ≤200)=80.04040160120160200=⎪⎭⎫ ⎝⎛-Φ-⎪⎭⎫ ⎝⎛Φ=⎪⎭⎫ ⎝⎛-Φ-⎪⎭⎫ ⎝⎛-Φσσσσ 又对标准正态分布有φ(-x )=1-φ(x )∴ 上式变为80.040140≥⎥⎦⎤⎢⎣⎡⎪⎭⎫ ⎝⎛Φ--⎪⎭⎫ ⎝⎛Φσσ 解出9.040:40≥⎪⎭⎫ ⎝⎛Φ⎪⎭⎫ ⎝⎛Φσσ便得 再查表,得25.31281.140281.140=≤≥σσ 31.[二十八] 设随机变量X 在(0,1)上服从均匀分布 (1)求Y=e X 的分布密度∵ X 的分布密度为:⎩⎨⎧<<=为其他x x x f 0101)(Y=g (X ) =e X 是单调增函数 又 X=h (Y )=lnY ,反函数存在且α = min [g (0), g (1)]=min (1, e )=1=βmax [g (0), g (1)]=max (1, e )= e∴ Y 的分布密度为:⎪⎩⎪⎨⎧<<⋅=⋅=为其他y e y yy h y h f y ψ0111|)('|)]([)((2)求Y=-2lnX 的概率密度。
MPA公共管理硕士综合知识数学概率论(随机变量及其分布)模拟试卷2(题后含答案及解析)全部题型 2. 数学部分数学部分选择题1.设随机变量X与Y均服从正态分布,X~N(μ,62),Y~N(μ,82).记p1=P(X≤μ一6),p2=P{Y≥μ+8},则( ).A.对任何实数μ,都有p1=p2B.对任何实数μ,都有p1<p2C.只对μ的个别值,才有p1=p2D.对任何实数μ,都有p1>p2正确答案:A解析:故p1=p2.知识模块:概率论2.Xi(i=1,2,3,4)分布为( )时,P(Xi>E(Xi))≠P{Xi≤E(Xi)}.A.X1~N(μ,σ2)B.X2~U(a,b),即(a,b)上的均匀分布C.X3服从指数分布,f(t)=D.X4有f(x)=正确答案:C解析:对X1,X2,X4都有P{Xi>E(Xi)}=P{Xi≤E(Xi)}=对指数分布E(X3)=θ,P{X3≤θ)==1一e-1,P{X3>θ}=1一P{X3≤θ}=e-1,1一e-1≠e-1.知识模块:概率论3.设某种洗衣机的使用寿命服从参数λ=10-4(小时)的指数分布,随机地抽取一台,已知使用了5 000小时没有坏,则洗衣机还能平均使用的时间为( ).A.4 500小时B.5 000小时C.10 000小时D.8 000小时正确答案:C解析:设洗衣机的寿命为X,X的分布函数为设Y为使用了5 000小时之后的使用时间,当X>5 000小时,Y=X一5 000.为了要求E(Y),先求Y的分布函数.对于任意的y>0.P{Y>y}=P{X>5 000+y|X>5 000}所以P{Y≤y}=1一e-λy.而当y≤0时,显然P{Y≤y}=0.于是,得到Y的分布函数即Y依然服从参数为λ的指数分布,所以即洗衣机在使用5 000小时之后还能平均使用1 0 000小时.知识模块:概率论4.设X为连续型随机变量,P(x)为其概率密度,F(x)为其分布函数,则( ).A.p(x)=F(x)B.p(x)≤1C.P{X=x}=p(x)D.p(x)≥0正确答案:D解析:由定义直接得到.知识模块:概率论5.设随机变量Xi(i=1,2,3,4)相互独立同分布B(1,0.4),则行列式的概率分布为( ).A.B.C.D.正确答案:B解析:记Y1=X1X4,Y2=X2X3,则X=Y1一Y2,且Y1和Y2独立同分布:P{Y1=1)=P(Y2=1}=P{X2=1,X3=1} =P{X2=1}.P{X3=1}=0.16,P{Y1=0}=P{Y2=0}=1—0.16=0.84,即Yi~B(1,0.16) (i=1,2).随机变量X=Y1一Y2有三个可能值:一1,0,1.P{X=一1}=P{Y1=0,Y2=1}=0.84×0.16=0.1344,P{X=1}=P{Y1=1,Y2=0}=0.16×0.84=0.134 4,P{X=0}=1—2×0.134 4=0.731 2,于是,行列式X的概率分布为知识模块:概率论6.设随机变量X的分布函数F(x)=则常数a,b的值为( ).A.B.C.D.正确答案:B解析:由分布函数的右连续性可得知识模块:概率论7.设服从正态分布N(0,1)的随机变量X,其密度函数为p(x),则p(0)等于( ).A.0B.C.1D.正确答案:B解析:根据标准正态分布密度函数的定义,有知识模块:概率论8.设离散型随机变量X的概率分布为则下列各式中成立的是( ).A.P{X=1.5}=0B.P{X>一1}=1C.P{X<3}=1D.P{X<0}=0正确答案:A解析:由于X=1.5不是正概率点,因此P{X=1.5}=0.知识模块:概率论9.每张彩票中尾奖的概率为某人购买了20张号码杂乱的彩票,设中尾奖的张数为X,则X服从( )分布.A.两点B.二项C.泊松D.指数正确答案:B解析:根据二项分布的概念可得出结论.知识模块:概率论10.设连续型随机变量X的密度函数为:p(x)=则下列等式成立的是( ).A.B.C.D.正确答案:A解析:P{X≥一1}=∫-1+∞p(x)dx=∫012xdx=1.知识模块:概率论11.设某电器使用寿命在2 000小时以上的概率为0.15,如果要求3个电器在使用2 000小时以后只有一个不坏的概率,则只需用( )即可算出.A.全概率公式B.古典概型计算公式C.贝叶斯公式D.贝努利概型计算公式正确答案:D解析:根据贝努利概型的特点可得出结论.知识模块:概率论12.设随机变量X~N(0,1),Y=2X+1,则Y~( ).A.N(1,4)B.N(0,1)C.N(1,1)D.N(0,2)正确答案:A解析:由于E(Y)=E(2X+1)=2E(X)+1=1,D(Y)=D(2X+1)=4D(X)=4,因此Y~N(1,4).知识模块:概率论13.设X服从正态分布N(μ,σ2),其概率密度函数p(x)等于( ).A.B.C.D.正确答案:C解析:若X~N(μ,σ2),则知识模块:概率论14.设X的概率分布列为F(x)为其分布函数,则F(2)等于( ).A.0.2B.0.4C.0.8D.0.9正确答案:C解析:F(2)=P{X≤2}=P(X=0)+P{X=1}+P{X=2} 知识模块:概率论填空题15.设随机变量X的分布函数为则P{一1≤X≤1}的值为________.正确答案:1一e-λ.解析:由分布函数性质F(+∞)=1,得A=1.又根据F(x)在x=0处右连续,得A+Be-λ.0=0,即1+B=0,B=一1.P{一1≤X≤1)=F(1)一F(一1)=1一e-λ.知识模块:概率论16.设连续型随机变量X的密度函数为f(x)=则A的值为_______正确答案:解析:由∫-∞+∞f(x)dx=1,得1=∫02Ax2dx=所以,A=3/8.知识模块:概率论17.设随机变量ξ服从参数为1的指数分布,则矩阵A=的特征根全部为实数的概率为_________.正确答案:1-e-1.解析:由题设可见A的特征根全部为实数,当且仅当4—4ξ≥0,即ξ≤1.于是P{≤1}=∫01e-xdx=1一e-1.知识模块:概率论18.设随机变量X服从泊松分布,且P{X=1}=P{X=2},则P{X=4}=_______正确答案:解析:由于P{X=1}=P{X=2},即.得到方程λ2一2λ=0,解得λ=2(λ=0被舍去),于是P{X=4}= 知识模块:概率论19.设随机变量X的概率密度为f(x)=则X落在区间(0.3,0.7)的概率为_____.正确答案:0.4解析:先求C.因为∫-∞+∞f(x)dx=∫01Cxdx=1,故C=2,X落在(0.3,0.7)的概率为∫0.30.72xdx=0.4.知识模块:概率论20.设随机变量X的密度函数为f(x)=C.e-|x|(x∈R),C的值为______.正确答案:解析:因为∫-∞+∞f(x)dx=2C=1,故C= 知识模块:概率论计算题21.设随机变量X服从泊松分布,并且已知P{X=1}=P(X=2},求P{X=4}.正确答案:由题设,X的分布律为:本题的关键为先要求出参数λ的值.由P{X=1}=P{X=2}得即λ2—2λ=0.因为λ>0,故λ=2,于是涉及知识点:概率论22.设离散型随机变量X的概率分布为分别求上述两式中的常数a.正确答案:(1)由于(2)由于涉及知识点:概率论23.设离散型随机变量X服从泊松分布,参数λ=4.求3X一2的分布律.正确答案:记Y=3X-记Y=3X-2,它也是离散型随机变量,取值k=一2,1,4,7,…(k=3n一5,n为正整数).其分布律为:涉及知识点:概率论24.一种福利彩票的售价为1元,中奖率为0.1,若中奖可得8元.现购买10张彩票,记X为所得收益,求X的分布律.正确答案:记ξ是10张彩票中得奖的票数,ξ~B(10,0.1).由条件得X=8ξ一10.则X的取值为一10,一2,6,14,22,30,38,46,54,62,70.记Pk=P{X=k},则涉及知识点:概率论25.已知X是连续型随机变量,其概率密度为求k的值以及P{1.5<X<2.5}.正确答案:利用密度函数的性质∫-∞+∞f(x)dx=1,代入f(x)的具体公式,得到∫02(kx+1)dx=1.涉及知识点:概率论26.设非负随机变量X的密度函数为求A.正确答案:利用∫-∞+∞f(x)dx=1.因为X取值为[0,+∞),有=8A(一t3一3t2一6t一6)e-t|0+∞=48A.在计算积分∫0+∞tαe-xdx时,用Г函数会带来很大方便.涉及知识点:概率论27.设X是连续型随机变量,Y=2X.已知X的分布函数为F(x),分布密度函数为f(x).求Y的分布函数和密度函数.正确答案:记G(y),g(y)分别为Y的分布函数与密度函数,则涉及知识点:概率论28.设X~N(0,1),Y=X2,求Y的密度函数fY(y).正确答案:用分布函数法涉及知识点:概率论29.随机变量X的概率密度为求X的分布函数F(x)和P{一2<X≤4,).正确答案:当x≤0时,F(x)=0.当x>0时,P(一2<X≤4)=F(4)一F(一2)=F(4)=1—9e-8.涉及知识点:概率论30.2002年某地区共有4 000人参加英语六级考试,已知成绩X(分)近似服从正态分布N(40,202),求及格人数和超过80分的人数.正确答案:设及格人数为n,则于是得n≈635(人).设超过80分的人数为m,则m≈91(人).涉及知识点:概率论。
