2012年全国高中数学联赛试题
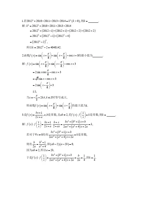
- 格式:pdf
- 大小:168.51 KB
- 文档页数:2
2012年全国高中数学联合竞赛(B 卷)一试一、填空题:本大题共8个小题,每小题8分,共64分。
2012B1、对于集合{}b x a x ≤≤,我们把a b -称为它的长度。
设集合{}1981+≤≤=a x a x A ,{}b x b x B ≤≤-=1014,且B A ,都是集合{}20120≤≤=x x U 的子集,则集合B A 的长度的最小值是◆答案:983★解析:因为B A ,都是集合{}20120≤≤=x x U 的子集,所以310≤≤a ,20121014≤≤b ,{}19811014|+≤≤-=a x b x B A ,或{}b x a x B A ≤≤=| ,故当2012,0==b a 或者1014,31==b a 时,集合B A 的长度最小,最小为9833110149981981=-=-2012B 2、已知0,0>>y x ,且满足⎪⎩⎪⎨⎧=-=+=+120)sin()sin(1)sin(2)(cos 222y x y x y x ππππ,则有序实数对=),(y x ◆答案:()2,4★解析:由1)sin(2)(cos 2=+y x ππ及0)sin()sin(=+y x ππ得()()[]0sin 2sin =+x x ππ,得()0sin =x π,代入0)sin()sin(=+y x ππ得()0sin =y π可得y x ,都是整数。
由()()1222=-+=-y x y x y x ,y x y x +<-,得⎩⎨⎧=+=-62y x y x ,解得⎩⎨⎧==24y x ,故有序实数对),(y x 即为()2,4。
2012B3、如图,设椭圆12222=+b y a x (0>>b a )的左右焦点分别为21,F F ,过点2F 的直线交椭圆于),(11y x A ,),(22y x B 两点。
若B AF 1∆内切圆的面积为π,且421=-y y ,则椭圆的离心率为◆答案:1★解析:由性质可知B AF 1∆的周长为a 4,内切圆半径为1,则2122114211y y c a S B AF -⨯⨯=⨯⨯=∆,可得c a 2=,即21==a c e 2012B 4、若关于x 的不等式组⎩⎨⎧≤-->--+012033223ax x x x x ,(0>a )的整数解有且只有一个,则a 的取值范围为◆答案:⎪⎭⎫⎢⎣⎡34,43★解析:由03323>--+x x x 解得13-<<-x 或1>x ,所以不等式组的唯一整数解只可能为2-或2。
2012年全国高中数学联合竞赛(A 卷)一试一、填空题:本大题共8个小题,每小题8分,共64分。
2012A1、设P 是函数xx y 2+=(0>x )的图像上任意一点,过点P 分别向直线x y =和y 轴作垂线,垂足分别为B A ,,则PB PA ⋅的值是◆答案:1-★解析:设0002(,),p x x x +则直线PA 的方程为0002((),y x x x x -+=--即0022.y x x x =-++由00000011(,).22y xA x x y x x x x x=⎧⎪⇒++⎨=-++⎪⎩又002(0,),B x x +所以00011(,(,0).PA PB x x x =-=-故001() 1.PA PB x x ⋅=⋅-=- 2012A 2、设ABC ∆的内角C B A ,,的对边分别为c b a ,,,且满足c A b B a 53cos cos =-,则BAtan tan 的取值为◆答案:4★解析:由题设及余弦定理得222223225c a b b c a a b c ca bc +-+-⋅-⋅=,即22235a b c -=,故222222222222228tan sin cos 2542tan sin cos 5a cb a cA AB c a b ac b c a B B A b c a c b bc+-⋅+-=====+-+-⋅2012A 3、设]1,0[,,∈z y x ,则||||||x z z y y x M -+-+-=的最大值为◆答案:12+★解析:不妨设01,x y z ≤≤≤≤则M =所以 1.M ≤=当且仅当1,0,1,2y x z y x z y -=-===时上式等号同时成立.故max 1.M =2012A 4、在平面直角坐标系xOy 中,抛物线x y 42=的焦点为F ,准线为l ,B A ,是抛物线上的两个动点,且满足3π=∠AFB ,设线段AB 的中点M 在准线l 上的投影为N ,则||||AB MN 的最大值为◆答案:1★解析:由抛物线的定义及梯形的中位线定理得.AF BFMN +=在AFB ∆中,由余弦定理得2222cos3AB AF BF AF BF π=+-⋅2()3AF BF AF BF =+-⋅22()3()AF BFAF BF +≥+-22().AF BFMN +==当且仅当AF BF =时等号成立.故MN AB的最大值为1.2012A 5、设同底的两个正三棱锥ABC P -和ABC Q -内接于同一个球.若正三棱锥ABC P -的侧面与底面所成角为045,则正三棱锥ABC Q -的侧面与底面所成角的正切值为◆答案:4★解析:如图.连结PQ ,则PQ ⊥平面ABC ,垂足H 为正ABC ∆的中心,且PQ 过球心O ,连结CH 并延长交AB 于点M ,则M 为AB 的中点,且CM AB ⊥,易知,PMH QMH ∠∠分别为正三棱锥,P ABC Q ABC --的侧面与底面所成二角的平面角,则45PMH ∠=,从而12PH MH AH ==,因为90,,PAQ AH PQ ∠=⊥所以2,AP PH QH =⋅即21.2AH AH QH =⋅所以24.QH AH MH ==,故tan 4QHQMH MH∠==2012A 6、设函数)(x f 是定义在R 上的奇函数,且当0≥x 时,2)(x x f =.若对任意的]2,[+∈a a x ,不等式)(2)(x f a x f ≥+恒成立,则实数a 的取值范围是◆答案:).+∞★解析:由题设知22(0)()(0)x x f x x x ⎧≥⎪=⎨-<⎪⎩,则2()).f x f =因此,原不等式等价于()).f x a f +≥因为()f x 在R 上是增函数,所以,x a +≥即1).a x ≥又[,2],x a a ∈+所以当2x a =+时,1)x -取得最大值1)(2).a -+因此,1)(2),a a ≥+解得a ≥故a 的取值范围是).+∞2012A 7、满足31sin 41<<n π的所有正整数n 的和为◆答案:33★解析:由正弦函数的凸性,有当(0,6x π∈时,3sin ,x x x π<<由此得131sin ,sin ,1313412124πππππ<<>⨯=131sin ,sin .10103993πππππ<<>⨯=所以11sinsin sin sin sin .134********πππππ<<<<<<故满足11sin 43n π<<的正整数n 的所有值分别为10,11,12,它们的和为33.2012A 8、某情报站有D C B A ,,,四种互不相同的密码,每周使用其中的一种密码,且每周都是从上周未使用的三种密码中等可能地随机选用一种。
全国高中数学联赛江苏赛区2012年初赛试题答案班级__________ 姓名__________一、填空题(本题共10小题,满分70分,每小题7分) 1.当[3,3]x ∈-时,函数3()|3|f x x x =-的最大值为________ 解:设3()3, [3,3]g x x x x =-∈-,2()333(1)(1)g x x x x '=-=-+;∵(1)2g -=,(1)2g =-,(3)18g =,(3)18g -=-,∴根据()g x 的单调性结合绝对值的性质知:3()3f x x x =-的最大值为18. (点评:用好特殊点,脱掉绝对值号.)2.在ABC ∆中,已知12AC BC ⋅= ,4AC BA ⋅=-,则AC =________ 解:16AC BC AC BA ⋅-⋅= ,16AC AC ⋅= ,所以4AC =.(点评:向量求模,必求其平方.)3.从集合{3,4,5,6,7,8}中随机选取3个不同的数,这3个数可以构成等差数列的概率为________ 解:考虑取出三数从小到大成数列:当1d =时,有3,4,5;4,5,6;5,6,7;6,7,8四组; 当2d =时,有3,5,7;4,6,8两组;所以,一共有6种情形;从6个元素中随机选取3个不同的元素共有:3620C =种情形;故概率为:632010P ==. (点评:有序分类,逐一列出,不会失解.)4.已知a 是实数,方程2(4)40x i x ai ++++=的一个实根是b (i 是虚部单位),则||a bi +的值为________解:由2(4)40b i b ai ++++=,即2(44)()0b b b a i ++++=;得2244020a b b b a b =⎧++=⎧⇒⎨⎨=-+=⎩⎩a bi ⇒+=. (点评:复数相等原理、向量线性表出、多项式恒等属同类型问题,注意对应项的系数相等.)5.在平面直角坐标系xOy 中,双曲线:C 221124x y -=的右焦点为F ,一条过原点O 且倾斜角为锐角的直线l 与双曲线C 交于A B 、两点;若FAB ∆的面积为________ 解:由题可设斜率为 (0)k k >,11(,)A x y ,22(,)B x y ,由对称知:1y 与2y 是互为相反数;DCBA将y kx =代入:C 223120x y --=; 得:22(13)12k x -=,221213x k =-,22221213k k x k =-;由1211442S y y y =⨯⨯-==2112y =;∴22121213k k =-,2213k k =-;∴214k =,而0k >,∴12k =. (点评:圆锥曲线问题总是有点运算的,要有耐心,还要注意用好几何性质.) 6.已知a 是正实数,lg a k a =的取值范围是________解:两边取对数得:2lg (lg )0k a =≥,∴1k ≥,即k 的取值范围是[1, )+∞. (点评:两边取对数,是个冷方法.)7.在四面体ABCD 中,5AB AC AD D B ====,3BC =,4CD =;该四面体的体积为________解:由平面几何知识知底面三角形为直角三角形,且A 点在底面上的射影为三角形的外心;∴由直角三角形知它是为BD中点,故113432V =⋅⋅⋅=. (点评:注意用好平面几何的性质.)8.