2018年浙江省高职考数学模拟试卷
- 格式:doc
- 大小:291.00 KB
- 文档页数:4
2018年浙江省高职考数学模拟试卷(十四)一、选择题1. 已知集合R U =,{}21>-=x x B ,则B C U 等于 ( ) A.φ B.)3,1(- C.),3()1,(+∞--∞ D.[]3,1-2. 已知c b a >>,且0=++c b a ,则下列不等式中正确的是 ( )A.222c b a >> B.bc ac > C.ac ab > D.b c b a >3. 若函数32)(2+-=x x x f ,[]2,2-∈x ,则)(x f 的值域为 ( ) A.[]11,2- B. []11,2 C. []3,2 D. []11,34. 命题甲“a ,G ,b 三个数成等比数列”是命题乙“ab G ±=”成立的 ( ) A.充分不必要条件 B.必要条件 C.充要条件 D.既不充分也不必要条件5. 下列函数在),0(+∞内是增函数的是 ( )A.x x f 3)(-=B.1)(2+-=x x fC.xx f ⎪⎭⎫ ⎝⎛=31)( D.x x f 3log )(= 6. 函数0)1(12)(-+-=x x f x 的定义域为 ( )A.[)+∞,0B.[)1,0C. [)()+∞,11,0D.()+∞,17. 若点P 在角32π的终边上,且4=OP ,则P 的坐标为 ( ) A.)22,2( B.)2,32(- C.)32,2(- D. )2,32(8. 已知数列{}n a 是等差数列,n S 是等差数列的前n 项和,若2432π=++a a a ,则5co s S 的值为 ( ) A.6π B.4π C.3π D.65π 9. 已知直线过两点)3,1(A ,)1,3(--B ,则该直线的倾斜角为 ( ) A.6π B.4π C.3π D.65π 10. 函数⎪⎭⎫ ⎝⎛-=32sin 3πx y 的图像只需将函数x y 2sin 3=的图像 ( ) A.向左平移3π个单位 B. 向右平移3π个单位C. 向左平移6π个单位D. 向右平移6π个单位 11. 若平面α与平面β相交,直线α//a ,β⊂b ,则 ( ) A.a 与b 异面 B. a 与b 相交 C. a 与b 平行 D.以上都有可能12. 已知ABC ∆内角A 、B 、C 的对边分别为a ,b ,c ,若︒=∠60A ,︒=∠45B ,22=b ,则a 为 ( )A.2B.62C.32D.83 13. 顶点在原点,准线方程为41=x 的抛物线方程是 ( ) A.x y =2 B. x y -=2 C. x y 212= D.y x =2 14. 已知点)3,1(-A ,)1,5(B ,则线段AB 的中点坐标是 ( )A.)2,2(B.)1,3(-C.)0,4(D.)4,0(15. 已知320220C C n =-,则n 是 ( )A.5B.15C.19D.5或1916. 若以双曲线的顶点1A 、2A 为直径两端点的圆恰好经过虚轴的两个端点,则双曲线的渐近线和离心率e 分别为 ( )A.x y ±=,2B. x y 2±=,2C. x y ±=,22 D. x y 2±=,22 17. 求值:154cos 1514cos 154sin 15sin ππππ+等于 ( ) A.21 B.23 C.21- D.23- 18. 正方形ABCD 的中心为)2,1(,AB 所在直线的方程为022=--y x ,则正方形的外接圆的标准方程为 ( )A.5)2()1(22=-+-y xB. 5)2()1(22=+++y xC. 10)2()1(22=-+-y xD. 10)2()1(22=+++y x二、填空题19. 若1>x ,则11-+x x 的最小值为 ; 20. 已知)4,2(-a ,),1(m b ,若b a //,则b 的模为 ;21. 已知数列{}n a 是等比数列,它的前n 项和a S n n +=2,则=a ;22. 已知31cos sin =+αα,则=α2sin ; 23. 对于函数)(x f ,若存在R x ∈0,使成立00)(x x f =,则称0x 为)(x f 的不动点,则函数42)(2--=x x x f 的不动点是 ;24. 小明和小红玩飞行棋,轮流抛掷一枚骰子,规定骰子只有投到6点,玩家的棋子才能起飞,并且投到6点后,还可以再投一次,小明的一枚棋子刚好走到小红的基地附近,此时小红没有可飞的棋子,接下去如果小红能抛出可以起飞的棋子,那么只要抛出不小于4点就可以把小明的棋子逐回他自己的基地,小红能驱逐成功的概率是 ;25. 已知点)0,4(-M ,)0,4(N ,则以MN 为斜边的直角三角形的直角顶点P 的轨迹方程是 ;26. 若正方体的棱长为1,则其外接球的表面积为 ;三、解答题27. 平面内,求过点)3,2(-A ,且垂直于直线012=-+y x 的直线方程;28. 在ABC ∆中,设内角A ,B ,C 对应的边分别是a ,b ,c ,若有bc c b a 3222++=,(1)求角A 的大小;(2)若3=b ,4=c ,求ABC ∆的面积;29. 某学校组织三个班级学生参加一项活动,其中一班5人,二班6人,三班7人,(1)选出其中1人为负责人,有多少种选法?(2)每班选一名组长,有多少种选法?(3)推选二人作中心发言,这二人必须来自不同的班级,有多少种选法? 30. 已知函数⎩⎨⎧-≥+--<+=1,31,2)(2x mx x x x x f ,求:(1))3(-f 的值;(2)[])2(-f f 的值;(3)若)(x f 在[]+∞,1上是增函数,求m 的取值范围;31. 已知三角函数m x m x x x f +-=2cos 2cos sin 2)(的最大值是2,(1)求m 的值;(2)将三角函数化为()ϕω+=x A x f sin )(的形式,其中⎪⎭⎫ ⎝⎛<>2,0πϕω,并求出其最小正周期;32. 已知等差数列{}n a 中82=a ,前8项和1248=S ,(1)求数列{}n a 的通项公式;(2)将数列{}n a 中的第2项,第4项,…,第n 2项按原来的顺序排成一个新数列{}n b ,求数列{}n a 的前n 项和n T ;33. 如图所示的平面图形由4个腰长为4的等腰三角形和一个边长为2的正方形组成,(1)请画出沿虚线折起拼接后的多面体图形,并写出它的名称;(2)求该多面体中侧面与底面所成的二面角的余弦值;(3)求该多面体的体积;34. 点M 到椭圆1316422=+y x 右焦点2F 的距离和它到经过左焦点1F 且与x 轴垂直的直线距离相等,(1)求点M 的轨迹方程;(2)若正方形ABCD 的顶点A 、B 在点M 的轨迹上,顶点C ,D 在直线4+=x y 上,求正方形的边长;。
2018年浙江省高职考数学模拟试卷(三) 一、选择题 1. 已知{}c b a M ,,⊆,则满足该条件的集合M 有 ( )A. 5个B.6个C.7个D.8个2. “92=x ”是“3=x ”的 ( )A.充要条件B.充分不必要条件C.必要不充分条件D.既不充分也不必要条件3. 函数)34(log 5.0-=x y 的定义域是 ( ) A.⎥⎦⎤ ⎝⎛1,43 B.]1,(-∞ C.)1,(-∞ D.⎪⎭⎫ ⎝⎛1,43 4. 下列函数在定义域内为单调递增函数的是 ( )A.121)(-⎪⎭⎫ ⎝⎛=xx f B.x x f lg )(= C.x x y 32+= D.x y cos = 5. 设0<a ,01<<-b ,那么下列各式中正确的是 ( )A.2ab ab a >>B.a ab ab >>2C.2ab a ab >>D.a ab ab >>2 6. 已知32)2(2-=x x f ,则)2(f 等于 ( ) A.0 B.1- C.21- D.3 7. 双曲线8422=-x y 的两条渐近线方程为 ( )A.x y 2±=B. x y 2±=C.y x 2±=D. y x 2±=8. 下列四个命题中,正确的一个命题是 ( )A.若a 、b 是异面直线,b 、c 是相交直线,则a 、c 是异面直线B.若两条直线与同一平面所成的角相等,则该两条直线平行C.若两个平行平面与第三个平面相交,则交线平行D.三个平面两两相交,有三条交线,则这三条交线互相平行9. 运用空间想象力判定下列四个图中不能折成正方体的是 ( )10. 已知直线的方程为)1(33+-=-x y ,则此直线的倾斜角α和必定经过的点的坐标分别是 ( )A.32πα=,)1,3(-PB. 32πα=,)3,1(-PC. 3πα-=,)1,3(-PD. 3πα-=,)3,1(-P 11. 在ABC ∆中,若B A B A sin sin cos cos >,则此三角形形状为 ( )A.锐角三角形B.直角三角形C.钝角三角形D.等边三角形12. 已知α为第二象限角,则)cos(απ-等于 ( )A.αsinB.αsin -C.αcosD.αcos -13. 在三角形ABC 中,点D 为BC 的中点,若a AB =,b BC =,则AD 等于 ( )A.)(21b a +B. )(21b a -C. b a 21+D. b a 21- 14. 直线01=++y x 与圆2)1()1(22=++-y x 的位置关系是 ( )A.相切B.相离C. 相交但不过圆D.相交且过圆心15. 不等式132>-x 的解集为 ( )A. (]),2(1,+∞∞-YB. )2,1(C. ),2()1,(+∞-∞YD.),2[]1,(+∞-∞Y16. 等比数列的前四项依次为a ,x 2,b ,x 3,则a 与b 的比是 ( ) A. 2:3 B. 3:2 C. 3:5 D.5:317. 若0<x ,要使xx 94+取得最大值,则x 必须等于 ( ) A.23 B.23- C.12 D.12- 18. 如图所示,函数)sin(ϕω+=x A y 的一部分图像,A 、B 是图像上的一个最高点和最低点,O 为坐标原点,则OB 为 ( )A.⎪⎭⎫ ⎝⎛1,2π B. ⎪⎭⎫ ⎝⎛-1,2π C. ⎪⎭⎫ ⎝⎛1,23π D. ⎪⎭⎫ ⎝⎛-1,23π二、填空题 19. 不等式01242≥--x x 的解集为 ;20. 如右图所示,用火柴摆成正方形图形,则第50个图形需用火柴棒 根; 21. 若函数⎪⎪⎩⎪⎪⎨⎧<+-=>-=0,430,20,43)(22x x x x x x f ,则[]=)1(f f ;22. 若椭圆1422=+m y x 的焦点在x 轴上,离心率为21,则=m ; 23. 已知3tan -=α,则=+-+ααααcos sin 3cos 2sin ; 24. 两直线03134=+-y x ,0768=+-y x 之间的距离为 ;25. 若nx x ⎪⎪⎭⎫ ⎝⎛-2的展开式中,第4项为常数项,则=n ; 26. 函数4)(2++=bx x x f 在[)+∞,1上递增,则b 的取值范围是 ; 三、解答题27. 计算:()314cos 231log 064.0412273121π+-+⎪⎭⎫ ⎝⎛; 28. 在ABC ∆中,︒=∠60A ,6=AC ,3220=∆ABC S ,求边BC 的长;29. 在等差数列{}n a 中,公差0≠d ,是1a ,7a 的等比中项,且28731=++a a a ,求此数列前10项的和;30. 求与直线0443=+-y x 垂直,且与圆03222=--+x y x 相切的直线方程;31. 已知函数x x x x f 2sin 2cos sin 32)(-=,求函数)(x f 的最值和最小正周期; 32. 如图所示,底面边长为a 的正四棱锥ABCD S -的各侧面均为正三角形,SO 是正四棱锥的高,求:(1)异面直线SA 与BD 的夹角;(2)侧面SBC 与底面ABCD 所成角的正切值;33. 蒙牛公司为促销,推出免费抽奖活动,每位顾客凭超市购物小票,抽奖次,抽奖箱内有十个黄球(每个10分)和十个白球(每个5分),随机抽出十个球计算总分,(1)共有多少种不同的结果?(2)摸到100分有多少种可能?(3)摸到75分的概率是多少?34. 已知抛物线的顶点在原点,对称轴是x 轴,抛物线上点),3(m M 到焦点的距离等于4,(1)求抛物线的方程;(2)设直线b x y +=2与抛物线相交于A 、B 两点,弦AB 的长为53,求ABO ∆的面积;。
试卷类型:A2018年高职高考第一次模拟考试数 学 试 题注意事项:1.答卷前,考生务必用黑色字迹的钢笔或签字笔将自己的姓名和考生号、试室号、座位号填写在答题卡上。
用2B 铅笔将试卷类型填涂在答题卡相应位置上。
将条形码横贴在答题卡右上角“条形码粘贴处”。
2.选择题每小题选出答案后,用2B 铅笔把答题卡上对应题目选项的答案信息点涂黑,如需改动,用橡皮擦干净后,再选涂其他答案。
答案不能答在试卷上。