第2章一维随机变量 习题2一. 填空题:1.设 离 散 型 随 机 变 量 的 分 布 函 数 是 (){}x P x F ≤=ξ, 则 用 F (x) 表 示 概 {}0x P =ξ = __________。
解:()()000--x F x F 2.设 随 机 变 量 的 分 布 函 数 为 ()()+∞<<∞-+=x arctgx x F π121 则 P{ 0<<1} = ____14_____。
解: P{ 0<<1} = =-)0(F )1(F 143.设 服 从 参 数 为 的 泊 松 分 布 , 且 已 知 P{ = 2 } = P{ = 3 },则 P{ = 3 }= ___2783e - 或 。
4.设 某 离 散 型 随 机 变 量 的 分 布 律 是 {}⋅⋅⋅===,2,1,0,!k k C k P Kλξ,常 数 >0, 则 C 的 值 应 是 ___ e _____。
解:{}λλλλξ-∞=∞=∞==⇒=⇒=⇒=⇒==∑∑∑e C Ce k C k Ck P KK KK K 11!1!105 设 随 机 变 量 的 分 布 律 是 {}4,3,2,1,21=⎪⎭⎫⎝⎛==k A k P kξ则 ⎭⎬⎫⎩⎨⎧<<2521ξP = 。
解:()A A k P k 161516181412141=⎪⎭⎫ ⎝⎛+++==∑=ξ 令15161A = 得 A =1615()()212521=+==⎪⎭⎫ ⎝⎛<<ξξξp p P 8.041211516=⎥⎦⎤⎢⎣⎡+=6.若 定 义 分 布 函 数 (){}x P x F ≤=ξ, 则 函 数 F(x)是 某 一 随 机 变 量 的 分 布 函 数 的 充 要 条 件 是F ( x ) 单 调 不 减 , 函 数 F (x) 右 连 续 , 且 F (- ) = 0 , F ( + ) = 17. 随机变量) ,a (N ~2σξ,记{}σ<-ξ=σa P )(g ,则随着σ的增大,g()σ之值 保 持 不 变 。
滨州学院《概率论与数理统计》(公共课)练习题第二章 随机变量及其分布一、填空题 10.712设一本书的各页的印刷错误个数X 服从泊松分布律.已知有一个和两个印刷错误的页数相同,则随意抽查的4页中无印刷错误的概率p = 0.0003 .3⎪⎪⎩⎪⎪⎨⎧≥<≤<≤<=≤=.若,;,若;,若;,若 3 1 324544 21 51 1 0 }{)(x x x x x X x F P 4{}12525.032)05.0()02(25.0=-=---=<≤F F X P . 例2.11设随机变量X 的概率密度函数为⎪⎩⎪⎨⎧≤≤≤≤=其它06310)(9231x x x f ;若k 使得32)(=≥k X P ,则k 的取值范围是 . 【[1,3]】例2.13 设X 服从二项分布),(p n B ,且已知)2()1(===X P X P ,)3(2)2(===X P X P ,则)4(=X P = . 【24310】 例2.14若随机变量X 服从正态分布)0)(,(2>σσμN ,且二次方程042=++X y y 无实根的概率是21,则=μ . 【4】2.22 (1)24310;(2)4;(3)2922;(4)649;(5))0(2)1(ln 221)(+∞<<--=y y Y I e y y f π〖选择题〗1 [ C ]2 [ C ]3 [ C ]例2.1 【C 】例2.2 【A 】 例2.3 【B 】例2.5 【A 】例2.16设随机变量X ,Y 相互独立均服从正态分布)4,1(N , 若概率21)1(=<-bY aX P ,则(A)1,2==b a(B) 2,1==b a(C) 1,2=-=b a(D) 2,1-==b a 【A 】例2.18 设X 为随机变量, 若矩阵⎪⎪⎪⎭⎫ ⎝⎛--=01020232X A 的特征根全为实数的概率为0.5, 则(A)X 服从区间[0,2]上的均匀分布 (B) X 服从二项分布B(2, 0.5) (C) X 服从参数为1的指数分布 (D) X 服从标准正态分布 【A 】2.23 (1)A ;(2)B ;(3)C ;(4)C ;(5)B 解答题〗 〖解答题〗例2.30解 不妨假设正立方体容器的边长为1.引进事件:{}0==X A ,即事件A 表示“小孔出现在容器的下底面”.由于小孔出现在正立方体的6个侧面是等可能的,易见 61)(=A P .从而,{}61===)(0A X P P.对于任意x <0,显然()=x F 0;而()610=F .由于小孔出现的部位是随机性,可见对于任意)75.0,0(∈x ,有(){}{}.641646100xx x X X x F +=+=≤<+≤=P P 该式中4x 表示容器的四个侧面x 以下的总面积,而容器6个侧面的总面积为6.对于任意x ≥0.75,显然()1=x F.于是,最后得()⎪⎪⎩⎪⎪⎨⎧≥<≤+<=.若若若 75.0 , 1 , 75.00 , 641, 0 , 0 x x x x x F例2.31(分布函数)解 因X 服从指数分布,且21==λX E (百小时),故分布参数λ=0.5,故X的分布函数为()⎩⎨⎧≤>-=-.,若;,若0 0 0 e 15.0x x x G x 易见,{}1.0min ,X Y=.设)(y F 是Y 的分布函数,则对于y <0,)(y F =0;对于y >0.1,)(y F =1;对于1.00≤≤y ,有{}{}.,y y G y X y X y Y y F 5.0e 1)(}1.0 min{}{)(--==≤=≤=≤=P P P 于是,{}.10 min ,X Y=的分布函数为()⎪⎩⎪⎨⎧≥<≤-<=-.,若,若,,若 1.0 1 , 1.00 e 1 0 0 5.0y y y y F y例2.33解 试验次数X 是一随机变量.为求X 的概率分布,引进事件:j B ={第j 次试验成功}(j =1,2,…,n ).显然P(j B ) = p .而由于试验的独立性,知事件n B B B ,,,21 …相互独立.设试验进行到成功或n 次为止,则X 的可能值为1,2,…,n 且1}1{B X==;对于2≤k ≤n-1,.;;;,111111112111)(}{ )(}1{)12()(}{}{ }{------======-≤≤=======k n k k k n k k q B B n X p B X n k pq B B B k X B B B n X B B B k X P P P P P P于是,X 的概率分布为有限几何分布:⎪⎪⎭⎫ ⎝⎛---1121321~n n q pq pq pq pn n X . 例2.35解 以ν表示抽到的30件产品中不合格品的件数,则ν服从参数为(30,0.02)的二项分布:.;;4545.0}0{1}1{3340.002.098.030}1{5455.098.0}0{2930==-=≥=⨯⨯=====ννννP P P P1) 不合格品不少于两件的概率.1205.002.098.03098.01}1{}0{1}2{2930=⨯⨯--==-=-=≥=ννναP P P2) 在已经发现一件不合格品的条件下,不合格品不少于两件的条件概率{}.2652.0}1{}2{}1{}2,1{12≈≥≥=≥≥≥=≥≥=νννννννβP P P P P 例2.36解 由条件知每台设备出现故障的概率为0.08.以ν表示10台设备中同时出现故障的台数,则ν服从参数为(10,0.08)的二项分布.需要安排的值班人数k 应满足条件:95.0}{≥≤k νP .需要对不同的k 进行试算.首先,设k =1和k =2,相应得{}{}{}{}{}{}.,95.09599.008.092.008.092.01092.021281.008.092.01092.010128210910910≥≈⨯⨯+⨯⨯+==+≤=≤≈⨯⨯+==+==≤C ννννννP P P P P P因此,至少需要安排2个人值班.例2.37解 设X ——一周5个工作日停用的天数;Y ——一周所创利润.X 服从参数为(5,0.2)的二项分布.因此,有.,,,057.0205.0410.0328.01}3{205.08.02.010}2{410.08.02.05}1{328.08.0}0{3245=---=≥=⨯⨯===⨯⨯=====X X X X P P P P一周所创利润Y 是X 的函数:⎪⎪⎩⎪⎪⎨⎧≥-====3.,若2,,若1,,若,,若X X X X Y 2 2 7 0 10 ⎪⎪⎭⎫ ⎝⎛-328.0410.0205.0057.010722~Y . 例2.38(二项分布)解 设n ——至少出现一件不合格品所要生产产品的件数,则n 件产品中不合格品的件数n ν服从参数为(n ,0.01)的二项分布;按题意,n 应满足条件., 0729.29899.0ln 05.0ln 95.099.01}0{1}1{≈≥≥-==-=≥n nn n ννP P 于是,为至少出现一件不合格品的概率超过95%,最少需要298.0729×3≈895分,将近14小时55分.例3.41解 由条件知X +Y 是一日内到过该商店的顾客的人数,服从参数为λ的泊松分布.设X ——一日内到过该商店的顾客中购货的人数.由条件知,在一日内有n 个顾客到过该商店的条件下,购货人数的条件概率分布为{}().;),2,1,0(1m n m p p C n Y X m X mn m m n ≥=-==+=- P由全概率公式可见,对于m =0,1,2,…,有{}{}{}()[]()()()()[]()()[]()()().p mp mk km m n mn m mn nmn mm nmn n mn mm nmn m p m p p k m p p m n m p n p p C n p p Cn Y X n Y X m Xm X λλλλλλλλλλλλλλλ---∞=-∞=--∞=--∞=--∞===-=--=-=⎥⎦⎤⎢⎣⎡-==+=+===∑∑∑∑∑e ! e e ! 1!1e!1!1e!!1ee ! 110P P P于是,一日内到过该商店的顾客中购货的人数X 服从参数为p λ的泊松分布.同理,Y 服从参数为)1(p -λ的泊松分布.例2.44 解 以()t ν表示t =90天内售出的电冰箱台数.可以假设()t ν服从参数为t λ的泊松分布.由条件知()λν77E ==56,从而λ=8(台).