信号分析与处理课后答案
- 格式:pdf
- 大小:624.21 KB
- 文档页数:30
信号分析与处理答案第二版HEN system office room 【HEN16H-HENS2AHENS8Q8-HENH1688】第二章习题参考解答求下列系统的阶跃响应和冲激响应。
(1)解当激励为时,响应为,即:由于方程简单,可利用迭代法求解:,,…,由此可归纳出的表达式:利用阶跃响应和冲激响应的关系,可以求得阶跃响应:(2)解 (a)求冲激响应,当时,。
特征方程,解得特征根为。
所以:…(2.1.2.1)通过原方程迭代知,,,代入式(2.1.2.1)中得:解得,代入式(2.1.2.1):…(2.1.2.2)可验证满足式(2.1.2.2),所以:(b)求阶跃响应通解为特解形式为,,代入原方程有,即完全解为通过原方程迭代之,,由此可得解得,。
所以阶跃响应为:(3)解(4)解当t>0时,原方程变为:。
…(2.1.3.1)…(2.1.3.2)将(2.1.3.1)、式代入原方程,比较两边的系数得:阶跃响应:求下列离散序列的卷积和。
(1)解用表格法求解(2)解用表格法求解(3)和如题图2.2.3所示解用表格法求解(4)解(5)解(6)解参见右图。
当时:当时:当时:当时:当时:(7) ,解参见右图:当时:当时:当时:当时:当时:(8) ,解参见右图当时:当时:当时:当时:(9) ,解(10),解或写作:求下列连续信号的卷积。
(1) ,解参见右图:当时:当时:当时:当时:当时:当时:(2) 和如图2.3.2所示解当时:当时:当时:当时:当时:(3) ,解(4) ,解(5) ,解参见右图。
当时:当时:当时:当时:(6) ,解(7) ,解(8) ,解(9) ,解试求题图示系统的总冲激响应表达式。
解已知系统的微分方程及初始状态如下,试求系统的零输入响应。
(1) ;解,,(2) ;,解,,,,可定出(3) ;,解,,,可定出某一阶电路如题图所示,电路达到稳定状态后,开关S 于时闭合,试求输出响应。
解由于电容器二端的电压在t=0时不会发生突变,所以。
信号分析与处理答案第二版HEN system office room 【HEN16H-HENS2AHENS8Q8-HENH1688】第二章习题参考解答求下列系统的阶跃响应和冲激响应。
(1)解当激励为时,响应为,即:由于方程简单,可利用迭代法求解:,,…,由此可归纳出的表达式:利用阶跃响应和冲激响应的关系,可以求得阶跃响应:(2)解 (a)求冲激响应,当时,。
特征方程,解得特征根为。
所以:…(2.1.2.1)通过原方程迭代知,,,代入式(2.1.2.1)中得:解得,代入式(2.1.2.1):…(2.1.2.2)可验证满足式(2.1.2.2),所以:(b)求阶跃响应通解为特解形式为,,代入原方程有,即完全解为通过原方程迭代之,,由此可得解得,。
所以阶跃响应为:(3)解(4)解当t>0时,原方程变为:。
…(2.1.3.1)…(2.1.3.2)将(2.1.3.1)、式代入原方程,比较两边的系数得:阶跃响应:求下列离散序列的卷积和。
(1)解用表格法求解(2)解用表格法求解(3)和如题图2.2.3所示解用表格法求解(4)解(5)解(6)解参见右图。
当时:当时:当时:当时:当时:(7) ,解参见右图:当时:当时:当时:当时:当时:(8) ,解参见右图当时:当时:当时:当时:(9) ,解(10),解或写作:求下列连续信号的卷积。
(1) ,解参见右图:当时:当时:当时:当时:当时:当时:(2) 和如图2.3.2所示解当时:当时:当时:当时:当时:(3) ,解(4) ,解(5) ,解参见右图。
当时:当时:当时:当时:(6) ,解(7) ,解(8) ,解(9) ,解试求题图示系统的总冲激响应表达式。
解已知系统的微分方程及初始状态如下,试求系统的零输入响应。
(1) ;解,,(2) ;,解,,,,可定出(3) ;,解,,,可定出某一阶电路如题图所示,电路达到稳定状态后,开关S 于时闭合,试求输出响应。
解由于电容器二端的电压在t=0时不会发生突变,所以。
信号分析与处理课后习题答案第五章 快速傅里叶变换1.如果一台通用计算机的速度为平均每次复乘需要50us ,每次复加需要10us ,用来就散N=1024点的DFT ,问:(1)直接计算需要多少时间?用FFT 计算呢?(2)照这样计算,用FFT 计算快速卷积对信号进行处理是,估计可实现实时处理的信号最高频率? 解:分析:直接利用DFT 计算:复乘次数为N 2,复加次数为N(N-1);利用FFT 计算:复乘次数为20.5log N N ,复加次数为2log N N ;(1) 直接DFT 计算:复乘所需时间2215010245052.4288T N us us s =⨯=⨯=复加所需时间2(1)101024(10241)1010.47552T N N us us s =-⨯=-⨯= 所以总时间1262.90432DFT T T T s =+=FFT 计算:复乘所需时间3220.5log 500.51024log 1024500.256T N N us us s =⨯=⨯⨯⨯= 复加所需时间422log 101024log 1024100.1024T N N us us s =⨯=⨯⨯= 所以总时间为340.3584FFT T T T s =+= (2) 假设计算两个N 长序列1()x n 和2()x n 的卷积计算过程为如下:第一步:求1()X k ,2()X k ;所需时间为2FFT T ⨯第二步:计算12()()()X k X k X k =•,共需要N 次复乘运算所需时间为501024500.0512To N us us s =⨯=⨯=第三步:计算(())IFFT X k ,所需时间为FFT T所以总时间为230.35840.0512 1.1264FFT T T To s s s =⨯+=⨯+= 容许计算信号频率为N/T=911.3Hz2.设x(n)是长度为2N 的有限长实序列,()X k 为x(n)的2N 点得DFT 。
