1.一次方程与一次不等式-一元一次方程及其解法-单墫
- 格式:doc
- 大小:764.00 KB
- 文档页数:7
初中数学知识归纳一元一次方程与一元一次不等式数学是一门基础学科,相关知识点的理解和掌握对于学生来说至关重要。
在初中数学学习中,一元一次方程与一元一次不等式是两个重要的知识点。
本文将对这两个知识点进行归纳总结,以帮助读者更好地理解和应用。
一、一元一次方程一元一次方程是指只含有一个未知数的一次方程,其一般形式为ax+b=0,其中a和b为已知数,且a≠0。
解一元一次方程的基本步骤如下:1. 将方程中的常数项移到等号的另一侧,得到形如ax=-b的方程。
2. 通过除以系数a,将方程变为x的系数为1的方程。
得出x=-b/a。
3. 将x=-b/a代入原方程,验证解的正确性。
举例说明,假设要解方程3x+5=0:1. 将常数项5移到等号的另一侧,得到3x=-5。
2. 通过除以系数3,得到x=-5/3。
3. 将x=-5/3代入原方程,3*(-5/3)+5=0,左右两边相等,验证解的正确性。
通过这个例子可以看出,一元一次方程的解是唯一的,且通过验证后发现解是正确的。
二、一元一次不等式一元一次不等式是指只含有一个未知数的一次不等式,其一般形式为ax+b>0或a x+b≥0。
解一元一次不等式的方法如下:1. 将不等式中的常数项移到不等号的另一侧,得到形如ax>-b或ax≥-b的不等式。
2. 通过除以系数a,将不等式变为x的系数为1的不等式。
3. 将解的范围表示出来,形如x>1或x≥2。
举例说明,假设要解不等式2x-3>1:1. 将常数项1移到不等号的另一侧,得到2x>4。
2. 通过除以系数2,得到x>2。
3. 表示解的范围,可写作x>2。
需要注意的是,当不等式中含有乘法和除法运算时,需要考虑系数的正负情况,进而确定解的范围。
三、一元一次方程与一元一次不等式的联系与应用一元一次方程与一元一次不等式之间存在着密切的联系与相互转化的关系。
常见的联系和应用包括以下几个方面:1. 通过方程求解不等式:当需要求解不等式时,可以将其转化为等价的方程,然后通过解方程的方法求解不等式。
一次方程和一次不等式的解法一次方程和一次不等式是数学中最基础且常见的问题类型之一,其解法对于学习数学的基础知识和提高逻辑思维能力非常重要。
本文将对一次方程和一次不等式的解法进行详细介绍。
一、一次方程的解法一次方程是指其各项指数均为1的方程,也就是形如ax + b = 0的方程。
其中,a和b为已知常数,而x为未知数。
解一次方程的关键在于找出未知数的值,使得方程等式成立。
解一次方程的一种常见方法是移项法。
具体步骤如下:1. 首先将方程中包含x的项移至方程左边,常数项移到方程右边,得到ax = -b的形式。
2. 接下来,通过除以a的操作,将方程化简为x = -b/a的形式即可。
例如,对于方程2x + 3 = 7,我们可以利用移项法解得x = (7-3)/2 = 2。
如果方程的系数较复杂,可以借助合并同类项的方法进行化简,然后再使用移项法解方程。
此外,还有使用代入法、等式法等方法解一次方程的常见技巧。
代入法是指找出方程中一个已知数的值,然后将其代入方程求解未知数的方法。
等式法则是通过两个等式之间的关系,将一个方程的解代入另一个方程求解未知数。
二、一次不等式的解法一次不等式是指其各项指数均为1的不等式,也就是形如ax + b < c或ax + b > c的不等式。
同样地,其中a、b、c为已知常数,x为未知数。
解一次不等式就是找出所有满足不等式条件的x的取值范围。
解一次不等式的方法常见有图像法和代数法两种。
1. 图像法:可以将一次不等式的解集表示在数轴上,通过观察图像得出解的范围。
例如,对于不等式3x + 5 < 8,我们可以将其转化为方程3x + 5 = 8,在数轴上标出该方程的解x = 1,然后观察不等式的方向为<,所以解集为(-∞, 1)区间上的所有实数。
2. 代数法:通过代数方法来解一次不等式,可以借助于一次方程的解法。
对于不等式3x + 5 < 8,我们可以先将其转化为3x + 5 - 8 < 0的形式,然后化简得到3x - 3 < 0。
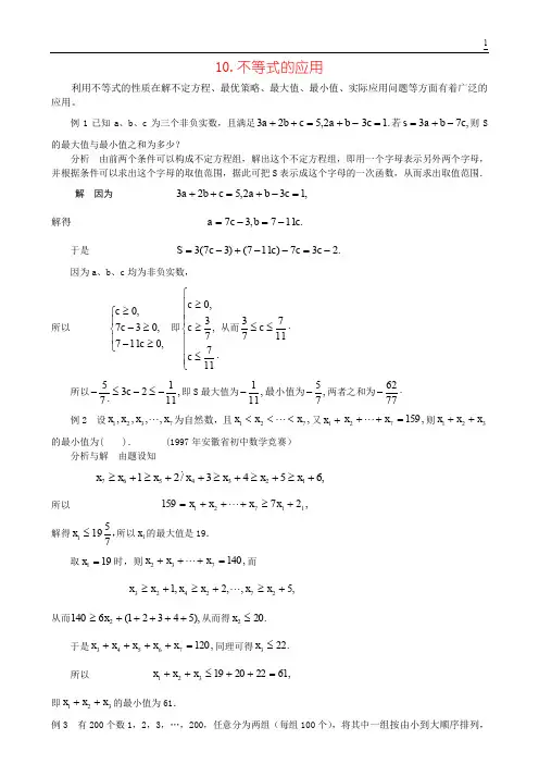
10.不等式的应用利用不等式的性质在解不定方程、最优策略、最大值、最小值、实际应用问题等方面有着广泛的应用。
例1已知a 、b 、c 为三个非负实数,且满足-+=++b a c b a 2,523.13=c 若,73c b a s -+=则S 的最大值与最小值之和为多少?分析 由前两个条件可以构成不定方程组,解出这个不定方程组,即用一个字母表示另外两个字母,并根据条件可以求出这个字母的取值范围,据此可把S 表示成这个字母的一次函数,从而求出取值范围.解 因为 ,132,523=-+=++c b a c b a解得 .117,37c b c a -=-=于是 .237)117()37(3-=--+-=c c c c S 因为a 、b 、c 均为非负实数,所以 ⎪⎩⎪⎨⎧≥-≥-≥,0117,037,0c c c 即⎪⎪⎪⎩⎪⎪⎪⎨⎧⋅≤≥≥117,73,0c c c 从而⋅≤≤11773c所以,1112375-≤-≤⋅-c 即S 最大值为,111-最小值为,75-两者之和为⋅-7762 例2 设7321,,,,x x x x 为自然数,且,721x x x <<< 又+1x ,15972=++x x 则321x x x ++ 的最小值为( ). (1997年安徽省初中数学竞赛)分析与解 由题设知,6543/211234567+≥+≥+≥++≥+≥x x x x x x x所以 ,2715911721+≥+++=x x x x 解得,75191≤x 所以1x 的最大值是19.取191=x 时,则,140732=+++x x x 而,5,,2,1272423+≥+≥+≥x x x x x x从而),54321(61402+++++≥x 从而得.202≤x于是,12076543=++++x x x x x 同理可得.223≤x 所以 ,61222019321=++≤++x x x 即321x x x ++的最小值为61.例3 有200个数1,2,3,…,200,任意分为两组(每组100个),将其中一组按由小到大顺序排列,设为;100321a a a a <<<< 另一组按由大到小的顺序排列,设为,100321b b b b >>>> 试求代数式+-||11b a ++- ||22b a ||||1001009999b a b a -+-的值.(1997年天津市初二数学竞赛)分析与解 无论怎样分,较大的数总为后100个数,较小的数总为前100个数,绝对值只能改变大小数的位置,因此100个绝对值的和为.10000100100)100321()200102101(=⨯=++++-+++例4 某一出租车的起步价为2千米5元,不足2千米按2千米收费,以后每增加1千米增加2元,不足1千米按1千米收费.现某人乘出租车从甲地到乙地共付费35元,如果他从甲地到乙地,先步行800米,然后再乘出租车,车费也是35元,问从甲乙两地的中点乘出租车到乙地应付费多少元?