这样,()t ν服从参数为t λ=8t 的泊松分布: (){}()() ,2,1,0 e !88===-k k t k t tkνP .随机变量X 的可能值为自然数m =0,1,2,….记t a λ=.由全概率公式,有{}(){}(){}()()()()()()()(), pa m pa a a m k k a m m n mn ammn a n m n m m nmn m pa m pa k qa m pa m n qa m pan a q p C n a n a m X m X ---∞=-∞=--∞=--∞====-=======∑∑∑∑e !e e ! ! e!! e ! e ! 0ννP P P 其中6.390805.0=⨯⨯==t p pa λ.因此返修件数X 服从参数为3.6的泊松分布:{}() ,2,1,0 e !6.36.3===-m m m X m P .例2.47解 由条件知{}{}{}{},⎪⎭⎫ ⎝⎛--≈⎥⎦⎤⎢⎣⎡--⎪⎭⎫ ⎝⎛--=⎭⎬⎫⎩⎨⎧-≤-≤--=≤≤-=≤-≤--=≤--=>-=310821)36(310821310823108310812011 1 025.0a a a X a X a a X a a a X a a X ΦΦΦP P P P P其中()x Φ是标准正态分布函数.由熟知的事实()975.096.1=Φ,可见.;;94.5696.131082 0.975031082≈≈-≈⎪⎭⎫⎝⎛-a a a Φ 例2.48 解 由条件知()210,0~N X.设ν为100次独立重复测量中事件{}6.19 >X 出现的次数,则{}05.096.1106.19 =⎭⎬⎫⎩⎨⎧>=>=X X p P P .易见ν服从参数为(100 , 0.05)的二项分布,近似服从参数为5的泊松分布.因此{}{}{}{}{}().87.05.125115.125105.095.0299100 05.095.010095.012101313555529899100≈++-=---≈⨯⨯⨯-⨯⨯--==-=-=-=<-=≥=----e e e e ννννναP P P P P 〖证明题〗例2.52(分布函数)证明 只需验证)()()(21x bF x aF x F +=满足分布函数的三条基本性质.由条件知a 和b 非负且a +b =1.由于)(1x F 和)(2x F 都是分布函数,可见对于任意,有1)()()(021=+≤+=≤b a x bF x aF x F对于任意实数21x x <,由于)2,1)(()(21=≤i x F x F i i ,可见,)()()()()()(2222112111x F x bF x aF x bF x aF x F =+≤+=即)(x F 单调不减.由)(1x F 和)(2x F 的右连续性,可见)(x F 也右连续.最后,.;1)(lim )(lim )(lim 0)(lim )(lim )(lim 2121=+==+=+∞→+∞→+∞→-∞→-∞→-∞→x F b x F a x F x F b x F a x F x x x x x x于是)()()(21x bF x aF x F +=也是分布函数.例2.53(分布函数) 证明 指数分布函数为)0(e 1)(≥-=-x x F x λ设}{P )(y Y y G ≤=为Y=)(X F 的分布函数.由于分布函数)(x F 的值域为(0,1),可见当0≤y时0)(=y G ;当1≥y 时1)(=y G .设10<<y ,有.y y F y X y y Y y G X =⎪⎭⎫⎝⎛--=⎭⎬⎫⎩⎨⎧--≤=≤-=≤=-)1ln(1)1ln(1}e 1{}{)(λλλP P P 于是,)(y G 是区间(0,1)上的均匀分布函数,从而Y=例2.4 【π2=C ;5)arctan 2(πe】例2.6 连续型随机变量X 的分布函数为:x B A x F arctan )(+=,∞<<∞-x试求:(1)常数A 、B ;(2))11(<<-X P ;(3)随机变量X 的概率密度.【(1)π1,21==B A ;(2)21;(3))1(12x +π】 例2.7 设随机变量X 具有对称的密度函数,即)()(x f x f =-,证明对任意的0>a ,有(1)⎰-=-=-adx x f a F a F 0)(21)(1)((2)1)(2)|(|-=<a F a X P (3) ))(1(2)|(|a F a X P -=>问题3: 已知实际背景, 求随机变量的分布律与分布函数(或密度函数)例2.8 一袋中装有4个球,球上分别记有号码1,2,3,4。
第二章 《随机变量及其分布》练习题一、选择题1.任意抛掷三枚均匀硬币,恰有2枚正面朝上的概率为( )A .34 B .38 C .13 D .142.在4次独立重复试验中,事件A 发生的概率相同,若事件A 至少发生1次的概率为6581,则事件A 在1次试验中发生的概率为( )A .13 B .25 C .56 D .343.若X ~B (10,0.8),则P (X =8)等于( )A .C 810×0.88×0.22B .C 810×0.82×0.28 C .0.88×0.22D .0.82×0.284.若X 是一个随机变量,则E (X -E (X ))的值为( )A .无法求B .0C .E (X )D .2E (X )5.某人从家乘车到单位,途中有3个交通岗.假设在各交通岗遇到红灯的事件是相互独立的,且概率都是0.4,则此人上班途中遇红灯次数的均值为( ) A .0.4 B .1.2 C .0.43D .0.66.已知随机变量ξ的概率分布如下表所示:且η=2ξ+3,则E (η)等于( )A.35 B.65 C.215 D.1257.随机变量ξ的分布列为则ξ的数学期望是( )A .2B .2.1C .2.3D .随m 的变化而变化8.某班有14的学生数学成绩优秀,如果从班中随机地找出5名学生,那么其中数学成绩优秀的学生数ξ~B ⎝⎛⎭⎫5,14,则E (-ξ)的值为( ) A.14 B .-14 C.54 D .-549.有10张卡片,其中8张标有数字2,2张标有数字5,从中任意抽出3张卡片,设3张卡片上的数字之和为X ,则X 的数学期望是( )A .7.8 B .8 C .16 D .15.6 10.设随机变量ξ的分布列如下表:且E (ξ)=1.6,则a -b 等于( D .-0.411.设一随机试验的结果只有A 和A 且P (A )=m ,令随机变量ξ=⎩⎪⎨⎪⎧1,A 发生0,A 不发生,则ξ的方差D (ξ)等于( )A .mB .2m (1-m )C .m (m -1)D .m (1-m )12.由以往的统计资料表明,甲、乙两运动员在比赛中得分情况为:D .无法确定 13.已知随机变量ξ,η满足ξ+η=8,且ξ服从二项分布ξ~B (10,0.6),则E (η)和D (η)的值分别是( )A .6和2.4B .2和2.4C .2和5.6D .6和5.614.随机变量X 的分布列如下:若E (X )=158,则D (X )等于( ) A.732 B.932 C.3364 D.556415.若随机变量ξ的分布列为P (ξ=m )=13,P (ξ=n )=a ,若E (ξ)=2,则D (ξ)的最小值等于( )A .0B .2C .4D .无法计算16.某班举行了一次“心有灵犀”的活动,教师把一张写有成语的纸条出示给A 组的某个同学,这个同学再用身体语言把成语的意思传递给本组其他同学.若小组内同学甲猜对成语的概率是0.4,同学乙猜对成语的概率是0.5,且规定猜对得1分,猜不对得0分,则这两个同学各猜1次,得分之和X (单位:分)的数学期望为( )A .0.9 B .0.8 C .1.2 D .1.117.有10张卡片,其中8张标有数字2,2张标有数字5,从中任意抽出3张卡片,设3张卡片上的数字之和为X ,则X 的数学期望是( )A .7.8 B .8 C .16 D .15.6二、填空题1.一射手对靶射击,直到第一次命中为止,每次命中的概率为0.6,现有4颗子弹,命中后的剩余子弹数目X 的期望为________.2.袋中装有6个红球,4个白球,从中任取1个球,记下颜色后再放回,连续摸取4次,设X 是取得红球的次数,则E (X )=________.3.随机变量ξ的取值为0,1,2.若P (ξ=0)=15,E (ξ)=1,则D (ξ)=________.4.节日期间,某种鲜花的进价是每束2.5元,售价是每束5元,节后对没有卖出的鲜花以每束1.6元处理.根据前5年节日期间对这种鲜花需求量ξ(束)的统计(如下表),若进这种鲜花500束在今年节日期间销售,则利润的均值是________元.三、解答题1.某师范大学志愿者支教团体有6名男同学,4名女同学.在这10名同学中,3名同学来自数学系,其余7名同学来自物理、化学等其他互不相同的七个系.现从这10名同学中随机选取3名同学,到希望小学进行支教活动(每位同学被选到的可能性相同). (Ⅰ)求选出的3名同学来自互不相同的系的概率;(Ⅱ)设X 为选出的3名同学中女同学的人数,求随机变量X 的分布列和数学期望.2.现有甲、乙两个靶,某射手向甲靶射击一次,命中的概率为34;向乙靶射击一次命中的概率为23,该射手每次射击的结果相互独立.假设该射手进行一次测试,先向甲靶射击两次,若两次都命中,则通过测试;若两次中只命中一次,则再向乙靶射击一次,命中也可通过测试,其它情况均不能通过测试.(1)求该射手通过测试的概率;(2)求该射手在这次测试中命中的次数X 的分布列及数学期望.3.在“出彩中国人”的一期比赛中,有6位歌手(1~6)登台演出,由现场的百家大众媒体投票选出最受欢迎的出彩之星,各家媒体独立地在投票器上选出3位出彩候选人,其中媒体甲是1号歌手的歌迷,他必选1号,另在2号至6号中随机的选2名;媒体乙不欣赏2号歌手,他必不选2号;媒体丙对6位歌手的演唱没有偏爱,因此在1至6号歌手中随机的选出3名.(1)求媒体甲选中3号且媒体乙未选中3号歌手的概率;(2)用X表示3号歌手得到媒体甲、乙、丙的票数之和,求X的分布列及数学期望.4.某学校举行知识竞赛,第一轮选拔共设有A、B、C、D四个问题,规则如下:①每位参加者计分器的初始分均为10分,答对问题A、B、C、D分别加1分、2分、3分、6分,答错任一题减2分;②每回答一题,计分器显示累计分数,当累计分数小于8分时,答题结束,淘汰出局;当累计分数大于或等于14分时,答题结束,进入下一轮;当答完四题,累计分数仍不足14分时,答题结束,淘汰出局;③每位参加者按问题A、B、C、D顺序作答,直至答题结束.