2—1 画出下列各时间函数的波形图,注意它们的区别1)x 1(t) = sin Ω t ·u(t )2)x 2(t ) = sin [ Ω ( t – t 0 ) ]·u(t )3)x 3(t) = sin Ω t ·u ( t – t 0 )4)x 2(t) = sin [ Ω ( t – t 0 ) ]·u ( t – t 0 )-2-2 已知波形图如图2—76所示,试画出经下列各种运算后的波形图(1)x ( t-2 )(2)x ( t+2 )(3)x (2t)(4)x (t/2 )(5)x (-t)(6)x (—t-2)(7)x ( -t/2—2 )(8)dx/dt2-3 应用脉冲函数的抽样特性,求下列表达式的函数值(1)⎰+∞∞--)(tt xδ(t) dt = x(—t0)(2)⎰+∞∞--)(tt xδ(t) dt = x(t0)x (-t-2)(3)⎰+∞∞--)(0t t δ u(t —2t ) dt = u (2t )(4)⎰+∞∞--)(0t t δ u(t – 2t 0) dt = u (-t 0)(5)()⎰+∞∞--+tetδ(t+2) dt = e 2—2(6)()⎰+∞∞-+t t sin δ(t-6π) dt =6π+21(7)()()[]⎰+∞∞-Ω---dt t t t e t j 0δδ=()⎰+∞∞-Ω-dt t etj δ–⎰+∞∞-Ω--dt t t e t j )(0δ= 1—t j eΩ- = 1 – cos Ωt 0 + jsin Ωt 02—4 求下列各函数x 1(t )与x 2(t ) 之卷积,x 1(t )* x 2(t)(1) x 1(t ) = u(t ), x 2(t ) = e—at· u(t) ( a>0 )x 1(t)* x 2(t) =⎰+∞∞---ττττd t u eu a )()( =⎰-ta d e 0ττ =)1(1at e a--x 1(t )* x 2(t ) =ττδτδτπd t t u t )]1()1([)]()4[cos(---+-+Ω⎰+∞∞-= cos [Ω(t+1)+4π]u (t+1) – cos[Ω(t —1)+4π]u(t —1)(3) x 1(t) = u (t) – u(t-1) , x 2(t) = u(t ) – u (t —2)x 1(t )* x 2(t ) =⎰+∞∞-+-----τττττd t u t u u u )]1()()][2()([当 t 〈0时,x 1(t )* x 2(t) = 0当 0<t 〈1时,x 1(t)* x 2(t ) =td τ⎰= t当 1<t <2时,x 1(t)* x 2(t ) =21d τ⎰= 1当 2<t<3时,x 1(t )* x 2(t ) = 12t d τ-⎰=3-t当 3〈t 时,x 1(t )* x 2(t) = 0(4) x 1(t) = u (t —1) , x 2(t) = sin t · u(t)x 1(t )* x 2(t ) =⎰+∞∞---ττττd t u u )1( )( )sin(=⎰⎰∞==01-t 01-t 0| cos - d sin 1)d --u(t sin ττττττ= 1- cos (t-1)2—5 已知周期函数x(t)前1/4周期的波形如图2-77所示,根据下列各种情况的要求画出x(t )在一个周期( 0<t<T )的波形 (1) x(t)是偶函数,只含有偶次谐波分量f (t ) = f(—t ), f (t ) = f (t ±T/2)(2) x (t)是偶函数,只含有奇次谐波分量 f (t ) = f (-t ), f (t) = —f(t ±T/2)(3) x(t)是偶函数,含有偶次和奇次谐波分量f(t) = f(—t)(4) x(t)是奇函数,只含有奇次谐波分量f(t)= —f(—t), f(t) = -f(t±T/2)(5) x(t)是奇函数,只含有偶次谐波分量f(t) = -f(—t), f(t) = f(t±T/2)(6)x(t)是奇函数,含有偶次和奇次谐波分量f(t)= —f(-t)2-6 利用信号x(t)的对称性,定性判断图2-78所示各周期信号的傅里叶级数中所含有的频率分量(a)这是一个非奇、非偶、非奇偶谐波函数,且正负半波不对称,所以含有直流、正弦等所有谐波分量,因为去除直流后为奇函数。
第二章习题参考解答2.1 求下列系统的阶跃响应和冲激响应。
