原子结构示意图
- 格式:ppt
- 大小:3.72 MB
- 文档页数:22
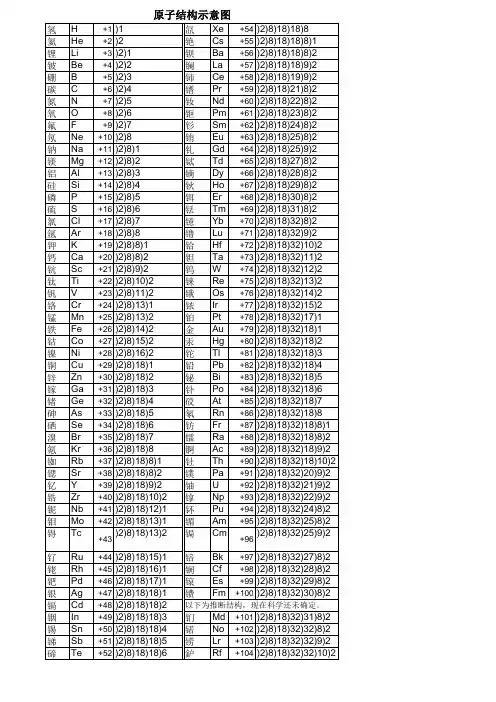
+19 2 8 8 1 钾K +20 2 8 8 2 钙Ca +21 2 8 9 2 钪Sc+22 2 8 10 2 钛Ti +23 2 8 11 2 钒V +24 2 8 13 1 铬Cr+25 2 8 13 2 锰Mn +26 2 8 14 2 铁Fe +27 2 8 15 2 钴Co+28 2 8 16 2 镍Ni +29 2 8 18 1 铜Cu +30 2 8 18 2 锌Zn+31 2 8 18 3 镓Ga +32 2 8 18 4 锗Ge +33 2 8 18 5 砷As+34 2 8 18 6 硒Se +35 2 8 18 7 溴Br +36 2 8 18 8 氪Kr+37 2 8 18 8 1 铷Rb +38 2 8 18 8 2 锶Sr +39 2 8 18 9 2 钇Y+40 2 8 18 10 2 锆Zr +41 2 8 18 12 1 铌Nb +42 2 8 18 13 1 钼Mo +43 2 8 18 13 2 锝Tc +44 2 8 18 15 1 钌Ru +45 2 8 18 16 1 铑Rh +46 2 8 18 18 钯Pd +47 2 8 18 18 1 银Ag +48 2 8 18 18 2 镉Cd +49 2 8 18 18 3 铟In +50 2 8 18 18 4 锡Sn +51 2 8 18 18 5 锑Sb +52 2 8 18 18 6 碲Te +53 2 8 18 18 7 碘I +54 2 8 18 18 8 氙Xe +55 2 8 18 18 8 1 铯Cs +56 2 8 18 18 8 2 钡Ba +57 2 8 18 18 9 2 镧La +58 2 8 18 19 9 2 铈Ce +59 2 8 18 21 8 2 镨Pr +60 2 8 18 22 8 2 钕Nd +61 2 8 18 23 8 2 钷Pm +62 2 8 18 24 8 2 钐Sm +63 2 8 18 25 8 2 铕Eu +64 2 8 18 25 9 2 钆Gd +65 2 8 18 27 8 2 铽Td +66 2 8 18 28 8 2 镝Dy +67 2 8 18 29 8 2 钬Ho +68 2 8 18 30 8 2 铒Er +69 2 8 18 31 8 2 铥Tm +70 2 8 18 32 8 2 镱Yb +71 2 8 18 32 9 2 镥Lu +72 2 8 18 32 10 2 铪Hf+73 2 8 18 32 11 2 钽Ta +74 2 8 18 32 12 2 钨W +75 2 8 18 32 13 2 铼Re +76 2 8 18 32 14 2 锇Os +77 2 8 18 32 15 2 铱Ir +78 2 8 18 32 17 1 铂Pt +79 2 8 18 32 18 1 金Au +80 2 8 18 32 18 2 汞Hg +81 2 8 18 32 18 3 铊Tl +82 2 8 18 32 18 4 铅Pb +83 2 8 18 32 18 5 铋Bi +84 2 8 18 32 18 6 钋Po +85 2 8 18 32 18 7 砹At +86 2 8 18 32 18 8 氡Rn +87 2 8 18 32 18 8 1 钫Fr +88 2 8 18 32 18 8 2 镭Ra +89 2 8 18 32 18 9 2 锕Ac +90 2 8 18 32 18 10 2 钍Th +91 2 8 18 32 20 