假设甲同学对问题A、B、C、D回答正确的概率依次为34、12、13、14,且各题回答正确与否相互之间没有影响.(1)求甲同学能进入下一轮的概率;(2)用ξ表示甲同学本轮答题结束时答题的个数,求ξ的分布列和数学期望E(ξ).第二章 《随机变量及其分布》练习题一、选择题1.任意抛掷三枚均匀硬币,恰有2枚正面朝上的概率为( )A .34 B .38 C .13 D .14[解析] 抛一枚硬币,正面朝上的概率为12,则抛三枚硬币,恰有2枚朝上的概率为P =C 23⎝⎛⎭⎫122×12=38. 2.在4次独立重复试验中,事件A 发生的概率相同,若事件A 至少发生1次的概率为6581,则事件A 在1次试验中发生的概率为( )A .13 B .25 C .56 D .34[解析] 事件A 在一次试验中发生的概率为p ,由题意得1-C 04p 0(1-p )4=6581,所以1-p =23,p =13, 3.若X ~B (10,0.8),则P (X =8)等于( )A .C 810×0.88×0.22B .C 810×0.82×0.28 C .0.88×0.22D .0.82×0.28[解析] ∵X ~B (10,0.8),∴P (X =k )=C k 100.8k (1-0.8)10-k ,∴P (X =8)=C 8100.88·0.22,故选A . 4.若X 是一个随机变量,则E (X -E (X ))的值为( )A .无法求B .0C .E (X )D .2E (X )[解析] 只要认识到E (X )是一个常数,则可直接运用均值的性质求解.∵E (aX +b )=aE (X )+b ,而E (X )为常数,∴E (X -E (X ))=E (X )-E (X )=0. [答案] B5.某人从家乘车到单位,途中有3个交通岗.假设在各交通岗遇到红灯的事件是相互独立的,且概率都是0.4,则此人上班途中遇红灯次数的均值为( )A .0.4B .1.2C .0.43D .0.6[解析] ∵途中遇红灯的次数X 服从二项分布,即X ~B (3,0.4),∴E (X )=3×0.4=1.2. [答案] B 6.已知随机变量ξ的概率分布如下表所示:且η=2ξ+3,则E (η)等于( )A.35 B.65 C.215 D.125解析:E (ξ)=0×715+1×715+2×115=35,E (η)=E (2ξ+3)=2E (ξ)+3=2×35+3=215.答案:C7.随机变量ξ的分布列为则ξ的数学期望是( )A .2B .2.1C .2.3D .随m 的变化而变化解析:∵0.2+0.5+m =1,∴m =0.3,∴E (ξ)=1×0.2+2×0.5+3×0.3=2.1.答案:B8.某班有14的学生数学成绩优秀,如果从班中随机地找出5名学生,那么其中数学成绩优秀的学生数ξ~B ⎝⎛⎭⎫5,14,则E (-ξ)的值为( )A.14 B .-14 C.54 D .-54 解析:∵E (ξ)=5×14=54,∴E (-ξ)=-E (ξ)=-54,故选D.9.有10张卡片,其中8张标有数字2,2张标有数字5,从中任意抽出3张卡片,设3张卡片上的数字之和为X ,则X 的数学期望是( )A .7.8 B .8 C .16 D .15.6解析:X 的取值为6,9,12,P (X =6)=C 38C 310=715,P (X =9)=C 28C 12C 310=715,P (X =12)=C 18C 22C 310=115.E (X )=6×715+9×715+12×115=7.8.答案:A10.设随机变量ξ的分布列如下表:且E (ξ)=1.6,则a -b 等于( D .-0.4解析:根据题意,⎩⎪⎨⎪⎧ 0.1+a +b +0.1=1,0×0.1+a +2×b +3×0.1=1.6,解得⎩⎪⎨⎪⎧a =0.3b =0.5.所以a -b =-0.2.答案C11.设一随机试验的结果只有A 和A 且P (A )=m ,令随机变量ξ=⎩⎪⎨⎪⎧1,A 发生0,A 不发生,则ξ的方差D (ξ)等于( )A .mB .2m (1-m )C .m (m -1)D .m (1-m ) 解析:依题意ξ服从两点分布,∴D (ξ)=m (1-m ),故选D.12.由以往的统计资料表明,甲、乙两运动员在比赛中得分情况为:A .甲B .乙C .甲、乙均可D .无法确定解析:E (ξ1)=E (ξ2)=1.1,D (ξ1)=1.12×0.2+0.12×0.5+0.92×0.3=0.49,D (ξ2)=1.12×0.3+0.12×0.3+0.92×0.4=0.69,∴D (ξ1)<D (ξ2),即甲比乙得分稳定,选甲参加较好,故选A.13.已知随机变量ξ,η满足ξ+η=8,且ξ服从二项分布ξ~B (10,0.6),则E (η)和D (η)的值分别是( )A .6和2.4 B .2和2.4 C .2和5.6D .6和5.6解析:由已知E (ξ)=10×0.6=6,D (ξ)=10×0.6×0.4=2.4.∵ξ+η=8,∴η=8-ξ.∴E (η)=-E (ξ)+8=2,D (ξ)=(-1)2D (ξ)=2.4.答案:B 14.随机变量X 的分布列如下:若E (X )=158,则D (X )等于( ) A.732 B.932 C.3364 D.5564解析:由⎩⎪⎨⎪⎧1×0.5+2x +3y =158,0.5+x +y =1,得⎩⎨⎧x =18,y =38.所以D (X )=⎝⎛⎭⎫1-1582×12+⎝⎛⎭⎫2-1582×18+⎝⎛⎭⎫3-1582×38=5564. 答案:D15.若随机变量ξ的分布列为P (ξ=m )=13,P (ξ=n )=a ,若E (ξ)=2,则D (ξ)的最小值等于( )A .0B .2C .4D .无法计算解析:由于分布列中,概率和为1,则a +13=1,a =23. ∵E (ξ)=2,∴m 3+2n3=2.∴m =6-2n .∴D (ξ)=13×(m -2)2+23×(n -2)2=23×(n -2)2+13×(6-2n -2)2=2n 2-8n +8=2(n -2)2.∴n =2时,D (ξ)取最小值0.答案:A16.某班举行了一次“心有灵犀”的活动,教师把一张写有成语的纸条出示给A 组的某个同学,这个同学再用身体语言把成语的意思传递给本组其他同学.若小组内同学甲猜对成语的概率是0.4,同学乙猜对成语的概率是0.5,且规定猜对得1分,猜不对得0分,则这两个同学各猜1次,得分之和X (单位:分)的数学期望为( )A .0.9 B .0.8 C .1.2D .1.1[解析] X 的取值为0、1、2,P (X =0)=(1-0.4)(1-0.5)=0.3, P (X =1)=0.4×(1-0.5)+(1-0.4)×0.5=0.5, P (X =2)=0.4×0.5=0.2,∴E (X )=0×0.3+1×0.5+2×0.2=0.9. [答案] A17.有10张卡片,其中8张标有数字2,2张标有数字5,从中任意抽出3张卡片,设3张卡片上的数字之和为X ,则X 的数学期望是( )A .7.8 B .8 C .16 D .15.6[解析] X 的取值为6、9、12,P (X =6)=C 38C 310=715,P (X =9)=C 28C 12C 310=715,P (X =12)=C 18C 22C 310=115. E (X )=6×715+9×715+12×115=7.8. [答案] A二、填空题1.一射手对靶射击,直到第一次命中为止,每次命中的概率为0.6,现有4颗子弹,命中后的剩余子弹数目X 的期望为________.解析:X 的可能取值为3,2,1,0,P (X =3)=0.6;P (X =2)=0.4×0.6=0.24;P (X =1)=0.42×0.6=0.096;P (X =0)=0.43=0.064.所以E (X )=3×0.6+2×0.24+1×0.096+0×0.064=2.376.2.袋中装有6个红球,4个白球,从中任取1个球,记下颜色后再放回,连续摸取4次,设X 是取得红球的次数,则E (X )=________.解析:每一次摸得红球的概率为610=35,由X ~B ⎝⎛⎭⎫4,35,则E (X )=4×35=125. 3.随机变量ξ的取值为0,1,2.若P (ξ=0)=15,E (ξ)=1,则D (ξ)=________.解析:由题意设P (ξ=1)=p ,则ξ的分布列如下由E (ξ)=1,可得p =35,所以D (ξ)=12×15+02×35+12×15=25. 答案:254.节日期间,某种鲜花的进价是每束2.5元,售价是每束5元,节后对没有卖出的鲜花以每束1.6元处理.根据前5年节日期间对这种鲜花需求量ξ(束)的统计(如下表),若进这种鲜花500束在今年节日期间销售,则利润的均值是________元.解析:节日期间这种鲜花需求量的均值为E (ξ)=200×0.20+300×0.35+400×0.30+500×0.15=340(束).设利润为η,则η=5ξ+1.6×(500-ξ)-500×2.5=3.4ξ-450, 所以E (η)=3.4E (ξ)-450=3.4×340-450=706(元). 三、解答题1.某师范大学志愿者支教团体有6名男同学,4名女同学.在这10名同学中,3名同学来自数学系,其余7名同学来自物理、化学等其他互不相同的七个系.现从这10名同学中随机选取3名同学,到希望小学进行支教活动(每位同学被选到的可能性相同). (Ⅰ)求选出的3名同学来自互不相同的系的概率;(Ⅱ)设X 为选出的3名同学中女同学的人数,求随机变量X 的分布列和数学期望. 解:(Ⅰ)3A 设“选出的名同学来自互不相同的系”为事件,1203373731049()60C C C C P A C346310()(0,1,2,3)k k c c p xk k c (Ⅱ)随机变量X 的所有可能值为0,1,2,3.随机变量X 的分布列为数学期望113161236210305E X .2.现有甲、乙两个靶,某射手向甲靶射击一次,命中的概率为34;向乙靶射击一次命中的概率为23,该射手每次射击的结果相互独立.假设该射手进行一次测试,先向甲靶射击两次,若两次都命中,则通过测试;若两次中只命中一次,则再向乙靶射击一次,命中也可通过测试,其它情况均不能通过测试.