3.非选择题必须用黑色字迹的钢笔或签字笔作答,答案必须写在答题卡各题目指定区域内相应位置上;如需改动,先划掉原来的答案,然后再写上新的答案;不准使用铅笔和涂改液。
不按以上要求作答的,答案无效。
4.考生必须保持答题卡的整洁。
考试结束后,将答题卡交回。
一、选择题:本大题共15小题,每小题5分,满分75分.在每小题给出的四个选项中,只有一项符合题目要求.1.已知集合{}2,A a =,{}4B =,且{}1,2,4A B =U 则a =( )A .4B .3C .2D .12.函数0.2log (1)x -的定义域为( )A (1,2)B ](1,2C []1,2D )1,2⎡⎣3.已知,a b 是实数,则“0a =”是“()30a b -=”的( )A .充分非必要条件B .必要非充分条件C .充分必要条件D .非充分非必要条件4.不等式2560x x --≤的解集是( )A . {}23x x -≤≤B .{}61x x -≤≤C . {}16x x -≤≤D .{}16x x x ≥≤或5.下列函数中,在区间(0,+∞)上为增函数的是( )A .y =x +1B .y =(x -1)2C .y =2-xD .y =log 0.5(x +1)6.函数cos 2y x ⎛⎫=- ⎪⎝⎭π在区间,43ππ⎡⎤⎢⎥⎣⎦上的最大值是( ) A .1 B .3 C .2 D .127.已知向量a r =(3,1),b r =(-2,1),则2a b -r r =( )。
试卷类型:A2018年高职高考第一次模拟考试数 学 试 题注意事项:1.答卷前,考生务必用黑色字迹的钢笔或签字笔将自己的姓名和考生号、试室号、座位号填写在答题卡上。
用2B 铅笔将试卷类型填涂在答题卡相应位置上。
将条形码横贴在答题卡右上角“条形码粘贴处”。
2.选择题每小题选出答案后,用2B 铅笔把答题卡上对应题目选项的答案信息点涂黑,如需改动,用橡皮擦干净后,再选涂其他答案。
答案不能答在试卷上。
3.非选择题必须用黑色字迹的钢笔或签字笔作答,答案必须写在答题卡各题目指定区域内相应位置上;如需改动,先划掉原来的答案,然后再写上新的答案;不准使用铅笔和涂改液。
不按以上要求作答的,答案无效。
4.考生必须保持答题卡的整洁。
考试结束后,将答题卡交回。
一、选择题:本大题共15小题,每小题5分,满分75分.在每小题给出的四个选项中,只有一项符合题目要求.1.已知集合{}2,A a =,{}4B =,且{}1,2,4A B =U 则a =( )A .4B .3C .2D .12.函数0.2log (1)x -的定义域为( )A (1,2)B ](1,2C []1,2D )1,2⎡⎣3.已知,a b 是实数,则“0a =”是“()30a b -=”的( )A .充分非必要条件B .必要非充分条件C .充分必要条件D .非充分非必要条件4.不等式2560x x --≤的解集是( )A . {}23x x -≤≤B .{}61x x -≤≤C . {}16x x -≤≤D .{}16x x x ≥≤或5.下列函数中,在区间(0,+∞)上为增函数的是( )A .y =x +1B .y =(x -1)2C .y =2-xD .y =log 0.5(x +1)6.函数cos 2y x ⎛⎫=- ⎪⎝⎭π在区间,43ππ⎡⎤⎢⎥⎣⎦上的最大值是( ) A .1 B .3 C .2 D .127.已知向量a r =(3,1),b r =(-2,1),则2a b -r r =( )。
浙江省2018年单独文化招生考试练手试卷一说明:练手试卷雷同于模拟试卷,练手为主,体验高职考试的感觉一、单项选择题:(本大题共20小题,1-12小题每小题2分,13-20小题每小题3分,共48分)(在每小题列出的四个备选答案中,只有一个是符合题目要求的。
错涂、多涂或未涂均无分)。
1.已知全集为R ,集合{}31|≤<-=x x A ,则=A C uA.{}31|<<-x xB.{}3|≥x xC.{}31|≥-<x x x 或D.{}31|>-≤x x x 或 2.已知函数14)2(-=x x f ,且3)(=a f ,则=aA.1B.2C.3D.4 3.若0,0,0><>+ay a y x ,则y x -的大小是A.小于零B.大于零C.等于零D.都不正确 4.下列各点中,位于直线012=+-y x 左侧的是A.)1,0(-B.)2018,1(- C.)2018,21( D.)0,21( 5.若α是第三象限角,则当α的终边绕原点旋转7.5圈后落在A.第一象限角B.第二象限角C.第三象限角D.第四象限角 6.若曲线方程R b R a by ax ∈∈=+,,122,则该曲线一定不会是A.直线B.椭圆C.双曲线D.抛物线7.条件b a p =:,条件0:22=-b a q ,则p 是q 的A.充分条件B.必要条件C.充要条件D.既不充分也不必要条件 8.若向量)4,2(),2,1(-==,则下列说法中正确的是A.=B.2=C.与共线D.)2,3(=+ 9.若直线过平面内两点)32,4(),2,1(+,则直线的倾斜角为A.30 B.45 C.60 D.90 10.下列函数中,在区间),0(+∞上单调递减的是A.12+=x yB.x y 2log =C.1)21(-=xy D.xy 2-= 11.已知一个简易棋箱里有象棋和军棋各两盒,从中任取两盒,则“取不到象棋”的概率为 A.32 B.31 C.53 D.5212.不等式(组)的解集与其他选项不同的是 A.0)3)(1(>+-x x B.031>+-x x C.21>+x D.⎩⎨⎧>+<-0301x x 13.在等比数列{}n a 中,公比2=q ,且30303212=⋅⋅a a a a ,则=⋅⋅30963a a a a A.102 B.202 C.162 D.152 14.下列说法中正确的是A.直线a 垂直于平面α内的无数条直线,则α⊥aB.若平面α内的两条直线与平面β都平行,则α∥aC.两两相交的三条直线最多可确定三个平面D.若平面α与平面β有三个公共点,则α与β重合15.在ABC ∆中,角C B A ,,的对边分别为c b a ,,,24,34,60===b a A ,则角=B A.45 B.135 C.45或135 D.60或12016.2017年12月29日全国上映的《前任三》红爆网络,已知某公司同事5人买了某场次的连续5个座位,若小刘不能坐在两边的座位,则不同的坐法有 A.48种 B.60种 C.72种 D.96种 17.若抛物线y x 42=上一点),(b a P 到焦点的距离为2,则=a A.2 B.4 C.2± D.4± 18.已知2,21)sin(παπα<=+,则=αtan A.33 B.3- C.3± D.33- 19.已知函数xx f x3log 122)(+-=的定义域为A.)0,(-∞B.)1,0(C.(]1,0D.),0(+∞20.已知圆O 的方程为08622=--+y x y x ,则点)3,2(到圆上的最大距离为 A.25+ B.21+ C.34+ D.31+二、填空题(本大题共7小题,每小题4分,共28分)22.在平行四边形ABCD 中,已知n AD m AB ==,,则=OA _________.24.顶点在原点,对称轴为坐标轴的抛物线经过点)3,2(-,则抛物线的标准方程为_________.26.在等差数列{}n a 中,12,1331==a a ,若2=n a ,则=n _________.27.已知圆柱的高为1,它的两个底面的圆周在直径为2的同一个球的球面上,则该圆柱的体积为_________.三、解答题(本大题共9小题,共74分) (解答题应写出文字说明及演算步骤)29.(本题满分7分)求1003)2(xx -的展开式中有多少项是有理项.30.(本题满分8分)如图,已知四边形ABCD 的内角A 与角C 互补,2,3,1====DA CD BC AB.求:(1)求角C 的大小与对角线BD 的长;(2)四边形ABCD 的面积.31.(本题满分8分)观察下列三角形数表,假设第n 行的第二个数为),2(+∈≥N n n a n(1)依次写出第六行的所有6个数;(2)试猜想1+n a 与n a 的关系式,并求出{}n a 的通项公式.32.(本题满分8分)如图,在底面是直角梯形的四棱锥ABCD S -中, 90=∠ABC ,⊥SA 面ABCD ,21,1====AD BC SB SA .求: (1)ABCD S V -;(2)面SCD 与面SAB 所成二面角的正切值.(1))3(f ; (2)使41)(<x f 成立的x 的取值集合.34.(本题满分9分)已知中心在原点的双曲线C 的右焦点为)0,2(,实轴长为32,过双曲线的右焦点且与x 轴垂直的直线,交该双曲线的两条渐近线于B A ,两点.求: (1)双曲线的标准方程; (2)AB 的长.35.(本题满分9分)科幻小说《实验室的故事》中,有这样一个情节,科学家把一种珍奇的植物分别放在不同温度的环境中,经过一天后,测试出这种植物高度的增长情况(如下表):数、一次函数和二次函数中的一种.(1)请你选择一种适当的函数,求出它的函数关系式,并简要说明不选择另外两种函数的理由;(2)温度为多少时,这种植物每天高度的增长量最大?(3)如果实验室温度保持不变,在10天内要使该植物高度增长量的总和超过250mm ,那么实验室的温度x 应该在哪个范围内选择?请直接写出结果.36.(本题满分9分)已知椭圆12222=+b y a x 焦点在x 轴上,长轴长为22,离心率为22,O 为坐标原点.求:(1)求椭圆的标准方程;(2)设过椭圆左焦点F 的直线交椭圆与B A ,两点,并且线段AB 的中点在直线0=+y x 上,求直线AB 的方程.参考答案 21.2 22.)(21+- 23.53- 24.292-=y 或y x 342= 25.22 26.23 27.π43 28.410129.30.31.32.33.34.解:(1)⎪⎩⎪⎨⎧===⇒⎪⎩⎪⎨⎧+===2132322222c b a b a c c a 因为焦点在x 轴上,所以标准方程为1322=-y x(2)渐近线方程为x y 33±=,334,332=∴⎪⎩⎪⎨⎧±==AB y x 35.解析:(1)选择二次函数,设c bx ax y ++=2,得⎪⎩⎪⎨⎧=++=+-=4124492449c b a c b a c ,解得⎪⎩⎪⎨⎧=-=-=4921c b a∴y 关于x 的函数关系式是4922+--=x x y .不选另外两个函数的理由:注意到点(0,49)不可能在任何反比例函数图象上,所以y 不是x 的反比例函数;点(-4,41),(-2,49),(2,41)不在同一直线上,所以y 不是x 的一次函数. (2)由(1),得4922+--=x x y ,∴()5012++-=x y ,∵01<-=a ,∴当1-=x 时,y 有最大值为50. 即当温度为-1℃时,这种植物每天高度增长量最大. (3)46<<-x .36.(1)1222=+y x (2)。
2018 年浙江省高职考数学模拟试卷(十五)一、 选择题 1. 已知全集为 R ,会合 Ax 1 x 2 , B x x 2或 x 2 ,则下述正确的选项是 ()A. 0 A BB. A B 的子集有 2 个C. A B RD. C U B A“ xy”是“ x 2y 20 ”的()A.充足不用要条件B.必需不充足条件C.充要条件D.既不充足也不用要条件 已知 a , b 都是正数,且 ab 1,关于 ab 的最值表述正确的选项是 ( )A.有最大值 21C. 有最小值 2D. 有最大值1 B. 有最小值44函数 ylg 4 x x 2(sin x) 0 的定义域是()A.0,4B.0,4C.(,0) (4,)D. (0,) ( ,4)以下函数在 R 上是减函数的是()A. y1B. yx 1C. y 1 x 2D. y e xx函数 f (x) x 22 ,其图像是()A.失散的点B.直线C.抛物线D.一小段曲线数列 2n 中的第 10 项是( )A. 20B. 5121024D. 2048C.为响应义诊服务活动,市人民医院决定从10名全科医生中选出3 名医生, 分到三个街道去义诊,若每个街道一名医生,则不一样的分派方法有()A.120种B. 240 种C.360 种D. 720 种( )连续三次投掷一枚一元硬币,三次都是国徽向上的概率是A.1B.11D.784C.82( )假如角是第二象限,那么下述角中是第四象限角的是A. B.C.D.2已知A.sin 1是第一象限角,则cos() 等于(),22333B.C.D.2223已知 0,则下述正确的选项是()A. coscosB.coscosC.sinsinD. sinsin若向量 a(1,2) , b ( 2,4) ,则下述正确的选项是()A. 2 a bB. a 2bC.a与b共线D. a b已知点P(1,0) 和 Q (0,1) 都在曲线C上,则曲线 C 的方程必定不会是( ) A. x y 1 0 B. x2 y 2 1 C. x y2 1 D. x2 y 2 1 直线 y x b (b 1) 与圆x2 y 2 1 的地点关系是( )2A.