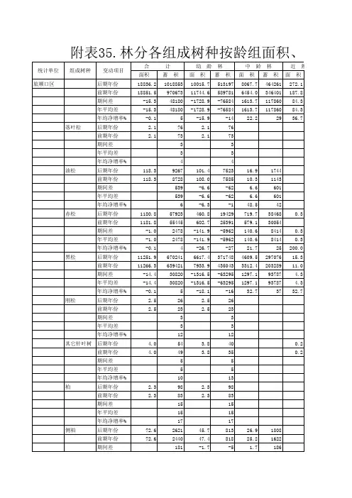
刺槐杨树等林木采伐蓄积量计算表
- 格式:xls
- 大小:28.50 KB
- 文档页数:2
湖南省林木采伐伐区调查设计技术规定湖南省林业厅2011年5月目录第一章总则第一条目的 (1)第二条原则 (1)第三条主要依据 (1)第四条适用范围 (2)第五条调查设计资格 (2)第二章技术标准第六条采伐类型 (3)第七条主伐 (3)第八条用材林抚育采伐 (4)第九条低产林改造 (5)第十条公益林抚育采伐 (6)第十一条更新采伐 (7)第十二条低效林改造 (9)第十三条毛竹采伐 (10)第十四条其它采伐 (10)第十五条主伐与更新采伐年龄 (11)第十六条材质等级 (12)第十七条出材率 (12)第三章调查设计第十八条伐区调查设计分类 (13)第十九条伐区配置 (13)第二十条伐区区划 (13)第二十一条面积调查 (14)第二十二条蓄积调查 (15)第二十三条伐区生产工艺设计 (17)第二十四条木材用途 (18)第二十五条采伐更新及伐后管理措施 (18)第二十六条资料整理 (18)第二十七条伐区调查设计成果 (20)第二十八条伐区拨交 (20)第二十九条伐区简易调查设计 (21)第四章监督管理第三十条管理制度 (22)第三十一条质量检查 (22)第三十二条质量责任 (23)第一章总则第一条目的为合理利用森林资源,加强林木采伐管理,保证伐区调查设计质量,实现森林资源合理利用,维护生态环境,保护生物多样性,促进林业可持续发展,制定本规定。
第二条原则(一)遵循分类经营原则。
分别生态公益林和商品林设计不同的采伐措施,促进可持续森林经营。
(二)用材林消耗量低于生长量原则。
保证“限额”周期(5年)内,林木采伐总量小于林木生长总量,实现越采越多、越采越好,促进森林资源总量稳步上升。
(三)凭证采伐作业原则。
林木采伐作业前,凭相关证件办理采伐许可证,实行凭证采伐。
(四)保护森林生态环境原则。
协调好环境保护和森林利用之间的关系,保护自然景观、动植物生境和生物多样性。
(五)注重效率和效益原则。
优化生产工艺,提高劳动生产率,降低生产成本,获得最佳经济效益。
xx县xx镇xx村xx组安叉沟坡人工商品林采伐作业设计说明书设计主持技术职务年月日设计人年月日审核技术职务年月日审查技术职务年月日审批技术职务年月日二○一一年十一月二十五日设计单位:xx县林业站设计组证书编号:省证丙字021组长:XXX 工程师设计人员:XXX助理工程师XXX 助理工程师分树高。
蓄积量计算采用实验形数法即V蓄=G1.3(H+3)f θ(刺槐的形数fθ=0.39)。
规格材出材率按省上下达指标47%。
三、作业区森林资源调查结果作业区区划为1个小班,小班面积为1.0 公顷,可作业面积1.0公顷,树种为刺槐,郁闭度0.7。
每公顷株数1900株,每公顷蓄积49.45 m3 ,平均胸径11.6 cm,平均树高11.2m,立木总蓄积49.45 m3,林龄22年,林相参差不齐,属单层同龄成熟用材林。
四、设计依据1、《XX县2011年人工商品林采伐工作实施方案》。
2、《森林采伐更新管理办法》3、《国有林抚育间伐、低产林改造技术试行规程》。
4、《XX县森林、林木、林地林权界定资料》。
五、林木采伐作业设计根据《森林采伐更新管理办法》第八条规定:“用材林的主伐方式为择伐、皆伐和渐伐。
”“小面积皆伐适用于坡度在25°以下,土层深厚,交通便利的成、过熟单层林,中、幼树少的异龄林。
”《XX县2011年人工商品林采伐工作实施方案》规定“刺槐主伐龄为21年”。
该作业区属单层同龄成熟用材林,应采取皆伐,采伐面积1.0公顷,采伐蓄积49.45 m3,出规格材23.24m3,伐后应断根更新。