(1)求该射手通过测试的概率;(2)求该射手在这次测试中命中的次数X 的分布列及数学期望.[解析] (1)设“该射手通过测试”为事件A ,“向甲靶射击两次都命中”为事件B ,“向甲靶射击两次中只命中一次,则再向乙靶射击一次,命中”为事件C .事件B ,C 互斥,且A =B +C .所以该射手通过测试的概率P (A )=P (B )+P (C )=⎝⎛⎭⎫342+C 12·34·⎝⎛⎭⎫1-34·23=1316. (2)由题意知,X =0,1,2. P (X =0)=⎝⎛⎭⎫1-342=116;P (X =1)=C 12·34·⎝⎛⎭⎫1-34·⎝⎛⎭⎫1-23=18;P (X =2)=P (A )=1316. 所以该射手在这次测试中命中的次数X 的分布列为该射手在这次测试中命中的次数X 的数学期望为E (X )=0×116+1×18+2×1316=74.3.在“出彩中国人”的一期比赛中,有6位歌手(1~6)登台演出,由现场的百家大众媒体投票选出最受欢迎的出彩之星,各家媒体独立地在投票器上选出3位出彩候选人,其中媒体甲是1号歌手的歌迷,他必选1号,另在2号至6号中随机的选2名;媒体乙不欣赏2号歌手,他必不选2号;媒体丙对6位歌手的演唱没有偏爱,因此在1至6号歌手中随机的选出3名.(1)求媒体甲选中3号且媒体乙未选中3号歌手的概率;(2)用X 表示3号歌手得到媒体甲、乙、丙的票数之和,求X 的分布列及数学期望.[分析] (1)设A 表示事件:“媒体甲选中3号歌手”,B 表示事件“媒体乙选中3号歌手”,C 表示事件“媒体丙选中3号歌手”,由等可能事件概率公式求出P (A ),P (B ),由此利用相互独立事件的概率乘法公式和对立事件的概率公式能求出媒体甲选中3号歌手且媒体乙未选中3号歌手的概率.(2)先由等可能事件概率计算公式求出P (C ),由已知得X 的可能取值为0,1,2,3,分别求出相应的概率,由此能求出X 的分布列及数学期望.[解析] (1)设A 表示事件“媒体甲选中3号歌手”,B 表示事件“媒体乙选中3号歌手”,C 表示事件“媒体丙选中3号歌手”, P (A )=C 14C 25=25,P (B )=C 24C 35=35,媒体甲选中3号且媒体乙未选中3号歌手的概率为P (A B )=P (A )(1-P (B ))=25×(1-35)=425.(2)P (C )=C 25C 36=12,由已知得X 的可能取值为0,1,2,3,P (X =0)=P (A B C )=(1-25)(1-35)(1-12)=325,P (X =1)=P (A B C )+P (A B C )+P (A B C )=25(1-35)(1-12)+(1-25)×35×(1-12)+(1-25)(1-35)×12=1950, P (X =2)=P (AB C )+P (A B C )+P (A BC )=25×35×(1-12)+25(1-35)×12+(1-25)×35×12=1950,P (X =3)=P (ABC )=25×35×12=325,∴X 的分布列为E (X )=0×325+1×1950+2×1950+3×325=32.114.某学校举行知识竞赛,第一轮选拔共设有A 、B 、C 、D 四个问题,规则如下:①每位参加者计分器的初始分均为10分,答对问题A 、B 、C 、D 分别加1分、2分、3分、6分,答错任一题减2分;②每回答一题,计分器显示累计分数,当累计分数小于8分时,答题结束,淘汰出局;当累计分数大于或等于14分时,答题结束,进入下一轮;当答完四题,累计分数仍不足14分时,答题结束,淘汰出局;③每位参加者按问题A 、B 、C 、D 顺序作答,直至答题结束.假设甲同学对问题A 、B 、C 、D 回答正确的概率依次为34、12、13、14,且各题回答正确与否相互之间没有影响.(1)求甲同学能进入下一轮的概率;(2)用ξ表示甲同学本轮答题结束时答题的个数,求ξ的分布列和数学期望E (ξ).[解析] 设A 、B 、C 、D 分别表示甲同学能正确回答第一、二、三、四个问题的事件,A -、B -、C -、D-分别为A 、B 、C 、D 的对立事件(例如A -表示甲同学第一题回答错误).由题设条件知,P (A )=34,P (B )=12,P (C )=13,P (D )=14,P (A -)=14,P (B -)=12,P (C -)=23,P (D -)=34. (1)记“甲同学能进入下一轮”为事件W ,则由题设条件知W =ABC +AB C -D +A B -CD +A -BCD +A-B C -D ,∵A 、B 、C 、D 各事件相互独立,∴P (W )=P (A )·P (B )·P (C )+P (A )·P (B )·P (C -)·P (D )+P (A )·P (B -)·P (C )·P (D )+P (A -)·P (B )·P (C )·P (D )+P (A -)·P (B )·P (C -)·P (D )=34×12×13+34×12×23×14+34×12×13×14+14×12×13×14+14×12×23×14=14. (2)由题意知,ξ的可能取值为2、3、4,则P (ξ=2)=P (A -B -)=P (A -)·P (B -)=14×12=18, P (ξ=3)=P (ABC +A B -C -)=P (A )P (B )P (C )+P (A )P (B -)P (C -)=34×12×13+34×12×23=38. P (ξ=4)=1-P (ξ=2)-P (ξ=3)=1-18-38=12, ∴ξ的分布列为∴E (ξ)=2×18+3×38+4×12=278.。
概率论与数理统计练习题系 专业 班 姓名 学号第二章 随机变量及其分布(一)一.选择题:1.设X 是离散型随机变量,以下可以作为X 的概率分布是 [ B ](A )1234111124816Xx x x x p (B ) 123411112488X x x x x p (C )1234111123412Xx x x x p(D ) 1234111123412X x x x x p -2.设随机变量ξ的分布列为 01230.10.30.40.2X p )(x F 为其分布函数,则)2(F =[ C ](A )0.2 (B )0.4 (C )0.8 (D )1 二、填空题:1.设随机变量X 的概率分布为0120.20.5X p a ,则a = 0.32.某产品15件,其中有次品2件。
现从中任取3件,则抽得次品数X 的概率分布为 P{X=0}=22/35;P{X=1}=12/35; P{X=2}=1/353.设射手每次击中目标的概率为0.7,连续射击10次,则击中目标次数X 的概率分布为 P{X=k}=k kkC -⨯10103.07.0,10,,0Λ=k 或X~B(10,0.7)三、计算题:1.同时掷两颗骰子,设随机变量X 为“两颗骰子点数之和”求: (1)X 的概率分布; (2)(3)P X ≤; (3)(12)P X >(1) P{X=2}= P{X=12}=1/36; P{X=3}= P{X=11}=1/18;P{X=4}= P{X=10}=1/12; P{X=5}= P{X=9}=1/9;P{X=6}= P{X=8}=5/36;P{X=7}=1/6(2) P{X=2}=1/36; P{X=3}=1/18 (3) P{X>12}=02.产品有一、二、三等品及废品四种,其中一、二、三等品及废品率分别为60%,10%,20%及10%,任取一个产品检查其质量,试用随机变量X 描述检查结果。
第二章随机变量及其分布练习题1.甲、乙两人各进行一次射击,甲击中目标的概率是0.8,乙击中目标的概率是0.6,则两人都击中目标的概率是〔 〕A.1.4 B.0.9C.0.6 D.0.48 2.设随机变量1~62X B ⎛⎫ ⎪⎝⎭,,则(3)P X =等于〔 〕 A.516 B.316 C.58 D.7163.设随机变量X 的概率分布列为X1 2 3 P 16 13 12则E (X +2)的值为 ( ).A.113 B .9 C.133 D.734.两台相互独立工作的电脑,产生故障的概率分别为a ,b ,则产生故障的电脑台数的均值为〔 〕A.abB.a b + C.1ab - D.1a b --5.某一般高校招生体育专业测试合格分数线确定为60分.甲、乙、丙三名考生独立参加测试,他们能到达合格的概率分别是0.9,0.8,0.75,则三人中至少有一人达标的概率为( )A .0.015B .0.005 6.设随机变量~()X B n p ,,则22()()DX EX 等于〔 〕 A.2p B.2(1)p - C.np D.2(1)p p -7.对标有不同编号的6件正品和4件次品的产品进行检测,不放回地依次摸出2件.在第一次摸出正品的条件下,第二次也摸到正品的概率是().A.35 B.25 C.110 D.598.从1,2,3,4,5中任取2个不同的数,事件A=“取到的2个数之和为偶数〞,事件B=“取到的2个数均为偶数〞,则P(B|A)=().A.18 B.14 C.25 D.129.设随机变量ξ服从正态分布N(0,1),P(ξ>1)=p,则P(-1<ξ<0)等于().A.12p B.1-p C.1-2p D.12-p10.已知随机变量X服从正态分布N(μ,σ2),且P(μ-2σ<X<μ+2σ)=0.954 4,P(μ-σ<X<μ+σ)=0.682 6.假设μ=4,σ=1,则P(5<X<6)=( ) A.0.135 9 B.0.135 8C.0.271 8 D.0.271 611.甲、乙两人进行乒乓球比赛,比赛规则为“3局2胜〞,即以先赢2局者为胜.依据经验,每局比赛中甲获胜的概率为0.6,则本次比赛甲获胜的概率是().A.0.216 B.0.36 C.0.432 D.0.648 12.马老师从课本上抄录一个随机变量ξ的概率分布列如下表:处字迹模糊,但能断定这两个“?〞处的数值相同.据此,小牛给出了正确答案E(ξ)=________.13.如图,EFGH是以O为圆心、半径为1的圆的内接正方形.将一颗豆子随机地扔到该圆内,用A表示事件“豆子落在正方形EFGH内〞,B表示事件“豆子落在扇形OHE(阴影局部)内〞,则(1)P(A)=________;(2)P(B|A)=________.14.