相离B.相切C.订交D.以上都可能双曲线x 2 y21 的渐近线方程是( ) 25 81A. y 25B. y9C. y5D. y81x x x x81 5 9 25( )如下图,椭圆的标准方程为A. x2 y 21 5 4B. x 2 y 21 4 5C. x 2 y 2 15D. y 2x 2 1 5一球内切于一正方体,球的直径与正方体的对角线的地点关系可能是( ) A.订交 B.平行 C.异面 D.以上都有可能填空题到定点 (1, 1) 的距离为 2 的点的轨迹方程是;2 3求值: log3 27 lg 4 2 lg 5 1 2 2 2;2圆锥轴截面是一等腰直角三角形,斜边长为10 ,则圆锥的体积是;把9,1,1,3,27 排成一列,作为一等比数列的前五项,要求数列的公比为整数,则3该数列的通项公式为;一个三角形最长边是 4 ,且sin A : sin B : sin C 1 : 3 : 2 ,则三角形面积是;已知抛物线的极点在原点,焦点在x 轴正半轴上,且焦点到直线x 1的距离为3 ,则此抛物线的标准方程是;x2 y 21 ,则双曲线上的点到两焦点的距离差的绝对值是;已知双曲线方程为916排球落点在底线外的视为球出界,不考虑排球向宽度方向的运动,也不考虑空气阻力等要素,视排球飞翔轨迹为抛物线,如下图,球的最高点离地 4.5 米,离球网 2 米,发球点离球 2.5 米,离球网 10米,判断球会不会出界:(填“会”或“不会”);解答题在同一平面内,求与直线x 2 y 1 0 平行且相距为5 的直线方程;已知函数y 5 sin x 1(0 )的最小正周期是,求 x 取何值时,函数有最大值2 2并求出最大值;某荒岛被一旅行企业开发成度假区,运营后一个月内,旅客数目直线上涨,为了保证度假区正常安全运营,此后不得不限制旅客入岛数目,限流制度实行后,度假区内旅客数目呈指数降落,游kx(0 x 1)客数目 y (万人)与时间x (月)之间知足函数关系y1 x 3 ,如下图,即开放( x21)运营一个月度假区内旅客数目达到最多 4 万人,此后渐渐减少,( 1)求k的值;( 2)限流制度实行后,度假区内的人数降到运营后半个月时的数目x6a 7已知二项式睁开式的第 4 项的系数是35 ,求睁开式的常数项;x已知sin 1是第二象限角,求sin 2 的值;,3 3已知等比数列a n 中, a1 a3 10 ,a4a6 5a n 2)求,( 1)求数列的通项公式;(4证:数列lg a n是等差数列;如下图,在直三棱柱ABC A1B1 C1中,ACB 90 ,AC BC CC1 2 ,求:(1)三棱锥 C1 ABC 的体积;(2)二面角A B1C1 B 的大小;已知椭圆的长轴长为4 ,以双曲线2x y 2 1 的极点为焦点,向来线与椭圆订交于 A 、B 两2点,弦AB 的中点坐标是(1,1) ,求:(1)椭圆的标准方程;(2)弦AB 的长;。
2018年普通高等学校招生全国统一考试数学模拟试题(浙江卷)一、选择题:本大题共12个小题,每小题5分,共60分.在每小题给出的四个选项中,只有一项是符合题目要求的.1. 已知集合,则()A. B. C. D.【答案】A【解析】分析:求出中不等式解集,找出解集中的整数解确定出,找出中不等式的整数解确定出,求出与的交集即可.详解:∵集合∴集合又∵∴集合∴故选A.点睛:此题考查了交集及其运算,熟练掌握交集的定义是解本题的关键.2. 双曲线的离心率是()A. B. C. D.【答案】C【解析】分析:直接利用双曲线方程,求出实轴长以及焦距的长,即可得到双曲线的离心率.详解:∵双曲线的方程为∴,∵∴∴故选C.点睛:本题考查了双曲线简单性质的应用,离心率的求法.求双曲线的离心率(或离心率的取值范围),常见有两种方法:①求出,代入公式;②只需要根据一个条件得到关于的齐次式,转化为的齐次式,然后转化为关于的方程(不等式),解方程(不等式),即可得(的取值范围).3. 某几何体的三视图如图所示,则该几何体的体积是()A. B. C. D.【答案】B【解析】分析:由已知中的三视图,可知该几何体右边是三棱锥,左边是直三棱柱,分别计算出体积,相加即可.详解:由三视图知:几何体右边是三棱锥,其底面为腰长为1的等腰直角三角形,高为1,其体积为;左边为直三棱柱,其底面为腰长为1的等腰直角三角形,高为1,其体积为.∴该几何体的体积为.故选B.点睛:本题利用空间几何体的三视图重点考查学生的空间想象能力和抽象思维能力.三视图问题是考查学生空间想象能力最常见题型,也是高考热点.观察三视图并将其“翻译”成直观图是解题的关键,不但要注意三视图的三要素“高平齐,长对正,宽相等”,还要特别注意实线与虚线以及相同图形的不同位置对几何体直观图的影响,对简单组合体三视图问题,先看俯视图确定底面的形状,根据正视图和侧视图,确定组合体的形状.4. 若满足约束条件,则的最小值是()A. B. C. D.【答案】B【解析】分析:根据约束条件作出平面区域,化为,从而结合图象,即可求得最小值.详解:由约束条件作出平面区域如图所示:化为,由,解得.由图可得,当直线经过点时,直线在轴上的截距最大,此时有最小值,即.故选B.点睛:本题主要考查线性规划中利用可行域求目标函数的最值,属简单题.求目标函数最值的一般步骤是“一画、二移、三求”:(1)作出可行域(一定要注意是实线还是虚线);(2)找到目标函数对应的最优解对应点(在可行域内平移变形后的目标函数,最先通过或最后通过的顶点就是最优解);(3)将最优解坐标代入目标函数求出最值.5. 在等差数列中,若,且它的前项和有最小值,则当时,的最小值为()A. B. C. D.【答案】C【解析】分析:根据题设条件,利用等差数列的性质推导出,,由此能求出时,的最小值.详解:∵数列是等差数列,它的前项和有最小值∴公差,首项,为递增数列∵∴,由等差数列的性质知:,.∵∴当时,的最小值为16.故选C.点睛:本题考查等差数列的前项和的应用,考查数列的函数特性,是中档题.解答本题的关键是根据,,确定时,的最小值.6. 如图,是双曲线与椭圆的公共焦点,点是在第一象限的公共点.若,则的离心率是()A. B. C. D.【答案】B【解析】试题分析:由题意知,,∵,∴,∴,∵,∴的离心率是,选考点:椭圆离心率【方法点睛】解决椭圆和双曲线的离心率的求值及范围问题其关键就是确立一个关于a,b,c的方程或不等式,再根据a,b,c的关系消掉b得到a,c的关系式,建立关于a,b,c的方程或不等式,要充分利用椭圆和双曲线的几何性质、点的坐标的范围等.7. 已知二次函数,则“与有相同的零点”是“”的()A. 充分不必要条件B. 必要不充分条件C. 充要条件D. 既不充分也不必要条件【答案】C【解析】分析:若是函数与函数相同的零点可推出,即,再根据充要条件的定义判断即可.详解:若是函数与函数相同的零点,则,.∴,即.∴二次函数,则“与有相同的零点”是“”的充要条件.故选C.点睛:充分、必要条件的判断方法(1)利用定义判断:直接判断“若p,则q”和“若q,则p”的真假.在判断时,确定条件是什么、结论是什么.(2)从集合的角度判断:利用集合中包含思想判定.抓住“以小推大”的技巧,即小范围推得大范围,即可解决充分必要性的问题.(3)利用等价转化法:条件和结论带有否定性词语的命题,常转化为其逆否命题来判断真假.8. 已知随机变量的分布列如表所示:若,则()A. B.C. D.【答案】D【解析】分析:根据定义用表示出,,根据函数单调性得出结论.详解:由题意得.∵∴∵∴设,则在上单调递减.∵∴故选D.点睛:求离散型随机变量均值与方差的基本方法(1)已知随机变量的分布列求它的均值、方差,按定义求解.(2)已知随机变量的均值、方差,求的线性函数的均值、方差,可直接用的均值、方差的性质求解.(3)如果所给随机变量是服从常用的分布(如两点分布、二项分布等),利用它们的均值、方差公式求解.9. 已知得内角所对的边分别为,且,点在所在平面上的投影恰好是的重心,设平面与底面所成的锐二面角分别为,则()A. B. C. D.【答案】A【解析】分析:由题意画出图形,分别求出平面,,与底面所成的锐二面角,根据为的重心,可得,再由的大小关系可得到三边的距离关系,在直角三角形中由、、的大小得到三个角的大小关系.详解:根据题意画出如图所示的图形:∵为的重心∴过分别作、、垂直于、、,连接、、,可知、、分别为平面,,与底面所成的锐二面角,分别为.在、、中,,且.∴在、、中,,.∴,即.∵正切函数在上为增函数∴故选A.点睛:线面角找垂线,即通过线面垂直关系确定射影,再根据解直角三角形确定大小,二面角找垂面,即找棱垂直的平面,得到平面角之后再解三角形即可.10. 已知为锐角的外心,,若,且.记,,,则()A. B. C. D.【答案】D【解析】分析:由已知结合数量积的几何意义列关于,,的方程组,求得,再由余弦定理求得,展开数量积,结合,且余弦函数在上为减函数即可得答案.详解:分别取,的中点为,,连接,,根据题设条件可得,.∴,.∵∴①②∵③∴由①②③得根据余弦定理可得∴在中,由大边对大角得:.∵,且余弦函数在上为减函数∴∴故选D.点睛:(1)向量的运算将向量与代数有机结合起来,这就为向量和函数的结合提供了前提,运用向量的有关知识可以解决某些函数问题.(2)以向量为载体求相关变量的取值范围,是向量与函数、不等式、三角函数等相结合的一类综合问题.(3)向量的两个作用:①载体作用:关键是利用向量的意义、作用脱去“向量外衣”,转化为我们熟悉的数学问题;②工具作用:利用向量可解决一些垂直、平行、夹角与距离问题.二、填空题(每题5分,满分20分,将答案填在答题纸上)11. 若复数满足(为虚数单位),则复数的虚部为__________;_________.【答案】(1). 3(2).【解析】分析:把已知等式变形,利用复数代数形式的乘除运算化简求得虚部,再由模的计算公式求模.详解:∵∴∴复数的虚部为,.故答案为,.点睛:本题重点考查复数的基本运算和复数的概念,属于基本题.首先对于复数的四则运算,要切实掌握其运算技巧和常规思路,如. 其次要熟悉复数相关基本概念,如复数的实部为、虚部为、模为、对应点为、共轭为12. 已知函数,则__________;函数的单调递减区间是__________.【答案】(1). 1(2).【解析】试题分析:因为,所以;当时,为单调递增函数;当时,,函数在上单调递增,在上单调递减,所以函数的单调递减区间为.考点:1、分段函数的求值;2、对数的运算;3、函数的单调性.13. 多项式的展开式中,含的系数是__________;常数项是__________.【答案】(1). 200(2). 144【解析】分析:根据题意,由二项式定理分析可得的展开式的通项为,进而令、3、0、1,求出对应的值,分析可得答案.详解:根据题意,的展开式的通项为.∴当时,有;当时,有;当时,有;当时,有.∴多项式的展开式中,含的项为,即含的系数是;常数项是.故答案为,.点睛:求二项展开式有关问题的常见类型及解题策略(1)求展开式中的特定项.可依据条件写出第项,再由特定项的特点求出值即可.(2)已知展开式的某项,求特定项的系数.可由某项得出参数项,再由通项写出第项,由特定项得出值,最后求出其参数.14. 在中,角所对的边分别为,已知,,,点满足,则__________;__________.【答案】(1). 8(2).【解析】分析:由已知利用余弦定理即可求得的值,进而求得的值,利用余弦定理可求的值.详解:如图,,,.∴根据余弦定理得,即.∴或(舍去)∵点满足∴∴在中,由余弦定理可得.∴故答案为,.点睛:本题主要考查余弦定理解三角形. 对余弦定理一定要熟记两种形式:(1);(2),同时还要熟练掌握运用两种形式的条件.另外,在解与三角形、三角函数有关的问题时,还需要记住等特殊角的三角函数值,以便在解题中直接应用.15. 分配名水暖工去个不同的民居家里检查暖气管道,要求名水暖工部分配出去,并每名水暖工只能去一个居民家,且每个居民家都要有人去检查,那么分配的方案共有__________种(用数字作答).【答案】36【解析】分析:根据题意,分2步分析:①,将4名水暖工分成3组,②,将分好的三组全排列,对应3个不同的居民家,由分步计数原理计算可得答案.详解:根据题意,分2步分析:①将4名水暖工分成3组,有种分组方法;②将分好的三组全排列,对应3个不同的居民家,有种分配方法.∴共有6×6=36种不同的分配方案故答案为36.点睛:解答排列、组合问题的角度:解答排列、组合应用题要从“分析”、“分辨”、“分类”、“分步”的角度入手;(1)“分析”就是找出题目的条件、结论,哪些是“元素”,哪些是“位置”;(2)“分辨”就是辨别是排列还是组合,对某些元素的位置有、无限制等;(3)“分类”就是将较复杂的应用题中的元素分成互相排斥的几类,然后逐类解决;(4)“分步”就是把问题化成几个互相联系的步骤,而每一步都是简单的排列、组合问题,然后逐步解决.16. 