采伐作业规范技术:1、砍灌:作业前将林内少量灌木砍除,堆放小堆。
2、伐木:伐木作业须在检尺员的指导下进行作业,注意控制树斜方面,伐根不得高于10㎝。
3、打枝:从根往梢顺树干砍平,打出白眼圈,不准逆砍或用斧背砸,以防损伤材质。
4、造材:按照国家和省颁布的木材标准规格合理造材,做到长材不短造,优材不劣造,不造双丫材,长度差不得超过(+6、-2)cm,努力提高造材质量,做到多出材,出好材。
林木采伐案件司法鉴定技术方法需要考虑多个因素,以下是一些常见的方法:
- 材积表法:根据林木的胸径与根径之间存在线性相关关系的原理,通过参照样木,建立根径胸径回归直线方程,求取盗伐林木胸径,然后根据材积表计算盗伐林木蓄积量。
- 全林实测法:即每木检尺法,适用于毁坏林木的面积较小的情况,通过对每棵林木进行检尺来计算蓄积量。
在进行司法鉴定时,需要根据具体情况选择合适的技术方法,并遵守相关的法律法规和技术规范,以保证鉴定结果的准确性和公正性。
采伐数据计算相关教程2020年5月目录一、采伐数据的计算 (1)二、依据二调数据,提取县名、镇名、村名 (4)三、二调小班线相关教程................... 错误!未定义书签。
附件:二元立木材积表部分数据............. 错误!未定义书签。
一、采伐数据的计算采伐表基于附表a进行计算,以下为常用采伐数据的计算。
1、公顷蓄积的计算:两种办法(单株蓄积计算法和角规绕测法)1.1 单株蓄积法(公顷蓄积=单株蓄积*公顷株数),单株林木蓄积(V)=a*D b*H c,以下为常用树种单株蓄积计算公式(公式来源见附件):杉木:V=6.97483×10-5D1.81583H0.99610马尾松:V=7.98524×10-5D1.74220H1.01198湿地松:V=7.81515×10-5D1.79967H0.98178桉树:V=8.71419×10-5D1.94801H0.74929相思类:V=7.32715×10-5D1.65483H1.08069黎蒴:V=6.29692×10-5D1.81296H1.01545软阔:V=6.74286×10-5D1.87657H0.92888硬阔:V=6.01228×10-5D1.87550H0.98496注:以上公式中,V为单株蓄积,D为平均胸径,H为平均树高。
我作报告一般使用此种方法。
1.2 角规绕测法(公顷蓄积V=G*FH,注:V为公顷蓄积,G为角规断面数,FH为形高),以下为常用树种林分形高计算公式:杉木:FH=0.5112+0.5378×H马尾松:FH=0.8490+0.4626×H湿地松:FH=0.8620+0.4947×H藜蒴:FH=1.5572+0.4130×H软阔类:FH=0.6094+0.5130×H硬阔类:FH=0.3855+0.5473×H针叶混:FH=0.5444+0.5250×H针阔混:FH=0.5480+0.5204×H阔叶混:FH=0.7124+0.5053×H注:以上公式中,FH为形高,H为平均树高。
森林采伐作业设计书县、场(乡、镇)、年度森林采伐作业设计书林种采伐种类采伐方式申报单位设计单位技术负责人填报日期:年月日说明1、设计一律用钢笔填写,要求清楚端正。
2、伐区位置图用1:*****地形图勾绘。
根据二类调查林相图或基本图转绘,也可实测伐区平面图。
3、森林采伐作业区设计以宗地为单位进行,宗地大的可以以小班或细班进行。
4、采伐种类分:用材林主伐,人工林低改采伐、疏林改造采伐、散生木采伐、薪炭林采伐、防护林特用林卫生伐和更新采伐等5、采伐方式分:皆伐、择伐、渐伐。