已知等差数列{}n a 和等比数列{}n b 满足:113a b +=,227a b +=,3315a b +=,4435a b +=,则n n a b +=________解:设公差为d ,公比为q ,则11112113113 (1)7 (2)215 (3)335 (4)a b a d b q a d b q a d b q +=⎧⎪++=⎪⎨++=⎪⎪++=⎩; (4)减(3)得:321120d b q b q +-=; (3)减(2)得:2118d b q b q +-=; 上述两式相减:32111212 (5)b q b q b q -+=;(1)+(4)得:31112338a d b q b +++=,(2)+(3)得:21112322a d b q b q +++=; 两式相减得,32111116b q b b q b q +--=(6); 从而(5)(6),可得:314q q =+;∴3q =, 112, 2,1a d b ===; ∴12, 3n n n a n b -==,123n n n a b n -+=+.(点评:递推数列相加、相减是常规方法,相除则要细心观察.)9.将27,37,47,48,55,71,75这7个数排成一列,使任意连续4个数的和为3的倍数,则这样的排列有________种. 解:将7个数分成3类:(1)3k 的数为:27,48,75,有3个; (2)31k -的数为47,71,有2个; (3)31k +的数为37,55,有2个;要使排列的一列数中任意的四个数之和为3的倍数,则7个位置上第1位和第5位应排同一类数, 第2和第6位排同一类数,第3和第7位排同一类数,且第4位必排第(1)类共有3种排法,三类数排到三类位置共有33A 种,每一类位置各有22A 种排法,故共有233233144A A =()种排法. (点评:用特例进行分析,找到数与数之间的规律.)10.三角形的周长为31,三边, , a b c 均为整数,且a b c ≤≤,则满足条件的三元数组(,,)a b c 的个数为________解:∵31, a b c a b c Z +++=∈、、,∴11c ≥;又∵a b c +>,∴15c ≤;∴c 的所有可能取值为:11,12,13,14,15;当11c =时,(, )a b 的取值为(9,11)(10,10),有2组; 当12c =时,(, )a b 的取值为(7,12)(8,11)(9,10),有3组;当13c =时,(, )a b 的取值为(5,13)(6,12)(7,11)(8,10)(9,9),有5组; 当14c =时,(, )a b 的取值为(3,14)(4,13)(5,12)(6,11)(7,10)(8,9),有6组; 当15c =时,(, )a b 的取值为(1,15)(2,14)(3,13)┅(8,8)有8组 故满足要求的三元(, , )a b c 的个数为24. (点评:处理不定方程的常规方法是缩小范围.)二、解答题(本大题共4小题,每小题20分) 11.在ABC ∆中,角, , A B C 对应的边分别为, , a b c ,证明:(1)cos cos b C c B a +=;(2)22sin cos cos 2C A Ba bc +=+.证法一:(余弦定理法)(1)22222222cos cos 222a b c a c b a b C c B b c a ab ac a+-+-+=+==;(2)222222cos cos 22a c b b c a A B ac bc a b a b+-+-++=++ 22322322222()2ab ac a a b bc b ab a b c abc a b abc+-++---+==+而222222212sin1cos 2222a c b CC ab a b c ac c c c abc+-----+===,∴等式成立. 证法二:(正弦定理法)(1)在ABC ∆中,由正弦定理得:2sin , 2sin b R B c R C ==,∴cos cos 2sin cos 2sin cos 2sin()2sin b C c B R B C R C B R B C R A a +=+=+== (2)由(1)可知:cos cos b C c B a +=,同理有:cos cos a C c A b +=;∴cos cos cos cos b C c B a C c A a b +++=+; 即2(cos cos )()(1cos )()2sin 2C c B A a b C a b +=+-=+⋅; ∴22sin cos cos 2CA Ba bc +=+.(点评:三角恒等式的证明,通常是“由繁向简”,十分复杂的“作差得0”.) 12.已知, a b 为实数,2a >,函数()|ln | (0)af x x b x x=-+>;若(1)1f e =+,(2)ln 212e f =-+;(1)求实数, a b ;(2)求函数()f x 的单调区间;(3)若实数, c d 满足c d >,1cd =,求证:()()f c f d <. 解:(1)由题意可得:(1)1(2)ln 2ln 2122f a b e a ef b ⎧=+=+⎪⎨=-+=-+⎪⎩; ∵1a >,∴ln 2ln 222a a-=-,∴122a e b +=+,∴, 1a e b ==.(2)()ln 1af x x x=-+; 设()ln a g x x x =-(0)x >;21()0eg x x x'=+>,()g x 在(0,)+∞上递增; ∵()0g e =,∴0x e <<时,()0g x <;∴()ln 1ef x x x=-+,()f x 在(0, )e 上递减;当x e >,()0g x >,()ln 1ef x x x=-+在(,)e +∞上递增,即()f x 的减区间为(0, )e ,增区间为(,)e +∞.(3)1, 1d c c =>,()ln 1e f c c c=-+;11()()ln 1f d f ce c c ==-+ln 1ln 1ln 1c c c ce c c e e=++>++>++ln 1()cc f c e>-+=; ∴命题成立.(点评:注意同一道题中各小题关系,前面的可用作后面的结论.)13.如图,半径为1的圆O 上有一定点M 为圆O 上的动点.在射线OM 上有一动点B ,1AB =,1OB >,线段AB 交圆O 于另一点C ,D 为线段的OB 中点,求线段CD 长的取值范围.M BDOA证明:如图,设AO B θ∠=,∵OA OB =,∴O BA θ∠=,∴2BAO πθ∠=-,∵OA OC =,∴2OCA πθ∠=-,∴3BOC πθ∠=-, ∵D 为OB 的中点,∴cos cos OD OA θθ==;∴2222cos CD OC OD OCOD COD =+-∠21cos 2cos cos(3)θθπθ=+--21cos 2cos cos3θθθ=++231cos 2cos (4cos 3cos )θθθθ=++-4222578cos 5cos 18(cos )1632θθθ=-+=-+又3BOC AOB πθθ∠=-<∠=,2OCA OBA πθθ∠=->∠=; 得3πθθ-<,2πθθ-<;∴43ππθ<<,∴211cos (, )42θ∈,∴271[,)322CD ∈;∴CD ∈. (点评:用解三角形的知识处理平面几何题,是高中平面几何一大特色.)14.设是, , , a b c d 正整数,, a b 是方程2()0x d c x cd --+=的两个根;证明:存在边长是整数且面积为ab 的直角三角形. 证明:由题设可知,a b d cab cd+=-⎧⎨=⎩,由于,,,a b c d 是正整数,考虑, , a b a c b c +++三个数: 易知:()()2()a b a c a b c b c +++=++>+,()()2()a b b c b a c a c +++=++>+, ()()2()a c b c c a b a b +++=++>+,即, , a b a c b c +++中任两个数之和大于第三个数,且为正整数, 2222222222222()()22()22()22()c a b c a b c c a b a b c c d c a b cd a b ab a b +++=++++=+++-=++=++=+又111()()(())()222S a c b c ab c a b c ab cd ab =++=+++=+=;故存在边长为,a c b c a b +++,(均为正整数)的直角三角形(a b +为斜边)符合题设要求. (点评:探索性问题求解时要大胆地猜测,这也是创造性思维的特点.)。
PA ⋅ PB = 1 x - (x + 2) 0 0 x 02 2 PA ⋅ PB = PA PB cos 3π42 2 2 x x A D 0 0 x ⎝ 0 ⎭ 0一、填空题(每小题 8 分,共 64 分)2012 年全国高中数学联合竞赛第一试 1. 设 P 是函数 y = x + 2(x > 0) 图像上的任意一点,过 P 分别向直线 y = x 和 y 轴作垂线,垂足分别为xA 、B .则 PA ⋅ PB = . 答案:-1.解法 1 设 P ⎛ x , x + 2 ⎫,则l: y - ⎛ x + 2 ⎫ = -(x - x ) ,即 y = -x + 2x + 2 .⎝ 0 ⎭ PA 0 x ⎪ 0 0 x 上式与 y = x 联立解得点 A ⎛ x + 1 , x+ 1 ⎫ .又点 B ⎛ 0, x + 2 ⎫ ,则 PA = ⎛ 1 , - 1 ⎫ ,PB = (-x ,0) ,0 x 0 x ⎪ 0 x x x ⎪⎝ 0 0 ⎭ 故 (-x ) = -1 . ⎝ 0 ⎭ ⎝ 0 0 ⎭0 0⎛ 2 ⎫解法 2 如图 3,设 P x 0 , x 0 + ⎝⎪(x 0 > 0) .则点P 到直线 x - y = 0 和 y x 0 ⎭ PA = = , PB = x . 0因为 O 、A 、P 、B 四点共圆,所以, ∠APB = π - ∠AOB = 3π .4图 3 故= -1. 2. 设△ABC 的内角∠A 、∠B 、∠C 的对边分别为 a 、b 、c ,且满足a cos B - b cos A = 3 c .则 tan A= .5tan B答案:4.c 2 + a 2 - b 2b 2 +c 2 - a 2 3 2 23 2 解法 1由题设及余弦定理得a ⋅- b ⋅ = c ⇒ a - b = c .tan A = sin A ⋅ cos B = a ⋅ 2cac 2 + a 2 - b 22ca 2bc 5 5=c + a - b = 故 tan B sin B ⋅ cos A b 2 + c 2 - a 2 b ⋅2bcc 2 + b 2 - a 24 C 解法 2 如图 4,过点 C 作CD ⊥ AB ,垂足为 D .则a cos B = DB , b cos A = AD .由题设得 DB - AD = 3c .B5CD 图 4 又 DB + DA = c ,联立解得 AD = 1 c , DB = 4c .故tan A = AD = DB = 4 . 5 解法 3 由射影定理得a cos B + b cos A = c5 tan B CD ADDB 又 a cos B - b cos A = 3 c ,与上式联立解得a cos B = 4 c , b cos A = 1c5 5 5故 tan A = sin A ⋅ cos B = a cos B = 4 tan B sin B ⋅ cos A b c os AMNABAF BF⎛ 2π ⎫ AB π AF + BF AB AF + BFMN AB AF + BF AF + BF MN AB⎫ 2 3. 