已知向量满足,则的取值范围是__________.【答案】【解析】分析:根据绝对值三角不等式即可求出.详解:∵∴∴,即;,即.∴的取值范围是故答案为.点睛:本题考查向量的模,解答本题的关键是利用绝对值三角不等式,即.17. 已知,则的最大值是__________.【答案】【解析】分析:将通分后,再将分子分母同时除以,再设,根据对勾函数的性质,即可求得的最大值.详解:∵∴令,则.∵∴∴又∵在上为单调递增∴∴的最大值是故答案为.点睛:解答本题的关键是将等式化简到,再通过换元将其形式进行等价转化,最后运用对勾函数的单调性求出该函数的最值,从而使得问题获解.形如的函数称为对勾函数,其单调增区间为,;单调减区间为,.三、解答题(本大题共6小题,共70分.解答应写出文字说明、证明过程或演算步骤.)18. 已知函数(1)若,求的值域;(2)若的最大值是,求的值.【答案】(1);(2)【解析】分析:(1)时,化简函数,利用三角函数的性质求出的值域;(2)化简函数,根据三角函数的图象与性质求出的值.详解:(1)由题意.∴函数的值域为.(2)由题意.∵函数的最大值为∴∴又∵∴.点睛:对三角函数考查是近几年高考考查的一类热点问题,一般难度不大,但综合性较强.解答这类问题,两角和与差的正余弦公式、诱导公式以及二倍角公一定要熟练掌握并灵活应用,特别是二倍角公式的各种变化形式要熟记于心在研究三角函数的图象和性质问题时,一般先运用三角恒等变形,将表达式转化为一个角的三角函数的形式求解. 19. 设平面平面,,,,,,(1)证明:平面;(2)求直线与平面所成角的正弦值.【答案】(1)见解析;(2)【解析】分析:(1)由于,,可得,进而可得四边形是平行四边形.可得,利用线面平行的判定定理可得平面;(2)取中点,连结交于点,连结,先证与平面所成角等于与平面所成角,再证平面平面,然后作,交直线于点,得平面,即可得是与平面所成角,再求出、,即可得直线与平面所成角的正弦值.详解:(1)∵,∴.又∵∴四边形是平行四边形∴,因此平面.(2)取中点,连结交于点,连结.∵∴与平面所成角等于与平面所成角.∵,平面平面∴平面.又∵∴平面∴.在正方形中,,故平面.∴平面平面.在平面中,作,交直线于点,得平面.∴是与平面所成角.过点作.∵∴∵∴点睛:本题主要考查线面平行的判定定理、直线和平面成的角的定义及求法,属于难题.求直线和平面所成角的关键是作出这个平面的垂线进而斜线和射影所成角即为所求,有时当垂线较为难找时也可以借助于三棱锥的等体积法求得垂线长,进而用垂线长比上斜线长可求得所成角的正弦值,当空间关系较为复杂时也可以建立空间直角坐标系,利用向量求解.20. 已知函数.(1)求的导函数;(2)求的定义域及值域.【答案】(1);(2)【解析】分析:(1)根据复合函数以及幂函数的求导公式进行运算;(2)根据根式的性质以及二次函数的值域求出函数的定义域,对函数求导,判断出单调性求出函数的极大值,即函数的最大值,再由根式的性质得出函数的值域.详解:(1)对求导得:.(2)∵∴对一切恒成立∴的定义域为.令,即,解得(舍去),或.当时,,;当时,,.∴当时,取最大值又∵,所以∴的值域为点睛:利用导数解答函数最值或值域的一般步骤:第一步:先求出函数的定义域;第二步:利用或求单调区间;第三步:解得两个根;第四步:比较两根同区间端点的大小;第五步:求极值;第六步:比较极值同端点值的大小.21. 设抛物线的焦点为,过点的动直线交抛物线于不同两点,线段中点为,射线与抛物线交于点.(1)求点的轨迹方程;(2)求面积的最小值.【答案】(1);(2)【解析】分析:(1)设直线方程为,代入,消去,运用韦达定理和中点坐标公式,再运用代入法消去,即可得到的轨迹方程;(2)设,根据(1)可得,由点在抛物线上,化简可得,由点到直线的距离公式,以及弦长公式,求出的面积,再构造新函数,利用导数即可求得的面积的最小值.详解:(1)设直线方程为,代入得设,则,,.∴.设,由消去得中点的轨迹方程为(2)设.∵,∴由点在抛物线上,得.又∵∴,点到直线的距离又.所以,面积设,有,故在上是减函数,在上是增函数,因此,当时取到最小值.所以,面积的最小值是.点睛:在圆锥曲线中研究范围,若题目的条件和结论能体现一种明确的函数关系,则可首先建立目标函数,再求这个函数的最值.在利用代数法解决最值与范围问题时,常从以下方面考虑:①利用判别式来构造不等关系,从而确定参数的取值范围;②利用已知参数的范围,求新参数的范围,解这类问题的关键是两个参数之间建立等量关系;③利用隐含或已知的不等关系建立不等式,从而求出参数的取值范围;④利用基本不等式求出参数的取值范围;⑤利用函数的值域的求法,确定参数的取值范围.22. 已知数列满足:.证明:当时,(1);(2);(3).【答案】(1)见解析;(2)见解析;(3)见解析【解析】分析:(1)用数学归纳法和反证法证明即可;(2)由数列的递推式以及作差法可得,构造函数,利用导数求出函数函数的单调性,从而可以证明;(3)由数列的递推式,以及(2)的结论可得,根据等比数列的通项公式即可证明,再结合已知可得,即可证明不等式成立.详解:(1)数学归纳法证明:当时,成立假设时,成立,那么时,假设,则,矛盾所以,故得证所以,故(2)由得设则由于与在上单调递增,所以故在上单调递增,所以所以即(3)由(2)得,则所以又,所以,所以,故所以,所以点睛:1.数学归纳法是一种重要的数学思想方法,主要用于解决与正整数有关的数学问题.证明时步骤(1)和(2)缺一不可,步骤(1)是步骤(2)的基础,步骤(2)是递推的依据.2.在用数学归纳法证明时,第(1)步验算的不一定为1,而是根据题目要求选择合适的起始值.第(2)步,证明时命题也成立的过程,一定要用到归纳假设,否则就不是数学归纳法.。
浙江高职考数学试卷精选文档TTMS system office room 【TTMS16H-TTMS2A-TTMS8Q8-2018年浙江省单独考试招生文化考试数学试题卷本试题卷共三大题,共4页.满分150分,考试时间120分钟.考生事项:1.答题前,考试务必将自己的姓名、准考证号用黑色字迹的签字笔或钢笔分别填写在试题卷和答题纸规定的位置上.2.答题时,请按照答题纸上“注意事项”的要求,在答题纸相应的位置上规范作答,在本题卷上的作答一律无效.一、单项选择题(本大题共20小题,1-10小题每小题2分,11-20小题每小题3分,共50分) (在每小题列出的四个备选答案中,只有一个是符合题目要求的,错涂,多涂或未涂均不得分)1. 已知集合{}4,2,1=A ,{}7,5,3,1=B ,则=⋃B A A. {1} B. {1,3,5,7} C. {1,2,3,4,5,7} D.{1,2,4} 2. 函数()x x x f lg 1+-=的定义域为A. ]1,(-∞B. ]1,0(C. ]1,0[D.)1,0(3. 下列函数在区间()∞+,0上单调递减的是 A. x e y = B. 2x y = C. xy 1=D.x y ln = 4. 在等差数列{}n a 中,5321=++a a a ,11432=++a a a ,则公差d 为 A. 6 B. 3 C. 1 D. 25. 过原点且与直线012=--y x 垂直的直线方程为 A. 2x+y=0 B. 2x-y=0 C. x+2y=0 D. x-2y=06. 双曲线191622=-y x 的焦点坐标为 A. ()07,± B. ()70±, C. ()05,± D. ()50±, 7. 函数⎪⎭⎫ ⎝⎛-=3sin 2πx y 的图像是8. 点()1,1-P 关于原点的对称点的坐标为 A. (-1,-1) B. (1,-1) C. (-1,1) D. (1,1)9. 抛物线y x 212=的焦点到其准线的距离是A. 81B. 41C. 21D. 110. 方程()()10332222=+-+++y x y x 所表示的曲线为A. 圆B. 椭圆C. 双曲线D. 抛物线 11. 不等式231≥-x 的解集是A. ]31,(--∞B. ),1[]31,(+∞--∞C. ]1,31[- D. ),1[+∞12. 命题0:=αp 是命题0sin :=αq 的A. 充分不必要条件B. 必要不充分条件C. 充要条件D.既不充分也不必要条件 ++OEOC OA 13. 如图所示,点O 是正六边形ABCDEF 的中心,则A. B. C. D. 014. 用0,1,2,3四个数字可组成没有重复数字的三位数共有 A. 64个 B. 48个 C. 24个 D. 18个 15. 若m =︒2018cos ,则()=︒-38cosA. 21m -B. 21m --C. mD. -m 16. 函数x x x y 2cos 23cos sin +=的最小值和最小正周期分别为 A. 1,π B. -1,π C. 1,2π D. -1,2π 17. 下列命题正确的是A.垂直于同一平面的两个平面垂直B.垂直于同一平面的两条直线垂直C.垂直于同一平面的两个平面平行D.垂直于同一平面的两条直线平行 18. 若()()0tan sin <+⋅-θππθ,则θ所在象限为A. 第二或第三象限B. 第一或第四象限C.第三或第四象限D.第一或第二象限 19. 二项式()()*,21N n n x n∈≥-展开式中含2x 项的系数为A. 2n CB. 2n C -C. 1n CD. 1n C -20. 袋中装有5个红球,3个白球,一次摸出两个球,恰好都是白球的概率是A. 143B. 32C. 283D. 563二、填空题(本大题共7小题,每小题4分,共28分) 21. 过点)2,3(-A 和)2,1(-B 的直线的斜率为22. 设函数()⎪⎩⎪⎨⎧≤+>=0,120,sin x x x x xx f ,则()[]=πf f23. 双曲线18222=-y a x 的离心率3=e ,则实半轴长=a 24. 已知2572cos =α,⎪⎭⎫⎝⎛∈20πα,,则=αtan 25. 在等比数列{}n a 中,0>n a ,431=⋅a a ,则=22log a26. 如图所示,相传这个图形表达了古希腊数学家阿基米德最引为自豪的发现:圆柱内切一个球,球的直径与圆柱的高相等,则圆柱的体积与球的体积之比等于圆柱的全面积与球的表面积之比,这个比值为27. 函数()x x x f --+⨯=31229的最小值为三、解答题(本大题共9小题,共74分)(解答题应写出文字说明及演算步骤)28. 计算:()2213122365sin 1log 3tan 821-+⎪⎭⎫ ⎝⎛+-+⨯⎪⎭⎫ ⎝⎛-ππ29. 在ABC ∆中,︒=∠45A ,22=b ,6=c ,求: (1)三角形的面积ABC S ∆;(2)判断ABC ∆是锐角、直角还是钝角三角形。
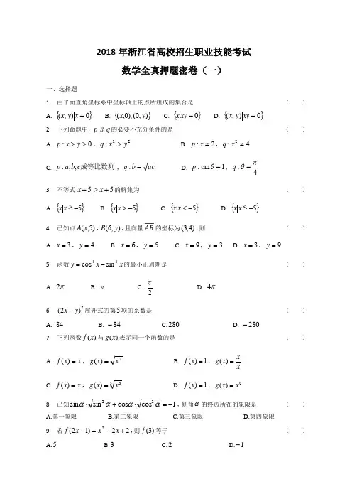