分析 根据已知条件确定甲乙两地之间距离的取值范围,再按要求计算车费. 解 设甲乙两地相距x 千米,k 为超过2千米后增加1千米的次数,依题意有 ,2535k +=解得.15=k于是 ,152142+≤<+x 即.1716≤<x又 ,178.016≤-<x 即.8.178.16≤<x综合得 .178.16≤<x所以,5.824.8≤<x 即.5.6224.62+≤<+ x 故从甲乙两地中点到达乙地应付费19725=⨯+元例5甲乙两人到某特价商店买商品,商店的商品只有两种单价8元和9元.已知两人购买商品的件数相同,且两人购买商品一共花费了172元,求两人共购买商品各多少件?(2004年重庆市初中数学竞赛)分析与解 设两人共购买8元商品x 件,9元商品y 件,两人购买商品件数均为n 件,则有⎩⎨⎧=+=+.17298,2y x n y x 解得⎩⎨⎧-=-=.16172,17218n y n x 由于 ⎩⎨⎧≥≥,0,0y x 即⎩⎨⎧≥-≥-.016172,017218n n 解得⋅≤≤4310959n所以 .10=n 从而 .12,8==y x故甲乙两人共购买8元商品8件,9元商品12件.例6 某家电生产企业根据市场调查分析,决定调整生产方案,准备每周(按120个工时计算)生产空调、彩电、冰箱共360台,且冰箱至少生产60台.已知生产这些产品每台所需工时和每台产值(单位为千元)如下表:分析 先根据已知条件列出不定方程组,再应用不等式知识求出产值的取值范围,从而求出最大值。
一元一次方程和一元一次不等式的解法一元一次方程和一元一次不等式是数学中基础的概念和解题方法。
在代数学的学习中,理解和掌握这两个概念的解法对于进一步学习数学以及应用数学非常重要。
本文将详细介绍一元一次方程和一元一次不等式的解法。
一、一元一次方程的解法一元一次方程是指只有一个未知数的一次方程,通常以以下形式表示:ax + b = 0其中,a和b都是已知常数,x是未知数。
我们的目标是寻找方程的解,即求出x的值。
解一元一次方程的基本步骤如下:Step 1: 将方程的形式整理为ax = -b,即将常数项移到等号的右边。
Step 2: 如果a不等于0,将两边同时除以a,得到方程的标准形式x = -b/a。
Step 3: 如果a等于0,那么方程没有解,因为当a等于0时,方程变为0x + b = 0,这个方程只有在b等于0时才有解。
例如,解方程2x + 3 = 0:Step 1: 将常数项移到等号右边,得到2x = -3。
Step 2: 将方程两边同时除以2,得到x = -3/2。
这就是方程的解。
二、一元一次不等式的解法一元一次不等式是指只有一个未知数的一次不等式,通常以以下形式表示:ax + b > 0 或 ax + b < 0其中,a和b都是已知常数,x是未知数。
我们的目标是寻找不等式的解集,即满足不等式的所有x的取值范围。
解一元一次不等式的基本步骤如下:Step 1: 将不等式的形式整理为ax > -b 或 ax < -b,即将常数项移到不等号的右边。
Step 2: 如果a大于0,则不等式的解集为x > -b/a 或 x < -b/a。
Step 3: 如果a小于0,则不等式的解集为x < -b/a 或 x > -b/a。
例如,解不等式2x + 3 > 0:Step 1: 将常数项移到不等号右边,得到2x > -3。
Step 2: 由于a大于0(a=2),解集为x > -3/2。
如何求解一元一次方程和一元一次不等式一、一元一次方程的求解方法一元一次方程是指方程中只有一个未知数,并且未知数的最高次数为1的方程。
求解一元一次方程的基本思路是通过逆运算将未知数从方程中分离出来,从而得到未知数的值。
常见的一元一次方程可以写作:ax + b = 0,其中a和b为已知常数。
求解一元一次方程的步骤如下:1. 将方程中带有未知数的项移到一个侧边,常数项移到另一个侧边,使方程变为等式的形式。
2. 利用逆运算,将未知数的系数约去,得到未知数的表达式。
3. 根据等式规则,将等式两侧的表达式相等,得到未知数的值。
举例说明:假设有一个一元一次方程2x - 3 = 7,按照上述步骤求解:1. 将方程中带有未知数的项移到一个侧边,常数项移到另一个侧边:2x = 7 + 3。
2. 利用逆运算,将未知数的系数约去,得到未知数的表达式:x = (7 + 3) / 2。
3. 根据等式规则,将等式两侧的表达式相等,得到未知数的值:x = 5。
因此,一元一次方程2x - 3 = 7的解为x = 5。
二、一元一次不等式的求解方法一元一次不等式是指方程中只有一个未知数,并且未知数的最高次数为1的不等式。
求解一元一次不等式的基本思路是找出使不等式成立的未知数的取值范围。
常见的一元一次不等式可以写作:ax + b > c,其中a、b、c为已知常数。
求解一元一次不等式的步骤如下:1. 将不等式中带有未知数的项移到一个侧边,常数项移到另一个侧边,使不等式变为等式的形式。
2. 根据不等式的类型(大于、小于、大于等于、小于等于),确定未知数取值范围。
3. 根据取值范围,得出不等式的解。
举例说明:假设有一个一元一次不等式2x + 3 > 7,按照上述步骤求解:1. 将不等式中带有未知数的项移到一个侧边,常数项移到另一个侧边:2x > 7 - 3。
2. 根据不等式的类型,确定未知数取值范围:大于。
3. 根据取值范围,得出不等式的解:x > 2。
初中一年级方程与不等式知识点一、方程方程是数学中常见的一种表示关系的式子,它由等号连接的两个代数表达式组成。
初中一年级学习的方程主要以一元一次方程为主。
1. 一元一次方程一元一次方程是指只有一个变量(未知数)的一次方程。
它的一般形式为:ax + b = 0,其中a和b为已知数,a≠0。
求解一元一次方程的基本步骤如下:(1)将方程中的常数项移到等号的另一边,得到ax = -b;(2)将方程中的系数a移到等号的另一边,得到x = -b/a;(3)求得x的值。
例如,解方程2x + 5 = 7,我们可以进行以下计算:(1)将常数项5移到等号的另一边,得到2x = 7 - 5,简化为2x = 2;(2)将系数2移到等号的另一边,得到x = 2/2,简化为x = 1;(3)最终得到方程的解为x = 1。
2. 实际问题中的方程方程不仅存在于抽象的数学计算中,还可以用来解决实际生活中的问题。
例如,假设小明身高为x,身高比小红多5厘米,那么可以用以下方程表示:x = (小红身高)x + 5。
通过解这个方程,可以求得小明的身高。
二、不等式不等式是数学中用于表示大小关系的式子,它与方程的结构类似,但包含了不等号。
初中一年级主要学习的不等式为一元一次不等式。
1. 一元一次不等式一元一次不等式是指只有一个变量(未知数)的一次不等式。
它的一般形式为:ax + b > 0或ax + b < 0,其中a和b为已知数,a≠0。
解一元一次不等式的方法与方程类似,只需要注意不等号的方向就可以了。