设 x 、y 、z ∈[0,1] .则 M =的最大值是 .答案: +1.解:不妨设0 ≤ x ≤ y ≤ z ≤ 1.则 M =⇒ M ≤ ( 2 + 2+1.当且仅当 x = 0 , y = , z = 1 时,上式等号同时成立.24. 抛物线 y 2 = 2 px ( p > 0) 的焦点为 F ,准线为 l ,A 、B 是抛物线上的两个动点,且满足∠AFB =π. 3设线段 AB 的中点 M 在 l 上的投影为 N .则的最大值是 .答案:1.解法 1 设∠ABF = θ ⎛0 < θ < 2π ⎫ .则由正弦定理得 = = . 3 ⎪ sin θ ⎝ ⎭ sin ⎝ 3- θ ⎪ ⎭ sin3 sin θ + sin ⎛ 2π - θ ⎫3 ⎪ ⎛ π ⎫ 故 = ,即= ⎝ ⎭ = 2 c os θ - ⎪. sin θ + sin ⎛ 2π - θ ⎫ sin π sin π ⎝ 3 ⎭ 3⎪ 3 3 ⎝ ⎭如图 5,由抛物线的定义及梯形的中位线定理得: MN =①2 则 = cos ⎛θ - π ⎫ .故当θ = π 时,取得最大值 13 ⎪ 3 ⎝ ⎭解法 2 同解法 1 得式①在△AFB 中,由余弦定理得AB 2= AF 2+ BF 2- 2 AF BF cos π3= ( AF + BF )2- 3 AF BF⎛ ⎫2≥ ( AF + BF )2 - 3 ⎪⎝ 2 ⎭⎛ 2= 2 ⎪= MN . ⎝ ⎭当且仅当 AF = BF 时,上式等号成立.故 的最大值为 1.2 MN AB⎣⎨ 5. 设同底的两个正三棱锥 P - ABC 和Q - ABC 内接于同一个球.若正三棱锥 P - ABC 的侧面与底面所成的角为45°,则正三棱锥Q - ABC 的侧面与底面所成角的正切值是 .答案:4.解:如图 6,联结 PQ .则 PQ ⊥平面 ABC ,垂足 H 为正△ABC 的中心,且 PQ 过球心 O .联结 CH 并延长与 AB 交于点 M .则 M 为边 AB 的中点,且CM ⊥ AB .易知,∠PMH 、∠QMH 分别为正三棱锥 P - ABC 、正三棱锥Q - ABC 的侧面与底面所成二面角的平面角.则∠PMH = 45°⇒ PH = MH = 1AH .2由∠PAQ = 90°, AH ⊥ PQ ⇒ AH 2 = PH ⋅ QH1 ⇒ AH 2= AH ⋅ QH2⇒ QH = 2 AH = 4MH .故 tan ∠QMH = QH= 4MH图 66. 设 f (x ) 是定义在 R 上的奇函数,且当 x ≥ 0 时, f (x ) = x 2 .若对任意的 x ∈[a , a + 2],不等式 f (x + a ) ≥ 2 f (x )恒成立,则实数 a 的取值范围是.⎧⎪x 2 , x ≥ 0;解:由题设知 f (x ) = 2⇒ 2 f (x ) = f ( 2x )⎪⎩-x , x < 0 故原不等式等价于 f (x + a ) ≥ f ( 2x ).由 f (x ) 在 R 上是增函数知x + a ≥ 2x ⇒ a ≥ ( 2 -1)x ⇒ a ≥ ( 2 -1)(a + 2) ⇒ a ≥ 2. 即 a 的取值范围为 ⎡ 2, +∞)7. 满足 1 < sin π < 1的所有正整数 n 的和是.4 n 3解:由正弦函数的凸性,知当 x ∈(0, π )6 时, 3x < sin x < x . π 故sin π < π < 1 , sin π > 3 ⨯ π = 1 , sin π < π < 1 , sin π3 π 1 .> ⨯ = 13 13 4 12 π 12 4 10 10 39 π 9 3因此,满足 1 < sin π < 1的正整数 n 的所有值分别为 10、11、12,其和为 33.4 n 3⎨8. 某情报站有 A 、B 、C 、D 四种互不相同的密码,每周使用其中的一种密码,且每周都是从上周未使用的三种密码中等可能地随机选用一种.设第一周使用 A 种密码.那么,第七周也使用 A 种密码的概率是 (用最简分数表示). 解:用 P k 表示第 k 周用 A 种密码本的概率.则第 k 周未用 A 种密码的概率为1 - P k .故P = 1(1 - P )(k ∈ N ) k +1 3 k +⇒ P - 1 = - 1 (P - 1)k +14 3 k 4 ⇒ P - 1 = 3 (- 1)k -1k⇒ P k⇒ P 7 4 4 3 = 3 (- 1)k -1 + 14 3 4= 61 . 243二、解答题(共 56 分)9. (16 分)已知函数 f (x ) = a s in x - 1 cos 2x + a - 3 + 1,其中,a ∈ ,且a ≠ 0 . 2 a 2(1)若对任意 x ∈ ,都有 F (x ) < 0 ,求 a 的取值范围.(2)若a ≥ 2 ,且存在 x ∈ ,使 f (x ) ≤ 0 ,求 a 的取值范围.解:(1) f (x ) = sin 2 x + a sin x + a - 3 . 令t = sin x (-1 ≤ t ≤ 1) .则 g (t ) = t 2 + at + a - 3a a⎧g (-1) = 1 - 3 ≤ 0, 由题设知⎪ a 3 ⎪g (1) = 1 + 2a - ≤ 0. ⎩⎪ a解得 a 的取值范围为(0,1].(2)因为a ≥ 2 ,所以, - a≤ -1 .2故 g (t ) min= g (-1) = 1 - 3 . a从而, f (x ) min= 1 - 3 . a 由题设知1 - 3≤ 0 .a解得0 < a ≤ 3 .故 a 的取值范围是[2,3].⎩10. (20 分)已知数列{a n } 的各项均为非零实数,且对于任意的正整数 n 都有(a + a + …+ a )2 = a 3 + a 3 + …+ a 3.12n12n(1)当n = 3时,求所有满足条件的三项组成的数列 a 1 , a 2 , a 3 .(2)是否存在满足条件的无穷数列{a n } ,使得a 2013 = -2012 ?若存在,求出这样的无穷数列的一个通项公式;若不存在,说明理由.解:(1)当n = 1时, a 2 = a 3 .由a ≠ 0 ,得a = 1.1111当 n = 2 时, (1+ a )2= 1+ a 3.由a ≠ 0 ,得a = 2 或-1 .2222当 n = 3时, (1+ a + a )2= 1+ a 3 + a 3.若a = 2 ,得a = 3 或-2 ;若a = -1,得a = 1 .23232323综上,满足条件的三项数列有三个:1,2,3 或 1,2, -2 或 1, -1 ,1. (2)令 S = a + a + …+ a .则 S 2 = a 3 + a 3 + …+ a 3 (n ∈ N ) . n1 2 n n 1 2 n +故(S + a)2= a 3 + a 3 + …+ a3.两式相减并结合a≠ 0 ,得2S = a 2- a .nn +112n +1n +1nn +1n +1当 n = 1时,由(1)知a 1 = 1; 当 n ≥ 2 时, 2a = 2(S - S ) = (a 2 - a)- (a2 - a ),nnn -1即(a n +1 + a n )(a n +1 - a n -1) =0 .所以, a n +1 = -a n 或a n + 1 .又 a 1 = 1, a 2013 = -2012 ,则n +1n +1nn⎧⎪n ,1 ≤ n ≤ 2012; a n = ⎨⎪(-1)n2012, n ≥ 2013. 11. (20 分)如图 1,在平面直角坐标系 xOy 中,菱形 ABCD 的边长为 4,且 OB = OD = 6 .(1)证明: OA OC 为定值;(2)当点 A 在半圆 M : (x - 2)2 + y 2 = 4(2 ≤ x ≤ 4) 上运动时,求点 C 的轨迹.解:(1)由 AB = AD = CB = CD , OB = OD ,知 O 、A 、C 图 7,联结 BD.则 BD 垂直平分线段 AC .设垂足为 K , OA OC= ( OK - AK )(OK + AK )故 = OK 2- AK 2= (OB 2- BK2)- ( A B 2- BK 2)= OB 2 - AB 2= 20(定值).(2)设C (x , y ) , A (2 + 2cos α, 2sin α ) ,其中, α = ∠xMA ⎛ - π ≤ α ≤ π ⎫.2 2 ⎪ ⎝ ⎭则∠xOC = α. 2又 OA 2 = (2 + 2cos α )2 + (2sin α )2 = 8(1 + cos α ) = 16cos 2 α , 2所以, OA = 4 cos α.2由(1)的结论得 OC cos α= 5 .2则 x = OC cos α= 5 .2故 y = OC sin α = 5 t an α∈[-5,5] .2 2因此,点 C 的轨迹是一条线段,其两个端点的坐标分别为(5,5) , (5, -5) .⎨ ++ 加试一、(40 分)如图 2,在锐角△ABC 中,AB > AC ,M 、N 是边 BC 上不同的两点,使得∠BAM = ∠CAN .设△ABC 和△AMN 的外心分别为O 1 、O 2 .证明: O 1 、O 2 、A 三点共线.图2证明:如图 8,联结 AO 1 、 AO 2 ,过点 A 作 AO 1 的垂线 AP 与 BC 的延长线交于点 P .则 AP 是 O 1 的切线.故∠B = ∠PAC .因为∠BAM = ∠CAN ,所以, ∠AMP = ∠B + ∠BAM = ∠PAC + ∠CAN = ∠PAN . 从而,AP 是△AMN 外接圆 O 2 的切线.故 AP ⊥ AO 2 . 因此, O 1 、O 2 、A 三点共线.二、(40 分)试证明:集合 A = {2, 22 ,…, 2n ,…}满足图 8(1)对每个a ∈ A 及b ∈ N + ,若b < 2a -1,则b (b +1) 一定不是 2a 的倍数;(2)对每个a ∈ A ( A 表示 A 在N + 中的补集),且a ≠ 1,必存在b ∈ N + ,b < 2a -1,使b (b +1) 是 2a 的倍数.解:(1)对任意a ∈ A ,设a = 2k (k ∈ N ) .则2a = 2k +1. 若 b 是任意一个小于2a -1的正整数,则b +1 ≤ 2a -1 .由于 b 与b +1中,一个为奇数,它不含质因子 2,另一个为偶数,它含质因子 2 的幂的次数最多为 k 、因此, b (b +1) 一定不是 2a 的倍数.(2)若a ∈ A ,且a ≠ 1,设a = 2k m ,其中, k ∈ N ,m 为大于 1 的奇数. 则 2a = 2k +1 m . 下面给出三种证明方法.方法 1 令b = mx , b +1 = 2k +1 y .消去 b 得2k +1 y - mx = 1.由(2k +1 , m )= 1,知方程必有整数解⎧⎪x = x + 2k +1t ,⎨ 0⎪⎩ y = y 0 + mt , 其中, t ∈ Z , (x 0 , y 0 ) 为方程的特解. 记最小的正整数解为(x ', y ') .则 x ' < 2k +1 .