2018年浙江省高校招生职业技能考试数学全真押题密卷(一)一、选择题1. 由平面直角坐标系中坐标轴上的点所组成的集合是 ( ) A. {}0),(=x y x B. {}),0(),0,(y x C. {}0=xy x D. {}0),(=xy y x2. 下列命题中,p 是q 的必要不充分条件的是 ( ) A. 0:>>y x p ,22:y x q > B. 2:≠x p ,4:2≠x q C. 成等比数列c b a p ,,:,ac b q =: D. 1tan :=θp ,4:πθ=q 3. 不等式55+>+x x 的解集为 ( ) A. {}5-≥x x B. {}5->x x C. {}5-<x x D.{}5-≤x x4. 已知点)5,(x A ,),6(y B ,且向量的坐标为)4,3(,则 ( )A. 3=x ,4=yB. 6=x ,5=yC. 9=x ,3=yD. 3=x ,9=y 5. 函数x x y 44sin cos -=的最小正周期是 ( ) A. π2 B.π C.2πD.π46. 7)2(y x -展开式的第5项的系数是 ( ) A. 84 B. 84- C.280 D. 280-7. 下列函数)(x f 与)(x g 表示同一个函数的是 ( ) A. x x f =)(,2)(x x g =B. 1)(=x f ,xxx g =)(C. x x f =)(,33)(x x g =D. 1)(=x f ,0)(x x g =8. 已知1cos cos sinsin 22-=⋅+⋅αααα,则角α的终边所在的象限是 ( ) A.第一象限 B.第二象限 C.第三象限 D.第四象限9. 若22)12(2+-=-x x x f ,则)3(f 等于 ( )A.5B.3C.2D.1-10. n3333132+++++ 的和为 ( ) A. 131-+n B. 2)1)(13(++n n C. 213-nD. 2131-+n11. 学校举办校篮球联赛,共有10支球队参加,要求实行主客场赛制,那么学校要安排裁判判罚 场球赛 ( ) A. 90 B. 45 C. 40 D. 20 12. 在x 轴上的截距为2-,且倾斜角为︒60的直线方程为 ( ) A. 0323=--y x B. 0323=+-y xC. 023=+-y xD.023=--y x13. 已知1F 、2F 分别是椭圆12222=+by a x )0(>>b a 的左、右焦点,P 是椭圆短轴上的一个端点,若21PF F ∆是等腰直角三角形,且其面积为1,则a 的值是 ( ) A. 1 B.2 C. 2 D. 414. 同时投掷两枚骰子,点数之和为5的概率为 ( )A. 361B. 91C. 92D. 18515. 已知等差数列{}n a 中,39741=++a a a ,33852=++a a a ,则963a a a ++的值是( ) A. 30 B. 24 C. 27 D. 21 16. 下列各双曲线中,以x y 21±=为渐近线的是 ( ) A. 141622=-y x B. 116422=-y x C. 1222=-y x D.1222=-y x 17. 已知圆锥的轴截面是边长为a 的正三角形,则圆锥的全面积是 ( ) A. 221a π B. 243a π C. 223a π D. 22a π18. 下列有关立体几何的结论,正确的是 ( ) A.两条不平行且不重合的直线必相交B.过直线外一点有且只有一条直线与已知直线垂直C.垂直于平面的直线必垂直于此平面内的任何一条直线D.不垂直于平面的直线也不垂直此平面内的任何一条直线19. 函数x x f sin )(-=在区间]2,0[π内的单调增区间是 ( )A. ]2,0[πB. ]23,2[ππC. ],2[ππD. ]23,[ππ 20. 设)(x f 是定义在R 上的函数,则以下命题正确的序号是 ( ) ① 若存在1x ,R x ∈2,21x x <,使)()(21x f x f <成立,则函数)(x f 在R 上单调递增; ②若存在1x ,R x ∈2,21x x <,使)()(21x f x f ≤成立,则函数)(x f 在R 上不可能单调递减; ③若存在2x ,对于任意R x ∈1,都有)()(211x x f x f +<成立,则函数)(x f 在R 上单调递增; ④对任意1x ,R x ∈2,21x x <,都有)()(21x f x f >成立,则函数)(x f 在R 上单调递减 A.①B. ①③C. ②③D. ②④ 二、填空题21. 函数24)1lg(x x y -++=的定义域为 ; 22. 若要使mC 29取最大值,则m 的值为 ; 23. 若2log 3=a ,则=+13a ;24. 在平面直角坐标系xOy 中,若曲线24y x -=与直线m x =有且只有一个公共点,则实数=m ;25. π4,则球的体积为 ; 26. 已知23sin -=β,21cos -=β,则角β的终边所对应射线的方程是 ;27. 已知实数x ,y 满足22=+y x ,则yx 39+的最小值为 ;三、解答题 28. 计算:π3tan 2001.0lg 8704.03log 0212++-⎪⎭⎫⎝⎛+- 29. 已知集合]log ,2[2t A =(R t ∈),集合{}R x x x x B ∈≤+-=,01282,(1)对于区间],[b a ,定义此区间的“长度”为a b -,若A 区间的“长度”为3,试求t 的值; (2)若B A ⊆,求t 的取值范围; 30. 在ABC ∆中,已知ab c b a +=+222, (1)求角C 的大小;(2)若43sin sin =B A ,判断ABC ∆的形状; 31. 已知数列{}n a 的前n 项和为123212++=n n S n , (1)求n a ;(2)若1a ,2a ,3a ,…,n a 中包含一个公差为3的等差子数列{}n b ,试写出等差子数列{}n b 及相应的通项公式;32. 已知二次函数)(x f y =,对任意R x ∈都有)1()1(x f x f +=-成立,)(x f 的最大值为2,函数图像与x 轴的两交点之间的距离为2,且恒在直线8+=kx y 的下方,求:(1)二次函数)(x f y =的解析式, (2)k 的取值范围;33. 二项式nxx )1(2-的展开式中,奇数项系数之和为128,求展开式中系数最大的项和系数最小的项;34. 已知函数1)cos (sin cos 2)(+-=x x x x f ,R x ∈,求: (1)函数)(x f 的最小正周期;(2)函数)(x f 在区间]43,8[ππ上的最小值和最大值;35. 如图所示,已知ABC ∆是以BC 为底边的等腰三角形,腰长a 6,底边长为a 22,BD CB ⊥于B ,点A 在平面CBD 上的射影是CD 的中点O ,a BD 2=, 求:(1)二面角D BC A --的大小; (2)三棱锥BCO A -的体积;36. 设点),(y x P (0≥y )为平面直角坐标系xOy 中的一个动点(其中O 为坐标原点),点P到定点)21,0(M 的距离比点P 到x 轴的距离大21, (1)求点P 的轨迹方程;(2)过点)1,0(且与点P 的轨迹相交于A ,B 两点的直线,能否使AOB 的面积为3?若能,写出所有满足条件的直线方程;若不能,说明理由;。
2018高职高考数学模拟试卷本试题卷共24小题,满分150分。
考试时间120分钟。
注意事项:1、答卷前,考生务必用黑色字迹的钢笔或签字笔将自己的姓名和考生号、试室号、座位号填定在答题卡上。
用2B 铅笔将试卷类型填涂在答题卡相应位置上.将条形码横贴在答题卡右上角“条形码粘贴除”2、选择题每小题选出答案后,用2B 铅笔把答题纸上对应题目的答案标号涂黑。
如需改动,用橡皮擦干净后,再选涂其他答案标号。
3、非选择题用黑色字迹的签字笔或钢笔将答案写在答题纸上.4、考生必须保持答题卡的整洁。
不能使用涂改液。
试卷类型:A一、单项选择题(本大题共15小题,每小题5分,共75分)在每小题列出的四个备选答案中,只有一个是符合题目要求的。
错涂、多涂或未涂均无分。
1。
已知集合{}4,3,2,1,0=M ,{}5,4,3=N ,则下列结论正确的是( )A.N M ⊆ B 。
M N ⊆ C 。
{}4,3=⋂N M D 。
{}5,2,1,0=⋃N M2、函数x x x f --=2)1(log )(2的定义域是( )A )0,(-∞B )2,1(C ]2,1(D ),2(+∞3.“01a <<”是“log 2log 3a a >”的( )A 。
必要非充分条件 B.充分非必要条件C 。
充分必要条件D 。
非充分非必要条件4。
下列等式正确的是( ) .A 。
lg 7lg31+=B 。
7lg 7lg 3lg 3= C.3lg 3lg 7lg 7= D 。
7lg 37lg 3= 5. 设向量()4,5a =,()1,0b =,()2,c x =,且满足→→+b a 与→c 垂直,则 ( ).A 。
B 。
12-C 。
12D. 6.不等式312x -<的解集是( )A 。
113⎛⎫- ⎪⎝⎭, B.113⎛⎫ ⎪⎝⎭, C 。
(-1,3) D 。
(1,3) 7、过点A (2,3),且垂直于直线2x +y —5=0的直线方程是( ).A 、x -2y +4=0B 、y —2 x +4=0C 、2x -y —1=0D 、 2x +y -7=08. 函数()4sin cos ()f x x x x R =∈的最大值是( )。
宁波市2018年高等职业技术教育招生考试模拟试卷《数学》本试卷共三大题。
全卷共4页。
满分150分,考试时间120分钟.注意事项:1.所有试题均需在答题纸上作答,未在规定区域内答题,每错一个区域扣卷面总分1分,在试卷和草稿纸上作答无效.2.答题前,考生务必将自己的姓名、准考证号用黑色字迹的签字笔或钢笔填写在答题纸和试卷上.3.选择题每小题选出答案后,用2B 铅笔把答题纸上对应题目的答案标号涂黑.如需改动,用橡皮擦干净后,再选涂其他答案标号.非选择题用黑色字迹的签字笔或钢笔将答案写在答题纸上.4.在答题纸上作图,可先使用2B 铅笔,确定后必须使用黑色字迹的签字笔或钢笔描黑.一、选择题(本大题共20小题, 1-12小题每小题2分, 13-20小题每小题3分,共48分)在每小题列出的四个备选答案中,只有一个是符合题目要求的. 错涂、多涂或未涂均无分.1.已知集合}21|{<<-=x x A ,}30|{<<=x x B ,则B A =( ▲ )A .)3,1(-B .)0,1(-C .)2,0(D .)3,2(2.已知b a >,则下列不等式正确的是( ▲ )A .22b a >B .ba 11< C .21->-b a D .||||b a > 3.已知4.04.0=a ,4.02.1=b ,4.0log 2=c ,则c b a ,,的大小关系为( ▲ )A .c a b <<B .c b a <<C .a b c <<D .a c b <<4.函数2)1lg()(--=x x x f 的定义域为( ▲ ) A .),1(+∞B .),2(+∞C .),2()2,1(+∞⋃D .)2,1( 5.已知函数⎩⎨⎧>≤=)0(log )0(3)(2x x x x f x ,那么)]41([f f 的值为( ▲ ) A.9 B.91 C.9- D.91- 6.已知点)1,0(A ,)2,3(B ,向量)3,4(--=AC ,则向量=BC ( ▲ )A .)4,7(--B .)4,7(C .)4,1(-D .)4,1(7.直线233+-=x y 的倾斜角为( ▲ ) A . 30 B . 150 C . 60 D .1208.已知双曲线的标准方程为63222=-y x ,下列说法正确的是( ▲ )A .焦点是)5,0()50(-,, B .离心率是3C .渐近线方程是x y 36±= D .实轴长是3 9.抛物线y x 42-=上一点P 到焦点的距离为4,则它的纵坐标为( ▲ )A .-4B .-3C .-2D .-110.圆0422=-+++by ax y x 的圆心是)1,2(-,则该圆的半径是( ▲ )A .9B .5C .3D 11.在等比数列}{n a 中,n S 是该数列的前n 项和,若333a S =,则q =( ▲ )A .1B .21-C .1或21-D .21 12.不等式0121≤+-x x 的解集为( ▲ ) A .]1,21(- B .),1[)21,(+∞⋃--∞ C .]1,21[- D .),1[]21,(+∞⋃--∞ 13.在ABC ∆中,1=AB ,3=AC , 60=B ,则=C cos ( ▲ )A .65-B .65 C .633- D .63314cos )22ββ-=,则sin β的值为( ▲ ) A .33-B .31-C .92D .97- 15.已知直线l 过圆010122222=+-+y y x 的圆心,且与直线01=++y x 垂直,则l 的方程是( ▲ )A .02=-+y xB .02=+-y xC .03=-+y xD .03=+-y x 16.已知n m ,表示两条不同直线,α表示平面,下列说法正确的是( ▲ )A .若αm //,αn //,则n m //B .若αn αm ⊂⊥,,则nm ⊥ C .若n m αm ⊥⊥,,则αn //D .若αm //,n m ⊥,则αn ⊥17.已知二次函数()2f x ax bx c =++,若()()()067f f f =<,则()f x 在( ▲ ) A .(),0-∞上是增函数 B .()0,+∞上是增函数C .(),3-∞上是增函数D .()3,+∞上是增函数18.若数列}{n a 满足:⎩⎨⎧>-≤≤=1,110,2n n n n n a a a a a ,且761=a ,则=2018a ( ▲ ) A .73 B .75 C .76 D .710 19. 4位同学各自在周六、周日两天中任选一天参加公益活动 ,则周六、周日都有同学参加公益活动的概率是( ▲ )A .81B .83C .85D .8720.若双曲线)0,0(1:C 2222>>=-b a by a x 的一条渐近线被圆4)222=+-y x (截得的弦长为2,则双曲线的离心率为( ▲ )A .2B .3C .2D .332 二、填空题(本大题共7小题,每题4分,共28分)21.若1sin()7πα-=,α是第二象限角,则tan α= ▲ . 22.设数列}{n a 的前n 项和为n S ,已知21=a ,31=--n n a a ,若57=n S ,则=n ▲ .23.函数1)1(2)1(2-++-=x m x m y 的图象与x 轴只有一个交点,则m = ▲ .24.