概率论与数理统计模拟题 重庆大学
- 格式:doc
- 大小:237.50 KB
- 文档页数:4
重庆大学全日制学术型硕士研究生 《数理统计》(A )课程试卷2013-2014学年第一学期(秋)请保留四位小数,部分下侧分位数为:0.95 1.65u =,0.99 2.33u =,20.95(1) 3.841χ=,0.95(3,6)9.78f =一、(18分)设1X ,2X ,…,64X 是来自总体N (0,2σ)的样本,X ,2S 分别是样本均值和样本方差:(1)求参数c 满足{}0.1P X S c >⋅=;(2)求概率22122234{1}X X P X X +>+;(3)求322321(2)i i i D X X X +=⎡⎤+-⎢⎥⎣⎦∑。
(请写出计算过程)解:(1)~(1)t n-{}}0.1P X S c P c ∴>⋅=>=得0.95(63)c t = 故 1.650.20638c ==(2)2~(0,)X N σ22212(/)(/)~(2)X X σσχ∴+ 同理22234(/)(/)~(2)X X σσχ+2222223412122234(/)(/)(/)(/)/~(2,2)22X X X X X X F X X σσσσ+++∴=+ 22122234{1}{(2,2)1}X X P P F X X +>=>+ 且0.50.50.51(2,2)(2,2)1(2,2)F F F =⇒= 得2222121222223434{1}1{1}0.5X X X X P P X X X X ++>=-≤=++ (3)令2~(2,2)i i n i Y X X N μσ+=+,112n i i Y Y X n ===∑ 221()(1)ni Y i T Y Y n S =∴=-=-∑3232223211(2)[()]i i i i i D X X X DT D Y Y +==⎡⎤+-==-⎢⎥⎣⎦∑∑2~(0,2(11/))i Y YN n σ-+~(0,1)YN=3222422421[2(11/)4(11/)((32))256(11/32)i Y D n n D σσχσ=+=+=+∑二、(26分)设1X ,2X ,…,n X 是来自总体2~(2,)(0)X N σσ>的样本,{}0.95P X A <=。
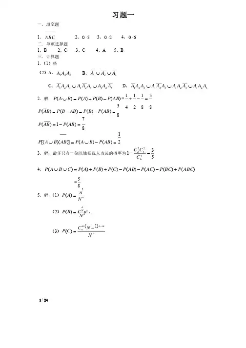
1 / 24习题一一.填空题一.填空题1.ABC 2、50× 3、20× 4、60× 二.单项选择题二.单项选择题 1、B 2、C 3、C 4、A 5、B 三.计算题三.计算题 1.(1)略)略 (2)A 、321A A AB 、321A A A ÈÈC 、321321321A A A A A A A A A ÈÈD 、321321321321A A A A A A A A A A A A ÈÈÈ 2.解.解)()()()(AB P B P A P B A P -+=È=85812141=-+83)()()()(=-=-=AB P B P AB B P B A P87)(1)(=-=AB P AB P21)()()])([(=-È=ÈAB P B A P AB B A P3.解:最多只有一位陈姓候选人当选的概率为531462422=-C C C 4.)()()()()()()()(ABC P BC P AC P AB P C P B P A P C B A P +---++=ÈÈ=855.解:(1)n Nn A P !)(=(2)nn NNn C B P !)(=、 (3)nmn m n N N C C P --=)1()(习题二一.填空题一.填空题1.0.8 2、50× 3、32 4、735、43 二.单项选择题二.单项选择题 1、D 2、B 3、D 4、B 三.计算题三.计算题1. 解:设i A :分别表示甲、乙、丙厂的产品(i =1,2,3) B :顾客买到正品:顾客买到正品)/()()(11A B P A P B P =)/()(22A B P A P +)/()(33A B P A P +=83.065.05185.0529.052=´+´+´ 8334)()/()()/(222==B P A B P A P B A P2.解:设iA :表示第i 箱产品(i =1,2)i B :第i 次取到一等品(i =1,2) (1))/()()(1111A B P A P B P =)/()(212A B P A P +=4.0301821501021=´+´ (2)同理4.0)(2=B P(3))/()()(121121A B B P A P B B P =)/()(2212A B B P A P +=19423.02917301821499501021=´´+´´ 4856.04.019423.0)()()/(12112===B P B B P B B P (4)4856.04.019423.0)()()/(212121===B P B B P B B P 3. 解:设i A :表示第i 次电话接通(i =1,2,3)101)(1=A P 10191109)(21=´=A A P1018198109)(321=´´=A A A P所以拨号不超过三次接通电话的概率为3.0101101101=++如已知最后一位是奇数,则如已知最后一位是奇数,则51)(1=A P 514154)(21=´=A A P51314354)(321=´´=A A A P 所以拨号不超过三次接通电话的概率为60515151=++ 4.解:)()()(1)(1)(C P B P A P C B A P C B A P -=ÈÈ-=ÈÈ=6.04332541=-5.解:设21,B B 分别表示发出信号“A ”及“B ” 21,A A 分别表示收到信号“A ”及“B ”)/()()(1111B A P B P A P =)/()(212A A P B P +=30019701.031)02.01(32=+- 197196)()/()()()()/(111111111===A P B A P B P A P B A P A B P第一章 复习题一.填空题一.填空题1.0.3,0.5 2、0.2 3、2120 4、153,1535、158,32,31 6.4)1(1p --二.单项选择题二.单项选择题1、B2、B3、 D4、D5、A 三.计算题三.计算题1. 解:设i A :i 个人击中飞机(i =0,1,2,3) 则09.0)(0=A P 36.0)(1=A P 41.0)(2=A P 14.0)(3=A PB :飞机被击落:飞机被击落)/()()(11A B P A P B P =)/()(22A B P A P +)/()(33A B P A P ++)/()(00A B P A P +=458.0009.0114.06.041.02.036.0=´+´+´+´ 2.解:设i A : i 局甲胜(i =0,1,2,3)(1)甲胜有下面几种情况:)甲胜有下面几种情况: 打三局,概率36.0打四局,概率12136.06.04.0××C打五局,概率122246.06.04.0××CP (甲胜)=36.0+11221136.06.04.0××C +1122222246.06.04.0××C =0.68256 (2)93606.06.0*4.0*6.06.0*4.0*6.06.0)()()()()/(2222321321212121=++===A A P A A A P A A P A AA P A A A P3.解:设A :知道答案:知道答案 B :填对:填对)/()()(A B P A P B P =475.0417.013.0)/()(=´+´=+A B P A P197475.0417.0)()/()()()()/(=´===B P A B P A P B P B A P B A P 4.解:设iA :分别表示乘火车、轮船、汽车、飞机(i =1,2,3,4)B :迟到:迟到)/()()(11A B P A P B P =)/()(22A B P A P +)/()(33A B P A P ++)/()(44A B P A P +=203052121101315141103=´+´+´+´2120341103)()/()()()()/(11111=´===B P A B P A P B P B A P B A P同理94)/(2=B A P 181)/(3=B A P5.解:A :甲袋中取红球;B :乙袋中取红球:乙袋中取红球)()()()()()()(B P A P B P A P B A P AB P B A AB P +=+=È =40211610106166104=´+´习题三 第二章 随机变量及其分布一、填空题一、填空题1、19272、23、134、0.85、010.212()0.52313x x F x x x <ìï£<ï=í£<ïï³î6、113~0.40.40.2X -éùêúëû二、单项选择题二、单项选择题1、B2、A3、B4、B 三、计算题三、计算题1、解:由已知~(15,0.2)X B ,其分布律为:1515()0.20.8(0,1,2,...,15)kk kP X k C k -===至少有两人的概率:(2)1(2)1(0)(1)0.833P X P X P X P X ³=-<=-=-==多于13人的概率:(13)(14)(15)P X P X P X >==+==02、解、解 设击中的概率为p ,则X 的分布率为的分布率为 X123456k p p (p p )1- (p p 2)1- (p p 3)1- (p p 4)1- (p p 5)1-+(6)1p -3、解:X 的分布律为:的分布律为:X34 5 k p0.10.30.6X 的分布函数为:0,30.1,34()0.4,451,5x x F x x x <ìï£<ï=í£<ïï³î4、解:由已知,X 的密度函数为:1,33()60,x f x ì-££ï=íïî其它此二次方程的22(4)44(2)16(2)x x x x D =-××+=--(1)当0D ³时,有实根,即2(2)021x x x x --³Þ³£-或 所以{}{21}{2}{1}P P X X P X P X =³£-=³+£-方程有实根或3123111662dx dx --=+=òò(2)当0D =时,有重根,即2(2)021x x x x --=Þ==-或所以{}{21}{2}{1}0P P X X P X P X ===-==+=-=方程有重根或 (3)当0D <时,无实根,1{}1{}2P P =-=方程有实根无实根 5、解:设X 为元件寿命,Y 为寿命不超过150小时的元件寿命。