某灯泡厂生产大批灯泡,其次品率为1.5%,从中任意地陆续取出100个,则其中正品数X的均值为个,方差为.15.某大厦的一部电梯从底层出发后只能在第18、19、20层停靠,假设该电梯在底层载有5位乘客,且每位乘客在这三层的每一层下电梯的概率均为1 3,用X表示这5位乘客在第20层下电梯的人数,则P(X=4)=________.16.在口袋中有不同编号的3个白球和2个黑球.如果不放回地依次取两个球,求在第1次取到白球的条件下,第2次也取到白球的概率.17.某商场为刺激消费,拟按以下方案进行促销:顾客每消费500元便得到奖券一张,每张奖券的中奖概率为12,假设中奖,商场返回忆客现金100元.某顾客现购置价格为2 300元的台式电脑一台,得到奖券4张.(1)设该顾客中奖的奖券张数为X,求X的分布列;(2)设该顾客购置台式电脑的实际支出为Y元,用X表示Y,并求Y的数学期望.18.某公司“咨询热线〞共有8路外线,经长期统计发觉,在8点到10点这段时间内,外线同时打入情况如下表所示:同时0 1 2 3 4 5 6 7 8打入个数x概率p 0.13 0.35 0.27 0.14 0.08 0.02 0.01 0 0〔1〕假设这段时间内,公司只安排了2位接线员〔一个接线员一次只能接一个〕①求至少一路不能一次接通的概率;②在一周五个工作日中,如果有三个工作日的这段时间〔8点至10点〕内至少一路不能一次接通,那么公司的形象将受到损害,现用至少一路不能一次接通的概率表示公司形象的“损害度〞,求上述情况下公司形象的“损害度〞.〔2〕求一周五个工作日的这段时间〔8点至10点〕内,同时打入数X的均值.19.某仪表厂从供给商处购置元器件20件,双方协商的验货规则是:从中任取3件进行质量检测,假设3件中无不合格品,则这批元器件被接受,否则就要重新对这批元器件逐个检查.(1)假设该批元器件的不合格率为10%,求需对这批元器件逐个检查的概率;(2)假设该批元器件的不合格率为20%,求3件中不合格元器件个数的分布列与期望.20.某商店试销某种商品20天,获得如下数据:日销售量(件)012 3频数159 5该商品3件,当天营业结束后检查存货.假设发觉存量少于2件,则当天进货补充至3件,否则不进货.将频率视为概率.(1)求当天商店不进货的概率;(2)记X为第二天开始营业时该商品的件数.求X的分布列和数学期望.21.设每个工作日甲、乙、丙、丁4人需使用某种设备的概率分别为0.6,0.5,0.5,0.4,各人是否需使用设备相互独立.(1)求同一工作日至少3人需使用设备的概率;(2)X表示同一工作日需使用设备的人数,求X的数学期望.。
概率论与数理统计练习题系 专业 班 姓名 学号第六章 随机变量数字特征一.填空题1. 若随机变量X 的概率函数为1.03.03.01.02.043211pX-,则=≤)2(X P 0.6 ;=>)3(X P 0.1 ;=>=)04(X X P 0.125 .2. 若随机变量X 服从泊松分布)3(P ,则=≥)2(X P 8006.0413≈--e.3. 若随机变量X 的概率函数为).4,3,2,1(,2)(=⋅==-k c k X P k则=c1516. 4.设A ,B 为两个随机事件,且A 与B 相互独立,P (A )=0.3,P (B )=0.4,则()P AB =____________.(0.18)5.设事件A 、B 互不相容,已知()0.4=P A ,()0.5=P B ,则()=P AB 0.16. 盒中有4个棋子,其中2个白子,2个黑子,今有1人随机地从盒中取出2个棋子,则这2个棋子颜色相同的概率为____________.(13) 7.设随机变量X 服从[0,1]上的均匀分布,则()E X =____________.(12) 8.设随机变量X 服从参数为3的泊松分布,则概率密度函数为 __.(k 33(=,0,1,2k!P X k e k -==L )) 9.某种电器使用寿命X (单位:小时)服从参数为140000λ=的指数分布,则此种电器的平均使用寿命为____________小时.(40000)10在3男生2女生中任取3人,用X 表示取到女生人数,则X 的概率函数为11.若随机变量X 的概率密度为)(,1)(2+∞<<-∞+=x x a x f ,则=a π1;=>)0(X P 0.5 ;==)0(X P 0 .12.若随机变量)1,1(~-U X ,则X 的概率密度为 1(1,1)()2x f x ⎧∈-⎪=⎨⎪⎩其它13.若随机变量)4(~e X ,则=≥)4(X P ;=<<)53(X P .14..设随机变量X 的可能取值为0,1,2,相应的概率分布为0.6 , 0.3 ,0.1,则()E X = 0.515.设X为正态分布的随机变量,概率密度为2(1)8()x f x +-=,则2(21)E X -= 916.已知X ~B (n,p ),且E (X )=8,D (X )=4.8,则n= 。
第二章 随机变量及其分布基础训练Ⅰ一、选择题1、下列表中( A )可以作为离散型随机变量的分布律。
A) X 1 -1 0 1 B) X 2 0 1 2P 1/4 1/2 1/4 P -1/4 3/4 1/2C) X 3 0 1 2 D) X 4 1 2 1P 1/5 2/5 3/5 P 1/4 1/4 1/2 2、常数b =( B )时,),2,1()1( =+=k k k bp k 为离散型随机变量的概率分布。
A )2B )1C )1/2D )33、设⎪⎩⎪⎨⎧≥<<≤=1,110,2/0,0)(x x x x x F ,则( D )A )是随机变量的密度函数 B) 不是随机变量的分布函数 C )是离散型随机变量的分布函数 D )是连续型随机变量的分布函数4、设)(1x F 和)(2x F 分别为随机变量21,X X 的分布函数,为使)()()(21x bF x aF x F -=是某一随机变量的分布函数,在下列给定的各组数值中应取( A )A )a =3/5,b =-2/5 B) a =2/3,b =2/3 C )a =-1/2,b =3/2 D )a =1/2,b =-3/25、设随机变量),(~2σμN X ,且}{}{c X P c X P >=≤,则=c ( B )A) 0 B)μ C) μ- D) σ二、填空题1、连续型随机变量取任何给定值的概率为 0 。
2、设离散型随机变量X 分布律为⎪⎪⎭⎫⎝⎛5.03.02.0210,则P (X ≤1.5) = 0.5 。
3、设连续型随机变量X 的分布函数为⎪⎩⎪⎨⎧≥<≤<=1,110,0,0)(2x x Ax x x F ,则A = 1 ,X 落在(-1,1/2)内的概率为 1 / 4 。
4、设K 在(0, 5)上服从均匀分布,则方程02442=+++K Kx x 有实根的概率为0.6 。
5、随机变量X 的分布函数)(x F 是事件}{x X ≤的概率。
第二章 随机变量及其分布1、解:设公司赔付金额为X ,则X 的可能值为; 投保一年内因意外死亡:20万,概率为投保一年内因其他原因死亡:5万,概率为投保一年内没有死亡:02、一袋中有55,在其中同时取三只,以X 表示取出的三只球中的最大号码,写出随机变量X 的分布律解:X 可以取值3,4,5,分布律为1061)4,3,2,1,5()5(1031)3,2,1,4()4(1011)2,1,3()3(352435233522=⨯====⨯====⨯===C C P X P C C P X P C C P X P 中任取两球再在号一球为中任取两球再在号一球为号两球为号一球为也可列为下表 X : 3, 4,5P :106,103,101 ;3、设在15只同类型零件中有2只是次品,在其中取三次,每次任取一只,作不放回抽样,以X 表示取出次品的只数,(1)求X 的分布律,(2)画出分布律的图形。
解:任取三只,其中新含次品个数X 可能为0,1,2个。
3522)0(315313===C C X P3512)1(31521312=⨯==C C C X P 351)2(31511322=⨯==C C C X P .再列为下表X : 0, 1, 2P : 351,3512,3522 4、进行重复独立实验,设每次成功的概率为p ,失败的概率为q =1-p (0<p <1) (1)将实验进行到出现一次成功为止,以X 表示所需的试验次数,求X 的分布律。
(此时称X 服从以p 为参数的几何分布。
)(2)将实验进行到出现r 次成功为止,以Y 表示所需的试验次数,求Y的分布律。
(此时称Y 服从以r, p 为参数的巴斯卡分布。
)(3)一篮球运动员的投篮命中率为45%,以X 表示他首次投中时累计已投篮的次数,写出X 的分布律,并计算X 取偶数的概率。
解:(1)P (X=k )=q k -1p k=1,2,……(2)Y=r+n={最后一次实验前r+n -1次有n 次失败,且最后一次成功},,2,1,0,)(111 ===+=-+--+n p q C p p q C n r Y P r n n n r r n n n r 其中 q=1-p ,【或记r+n=k ,则 P {Y=k }= ,1,,)1(11+=----r r k p p C rk r r k (3)P (X=k ) = k - k=1,2…P (X 取偶数)=311145.0)55.0()2(1121===∑∑∞=-∞=k k k k X P 5、 一房间有3扇同样大小的窗子,其中只有一扇是打开的。