故b = mx ' < 2a -1,使得b (b +1) 是 2a 的倍数.方法 2 注意到, (2k +1 , m )= 1,由中国剩余定理,知同余方程组⎧⎪x ≡ 0(mod 2k +1 ), ⎪⎩x ≡ m -1(mod m )在区间(0, 2k +1 m ) 上有解 x = b ,即存在b < 2a -1,使得b (b +1) 是 2a的倍数. 方法 3 由(2, m ) = 1 ,总存在r (r ∈ N + , r ≤ m -1) ,使得2r ≡ 1(mod m )取t ∈ N ,使得tr > k +1 .则2tr≡ 1(mod m ) . 存在b = (2tr -1)- q (2k +1 m )> 0(q ∈ N ) , 使得0 < b < 2a -1.此时, m b ,2k +1 (b +1) .从而, b (b +1) 是 2a 的倍数.0 k⎛d ⎫3三、(50 分)设P,P1,…,Pn是平面上n +1 个点,其两两间的距离的最小值为d(d > 0) .证明:P P P P …P P>d n0 1 0 2 0 n(3)证法1 不妨设PP1≤PP2≤…≤PPn.先证明:对任意正整数 k 都有 P P >.0 k3显然, P P ≥d ≥ 对k = 1, 2 ,…,8 均成立,只有当k = 8 时,上式右边取等号.0 k3所以,只需证明:当k ≥ 9 时,有 P P >即可.0 k3以点P (i = 0,1,…k) 为圆心、d为半径画k +1 个圆,其两两相离或外切;以点 P 为圆心、 PP +di 2 0 0 k2为半径画圆,此圆覆盖上述k +1 个圆.则π⎛P Pd ⎫2+⎪2>(k +1)π ⎪ ⇒P0P k>d (1).由k ≥ 9 ,易知>.⎝ 2 ⎭⎝2 ⎭ 2 2 3所以, P P >对k = 9 ,10,…,n 也成立.0 k3综上,对任意的正整数 k 都有 P P >.0 k3⎛d ⎫n故PP1PP2…PPn> ⎪⎝⎭.证法 2 所设同证法1.以P (i = 0,1,…, k) 为圆心、d为半径画k +1 个圆,其两两相离或外切.i设Q 是2Pi上任意一点.PQ ≤PPi+PiQ由=P P +1d0 i2≤P P +1P P =3P P ,0 k 2 0 k 2 0 k知以P 为圆心、3PP 为半径的圆覆盖上述k +1 个圆.0 2 0 k⎛3 ⎫2 ⎛d ⎫2则π2PPk⎪ > (k + 1)π 2 ⎪ ,即 P0P k>k = 1, 2,…, n).⎝⎭⎝⎭四、(50 分)设S =1+1+…+1n 是正整数).证明:对满足0≤a<b≤1的任意实数a、b,数列{S-[S]}(n 2 n n n 中有无穷多项属于(a,b),([x]表示不超过实数x 的最大整数).证法1(1)对任意n ∈N+,S =1 +1+1+…+12n 2 3 2n=1 +1+ (1+1) +…+ (1+…+1)有 2 21 +1222n-1 +12n>1 +1+ (1+1) +…+ (1+…+12 22 222n 2n= 1 +1+1+…+1>1n.2 2 2 212iN0 令 N =⎡ 1 ⎤+ 1 , m = [S]+1.则1< N ,1< b - a ,S< m ≤ m + a . 0⎢⎣b - a ⎥⎦N 0b - a 0N 0又令 N 1 = 22(m +1) .则 S N = S2( m +1)> m +1 ≥ m + b .从而,存在n ∈ N + , N 0 < n < N 1 ,使得m + a < S n < m + b ⇒ S n - [S n ]∈(a ,b ) .否则,存在 N 0 < k ,使得 S k -1 ≤ m + a , S k ≥ m + b .于是 S - S ≥ b - a ,与 S - S = 1 < 1 < b - a 矛盾.k k -1 k k -1k N 0故一定存在n ∈ N + ,使得 S n - [S n ]∈(a ,b ) . (2)假设只有有限个正整数 n 1 , n 2 ,…, n k ,使得 S n - ⎡S n ⎤ ∈(a ,b )(1 ≤ j ≤ k ) .j ⎣ j ⎦令c = min {S n j - ⎡S n j⎤}则a < c < b .1≤ j ≤k⎣ ⎦ 故不存在n ∈ N + ,使得 S n - [S n ]∈(a ,c ) 与(1)的结论矛盾.所以,数列{S n - [S n ]}中有无穷多项属于(a ,b ) . 综上,原命题成立.证法 2 由证法 1,知当 n 充分大时, S n 可以大于任何一个正数.令 N = ⎡ 1 ⎤+ 1 .则 N > 1 .⎢⎣b - a ⎥⎦b - a当 k > N 时, S - S= 1 < 1 < b - a .0 k k -1k N 0同证法 1 可证,对于任何大于 S 0m + a < S n < m + b .的正整数 m ,总存在n > N 0 ,使得 S n - m ∈(a ,b ) ,即令m i = ⎡S N ⎤ + i (i = 1, 2,…).则m i > S N .⎣ 0 ⎦ 0故一定存在n i > N 0 ,使得m i + a < S n < m i + b .从而, a < S n - m i = S n - ⎡S n ⎤ < b .i i ⎣ i ⎦这样的 i 有无穷多个.所以,数列{S n - [S n ]}中有无穷多项属于(a ,b ) .N。
2012年全国高中数学联赛试题考试时间:2012年10月14日上午8:00-9:20一. 填空题:本大题共8小题,每小题8分,共64分。
把答案填在试卷相应题号的横上。
1. 设P 是函数y =x +2x (x >0)的图像上任意一点,过点P 分别向直线y =x 和y 轴作垂线,垂足分别为A ,B ,则PA �����⃗⋅PB �����⃗的值是______________。
2. 设△ABA 的内角A ,B ,A 的对边分别为a ,b ,c ,且满足a cos B −b cos A =35c ,则tan A tan B 的值是_________________。
3. 设x ,y ,z ∈[0,1],则M =�|x −y |+�|y −z |+�|z −x |的最大值是____________。
4. 抛物线y 2=2px (p >0)的焦点为F ,准线为l ,A ,B 是抛物线上的两个动点,且满足∠AFB =π3,设线段AB 的中点M 在l 上的投影为N ,则|MM ||AB |的最大值是___________。
5. 设同底的两个正三棱锥P −ABA 和Q −ABA 内接于同一个球。
若正三棱锥P −ABA 的侧面与底面所成的角为45°,则正三棱锥Q −ABA 的侧面与底面所成角的正切值是_____________。
6. 设f (x )是定义在R 上的奇函数,且当x ≥0时,f (x )=x 2。
若对任意的x ∈[a ,a +2],不等式f (x +a )≥2f (x )恒成立,则实数a 的取值范围是_______________。
7. 满足14<sin πn <13的所有正整数n 的和是________________。
8. 某情报站有A ,B ,A ,D 四种互不相同的密码,每周使用其中的一种密码,且每周都是从上周未使用的三种密码中等可能地随机选用一种。
设第1周使用A 种密码,那么第7周也使用A 种密码的概率是______________。
2012年全国高中数学联赛一试参考答案及详细评分标准一、填空题:本大题共8小题,每小题8分,共64分.把答案填在题中的横线上.1.设P 是函数2y x x=+(0x >)的图像上任意一点,过点P 分别向 直线y x =和y 轴作垂线,垂足分别为,A B ,则PA PB ⋅u u u r u u u r的值是 .2.设ABC ∆的内角,,A B C 的对边分别为,,a b c ,且满足3cos cos 5a Bb Ac -=, 则tan tan AB的值是 .3.设,,[0,1]x y z ∈,则M =是 .4.抛物线22(0)y px p =>的焦点为F ,准线为l,,A B 是抛物线上的 两个动点,且满足3AFB π∠=.设线段AB的中点M 在l上的投影为N , 则||||MN AB 的最大值是 . 5.设同底的两个正三棱锥P ABC -和Q ABC -内接于同一个球.若正三棱锥P ABC -的侧面与底面所成的角为45o,则正三棱锥Q ABC -的侧面与底面所成角的正切值是 .6.设()f x 是定义在R 上的奇函数,且当0x ≥时,()f x x 2=.若对任意的[,2]x a a ∈+,不等式()2()f x a f x +≥恒成立,则实数a 的取值范围是 . 7.满足11sin 43n π<<的所有正整数n 的和是 . 8.某情报站有,,,A B C D 四种互不相同的密码,每周使用其中的一种密码,且每周都是从上周未使用的三种密码中等可能地随机选用一种.设第1周使用A种密码,那么第7周也使用A种密码的概率是 .(用最简分数表示)二、解答题:本大题共3小题,共56分.解答应写出文字说明、推理过程或演算步骤. 9.(本小题满分16分)已知函数131()sin cos 2,,022f x a x x a a R a a =-+-+∈≠ (1)若对任意x R ∈,都有()0f x ≤,求a 的取值范围; (2)若2a ≥,且存在x R ∈,使得()0f x ≤,求a 的取值范围.10.(本小题满分20分)已知数列{}n a 的各项均为非零实数,且对于任意的正整数n ,都有23331212()n n a a a a a a +++=+++L L(1)当3n =时,求所有满足条件的三项组成的数列123,,a a a ;(2)是否存在满足条件的无穷数列{}n a ,使得20132012?a =-若存在, 求出这样的无穷数列的一个通项公式;若不存在,说明理由. 11.(本小题满分20分)如图,在平面直角坐标系XOY 中,菱形ABCD 的边长为4,且6OB OD ==.(1)求证:||||OA OC ⋅为定值;(2)当点A 在半圆22(2)4x y -+=(24x ≤≤)上运动时, 求点C 的轨迹.2012年全国高中数学联赛加试试题一、(本题满分40分)如图,在锐角ABC ∆中,,,AB AC M N >是BC 边上不同的两点,使得.BAM CAN ∠=∠设ABC ∆和AMN ∆的外心分别为12,O O ,求证:12,,O O A三点共线。