例如,解不等式2x + 5 > 7,我们可以进行以下计算:(1)将常数项5移到不等号的另一边,得到2x > 7 - 5,简化为2x > 2;(2)将系数2移到不等号的另一边时需要注意,由于2为正数,所以不等号的方向保持不变,得到x > 1。
(3)最终得到不等式的解为x > 1。
2. 实际问题中的不等式不等式同样可以用来解决实际生活中的问题。
一元一次方程与一元一次不等式一元一次方程和一元一次不等式是初中数学中的基础概念和重要内容,它们在解决实际问题、推理和证明中起着重要作用。
本文将介绍一元一次方程和一元一次不等式的定义、解法以及应用。
一、一元一次方程一元一次方程是指只有一个未知数且最高次数是一次的方程。
一元一次方程的一般形式为:ax + b = 0 (其中a、b为已知数,且a ≠ 0)。
要解一元一次方程,可以通过以下步骤进行。
步骤一:将含有未知数的项移到方程的一侧,常数项移到另一侧,使方程变为ax = -b。
步骤二:化简方程,将方程化为x = -b/a。
通过这样的步骤,我们可以求得一元一次方程的解。
若a ≠ 0,则方程有唯一解x = -b/a;若a = 0且b ≠ 0,则方程无解;若a = 0且b = 0,则方程有无穷解。
二、一元一次不等式一元一次不等式是指只有一个未知数且最高次数是一次的不等式。
一元一次不等式的一般形式为:ax + b < 0 或 ax + b > 0(其中a、b为已知数,且a ≠ 0)。
要解一元一次不等式,可以通过以下步骤进行。
步骤一:将含有未知数的项移到不等式的一侧,常数项移到另一侧,使不等式变为ax < -b 或 ax > -b。
步骤二:当a > 0时,解不等式的步骤与解一元一次方程相同;当a < 0时,解不等式的步骤与解一元一次方程相反。
通过这样的步骤,我们可以求得一元一次不等式的解。
解的形式可能是一个特定的实数解,也可能是一个满足一定条件的解集。
三、应用一元一次方程和一元一次不等式在实际中应用广泛。
下面以例子说明其应用。
例1:已知某商品原价为x元,现在打5折出售,售价为80元,求原价。
解:设原价为x元,根据题意可以得到一元一次方程:0.5x = 80。
通过求解可以得到x = 160,原价为160元。
例2:某商店购买商品,当购买数量小于10时,每件商品的售价为20元,当购买数量大于等于10时,每件商品的售价为15元。
3.含绝对值的一次方程绝对值符号内含有未知数的方程,称之为含有绝对值的方程,在解含有绝对值的方程时,关键是利用绝对值的定义,去掉绝对值符号,从而转化为不含绝对值的方程.如果a a x (,||=是常数)当0>a 时,;a x ±= 当0=a 时,;0=x 当0<a 时,此方程无解,例1 解方程.5|32|=+x 解 由题意可知532=+x 或,532-=+x则 1=x 或.4-=x例2 解方程.43|43|-=-x x分析 观察到绝对值内的式子和绝对值外面的式子是相同的,那么谁的绝对值会等于本身呢? 解 由题意可知,043≥-x ,43≥x⋅≥34x 例3 解方程.3|4||1|=-+-x x分析 本题可以根据去绝对值符号的方法进行“分段讨论”,但是仔细观察方程自身的特点,利用绝对值的几何意义,能很快地解出这个方程,解 因为|1|-x 表示x 与1之间的距离(在数轴上),︱x-4︱表示x 与4之间的距离,而|4||1|-+-x x 一定大于等于1和4之间的距离,当x 落在1和4之间(包含1、4)时,取等号.因此,我们有,3|4||1|≥-+-x x 当且仅当41≤≤x 时取等号, 所以原方程的解为.41≤≤x例4 若,100<<x 则满足条件a x =-|3|的整数a 的值有 个,它们的和等于 .(第10届初一希望杯)解 当30<<x 时,则有a a x x ,3|3|=-=-的解为1、2;当103<≤x 时,则a a x x .3|3|=-=-的解为0、1、2、3、4、5、6.则a 的值有9个,它们的和等于24.例5 使得关于x 的方程1||+=ax x 同时有一个正根和一个负根的整数a 的值是 .(第12届初一希望杯)解 若x 为方程的正根,则,1+=ax x 即,1)1(=-x a 因为,01>,0>x 所以,01>-a 即;1<a若x 为方程的负根,则,1+=-ax x 即,1)1(-=+x a 因为,01<-,0<x 故,01>+a 即.1->a要使原方程同时有正根和负根,则,11<<-a 这样的整数a 只有.0=a 例6 若关于x 的方程x m x .|1|=-有解,则实数m 的取值范围是分析与解 分类讨论,去掉绝对值的符号.当1≥x 时,得,11,1)1(,1mx x m mx x -==-=-可得;10<≤m 当1<x 时,得;1)1(,1=+=-x m mx x 当1-<m 时,显然成立,当1->m 时,要求,111<+m 所以 .0>m综上所述,1-≤m 或.0≥m 例7 若方程01997||1997=--x x a只有负根,则实数a 的取值范围是 .(1997年上海市初中数学竞赛)解 当0>x 时,原方程为.01997)11997(=--x a当1997=a 时,方程无解;当1997=/a 时,则,199719972-=a x 所以.1997<a当0<x 时,原方程为,01997)11997(=---x a 则,199719972+-=a x 所以.1997->a所以 .19971997≤<-a例8 解方程.1|2||4|+=--+x x x分析 要去掉绝对值符号,必须明确绝对值符号内的代数式4+x 和2-x 的符号,由04=+x和,02=-x 得4-=x 和,2=x 这样x 的取值范围从小到大排列依次为,2,24,4>≤<--≤x x x 由此可判定4+x 和2-x 的符号,这样的方法也称为“零点分段法”,解 令,04=+x 解得;4-=x 令,02=-x 解得.2=x 当4-≤x 时,原方程可化为,1)2()4(+=-++-x x x解得 ,7⋅-=x当24≤<-x 时,原方程可化为,1)2(4+=-++x x x解得 ,1⋅-=x时,原方程可化为,1)2(4+=--+x x x解得 .5=x综上所述,517、、--=x 是原方程的解.例9 解方程.3||12||=+-x x分析 方程中有两层绝对值符号,可以逐层去掉绝对值符号. 解 由,3||12||=+-x x可得 3|12|=+-x x 或.3|12|-=+-x x当3|12|=+-x x 时,,3|12|-=+x x则可得 312-=+x x 或者,312x x -=+ 解得 4-=x (不符合题意,舍去)或者;32=x 当3|12|-=+-x x 时,,3|12|+=+x x则可得 312+=+x x 或者,312--=+x x解得 2=x 或者34-=x (不符合题意,舍去). 所以,原方程的解为2=x 或⋅=32x习 题 3一、选择题1. 若,||a x =则||a x -等于( ).a x A 22.或 a x B -⋅. x a C -. 0.D2. 若,200020|20002000|⨯=+x 则x=( ).(2000年重庆市初中数学竞赛)2120.-或A 2120.或-B 2119.或-C 2119.-或D3. 已知关于x 的方程)(22x m mx -=+的解满足,01|21|=--x 则m 的值为( ).5210.或A 5210.-或B 5210.或-C 5210.--或D二、填空题4. 当2||+=x x 时,则=++273194x x5. 解方程,12||21|21|2=+--x x 则x=6. 如果规定,2*b a =那么方程4||*3=x 的解是 .(第14届迎春杯) 7. 已知关于x 的方程a x x =-++|6||3|有解,那么a 的取值范围是 8. 方程56|65|-=+x x 的解是 .(1999年重庆市初二数学竞赛)参考答案。