圆锥的轴截面是一边长为4cm 的正三角形,则圆锥的体积是 ▲ .25. 8822108)1()1()1(32-++-+-+=-x a x a x a a x )(,则=++++8210a a a a ▲ . 26. 椭圆1522=+my x 的离心率是510,则m 的值是 ▲ . 27.当)2,1(∈x 时,不等式042<++mx x 恒成立,则m 的取值范围是 ▲ .三、解答题(本大题共9小题,共74分)解答时应写出必要的文字说明、证明过程或演算步骤.28.(本题满分6分)计算:2ln 213435512log 2)063sin(!3P )064.0(--++-+-e . 29.(本题满分7分)三角形ABC 的面积为3316,6=a ,角B 、A 、C 成等差数列,求三角形ABC 的周长.30.(本题满分8分)已知n xx )12(-的展开式中二项式系数最大的项是第5项,问展开式中是否含有常数项.31.(本题满分8分)已知等差数列}{n a 的公差不为零,53=a ,且571,,a a a 成等比数列.(1)求数列}{n a 的通项公式;(2)求19531a a a a ++++ .32.(本题满分8分)43cos 3)3sin(cos )(2+-+=x πx x x f ,(1)求)(x f 的最小正周期; (2))(x f 在区间]2,0[π上的最大值与最小值.33.(本题满分8分)直线l 过点)1,1(-A 与已知直线062:1=-+y x l 相交于点B ,且5||=AB ,求直线l 的方程.34.(本题满分9分)如图,某隧道横截面的上下轮廓线分别由抛物线对称的一部分和矩形的一部分构成,最大高度为6米,底部宽度为12米,现以O 点为原点,OM 所在的直线为x 轴建立直角坐标系.(1)求出这条抛物线的函数解析式;(2)若要搭建一个矩形支撑架CB DC AD --,使C 、D 在抛物线上,A 、B 点在地面上,则这个支撑架总长的最大值是多少?35.(本题满分10分)如图(1),ABC ∆是等腰直角三角形,4==BC AC ,E 、F 分别为AC 、AB 的中点,将AEF ∆沿EF 折起,使'A 在平面BCEF 上的射影O 恰为EC 的中点,得到图(2).(1)求F A '与平面EC A '所成的角; (2)求三棱锥BC A F '-的体积.36.(本题满分10分)已知椭圆C :)0(12222>>=+b a by a x,斜率为1的直线与椭圆交于A 、B 两点,以AB 为底边作等腰三角形,顶点为)2,3(-P .(1)求椭圆的标准方程;(2)求PAB ∆的面积. O A'C B F E FE C B 第36题图y 第34题图。
2018年浙江省单独考试招生文化考试数学试题卷本试题卷共三大题,共4页.满分150分,考试时间120分钟.考生事项:1.答题前,考试务必将自己的姓名、准考证号用黑色字迹的签字笔或钢笔分别填写在试题卷和答题纸规定的位置上.2.答题时,请按照答题纸上“注意事项”的要求,在答题纸相应的位置上规范作答,在本题卷上的作答一律无效.一、单项选择题(本大题共20小题,1-10小题每小题2分,11-20小题每小题3分,共50分)(在每小题列出的四个备选答案中,只有一个是符合题目要求的,错涂,多涂或未涂均不得分)1. 已知集合{}4,2,1=A ,{}7,5,3,1=B ,则=⋃B A A. {1} B. {1,3,5,7} C. {1,2,3,4,5,7} D.{1,2,4} 2. 函数()x x x f lg 1+-=的定义域为A. ]1,(-∞B. ]1,0(C. ]1,0[D.)1,0(3. 下列函数在区间()∞+,0上单调递减的是 A. x e y = B. 2x y = C. xy 1=D.x y ln = 4. 在等差数列{}n a 中,5321=++a a a ,11432=++a a a ,则公差d 为 A. 6 B. 3 C. 1 D. 2 5. 过原点且与直线012=--y x 垂直的直线方程为A. 2x+y=0B. 2x -y=0C. x+2y=0D. x -2y=06. 双曲线191622=-y x 的焦点坐标为 A. ()07,± B. ()70±, C. ()05,± D. ()50±, 7. 函数⎪⎭⎫ ⎝⎛-=3sin 2πx y 的图像是8. 点()1,1-P 关于原点的对称点的坐标为A. (-1,-1)B. (1,-1)C. (-1,1)D. (1,1)9. 抛物线y x 212=的焦点到其准线的距离是 A. 81 B. 41 C. 21D. 110. 方程()()10332222=+-+++y x y x 所表示的曲线为A. 圆B. 椭圆C. 双曲线D. 抛物线 11. 不等式231≥-x 的解集是A. ]31,(--∞B. ),1[]31,(+∞--∞C. ]1,31[- D. ),1[+∞12. 命题0:=αp 是命题0sin :=αq 的A. 充分不必要条件B. 必要不充分条件C. 充要条件D.既不充分也不必要条件 13. 如图所示,点O 是正六边形ABCDEF 的中心,则=++OE OC OA A. AE B. EA C. 0 D. 0 14. 用0,1,2,3四个数字可组成没有重复数字的三位数共有 A. 64个 B. 48个 C. 24个 D. 18个 15. 若m =︒2018cos ,则()=︒-38cosA. 21m -B. 21m --C. mD. -m 16. 函数x x x y 2cos 23cos sin +=的最小值和最小正周期分别为 A. 1,π B. -1,π C. 1,2π D. -1,2π 17. 下列命题正确的是A.垂直于同一平面的两个平面垂直B.垂直于同一平面的两条直线垂直C.垂直于同一平面的两个平面平行D.垂直于同一平面的两条直线平行 18. 若()()0tan sin <+⋅-θππθ,则θ所在象限为A. 第二或第三象限B. 第一或第四象限C.第三或第四象限D.第一或第二象限 19. 二项式()()*,21N n n x n∈≥-展开式中含2x 项的系数为A. 2n CB. 2n C -C. 1n CD. 1n C -20. 袋中装有5个红球,3个白球,一次摸出两个球,恰好都是白球的概率是A. 143B. 32C. 283D. 563二、填空题(本大题共7小题,每小题4分,共28分)21. 过点)2,3(-A 和)2,1(-B 的直线的斜率为22. 设函数()⎪⎩⎪⎨⎧≤+>=0,120,sin x x x x x x f ,则()[]=πf f23. 双曲线18222=-y a x 的离心率3=e ,则实半轴长=a 24. 已知2572cos =α,⎪⎭⎫⎝⎛∈20πα,,则=αtan 25. 在等比数列{}n a 中,0>n a ,431=⋅a a ,则=22log a26. 如图所示,相传这个图形表达了古希腊数学家阿基米德最引为自豪的发现:圆柱内切一个球,球的直径与圆柱的高相等,则圆柱的体积与球的体积之比等于圆柱的全面积与球的表面积之比,这个比值为27. 函数()x x x f --+⨯=31229的最小值为三、解答题(本大题共9小题,共74分)(解答题应写出文字说明及演算步骤)28. 计算:()2213122365sin 1log 3tan 821-+⎪⎭⎫ ⎝⎛+-+⨯⎪⎭⎫ ⎝⎛-ππ29. 在ABC ∆中,︒=∠45A ,22=b ,6=c ,求: (1)三角形的面积ABC S ∆;(2)判断ABC ∆是锐角、直角还是钝角三角形。
2018年浙江省高职考数学模拟试卷(一)一、选择题1. 若{}101≤≤=x x A ,{}10<=x x B ,则B A 等于 ( ) A.{}1≥x x B. {}10≤x x C.{}10,9,8,7,6,5,4,3,2,1 D. {}101<≤=x x A 2. 若2:=x p ,06:2=--x x q ,则p 是q 的 ( )A.充分而不必要条件B.必要而不充分条件C.充要条件D.既不充分也不必要条件3. 函数44)(22---=x x x f 的定义域是 ( )A.]2,2[-B.)2,2(-C.),2()2,(+∞--∞D.{}2,2-4. 在区间),0(+∞上是减函数的是 ( )A.12+=x yB. 132+=x yC.x y 2=D.122++=x x y 5. 若53sin +-=m m θ,524cos +-=m m θ,其中θ为第二象限角,则m 的值是 ( ) A.8=m B.0=m C.0=m 或8=m D. 4=m 或8=m6. 直线0=+-m y x 与圆01222=--+x y x 有两个不同交点的充要条件是 ( )A.13<<-mB.24<<-mC.10<<mD.1<m 7. 方程112222=++n y n x 所表示的曲线是 ( ) A.圆 B.椭圆 C.双曲线 D.点8. 若l 是平面α的斜线,直线⊂m 平面α,在平面α上的射影与直线m 平行,则 ( )A.l m //B.l m ⊥C.m 与l 是相交直线D. m 与l 是异面直线9. 若21cos sin cos sin =-+αααα,则αt a n 等于 ( ) A.31 B. 31- C.3 D.3- 10. 设等比数列{}n a 的公比2=q ,且842=⋅a a ,则71a a ⋅等于 ( )A.8B.16C.32D.6411. 已知64251606)21(a x a x a x a x ++++=+ ,则0a 等于 ( )A.1B.64C.32D.012. 已知一条直线经过点)2,3(-与点)2,1(--,则这条直线的倾斜角为 ( )A.︒0B.︒45C.︒60D.︒9013. 已知二次函数c bx ax y ++=2(0≠a ),其中a ,b ,c 满足039=+-c b a ,则该二次函数图像恒过定点 ( )A.)0,3(B.)0,3(-C.)3,9(D.)3,9(-14. ︒+︒15cos log 15sin log 22的值是 ( )A.1B.1-C.2D.2-15. 在ABC ∆中,已知8=a ,︒=∠60B ,︒=∠75C ,则b 等于 ( ) A.24 B. 34 C. 64 D.323 16. 若b a >,d c >,则下列关系一定成立的是 ( )A.bd ac >B.bc ac >C.d b c a +>+D.d b c a ->-17. 已知抛物线的顶点在原点,对称轴为坐标轴,且以直线01553=-+y x 与y 轴的交点为焦点,则抛物线的准线方程是 ( )A.y x 122-=B. y x 122=C.3-=xD.3-=y18. 点),(y x P 在直线04=--y x 上,O 为原点,则OP 的最小值是 ( ) A.10 B.22 C.2 D.2二、填空题19. 不等式138≥-x 的解集是 ;20. 已知点⎪⎭⎫ ⎝⎛43cos ,43sin ππP 落在角θ的终边上,且[)πθ2,0∈,则θ的值为 ;21. 5=,且),4(n =,则n 的值是 ;22. 若)2,1(-A ,)1,4(-B ,)2,(m C 三点共线,则m 的值为 ;23. 从数字1,2,3,4,5中任取2个数字组成没有重复数字的两位数,则这个两位数大于40的概率为 ;24. 已知1F 、2F 是椭圆192522=+y x 的焦点,过1F 的直线与椭圆交于M ,N 两点,则2MNF ∆的周长为 ;25. 若圆柱的母线长为a ,轴截面是正方形,则圆柱的体积为 ;26. 已知0>x ,则函数x xx f 312)(+=图像中最低点的坐标为 ; 三、解答题27. 函数1)(2+-=ax x x f ,且3)2(<f ,求实数a 的取值范围;28. 现从男、女共9名学生干部中选出1名男同学和1名女同学参加夏令营活动,已知共有20种不同的方案,若男生多于女生,求:(1)男女同学的人数各是多少?(2)共3选人且男生女生都要有的选法有多少种?29. 已知直线032:=--y x l 与圆9)3()2(22=++-y x 相交于P 、Q 两点,求(1)弦PQ 的长;(2)三角形POQ 的面积(O 为坐标原点); 30. 设三个数a ,b ,c 成等差数列,其和为6,且a ,b ,c +1成等比数列,求成等比数列的三个数; 31. 已知点)0,1(A 是双曲线122=-ny m x 上的点,且双曲线的焦点在x 轴上,(1)若*N n ∈,双曲线的离心率3<e ,求双曲线的方程;(2)过(1)中双曲线的右焦点作直线l ,该直线与双曲线交于A 、B 两点,直线l 与x 轴上的夹角为α,若弦长4=AB ,求角α的值;32. 在ABC ∆中,A ∠,B ∠都为锐角,6=a ,5=b ,21sin =B ,(1)求A si n 和C cos 的值;(2)设)2sin()(A x x f +=,求)(πf 的值;33. 如图所示,正三棱柱111C B A ABC -的底面边长为cm 4,截面ABD 与底面ABC 所成的角为︒30,求:(1)CD 的长;(2)三棱锥ABC D -的体积;34. 如图所示,在一张矩形纸的边上找一点,过这点剪下两个正方形,它的边长分别是AE ,DE ,已知12=AB ,8=AD ,问:(1)设x DE =,两正方形面积和为y ,列出y 与x 之间的函数关系式;(2)要使剪下的两个正方形的面积和最小,两正方形边长应各为多少?(3)两正方形面积和的最小值为多少?。