6、标准地面积应占伐区面积的2%(人工林面积应占3%)。
7、皆伐面积每块不得大于150亩。
8、更新方式分:人工全面造林、人工补植、人工促进萌芽、封山育林。
9、采伐作业设计必须按照林业部发布的《森林采伐更新管理方法》和江西省林业厅《江西省伐区调查设计原则要求》的规定进行。
10、标准地蓄积量和出材量的计算;分别规格材立木和非规格材立木计算出标准木,然后伐倒造材、测算,推算出标准地蓄积和出材量。
立木规格材与非规格材的标准规定如下:规格材立木――杉带皮胸径12厘米(含12厘米)以上、松阔带皮胸径16厘米(含16厘米)以上。
非规格材立木――杉带皮胸径10厘米以下、松阔带皮胸径14厘米以下。
11、本设计一式四份审批后,交采伐单位、林业工作站、县林政股、调查设计队各执一份。
― ― 2一、伐区调查设计说明书(一)进行伐区调查设计的依据:(二)伐区位置及立地条件:1、分场(村)林班小班,地名山场四至:东至南至西至北至林权证号2、海拔高M,坡度,坡向,坡位,3、母岩,土类,厚度CM,腐殖层厚CM,4、主要下木类种和盖度5、林冠下天然更新情况:― 3 ―(三)伐区林况:1、林种起源、林木组成2、优势树种平均胸径CM,平均高M,平均年龄3、郁闭度。
4、每亩平均蓄积M,伐区蓄积M 5、人工林造林年度(四)实施采伐技术措施与要求:(五)小班经营情况及其它:33 ― ― 4二、标准地调查记录1、标准地调查汇总表标准地号标准地面积亩标采伐蓄积每亩平均出材量平每平准采采每亩组均郁亩平总均地伐伐采伐规树种成胸闭蓄均采非规高蓄方强剩余计格比径度积每伐格材 3 (M) 积式度物(M) 材3(CM)(M) 亩量3(M) 合计杉松阔2、标准地周界测量记录表3、标准地略图测站方位角倾斜角斜距水平距累计N 比例尺闭合差% 调查人:― 5 ―4、树种标准地每木检尺记录表径级立保留木采伐木木蓄蓄积按“正”字记录计积按“正”字记录计3(M/3(M)株) 合计蓄积3(M)株数蓄积3(M)6 8 10 12 14 16 18 20 22 24 26 28 30 32 34 合计注:皆伐作业地区保留有生长前途的针阔叶幼令立木。
最新版山东省杨树材积表山东省杨树材积表编制、使用说明杨树二元材积式以全省为总体编制;杨树一元立木材积表、杨树一元地径材积表分鲁北西平原区、鲁东丘陵区、鲁中南山丘区三个区编制。
编表样木全部为伐倒木,采自全省16市地、32个县(市、区),样木株数985株,其中,编表样木815株,检验样木170株。
材积表编制方法:(1)选取多个回归模型,运用ForStat2.0(统计之林)统计和数据分析软件,对选取的回归方程进行回归、拟合、比较、选优,确定最优回归模型。
(2)运用ForStat2.0分析软件,对最优回归模型进行适用性检验。
(3)根据最优回归模型编制材积表。
二元材积式、一元材积式和地径—胸径关系式,拟合精度都达到了较高水平,适用性检验结果均表现为差异不显著,说明选择的回归方程合理,材积表适用。
二元材积式可以在全省范围内使用,一元立木材积表、一元地径材积表分别在鲁西北平原区、鲁东丘陵区、鲁中南山丘区使用。
各区使用范围详见山东省杨树一元立木材积表、一元地径材积表使用区域表。
杨树材积表适用于林分,“四旁树”可参考使用。