一元一次方程与不等式一元一次方程是代数学中最基本的方程形式之一。
它通常由一个未知数和一个常数构成,通过对未知数进行运算,我们可以找到解使方程成立。
而不等式则描述了两个数之间的大小关系,包括大于、小于、大于等于、小于等于等。
1. 一元一次方程一元一次方程的一般形式为 ax + b = 0,其中 a 和 b 是已知常数,x是未知数。
解一元一次方程的基本步骤如下:步骤一:移项通过将常数项 b 移至方程的右侧,使得方程变为 ax = -b。
步骤二:消元通过除以系数 a,将变量 x 的系数化为 1,得到 x = -b/a。
步骤三:验证将求得的解代入原方程,验证等号两侧是否相等。
1.1 例题解析:考虑一元一次方程 2x + 3 = 7,我们按照上述步骤解题:步骤一:移项将常数项 3 移至方程的右侧,得到 2x = 7 - 3。
步骤二:消元除以系数 2,得到 x = (7 - 3)/2。
步骤三:验证将 x = 2 代入原方程,得到 2 * 2 + 3 = 7,等号两侧相等,所以解为x = 2。
2. 不等式不等式描述了数之间的大小关系。
在不等式中,常见的符号包括大于(>)、小于(<)、大于等于(≥)、小于等于(≤)等。
2.1 解不等式解不等式的基本思路是找到未知数的取值范围,使得不等式成立。
解不等式的步骤如下:步骤一:移项将不等式中的常数项移至一侧,得到形如 ax > b 或 ax < b 的不等式。
步骤二:消元通过除以系数 a,将变量的系数化为 1。
注意,如果除以负数,则会改变不等式的方向。
步骤三:根据不等式方向确定解集根据不等式的方向(大于还是小于),确定解集的范围。
2.2 例题解析:考虑不等式3x + 4 ≤ 10,我们按照上述步骤解题:步骤一:移项将常数项 4 移至不等式的右侧,得到3x ≤ 10 - 4。
步骤二:消元除以系数 3,得到x ≤ (10 - 4)/3。
步骤三:根据不等式方向确定解集由于不等式的方向是小于等于(≤),解集为x ≤ 2。
2024届高考数学第一轮知识点总复习31 2024届高考数学第一轮知识点总复习311.一元一次方程与不等式1.1一元一次方程及其解法1.1.1一元一次方程定义一元一次方程是指只有一个未知数的方程,且未知数的最高次幂是1,形如ax+b=0(其中,a不等于0),或者ax=b(其中,a不等于0),其中a和b是已知数,x是未知数。
1.1.2解一元一次方程的方法解一元一次方程有以下几种方法:-两边加减相等数-两边乘除相等数-两边开平方1.1.3解一元一次方程的步骤以一元一次方程ax+b=0为例,解其步骤如下:-因为b是常数,所以用x除以a即得到方程的解。
-如果a是负数,则解为负数。
如果a是正数,则解为正数。
1.2一元一次不等式及其解法1.2.1一元一次不等式定义一元一次不等式是指只有一个未知数的不等式,且未知数的最高次幂是1,形如ax+b<0(或ax+b>0)(其中,a不等于0),或者ax<b(或ax>b)(其中,a不等于0),其中a和b是已知数,x是未知数。
1.2.2解一元一次不等式的方法解一元一次不等式有以下几种方法:-通过求解一元一次方程,然后对解进行判断-通过画数轴,区分解的情况1.2.3解一元一次不等式的步骤以一元一次不等式ax+b>0为例,解其步骤如下:- 先解对应方程ax+b=0,得到解x1-然后根据a的正负情况,判断解的区间。
-如果a为正数,则解为x>x1;如果a为负数,则解为x<x12.一元二次方程与不等式2.1一元二次方程及其解法2.1.1一元二次方程定义一元二次方程是指只有一个未知数的方程,且未知数的最高次幂是2,形如ax^2+bx+c=0(其中,a不等于0),其中a、b和c是已知数,x是未知数。
2.1.2解一元二次方程的方法解一元二次方程有以下几种方法:-因式分解法-完全平方式-公式法2.1.3解一元二次方程的步骤以一元二次方程ax^2+bx+c=0为例,解其步骤如下:-如果方程可以因式分解,则使用因式分解法,找到方程的根。
一元一次方程与不等式的解法一元一次方程与不等式是数学中基础而重要的概念,它们在现实生活中的应用广泛。
本文将介绍一元一次方程与不等式的定义、解法以及实际问题的应用。
一、一元一次方程一元一次方程是指只含有一个未知数的一次方程,通常采用以下形式表示:ax + b = 0其中,a和b为已知常数,x为未知数。
解一元一次方程的基本思路是通过变换,将方程化简为x的形式。
解法一:移项与化简首先,将方程中的常数项移至方程的另一边,而将含有变量x的项保留在原方程一侧,得到如下形式:ax = -b接下来,通过系数的相乘与相除,消去x前的系数a,求得x的值:x = -b/a解法二:代入法另一种解一元一次方程的方法是代入法。
首先,将方程中的一个已知数值代入方程,求解未知数的值。
例如,对于方程2x + 5 = 9,我们可以将2代入方程中,得到:2(2) + 5 = 9接下来,通过运算得出x的值:4 +5 = 94 = 9 - 54 = 4因此,方程的解为x = 2。
二、一元一次不等式一元一次不等式是指只含有一个未知数的一次不等式,通常采用以下形式表示:ax + b < 0其中,a和b为已知常数,x为未知数。
解一元一次不等式的方法与解一元一次方程类似,需要考虑到不等号的不同情况。
解法一:图像法我们可以将一元一次不等式的解表示在数轴上,用图像法进行解释和求解。
首先,根据不等式的符号与数轴上的点的位置关系,确定解集在数轴上的位置。
例如,对于不等式2x - 3 > 1,我们需要将x的解表示在数轴上。
首先,将不等式转化为等式,得到:2x - 3 = 1然后,将该方程的解表示在数轴上,得到:-------------●----- (x > 2)由图可知,x的解集为大于2的所有实数。
解法二:代数法另一种解一元一次不等式的方法是代数法。
同样地,通过移项、化简的步骤,将不等式化为x的形式。
例如,对于不等式3 - 2x < -5,我们可以通过移项和化简,得到:-2x < -5 - 3-2x < -8接下来,需要注意到当系数同时乘以或除以一个负数时,不等号的方向会发生改变,解得:x > 4因此,不等式的解为x大于4的实数。
一元一次方程与一元一次不等式一元一次方程和一元一次不等式是初中数学中重要的内容,也是日常生活中常常遇到的数学问题。
它们在代数中有着广泛的应用,对我们解决实际问题有着重要的指导意义。
本文将介绍一元一次方程和一元一次不等式的概念、解法及应用,并探讨它们之间的联系与区别。