(1) )()1(31)(n x n y n y =--解 当激励为)(n δ时,响应为)(n h ,即:)()1(31)(n n h n h δ+-=由于方程简单,可利用迭代法求解:1)0()1(31)0(=+-=δh h ,31)0(31)1()0(31)1(==+=h h h δ,231)1(31)2()1(31)2(⎪⎭⎫ ⎝⎛==+=h h h δ…,由此可归纳出)(n h 的表达式:)()31()(n n h n ε=利用阶跃响应和冲激响应的关系,可以求得阶跃响应:)(])31(2123[311)31(1)31()()(10n k h n s n n k nk nk ε-=--===+=-∞=∑∑(2) )()2(41)(n x n y n y =--解 (a)求冲激响应)()2(41)(n n h n h δ=--,当0>n 时,0)2(41)(=--n h n h 。
特征方程0412=-λ,解得特征根为21,2121-==λλ。
所以: n n C C n h )21()21()(21-+= …(2.1.2.1)通过原方程迭代知,1)0()2(41)0(=+-=δh h ,0)1()1(41)1(=+-=δh h ,代入式(2.1.2.1)中得:121=+C C0212121=-C C 解得2121==C C , 代入式(2.1.2.1):0,)21(21)21(21)(>-+=n n h n n …(2.1.2.2)可验证)0(h 满足式(2.1.2.2),所以:)(])21()21[(21)(n n h n n ε-+=(b)求阶跃响应通解为 n n c C C n s )21()21()(21-+=特解形式为 K n s p =)(,K n s p =-)2(,代入原方程有 141=-K K , 即34=K完全解为34)21()21()()()(21+-+=+=n n p c C C n s n s n s通过原方程迭代之1)0(=s ,1)1(=s ,由此可得13421=++C C134212121=+-C C 解得211-=C ,612=C 。
信号分析与处理课程习题2参考解答-2010(共5篇)第一篇:信号分析与处理课程习题2参考解答-2010P57-101Ω-j52-j5Ω(1)方法1:先时移→F[x(t-5)]=X(Ω)e,后尺度→F[x(2t-5)]=X()eΩt05Ω-j-j1Ω1Ω方法2:P40时移+尺度→F[x(at-t0)]=X()ea→F[x(2t-5)]=X()e2 |a|a221Ω-j(2)方法2:P40时移+尺度→F[x(at-t0)]=X()e|a|aΩt0aΩ→F[x(-t+1)]=X(-Ω)ejΩ(3)P42频域卷积定理→F[x1(t)⋅x2(t)]=X1(Ω)*X2(Ω)2π→F[x(t)⋅cos(t)]=X(Ω)*[πδ(Ω+1)+πδ(Ω-1)]=X(Ω+1)+X(Ω-1)2π22P57-12F[x(t)]=⎰x(t)e-∞∞-jΩtdt=⎰τ-2E(t+)eτ2ττdt+⎰22Eτ8ωττωτ(-t+)e-jΩtdt=2sin2()=Sa2()τ2424ωτP57-13假设矩形脉冲为g(t)=u(t+)-u(t-),其傅里叶变换为G(Ω),则22F[x(t)]=F[E⋅g(t+)-E⋅g(t-)]=E⋅G(Ω)eEΩτ=⋅G(Ω))2j2P57-15ττττjΩτ-E⋅G(Ω)e-jΩτ=E⋅G(Ω)(ejΩτ-e-jΩτ)图a)X(Ω)=|X(Ω)|e-1jΩ⎧AejΩt0,|Ω|<Ω0=⎨|Ω|>Ω0⎩0,→x(t)=F[X(Ω)]=2π⎰Ω0AejΩt0ejΩtdΩ=AΩ0Asin(Ω0(t+t0))=Sa(Ω0(t+t0))π(t+t0)π图b)X(Ω)=|X(Ω)|ejΩ⎧-jπ⎪Ae,-Ω0<Ω<0⎪jπ⎪=⎨Ae2,0<Ω<Ω0⎪0,|Ω|>Ω0⎪⎪⎩→x(t)=F[X(Ω)]=2π-1⎰-Ω0Ae-jπejΩt1dΩ+2π⎰Ω0Ae2ejΩtdΩ=jπA2A2Ω0t(cos(Ω0t-1))=-sin()πtπt2第二篇:高频电子信号第四章习题解答第四章习题解答4-1 为什么低频功率放大器不能工作于丙类?而高频功率放大器则可工作于丙类?分析:本题主要考察两种放大器的信号带宽、导通角和负载等工作参数和工作原理。
第4章习题答案1.已知)(1t x 与)(2t x 的波形如题图4.1所示,求)()(21t x t x *,并画出波形。
解:τττd t x x t x t x ⎰+∞∞--=*)()()()(2121⎪⎩⎪⎨⎧<<= 020 2)(1其它t tx τ, ⎩⎨⎧<= 01 |t | 1)(2其它τx 当1-<t时,0)()(21=*t x t x当11<<-t时,12120(1)()()24t t x t x t d ττ++*==⎰当31<<t 时,4)1(12)()(22121--==*⎰-t d t x t x t ττ当3>t时,0)()(21=*t x t x所以 ⎪⎪⎪⎩⎪⎪⎪⎨⎧<<--<<+<=*其它 0 3t 1 4)1(11t 1- 4)1(-1t 0)()(2221t t t x t x2.