2012年全国高中数学联赛一试及加试试题参考答案2012年全国高中数学联赛一试及加试试题一、填空题:本大题共8小题,每小题8分,共64分.把答案填在题中的横线上.21.设P 是函数y x (x 0 )的图像上任意一点,过点P 分别向x直线y x 和y 轴作垂线,垂足分别为 A B ,则PA PB 的值是_____________. 32.设ABC 的内角A B C 的对边分别为a b c ,且满足a cos B b cos A c ,5 tan A则的值是_____________. tan B3.设x y z 01 ,则M x y y z z x 的最大值是_____________.4.抛物线y 2 px p 0 的焦点为F ,准线为l , A B 是抛物线上的2两个动点,且满足AFB .设线段AB 的中点M 在l 上的投影为N ,3 MN 则的最大值是_____________. AB 5.设同底的两个正三棱锥P ABC 和Q ABC 内接于同一个球.若正三棱锥P ABC 的侧面与底面所成的角为45 ,则正三棱锥Q ABC 的侧面与底面所成角的正切值是_____________.6.设f x 是定义在R 上的奇函数,且当x 0 时,f x x .若对任意的x a a 2 ,不等式f x a 2 f x 恒成立,则实数a 的取值范围是_____________. 1 17.满足sin 的所有正整数n 的和是_____________. 4 n 38.某情报站有A B C D 四种互不相同的密码,每周使用其中的一种密码,且每周都是从上周未使用的三种密码中等可能地随机选用一种.设第1周使用A种密码,那么第7周也使用 A 种密码的概率是_____________.(用最简分数表示)二、解答题:本大题共3小题,共56分.解答应写出文字说明、推理过程或演算步骤.1 3 19.(本小题满分16分)已知函数 f x a sin x cos 2 x a a R a 0 2 a 2(1)若对任意x R ,都有f x 0 ,求 a 的取值范围;(2)若 a 2 ,且存在x R ,使得f x 0 ,求a 的取值范围.10.(本小题满分20分)已知数列an 的各项均为非零实数,且对于任意的正整数n ,都有a1 a2 an 2 a13 a2 an 3 3(1)当n 3 时,求所有满足条件的三项组成的数列a1 a2 a3 (2)是否存在满足条件的无穷数列an ,使得a2013 2012 若存在,求出这样的无穷数列的一个通项公式;若不存在,说明理由.11.(本小题满分20分)如图5,在平面直角坐标系XOY 中,菱形ABCD 的边长为 4 ,OB OD 6 .且(1)求证:OA OC 为定值;(2)当点A在半圆x 2 y 4 (2 x 4 )上运动时,求2 2点C 的轨迹.2012 年全国高中数学联赛加试试题一、(本题满分40 分)如图,在锐角ABC 中,AB AC M N 是BC 边上不同的两点,使得BAM CAN . 设ABC 和AMN 的外心分别为O1 O2 ,求证:O1 O2 A 三点共线。
2012年高中数学竞赛试题2012年北京市高中数学初赛(高一) (2)2012年北京市高中数学复赛(高一) (4)2012年湖北省高中数学预赛(高一) (5)2012年湖北省高中数学预赛(高二) (6)2012年福建省高中数学预赛(高一) (7)2012年河南省高中数学预赛(高一) (9)2012年江苏高中数学竞赛(初赛) (11)2012年上海市高中数学竞赛(新知杯) (12)2012年四川省高中数学预赛 (13)2012年陕西省高中数学预赛 (15)2012年河北省高中数学预赛 (17)2012年甘肃省高中数学预赛 (19)2012年安徽省高中数学预赛 (20)2012年山东省高中数学预赛 (21)2012年浙江省高中数学预赛 (23)2012年北京市高中数学初赛(高一)一、 选择题(满分36分=6×6分)1. f (x )=�2+x ,x >05, x =02x , x <0,则f (−2)+f (0)+f (1)+f (3)的值为(A )8 (B )11 (C )1314(D )15122. 一个锐角的正弦和余弦恰是二次三项式ax 2+bx +c 的不同的两个根,则a ,b ,c 之间的关系是(A )b 2=a 2−4ac (B )b 2=a 2+4ac (C )b 2=a 2−2ac (D )b 2=a 2+2ac3. 定义域为R 的函数f (x )满足f (x +2)=3f (x ),当x ∈[0,2]时,f (x )=x 2−2x ,则f (x )在x ∈[−4,−2]上的最小值为(A )−19(B )−13(C )13(D )194. 定义在正整数集Z +上的函数f ,对于每一个n ∈Z +和无理数π=3.14159265358⋯满足f (x )=�k 2的末位数字,(的小数点后第n 位数字k ≠0时)3. 若函数的值域记为M ,则(A )1∉M (B )5∉M (C )6∉M (D )9∉M 5. 如图,在△ABC 中,∠A =30°,∠C =90°,以C 为圆心,CB 为半径作圆交AB 边于M ,交AC 边于N ,P 为CM 与BN 的交点.若AA =1,则S △CCC −S △BCC 等于(A )18(B )√38(C )14(D )√346. 定义在(−1,1)上的函数f (x )满足f (x )−f (y )=f (x−y1−xy ),且当x ∈(−1,0)时,f (x )>0.若P =f �14�+f �15�,Q =f �16�,R =f (0);则P ,Q ,R 的大小关系为(A )R >P >Q (B )R >Q >P (C )P >R >Q (D )Q >P >R 二、 填空题(满分64分=8×8分) 1. 求log 2sin π3+log 2tan π6+log 2cos π4的值.2. 已知f (x )是四次多项式,且满足f (i )=1i,i =1,2,3,4,5,求f (6)的值.3. 若[x ]表示不超过x 的最大整数,求满足方程[n lg2]+[n lg5]=2012的自然数n 的值.4. 如图,半径为1的两个等圆相交,在两圆的公共部分作一内接正方形ABCD .如果圆心距O 1O 等于1,试求正方形ABCD 的面积.5.求1272−7×2012+1×20122+⋯+52−5×2012+1×20122+7232−3×2012+1×20122+5212−1×2012+1×20122+322011220112−2011×2012+1×20122的值.以1为半径画弧,如图所示,交点为M,N,L,K,求阴影部分的面积.7.已知二次函数f(x)满足f(−10)=9,f(−6)=7,f(2)=−9,求f(100)的值.8.上底BC=2,下底AD=3的梯形ABCD的对角线相交于点O,彼此外切于点O的两个圆分别切直线AD于点A和点D,交BC分别于点K,L,求AA2+DD2的值.一、填空题(本题共5个小题,每小题8分,满分40分)1.函数y=x4−13x2+36(x−3)(x+2)的图像与平行于x轴的直线y=c恰有一个交点,则c能取到的所有值的乘积等于________.2.如图,锐角△ABC内接于半径为R的⊙O,H是△ABC的垂心,AO的延长线与BC交于点M,若OO⊥AO,BC=10,OA=6,则OM=___________.3.二次函数y=ax2+bx+c的图像与x轴有两个交点A和B,顶点为C,如果△ACB恰是直角三角形,那么判别式Δ的值是______.4.如图,半圆O的半径为1,AC⊥AB于A,BD⊥AB于B,且AC=2,BD=3,P是半圆上任意一点,则封闭图形ABDPC的面积的最大值为___________.5.和为111的两个自然数x和y,使得等式√x cccπy2x+�y cinπx2y=0成立,满足这个条件的一组自然数(x,y)是_____________.二、(本题满分15分)如图,在△ABC中,∠ACB=90°,AC=3,BC=4以B为中心,将△ABC 顺时针旋转,使点A落在CB延长线上的点A1处,此时点C落在点C1的位置.连接AA1,CC1相交于OCC1交AB于D,AA1交BC1于E,求四边形BDOE的面积.三、(本题满分15分)(1)如果整数a、b和c满足关系式a2+b2=2c2−2,求证:144|abc.(2)试写出不定方程a2+b2=2c2−2的一组正整数解,并对这组正整数解验证144|abc.四、(本题满分15分)在边长都是正整数的三角形中,周长是2009的三角形与周长是2012的三角形哪一种数量多?说明理由.五、(本题满分15分)在锐角△ABC中,O是外心,I是内心,连接AI,BI和CI的直线交△ABC的外接圆分别于点A1,B1和C1.求证:S△ABCS△A1B1C1=2r R.(其中R是外接圆的半径,r是内切圆的半径)一、填空题(本题满分64分,每小题8分.直接将答案写在横线上.)1.已知集合A={x|x≤a},B={x|x>b},a,b∈A,且A∩B∩A={1},则a+ b=___________.2.已知正项等比数列{a n}的公比q≠1,且a2,a4,a5成等差数列,则a1+a4+a7a3+a6+a9=_________.3.函数f(x)=�x+1x2+4x+7的值域为__________.4.已知3sin2α+2sin2β=1,3(sinα+cosα)2−2(sinβ+cosβ)2=1,则cos2(α+β)=_________.5.已知数列{a n}满足:a1为正整数,a n+1=�a n, a n为偶数3a n+1, a n为奇数如果a1+a2+a3=29,则a1=_________.6.在△ABC中,角A,B,C的对边长a,b,c满足a+c=2b,且C=2A,则sin A=___________.�����⃗=pAB�����⃗+qAC�����⃗,则p q的7.在△ABC中,AB=BC=2,AC=3.设O是△ABC的内心,若AO值为___________.8.设x1,x2,x3是方程x3−x+1=0的三个根,则x15+x25+x35的值为____________.二、解答题(本大题满分56分,第9题16分,第10题20分,第11题20分)9.已知正项数列{a n}满足�a n a n+1+a n a n+2=4�a n a n+1+a n+12+3�a n a n+1且a1=1,a2=8,求{a n}的通项公式.10.已知正实数a,b满足a2+b2=1,且a3+b3+1=m(a+b+1)3,求m的最小值.11.设f(x)=log a(x−2a)+log a(x−3a),其中a>0且a≠1.若在区间[a+3,a+4]上f(x)≤1恒成立,求a的取值范围.一、 填空题(本题满分64分,每小题8分.直接将答案写在横线上.) 1. 函数f (x )=�x+1x +4x+7的值域为__________.2. 已知3sin 2α+2sin 2β=1,3(sin α+cos α)2−2(sin β+cos β)2=1,则cos 2(α+β)=_________.3. 已知数列{a n }满足:a 1为正整数,a n+1=�a n2, a n 为偶数3a n +1, a n 为奇数如果a 1+a 2+a 3=29,则a 1=_________.4. 设集合S ={1,2,3,⋯,12},A ={a 1,a 2,a 3}是S 的子集,且满足a 1<a 2<a 3,a 3−a 2≤5那么满足条件的子集A 的个数为_______. 5. 过原点O 的直线l 与椭圆C :x 2a +y 2b =1(a >b >0)交于M ,A 两点,P 是椭圆C 上异于M ,A的任一点.若直线PM ,PA 的斜率之积为−13,则椭圆C 的离心率为____.6. 在△ABC 中,AB =BC =2,AC =3.设O 是△ABC 的内心,若AO�����⃗=pAB �����⃗+qAC �����⃗,则p q的值为___________.7. 