一、一元一次方程一元一次方程是指只含有一个变量的一次项和常数项的方程。
一般形式为ax + b = 0,其中a和b是已知的常数,且a ≠ 0。
解一元一次方程常用的方法是移项和消元法。
具体步骤如下:1. 移项:将含有未知数的项移到方程的一边,常数项移到方程的另一边,使方程变为ax = -b。
2. 消元:通过除以a的操作将系数化为1,即x = -b/a。
这样,我们就求得了一元一次方程的解。
需要注意的是,当a = 0时,方程退化为b = 0,表示没有解或者拥有无穷多个解。
一元一次方程的解法不仅限于代数运算,还可以通过图像、表格等方式来求解。
例如,我们可以将方程表示为一条直线,并通过找到该直线与坐标轴的交点来确定方程的解。
这为我们提供了一种直观的解法。
二、一元一次不等式一元一次不等式是指只含有一个变量的一次项和常数项的不等式。
一般形式为ax + b > 0,ax + b < 0,ax + b ≥ 0,ax + b ≤ 0等。
其中a和b是已知的常数,且a ≠ 0。
解一元一次不等式的方法基本上与解一元一次方程相同,但是在解的过程中需要注意不等号的方向。
具体步骤如下:1. 移项:将含有未知数的项移到不等式的一边,常数项移到不等式的另一边,使不等式变为ax > -b。
2. 消元:通过除以a的操作将系数化为1,即x > -b/a。
解一元一次不等式时,需要注意不等式的类型,结合图像或者数轴来表示解的范围,例如使用开区间、闭区间或不等号的特殊性质来确定解的集合。
三、一元一次方程与一元一次不等式的联系与区别一元一次方程与一元一次不等式相似,都是由一次项和常数项构成,并且都涉及到未知数的求解。
中考数学复习4:一次方程及不等式知识集结知识元一元一次方程知识讲解方程及其解的认识与应用1.方程:含有未知数的等式叫做方程.2.方程的解:使方程左、右两边相等的未知数的值,叫做方程的解.3.方程解的检验:要验证某个数是不是一个方程的解,只需将这个数分别代入方程的左边和右边,如果左、右两边数值相等,那么这个数就是方程的解.一元一次方程及其解的认识与应用1.一元一次方程的定义(1)一元一次方程:只含有一个未知数,未知数的最高次数是1,这样的方程叫做一元一次方程.(2)一元一次方程的形式:标准形式:a x+b=0(其中a≠0,a,b是已知数).最简形式:a x=b(其中a≠0,a,b是已知数).注:一元一次方程的标准(首先化简为标准形式或最简形式)①只含有一个未知数(系数不为零).②未知数的最高次数是1.③方程是整式方程.2.一元一次方程的解:使一元一次方程左、右两边相等的未知数的值,叫做该一元一次方程的解.一元一次方程的解法1.等式的基本性质等式的基本性质1:等式的两边都加上(或减去)同一个数或同一个式子,所得的结果仍是等式.若,则.等式的基本性质2:等式的两边都乘以(或除以)同一个数或同一个式子(除数不能是0),所得的结果仍是等式.若,则.2.解一元一次方程的一般步骤3.含绝对值的方程:形如的方程一般步骤注意点(1)去分母方程的每一项都要乘以最简公分母(2)去括号去掉括号,括号内的每项符号都要同时变或不变(3)移项移项要变号(4)合并同类项只要把系数合并,字母和它的指数不变.(5)方程两边同除以未知数的系数相除时系数不等于0.若为0,则方程可能无解或有无穷多解.解含绝对值符号的一元一次方程要根据绝对值的性质和绝对值符号内代数式的值分情况讨论,即去掉绝对值符号得到一般形式的一元一次方程,再求解.例如:解方程|x|=2解:去掉绝对值符号x=2或-x=2方程的解为x1=2或x2=-2.4.同解方程如果方程①的解都是方程②的解,并且方程②的解都是方程①的解,那么这两个方程是同解方程.一元一次方程的应用1.列方程解应用题的步骤(1)审:认真审题,弄清题意,找出能够表示本题含义的相等关系(找出等量关系).(2)设:设出未知数:根据提问,巧设未知数.(3)列:设出未知数后,表示出有关的含字母的式子,然后利用已找出的等量关系列出方程.(4)解:解方程:解所列的方程,求出未知数的值.(5)验:检验所求出的未知数的值是否是方程的解,是否符合实际.(6)答:写出答案(注意带上单位).2.一元一次方程应用常见的分类(1)行程问题;(2)工程问题;(3)销售问题;(4)其他问题.例题精讲一元一次方程小李读一本名著,星期六读了36页,第二天读了剩余部分的,这两天共读了整本书的,这本名著共有多少页?'例2.'方程:-=1.'例3.一个书包的标价为115元,按8折出售仍可获利15%,该书包的进价为____元.例4.已知九年级某班30位学生种树72棵,男生每人种3棵树,女生每人种2棵树,设男生有x 人,则()A.2x+3(72-x)=30B.3x+2(72-x)=30C.2x+3(30-x)=72D.3x+2(30-x)=72例5.关于x的一元一次方程2x a-2+m=4的解为x=1,则a+m的值为()A.9B.8C.5D.4例6.《增删算法统宗》记载:“有个学生资性好,一部孟子三日了,每日增添一倍多,问君每日读多少?”其大意是:有个学生天资聪慧,三天读完一部《孟子》,每天阅读的字数是前一天的两倍,问他每天各读多少个字?已知《孟子》一书共有34685个字,设他第一天读x个字,则下面所列方程正确的是()A.x+2x+4x=34685B.x+2x+3x=34685C.x+2x+2x=34685D.x+x+x=34685代数式与代数式3-2x的和为4,则x=____。
解一元一次方程与不等式一、一元一次方程的解法一元一次方程是指只含有一个未知数和一个最高次数为1的项的方程。
一元一次方程的解法有以下几种常见方法:1. 等式两边加减法:对于形如 ax + b = c 的一元一次方程,可以通过等式两边加减法来求解。
首先,我们可以将方程中的常数项移至等式的另一侧,得到 ax = c - b。
接着,再通过将等式两边除以系数 a,即可得到 x 的值,即 x = (c - b)/a。
这样就求得了一元一次方程的解。
2. 等式两边乘除法:对于形如 (a/b)x = c 的一元一次方程,我们可以通过等式两边乘除法来求解。
首先,我们可以将等式两边乘以分母 b,得到 ax = c * b。
然后,再将等式两边除以系数 a,即可得到 x 的值,即 x = (c * b)/a。
这样就求得了一元一次方程的解。
3. 求解系数为零的情况:当一元一次方程的系数 a 为零时,即方程为 0x + b = c,其中 b 和 c 均为常数。
若 c = b,那么方程有无穷多解;若c ≠ b,那么方程无解。
二、一元一次不等式的解法一元一次不等式是指只含有一个未知数和一个最高次数为1的项,并且方程中包含不等号的方程。
与一元一次方程类似,一元一次不等式也有几种常见的解法:1. 图解法:将一元一次不等式绘制在数轴上,并用不同的线段表示不等式两边的取值范围,最后找到满足不等式条件的解集。
例如,对于不等式 2x + 3 < 7,可以先将其转化为等式 2x + 3 = 7,然后在数轴上绘制出等式的直线,再通过观察直线与不等式关系,确定解的范围。
2. 代入法:将不等式中的未知数代入具体的数值,通过比较等式两边的大小来确定不等式的解集。