求)(1t x 与)(2t x 的褶积(1))(1t x =⎩⎨⎧-0e t α 00<≥t t ,)(2t x =⎩⎨⎧-0e t β 00<≥t t ,),0,(βαβα≠>解:⎰+∞∞--=*=τττd t x x t x t x t y )()()()()(2121当0<t时,0)(=t y当0>t时,()()01()[1]tt t t y t e e d e e ατβτβαβταβ------=⋅=--⎰ 即 ()121[1] t 0 ()()0 t 0 t t e ex t x t βαβαβ---⎧->⎪-*=⎨⎪<⎩(2))(1t x =)1()(--t u t u ,)(2t x =)2()(--t u t u 解:⎰+∞∞--=*=τττd t x x t x t x t y )()()()()(2121当0<t时,0)(=t y当10<<t时,t d t y t==⎰0)(τ当21<<t时,1)(10==⎰τd t y当32<<t 时,t d t y t -==⎰-3)(12τ当3>t时,0)(=t y即 ⎪⎪⎩⎪⎪⎨⎧<<<<<<=*=其它0 3 t 2 t -32 t 1 1 1t 0 )()()(21t t x t x t y(3))(1t x =tt u -e )(,)(2t x =)1(-t u解:当1<t 时,0)(=t y当1>t时,111)(+----==⎰t t e d e t y ττ即 ⎩⎨⎧<>=*=+11 t e -1)()()(1-21t t x t x t y t(4))(1t x =)(t f ,)(2t x =)(0t t -δ解:)()()()()()(0021t t f d t t f t x t x t y -=--=*=⎰+∞∞-ττδτ(5))(1t x =)cos(t ω,)(2t x =)1()1(--+t t δδ 解:ωωδωδωsin sin 2)1(cos )1(cos )()()(21⋅-=-*-+*=*=t t t t t t x t x t y3.求三角形脉冲⎪⎩⎪⎨⎧-=∆021)(t t x τ 22ττ><t t 的谱函数。
《信号分析与处理》(第二版)_徐科军、黄云志_课后答案Chap1. 1.4()()()()()()()()()()()()()()()()()()()1212122121122121222y 11102y 0.5111y 0.5 1.513y 013013y 0.51110.5 1.513tttt t x t x t x x t d x x t x x t d t d t t t x x t d t d t t t t t or t t or t t t t t t t ττττττττττττττττττ+∞-∞----=*=-=-≤≤=≤≤??=-=-=+-<≤=-=-=-++<<=≤-≥≤-≥??=+-<≤??-++<<?1.8()()()()()()()()000000001200220222cos sin 222cos 0,1,2,2sin 0,1,2,n n n T T T n T T n T a x t a n t b n t a x t dtT a x t n t dtn T b x t n t dtn T ∞=---=+Ω+Ω==Ω==Ω=∑LL傅立叶级数公式()()[]()()()[]()()()∑∞=?Ω-Ω-+=-=-==<≤<≤-=1002212201cos cos cos 1cos 141cos 1cos 15.020220 (a)n n n t n n n t n n n t x n n b n n a a T t t T t T t x ππππππππ代入公式得:()()()()()()[]()()[]()()∑∞=Ω-?Ω-Ω-+=-=-===Ω=Ω-=10022222012212cos 1cos cos 11411cos 115.0cos 2(b)n n n Tjn t n n t n n n t x n b n n a a n n X en X Tt x t x πππππππ得到:根据时移性质:()()()()()[]()()[]()∑?∑∞=-∞=Ω-+=-=Ω==Ω+=1022322020201003cos cos 1221cos 12cos 41cos 2 (c)n T n n n t n n n t x n n dt t n t x T a a t n a a t x ππππ偶对称,1.12()()dt e t x j X t j ?+∞∞-Ω-=Ω频谱密度函数:()()()()()()[]()()()()()()()()()[]()()()()()000222sin 02sin 4102sin 412sin 42121001-010011-011(1)2122212212222212212221211==??? ??Ω?=???Ω?Ω=Ω+ΩΩ-==ΩΩ+ΩΩ-=??=Ω??? ??Ω-=-+=??=Ω--++=><<<<-=>≤≤+<≤-+=-F F T Sa F j t x F F F j dt t x d F F e e dt t x d F F t t t dt t x d t t t dt t dx t t t t t t x jw jw 其中:ττττδπττδπτττττδτδτδτττττττττττττ()()()()()()()()()Ω+??Ω=Ω+??? ??ΩΩ=Ω??? ??Ω=Ω??≥<≤<===<≥<≤=Ω-Ω-Ω-∞-?