习题八A 组1.假设总体X ~)1,(μN ,从中抽取容量为25的样本,对统计假设0:,0:10≠=μμH H ,拒绝域为X 0={}392.0≥x 。
(1)求假设检验推断结果犯第Ⅰ类错误的概率。
(2)若3.0:1=μH ,求假设检验推断结果犯第Ⅱ类错误的概率。
解:(1){}{}001H H P P α==犯第I 类错误拒绝成立={}0392.0=>μX P{}{}96.10392.0>==>=n XP X P μ,所以05.01=α(2){}{}00H H P P β==犯第II 类错误接受不成立{}3.0392.0=≤=μX P{}6769.046.0)3.0(46.3=<-<-=n X P2.已知某厂生产的电视机显像管寿命(单位:小时)服从正态分布。
过去,显像管的平均寿 命是15000小时,标准差为3600小时。
为了提高显像管寿命采用了一种新技术,现从新生 产的显像管中任意抽取36只进行测试,其平均寿命为15800=x 小时。
若用假设检验方 法推断新技术是否显著提高了显像管的寿命,试指出:(1)假设检验中的总体;(2)统计假设;(3)检验法、检验统计量、拒绝域;(4)推断结果。
解:(1)假设检验中的总体是新生产的显像管的寿命,用X 表示,由题意知:X ~),(2σμN )90000,5000(N(2)统计假设:15000:0≤μH ,15000:1>μH(3)假设σ与过去一样为3600小时,那么检验方法为U 检验法,检验统计量为:nX U σ15000-=显著水平05.0=α时的拒绝域为:X 0 ={}α->1u u ={}645.1>u(4)推断:因为U 的样本值为1.333不在X 0 内,所以接受原假设,即在显著水平05.0=α下,认为新技术没有提高显像管的寿命。
3.某计算机公司使用的现行系统,运行通每个程序的平均时间为45秒。
现在使用一个新系统运行9个程序,所需的计算时间(秒)分别是:30,37,42,35,36,40,47,48,45。
重庆大学概率论与数理统计课程试卷A卷B卷2012 ~2013 学年 第 二 学期开课学院: 数统学院 课程号:10029830 考试日期:考试方式:开卷闭卷 其他 考试时间: 120分钟分位数:220.0050.975(39)20,(39)58.12χχ==,0.975 1.96u =,(2.68)0.9963,(1.79)0.9633Φ=Φ=,0.025(35) 2.0301t =一、填空题(每空3分,共42分)1.已知()0.3P A =,()0.4P B =,()0.5P AB =,则()P B A B ⋃= 0.25 。
2.从一副扑克牌(52张)中任取3张(不重复),则取出的3张牌中至少有2张花色相同的概率为 0.602 。
3.从1到9的9个整数中有放回地随机取3次,每次取一个数,则取出的3个数之积能被10整除的概率为 0.214 。
4.一个有5个选项的考题,其中只有一个选择是正确的。
假定应 考人知道正确答案的概率为p 。
如果他最后选对了,则他确实知道答案的概率为541pp +。
5.重复抛一颗骰子5次得到点数为6 的次数记为X ,则(3)P X >= 13/3888 。
6.设X 服从泊松分布,且(1)(2)P X P X ===,则(4)P X ==0.0902 。
7.设圆的直径X 服从区间(0,1)上的均匀分布,则圆的面积Y 的密度函数为1//4()0 ,Y y f y elseπ⎧<<⎪=⎨⎪⎩。
8.已知(,)(1,9;0,16;0.5) ,32X YX Y N Z -=+且,则Z 的密度函数21()36z Z f --(z )。
9.设总体2(,)X N μσ,其中2σ已知,从该总体中抽取容量为40n =的样本1,240,,X X X ,则()222110.5 1.453nii P X X n σσ=⎧⎫≤-≤⎨⎬⎩⎭∑= 0.97。
10.设1,210,,X X X 是来自总体2(0,)XN σ的样本,则Y =服从 t(8) 。
2002级重大概率论和数理统计试题(A )一、 填空题(每空3分,共45分)1、已知P(A) = 0.92, P(B) = 0.93, P(B|A ) = 0.85, 则P(A|B ) = 0.8286 。
P( A ∪B) = 0.988 。
2、设事件A 与B 独立,A 与B 都不发生的概率为19,A 发生且B 不发生的概率与B发生且A 不发生的概率相等,则A 发生的概率为: 2/3 ;3、一间宿舍内住有6个同学,求他们之中恰好有4个人的生日在同一个月份的概率:14212661112C C ⨯ ,没有任何人的生日在同一个月份的概率61266!12C ;4、已知随机变量X 的密度函数为:,0()1/4,020,2x Ae x x x x ϕ⎧<⎪=≤<⎨⎪≥⎩, 则常数A= 1/2 , 分布函数F (x )= 1,021,02241,2xe x xx x ⎧≤⎪⎪⎪+<≤⎨⎪>⎪⎪⎩, 概率{0.51}P X -<<= 0.53142e --;5、设随机变量X~ B(2,p)、Y~ B(1,p),若{1}5/9P X ≥=,则p = 1/3 ,若X与Y 独立,则Z=max(X,Y)的分布律: Z 0 1 2P 8/27 16/27 3/27;6、设~(200,0.01),~(4),X B Y P 且X 与Y 相互独立,则D(2X-3Y)= 43.92 , COV(2X-3Y , X)= 3.96 ;7、设125,,,X X X 是总体~(0,1)X N 的简单随机样本,则当k =~(3)Y t =;8、设总体~(0,)0X U θθ>为未知参数,12,,,n X X X 为其样本,11ni i X X n==∑为样本均值,则θ的矩估计量为: 2X 。
9、设样本129,,,X X X 来自正态总体(,1.44)N a ,计算得样本观察值10x =,求参数a 的置信度为95%的置信区间: [9.216,10.784] ;二、 计算题(35分)1、 (12分)设连续型随机变量X 的密度函数为:1,02()20,x x x ϕ⎧≤≤⎪=⎨⎪⎩其它求:1){|21|2}P X -<;2)2Y X =的密度函数()Y y ϕ;3)(21)E X -; 1) 9{|21|2}{0.5 1.5}16P X P X -<=-<<=2)(0()0,01,0440,X X Y y y y y ϕϕϕ+>=≤⎩⎧≤≤⎪=⎨⎪⎩其它3)45(21)212133E X E X -=-=⨯-=2、(12分)设随机变量(X,Y)的密度函数为1/4,||,02,(,)0,y x x x y ϕ<<<⎧=⎨⎩其他1) 求边缘密度函数(),()X Y x y ϕϕ; 2) 问X 与Y 是否独立?是否相关? 3) 计算Z = X + Y 的密度函数()Z z ϕ;解:1)1,02,02()(,)420,0,x X x x dy x x x x y dy ϕϕ+∞--∞⎧⎧<<<<⎪⎪===⎨⎨⎪⎪⎩⎩⎰⎰其它其它2||1,||22||,||24()(,)0,0,y Y dx y y y y x y dx ϕϕ+∞-∞⎧<-<⎧⎪===⎨⎨⎩⎪⎩⎰⎰其它其它2)显然,(,)()()X Y x y x y ϕϕϕ≠,所以X 与Y 不独立。
重庆大学概率论与数理统计课程试卷A卷B卷2012 ~2013 学年 第 二 学期开课学院: 数统学院 课程号:10029830 考试日期:考试方式:开卷闭卷 其他 考试时间: 120分钟分位数:220.0050.975(39)20,(39)58.12χχ==,0.975 1.96u =,(2.68)0.9963,(1.79)0.9633Φ=Φ=,0.025(35) 2.0301t =一、填空题(每空3分,共42分)1.已知()0.3P A =,()0.4P B =,()0.5P AB =,则()P B A B ⋃= 0.25 。
从一副扑克牌(52张)中任取3张(不重复),则取出的3张牌中至少有2张花色相同的概率为 0.602 。
从1到9的9个整数中有放回地随机取3次,每次取一个数,则取出的3个数之积能被10整除的概率为 0.214 。
4.一个有5个选项的考题,其中只有一个选择是正确的。
假定应 考人知道正确答案的概率为p 。
如果他最后选对了,则他确实知道答案的概率为541pp +。
5.重复抛一颗骰子5次得到点数为 6 的次数记为X ,则(3)P X > = 13/3888 。
6.设X 服从泊松分布,且(1)(2)P X P X ===,则(4)P X ==0.0902 。
7.设圆的直径X 服从区间(0,1)上的均匀分布,则圆的面积Y的密度函数为1//4()0 ,Y y f y elseπ⎧<<⎪=⎨⎪⎩。
8.已知(,)(1,9;0,16;0.5) ,32X YX Y N Z -=+且,则Z 的密度函数21()36z Zf --(z )。
9.设总体2(,)X N μσ,其中2σ已知,从该总体中抽取容量为40n =的样本1,240,,X X X ,则()222110.5 1.453n i i P X X n σσ=⎧⎫≤-≤⎨⎬⎩⎭∑= 0.97。
10.设1,210,,X X X 是来自总体2(0,)XN σ的样本,则Y =服从 t(8) 。
涉及到的有关分位数:()()()()()()()()()()()()20.950.950.950.9750.9750.9752222220.9750.0250.0250.9750.950.97520.95 1.645,16 1.746,15 1.753,16 2.12,15 2.131,1628.851527.49,16 6.91,15 6.26,1 5.02,1 3.84,27.382 5.99u t t t t χχχχχχχχ=============一、设123,,X X X 是来自总体~(0,3)X N 的样本。
记()2332i 1111,32i i i X X S X X====-∑∑,试确定下列统计量的分布:(1)3113i i X =∑;(2)23119i i X =⎛⎫⎪⎝⎭∑;(3)()23113i i X X=-∑;(4X解:(1)由抽样分布定理,311~(0,1)3i i X X N ==∑(2)因311~(0,1)3i i X N =∑,故223321111~(1)39i i i i X X χ==⎛⎫⎛⎫= ⎪ ⎪⎝⎭⎝⎭∑∑(3)由抽样分布定理,()()()2223321131211~(2)3323i i i i S X X X X χ==-=⋅-=-∑∑(4)因()222~(0,1),~23X N S χ,X 与2S独立,故()~2X t 。