例如,对于不等式 2x + 3 < 7,可以将x 代入一些数值(如 x = 0 和 x = 1),并将代入后的结果与 7 进行比较,进而确定解的范围。
3. 解法类比:有时候可以将一元一次不等式转化为一元一次方程,然后使用一元一次方程的解法进行求解。
4.一元一次方程的应用列方程解应用题的基本步骤:审题、设元、找等量关系、列方程、解方程、检验、作答. ,。
审题:仔细认真读题,弄清题意并抓住关键的语句.设元:(1)直接设元,即问什么就设什么;(2)间接设元,直接设元列方程比较困难或所列方程比较难解,一般设不是所求的量为未知数;(3)设辅助元,把一个量设成未知数,但解方程时并不解出它的值,也称为设中间元.找等量关系:列方程解应用题的关键是分析出实际问题的等量关系.寻找等量关系一般有三种办法:(1)从有关数量比较的关键语句中发现等量关系,并以文字形式写出来(如大、小、多、少、倍、分等);(2)借助基本数量关系,探讨数量之间的等量关系(如路程一速度×时间);(3)注意变化中的不变量,寻找隐含的等量关系(如行船问题中两码头之间的距离,静水速度,水流速度不变等).常见列方程解应用题的几种基本类型:(1)和差倍分问题基本量、基本关系:增长量一原有量×增长率;现有量一原有量十增长量;现有量=原有量一降低量. 寻找相等关系的方法:抓住关键性词语如共、多、少、倍、几分之几以及原有量、现有量之间的关系推导出相等关系.(2)体积变化问题基本量、基本数量关系:常用几何图形的面积、周长、体积的基本公式.(3)行程问题基本量、基本数量关系:路程=速度×时间① 相遇问题:相遇距离=速度和×相遇时间② 追及问题:追及距离=速度差×追及时间③流水行船问题:顺水速度=静水速度十水流速度逆水速度=静水速度-水流速度静水速度=(顺水速度十逆水速度)÷2水流速度=(顺水速度一逆水速度)÷2(4)工程问题基本量、基本数量关系:把总工作量看作单位“1”,工作量=工作效率×时间,相等关系:各部分工作量之和等于1.(5)浓度问题基本量、基本数量关系:溶液=溶质十溶剂%100⨯=溶液溶质浓度 (6)数字问题寻找等量关系的方法:抓住数字间或新数、原数之间的关系,常需设间接未知数.(7)生活实际应用题基本量、基本数量关系:①购物:商品利润=商品售价一商品进价%100⨯=商品进价商品利润商品利润 商品售价=商品标价×商品打折率②存款:本利和=本金十利息利息=本金×利率×期数如果计算利息税:本利和=本金十税后利息税后利息=税前利息一利息税利息税=税前利息×利息税率税前利息=本金×利率×期数例1 李师傅加工一批零件,如果每天做50个,要比原计划晚8天完成;如果每天做60个,就可以提前5天完成,这批零件共有多少个?(第6届华罗庚杯)解 设原计划x 天完成.由题意可得 ),5(60)8(50-=+x x,3006040050-=+x x,70010=x解得 ,70=x).(3900)870(50个=+⨯答:这批零件共3900个.注意 本题如果利用直接设元的方法,根据天数的多少来列方程,就是设这批零件共有x 个,由题意可得.560850+=-x x (多未必就加,少未必就减) 例2 1998年火车第一次提速30%,1999年第二次提速25%,2000年第三次提速20%,经过3次提速后,从北京到G 城的特快列车只需要运行10个小时,提速前需要运行多少小时?(第8届华罗庚杯) 分析 本题不知道北京到G 城的距离,也不知道火车在提速前后的具体速度,我们采用设中间元的方法解决这个问题.解 设提速前从北京到G 城需要x 小时,提速前这列火车的速度为v ,则提速后火车的速度为 ,95.1%)201%)(251%)(301(v v =+++,1095.1x v v ⨯=⨯两端消去v ,解得 .5.19=x答:提速前需运行19.5小时.例3 某缝纫师做成一件衬衫、一条裤子、一件上衣所用的时间之比是1:2:3,他用10个工时能做成2件衬衫、3条裤子和4件上衣,那么他要做14件衬衫、10条裤子和2件上衣共需多少工时?分析 本例题的关键是求解出每件衬衫、每条裤子、每件上衣各需要消耗多少工时,因为做成它们所用的时间之比是1:2:3.可以设这个缝纫师做一件衬衫需要x 个工时,做一条裤子需要2x 个工时,做一件上衣需要3x 个工时;又因为他用10个工时能做成2件衬衫、3条裤子和4件上衣,可知32+x ,10342=⨯+⨯x x 便可解出x 的值,进而求出本题所需要的解.解 设缝纫师做一件衬衫需要z 个工时,做一条裤子需要2x 个工时,做一件上衣需要3x 个工时,根据题意可知,1034232=⨯+⨯+x x x 解得 ⋅=21x 要做14件衬衫、10条裤子和2件上衣共需202132212102114=⨯⨯+⨯⨯+⨯(工时). 答:做14件衬衫、10条裤子和2件上衣共需20个工时.例4 某种出租汽车的车费是这样计算的:路程在4公里以内(含4公里)为10.40元;达到4公里以后,每增加1公里加1.60元;达到15公里后,每增加1公里加2.40元;增加不足1公里时95.20元,则这个乘客乘该出租车行驶的路程是多少公里?(第10届初一希望杯)解 乘客若乘15公里路程,车费应该是2860.1)415(40.10=⨯-+元现某乘客共花费95.20元,设乘客所乘路程为x 公里,显然,15>x 其中前15公里车费是28元, )15(-x 公里路程的车费是),15(40.2-x 所以有,20.9528)15(40.2=+-x解得 .43=x答:该乘客乘出租车行驶的路程为43公里.例5 A 花3天能完成一项工作的,21若B 花4天能完成这项工作的,31现假设A 和B-起工作,则完成这项工作需要 天.(第11届初一希望杯)解 A 花3天可以完成这项工作的,21则A 每天完成这项工作的;61B 用4天可以完成这项工作的,31 则B 每天可以完成该项工作的⋅121因此A 、B 合作每天可以完成该项工作的,4112161=+所以A 、B 合作完成该项工作需要4天.例6 某商店将某种VCD 按进价先提高35%,然后打出“九折酬宾,外送50元出租费”的广告,结果每台VCD 仍获利208元,那么每台VCD 的进价是多少元?(第11届初一希望杯) 解 设每台VCD 的进价是x 元,则依题意可列出方程,20850%)351(9.0=--+x x解得 .1200=x答:每台VCD 的进价是1200元.例7 为了使某项工程提前20天完成任务,需将原定的工作效率提高25%,则原计划这项工程需要多少天?(第12启初一希望杯)解 设原计划完成这项工程需要x 天,则原计划每天的工作效率为,1x现每天工作效率为%),251(1+⋅x 以现在的工作效率需)20(-x 天完成,即现在每天完成的工作效率为,201-x 所以得 ,201%)25.1(1-=+⋅x x 解得 .100=x 答:原计划完成这项工程需要100天.例8 为了鼓励居民用电,某市电力公司规定了如下电费计算方法:每月用电不超过100千瓦时,按每千瓦时0.50元计费;每月用电超过100千瓦时,超出的部分按每千瓦时0.40元计费.(1)如某用户2002年1月交电费68.00元,那么该用户1月份用电多少千瓦时?