πδδπτττ22222210212101010001110 (2)j j j te Sa jw F e Sa j X eSa F t t t f d f t x t t t t t x 时移特性,可得根据矩形脉冲的频谱及谱利用积分特性求解其频()()()()()()()()[]Ω=Ω+Ω-=Ω--Ω+=Ω??>≥><-=→??≥<-=Ω-Ω-→Ω-Ω-Ω----j e e a j t x F e a j e j a e j a j X a t e a t et x a t x t x t t t x j j a j j j e t a t a e e 22lim 2110,10,101111 (3) 20221122时的极限,可以看成式求解,件,故不能直接用定义由于不满足绝对可积条1.22 ()()()()()()()()()()()()()()()()()()()()()()()()2)cos()cos(cos cos cos cos 1lim cos cos cos cos 1lim cos cos cos cos 1lim2221212222222112122222222211112122211122222111ττττθτθθτθθτθτθθττΩ+Ω=-ΩΩ+-ΩΩ=+-Ω+Ω++-Ω+Ω=+-Ω++-Ω+Ω++Ω=-=--∞→--∞→-∞→+∞∞-*A A dt t A t A t t A Tdt t A t A t t A T dt t A t A t A t A T dtTT TTT TTTChap2.2.7 (1)左移 (2)右移 (3)先翻转再右移 (4)先翻转再左移 (5)压缩2.10 ()()()()()∑+∞-∞=-*=*=k k n h k R n h n R n y()()()()1111111000212232132--=+++++=-≥--=+++++=-<≤=<+-++--+a a a a a a a a n y N n aa a a a a n y N n n y n N n n N n N n nΛΛ完全重叠部分重叠无重叠Chap3. 3.1()()()()()0n k k kn k k n h k x n h n x n y -+∞-∞=-+∞-∞=?=-*=*=∑∑βα()()()()()()()()()()()=≠-=?=++>=+-≠-=?=-+≤≤=<---+=---=-+------∑∑βααβαβαβαββαβααβαβαβαβα0100010100-11-10100000n n N N n k N n nk k n n n n k nn k kn N n y N n n n n n y N n n n n y n n N n n n n n n 完全重叠部分重叠无重叠3.2见书P109-112 (1)()()0ωω-j e X (2)()d e dX j jw (3)()jwe X - (4)()jweX-*(5)()jw kj e X e ω- (6)()()jw jw e X e X --21**π(7)()()()jw jw e X e X --21*- 3.8()()()()()()()()()34,23,12,0114,13,12,11,10=========h h h h x x x x x()()()()[]()()()()[]卷积点循环卷积等于其线性故)(点循环卷积)()线性卷积(881L 36 6 6 6 6 23 5 6 6 6 3 1 01=-+== -??? ?==-*=∑∑∞+-∞=∞+-∞=N M n y k n h k x n y N n y k n h k x n y k N N k 注y(1)=0,y(1)=1, y(2)=3…… 3.11()()()()()()()()....2,1,0212101021010-=======--=--=-=--=-=∑∑∑∑∑rN k r kX en x en x W n x k Y en x Wn x k X n rkN jN n rNnkj N n knrN N n Nnkj N n knNN n πππ3.14 见书P118通常待分析的信号是连续信号,为了能应用离散傅立叶变换需要对连续时间信号进行采样,若m s f f 2≤,采样信号的频谱中周期延拓分量互相重叠,这就是混叠现象。
习题33-1 如题3-1图所示电路,已知12R =Ω,24R =Ω,1L H =,0.5C F =,()2()t S u t e t V ε-=,列出()i t 的微分方程,求其零状态响应。
(S u t ()t题3-1图解:设通过电容C 的电流为)(t i c ,根据KVL 定律列写回路方程,可得)())()(()()()(12t u t i t i R dtt di Lt i t R s c =+++ )()()()())()())()((2212111212t u dt t i d CL R dt t di C R R t i R dt t di L t i R dtt di L t i R dt dCi s c =+++++= 整理得,)(2)(6)(5)(22t e t i dt t di dtt i d tε-=++ 两边求拉斯变换,在零状态响应下312211)3)(2)(1(2)(12)()65(2+++-+=+++=+=++s s s s s s s i s s i s s求拉斯反变换得)()2()(32t e e e t i t t t ε---+-=3-2 已知描述系统的微分方程和初始状态如下,试求系统的零输入响应、零状态响应和全响应。