湖州市2018学年高职复习第一次模拟考试数学试卷时间120分钟 满分150分一、单项选择题(本大题共20小题,1-10小题每题2分,11-20小题每题3分,共50分) 1. 已知集合{}{}20,10,A x x B x N x =-<=∈+>则AB 等于( )A.{}12A x x =-<< B.{}1,0,1- C.{}0,1 D.{}1,0- 2.已知函数lg y x =,则下列四个函数中,定义域与之相同的是( )A.y =y x = C.sin y x = D.y =3.下列函数在区间()0,+∞上不是单调递减的是( )A.1y x -= B.2018xy -= C.2019y x =- D.ln y x =4.已知等差数列{}n a 中,12318a a a ++=,65436a a a ++=,则公差d 等于( ) A.0 B.2 C.6 D.185.过点()1,2且平行于直线240x y -+=的直线方程是( ) A.240x y +-= B.250x y +-= C.13022x y -+= D.250x y -+= 6.双曲线22143x y -=-的渐近线方程为( )A.2y x =±B.3y x =±C.34y x =±D.43y x =±7.函数sin 2y x =的图象 得到函数sin 23y x π⎛⎫=- ⎪⎝⎭的图象.( ) A.向左平移3π个单位 B.向右平移3π个单位 C.向左平移6π个单位 D.向右平移6π个单位 8.已知某曲线方程是到点()3,0的距离等于4的点的轨迹,则在其内部的点是( )A.()2,1B.()7,0C.(D.()2,0- 9.抛物线22y x =的焦点坐标是( )A.1,02⎛⎫⎪⎝⎭ B.10,2⎛⎫ ⎪⎝⎭ C.1,08⎛⎫ ⎪⎝⎭ D.10,8⎛⎫ ⎪⎝⎭10.已知椭圆方程22541x y +=,下列说法正确的是( )A.焦点为()0,1±B.短轴在y 轴上C.离心率5e =D.长轴长为11.已知a b >,要使bm am -<-成立,则m 必须满足( )A.0m >B.0m =C.0m <D.m 是任意实数 12.命题p :2k απ=,k Z ∈是命题q :sin 0α=的( )A.充分不必要条件B.必要不充分条件C.充要条件D.既不充分也不必要条件 13.在菱形ABCD 中,向量表达式正确的是( )A.AB BD DA +=B.AB AD CB CD +=+C.0AB AD AC ++=D.AB AD AC +=14.某班共开设了七门课,上午需安排四门不同的课程,则不同的排课方法有( ) A.1174C C B.47C C.47A D.1174A A 15.若sin 218m =,则cos38等于( )m D.m - 16.函数2sin y x =的最小正周期是( )A.πB.2πC.()22π D.2π17.下列命题:①同一平面内不相交的两直线互相平行;②平行于同一直线的两条直线必平行;③垂直于同一直线的两直线必平行;④垂直于同一直线的两平面必平行.其中假命题的个数是( )A.1个B.2个C.3个D.4个 18.已知α是第二象限角,则πα-是( )A.第一象限角B.第二象限角C.第三象限角D.第四象限角19.8x⎛ ⎝展开式中5x 的系数为( )A.28-B.28C.56-D.56 20.抛掷两枚质地均匀的骰子,掷得点数之和为6的概率为( ) A.12B.512C.712D.536二、填空题(本大题共7小题,每小题4分,共28分)21.已知直线l 的倾斜角为60,且过点()1,2A m -和点(),1B m -,则m = .22.狄利克雷函数为()10x D x x ⎧=⎨⎩,取有理数时,取无理数时,则()sin 30D = .23.设双曲线的实轴长为6,一个焦点的坐标为(),则双曲线的标准方为 . 24.2tan151tan 15=- . 25.已知等比数列的前n 项和公式为112n nS =-,则公比q = . 26.已知一棱长为2的正四面体的体积等于一个球的体积,则该球的半径为 .(结果用分数指数幂的形式表示) 27.若1x >,则91x x--的最大值为 . 三、解答题(本大题共8小题,共72分,解答应写出文字说明及演算步骤)28.(本题满分7分)计算:11212524log 4cos 393A π--+-+⨯. 29.(本题满分9分)在ABC ∆中,A为钝角,2sin a B =. (1)求角A 的大小;(4分)(2)若3a =,4b c +=,求ABC ∆的面积.(5分)30.(本题满分9分)点()4,3P 是角α终边上一点,角β的终边为第二象限的角平分线, (1)求sin α,cos α;(5分) (2)求()sin αβ+.(4分)31.(本题满分9分)已知平面上三点()1,3A ,()1,5B -,()6,4C ,直线l 为线段AB 的垂直平分线.(1)求直线l 的一般式方程;(5分)(2)求以点C 为圆心且与直线l 相切的圆的方程.(4分) 32.(本题满分9分)如图,已知ABCD 是正方形,P 是平面ABCD 外一点,且PA ⊥面ABCD ,2PA AB ==.(第32题图)(1)求二面角P -BD -C 的余弦;(5分) (2)求三棱锥P -BCD 的表面积.(4分)33.(本题满分9分)现有5名男生4名女生,安排其中的3人扫地,则 (1)恰好1名男生,共有多少种方法?(3分) (2)至少1名男生,共有多少种方法?(3分)(3)至少1名男生和1名女生,共有多少种方法?(3分)34.(本题满分10分)如图所示,在直角边为3的等腰直角三角形中,13BD AB =,过D 作AC 的平行线交BC 于E ,过E 点作AC 的垂线交AC 于F ,13EG FE =,过G 作AC 的平行线交BC 于H ,过H 点作AC 的垂线交AC 于I ,以此类推······设矩形ADEF 的面积为1a ,矩形FGHI 的面积为2a ,以此类推······ (1)写出1a ,2a 和3a ;(6分)(2)推测该数列的通项公式n a (无需证明).(4分)35.(本题满分10分)已知椭圆()222210x y a b a b +=>>的离心率为2,且过其右焦点F 与长轴垂直的直线被椭圆截得的弦长为2. (1)求椭圆的方程;(4分)(2)设点P 是椭圆上的一个动点,直线:1l y x =+与椭圆交于A 、B 两点,求PAB ∆ 面积的最大值.(6分)(第35题图)(第34题图)2018学年湖州市高职数学一模参考答案一、单项选择题(本大题共20小题,1-10每题2分,11-20每题3分,共50分)二、填空题(本大题共7小题,每题4分,共28分)21. 122. 1 23. 22194x y -= 24. 25. 1226. 11632π-- 27. 7-三、解答题(本大题共8小题,共72分)28.(本题满分7分) 解:原式=11202128-++-……………………………………………………………5分 =1418.………………………………………………………………………… 2分 29.(本题满分9分)解:(1)由2sin a B =,可得2sin ba B=,因为sin sin a b A B =,所以2sin aa A=, …………………………………………2分得sin 2A =,又因为A 为钝角, 所以120A =. …………………………………………………………………………2分 (2) 因为3a =,120A =,由余弦定理2222cos a b c bc A =+-,得()223b c bc =+-,将4b c +=代入得7bc =……………………………………………………………………………3分所以11sin 722S bc A ==⨯=………………………………………2分 30.(本题满分9分) 解:(1)25r x =+==,………………………………………1分3sin 5y r α∴==, …………………………………………………………………2分 4cos 5x r α∴==. (2)分(2)角β的终边为第二象限的角平分线,sin ββ∴==……………………………………………………2分 ()sin sin cos cos sin αβαβαβ∴+=+3455⎛=⨯+ ⎝⎭ 10=.………………………………………………………………2分 31.(本题满分9分)解:(1)由已知,可得AB 的中点坐标为1135,22-+⎛⎫⎪⎝⎭,即()0,4,…………2分 212153111AB y y k x x --===----,设AB 的垂直平分线的斜率为k ', 则1AB k k '⋅=-,解得1k '=,…………………………………………………………………………2分 根据点斜式,得()410y x -=⋅-,即40x y -+=.……………………………………………………………………1分 (2) 由于圆与直线l 相切,故点C 到直线的距离即为圆的半径,r d ====分所以圆的标准方程为:()()226418x y -+-=.…………………………………2分 32.(本题满分9分)解:(1)连接AC 交BD 于点O ,ABCD 是正方形,AC BD ∴⊥,又因为PA ABCD ⊥面,所以PO BD ⊥,故二面角P -BD -C 的平面角为POC ∠.…………………………………………2分2AB BC ==,AC ∴==,12AO OC AC ===, 又因为PA ABCD ⊥面,AC ABCD ⊂面 所以PA AC ⊥,得PO ==PC ==根据余弦定理得222cos 2PO OC PC POC PO OC +-∠===⨯⨯.………………………3分(2)=PBC PCD PBD BCD S S S S S ∆∆∆∆+++全1111=22222222⨯⨯⨯⨯⨯⨯⨯O.………………………………………………………………4分33.(本题满分9分)解:(1)125430N C C ==. ……………………………………………………………3分 (2)122135454580N C C C C C =++=. ………………………………………………3分 (3)1221545470N C C C C =+=……………………………………………………………3分 34.(本题满分10分) 解:(1)3AB =,113BD AB ∴==, 2AD AB BD ∴=-=,又ABC ∆为等腰直角三角形,1AF DE BD ∴===,1122a AF AD ∴=⨯=⨯=, ………………………………………………………2分同理可得289a =,……………………………………………………………………2分 33281a =. ……………………………………………………………………………2分 (2)由条件可知,每一个长方形的长和宽分别是前一个长方形长和宽的23,所以每个长方形的面积是前一个长方形面积的49,故该数列为等比数列,公比为49, ………………………………………………2分111429n n n a a q --⎛⎫∴==⋅ ⎪⎝⎭.……………………………………………………………2分35.(本题满分10分)解:(1)椭圆()222210x y a b a b +=>>的离心率为2,∴c e a ==2234a c =,又过椭圆右焦点F 与长轴垂直的直线被椭圆截得的弦长为2,∴22211c a b+=,得2223141aa b +=得24b =,……………………………………………………………………………2分 又2222344a b c a =+=+,即216a =,所以椭圆的方程为221164x y +=.………………………………………………………2分(2)联立直线:1l y x =+与椭圆方程,得2211164y x x y =+⎧⎪⎨+=⎪⎩,消去y ,整理可得258120x x +-=,∴5AB a ===,…………………2分 设过点P 且与直线l 平行的直线方程为:m y x C =+,则l 与m 的距离就是点P 到AB 的距离,即PAB ∆的边AB 上的高,只要m 与椭圆相切,就有m 与边AB 的最大距离,即得最大面积.将:m y x C =+代入221164x y +=,消元整理可得:22584160x cx c ++-=, 令判别式()()228454160cc∆=-⨯⨯-=,化简得220c=, 故c =±所以m 与AB的最大距离max d ===,……………2分得max 112255S AB d =⨯⨯=⨯=. ……………………2分。