二、在某个电视节目的收视率调查中,随机调查了1000人,有633人收看了该节目,试根据调查结果,解答下列问题:(1)用矩估计法给出该节目收视率的估计量;(2)求出该节目收视率的最大似然估计量,并求出估计值;(3)判断该节目收视率的最大似然估计是否是无偏估计;(4)判断该节目收视率的最大似然估计是否是有效估计。
解:总体X 为调查任一人时是否收看,记为~(1,)X B p ,其中p 为收视率(1)因EX p =,而^E X X =,故收视率的矩估计量为^Xp =(2)总体X 的概率分布为()1()1,0,1xxf x p p x -=-=1111()(1)(1)(1)ln ()ln (1)ln(1)ln ()(1)01nniii ii i nx n x x x n X n n Xi L p p p pp p p L p nX p n X p d L p nX n X dp p p==---=∑∑=-=-=-=+---=-=-∏解得收视率p 的最大似然估计量为^Xp =现有一参量为1000的样本121000,,X X X ……,,且10001633ii X==∑则6330.6331000X ==,故收视率的极大似然估计值为0.633.(3)因E X p =,故^X p =是无偏估计(4)因()ln ()(1)1(1)d L p nX n X nX p dp p p p p -=-=---,又E X p=故收视率的最大似然估计X 是p 的有效估计。
《概率论与数理统计》模拟题一.单选题1.对于事件A,B,下列命题正确的是().A.若A,B 互不相容,则A 与B̅也互不相容. B.若A,B 相容,那么A 与B̅也相容. C.若A,B 互不相容,且概率都大于零,则A,B 也相互独立.D.若A,B 相互独立,那么A 与B̅也相互独立. [答案]:D2.在一次假设检验中,下列说法正确的是(). A.既可能犯第一类错误也可能犯第二类错误B.如果备择假设是正确的,但作出的决策是拒绝备择假设,则犯了第一类错误C.增大样本容量,则犯两类错误的概率都不变D.如果原假设是错误的,但作出的决策是接受备择假设,则犯了第二类错误 [答案]:A3.对总体X~N(μ,σ²)的均值和作区间估计,得到置信度为95%的置信区间,意义是指这个区间().A.平均含总体95%的值B.平均含样本95%的值C.有95%的机会含样本的值D.有95%的机会的机会含μ的值 [答案]:D4.在假设检验问题中,犯第一类错误的概率α的意义是(). A.在H 0不成立的条件下,经检验H 0被拒绝的概率 B.在H 0不成立的条件下,经检验H 0被接受的概率 C.在H 0成立的条件下,经检验H 0被拒绝的概率 D.在H 0成立的条件下,经检验H 0被接受的概率 [答案]:C5.在一次假设检验中,下列说法正确的是(). A.第一类错误和第二类错误同时都要犯B.如果备择假设是正确的,但作出的决策是拒绝备择假设,则犯了第一类错误C.增大样本容量,则犯两类错误的概率都要变小D.如果原假设是错误的,但作出的决策是接受备择假设,则犯了第二类错误 [答案]:C6.设θ 是未知参数θ的一个估计量,若θθ≠ E 则θ是θ的(). A.极大似然估计 B.矩法估计 C.相合估计D.有偏估计[答案]:B7.在对单个正态总体均值的假设检验中,当总体方差已知时,选用().A.t检验法B.u检验法C.F检验法D.σ2检验法[答案]:B8.在一个确定的假设检验中,与判断结果相关的因素有().A.样本值与样本容量B.显著性水平C.检验统计量D.A,B,C同时成立[答案]:D9.对正态总体的数学期望进行假设检验,如果在显著水平0.05下接受H0:μ=μ0,那么在显著水平0.01下,下列结论中正确的是().A.必须接受H0B.可能接受,也可能拒绝H0C.必拒绝H0D.不接受,也不拒绝H0[答案]:A10.设A和B为两个任意事件,且A⊂B,P(B)>0,则必有().A.P(A)<P(A|B)B.P(A)≤P(A|B)C.P(A)>(A|B)D.P(A)≥P(A|B)[答案]:B11.已知P(A)=0.4,P(B)=0.6,P(B|A)=0.5,则P(A|B)=().A.1/2B.1/3C.10/3D.1/5[答案]:B12.甲.乙两人独立的对同一目标各射击一次,其中命中率分别为0.6和0.5,现已知目标被命中,则它是乙命中的概率是().A.3/5B.5/11C.5/8B.6/11 [答案]:C13.设A 和B 为两个任意事件,则下列关系成立的是(). A.(A ∪B )−B =A B.(A ∪B )−B ⊃A C.(A ∪B )−B ⊂A D.(A −B )∪B =A [答案]:C14.设A 和B 为两个任意事件,且A ⊂B ,则必有(). A.P (A )<P(AB) B.P (A )≤P(AB) C.P (A )>P(AB) D.P (A )≥P(AB) [答案]:D15.设每次实验成功的概率为p(0<p<1)则在三次独立重复试验中至少一次成功的概率为(). A.p 3 B.1-p 3 C.(1-p)3 D.1-(1-p)3 [答案]:B16.某人射击时,中靶的概率为2/3,如果射击直到中靶子为止,则射击次数为3的概率(). A. 2/27 B.2/9 C.8/27 D.1/27 [答案]:A17.设随机事件A 和B 满足P (B |A )=1,则(). A.为必然事件 B.P (B |A )=0 C.B ⊂A D.B ⊃A [答案]:C18.设一随机变量X 的密度函数φ(−x )=φ(x ),F(x)是X的分布函数,则对任意实数a 有(). A.F (−a )=1−∫φ(x )a0dx B.F (−a )=12−∫φ(x )a 0dx C.F (−a )=1−F(a)D.F (−a )=2F (a )−1 [答案]:B19.变量X 的密度函数为f (x )={Cx 30<x <10其它,则常数C=().A.3B.4C.1/4D.1/3 [答案]:B20.设X 和Y 相互独立,且分别服从N(0,1)和N(1,1)则(). A.P {X +Y ≤0}=12 B.P {X +Y ≤1}=12C.P {X −Y ≤0}=12D.P {X −Y ≤1}=12[答案]:B21.设X和Y独立同分布,且P {X =1}=P {Y =1}=12,P {X =−1}=P {Y =−1}=12,则下列各式成立的是(). A.P {X =Y }=12 B.P {X =Y }=1 C.P {X +Y =0}=14D.P {XY =1}=14 [答案]:A22.总体方差D 等于(). A.1n ∑(X i −X ̅)2n i=1B.1n−1∑(X i −X ̅)2n i=1 C.1n ∑X i 2−(EX)2n i=1 D.1n−1∑(X i −EX)2n i=1 [答案]:C23.设随机变量X~N(μ,σ²),则随着σ的增大,概率P{|X−μ|<σ}为().A.单调增加B.单调减少C.保持不变D.增减不定[答案]:C24.设随机变量X和Y均服从正态分布X~N(μ,4²),Y~N(μ,5²),记p1=P{X<μ−4},p2= P{Y≥μ+5},则().A.对任何实数μ都有p1=p2B.对任何实数μ都有p1<p2C.仅对个别值有p1=p2D.对任何实数μ都有p1>p2[答案]:A25.设X1,X2,…,X n为来自总体的一个样本,X̅为样本均值,EX未知,则总体方差DX的无偏估计量为().A.1n ∑(X i−X̅)2 ni=1B.1n−1∑(X i−X̅)2 ni=1C.1n ∑(X i−EX)2 ni=1D.1n−1∑(X i−EX)2 ni=1[答案]:B26.设总体X~f(x,θ),θ为未知参数,X1,X2,…,X n为X的一个样本,θ1(X1,X2,…,X n).θ2(X1,X2,…,X n)为两个通缉量(θ1,θ2)为θ的置信度为1-α的置信区间,则应有().A.P{θ1<θ<θ2}=αB.P{θ<θ2}=1-αC.P{θ1<θ<θ2}=1-αD.P{θ<θ1}=α[答案]:C27.在假设建设检验中,记H0为检验假设,则所谓犯第一类错误的是().A.H0为真时,接受H0B.H0不真时,接受H0C.H0不真时,拒绝H0D.H0为真时,拒绝H0[答案]:D28.袋中有50个乒乓球,其中20个黄的,30个白的,现在两个人不放回地依次从袋中随机各取一球.则第二人取到黄球的概率是().A.1/5B.2/5C.3/5D.4/5[答案]:B29.事件”甲种产品畅销,乙种产品滞销”,则其对立事件A为().A.”甲种产品滞销,乙种产品畅销”B.”甲.乙两种产品均畅销”C.”甲种产品滞销”D.”甲种产品滞销或乙种产品畅销”[答案]:D30.设A,B,C表示三个随机事件,则A⋃B⋃C表示A.A,B,C中至少有一个发生;B.A,B,C都同时发生;C.A,B,C中至少有两个发生;D.A,B,C都不发生.[答案]:A31.已知事件A,B相互独立,且P(A)=0.5,P(B)=0.8,则P(A⋃B)=()A.0.65;B.1.3;C.0.9;D.0.3.[答案]:C32.设X~B(n,p),则有()A.E(2X-1)=2np;B.E(2X+1)=4np+1;C.D(2X+1)=4np(1-p)+1A.;D.D(2X-1)=4np(1-p).[答案]:D33.X则a=()A.1/3;B.0;C.5/12;D.1/4.[答案]:A34.常见随机变量的分布中,数学期望和方差一定相等的分布是() A.二项分布; B.标准正态分布; C.指数分布; D.泊松分布. [答案]:D35.在n 次独立重复的贝努利试验中,设P (A )=p,那么A 事件恰好发生k 次的概率为(). A.p k ;B.(nk )p k (1-p)n-k ;C.p n-k (1-p)k ;D.p k (1-p)n-k . [答案]:B36.设X则它的数学期望E(X)和方差D(X )分别是 A.1/4,1/16; B.1/2,3/4; C.1/4,11/16; D.1/2,11/16. [答案]:C37.设随机变量X 的密度函数f (x )={2x x ∈[0,A]0 其他,则常数A=().A.1;B.1/2;C.1/2;D.2.[答案]:A38.若T ~t(n),下列等式中错误的是(). A.P{T>0}=P{T ≤0}; B.P{T ≥1}=P{T>1}; C.P{T=0}=0.5;D.P{T>t α}=P{T<-t α}. [答案]:C39.设X ~N(μ1,σ12),它有容量为n 1的样本X i ,i =1,2,…n 1;Y ~N(μ2,σ22),它有容量为n 2的样本Y j ,j=1,2,…n 2.它们均相互独立,X 和Y 分别是它们样本平均值,s 12和s 22分别是它们样本方差,σ12,σ22未知但是相等.