9 2 镤Pa +92 2 8 18 32 21 9 2 铀U +93 2 8 18 32 22 9 2 镎Np +94 2 8 18 32 24 8 2 钚Pu +95 2 8 18 32 25 8 2 镅Am +96 2 8 18 32 25 9 2 锔Cm +97 2 8 18 32 27 8 2 锫Bk +98 2 8 18 32 28 8 2 锎Cf +99 2 8 18 32 29 8 2 锿Es +100 2 8 18 32 30 8 2 镄Fm +101 2 8 18 32 31 8 2 钔Md(推断结构,现在科学还未确定,下同)+102 2 8 18 32 32 8 2 锘No +103 2 8 18 32 32 9 2 铹Lr +104 2 8 18 32 32 10 2 鈩Rf +105 2 8 18 32 32 11 2 钅杜Db初中常见的离子团NH4 铵根+1价SO3 亚硫酸根-2价SO4 硫酸根-2价CO3 碳酸根-2价Cl 盐酸根-1价OH 氢氧根-1价NO3 硝酸根-1价NO2 亚硝酸根-1价CIO3 氯酸根-1价ClO 次氯酸根-1价,ClO4 高氯酸根-1价,H2PO4 磷酸二氢根-1价HPO42 磷酸氢根-1价MnO4 高锰酸根-1价MnO4 锰酸根-2价SiO3 硅酸根-2价HCO3 碳酸氢根-1价HSO4 硫酸氢根-1价PO4 磷酸根-3价。
元素周期表各原子结构示意图第1周期[1] K 氢1[2] He 氦2第2周期[3] Li 锂2 1[4] Be 铍2 2[5] B 硼2 3[6] C 碳2 4[8] O 氧2 6[9] F 氟2 7[10]Ne 氖2 8第3周期[11]Na 钠2 8 1[12]Mg 镁2 8 2[13]Al 铝2 8 3[14]Si 硅2 8 4[15] P 磷2 8 5[16] S 硫2 8 6[17]Cl 氯2 8 7[18]Ar 氩2 8 8第4周期[19]K 钾2 8 8 1[20]Ca 钙2 8 8 2[21]Sc 钪2 8 9 2[22]Ti 钛2 8 10 2[23]V 钒2 8 11 2[24]Cr 铬2 8 13 1[25]Mn 锰2 8 13 2[26]Fe 铁2 8 14 2[27]Co 钴2 8 15 2[28]Ni 镍2 8 16 2[29]Cu 铜2 8 18 1[30]Zn 锌2 8 18 2[31]Ga 镓2 8 18 3[32]Ge 锗2 8 18 4[33]As 砷2 8 18 5[34]Se 硒2 8 18 6[35]Br 溴2 8 18 7[36]Kr 氪2 8 18 8第5周期[37]Rb 铷2 8 18 8 1[38]Sr 锶2 8 18 8 2[40]Zr 锆2 8 18 10 2[41]Nb 铌2 8 18 12 1[42]Mo 钼2 8 18 13 1[43]Tc 锝2 8 18 13 2[44]Ru 钌2 8 18 15 1[45]Rh 铑2 8 18 16 1[46]Pd 钯2 8 18 18[47]Ag 银2 8 18 18 1[48]Cd 镉2 8 18 18 2[49]In 铟2 8 18 18 3[50]Sn 锡2 8 18 18 4[51]Sb 锑2 8 18 18 5[52]Te 碲2 8 18 18 6[53]I 碘2 8 18 18 7[54]Xe 氙2 8 18 18 8第6周期[55]Cs 铯2 8 18 18 8 1[56]Ba 钡2 8 18 18 8 2[57]La 镧2 8 18 18 9 2[58]Ce 铈2 8 18 19 9 2[59]Pr 镨2 8 18 21 8 2[60]Nd 钕2 8 18 22 8 