2018年浙江省高职考数学模拟试卷(八)一、选择题1. 已知集合⎭⎬⎫⎩⎨⎧=--=021),(x y y x A ,以下不是集合A 中的元素是 ( ) A.)1,0( B.)1,1( C.)1,2( D.)1,3(2. 命题甲“使函数x x f =)(有意义”是命题乙“1>x ”的 ( )A.充分不必要条件B.必要不充分条件C.充要条件D.既不充分也不必要条件3. 函数)2lg(x y +=的定义域为 ( ) A.{}2->x x B.R C. {}0>x x D. {}2≥x x 4. 在等差数列{}n a 中,已知21=a ,11=-+n n a a ,则数列的通项公式n a 为 ( )A.n +1B.n -3C.21n +D.3-n5. 用十倍放大镜观察2点整的钟面,这是时针和分针形成的角的弧度数是 ( ) A.3π B. 6π C. 310π D. 35π 6. 下列不是半径为3且与直线2=x ,5=y 相切的圆的圆心 ( )A.)8,1(-B.)2,1(-C.)2,5(D.)2,5(-7. 若122=+ay x 表示焦点在y 轴上的椭圆,则a 可作为离心率的曲线是 ( )A.椭圆B.双曲线C.抛物线D.不确定8. 在下列四个命题中,为真命题的共有 ( ) ①若α⊂a ,α⊂b ,β//a ,β//b ,则βα//;②若对任一直线α⊂a ,均有β//a ,则βα//,③α⊂a ,A =βα ,则α与β不平行;④α⊂a ,l =βα ,则α与β不平行;A.1个B.2个C.3个D.4个 9. 已知0sin )cos(cos )sin(=+-+ββαββα,则αs i n 等于 ( )A.1B.1-C.0D.1±10. 在等比数列{}n a 中,若11=a ,2=q ,则n a a a a 2642++++ 等于 ( )A.)14(32-nB. )12(22-nC. )12(2-nD. )14(31-n 11. 甲、乙、丙3位同学选修课程,从4门课程中甲选修2门,乙、丙各选修3门,则不同的选修方案共有 ( )A.36种B.48种C.96种D.192种12. 若直线l 与直线0=+y x 垂直,则直线l 的倾斜角为 ( ) A.3π B. 4π C. 43π D. 32π 13. 已知二次函数4)(2-+=ax x x f ,11)3(=f ,则)(x f 的最小值为 ( )A.2B.4-C.5D.5-14. 已知54cos -=α,且⎪⎭⎫ ⎝⎛∈ππα,2,则⎪⎭⎫ ⎝⎛-4tan πα等于 ( ) A.7 B.7- C.71 D.71- 15. 在ABC ∆中,若三边之比3:1:1sin :sin :sin =C B A ,则c b a ::等于 ( )A.4:1:1B. 3:1:1C. 2:1:1D. 3:1:116. 已知80<<x ,则)8(x x -的最大值是 ( )A.7B.12C.15D.1617. 抛物线x x y 22-=关于y 轴对称的抛物线的顶点坐标为 ( )A.)1,1(B. )1,1(-C. )1,1(-D. )1,1(--18. 已知焦点在x 轴上,实轴长为4的双曲线其离心率2=e ,则双曲线的标准方程为 ( ) A.112422=-y x B. 141222=-y x C. 112422=-x y D. 141222=-x y 二、填空题19. 已知{}12<-=x x A ,{}11>-=x x B ,则=B A ;20. 若21cos sin =-αα,则=α2sin ; 21. 已知()ααsin ,cos =a ,()ββsin ,cos =b ,α和β的终边不在坐标轴上,且b a //,则α与β的关系为 ;22. 各项均为正数的等比数列{}n a 中,已知5321=a a a ,10987=a a a ,则=654a a a ;23. 在校运动会上,某班四名男生甲、乙、丙、丁参加1004⨯米,利用抽签决定接力的顺序,则“甲跑第一棒,丁跑第四棒”的概率=P ;24. 下列函数:①2x y =,②x y 2l o g =,③xy 1=,④x y 2=,⑤x y 2-=,其中在定义域上是增函数的是 ;25. 圆心在直线032=--y x 上,且与两轴相切的圆的标准方程为 ;26. 如图所示,在三棱锥ABC P -上,M 、N 分别是PB 和PC 上的点,过作平面平行于,画出这个平面与其他各面的交线并说明:;三、解答题27. 如果直线012=-+ay x 与直线01)13(=---ay x a 平行,求a 的值; 28. 设函数⎩⎨⎧-≤-≥+-=1,0,23)(2x x x x x x f ,(1)求函数)(x f y =的定义域;(2)若0)(<x f ,求x 的取值范围;29. 已知二项式n x x ⎪⎭⎫ ⎝⎛-1,(1)求该二项式展开式的通项公式;(2)当10=n 时,求二项式展开式的所有二项式系数和;(3)若该二项式展开式的第7项为常数项,求出该常数项;30. 我国西部某地区在2000年至2003年间,沙漠面积不断扩大,数据如下(面积单位:万(1) 请根据表格中的内容,填写表格未完成的部分;(2) 根据表格中提供的数据,观察沙漠面积每年比上一年增加量的规律,如果以后每年的面积仍按此规律扩大,那么到2020年底,该地区的沙漠面积将会达到多少公顷?(3) 植树造林是治理沙漠、控制沙漠扩展的有效措施,该地区2004年年初起开始在沙漠上植树造林,使沙漠变绿洲,已知第一年植树1万公顷,以后每年植树面积比上一年增加%1,同时从2004年其沙漠扩展的面积都控制在1.0万公顷,那么到2020年底,该地区的沙漠面积还剩多少公顷(结果精确到1.0万公顷)?以下数据供参考:()161.101.115≈ ()173.101.116≈ ()184.101.117≈ ()015.1001.115≈ ()016.1001.116≈ ()017.1001.117≈31. 已知x x b x a x f cos sin cos 2)(2+=,且2)0(=f ,23213+=⎪⎭⎫⎝⎛πf ,求:(1)a ,b 的值;(2))(x f 的最大值和最小值; 32. 在ABC ∆中,︒=∠45A ,22=a ,(1)若32=c ,求C ∠的大小;(2)若54c o s =B ,求c 的值;33. 如图所示,⊥PA 平面ABC ,ABC ∆为︒=∠90BAC 的等腰直角三角形,且2==AB PA ,求:(1)BC 与平面PAC 所成角的大小;(2)二面角A PC B --的平面角的正切值;(3)三棱锥PBC A -的体积;34. 已知直线l 的倾斜角α满足22cos =α,椭圆满足:焦点在x 轴上,长轴长为4,离心率为双曲线1322=-y x 的离心率的倒数,直线l 过椭圆右焦点2F ,求(1)椭圆的标准方程;(2)直线l 的方程;(3)直线l 与椭圆的相交弦长;。
2018年浙江省高职考数学模拟试卷(十五)
一、选择题
1. 已知全集为R ,集合{}21≤≤-=x x A ,{}22≥≤=x x x B 或,
则下述正确的是( ) A.B A I ∈0 B.B A I 的子集有2个 C.R B A =Y D.A B C U ⊆
2. “0≠xy ”是“022=+y x ”的 ( )
A.充分不必要条件
B.必要不充分条件
C.充要条件
D.既不充分也不必要条件
3. 已知a ,b 都是正数,且1=ab ,对于b a +的最值表述正确的是
( )
A.有最大值2
B. 有最小值
41 C. 有最小值2 D. 有最大值41 4. 函数02)(sin 4lg x x x y +-=的定义域是 ( )
A.[]4,0
B.()4,0
C.),4()0,(+∞-∞Y
D.)4,(),0(ππY
5. 下列
函数在R 上是减函数的是 ( ) A.x y 1=
B.1+-=x y
C.21x y -=
D.x e y = 6. 函数2)(2+=x x f ,其图像是
( )
A.离散的点
B.直线
C.抛物线
D.一小段曲线
7. 数列{}n 2中的第10项是
( )
A.20
B.512
C.1024
D.2048
8. 为响应义诊服务活动,市人民医院决定从10名全科医生中选出3名医生,分到三个街道
去义诊,若每个街道一名医生,则不同的分配方法有
( )
A.120种
B.240种
C.360种
D.720种
9. 连续三次抛掷一枚一元硬币,三次都是国徽朝上的概率是
( ) A.81 B.41 C.21 D.8
7 10. 如果角α是第二象限,那么下述角中是第四象限角的是
( )
A.α-
B.απ+
C.απ-
D.πα2-
11. 已知
21sin =α,α是第一象限角,则)cos(απ-等于
( )
A.22
B. 2
3 C. 23- D. 33- 12. 已知πβα<<<0,则下述正确的是 ( )
A.βαcos cos >
B. βαcos cos <
C.βαsin sin >
D. βαsin sin <
13. 若向量)2,1(=,)4,2(-=,
则下述正确的是 ( )
A.=
B.b a 2=
C.a 与b 共线
D.b a ⊥
14. 已知点)0,1(P 和)1,0(Q 都在曲线C 上,则曲线C 的方程一定不会是
( )
A.01=-+y x
B.122=+y x
C. 12
=+y x D. 122=-y x
15. 直线b x y +=)1(>b 与圆21
22=+y x 的位置关系是
( )
A.相离
B.相切
C.相交
D.以上都可能
16. 双曲线181252
2=+-y x 的渐近线方程是
( ) A.x y 8125±= B.x y 59±= C.x y 95±= D.x y 25
81±= 17. 如图
所示,椭圆的标准方程为
( ) A.14
52
2=+y x B. 15
42
2=+y x C. 15
22
=+y x D. 1522
=+x y 18. 一球内切于一正方体,球的直径与正方体的对角线的位置关系可能是
( )
A.相交
B.平行
C.异面
D.以上都有可能
二、填空题
19. 到定点)1,1(-的距离为2的点的轨迹方程是 ;
20. 求值:=⨯⨯⎪⎭
⎫ ⎝⎛-++-232322215lg 24lg 27log ; 21. 圆锥轴截面是一等腰直角三角形,斜边长为10,则圆锥的体积是 ;
22. 把9,1,3
1-,3-,27-排成一列,作为一等比数列的前五项,要求数列的公比为整数,则该数列的通项公式为 ;
23. 一个三角形最长边是4,且2:3:1sin :sin :sin =C B A ,则三角形面积是 ;
24. 已知抛物线的顶点在原点,焦点在x 轴正半轴上,且焦点到直线1-=x 的距离为3,则
此抛物线的标准方程是 ;
25. 已知双曲线方程为19
162
2=-y x ,则双曲线上的点到两焦点的距离差的绝对值是 ; 26. 排球落点在底线外的视为球出界,不考虑排球向宽度方向的运动,也不考虑空气阻力等
因素,视排球飞行轨迹为抛物线,如图所示,球的最高点离地5.4米,离球网2米,发球点离球5.2米,离球网10米,判断球会不会出界: (填“会”或“不会”);
三、解答题
27. 在同一平面内,求与直线012=++y x 平行且相距为5的直线方程;
28. 已知函数12sin 5-⎪⎭⎫ ⎝⎛
+=πωx y (0>ω)的最小正周期是2π
,求x 取何值时,函数有最大值?并求出最大值;
29. 某荒岛被一旅游公司开发成度假区,营运后一个月内,游客数量直线上升,为了保证度
假区正常安全运营,后来不得不限制游客入岛数量,限流制度实施后,度假区内游客数量呈指数下降,游客数量y (万人)与时间x (月)之间满足函数关系
⎪⎩⎪⎨⎧≥⎪⎭
⎫ ⎝⎛≤≤=-)1(21)10(3x x kx y x ,如图所示,即开放营运一个月度假区内游客数量达到最多4万人,以后逐渐减少,(1)求k 的值;(2)限流制度实施后,度假区内的人数降到营运后半个月时的数量?
30. 已知二项式展开式76⎪⎭⎫ ⎝
⎛+x a x 的第4项的系数是35,求展开式的常数项; 31. 已知31sin =α,α是第二象限角,求⎪⎭⎫ ⎝
⎛+32sin πα的值;
32. 已知等比数列{}n a 中,1031=+a a ,4
564=
+a a ,(1)求数列{}n a 的通项公式;(2)求证:数列{}n a lg 是等差数列; 33. 如图所示,在直三棱柱111C B A ABC -中,︒=∠90ACB ,21===CC BC AC , 求:
(1)三棱锥ABC C -1的体积;(2)二面角B C B A --11的大小;
34. 已知椭圆的长轴长为4,以双曲线12
22
=-y x 的顶点为焦点,一直线与椭圆相交于A 、B 两点,弦AB 的中点坐标是)1,1(,求:
(1)椭圆的标准方程;(2)弦AB 的长;。