(2)如某用户2002年2月平均每千瓦时交电费0.48元,那么该用户2月份应交电费多少元?(第13届初一希望杯)解 (1)用电100千瓦时应该交的电费为505.0100=⨯元因为68>50,所以该用户1月份用电量超过了100千瓦时,超出的部分为454.05068=-千瓦时,则该用户1月份共用电14545100=+千瓦时.(2)设该用户2月份用电z 千瓦时,则应交电费为0.48x 元,因为2月份用电平均每千瓦时应交0.48元电费,所以2月份用电量应超过100千瓦时,根据题意可列方程 ,48.0)100(4.050x x =-+解得 .125=x答:应交电费为6012548.0=⨯元例9 甲、乙两列客车的长分别是150米和200米,他们相向行驶在平行的轨道上,已知甲车上的乘客测得乙车在他窗口外经过的时间是10秒,那么乙车上的乘客看见甲车在他窗口外经过的时间是多少秒?(第9届初一希望杯)分析与解 甲、乙两车相向在平行的轨道上行驶,当甲车上某个乘客在窗口看乙车时,从看到车头到车尾通过,实际上相当于甲车上的乘客和乙车的车尾的相遇问题,相遇的距离实际上就是乙车的车长,而甲车上乘客的速度就是甲车的速度,设甲、乙两车的速度和为v 米/秒,甲车上乘客从窗口看乙车通过的时间为10秒,也就是,20010=v 解得20=v (米/秒).同样理由可以求得乙车上的乘客从窗口看甲车通过的时间为5.720150=秒, 例10 甲、乙二人在圆形跑道上跑步,他们同时从A 点以相反方向沿圆弧跑步,当他们在B 点相遇时,乙跑过的圆弧所对的圆心角,160 =∠AOB 相遇后,甲的速度减少20%,乙的速度增加20%,且各自继续前进,当甲回到A 点时,乙距A 点还有10米的路程,求圆形跑道的长度,分析 本题在行程问题中,又涉及到几何中的弧长公式,180r n l π=速度是解决这个问题的关键,由于没有给出时间,我们应该利用“在相同的时间内速度之比等于路程之比”,根据“当他们在B 点相遇时,乙跑过的圆弧所对的圆心角∠AOB=1600” ,能够计算出刚开始的甲乙二人的速度之比,进而能够求出相遇后的速度之比,这样就可以列出相应的方程了.解 设甲、乙的速度分别为,21v v 、圆的半径为r .因为圆心角 160所对的弧长为,180160180r r n i ππ== 则甲走的圆弧的长度为;910982r r r πππ=- 因为他们在B 点相遇, 所以由,9109821v r v r ππ=则可以得到⋅=2145v v 又根据题意得,%)201(98%)201(1091012-=+-v r v r ππ 化简后得 ,86)9010(5r r ππ⨯=-所以 4509052=⨯=r π(米).答:圆形跑道的长为450米.例11 某商场有一部自动扶梯匀速由下而上运动,甲、乙都急于上楼办事,因此在乘自动扶梯的同时匀速登梯,甲登55级后到达楼上,乙登梯速度是甲的2倍(单位时间内乙登梯级数是甲的2倍),他登了60级后到达楼上,那么,由楼下到楼上自动扶梯级数为多少级?分析与解 解决本题最困难的是时间,毕竟甲、乙二人到达楼上的时间不相同.我们不妨换一种思路去考虑这个问题:行程问题能避开时间列出算式或方程吗?答案是肯定的.在相同的时间内,路程之比等于速度之比.设扶梯的级数为x ,甲登了(x-55)级,乙登了(x-60)级.甲上楼时,甲所用的时间和扶梯所走的时间是相同的,因此我们可以得到 ⋅-=5555x v v 乙甲同理乙上楼时,乙所用的时间和扶梯所走的时间也是相同的,因此我们可以得到⋅-=6060x v v 梯乙 因为,2甲乙v v =所以可列方程,555526060-⨯=-x x 解得 .66=x答:自动扶梯级数为66级.例12 -个工程队承包甲、乙两项工程,甲工程工作量是乙工程工作量的两倍,前半个月全体工人都在甲工地工作,后半个月,工人分成相等的两组,一组仍留在甲工地工作,另一组到乙工地工作,一个月后,甲工程完成而乙工程的剩余量刚好够一个工人一个月的工作量,如果每个工人的工作效率相同,问这个工程队有多少工人?解 设这个工程队有x 人,每个人每个月的工作量是1,则甲工地工作量为,2212x x ⨯+而乙工地的工作量为,1212+⨯x 依题意得 ),1221(22212+⨯=⨯+x x x 解得 8.=x答:这个工程队共有8个人,例13 在一次有1000人参加的入学考试中,录取了150人,录取者的平均成绩与未录取者的平均成绩相差38分,全体考生的平均成绩是55分,已知录取分数线比录取者的平均成绩少7.3分,那么录取分数线是多少分?解 设录取者的平均成绩为z 分,则未录取者的平均成绩为)38(-x 分,由题意得,551000)38)(1501000(150⨯=--+x x整理得 ,388505510001000⨯+⨯=x解得 .3.87=x.803.73.87=-答:录取分数线是80分,例14 某人购买钢笔和圆珠笔若干支,钢笔的价格是圆珠笔价格的2倍,付款时,发现所买的两种笔的数量颠倒了,因此,比计划支出增加了50%,求此人原计划购买钢笔与圆珠笔的数量之比。
1.一元一次方程及其解法一、一元一次方程的识别方程的左右两端都是整式,并且未知数的次数为1的方程称为一元一次方程. 需要注意的地方是:(1)该方程是化简合并后具有)0(=/=a b ax 的形式,a 、b 都是常数.例如x x +=+44实际上就不是一元一次方程,因为它化简合并后变为,00=⋅x 未知数的系数为O ;而方程)1(422+=++x x x x 却是一元一次方程,因为它化简合并后得到.04=+x(2)含有字母系数的方程一定要认清真正的未知数,例如关于x 的方程,24m x mx +=+当m≠2时是一元一次方程;当2=m 时,由于化简后未知数x 的系数为O ,所以就不是一元一次方程,二、解一元一次方程的基本步骤解一元一次方程的基本步骤是:去分母、去括号、移项、合并同类项、系数化1,检验.需要注意的地方有:(1)去分母时,在方程的左右两端都乘以各分母的最小公倍数,注意不要漏乘没有分母的项.如已知方程,62135--=--x x x 方程两边同时乘以6得 ),621(6)35(6--⨯=--⨯x x x,62663566-⨯-=-⨯-x x x).2(6)5(26--=--x x x此外,分数线除了表示除号外,还起着括号的作用;分子如果是一个多项式,就应该看作一个整体,在去分母时,要把它加上括号,如上面从第三式到第四式所示,从而避免以下错误:去分母得.26526--=-⨯-x x x(2)去括号时要正确运用去括号法则及乘法分配律,避免漏乘括号中的某一项或搞错符号.如方程),2(6)5(26.--=--x x x 去括号得--=+-x x x 6106,2去第一个括号时,数2漏乘了-x ,去第二个括号时,没有做到“都变号”.(3)移项的目的是为了把含未知数的项与不含未知数的项分列于方程的两边,移项要变号,没有移动的项不要变号.(4)系数化1时容易出现“倒除”形式的错误,如由方程,53=x 解得⋅=53x (5)解方程时,变形步骤没有一定的顺序,而且有些变形步骤可能用不到,要根据方程的特点灵活运用.例1 下面各式中为一元一次方程的是( ).6.=+y x A 7|3|.