第2章随机变量及其分布习题答案第⼆章随机变量及其分布§2.1 随机变量的概念与离散型随机变量习题 1. 解: 1112(1)121,.993θθθθ+-++-=∴=±⼜因为≤0)1(2θθ-1≤ , 所以 13θ=.2. 解:设X 表⽰任取3次,取到的不合格品数,则 1)有放回 33()0.20.8,0,1,2,3.k k k P X k C k -=== 即X 的分布律为 X 0 1 2 3 P12564125481251212512)⽆放回 328310(),3,4,5.kkC C P X k k C-===即X 的分布律为 X 0 1 2 P 1571571514. 解:设X 表⽰直⾄取到⽩球为⽌,取球的次数,则其概率分布为X 1 2 3 4P521031531015. 解:由全概率公式得42(2)()(2|)111113().423448k P Y P Xk P Y X k =======++=∑§2.2 0-1分布和⼆项分布习题1. 解:设A 表⽰“10件中⾄少有两件⼀级品”,则P (A )=1()P A -=1=--6.04.04.0911010C 0.9983.2. 解: X 0 1 2 3 4 5P 54.0 6.04.0415C 23256.04.0C 32356.04.0C 4456.40.0C 5 6.00.01024 0.0768 0.2304 0.3456 0.2592 0.077763. 解:设A 表⽰“4个灯泡中⾄少有3个能使⽤1500⼩时以上”,则4. 解:1)设A 表⽰“恰有3粒种⼦发芽”,则003764768.002.098.0)(2335==C A P2)设B 表⽰“⾄少有4粒种⼦发芽”,则=+=544598.002.098.0)(C B P 0.996§2.3 泊松分布习题1. 解:设A 表⽰“⼀页上⾄多有⼀个印刷错误”,则 010.20.20.20.2()(1)(0)(1)0.9820!1!P A P X P X P X ee--=≤==+==+=2.解:1)设X 表⽰5分钟内接到的电话个数,则0,1,2,X = 22(),0,1,2,3,4,5,6.!kP X k e k k -===2)设A 表⽰“5分钟内⾄多接到3个电话”,则∑2!2-ek k=0.8571或4()(3)1(4)1k P A P X P X +∞==≤=-≥=-∑2!2-ek k=(查表)1-0.1429=0.85713.解:1)设A 表⽰“中午12时⾄下午3时没有急症病⼈”, 则~(1.5),X π1.51.5()(0)0.223.0!P A P X e-====2)设B 表⽰“中午12时⾄下午5时⾄少有2个急症病⼈”,则~(2.5),X π12.52.5()(2)1(0)(1)2.5 2.510.7127.0!1!P B P X P X P X ee--=≥=-=-==-§2.4 随机变量的分布函数习题1. 解:1)≥<≤<≤<=2,121,2110,310,0)(x x x x x F312)()(0)(1),221(14)(2),22(14)(1)(2).3P X P X P X P X P X P X P X P X ≤==+==<≤===≤≤==+==2. 解:X 0 1 2 3 4 5P 54.0 6.04.0415C 23256.04.0C 32356.04.0C 4456.40.0C 56.00.01024 0.0768 0.2304 0.3456 0.2592 0.07776≥<≤≤<≤<≤<≤<=515492.04366.03223.021086.01001.000)(x x x x x x x x F <3. 解:X 的分布律为 X -1 0 2 4 P 0.2 0.4 0.3 0.1 §2.5 连续型随机变量习题 1. 解:1)?? =?=?=101231,1)(c dx cx dx x f2)30,0(),011,1x F x x x x=≤)41()21()2141(=-=≤≤F F x P 22219()1()1().33327P X P X F >=-≤=-= 2. 解:1)连续型随机变量的分布函数左连续,则00012l i m ()(0),l i m ()(1),l i m ()(2),10,1,2211,210,,2.2x x x F x F F x F F x F A B C C A B C ---→→→=====----====解得2),01()()2,120,x x f x F x x x <'==-≤其它3)2111117P ()1P ()1F()1().222=-=-= 3. 解:1)12011()2,~(3,),44P A xdx Y B ==则 Y 的概率分布为 Y 0 1 2 3 P642764276496412)设B 表⽰“对X 的三次独⽴重复观测中事件A ⾄多出现两次”,则3163()1()1(3)1().464P B P B P Y =-=-==-= 4.设最⾼洪⽔位为X,河堤⾄少要修c 单位⾼,由题意得:32()1()10.0110.c P X c P X c dx c x>=-≤=-≤?≥?P X dx >==设A 表⽰“3次独⽴观测中⾄少有两次观测值⼤于3”,则223321220()()().33327P A C =+=2. 解:有实根的条件:2(4)44(2)01K 2,K K K -??+≥?≤-≥或所求概率为 3P (K 2.5dx ≥=521)=5 3. 解:1)33001,|1 3.33xxk k kedx ek +∞--+∞=-==?=?即2)23 4.561.5(1.52)3.xP x edx e e ---≤≤=1(200)1,600x P X e dx e--≤==-?设A 表⽰“3只独⽴元件⾄少1只在最初200⼩时内出故障”,则13311)(1)(1)(---=-=-=eeA P A P .§2.7 正态分布习题1. :(1)(0.022.33)(2.33)(0.02)0.99010.50800.4821;P X <<=Φ-Φ=-=解( 1.850.04)(0.04)( 1.85)(0.04)[1(1.85)](0.04)(1.85)10.5160.967810.4838. P X -<<=Φ-Φ-=Φ--Φ=Φ+Φ-=+-= 2. 解:101)(716)(12)(2)(1)3(2)(1)10.97720.841310.8185;X P X P -<<=-<<=Φ-Φ-=Φ+Φ-=+-=10222)(102)()2()120.748610.4972;333x P x P --<=<=Φ-=?-=103)()0.9()0.9,(1.28)0.9,1.28,13.84.3P X αααα-<=?Φ=Φ≈-==反查表得故得3. 解:设X 表⽰螺栓长度,则:10.05(10.050.12)(2)2(2)120.977210.9544.0.06X P X P --<=<=Φ-=?-=4. 解:30(30)()2(1.5)10.8664,2020X P X P ≤=≤=Φ-=设A 表⽰“三次测量中⾄少有⼀次误差的绝对值不超过30cm ”3()1()1(0.1336)0.9976.P A P A =-=-=§2.8 随机变量函数的分布习题 1. 解:1)Y -3 2 5 6 P161 164 167 1642) Z 1 2 3 4 9 P1621641651641612. 解: 3110≤≤?≤≤y x , 当31≤≤y 时,11()();2y Y Y Y y y F y P Y y P X y P X dx f y F y ---=≤=+≤=≤= ='==;当13,y y ≤≥或时Y 的密度函数为零.故Y 的密度函数为1,13()20,Y y f y ?≤≤?=其它22222()2()22()()()(),,()(),.Y X yy yY Y X Y F y P Y y P y P X y dx y R Y f y F y y R µσµσµσµσµ∈'===∈?3.解:因为的分布函数为所以的密度函数为第⼆章随机变量及其分布复习题⼀选择题1. B2. B3. C4. D5. C ⼆填空题 1.22(),0,1,2,;!kP X k e k k -=== 0.592. 27193. ,1,21π==B A2111,,21x R xπ∈+4.,65,61 分布律:X -1 1 2P 611. 解: X 的分布律为 X 1 2 3 4 P643764196476412. 解: X 的分布律为 1(),1,2,3,.k P X k q p k -=== 3. 解:设X 表⽰两次调整之间⽣产的合格品数,则X 的分布律为1()(1),0,1,2,.k P X k p p k -==-=4. 解: X 的概率分布为55()0.250.75,0,1,2,3,4,5.k k kP X k C k -===设A 表⽰“5道选择题⾄少答对两题”,则()1(0)(1)0.3672.P A P X P X =-=-==5. 解:1)⼀天中必须有油船转⾛意味着“X .>3”242(3)0.143;!kk P X ek ∞(查泊松分布表)2) 设设备增加到⼀天能为y 艘油船服务,才能使到达港⼝的90%的油船可以得到服务.则21212()0.910.9!20.1,15 4.!kk y kk y P X y ek ey y k ∞-=+∞-=+≤≥?-≥?≤+≥?≥∑∑反查泊松分布表得6. 解:21)()()31()31(3131=+=+?>dx b ax dx b ax X P X P47,23=-=?b a7.170170170:1)()0.01()()0.99666170(2.33)0.99 2.33184.6X h h P X h P h h ---≥≥?≥解查表得2)(182)P X ≥=1821701()1(2)0.02,6--Φ=-Φ≈设A 表⽰“100个男⼦中与车门碰头⼈数不多于2个”676.002.098.002.098.098.0)(2982100991100100=++=C C A P .8. 解:(1) X 的分布函数为 1,02()11,02xx e x F x e x -?-∞<≤??=??-<<+∞??011(2)P Y P X e dx P Y P X e dx ∞--∞==>===-=≤==故Y的概率分布律为Y-1 1P1/2 1/2Y的分布函数为0,11(),1121,1YyF y yy<-=-≤<≥。
第二章 随机变量及其概率分布 考试模拟题(共90分)一.选择题(每题2分共20分)1.F(X)是随机变量X 的分布函数,则下列结论不正确的是( B )A.≤0F(x )1≤B.F(x )=P{X=x }C.F(x )=P{X x ≤}D.F(∞+)=1, F(∞-)=0 解析: A,C,D 都是对于分布函数的正确结论,请记住正确结论!B 是错误的。