山东省杨树一元立木材积表、一元地径材积表使用区域表分区名称使用区域鲁西北平原区菏泽市全部、聊城市全部济宁市:金乡县、嘉祥县、鱼台县、汶上县、任城区、济宁市中区、兖州市、梁山县、微山县德州市全部济南市:济阳县、商河县淄博市:桓台县、高青县东营市全部滨州市全部潍坊市:寿光市、昌邑县、寒亭区鲁东丘陵区青岛市全部、烟台市全部、威海全部、日照市全部临沂市:莒南县鲁中南山丘区枣庄市全部、泰安市全部、莱芜市全部济南市除济阳县、商河县外的全部淄博市除桓台县、高青县外的全部潍坊市:临朐县、青州市、诸城市、安丘市、高密市、昌乐县、奎文区、坊子区、潍城区临沂市除莒南县的全部济宁市:泗水县、曲阜市、邹城市附件2:山东省杨树材积表1、山东省杨树二元材积式v=0.016743+0.000116d2+0.00002 d2h-0.002123 h+ 0.00001dh22、山东省杨树一元立木材积表单位:立方米分区单株材积径阶鲁西北平原区鲁东丘陵区鲁中南山丘区60.0031 0.0131 0.0164 8 0.0192 0.0257 0.0262 10 0.0411 0.0433 0.0439 12 0.0689 0.0664 0.0694 14 0.1026 0.0952 0.1027 16 0.1422 0.1302 0.1439 18 0.1877 0.1715 0.1928 20 0.23910.2195 0.2497 220.2964 0.2744 0.3143 24 0.3595 0.3364 0.3868 26 0.4286 0.4058 0.4671 28 0.5036 0.4827 0.5552 30 0.5845 0.5674 0.6512 32 0.6712 0.6600 0.7550 34 0.7639 0.7606 0.8667 360.8625 0.8696 0.9861 380.9669 0.9870 1.1134 401.0773 1.1130 1.2486 鲁西北平原区一元材积式:v= -0.009535 -0.00231d+0.000737 d2鲁东丘陵区一元材积式 v=0.000197d2.341992鲁中南山丘区一元材积式 v=0.033941 -0.008794d+0.000979d23、山东省杨树一元地径材积表单位:立方米分区单株材积地径鲁西北平原区鲁东丘陵区鲁中南山丘区80.0052 0.0164 0.0164 100.0192 0.0280 0.0249 120.0374 0.0423 0.0397 140.0585 0.0613 0.0596 160.0850 0.0830 0.0867 180.1138 0.1102 0.1203 200.1486 0.1399 0.1601 220.1877 0.1738 0.2063 240.2283 0.2144 0.2558 260.2756 0.2572 0.3143 280.3241 0.3076 0.3792 300.3796 0.3599 0.4504 320.4395 0.4206 0.5235 340.4997 0.4827 0.6071 360.5678 0.5542 0.6970 380.6402 0.6266 0.7932 400.7122 0.7093 0.8958 420.7928 0.7924 0.9985 440.8726 0.8867 1.1134 460.9616 0.9809 1.2347 481.0547 1.0871 1.3623 501.1463 1.1927 1.4887 521.2477 1.3112 1.6286 541.3471 1.4286 1.7749 561.4568 1.5597 1.9276 581.5708 1.68922.0865 601.6820 1.83322.2425鲁西北平原区胸径—地径方程:d = -0.304121 + 0.830457 d0 鲁东丘陵区胸径—地径方程: d = 0.022406+ 0.823878d0鲁中南山丘区胸径—地径方程:d = -1.095497 + 0.888774d0。