在长方体ABCD −A 1B 1C 1D 1中,已知AC =1,B 1C =√2,AB 1=p ,则长方体的体积最大时,p 为_______.8. 设[x ]表示不超过x 的最大整数,则∑�2012+2k 2�=2012k=0_____.二、解答题(本大题满分56分,第9题16分,第10题20分,第11题20分) 9.已知正项数列{a n }满足�a n a n+1+a n a n+2=4�a n a n+1+a n+12+3�a n a n+1 且a 1=1,a 2=8,求{a n }的通项公式.10.已知正实数a ,b 满足a 2+b 2=1,且a 3+b 3+1=m (a +b +1)3,求m 的取值范围. 11.已知点E (m ,n )为抛物线y 2=2px (p >0)内一定点,过E 作斜率分别为k 1,k 2的两条直线交抛物线于A ,B ,C ,D ,且M ,A 分别是线段AB ,CD 的中点. (1)当n =0且k 1⋅k 2=−1时,求△EMA 的面积的最小值; (2)若k 1+k 2=λ(λ≠0,λ为常数),证明:直线MA 过定点.一.选择题(每小题6分,共36分)1.已知集合A={x|1≤x≤4},B={y|y=log2x,x∈A},则A⋂B=(A) [0,2] (B) [0,1] (C) [1,2] (D) [2,4]2.已知直线x=2,x=4与函数lcl4x的图像交于A、B两点,与函数y=ln x的图像交于C、D两点,则直线AB与CD(A) 相交,且交点在第一象限(B) 相交,且交点在第二象限(C) 相交,且交点在第四象限(D) 相交,且交点在坐标原点3.已知集合A,如果存在实数x0,使得对任意整数a,都存在x∈A,使得0<|x−x0|<a,则称x0为集合A的“聚点”.给出下列四个集合:①�n n+1�n∈Z,n≥0�②{x│x∈R,且x≠0}③�1n�n∈Z,n≠0�④Z. 其中以0为“聚点”的集合有(A) ②③ (B) ①② (C) ①③ (D) ②④4.已知四面体ABCD四个顶点的坐标分别为A(2,0,0)、B(0,2,0)、C(0,0,1)、D(0,0,0),则直线DC与平面ABC所成角的正弦值为(A) 13 (B) √33 (C) 23 (D) √635.已知x,y是两个不相等的正数,且满足条件x3−y3=x2−y2,则[9xy]的最大值为(符号[x]表示不超过x的最大整数)(A) 4 (B) 3 (C) 2 (D) 16.函数f(x)=√2x−6+√18−3x的最大值为(A) √2√√ (D)√二.填空题(每小题6分,共36分)7.已知过点A(3,−2)的直线l交x轴正半轴于点B,交直线l1:x−2y=0于点C,且|AB|=2|BC|,则直线l在y轴上的截距为__________.8.若关于x的不等式2x+3x−k⋅6x≥0在区间[1,2]上有解,则k的最大值为___________.9.在三棱锥D-ABC中,已知AB=BC=AD=√BD=AC=2,BC⊥AD,则三棱锥D-ABC外接球的表面积为______.10.三个半径都是2的圆,其圆心分别为A(1,1),B(3,6),C(7,12),直线l斜率为k,且过点(1,1).若⊙A、⊙B、⊙C位于直线l某一侧的部分的面积和等于位于直线l另一侧的部分的面积和.则k=__________.11.已知函数f(x)=�2x−1 x≤0f(x−1)x>0,则方程f(x)=x在区间(0,10)内所有实根的和为________.12.符号[x]表示不超过x的最大整数,符号{x}表示x的小数部分即{x}=x−[x].若实数x 满足[2x]+[4x]+[6x]+[8x]=2012,则{x}的最小值为_______.三.解答题(第13、14、15、16题每题16分,第17题14分,满分78分)13.已知f(x)=x2+2px−2在区间[−2,0]上的最小值为l(p).(1)求l(p)的表达式;(2)当l(p)=−3时,求f(x)在区间[−2,0]上的最大值.14.已知圆C:(x−2)2+(y−2)2=m,点A(4,6),B(c,t),(1)若3c−4t=−12,且直线AB被圆C截得的弦长为4,求m的值;(2)若s,t为正整数,且圆C上任意一点到点A的距离与到点B的距离之比为定值λ(λ>1),求m的值.15.对任意的正整数n,以及任意n个互不相同的正整数a1,a2,⋯,a n,若不等式(1a1)λ+(1a2)λ+⋯+(1a n)λ<2恒成立.求整数λ的最小值.O的割线,C、D为割线与圆O的交点.过C作直线交AB于点E、交AD于点F,且CE=EE.求证:CE∥PA17.在直角坐标平面xOy内有2012个点,记这2012个点组成的点集P中任何两点的连线与坐标轴既不平行也不重合.证明:在点集P中,存在E、G两点,使得以EG为对角线,且边与坐标轴平行或重合的矩形EFGH内(不包括边界)至少含有点集P中的402个点.2012年河南省高中数学预赛(高一)一. 填空题(共10小题,每小题6分,满分60分)1. 已知非空集合A ⊆{1,2,⋯,2012},且满足:当a ∈A 时,有2013−a ∈A ,则符合题意的集合A 共有_____.2. 已知P (a ,b )关于直线l 的对称点为P (b +1,a −1),则圆C :x 2+y 2−6x −2y =0关于直线l 对称的圆C 的标准方程为_________.3. 已知分段函数f (x )=�3−x ,x ≤0f (x −1),x >0,若f (x )=x +a 有且仅有三个实数解,则实数a 的取值范围是_________.4. 设a ,b 分别是方程log 513x +x −2012=0和513x +x −2012=0的根,则a +b =_______.5. 已知四面体A −BCD 中,AB =CD =2√BC =AD =√AC =BD =√,则该四面体的体积是_____.6. 定义A ∗B =�C (A )−C (B ),C (A )≥C (B )C (B )−C (A ),C (A )<C (B ),已知A ={1,2},B ={x ||x 2+ax +1|=0}其中C (A )表示集合A 中的元素的个数,若A ∗B =1,由a 的所有可能值构成的集合是S ,那么C (S )=________.7. 已知正三棱锥P −ABC 的侧棱长为√3+1,底面边长为√2,Q 是侧棱PA 的中点,一条折线从点A 出发,绕侧面一周到点Q ,则这条折线长度的最小值是_______.8. 已知函数y =f (x )的定义域是D ,如对于任意的x 1,x 2∈D ,当x 1<x 2时,都有f (x 1)≤f (x 2),则称f (x )函数在D 上为非减函数,设函数y =f (x )在[0,1]上为非减函数,满足条件:①f (0)=0;②f �x3�=12f (x )③f (1−x )=1−f (x ),则f �13�+f �12012�=_________. 9. (选做题)(必修3)在6个产品中有4个正品和2个次品,现每次取出一个作检查(检查完后不放回),直到2个次品都找到为止,则恰好经过4次检查将2个次品全部找到的概率是_______. (必修4)如图所示,在正方形ABCD 中,E 为AB 的中点,P 是以A 为圆心,AB 为半径的圆弧BD 上的任意一点,设向量AC�����⃗=λDE �����⃗+μAP �����⃗(λ,μ∈R ),则λ+μ的最小值是________. 10. 已知m ∈A ,且函数f (x )=2x −m √10−x −m +10存在整数零点,则符合题意的一切m 的取值构成的集合是____________.二. (本题满分20分)如图所示,AD 和AA 是⊙C 的两条切线,其中D ,A 为切点.在AA 的延长线上取一点M ,△AMD 的外接圆与⊙C 的另一交点为P ,MD 和⊙C 的另一交点为R ,延长PR 交MA 于T .过A 作AQ ⊥MD 于Q ,连接QP . 证明:(1)△MTR ∼△PTM (2)∠MPQ =2∠AMD .三.(本题满分20分)如图所示,已知单位正方体ABCD−EEEO的棱长AD和BC上分别有动点Q,P.若直线Array PQ和BD交于点A,直线EQ和平面BDE交于点M,BE的中点是S,设AQ=x(0≤x≤1),MA=y.(1)求证:D,M,S三点共线;(2)求y的最小值关于x的解析式.四.(本题满分20分)(必修3)函数f(x)=log2(4+√16−x2).(1)求函数的值域;(2)若在区间[−4,1]上随机取一个数a,求方程f2(x)+af(x)+1=0有实数根的概率.(必修4)已知对于任意的x∈�0,π2�,sin x<x恒成立,利用此结论证明:(1)存在唯一的实数对(c,d),其中c,d∈�0,π2�,使sin(cos c)= c,cos(sin d)=d成立;(2)在(1)的条件下证明:c<d.五.(本题满分20分)函数sgn(x)=�1, x>00, x=0−1,x<0,f(x)=x3+x−log2(√x2+1−x).(1)求证:函数f(x)是定义在R上的奇函数;(2)对于任意实数a,b(a+b≠0),求sgn�f(a)+f(b)a3+b3�的值.2012年江苏高中数学竞赛(初赛)一、填空题(本题满分70分,每小题7分)1.当x∈[−3,3]时,函数f(x)=|x3−3x|的最大值为______.2.在△ABC中,已知AC�����⃗⋅BC�����⃗=12,AC�����⃗⋅BA�����⃗=−4,则AC=_______.3.从集合{3,4,5,6,7,8}中随机选取3个不同的数,这3个数可以构成等差数列的概率是________.4.已知a为实数,方程x2+(4+i)x+4+ai=0的一个实数根是b(i是虚数单位),则|a+bi|的值为_______.5.在平面直角坐标系xOy中,双曲线C:x212−y24=1的右焦点为E,一条过原点O且倾斜角为锐角的直线l与双曲线C交于A,B两点.若△EAB的面积为8√3,则直线l的斜率为_______.6.设a为正实数,k=a lga,则k的取值范围是_______.7.在四面体ABCD中,AB=AC=AD=DB=5,BC=3,CD=4,该四面体的体积为_________.8.已知等差数列{a n}和等比数列{b n}满足:a1+b1=3,a2+b2=7,a3+b3=15,a4+ b4=35,,则a n+b n=______(n∈A∗)9.将27,37,47,48,55,71,75这7个数排成一列,使任意4个数的和为3的倍数,则这样的排法有__________种.10.三角形的周长为31,三边a,b,c均为整数,且a≤b≤c,则满足条件的三元数组的个数为___________.二、解答题(本题满分80分,每小题20分)11.在△ABC中,角A,B,C对应的边分别为a,b,c,证明:(1)b cos C+c cos B=a;(2)cos A+cos Ba+b=2sin2C2c.12.已知a,b为实数,a>2函数f(x)=�ln x−a x�+b(xe2−ln2+1.(1)求实数a,b;(2)求函数f(x)的单调区间;(3)若实数c,d满足c>d,cd=1,求证:f(c)<f(d).13.如图,半径为1的圆O上有一定点M,A为圆O上的动点.在射线OM上有一动点B,AB=1,OB>1.