则统计量212121221121)2()()(n n n n n n s n s n Y X +-++---μμ应该服从的分布是().A.t(n 1+n 2);B.t(n 1+n 2-1);C.t(n 1+n 2-2);D.F(n 1-1,n 2-1). [答案]:C40.设X ~N(μ1,σ2),它有容量为n 1的样本X i i=1,2,…n 1;Y ~N(μ2,σ2),它有容量为n 2的样本Y j j=1,2,…n 2.均相互独立,s 12和s 22分别是它们样本方差.则统计量1122221211--n s n n s n 应该服从的分布是().A.χ2(n 1+n 2-2);B.F(n 2-1,n 1-1);C.t(n 1+n 2-2);D.F(n 1-1,n 2-1). [答案]:D41.若μˆ1和μˆ2同是总体平均数μ的无偏估计,则下面叙述中,不正确的是(). A.2μˆ1-μˆ2仍是总体平均数μ的无偏估计; B.21μˆ1-21μˆ2仍是总体平均数μ的无偏估计; C.21μˆ1+21μˆ2仍是总体平均数μ的无偏估计 D.32μˆ1+31μˆ2仍是总体平均数μ的无偏估计. [答案]:B42.假设检验时,当样本容量n 固定时,缩小犯第Ⅰ类错误的概率α,则犯第Ⅱ类错误的概率β().A.一般要变小;B.一般要变大;C.可能变大也可能变小;D.肯定不变. [答案]:B43.设X ~N(μ,σ2),μ和σ2均未知,X 是样本平均值,s 2是样本方差,则(X -t 0.051-n s ,X +t 0.051-n s )作为的置信区间时,其置信水平为().A.0.1;B.0.2;C.0.9;D.0.8. [答案]:C44.已知一元线性回归直线方程为yˆ=a +4x,且x =3,y =6.则a=(). A.0;B.6;C.2;D.-6. [答案]:D45.设(x 1,y 1),(x 2,y 2),...(x n ,y n )是对总体(X,Y)的n 次观测值,l YY =∑=-ni iy y12)(,l XX =∑=-ni ix x12)(分别是关于Y,关于X 的校正平方和及l XY =∑=--ni i i y y x x 1))((是关于X 和Y的校正交叉乘积和,则它们的一元回归直线的回归系数b=().A.XX XYl l ; B.XXXYl l ; C.YYXX XY l l l 2; D.YYXX XY l l l .[答案]:A46.设A,B为两个事件,则AB=().A.A B;B.A B;C.A B;D.A⋃B.[答案]:D47.若X~N(0,1),ϕ(x)是它的密度函数,Φ(x)是它的分布函数,则下面叙述中不正确的是().A.Φ(-x)=-Φ(x);B.ϕ(x)关于纵轴对称;C.Φ(0)=0.5;D.Φ(-x)=1-Φ(x).[答案]:A48.对单个总体X~N(μ,σ2)假设检验,σ2未知,H0:μ≥μ0.在显著水平α下,应该选().A.t检验;B.F检验;C.χ2检验;D.u检验.[答案]:A49.甲乙两人各自同时向敌机射击,已知甲击中敌机的概率为0.8,乙击中敌机的概率为0.5,则恰有一人击中敌机的概率().A.0.8B.0.5C.0.4D.0.6[答案]:B=,则未知参数μ的置信度为0.95的置信区间是.(查表50.设X~N(μ,0.3²),容量n=9,均值X5Z0.025=1.96)A.(4.808,6.96)B.(3.04,5.19)C.(4.808,5.19)D.(3.04,6.96)[答案]:C二.填空题1.设X 1,X 2,…,X 16是来自总体X~(4,σ2)的简单随机样本,2σ已知,令1611X 16i i X==∑则统计量4X-16σ服从分布###(必须写出分布的参数). [答案]:N(0,1)2.设2X~μσ(,),而1.70,1.75,1.70,1.65,1.75是从总体X 中抽取的样本,则μ的矩估计值为###. [答案]:71.111=∑=ni i X n3.设X~U[a,1],X 1,…,X n 是从总体X 中抽取的样本,求a 的矩估计为###.[答案]:121-∑=ni i X n4.已知F 0.1(8,20)=2,则F 0.9(20,8)=###.[答案]:0.55.设某个假设检验问题的拒绝域为W,且当原假设H 0成立时,样本值(x 1,x 2,…,x n )落入W 的概率为0.15,则犯第一类错误的概率为###.[答案]:0.156.设样本的频数分布为X0 1 2 3 4 频数 1 3 2 1 2则样本方差s 2=###.[答案]:27.设X1,X2,,Xn 为来自正态总体N(μ,σ²)的一个简单随机样本,其中参数μ和σ²均未知,记,221Q )n i i X X ==-∑(,则假设H 0:μ=0的t 检验使用的统计量是###.(用X 和Q 表示)[答案]:Xt (1)n n Q =-8.设总体X~N(μ,σ²),X 1,X 2,…,X n 为来自总体X 的样本,则样本均值X =###.[答案]:n 2σ9.设总体X ~b,(np),0<p<1,X 1,X 2,…,X n 为其样本,则n 的矩估计是###.[答案]:X n p =10.设总体X ~[U,θ],(X 1,X 2,…,X n )是来自X 的样本,则θ的最大似然估计量是###.[答案]:{}12max X X X n θ=,,11.测得自动车床加工的10个零件的尺寸与规定尺寸的偏差(微米)如下:+2,+1,-2,+3,+2,+4,-2,+5,+3,+4.则零件尺寸偏差的数学期望的无偏估计量###.[答案]:212.设X 1,X 2,X 3,X 4是来自正态总体N(0,2)2的样本,令Y=(X 1+X 2)2+(X 3-X 4)2,则当C=###时CY ~x 2(2).[答案]:1/813.设容量n=10的样本的观察值为(8,7,6,9,8,7,5,9,6),则样本均值样本方差###.[答案]:s 2=214.设A.B 为随机事件,P(A)=0.5,P(B)=0.6,P(B|A)=0.8则P(B|A)=###.[答案]:0.715.若事件A 和事件B 相互独立,P(A)=α,P(B)=0.3,P (A⋃B )=0.7,则α=###.[答案]:3/716.设X ~N(2,σ²),且P{2<x<4}=0.3,则P{x<0}=###.[答案]:217.一射手对同一目标独立地进行四次射击,若至少命中一次的概率为80/81,则该射手的命中率为###.[答案]:2/318.三个人独立地解答一道难题,他们能单独正确解答的概率分别为1/5.1/3.1/4,则此难题被正确解答的概率为###.[答案]:3/519.设有一箱产品由三家工厂生产的其中1/2是第一加工厂生产的,其余两家工厂各生产1/4,又知第一.第二工厂生产的产品有2%的次品,第三工厂生产的产品有4%的次品,现从箱中任取一只,则取到的次品的概率为###.[答案]:2.5%20.一个盒子中有10个球,其中有3个红球,2个黑球,5个白球,从中取球两次,每次取一个(有放回)则:第二次取到黑球的概率为###.[答案]:0.221.由长期统计资料得知,某一地区在4月下雨(记事件A)的概率为4/15,刮风(记作事件B)概率为7/15,刮风又下雨(记作事件C)概率为1/10则:p(B|A)=###.[答案]:3/822.一盒子中黑球.红球.白球各占50%,30%,20%,从中任取一球,结果不是红球,则取到的是白球的概率为###.[答案]:2/723.某公共汽车站甲.乙丙动人分别独立地等1.2.3路汽车,设每个人等车时间(单位分钟)均服从[0,5]上的均匀分布,则三人中至少有两个人等车时间不超过2分钟的概率为###.[答案]:0.35224.若随机变量X ~(2,σ²)且p{2<X<4}=0.3,则p{X<2}=###.[答案]:0.525.若随机变量X ~N(-1,1),Y ~N(3,1)且X 和Y 相互独立,设随机变量Z=X-2Y+7,则Z ~###.[答案]:N(0,5)26.设随机变量X ~N(1,22),则EX 2=###.[答案]:5三.计算题1.已知100个产品中有5个次品,现从中有放回地取3次,每次任取1个,求在所取的3个中恰有2个次品的概率.[答案]:.007125.0)95.0()05.0(}2{223===C X P2.某人进行射击,设每次射击的命中率为0.02,独立射击400次,试求至少击中两次的概率.[答案]:).02.0,400(~b XX 的分布律为,)98.0()02.0(400}{400k k k k X P -⎪⎪⎭⎫ ⎝⎛==0,1,,400.k = 于是所求概率为}1{}0{1}2{=-=-=≥X P X P X P 399400)98.0)(02.0(400)98.0(1--=.9972.0=3.已知100个产品中有5个次品,现从中无放回地取3次,每次任取1个,求在所取的3个中恰有2个次品的概率.[答案]:.00618.0}2{310025195≈==C C C X P4.某一城市每天发生火灾的次数X 服从参数8.0=λ的泊松分布,求该城市一天内发生3次或3次以上火灾的概率.[答案]:由概率的性质,得}3{1}3{<-=≥X P X P }2{}1{}0{1=-=-=-=X P X P X P⎪⎪⎭⎫ ⎝⎛++-=-!28.0!18.0!08.012108.0e .0474.0≈5.某公共汽车站从上午7时起,每15分钟来一班车,即7:00,7:15,7:30,7:45等时刻有汽车到达此站,如果乘客到达此站时间X 是7:00到7:30之间的均匀随机变量,试求他候车时间少于5分钟的概率.[答案]:以7:00为起点0,以分为单位,依题意~X ),30,0(U ⎪⎩⎪⎨⎧<<=其它,0300,301)(x x f 为使候车时间X 少于5分钟,乘客必须在7:10到7:15之间,或在7:25到7:30之间到达车站,故所求概率为}3025{}1510{<<+<<X P X P 3130130130251510=+=⎰⎰dx dx6.某元件的寿命X 服从指数分布,已知其平均寿命为1000小时,求3个这样的元件使用1000小时,至少已有一个损坏的概率.[答案]:由题设知,X 的分布函数为.0,00,1)(1000⎪⎩⎪⎨⎧<≥-=-x x ex F x 由此得到}1000{1}1000{≤-=>X P X P .)1000(11-=-=e F各元件的寿命是否超过1000小时是独立的,用Y 表示三个元件中使用1000小时损坏的元件数,则).1,3(~1--e b Y所求概率为}0{1}1{=-=≥Y P Y P .1)()1(13310103----=--=e e e C7.