(1)22()()43()()d y t dy t y t x t dt dt ++=,(0)(0)1y y '==,()()x t t ε= (2)22()()()44()3()d y t dy t dx t y t x t dt dt dt++=+,(0)1y =,(0)2y '=, ()()t x t e t ε-=解:(1)求零状态响应)(t y zi当激励为零时,0)(3)(4)(22=++t y dt t dy dt t y d特征方程,0342=++λλ,解特征方程根,3,121-=-=λλ,则齐次解为t t zi e c e c t y 321)(--+=,代入初始条件:1)0()0(21=+==c c y y zi ,13)0()0(21''=--==c c y y zi ,解得1,21-==c c ,即零输入响应)()2()(3t e e t y t t zi ε---= 求零状态响应)(t y zs ,)()(t t x ε=,设方程的特解,0)(c t y p =,将其代入微分方程得,31)(=t y p )()31(321t e c e c y t t zs ε++=--,代入初始条件,031)0()0(21=++==c c y y zs03)0()0(21''=--==c c y y zs ,解得61,2121=-=c c零状态响应,)()612131(3t e e y tt zs ε--+-=; 全响应,).()652331(3t e e y y y tt zi zs ε---+=+= (2)求零输入响应)(t y zi当激励为零时,齐次微分方程,0)(4)(4)(2=++t y dtt dy dt t y d 特征方程,0442=++λλ,解得特征根,221-==λλ,则齐次解t zi e t c c t y 221)()(-+=,代入初始条件,4,2)0(,1)0(2'1====c y c y即零输入响应,)()14()(2t e t t y t zi ε-+=; 求零状态响应)(t y zs ,)()(t e t x t ε-=;设方程的特解,tp e c t y -=0)(,代入微分方程得,tp e t y -=2)(t t zs e e t c c y --++=2)(221,代入初始条件,2,02)0(11-==+=c c y zs1,01)0(22'-==+=c c y zs零状态响应,)(]2)2([2t e e t y t t zs ε--++-=; 全响应,)(]2)13[(2t e e t y y y t tzs zi ε--++=+=。
1第一章习题参考解答1.1 绘出下列函数波形草图。
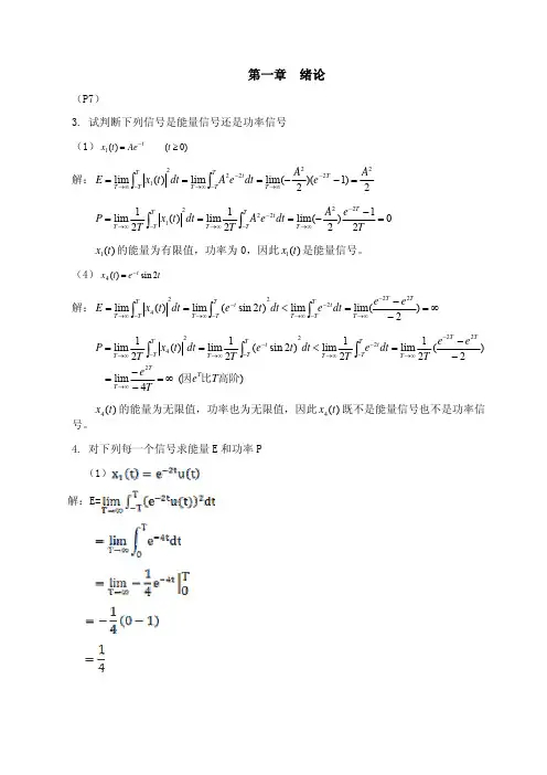
(1) ||3)(t e t x -=(2) ()⎪⎪⎨⎧<≥=02021)(n n n x nn(3) )(2sin )(t t t x επ=(4) )(4sin )(n n n x επ=(5) )]4()([4cos )(--=-t t t e t x t εεπ)]4()1([3)(---=n n n x n εε2(7) t t t t x cos )]2()([)(πδδ--=(8) )]1()3([)(--+=n n n n x δδ(9) )2()1(2)()(-+--=t t t t x εεε(10) )5(5)]5()([)(-+--=n n n n n x εεε(11) )]1()1([)(--+=t t dtd t x εε(12) )()5()(n n n x --+-=εε(13) ⎰∞--=t d t x ττδ)1()((14) )()(n n n x --=ε31.2 确定下列信号的能量和功率,并指出是能量信号还是功率信号,或两者均不是。
(1) ||3)(t e t x -=解 能量有限信号。
信号能量为:()⎰⎰⎰⎰∞-∞-∞∞--∞∞-+===02022||2993)(dt edt edt e dt t x E ttt ∞<=⋅-⋅+⋅⋅=∞-∞-9)21(92190202tte e(2) ()⎪⎩⎪⎨⎧<≥=02021)(n n n x nn解 能量有限信号。
信号能量为: ()∞<=+=+==∑∑∑∑∑∞=--∞=∞=--∞=∞-∞=35)41(4])21[(2)(0102122n n n nn n n n n n x E(3) t t x π2sin )(=解 功率有限信号。
周期信号在(∞-∞,)区间上的平均功率等于在一个周期内的平均功率,t π2sin 的周期为1。
214cos 2124cos 1)2(sin )2(sin 121212121212121212222=-=-===⎰⎰⎰⎰⎰-----tdt dt dt t dt t dt t TP T T ππππ(4) n n x 4sin )(π=解 功率有限信号。
习题一 (P7)1. 指出题图1-1所示各信号是连续时间信号?还是离散时间信号。
题图 1-1解:1345(),(),(),()x t x t x t x t 是连续时间信号 26(),()x t x t 是离散时间信号。