线段AB交圆O于另一点C,D为线段OB的中点.求线段CD长的取值范围.14.设a,b,c,d是正整数,a,b是方程x2−(d−c)x+cd=0的两个根.证明:存在边长是整数且面积为ab的直角三角形.2012年上海市高中数学竞赛(新知杯)【说明】解答本试卷不得使用计算器一、填空题(本题满分60分,前4小题每小题7分,后4小题每小题8分) 1.如图,正六边形A 1B 1C 1D 1E 1E 1的边长为1,它的6条对角线又围成一个正六边形A 2B 2C 2D 2E 2E 2,如此继续下去,则所有这些六边形的面积和是 . 2.已知正整数a 1,a 2,⋯,a 10满足:a ja i>32,1≤i <j ≤10,则a 10的最小可能值是 .3.若tan α+tan β+tan γ=176,cot α+cot β+cot γ=−45,cot αcot β+cot βcot γ+cot γcot α=−175,则tan (α+β+γ)= .4.已知关于x 的方程lg (kx )=2lg (x +1)仅有一个实数解,则实数k 的取值范围是 .5.如图,△AEE 是边长为x 的正方形ABCD 的内接三角形,已知∠AEE =90°,AE =a ,EE =b ,a >b ,则x = .6.方程2m ⋅3n −3n+1+2m =13的非负整数解(m ,n )= .7.一个口袋里有5个大小一样的小球,其中两个是红色的,两个是白色的,一个是黑色的,依次从中摸出5个小球,相邻两个小球的颜色均不相同的概率是 .(用数字作答) 8.数列{a n }定义如下:a 1=1,a 2=2,a n+2=2(n+1)n+2a n+1−nn+2a n,n=1,2,⋯.若a m >2+20112012,则正整数m 的最小值为 .二、解答题 9.(本题满分14分)如图,在平行四边形ABCD 中,AB =x ,BC =1,对角线AC 与BD 的夹角∠BOC =45°,记直线AB 与CD 的距离为ℎ(x ).求ℎ(x )的表达式,并写出x 的取值范围. 10.(本题满分14分)给定实数a >1,求函数f (x )=(a+sinx )(4+sinx )1+sinx的最小值.11.(本题满分16分)正实数x ,y ,z 满足9xyz +xy +yz +zx =4;求证:(1)xy +yz +zx ≥43;(2)x +y +z ≥2.12.(本题满分16分)给定整数n (≥3),记f (n )为集合{1,2,⋯,2n −1}的满足如下两个条件的子集A 的元素个数的最小值:①1∈A ,2n −1∈A ;②A 中的元素(除1外)均为A 中的另两个(可以相同)元素的和. (1)求f (3)的值;(2)求证:f (100)≤108.112012年四川省高中数学预赛一、单项选择题(本大题共6个小题,每小题5分,共30分) 1、设集合S ={x |x 2−5x −6<0},T ={x ||x +2|≤3},则S ∩T = A 、{x |−5≤x <−1} B 、{x |−5≤x <5} C 、{x│−1≤x ≤1} D 、{x |1≤x <5}2、正方体ABCD −A 1B 1C 1D 1中BC 1与截面BB 1D 1D 所成的角是A 、π6B 、π4C 、π3D 、π23、已知f (x )=x 2−2x +3,l (x )=kx −1,则“|k |≤2”是“f (x )≥l (x )在R 上恒成立”的 A 、充分但不必要条件 B 、必要但不充分条件 C 、充要条件 D 、既不充分也不必要条件4、设正三角形△1的面积为S 1,作△1的内切圆,再作内切圆的内接正三角形,设为△2,面积为S 2,如此下去作一系列的正三角形△3,△4,⋯,其面积相应为S 3,S 4,⋯,设S 1=1,T n =S 1+S 2+⋯+S n ,则lim n→+∞T n =A 、65B 、43C 、32D 、25、设抛物线y 2=4x 的焦点为F ,顶点为O ,M 是抛物线上的动点,则|MM ||MM |的最大值为A 、√33 B 、2√33 C 、43D 、√3 6、设倒圆锥形容器的轴截面为一个等边三角形,在此容器内注入水,并放入半径为r 的一个实心球,此时球与容器壁及水面恰好都相切,则取出球后水面高为( ) A 、rB 、2rC 、√12r 3D 、√15r 3二、填空题(本大题共6个小题,每小题5分,共30分) 7、如图,正方形ABCD 的边长为3,E 为DC 的中点,AE 与BD 相交于F ,则ED �����⃗⋅DE�����⃗的值是 . 8、(x 2+x −1x )6的展开式中的常数项是 .(用具体数字作答) 9、设等比数列{a n }的前n 项和为S n ,满足S n =(a n +1)24,则S 20的值为 .10、不超过2012的只有三个正因数的正整数个数为 .11、已知锐角A ,B 满足tan(A +B )=2tan A ,则tan B 的最大值是 .12、从1,2,3,4,5组成的数字不重复的五位数中,任取一个五位数abcde��������,满足条件“a <b >c <d >e ”的概率是 .三、解答题(本大题共4个小题,每小题20分,共80分)A13、设函数f(x)=sin x+√3cos x+1,(I)求函数f(x)在�0,π2�上的最大值与最小值;(II)若实数a,b,c使得af(x)+bf(x−c)=1对任意x∈R恒成立,求bcosc a的值.14、已知a,b,c∈R+,满足abc(a+b+c)=1,(I)求S=(a+c)(b+c)的最小值;(II)当S取最小值时,求c的最大值.15、直线y=kx+1与双曲线x2−y2=1的左支交于A、B两点,直线l经过点(−2,0)和AB 的中点,求直线l在y轴的截距b的取值范围.16、设函数f n(x)=x n(1−x)2在�12,1�上的最大值为a n(n=1,2,3,⋯).(I)求数列{a n}的通项公式;(II)求证:对任何正整数n(n≥2),都有a n≤1(n+2)2成立;(III)设数列{a n}的前n项和为S n,求证:对任意正整数n,都有S n<716成立.2012年陕西省高中数学预赛第一试一、填空题(每小题8分,共80分)1.已知集合M={1,3,5,7,9},若非空集合A满足:A中各元素都加4后构成M的一个子集,A中各元素都减4后也构成M的一个子集,则A=__________.2.已知两条直线l1:y=2,l2:y=4,设函数y=3x的图像与l1,l2分别交于点A,B,函数y=5x的图像与l1,l2分别交于点C,D,则直线AB与CD的交点坐标是_____.3.对于正整数n,若n=p∗q(p≥q,p、q∈A+),当p−q最小时,我们称p∗q为n的“最佳分解”,并规定f(n)=q p.例如,12的分解有12×1,6×2,4×3,其中4×3为12的最佳分解,则f(12)=34,关于f(n),有下列四个判断:①f(4)=0;②f(7)=17;③f(24)=38;④f(2012)=4503其中,所有正确判断的序号是________.�����⃗=a+b,AC�����⃗=a−b,若a= 4.已知△ABC为等腰直角三角形,∠A=90°,且AB(cosθ,sinθ)(θ∈R),则△ABC的面积等于______.5.在正四面体ABCD中,AO⊥平面BCD,垂足为O.设M是线段AO上一点,且满足6.如图,Rt△ABC的三个顶点都在给定的抛物线x2=2py(p>0)上,且斜边AB∥x轴,则斜边上的高|CD|=_____.7.某项游戏活动的奖励分成一、二、三等奖(参与游戏活动的都有奖),且相应获奖的概率是以a为首项、2为公比的等比数列,相应获得的奖金是以700元为首项、−140为公差的等差数列.则参与这项游戏活动获得奖金的期望是______元.8.设p,q是两个不同的质数,则p q−1+q p−1被p⋅q除的余数是________.9.定义在R上的函数f(x)满足f(1)=1,且对任意的x∈R,都有f′(x)<12.则不等式f(log2x)>log2x+12的解集为____.10.从公路旁的材料工地沿笔直公路向同一方向运送电线杆到500m以外的公路边埋栽,在500m处栽一根,然后每间隔50m在公路边栽一根.已知运输车辆一次最多只能运3根,要完成运载20根电线杆的任务,并返回材料工地,则运输车总的行程最小为_________m.第二试一.(本题满分20分)在△ABC 中,已知AB =2,AC =1,且cos 2A +2sin 2B+C 2=1.(1)求角A 的大小和边BC 的长;(2)若点P 在△ABC 内运动(含边界),且点P 到三边距离之和为d .设点P 到边BC ,CA 的距离分别为x ,y ,试用x ,y 表示d ,并求d 的取值范围. 二.(本题满分20分)在平面直角坐标系中,以点C (t ,2t )为圆心的圆经过坐标原点O ,且分别与x 轴、y 轴交于点A ,B(不同于原点O ).(1)求证:△AOB 的面积S 为定值;(2)设直线l :y =−2x +4与圆C 相交于不同的两点M ,A ,且|OM |=|OA |,求圆C 的标准方程.三.(本题满分20分) 如图,锐角△ABC 内接于圆O ,过圆心O 且垂直于半径OA 的直线分别交边AB ,AC 于点E ,E .设圆O 在B ,C 两点处的切线相交于点P ,求证:直线AP 平分线段EE . 四.(本题满分30分) 已知数列{a n }满足a 1=12,a n =2a n a n+1+3a n+1(n ∈A ∗)..(1)求数列{a n }的通项公式; (2)若数列{b n }满足b n =1+1a n (n ∈A ∗),且对任意正整数n (n ≥2),不等式∑1n+log3b kn k=1>m 24恒成立,求整数m 的最大值.五.(本题满分30分)对于任意的正整数n ,证明:13−2+132+22+133−23+⋯+13n +(−2)n<76.2012年河北省高中数学预赛一、选择题(本大题共有10小题,每题只有一个正确答案,将正确答案的序号填入题干后的括号里,多选、不选、错选均不得分,每题5分,共50分) 1. 已知θ∈�5π4,3π2�,则√1−sin2θ−√1+sin2θ可化简为( )A .2sin θ B. −2sin θ C. −2cos θ D. 2cos θ 2. 如果复数(a +2i )(1+i )的模为4,则实数a 的值为( )A. 2B. 2√±2 D. ±2√3. 设A ,B 为两个互不相同的集合,命题p :x ∈A ∩B , 命题q :x ∈A 或x ∈B ,则p 是q 的( ) A. 充分且必要条件 B. 充分非必要条件 C. 必要非充分条件 D. 非充分且非必要条件 4. 过椭圆x 22+y 2=1的右焦点E 2作倾斜角为45°弦AB ,则|AB |为( )A.2√63 B. 4√63 C. 4√23 D. 4√335. 函数f (x )=�1−5−xx ≥05x−1 x <0,则该函数为( ) A. 单调增加函数、奇函数 B. 单调递减函数、偶函数 C. 单调增加函数、偶函数 D. 单调递减函数、奇函数6. 设有一立体的三视图如下,则该立体体积为( )A. 4+5π2B. 4+3π2C. 4+π2D. 4+π7. 