设某项竞赛成绩N X ~(65,100),若按参赛人数的10%发奖,问获奖分数线应定为多少?[答案]:设获奖分数线为,0x 则求使1.0}{0=≥x X P 成立的.0x)(1}{1}{000x F x X P x X P -=<-=≥,1.0106510=⎪⎭⎫ ⎝⎛-Φ-=x 即,9.010650=⎪⎭⎫ ⎝⎛-Φx 查表得,29.110650=-x 解得,9.770=x 故分数线可定为78.8.设随机变量X 具有以下的分布律,试求2)1(-=X Y 的分布律. 4.01.03.02.02101i p X-[答案]:Y 所有可能的取值0,1,4,由,2.0}1{}4{,7.0}2{}0{}1{,1.0}1{}0)1{(}0{2=-=====+=======-==X P Y P X P X P Y P X P X P Y P即得Y 的分布律为9.已知随机变量X 的分布函数⎪⎩⎪⎨⎧>≤<≤=4,140,4/0,0)(x x x x x F ,求).(X E[答案]:随机变量X 的分布密度为,,040,4/1)()(⎩⎨⎧≤<='=其它x x F x f故.2841)()(40240==⋅==⎰⎰∞+∞-x dx x dx x xf X E 10.设05.0=α,求标准正态分布的水平0.05的上侧分位数和双侧分位数.[答案]:由于,95.005.01)(05.0=-=Φu 查标准正态分布函数值表可得,645.105.0=u 而水平0.05的双侧分位数为,025.0u 它满足:,975.0025.01)(025.0=-=Φu 查标准正态分布函数值表可得.96.1025.0=u 2χ分布.11.设),2,21(~2N X 2521,,,X X X 为X 的一个样本,求:(1)样本均值X 的数学期望与方差;(2)}.24.0|21{|≤-X P[答案]:)1(由于),2,21(~2N X 样本容量,25=n 所以,252,21~2⎪⎪⎭⎫⎝⎛N X 于是,21)(=X E .4.0252)(22==X D)2(由),4.0,21(~2N X 得),1,0(~4.021N X - 故⎪⎭⎪⎬⎫⎪⎩⎪⎨⎧≤-=≤-6.04.021}24.0|21{|X P X P .4514.01)6.0(2=-Φ=12.⎪⎩⎪⎨⎧≤<≤≤--+=其它100101)(x x x A x x f ,则求常数A.期望EX 及方差DX. [答案]:011(1)x dx -=++⎰10()A x dx -⎰,得A=1()EX xf x dx +∞-∞==⎰01(1)x x dx -++⎰10(1)0x x dx -=⎰ 22()EX x f x dx +∞-∞==⎰021(1)x x dx -++⎰120(1)1/6x x dx -=⎰ 61)D(x)22=-=EX EX (。
06—07—1《概率论与数理统计》试题A一、填空题(每题3分,共15分)1. 设A,B 相互独立,且2.0)(,8.0)(==A P B A P ,则=)(B P __________. 2。
已知),2(~2σN X,且3.0}42{=<<X P ,则=<}0{X P __________.3. 设X 与Y 相互独立,且2)(=X E ,()3E Y =,()()1D X D Y ==,则=-])[(2Y X E ___4.设12,,,n X X X 是取自总体),(2σμN 的样本,则统计量2211()nii Xμσ=-∑服从__________分布.5. 设),3(~),,2(~p B Y p B X,且95}1{=≥X P ,则=≥}1{Y P __________。
二、选择题(每题3分,共15分)1。
一盒产品中有a 只正品,b 只次品,有放回地任取两次,第二次取到正品的概率为 【 】(A) 11a a b -+-;(B ) (1)()(1)a a a b a b -++-;(C ) a a b +;(D ) 2a ab ⎛⎫ ⎪+⎝⎭。
2. 设随机变量X 的概率密度为()130, 其他c x p x <<⎧=⎨⎩则方差D(X )= 【 】(A) 2; (B)12; (C ) 3; (D)13。
3. 设A 、B 为两个互不相容的随机事件,且()0>B P ,则下列选项必然正确的是【 】()A ()()B P A P -=1;()B ()0=B A P ;()C ()1=B A P ;()D ()0=AB P .4. 设()x x f sin =是某个连续型随机变量X 的概率密度函数,则X 的取值范围是【 】 ()A ⎥⎦⎤⎢⎣⎡2,0π;()B []π,0; ()C ⎥⎦⎤⎢⎣⎡-2,2ππ; ()D ⎥⎦⎤⎢⎣⎡23,ππ. 5. 设()2,~σμN X ,b aX Y -=,其中a 、b 为常数,且0≠a ,则~Y 【 】()A ()222,b a b a N +-σμ; ()B ()222,b a b a N -+σμ;()C ()22,σμa b a N +; ()D ()22,σμa b a N -.三、(本题满分8分) 甲乙两人独立地对同一目标射击一次,其命中率分别为0.5和0.4,现已知目标被命中,求它是乙命中的概率。
06-07-1《概率论与数理统计》试题A一、填空题(每题3分,共15分)1. 设A ,B 相互独立,且2.0)(,8.0)(==A P B A P ,则=)(B P __________.2. 已知),2(~2σN X,且3.0}42{=<<X P ,则=<}0{X P __________.3. 设X 与Y 相互独立,且2)(=X E ,()3E Y =,()()1D X D Y ==,则=-])[(2Y X E ___4.设12,,,n X X X 是取自总体),(2σμN 的样本,则统计量2211()n i i X μσ=-∑服从__________分布.5. 设),3(~),,2(~p B Y p B X,且95}1{=≥X P ,则=≥}1{Y P __________. 二、选择题(每题3分,共15分)1. 一盒产品中有a 只正品,b 只次品,有放回地任取两次,第二次取到正品的概率为 【 】(A) 11a a b -+-;(B) (1)()(1)a a a b a b -++-;(C) a a b +;(D) 2a ab ⎛⎫ ⎪+⎝⎭.2. 设随机变量X 的概率密度为()130, 其他c x p x <<⎧=⎨⎩则方差D(X)= 【 】(A) 2; (B)12; (C) 3; (D)13.3. 设A 、B 为两个互不相容的随机事件,且()0>B P ,则下列选项必然正确的是【 】()A ()()B P A P -=1;()B ()0=B A P ;()C ()1=B A P ;()D ()0=AB P .4. 设()x x f sin =是某个连续型随机变量X 的概率密度函数,则X 的取值范围是【 】 ()A ⎥⎦⎤⎢⎣⎡2,0π;()B []π,0; ()C ⎥⎦⎤⎢⎣⎡-2,2ππ;()D ⎥⎦⎤⎢⎣⎡23,ππ. 5. 设()2,~σμN X ,b aX Y -=,其中a 、b 为常数,且0≠a ,则~Y 【 】()A ()222,b a b a N +-σμ; ()B ()222,b a b a N -+σμ;()C ()22,σμa b a N +; ()D ()22,σμa b a N -.三、(本题满分8分) 甲乙两人独立地对同一目标射击一次,其命中率分别为0.5和0.4,现已知目标被命中,求它是乙命中的概率.四、(本题满分12分)设随机变量X 的密度函数为xx ee Ax f -+=)(,求: (1)常数A ; (2)}3ln 210{<<X P ; (3)分布函数)(x F .五、(本题满分10分)设随机变量X 的概率密度为()⎩⎨⎧<<-=其他,010),1(6x x x x f 求12+=X Y的概率密度.六、(本题满分10分)将一枚硬币连掷三次,X 表示三次中出现正面的次数,Y 表示三次中出现正面次数与出现反面次数之差的绝对值,求:(1)(X ,Y )的联合概率分布;(2){}X Y P>.七、(本题满分10分)二维随机变量(X ,Y )的概率密度为⎩⎨⎧>>=+-其他,00,0,),()2(y x Ae y x f y x求:(1)系数A ;(2)X ,Y 的边缘密度函数;(3)问X ,Y 是否独立。
《概率论与数理统计》期末试题(2)与解答一、填空题(每小题3分,共15分)1. 设事件B A ,仅发生一个的概率为0.3,且5.0)()(=+B P A P ,则B A ,至少有一个不发生的概率为__________. 2. 设随机变量X 服从泊松分布,且)2(4)1(==≤X P X P ,则==)3(X P ______.3. 设随机变量X 在区间)2,0(上服从均匀分布,则随机变量2X Y =在区间)4,0(内的概率密度为=)(y f Y _________. 4. 设随机变量Y X ,相互独立,且均服从参数为λ的指数分布,2)1(-=>e X P ,则=λ_________,}1),{min(≤Y X P =_________.5. 设总体X 的概率密度为⎪⎩⎪⎨⎧<<+=其它,0,10,)1()(x x x f θθ 1->θ.n X X X ,,,21 是来自X 的样本,则未知参数θ的极大似然估计量为_________.解:1.3.0)(=+B A B A P即 )(25.0)()()()()()(3.0AB P AB P B P AB P A P B A P B A P -=-+-=+= 所以 1.0)(=AB P9.0)(1)()(=-==AB P AB P B A P . 2.λλλλλ---==+==+==≤e X P e e X P X P X P 2)2(,)1()0()1(2由 )2(4)1(==≤X P X P 知 λλλλλ---=+e e e 22即 0122=--λλ 解得 1=λ,故161)3(-==e X P . 3.设Y 的分布函数为(),Y F y X 的分布函数为()X F x ,密度为()X f x 则2()()()((Y X X F y P Y y P X y P X F F =≤=≤=≤≤=- 因为~(0,2)X U,所以(0X F =,即()Y X F y F = 故04,()()0,.Y Y X y f y F y f <<'===⎩其它另解 在(0,2)上函数2y x =严格单调,反函数为()h y =所以04,()0,.Y X y f y f <<==⎩其它4.2(1)1(1)P X P X e e λ-->=-≤==,故 2λ={min(,)1}1{min(,)1}P X Y P X Y ≤=->1(1)(1)P X P Y =->>41e -=-.5.