2[61]Pm 钷2 8 18 23 8 2[62]Sm 钐2 8 18 24 8 2[63]Eu 铕2 8 18 25 8 2[64]Gd 钆2 8 18 25 9 2[65]Tb 铽2 8 18 27 8 2[66]Dy 镝2 8 18 28 8 2[67]Ho 钬2 8 18 29 8 2[68]Er 铒2 8 18 30 8 2[69]Tm 铥2 8 18 31 8 2[70]Yb 镱2 8 18 32 8 2[71]Lu 镥2 8 18 32 9 2[72]Hf 铪2 8 18 32 10 2[73]Ta 钽2 8 18 32 11 2[74]W 钨2 8 18 32 12 2[75]Re 铼2 8 18 32 13 2[76]Os 锇2 8 18 32 14 2[77]Ir 铱2 8 18 32 15 2[78]Pt 铂2 8 18 32 17 1[79]Au 金2 8 18 32 18 1[81]Tl 铊2 8 18 32 18 3[82]Pb 铅2 8 18 32 18 4[83]Bi 铋2 8 18 32 18 5[84]Po 钋2 8 18 32 18 6[85]A 砹2 8 18 32 18 7[86]Rn 氡2 8 18 32 18 8第7周期[87]Pr 钫2 8 18 32 18 8 1[88]Ra 镭2 8 18 32 18 8 2[89]Ac 锕2 8 18 32 18 9 2[90]Th 钍2 8 18 32 18 102[91]Pa 镤2 8 18 32 20 9 2[92]U 铀2 8 18 32 21 92[93]Np 镎2 8 18 32 22 92[94]Pu 钚2 8 18 32 24 82[95]Am 镅*2 8 18 32 25 82[96]Cm 锔*2 8 18 32 25 92[97]Bk 锫*2 8 18 32 27 82[98]Cf 锎*2 8 18 32 28 82[99]Es 锿*2 8 18 32 29 82[100]Fm 镄* 2 8 18 32 308 2[101]Md 钔* 2 8 18 32 318 2[102]No 锘* 2 8 18 32 328 2[103]Lr 铹* 2 8 18 32 329 2[104]Rf*[105]Db*[106]Sg*[107]Bh*[108]Hs*[109]Mt*[110]Ds*[111]Rg*[112]Uub*104-112号暂未列出57-71号为镧系元素89-103号为锕系元素红色(深红色)为放射性元素带*号为人造元素。
+19 2 8 8 1钾 K+20 2 8 8 2钙 Ca+21 2 8 9 2钪 Sc+22 2 8 10 2钛 Ti+23 2 8 11 2钒 V+24 2 8 13 1铬 Cr+25 2 8 13 2锰 Mn+26 2 8 14 2铁 Fe+27 2 8 15 2钴 Co+28 2 8 16 2镍 Ni+29 2 8 18 1铜 Cu+30 2 8 18 2锌 Zn+31 2 8 18 3镓 Ga+32 2 8 18 4锗 Ge+33 2 8 18 5砷 As+34 2 8 18 6硒 Se+35 2 8 18 7溴 Br+36 2 8 18 8氪 Kr+37 2 8 18 8 1铷 Rb+38 2 8 18 8 2 锶 Sr+39 2 8 18 9 2钇 Y+40 2 8 18 10 2锆 Zr+41 2 8 18 12 1铌 Nb+42 2 8 18 13 1 钼 Mo+43 2 8 18 13 2锝 Tc+44 2 8 18 15 1 钌 Ru+45 2 8 18 16 1 铑 Rh+46 2 8 18 18钯 Pd+47 2 8 18 