=+x B x x C 4554.+=+ )2(4.2+=++x x x x D分析A 选项,含有两个未知数,不是一元方程; B 选项,左端含有绝对值,是含有绝对值的方程;C 选项,化简后变为x x ,00=⋅前的系数为O ,不是一元一次方程;D 选项,是整式方程,化简后得,04=+-x 是一元一次方程. 所以选D .例2 当m 为何值时,关于x 的方程273)(23434-+=+--x x x xm m 是一元一次方程?分析 若一个整式方程,经过去分母、去括号、移项、合并同类项等变形后,能化为)0(=/=a b ax 的形式,它只含有一个未知数,并且未知数的最高次数是1,而且系数不等于O ,这样的方程才是一元一次方程.例如: =+4x x +4不是一元一次方程,而方程)2(32+=+x x x 能够化简为,23x =因此 方程)2(32+=+x x x 是一元一次方程,解 由题意得,273223434-+=+--x x x x m m整理得 .2534=+-x xm ①当,134=-m 即1=m 时,方程①即为,26=x 是一元一次方程.当),0(034=/=-x m 即43=m 时,因为任何非O 数的O 次幂等于1,所以方程①即为,15=x 也是一元一次方程.所以,当1=m 或)0(43=/=x m 时,原方程是一元一次方程. 例3 解方程 .5]}3)12(3[12{3=----x x分析 仔细观察,发现方程中含有未知数x 的地方都有,12-x 遇到这种情况,我们可以先将12-x 看成一个整体,即利用换元法,设,12-=x y 求得y ,再求x .解 设,12-=x y 则原方程可化为.5]}33[{3=--y y整理得 ,596=+-y解得 ,32=y 即,32.12=-x 所以 ⋅=65x例4 已知方程)(32)]1(21[21k x kx x -=--的解为,12=x 求代数式122++k k 的值,解 由题意可知),12(32)]112(2112[21k k -=-- ,3284136k k -=+-,46833-=⋅+-k k⋅-==-43,4737k k 因此 ⋅==+-=+=++⋅1612)41()143()1(12222k k k例5 解方程.127)1(331)2(275)1(9=+--+--++x x x解 方程两边同时乘以42得,42147)1(6314)2(2830)1(54=------++x x x ,421476363145628305454=-+--+-++x x x ,147631456305442632854+-+---=--x x x,037=-x.0=x例6 在解方程的过程中,为了使得到的方程和原方程同解,可以在原方程的两边( ).A .乘以同一个数B .乘以同一个整式C .加上同一个代数式D .都加上1分析 在方程的左右两端同时乘以一个数或整式,要保持与原方程同解,必须是非零的数或式子,例如:方程21=+x 的解是,1=x 如果在方程的左右两端同时乘以),1(+x 得到新的方程),1(2)1)(1(+=++x x x 则此方程有两个解:1=x 或.1-=x而在方程的左右两端同时加上一个数或整式,得到新的方程与原方程同解;但是在方程的左右两端同时加上一个代数式却不可以,因为有一些代数式中的字母有自身的条件限制.例如方程75=+x的解是,2=x 如果在方程的左右两端同时加上代数式,21-x 得到新的方程,217215-+=-++x x x 则 此方程无解,与原方程不是同解方程.综上所述,本题选D .例7 规定),,(),(*),(d b c a d c b a +-=如果,3()2,3*),(=(y x ),2那么=),(*),(x y y x 解 由题意可得,22,33=+=-y x所以 .0,6==y x)6,0(*)0.,6(),(*),(=x y y x)60,06(+-=).6,6(=习 题 l一、选择题不同解的方程是( ).11547.-=-x x A 0231.=++x B )43)(1()3)(1.(22++=-+x a x a c )1)(115()1)(47.(--=--x x x x D 2. 方程甲:x x 3)4(43=-与方程乙:x x 44=-同解,其根据是( ). A .甲方程的两边都加上同一个整式x B .甲方程的两边同时乘以x 34 C .甲方程两边都乘以34 D .甲方程两边都乘以43 3. 方程7.352.22=x 的根是( ). 27.A 28.B 29.C 30.D4. 有理数:511821、、依次是下列三个方程⎪⎪⎩⎪⎪⎨⎧-=--+++=+-+=+--)1(32)]1(21[21),3(3)1(2)12(3,141212110312z z z y yy x x x & 的根,则xzy x -的值等于( ). 40171.-A 80347.-B 22071.C 55142.D5. 方程191191=-x 的解是( ).0.A 36118.B 191.C 3611.D 6. 如果一个方程的解都能满足另一个方程,那么这两个方程( ).A .是同解方程B .不是同解方程C .是同一个方程D .可能不是同解方程7. 已知x 、y 满足,532=+y x 则当4=x 时,代数式22123y xy x ++的值是( ).(第12届初一希望杯)4.A 3.B 2.C 1.D二、填空题8. 0)23(2=+++b ax x b a 是关于x 的一元一次方程,且x 有唯一解,则x= .(第9届初一希望杯)9. 对于任意的实数x 、y ,定义,*72*3,*k y xy y x ==+=则k= (第7届新西兰达尼丁一中国上海初中数学友谊通讯赛)10. 如果5=x 是方程123434123-=-+-x m x x 的解,则m= 11. 方程0)104(21)25(32)5020(61=+-+++x x x 的解是 ;方程,03}3]3)321(21[21{21=----x的解是12. 已知方程132=-的解是,2+a 那么方程-+)3(2[2x aja x 3.)(3=-的解是 13. 当m x =时,多项式9999982-+x x 的值等于0,那么多项式+2m =+999998m (第14届迎春杯) 14. 方程)1(32)1(21)1(43)1(31++-=++-x x x x 的解是 15. 如果多项式199921x x x ++++Λ的值为3,且,3x a =则--x a 20002x x --Λ的值等于16. 如果21=x 是方程0522=-+x mx 的解,那么m 的值等于 17. 方程34.08.03.06.002.05.08.03.0-=+⋅-+x x x &的解是 18. 已知5是关于x 的方程043=+n mx 的解,那么=mn(第12届初一希望杯)三、解答题19. 解方程:;123]8)4121(34[43)1(+=--x x)2( .23710223311x x x x x ---=+--20. 已知方程08)1()1(22=++--x m x m 是关于x 的一元一次方程,求代数式m m x x m 9)2)((199+-+的值,参考答案。