似然函数为 111(,,;)(1)(1)(,,)nn n i n i L x x x x x θθθθθ==+=+∏1ln ln(1)ln nii L n xθθ==++∑1ln ln 01ni i d L nx d θθ==++∑解似然方程得θ的极大似然估计为1111ln ni i x n θ==-∑.二、单项选择题(每小题3分,共15分)1.设,,A B C 为三个事件,且,A B 相互独立,则以下结论中不正确的是 (A )若()1P C =,则AC 与BC 也独立. (B )若()1P C =,则AC 与B 也独立.(C )若()0P C =,则A C 与B 也独立.(D )若C B ⊂,则A 与C 也独立. ( ) 2.设随机变量~(0,1),X N X 的分布函数为()x Φ,则(||2)P X >的值为 (A )2[1(2)]-Φ. (B )2(2)1Φ-.(C )2(2)-Φ. (D )12(2)-Φ. ( ) 3.设随机变量X 和Y 不相关,则下列结论中正确的是(A )X 与Y 独立. (B )()D X Y DX DY -=+.(C )()D X Y DX DY -=-. (D )()D XY DXDY =. ( ) 4.设离散型随机变量X 和Y 的联合概率分布为(,)(1,1)(1,2)(1,3)(2,1)(2,2)(2,3)111169183X Y P αβ若,X Y 独立,则,αβ的值为(A )21,99αβ==. (A)12,99αβ==.(C ) 11,66αβ== (D )51,1818αβ==. ( )5.设总体X 的数学期望为12,,,,n X X X μ为来自X 的样本,则下列结论中正确的是(A )1X 是μ的无偏估计量. (B )1X 是μ的极大似然估计量. (C )1X 是μ的相合(一致)估计量. (D )1X 不是μ的估计量. ( )解:1.因为概率为1的事件和概率为0的事件与任何事件独立,所以(A ),(B ),(C )都是正确的,只能选(D ). 事实上由图 可见A 与C 不独立.2.~(0,1)X N 所以(||2)1(||2)1(22)P X P X P X >=-≤=--<≤ 1(2)(2)1[2(2)1]2[1(2)]=-Φ+Φ-=-Φ-=-Φ 应选(A ). 3.由不相关的等价条件知应选(B ). 4.若,X Y 独立则有(2,2)(2)(2)P X Y P X P Y α======1121()()()3939αβαα=+++=+ ∴29α=, 19β= 故应选(A ).5.1EX μ=,所以1X 是μ的无偏估计,应选(A ).三、(7分)已知一批产品中90%是合格品,检查时,一个合格品被误认为是次品的概率为0.05,一个次品被误认为是合格品的概率为0.02,求(1)一个产品经检查后被认为是合格品的概率;(2)一个经检查后被认为是合格品的产品确是合格品的概率.解:设A =‘任取一产品,经检验认为是合格品’ B =‘任取一产品确是合格品’则(1) ()()(|)()(|)P A P B P A B P B P A B =+ 0.90.950.10.020.857.=⨯+⨯= (2) ()0.90.95(|)0.9977()0.857P AB P B A P A ⨯===.四、(12分)从学校乘汽车到火车站的途中有3个交通岗,假设在各个交通岗遇到红灯的事件是相互独立的,并且概率都是2/5. 设X 为途中遇到红灯的次数,求X 的分布列、分布函数、数学期望和方差. 解:X 的概率分布为 3323()()()0,1,2,3.55kkkP X k C k -=== 即01232754368125125125125XPX 的分布函数为0,0,27,01,12581(),12,125117,23,1251, 3.x x F x x x x <⎧⎪⎪≤<⎪⎪⎪=≤<⎨⎪⎪≤<⎪⎪≥⎪⎩263,55EX =⨯=231835525DX =⨯⨯=.五、(10分)设二维随机变量(,)X Y 在区域{(,)|0,0,1}D x y x y x y =≥≥+≤ 上服从均匀分布. 求(1)(,)X Y 关)Z X Y =+的分布函数与概率密度.(1)(,)X Y 的概率密度为2,(,)(,)0,.x y Df x y ∈⎧=⎨⎩其它22,01()(,)0,X x x f x f x y dy +∞-∞-≤≤⎧==⎨⎩⎰其它(2)利用公式()(,)Z f z f x z x dx +∞-∞=-⎰其中2,01,01(,)0,x z x x f x z x ≤≤≤-≤-⎧-=⎨⎩其它2,01, 1.0,x x z ≤≤≤≤⎧=⎨⎩其它.当 0z <或1z >时()0Z f z =01z≤≤时()222z zZf z dx x z===⎰故Z的概率密度为2,01,()0,Zz zf z⎧≤≤⎪=⎨⎪⎩其它.Z的分布函数为20,00,0,()()2,01,01,1, 1.1,1z zZ Zz zf z f y dy ydy z z zzz-∞<⎧<⎧⎪⎪⎪==≤≤=≤≤⎨⎨⎪⎪>⎩>⎪⎩⎰⎰或利用分布函数法10,0,()()()2,01,1, 1.ZDzF z P Z z P X Y z dxdy zz⎧<⎪⎪=≤=+≤=≤≤⎨⎪⎪>⎩⎰⎰20,0,,01,1, 1.zz zz<⎧⎪=≤≤⎨⎪>⎩2,01,()()0,Z Zz zf z F z≤≤⎧'==⎨⎩其它.六、(10分)向一目标射击,目标中心为坐标原点,已知命中点的横坐标X和纵坐标Y相互独立,且均服从2(0,2)N分布. 求(1)命中环形区域22{(,)|12}D x y x y=≤+≤的概率;(2)命中点到目标中心距离Z=的数学期望.1){,)}(,)DP X Y D f x y dxdy∈=⎰⎰22222880111248x y rDe dxdy e rdrdπθππ+--==⋅⎰⎰⎰⎰2221122888211()8r rre d e e e------=-=-⎰;(2)22818x yEZ E e dxdyπ+-+∞+∞-∞-∞==⎰⎰2222880001184r rre rdrd e r drπθπ--+∞+∞==⎰⎰⎰222888r r rre e dr dr+∞---+∞+∞-∞=-+==⎰七、(11分)设某机器生产的零件长度(单位:cm)2~(,)X Nμσ,今抽取容量为16的样本,测得样本均值10x=,样本方差20.16s=. (1)求μ的置信度为0.95的置信区间;(2)检验假设2:0.1Hσ≤(显著性水平为0.05).(附注)0.050.050.025(16) 1.746,(15) 1.753,(15) 2.132,t t t===2220.050.050.025(16)26.296,(15)24.996,(15)27.488.χχχ===解:(1)μ的置信度为1α-下的置信区间为/2/2(((X t n X t n αα--+- 0.02510,0.4,16,0.05,(15) 2.132X s n t α===== 所以μ的置信度为0.95的置信区间为(9.7868,10.2132)(2)20:0.1H σ≤的拒绝域为22(1)n αχχ≥-.221515 1.6240.1S χ==⨯=,20.05(15)24.996χ= 因为 220.052424.996(15)χχ=<=,所以接受0H .《概率论与数理统计》期末试题(3)与解答一、填空题(每小题3分,共15分)(1) 设事件A 与B 相互独立,事件B 与C 互不相容,事件A 与C 互不相容,且()()0.5P A P B ==,()0.2P C =,则事件A 、B 、C 中仅C 发生或仅C 不发生的概率为___________.(2) 甲盒中有2个白球和3个黑球,乙盒中有3个白球和2个黑球,今从每个盒中各取2个球,发现它们是同一颜色的,则这颜色是黑色的概率为___________. (3) 设随机变量X 的概率密度为2,01,()0,x x f x <<⎧=⎨⎩其它,现对X 进行四次独立重复观察,用Y 表示观察值不大于0.5的次数,则2EY =___________. (4) 设二维离散型随机变量(,)X Y 的分布列为(,)(1,0)(1,1)(2,0)(2,1)0.40.2X Y Pa b若0.8EXY =,则Cov(,)X Y =____________.(5) 设1217,,,X X X 是总体(,4)N μ的样本,2S 是样本方差,若2()0.01P S a >=,则a =____________.(注:20.01(17)33.4χ=, 20.005(17)35.7χ=, 20.01(16)32.0χ=, 20.005(16)34.2χ=)解:(1)()()()P ABC ABC P ABC P ABC +=+因为 A 与C 不相容,B 与C 不相容,所以,A C B C ⊃⊃,故ABC C = 同理 ABC AB =.()()()0.20.50.50.45P ABC ABC P C P AB +=+=+⨯=. (2)设A =‘四个球是同一颜色的’,1B =‘四个球都是白球’,2B =‘四个球都是黑球’ 则 12A B B =+. 所求概率为 22212()()(|)()()()P AB P B P B A P A P B P B ==+ 22223322122222555533(),()100100C C C C P B P B C C C C =⋅==⋅=所以 21(|)2P B A =.(3)~(4,),Y B p其中 10.52201(0.5)24p P X xdx x=≤===⎰, 113341,44444EY DY =⨯==⨯⨯=, 2215()144EY DY EY =+=+=.(4)(,)X Y 的分布为这是因为 0.4a b +=,由0.8EXY = 得 0.220.8b += 0.1,0.3a b ∴==0.620.4 1.4EX =+⨯=,0.5EY =故 cov(,)0.80.70.1X Y EXY EXEY =-=-=.(5)2216(){4}0.014S P S a P a >=>= 即 20.01(16)4a χ=,亦即 432a = 8a ∴=.