18 1银 Ag+48 2 8 18 18 2 镉 Cd+49 2 8 18 18 3铟 In+50 2 8 18 18 4锡 Sn+51 2 8 18 18 5锑 Sb+52 2 8 18 18 6碲 Te+53 2 8 18 18 7碘 I+54 2 8 18 18 8氙 Xe+55 2 8 18 18 8 1铯 Cs+56 2 8 18 18 8 2钡 Ba+57 2 8 18 18 9 2 镧 La+58 2 8 18 19 9 2 铈 Ce+59 2 8 18 21 8 2 +61 2 8 18 23 8 2 钷 Pm+62 2 8 18 24 8 2 +64 2 8 18 25 9 2 钆 Gd+65 2 8 18 27 8 2 +67 2 8 18 29 8 2 钬 Ho+68 2 8 18 30 8 2 +70 2 8 18 32 8 2 镱 Yb+71 2 8 18 32 9 2 镨 Pr+60 2 8 18 22 8 2钐 Sm+63 2 8 18 25 8 2铽 Td+66 2 8 18 28 8 2铒 Er+69 2 8 18 31 8 2镥 Lu+72 2 8 18 32 10 2钕 Nd铕 Eu镝 Dy铥 Tm铪 Hf+73 2 8 18 32 11 2+76 2 8 18 32 14 2+79 2 8 18 32 18 1+82 2 8 18 32 18 4+85 2 8 18 32 18 7+88 2 8 18 32 18 8 2 +91 2 8 18 32 20 9 2 +94 2 8 18 32 24 8 2 +97 2 8 18 32 27 8 2 +100 2 8 18 32 30 8 2 +102 2 8 18 32 32 8 2 +105 2 8 18 32 32 11 2 钽 Ta+74 2 8 18 32 12 2锇 Os+77 2 8 18 32 15 2金 Au+80 2 8 18 32 18 2铅 Pb+83 2 8 18 32 18 5砹 At+86 2 8 18 32 18 8镭 Ra+89 2 8 18 32 18 9 2镤 Pa+92 2 8 18 32 21 9 2钚 Pu+95 2 8 18 32 25 8 2锫 Bk+98 2 8 18 32 28 8 2镄 Fm+101 2 8 18 32 31 8 2锘 No+103 2 8 18 32 32 9 2钅杜 Db钨 W+75 2 8 18 32 13 2铱 Ir+78 2 8 18 32 17 1汞 Hg+81 2 8 18 32 18 3铋 Bi+84 2 8 18 32 18 6氡 Rn+87 2 8 18 32 18 8 1铼 Re铂 Pt铊 Tl钋 Po钫 Fr锕 Ac+90 2 8 18 32 18 10 2铀 U+93 2 8 18 32 22 9 2镅 Am+96 2 8 18 32 25 9 2锎 Cf+99 2 8 18 32 29 8 2钍 Th镎 Np锔 Cm锿 Es钔 Md(推断结构,现在科学还未确定,下同)铹 Lr+104 2 8 18 32 32 10 2 鈩 Rf初中常见的离子团NH4铵根 +1价 SO3亚硫酸根 -2价 SO4硫酸根 -2价CO3碳酸根 -2价 Cl盐酸根 -1价 OH氢氧根 -1价NO3硝酸根 -1价 NO2亚硝酸根 -1价 CIO3氯酸根 -1价ClO次氯酸根 -1价,ClO4高氯酸根 -1价,H2PO4磷酸二氢根 -1价 HPO42磷酸氢根 -1价 MnO4高锰酸根 -1价 MnO4锰酸根 -2价 SiO3硅酸根 -2价 HCO3碳酸氢根 -1价 HSO4硫酸氢根 -1价 PO4 磷酸根 -3价。