2.设随机变量X 的分布函数律为如下表格:F(x)为其分布函数,则F(5)=( C )A.0.3B.0.5C.0.6D.0.4解析:由分布函数定义F(5)=P{X ≤5}=P{X=0}+P{X=2}+P{X=4}=0.1+0.2+0.3=0.6 3.下列函数可以作为随机变量分布函数的是( D )4x 01≤≤x 2x 10<≤x A.F(x)= B.F(x)=1 其它2 其它 -1 x<0 0 x<0 C.F(x)= 2x 10<≤x D.F(x)= 2x 5.00<≤x 1 其它 1 x ≥0.5解析:由分布函数F(x)性质:01)(≤≤x F ,A,B,C 都不满足这个性质,选D4x31<<-x 4.设X 的密度函数为f(x)= 则P{-2<x<2}=( B ) 0, 其它A. 0B.83C. 43D.85解析:P{-2<x<2}=⎰-22)(dx x f =dx xdx ⎰⎰---+122140=2128-x =83,选B 5. 设随机变量X 的取值范围是(-1,1),以下函数可作为X 的概率密度的是(C )A.f(x)=.;11,0,其它<<-⎩⎨⎧x xB.f(x)=.;11,,02其它<<-⎩⎨⎧x x C.f(x)=.;11,0,21其它<<-⎪⎩⎪⎨⎧xD.f(x)=.;11,0,2其它<<-⎩⎨⎧x解析:根据密度函数性质:A.有f(x)0≤的情况,错; B.D.不符合⎰+-=111)(dx x f 错;C. 12121|21211111=+==-+-⎰x dx 选C 6.设随机变量X~N(1,4),5.0)0(,8413.0)1(=Φ=Φ,则事件{13X ≤≤}的概率为(D ) A.0.1385 B.0.2413 C.0.2934 D.0.3413解:P {13X ≤≤}=F(3)-F(1)=3413.05.08413.0)0()1()211()213=-=-=---φφφφ(7.已知随机变量X 的分布函数为( A )F(x)= ⎪⎪⎪⎪⎩⎪⎪⎪⎪⎨⎧≥<≤<≤<313132102100x x x x ,则P }{1X ==A .61 B .21 C .32D .1解析:把分布函数8.设随机变量X 的概率密度为f (x )=⎪⎩⎪⎨⎧≤<-≤<其它021210x xx x,则P (0.2<X<1.2)=(A ) A.0.5 B.0.6 C.0.66 D.0.7解析:P{0.2<X<1.2}=⎰=2.12.0)(dx x f ⎰+.12.0xdx ⎰=2.11)-2dx x (2.11212.02|)212(|21x x x -+ =5.021244.1214.204.021-21=+-⨯-+⨯ 选A 9.已知连续型随机变量X 服从区间[a ,b ]上的均匀分布,则概率=⎭⎬⎫⎩⎨⎧+<32b a X P ( B )A .0B .31C .32D .1解析:=⎭⎬⎫⎩⎨⎧+<32b a X P =⎭⎬⎫⎩⎨⎧+<≤32b a X a P a b ab a --+32=a b ab --3=31 , 选B 注意:=⎭⎬⎫⎩⎨⎧+<32b a X P ⎭⎬⎫⎩⎨⎧+<≤32b a X a P ,题目故意隐蔽了X 的下限a 10、设随机变量X 在区间[2,6]上服从均匀分布,则P{2<x<4}=( C ) A.P{5<x<7} B.p{1<x<3} C.P{3<x<5} D.P{4.5<x<6.5} 解析:P{2<x<4}=2624--=0.5, 而C.P{3<x<5}=2635--=0.5,其余都不是0.5,选C 注意:X 的取值范围是[2,6],A.B.D.都超出了范围,计算时要注意,如A.P{5<x<7}= P{5<x<6}=412656=--, 很容易犯的错:P{5<x<7}=212657=-- 二.填空题(每题2分共20分)1.设连续型随机变量X 的分布函数为如下F(x), 则当5.00<≤x 时,X 的概率密度)(x f 为( )0 x<0 F(x)= 2x, 5.00<≤x1 x ≥0.5解析: f(x)=)(x F ':( 2x )'=2 ; ( 0 )'=0 ;(1 )'=0所以:⎩⎨⎧<≤=其它05.00 2)(x x f2.设随机变量X 的分布为P{X=k}=10k,k=0,1,2,3,4,则P{0.5<X ≤2}=(3/10 )解析:根据所给分布律:P{0.5<X ≤2}=P{X=1}+P{X=2}=1/10+2/10=3/10 3.设随机变量X ~N(2,9),已知标准正态分布函数值=Φ)1(0.8413,为使P{X<a}<0.8413,则常数a<( 5 ) 解析: P{X<a}=F(a)=5132)1()32(<⇒<-⇒Φ<-Φa a a 4.某人掷五次骰子,则在五次中得到点为6的次数X 的分布率为P{X=i}=( ii i C -55)65()61( ) i=0,1,2,3,4,5解析:二项分布B(5,1/6):P{X=i}=ii i C -55)65()61(5.设随机变量X 服从区间[0,5]上的均匀分布,则P {}3≤X = __3/5__.解析:P {}=≤3X P {}53050330=--=≤≤X此题主要注意X 的取值范围:0≥X 6.设随机变量X 服从区间[]10,0上的均匀分布,则P (X>4)=_3/5_.P{X>4}= P{}104≤<X =530-104-10= 此题主要注意X 的取值范围:X 10≤ 7.在[]T ,0内通过某交通路口的汽车数X 服从泊松分布,且已知 P{X=4}=3P{X=3},则在[]T ,0内至少有一辆汽车通过的概率为12-1-e .解析:泊松分布:P{X=K}=,根据P{X=4}=3P{X=3}⇒λλλλ--⨯=e e !33434!⇒!3134⨯=!λ⇒12=λ “至少有一辆汽车通过”用它的逆事件“没有一辆通过”的概率做方便:P{至少有一辆汽车通过}=1-P{X=0}=1-12120-1012--=e e !8.已知随机变量X 的分布函数为F(x)=⎪⎪⎪⎩⎪⎪⎪⎨⎧≥<≤<≤<3x 13x 1321x 0210x 0 则P{2<X ≤4}=1/3_。
解析:P{2<X ≤4}=F(4)-F(2)=1-2/3=1/39.已知随机变量X 的概率密度为f(x)=ce -|x|,-∞<x<+∞,则c=1/2。
解析:根据密度函数性质: ⎰+∞∞-=-||dx Cex ⎰∞+0-dx Ce x⎰+∞-=0dx Ce x +∞-∞--00||x x CeCe =C-0-0+C=12/112=⇒=⇒C C 10.设随机变量X 的概率分布为F (x )为其分布函数,则F (3)=53/56.解析:F (3)=P{}3≤X =1/4+1/8+4/7=53/56 (用1-3/56计算方便)注意:本题(1)理解分布函数意义}{)(x X P x F ≤=(2)对于离散型求概率时一定要在乎x X ≤与x X <的区别,对于本题如果没有“等于”,4/7就不算在内了。
而连续型可以不在乎有没有“等于”,不会影响求概率结果。
三.计算题。
1、设分别有标号1~5的五张卡片,每次任取一张,取后不放回,X 为直至取到大于等于3的卡片为止所需要的次数,求X 分布率。
(6分)解析: P{X=1}=3/5;P{X=2}=(2/5)(3/4)=3/10;P{X=3}=(2/5)(1/4)(3/3)=1/10 X 1 2 3 P3/53/101/10注意:概率之和应该为1,否则肯定是错了!2、设离散型随机变量X 的分布律为下表 (8分)X 0 1 2 P0.10.30.6求:(1)X 的分布函数F(X)(2)试用所求得分布函数求P{0.5<X }3≤解析: (1) ⎪⎪⎩⎪⎪⎨⎧≥<≤<≤<=2124.01 1.000)(x x x x x F(2) P{0.5<X }3≤=F(3)-F(0.5)=1-0.1=0.93.随机变量X 的密度函数为 (8分) cx+1, 02<≤x f(x)=0, 其它 求:(1)常数c(2)P{1<x<3}(1)dx Cx )1(20+⎰=()22x cx +2=2c+2=15.0-=⇒c(2)P{1<x<3}=2123121|25.0()5.01()(x x dx x dx x f -=-=⎰⎰=2-1-1+0.25=0.254.设随机变量X 的概率密度为=)(x f X 分)(10 1 0112⎪⎩⎪⎨⎧<≥x x x (1)求X 分布函数)(x F X(2)求P{}331≤<X(3)令Y=3X,求Y 概率密度)(y f Y(1)时 1≥x :11|11)(112+-=-==⎰x t dt tx F x xX , 时 1<x 0 所以:⎪⎩⎪⎨⎧<≥+=10111-)(x x x x F X(2)=≤<}331{x P 32131|1131312=+-=-=⎰x dx x(注意积分下限从1开始,而不是1/3)或直接利用(1)的结果=≤<}331{x P F(3)-F(1)=321-1131-=++(3)由Y=3X ⇒ X=Y 31⇒31='X当3≥y 时, 3)31()31(1)(22yy y f Y ==; y<3时, 0)(=y f Y 所以:⎪⎩⎪⎨⎧<≥=3 033)(2y y y y f Y5.甲在上班路上所需的时间(单位:分)X~N (50,100).已知上班时间为早晨8时,他每天7时出门,试求: (10分)(1)甲迟到的概率;(2)某周(以五天计)甲最多迟到一次的概率. (Φ(1)=0.8413,Φ(1.96)=0.9750,Φ(2.5)=0.9938) 解析:(1)设X 为需要时间(分)则 P{甲迟到}=P{X>60}=1-P{X<60}=1-F(60)= 1-)()(1-11050-60φφ==1-0.8413=0.1587 (2) 设Y 为天数,则Y~B(5,0.1587) P{最多迟到一次}=P{Y=0}+P{Y=1}=411550058413.07158.08413.07158.0⨯⨯+⨯⨯C C =458413.07158.058413.0⨯⨯+=0.818976.已知某种类型的电子元件的寿命X(单位:小时)服从指数分布,它的概率密度为⎪⎩⎪⎨⎧≤>=-.0,0,0,6001)(600x x ex f x某仪器装有3只此种类型的电子元件,假设3只电子元件损坏与否相互独立,试求在仪器使用的最初200小时内,至少有一只电子元件损坏的概率.(10分) 解析:(1)先求每个电子元件200小时内损坏的概率3103120006006002001|)600(60016001}200{-----=+-=-==<⎰e e e e dx e X P xx(2)设Y 为损坏的电子元件数量,则Y )1,3(~31--e BP{Y }0{1}1=-=≥Y P =1-23103103)()1(---e e C =32-e。