二、单项选择题(每小题3分,共15分)(1)设A 、B 、C 为三个事件,()0P AB >且(|)1P C AB =,则有 (A )()()() 1.P C P A P B ≤+- (B )()().P C P A B ≤(C )()()() 1.P C P A P B ≥+- (D )()().P C P A B ≥ ( )(2)设随机变量X 的概率密度为2(2)4(),x f x x +-=-∞<<∞且~(0,1)Y aX b N =+,则在下列各组数中应取(A )1/2, 1.a b == (B )2,a b ==(C )1/2,1a b ==-. (D )2,a b == ( )(3)设随机变量X 与Y 相互独立,其概率分布分别为 010.40.6X P010.40.6Y P则有(A )()0.P X Y == (B )()0.5.P X Y ==(C )()0.52.P X Y == (D )() 1.P X Y == ( ) (4)对任意随机变量X ,若EX 存在,则[()]E E EX 等于(A )0. (B ).X (C ).EX (D )3().EX ( ) (5)设12,,,n x x x 为正态总体(,4)N μ的一个样本,x 表示样本均值,则μ的置信度为1α-的置信区间为(A )/2/2(x u x u αα-+ (B )1/2/2(x u x u αα--+(C)(x u x u αα-+ (D)/2/2(x u x u αα-+ ( ) 解 (1)由(|)1P C AB =知()()P ABC P AB =,故()()P C P AB ≥()()()()()()()1P C P AB P A P B P A B P A P B ≥=+-≥+-应选C. (2)22(2)4()x f x +-==即~(2,)X N -故当a b ===时 ~(0,1)Y aX b N =+ 应选B.(3)()(0,0)(1,1)P X Y P X Y P X Y ====+== 0.40.40.60.60.52=⨯+⨯= 应选C.(4)[()]E E EX EX = 应选C.(5)因为方差已知,所以μ的置信区间为/2/2(X u X u αα-+应选D.三、(8分)装有10件某产品(其中一等品5件,二等品3件,三等品2件)的箱子中丢失一件产品,但不知是几等品,今从箱中任取2件产品,结果都是一等品,求丢失的也是一等品的概率。
《概率论与数理统计》模拟试卷一、填空题1.三只考签由三个学生轮流放回抽取一次,每次取一只,设i A 表示第i 只考签被抽到(1,2,3)i =,则“至少有一只考签没有..被抽到〞这一事件可表示为 . 2.设()0.4P A =,()0.3P B =,()0.6P A B =,则()P AB = .3.一袋中装有10个球,其中3个黑球,7个白球,先后两次不放回从袋中各取一球,则第二次取到的是黑球的概率为 .4.随机变量X 的分布函数为0,0()0.4,011,1x F x x x <⎧⎪=≤<⎨⎪≥⎩,则{1}P X == .5.设随机变量~(,25)X N μ,且{5}0.5P X >=,则μ= .6.设随机变量X 的概率密度函数为,01()0,Ax x f x <<⎧=⎨⎩其它,则常数A = .7.设随机变量X 服从参数为,n p 的二项分布,且16n =,()4D X =,则p = . 8.设二维随机变量(,)X Y 的分布律为则{}P X Y == .9.设随机变量X 服从参数为1的泊松分布,则2{()}P X E X == .10.设随机变量~(1,1),~(1,1)X N Y N -,且X 与Y 相互独立,则2[()]E X Y -= . 11.()1D X =,()9D Y =,0.5XY ρ=,则(321)D X Y -+= .12.设X 和Y 的方差DX 和DY 都存在,且满足()()D X Y D X Y +=-,则X 与Y 的相关系数XY ρ= .13.设1210,,,X X X 是来自总体(0,1)X N 的简单随机样本,则统计量2221210X X X +++服从自由度n = 的2χ分布.14.设来自总体~(,1)X N μ的容量为16的样本的样本均值 5.11x =,其未知参数μ的置信水平为1α-的置信区间为(4.62,5.60),则α= .15.设正态总体2~(,)X N μσ,其中2,μσ均未知,12,,,n X X X 为来自总体X 的简单随机样本,记11n i i X X n ==∑,221()ni i Q X X ==-∑,则检验假设01:0,:0H H μμ=≠的t 检验方法使用统计量t = .二、计算题1.设随机变量X 的概率密度函数,01()2,120,x x f x x x <<⎧⎪=-≤<⎨⎪⎩其他 ,求⑴{1}P X ≥;⑵分布函数()F x .2.设随机变量X 的概率密度函数1,01()0,X x f x <<⎧=⎨⎩其他,⑴求XY e =的概率密度函数()Y f y ;⑵求Y 的数学期望()E Y .3.设,X Y 的联合概率密度函数为,01,01(,)0,x y x y f x y +<<<<⎧=⎨⎩其他,⑴求X 和Y 的边缘概率密度函数()X f x 和()Y f y ;⑵推断X 与Y 的是否独立?4.将两封信随意投入3个邮筒,设X 和Y 分别表示投入第1和2号邮筒中信的数目,⑴求X 和Y 的联合分布律;⑵求X 与Y 的协方差(,)Cov X Y .5.设总体X 的概率密度函数22,0(;)0,xx f x θθθ⎧<<⎪=⎨⎪⎩其他,其中0θ>为未知参数,n X X X ,,,21 是来自总体X 的样本.⑴求未知参数θ的矩估量量ˆθ;⑵推断所求的估量量ˆθ是否为θ的无偏估量量.6.设总体X 的概率密度函数||1(;)()2x f x e x θθθ-=-∞<<+∞,其中0θ>为未知参数,6,3,1,2,4,7,8,9---为来自总体的X 样本值,求θ的极大似然估量值.参考答案一、填空题1.123A A A 2.0.3 3.0.3 4.0.6 5.56.2 7.0.5 8.0.4 9.12e10.6 11.27 12.0 13.10 14.0.05 15X三、计算以下概率问题1.解:⑴1{1}1{1}10.5P X P X xdx ≥=-<=-=⎰⑵当0x <时,()0F x =; 当01x ≤<时,2()2xx F x xdt ==⎰;当12x ≤<时,211()(2)212xx F x xdx x dx x =+-=--⎰⎰; 当2x ≥时,()1F x =;所以2200,012()21,1221,2x x x F x x x x x <⎧⎪⎪≤<⎪=⎨⎪--≤<⎪⎪≥⎩,.2.解:⑴()1,01,0,x f x <<⎧=⎨⎩其他 (){}{}X Y F y P Y y P e y =≤=≤当0y <时,()0Y F y =; 当0,y ≥时,(){ln }(ln )Y X F y P X y F y =≤=,()()Y Y f y F y '=,于是1,1()0,Y y ey f y ⎧<<⎪=⎨⎪⎩其他⑵1()()1XxE Y E e e dx e ===-⎰3.解:⑴当01x <<时,11()(,)()2X f x f x y dy x y dy x +∞-∞==+=+⎰⎰; 当01y <<时,101()(,)()2Y f y f x y dx x y dx y +∞-∞==+=+⎰⎰; ⑵(,)()()X Y f x y f x f y ≠∴X 与Y 不是相互独立的。
“概率论与数理统计”课程试题B(2014-2015学年第一学期)试卷标准答案及评分标准一、填空题(每空3分,共 39分)1.设,A B 为两个随机事件,(),()()P A p P AB P A B ==, 则()P B = ,2.设两个相互独立的随机事件,A B ,它们都不发生的概率为19,A 发生B 不发生的概率与B 发生A 不发生的概率相等,则()P A = 。
3.一批产品共有20件,其中有5件次品,15件正品。
现依次进行不放回抽取3次,则第三次取到次品的概率 。
4. 设随机变量X 的密度函数为:⎩⎨⎧∉∈=]4,0[,0]4,0[,)(x x kx x f ,则常数k = ; X的分布函数()F x = ;(3)概率)3(<X P = 。
5.在四次独立试验中,事件A 至少出现一次的概率为0.5904,则在两次独立试验中,事件A 未出现的概率为 0.64 。
6.设随机变量,X Y 独立并且具有相同分布(1,0.4)B ,则min(,)1Z X Y =-的分布律为: {1}0.84,{0}0.16P Z P Z =-=== 。
7.设~(2,4),~(0,9),X N Y N X Y 且与相互独立,则2Z X Y =-的密度函数()Z f z 2(4)50z -- 。
8.设1234,,,X X X X 是来自正态总体2(0,)N σ的一个样本,则~Y =(2)t 。
9.设12,,,n X X X 为来自正态总体2~(,)N μσ的一个样本,2,X S 分别为样本均值和样本方差,若22X cS -是参数2μ的一个无偏估计量,则c = 1n。
10.设12,,,n X X X 为来自正态总体2~(,)N μσ的一个样本,若2σ未知,提出假设01:1,:1H H μμ=>,当给定检验水平α,则写出检验统计量 ,拒绝域为0=X 。
二、(15分)设随机变量~[0,1]X U ,记ln Y X =-求 (1)Y 的密度函数()Y f y ; (2)(21)E Y + (3)cov(,)X Y ;解:(1)1,01,0()|()'|()0,0,y y yyyY X e e y f y e f e e -----⎧⎧<<≥===⎨⎨⎩⎩其他其他; 即~(1,1)(1Y Γ参数为的指数分布) ……5分 (2) (21)213E Y EY +=+= ……5分 (3) cov(,)X Y EXY EX EY =-⋅;11122000120111(ln )ln ln 221144EXY E X X x xdx x x x dxx x ===-=-=-⎰⎰ ……3分1,12EX EY == 113cov(,)424X Y EXY EX EY -∴=-⋅=-=- ……2分三、(15分)设二维连续型随机变量(,)X Y 的密度为:(),01,||,(,)0,.A x y x y x f x y -≤≤≤⎧=⎨⎩其他求(1)常数A ; (2)边缘密度函数()X f x 和()Y f y ,X 与Y 是否相互独立; (3){0.5}P X <。