2. 判断下列各信号是否是周期信号,如果是周期信号,求出它的基波周期。
(1) )4/3cos(2)(π+=t t x (2) )27/8cos()(+=n n x π(3) (4))1()(−=t j et x π)8/()(π−=n j en x (5) (6) []∑∞=−−−−=)31()3()(m m n m n n x δδ)(2cos )(t u t t x ×=π(7) )4/cos()4/cos()(πn n n x ×=(8) )6/2/sin(2)8/sin()4/cos(2)(ππππ+−+=n n n n x分析:(1) 离散时间复指数信号的周期性:为了使为周期性的,周期,就必须有,因此有。
nj eΩ0>N n j N n j e eΩ+Ω=)(1=Ωn j e N Ω必须为π2的整数倍,即必须有一个整数m,满足m N π2=Ω所以N m=Ωπ2 因此,若π2Ω为一有理数,为周期性的,否则,不为周期性的。
nj e Ω所以,周期信号基波频率为:nj e Ωm N Ω=π2 ,基波周期为:Ω=π2m N 。
(2) 连续时间信号的周期性:(略)k hd a w.c o mk hd aw.co mwww.k hd a w .c o m课后答案网答案:(1) 是周期信号,32π=T (2) 是周期信号,747==mT(3) 是周期信号,2=T(4) 不是周期信号 (5) 不是周期信号 (6) 不是周期信号 (7) 不是周期信号(8) 是周期信号,16=T3.试判断下列信号是能量信号还是功率信号。
(1) (2)tAe t x −=)(10≥t )cos()(02θω+=t A t x(3)tt t x π2sin 2sin )(3+= (4)t e t x t2sin )(4−=解:(1)1()0tx t Aet −=≥222201lim lim 2TTtt T T w A e dt A e −−→∞→∞⎡⎤==⎢⎥−⎣⎦∫()22221lim 1lim 122TT T T A A e e −→∞→∞⎛⎞=−=−−⎜⎟−⎝⎠22A =2222011limlim 0222Tt T T T A P A e dt TTe−→∞→∞⎛⎞==−−⎜⎟⎝⎠∫12T =1()x t ∴为能量信号(2)20()cos()x t A t ωθ=+w =∞ 22A P =20lim cos()TTT w A ωθ−→∞=+∫dt20cos(22)1lim 2TT T t A dt ωθ−→∞++=∫2001lim sin(22)22TT TA t t ωθω→∞−⎡⎤=+⎢⎥⎣⎦+ k hd a w.c o mk hd aw.co mwww.k hd a w .c o m课后答案网2000011lim sin(22)sin(22)2222T A T T ωθωθωω→∞⎡⎤=+−−+⎢⎥⎣⎦T +=∞ 221lim()2T TT P x T−→∞=∫t dt0020011sin(22)sin(22)22lim 122T T T A T ωθωθωω→∞⎡⎤+−−+⎢⎥⎢⎥=+⎢⎥⎢⎥⎣⎦2000sin(22)sin(22)lim24T T T A Tωθωω→∞+−−+=+θ 22A =2()x t ∴为功率信号(3)3()sin 2sin 2x t t t π=+2lim (sin 2sin 2)TTT w t π−→∞=+∫t dt dt22lim(sin 22sin 2sin 2sin 2)TTT t t t t ππ−→∞=++∫21cos 4cos()cos()1cos 4lim 2222TT T t t t dt t ααβαβπβπ−→∞=−+−−−⎡⎤=++⎢⎥=⎣⎦∫ cos 4cos()cos()cos 4lim 1222T T T t t dt αβαβπ−→∞+−−⎡⎤=−+−⎢⎥⎣⎦∫ sin 4sin(22)sin(22)sin 4lim 8(22)2(22)28TT T t t t t πππππ→∞t π−⎡⎤+−=−+−−⎢⎥+−⎣⎦ [sin 4sin(4)sin(22)sin(22)lim 2884444T T T T T Tππππ→∞−++=−+++++ sin(22)sin(22)sin 4sin 4444488T T T T πππππ−−⎤−−−−⎥−−⎦π [sin 4sin(22)sin(22)sin 4lim 2422224T T T T T ππππ→∞+−⎤=−+−−⎥+−⎦T π =∞k hd a w.c o mk hd aw.co mwww.k hd a w .c o m课后答案网231lim()2TTT P x T −→∞=∫t dt[sin 4sin(22)sin(22)sin 4lim 18(22)2(22)28T T T T T T T ππππ→∞⎤+−=−+−−⎥+−⎦T T π =13()x t ∴为功率信号(4)4()sin 2tx t e −=t tdt2lim sin 2Tt T t w e −−→∞=∫12cos 4lim 2TtTT te d −−→∞−=∫t 22lim lim cos 42tTT t T TT t e dt e tdt −−−−→∞→∞=−∫∫ 22lim lim cos 44Tt T t TT T Te e t −−−→∞→∞−⎡⎤=−⎢⎥−⎣⎦∫dt 222lim lim cos 444T T T tT T T e e e t −−−→∞→∞⎛⎞=+−⎜⎟−⎝⎠∫dt 22211cos 4cos 4sin 452TTtt t TTetdt e t e t −−−−−⎡⎤=−+⎢⎥⎣⎦∫∵222211lim lim cos 4sin 44452TT T t tT T T e e w e t −−−→∞→∞e t −⎛⎞⎡⎤∴=+−−+⎜⎟⎢⎥−⎣⎦⎝⎠222222111lim lim cos 4sin 4cos 4sin 444522T T T T T TT T e e e T e T e T e −−−→∞→∞⎛⎞⎡⎤=+−−+++⎜⎟⎢⎥−⎣⎦⎝⎠T 2222221111lim cos 4sin 4cos 4sin 444105105T T T T T T T e e e T e T e T e T −−−→∞⎛⎞=++−−−⎜⎟−⎝⎠221cos 4sin 41cos 4sin 4lim lim 41054105T TT T T T T T e e −→∞→∞⎡⎤⎡=−+−+−−⎢⎥⎢⎣⎦⎣⎤⎥⎦ 0=+∞221cos 4sin 41cos 4sin 4limlim 2410524105T T T T e T T e T P TT−→∞→∞⎡⎤⎡=−+−+−−⎢⎥⎢⎣⎦⎣T ⎤⎥⎦0=+∞4()x t ∴既非功率信号,也非能量信号。
k hd a w.c o mk hd aw.co mwww.k hd a w .c o m课后答案网4. 对下列每一个信号求能量E 和功率P :(1) (2) (3))()(21t u et x t−=)4/2(2)(π+=t j e t x t t x cos )(3=(4)[][]n u n x n)21(1= (5)[])8/2/(2ππ+=n j e n x (6)[])4cos(3n n x π=解:(1) (2) 4/1,0==∞∞E P ∞==∞∞E P ,1 (3) ∞==∞∞E P ,2/1(4) (5) 3/4,0==∞∞E P ∞==∞∞E P ,1 (6) ∞==∞∞E P ,2/1k hd a w.c o mk hd aw .co mwww.k h d a w .c o m课后答案网习 题1. 应用冲激信号的抽样特性,求下列各表达式的函数值。
(1)000()()()(t 0)f t t t dt f t t f t δ∞=−∞−=−=∫−0(2) (注意积分的上,下限) 0()(2)t e t t dt δ−∞++=∫(3)0000()()()(0t t )f t t t t dt f t t f δ∞=−∞−−=−=∫(4)61(sin )()sin 66t t t t dt t t π2ππδ∞=−∞+−=+=∫+ (5)00000002()((()(222t t t t tt t u t dt u t u u t δ−∞=−−=−==∫) (6)000(()())()()1j t j t j t j t e t t t dt e t dt e t t dt e ϖωωωδδδδ∞∞∞−−−−−∞−∞−∞−−=−−=−∫∫∫2. 绘出下列各时间函数的波形图,注意它们的区别。
(1))(sin )(1t u t t f ω=(2))(sin )(02t t u t t f −=ω(3))()(sin )(003t t u t t t f −−=ω(4))()(sin )(04t u t t t f −=ω3. 连续时间信号)(1t x 和)(2t x 如图示,试画出下列信号的波形。
(1) (2) (3))(21t x )(5.01t x )2(1−t x (4))2(1t x (5)和 (6))12(1+t x )12(1−t x )1(1−−t x (7))3/2(2t x −(8) (9))2/12(2+−−t x )()(21t x t x ⋅(10)分别画出1()x t ′和2()x t ′的波形并写出相应的表达式。
题3图k hd a w.c o mk hd aw.co mwww.k hd a w .c o m课后答案网解:(1)-----(8)t(7)2222()(2)(2)(23t x t x t x t x →+→−+→−(9)11,101,01()2,134,340,其它t t t x t t t t t +−≤<⎧⎪≤<⎪⎪=−+≤<⎨⎪−≤≤⎪⎪⎩, 21,101,01()2,123,230,其它t t t x t t t t +−≤<⎧⎪≤<⎪⎪=≤<⎨⎪−≤≤⎪⎪⎩k hd a w.c o mk hd aw .co mwww.w .c o m课后答案网2122(1),101,01()()24,12( 2.5)0.25,230,其它t t t x t x t t t t t ⎧+−≤<⎪≤<⎪⎪=−+≤<⎨⎪−−+≤≤⎪⎪⎩t(10)11,100,01()1,131,340,其它t t x t t −≤<⎧⎪t ≤<⎪⎪′=−≤<⎨⎪≤≤⎪⎪⎩ 21,100,01(),1()0,123(),21,230,其它t t t t x t t t t t δδ−≤<⎧⎪≤<⎪⎪=⎪′=<<⎨⎪−=⎪≤≤⎪⎪⎩tt4.已知如题图1-2所示,试画出和的波形。