06-07-1《概率论与数理统计》试题A一、填空题(每题3分,共15分)1. 设A ,B 相互独立,且2.0)(,8.0)(==A P B A P ,则=)(B P __________.2. 已知),2(~2σN X,且3.0}42{=<<X P ,则=<}0{X P __________.3. 设X 与Y 相互独立,且2)(=X E ,()3E Y =,()()1D X D Y ==,则=-])[(2Y X E ___4.设12,,,n X X X 是取自总体),(2σμN 的样本,则统计量2211()n i i X μσ=-∑服从__________分布.5. 设),3(~),,2(~p B Y p B X,且95}1{=≥X P ,则=≥}1{Y P __________. 二、选择题(每题3分,共15分)1. 一盒产品中有a 只正品,b 只次品,有放回地任取两次,第二次取到正品的概率为 【 】 (A)11a a b -+-;(B) (1)()(1)a a a b a b -++-;(C) a a b +;(D) 2a ab ⎛⎫ ⎪+⎝⎭.2. 设随机变量X 的概率密度为()130, 其他c x p x <<⎧=⎨⎩则方差D(X)= 【 】(A) 2; (B)12; (C) 3; (D)13.3. 设A 、B 为两个互不相容的随机事件,且()0>B P ,则下列选项必然正确的是【 】()A ()()B P A P -=1;()B ()0=B A P ;()C ()1=B A P ;()D ()0=AB P .4. 设()x x f sin =是某个连续型随机变量X 的概率密度函数,则X 的取值范围是【 】()A ⎥⎦⎤⎢⎣⎡2,0π;()B []π,0; ()C ⎥⎦⎤⎢⎣⎡-2,2ππ;()D ⎥⎦⎤⎢⎣⎡23,ππ. 5. 设()2,~σμN X ,b aX Y -=,其中a 、b 为常数,且0≠a ,则~Y 【 】()A ()222,b a b a N +-σμ; ()B ()222,b a b a N -+σμ;()C ()22,σμa b a N +; ()D ()22,σμa b a N -.三、(本题满分8分) 甲乙两人独立地对同一目标射击一次,其命中率分别为0.5和0.4,现已知目标被命中,求它是乙命中的概率.四、(本题满分12分)设随机变量X 的密度函数为xx ee Ax f -+=)(,求: (1)常数A ; (2)}3ln 210{<<X P ; (3)分布函数)(x F .五、(本题满分10分)设随机变量X 的概率密度为()⎩⎨⎧<<-=其他,010),1(6x x x x f 求12+=X Y的概率密度.六、(本题满分10分)将一枚硬币连掷三次,X 表示三次中出现正面的次数,Y 表示三次中出现正面次数与出现反面次数之差的绝对值,求:(1)(X ,Y )的联合概率分布;(2){}X Y P>.七、(本题满分10分)二维随机变量(X ,Y )的概率密度为⎩⎨⎧>>=+-其他,00,0,),()2(y x Ae y x f y x求:(1)系数A ;(2)X ,Y 的边缘密度函数;(3)问X ,Y 是否独立。
重庆大学 概率论与数理统计 课程试卷课程试卷juanA卷B卷2006 ~2007 学年 第二 学期开课学院: 数理学院 课程号: 考试日期:考试方式:开卷闭卷其他 考试时间: 120 分钟附查表值:0.950.9751.645, 1.96u u ==,0.950.9750.950.975(8) 1.8595,(8) 2.306,(9) 1.8331,(9) 2.2622t t t t ====一、填空题(每空3分,共42分)1.设()()0.2,()0.3,()P A B P A B P B P A ===则= ,,A B 至少有一个发生的概率为 ;2.电路由元件A 、B 、和C 三个元件串联而成,若A 、B 和C 损坏与否相互独立,它们损坏的概率依次为, , ,则该电路断路的概率为 ;3.设每年袭击某地的台风次数~()X P λ,且{1}{2}P X P X ===,则{3}P X == ;4.设随机变量2(16,)X N σ:,且{1220}0.95P X <<=,则σ= ; 5.设随机变量,X Y 独立并且具有相同分布(1,0.6)B ,求(,)X Y 的联合分布律:;求min(,)Z X Y =的分布律: ; 6.设随机变量~[0,]X U θ,1~(1,)Y Γθ(指数分布),且,0.5X Y ρ=,则cov(,)X Y Y -= ;2(23)E X Y -= ; 7.设随机变量X 的数学期望EX 与方差DX 存在,且1DX =,则根据切比雪夫不等式有{5}P X EX -<≥ ;9.若1234,,,X X X X 为来自正态总体(0,4)N 的样本,则∑=41241i i X ~ 分布;∑=42213i iXX ~ 分布;10.设总体22~(,),X N a σσ未知,1,,n X X K 来自总体X , 则参数a 的置信度为的置信区间是: ;11.1,,n X X K 来自总体~()X P λ,则参数λ的矩估计量: 。
一.填空题
1.设,2.0)(,4.0)(,3.0)(===B A P B P A P 则=)(B A P ,B A ,中至少一个不发生的概率为
2.设在一个学生宿舍某房间内住有6个同学,恰有4个同学生日是星期天的概率为 3.设随机变量X 在区间[2,5]上服从均匀分布,对X 进行三次独立的观测中,刚好有两次的观测值大于3的概率为 4.设X 分布如下:
则关于λ的一元二次方程02
=-+X X λλ有实根的概率为 5.设随机变量X ~)10,0(2
N ,则}{
=>6.19X P
6.设随机变量X ~)001.0,5000(B ,根据泊松定理,则{}≈=2X P
7.设随机变量Y X ,独立并且具有相同分布)4.0,1(B ,则),max(Y X Z =的分布律为
8.设随机变量X ~⎪⎩
⎪
⎨⎧<-≤≤>=-0,120,02,1],3,1[X X X Y U ,则=EY
9.设)5.0;9,0;4,1(~),(N Y X ,则____~332-+Y X
10.设621,,,X X X 是来自正态总体),0(2
σN 的一个样本,则~)(2
6
25242
321X X X X X X Y ++++=
11.设21,X X 为来自正态总体),(2
σμN 的一个样本,若212008
1
X cX +是参数μ的一个无偏估计量,则____=c
12.设正态总体~X ),(2
σμN ,若2
σ已知,n X X X ,,,21 为样本,X 为样本均值,μ的
置信度为α-1的置信区间为
),n
X n
X σ
λ
σ
λ+-(,那么____=λ
13.设投篮比赛中,甲,乙两人每次投中的概率分别为0.6和0.75,那么甲,乙两人各
独立地投1次,恰有1人投中的概率是
14.已知一批产品的次品率为4%,而非次品中有75%的优等品。
从这批产品中任取一件产品,则取到优等品的概率为
15.已知测量某一距离时的随机误差X (单位:cm )的密度函数为
R x e
x f x ∈=
--
,2401)(3200
)20(2π
,则误差的绝对值不超过30cm 的概率为
._____]1600
)20([____,~4020___2
=--X D X ,
16.已知连续型随机变量X 的密度函数为⎩⎨
⎧≤-=其它
,01
,1)(x x x f ,则X 的分布函数__________)(=x F ,概率.______}10{=<<X P 17.利用概率知识计算∑+∞
=-=+0
4
._______!4)1(k k e k k 18.设随机变量)5.0,1(~],6,0[~ΓY U X ,则._______)2,2cov(=+-Y X Y X
19.设4321,,,X X X X 为总体)1,0(N 的样本,则.______)255.19(2
3
222
1=>+X X X P 20.设一批零件的长度(cm )服从正态分布)5.1,(2
μN 。
为了以95%的置信度保证样本均值对零件的平均长度的估计误差不超过.80,则至少需要抽取 个零件。
21.当作出拒绝被择假设的决策时,这个决策可能犯第 类错误。
二.计算题。
1.设随机变量X 的密度函数为+∞<<-∞=-x Ae x f x
,)(
⑴求系数A 的值; ⑵X 的分布函数);(x F ⑶};11{<<-X P ⑷2
4
1X Y =
的密度函数).(y f Y 2.设二维连续型随机变量),(Y X 的密度为:1,01,02(1)
(,)0,x y x f x y ≤≤≤≤-⎧=⎨⎩
其他
⑴求边缘密度函数)(x f X 和);(y f Y ⑵判断X 和Y 是否相互独立; ⑶Y X Z +=的密度函数);(z f Z ⑷).(X Y P <
3.轰炸机轰炸某目标,它能飞到距目标400m ,200m ,100m 的概率分别为0.5,0.3,0.2,
又设它在距离目标400m ,200m ,100m 的命中率分别为0.01,0.02,0.1。
⑴求目标被击中的概率;
⑵当目标被击中时,求飞机是在400m 处轰炸的概率。
4.设随机变量),(Y X 的联合密度函数为
⎩⎨
⎧≥≤≤=-其它,00
,10,),(y x e y x f y
⑴求),(Y X 的边缘密度函数)(x f X ,);(y f Y
⑵判断X 和Y 是否相关,是否独立;
⑶求Y X Z +=的密度函数);(z f Y X +
⑷令,3,2Y V X U ==求),(V U 的联合密度函数).,(v u h
5.假设随机变量X 和Y 相互独立,同服从区间]2,0[上的均匀分布。
随机变量
⎩⎨
⎧≥+<+=⎩⎨⎧≥+<+=2,12,0;1,11,0Y X Y X V Y X Y X U
⑴求),(V U 的联合分布律及边缘分布律; ⑵求);(V U D +
⑶求),(V U ρ.
6.设总体X 的密度函数为
⎪⎩
⎪⎨⎧≤>=-0,00,)(2
21x x e
x x f x ββ其中)0(>β是未知参数。
⑴求β的矩估计量;ˆ1
β ⑵求β的极大似然估计量.ˆ2
β 7.设总体X 具有密度函数
⎩⎨
⎧<<+=+其它
,010,)3()()2(x x x f θθ n X X X ,,,21 为来自X 的样本,求参数θ的极大似然估计量。
8.两台车床加工同样的零件,第一台出现不合格品的概率是0.03,第二天出现不合格品
的概率是0.06,加工出来的零件放在一起,并且已知第一台加工的零件比第二台加工的零件多一倍。
求
⑴任取一个零件是合格品的概率;
⑵如果取出的零件是不合格品,求它是由第二台车床加工的概率。
9.一水果店为了要提前贮备某种秋季出售的应时商品,已知该商品每出售一千克获利润1000元,如到秋季末尚有剩余商品未能售完,则每千克将亏损500元。
设在任一秋季内,该商品的总销售量为X 千克,它的密度函数为
,0
,00,)(⎩⎨⎧≤>=-x x e x f x 如贮备0y 千克,求该商品的期望利润值。
10.根据去年的调查,某城市一个家庭每月的耗电量服从正态分布),10,32(2
N ,今年随机调查100个家庭,统计得到他们每月的耗电量的平均值为5.234,能否确定今年家庭平均每月耗电量是否有所提高?)05.0(=α。