某程序框图如右图所示,现将输出(x ,y )值依次记为:(x 1,y 1),(x 2,y 2),⋯,(x n ,y n ),⋯若程序运行中输出的一个数组是 (x ,−10),则数组中的x =( ) A .64 B .32 C .16 D .88. 在平面区域{(x ,y )||x |≤1,|y |≤1}上恒有ax −2by ≤2,则动点P (a ,b )所形成平面区域的面积为( )A. 4B.8C. 16D. 329. 已知函数f (x )=sin �2x −π6�−m 在�0,π2�上有两个零点,则m的取值范围为( )A. �12,1� B �12,1� C. �12,1) D. �12,1]10.已知a∈[−1,1],则x2+(a−4)x+4−2a>0的解为()A. x>3或x<2B. x>2或x<1C. x>3或x<1D. 1<x<3二、填空题(本大题共有7小题,将正确答案填入题干后的横线上,每空7分,共49分)11. 函数f(x)=2cin x2−√3cccx的最小正周期为__________.12. 已知等差数列{a n}前15项的和S15=30,则a1+a8+a15=___________.13. 向量a⃗=(1,cinθ),b�⃗=�cccθ,√3�,θ∈R,则�a⃗−b�⃗�的取值范围为 .14. 直三棱柱ABC−A1B1C1,底面△ABC是正三角形,P,E分别为BB1,CC1上的动点(含端点),D为BC边上的中点,且PD⊥PE.则直线AP,PE的夹角为________.15.设x,y为实数,则max5x2+4y2=10x(x2+y2)=___________.16. 马路上有编号为1,2,3,…,2011的2011只路灯,为节约用电要求关闭其中的300只灯,但不能同时关闭相邻两只,也不能关闭两端的路灯,则满足条件的关灯方法共有__________种.(用组合数符号表示)17. 设x,y,z为整数,且x+y+z=3,x3+y3+z3=3,则x2+y2+z2=______.三、解答题(本大题共3 小题,每小题17 分,共计51 分)18. 设a≤2,求y=(x−2)|x|在[a,2]上的最大值和最小值.19. 给定两个数列{x n},{y n}满足x0=y0=1,x n=x n−12+x n−1(n≥1),y n=y n−121+2y n−1(n≥1).证明对于任意的自然数n,都存在自然数j n,使得y n=x j n.20. 已知椭圆x252+y242=1,过其左焦点E1作一条直线交椭圆于A,B两点,D(a,0)为E1右侧一点,连AD、BD分别交椭圆左准线于M,A.若以MA为直径的圆恰好过E1,求a的值.四、附加题(本大题共2 小题,每小题25 分,共计50 分)21.在锐角三角形ABC中,∠A=π3,设在其内部同时满足PA≤PB和PA≤PC的点P的全体形成的区域E的面积为三角形ABC面积的13.证明三角形ABC为等边三角形.22.设a,b,c∈R+,且√a+√b+√c=3.求证:a+b2+a+b+b+c2+b+c+c+a2+c+a≥32,并指明等号成立的条件.一. 填空题(本题满分56分,每小题7分) 1. 空间四点A ,B ,C ,D 两两间的距离均为1,点P 与点Q 分别在线段AB 与CD 上运动,则点P 与点Q 间的最小距离为______;2. 向量OA �����⃗=(1,0),OB �����⃗=(1,1),O 为坐标原点,动点P (x ,y )满足�0≤OP �����⃗⋅OA �����⃗≤10≤OP �����⃗⋅OB �����⃗≤2,则点Q (x +y ,y )构成的图形的面积为_________;3. 设有非空集合A ⊆{1,2,3,4,5,6,7},且当a ∈A 时,必有8−a ∈A ,这样的集合A 的个数是________;4. 设f (x )=�x −|x |, x <0f (x −1),x >0,其中[x ]表示不超过x 的最大整数,若f (x )=kx +k (k >0)有三个不同的实数根,则实数k 的取值范围是____________;5. 11位数的手机号码,前七位数字时1390931,若余下的4个数字只能是1、3、5且都至少出现1次,这样的手机号码有____________个;6. 若tan x 1⋅tan x 2⋅⋯⋅tan x n =1,则sin x 1⋅sin x 2⋅⋯⋅sin x 2012的最大值是_________; 7. 设函数f :R →R ,满足f (0)=1且对任意x ,y ∈R 都有f (xy +1)=f (x )f (y )−f (y )−x +2,则f (x )=__________;8. 实数x ,y ,z 满足x 2+y 2+z 2=1,则xy +yz 的最大值为____________.二. 解答题(本题满分64分,第9、10题每题14分,第11、12题每题18分) 9. 已知数列{a n }满足a n+1+a n −1a n+1−a n +1=n (n ∈A ∗),且a 2=6.(1)求数列{a n }的通项公式;(2)设b n =a nn+c (n ∈A ∗),c 为非零常数,若数列{b n }是等差数列,记c n =b n 2n,S n =c 1+c 2+⋯+c n ,求S n .10. M 是抛物线y 2=2px (p >0)的准线上任意点,过M 点作抛物线的切线,切点分别为A ,B (A 在x 轴上方).(1)证明:直线AB 过定点;(2)设AB 的中点为P ,求|MP |的最小值.11. 设a ,b ,c 为正实数,且a +b +c =1,求证:(a 2+b 2+c 2)(ab+c +ba+c+ca+b)≥12.12. 某校数学兴趣小组有m 位同学组成,学校专门安排n 为老师作为指导教师.在该小组的一次活动中,每两位同学之间相互为对方提出一个问题,每位同学又向每位指导教师各提出一个问题,并且每位指导教师也向全组提出一个问题,以上所有问题互不相同,这样共提出了51个问题.试求m ,n 的值.一、填空题(每题8分,共64分)1. 设函数f (x )=arcsin (cos (x )),则f (f (f (x )))的最小正周期为___________.2. 设实数x ,y 满足x 2−8x +y 2−6y +24=0,则x −2y 的最大值为__________.3. cosπ11−cos2π11+cos3π11−cos4π11+cos5π11=_________(用数字作答). 4. 设两点C ,D 在以线段AB 为直径的半圆弧上,线段AC 和线段BD 相交于点E ,AB =10,AC =8,BD =5√2则△ABE的面积为___________.5. 设两个椭圆x 2t +2t−2+y 2t +t+2=1和x 22t −3t−5+y 2t +t−7=1有公共的焦点,则t =_________. 6. 如图,设正四棱锥P -ABCD 的体积为1,E ,F ,G ,H 分别是线段AB ,CD ,PB ,PC 的中点,则多面体BEG -CFH 的体积为__________.7. 不超过2012且与210的最大公约数是1 的正整数共有__________个.8. 设随机变量X ~A (1,2),Y ~A (3,4).若P (X <0)=P (Y >a ),则a =___________. 二、解答题(第9-10题每题25分,第11-12题每题18分,共86分) 9. 已知△ABC 的周长为1,并且cin 2A +cin 2B =4cinAcinB . (1)证明:△ABC 是直角三角形;(2)求△ABC 面积的最大值. 10. 设无穷数列{a n }满足a 1=1,a n =a n−1+1a n−1(n ≥2).证明:(1)当n ≥2时,a n ≥√2n ;(2)不存在实数C 使得a n <√2n +c 对所有n 都成立. 11. 设n =2m ,m 是正整数。
()()()()()()()()222222222221.201220102011201320140, .:20122010201120132014201220121201212012220122 20122012120124 20122,20122404k k k k k +⨯⨯⨯=>==+⨯⨯⨯=+-⨯+⨯-⨯+=+-⨯-=-=-=若则解所以8142.()()2.sin sin cos 3 .66:sin sin cos 366 2sin coscos 36cos 32sin 36 f x x x x f x x x x x x x x x ππππππ⎛⎫⎛⎫=++--+ ⎪ ⎪⎝⎭⎝⎭⎛⎫⎛⎫=++--+ ⎪ ⎪⎝⎭⎝⎭=-+=-+⎛⎫=-+ ⎪⎝⎭函数的最小值为解() 1,2,,3sin sin 1.66x k k Z f x x x ππππ≥=-+∈⎛⎫⎛⎫=++- ⎪ ⎪⎝⎭⎝⎭当时等号成立即函数的最大值为()()()()()()()()()2222222222113.,,,2,, .2111:,222421 0,2421,220,24bx f x a b ab f x f k k x ax bx b x b bx b x f x f k x x a ax ax a x abx b x bx k ax a x ab b ab a b a a +⎛⎫=≠⋅== ⎪+⎝⎭+++++⎛⎫⋅=⋅== ⎪+++++⎝⎭+++∀≠=++++=--=+设是常数且若是常数则解若对于均有是常数则有即()()()22222,2,1111 ,.244242ab a b bx b x b b f x f k x a ax a x a ≠=+++⎛⎫⋅==== ⎪+++⎝⎭因为所以于是即()()21224.33, .:31,30, 3,120, 390,2492.4x x x p p t t t p f t t t p f p f p p +-==>--==--=-->⎧⎪⎨⎛⎫=--< ⎪⎪⎝⎭⎩-<<-若方程有两个不相等的正实数根则的取值范围为解令则设于是解得()()1112131415212223242531323334354142434445515253545512345123455.55,,,,,15,,,,,15,i i i i i j j j j j a a a a a a a a a a a a a a a a a a a a a a a a a a a a a a i a a a a a j ⨯≤≤≤≤如图是一个的数表其中成等差数列成等比数列每一列的24414311554442424144434544244244111554531155,4,2,10, .:6,4,16,22,2 4,2,1,22,211.a a a a a a a d a a d a a d a a d aq q aa a a a q qa a==-=⨯=-===+==+==+====±===⋅=±⨯=-公比都相等且则解于是从而于是可得所以()()()()()()()()()16.,ln 2, .21:ln 2,2,ln 2 1ln 2,1,0,1,0;1,,0; x x P y e Q y x PQ y e y x y x Q y x x x d f x xx f x xx f x x f x ======-=='=-=-''∈<∈+∞>若点在曲线上点在曲线上则的最小值为解注意到与的图像关于直线对称只需考虑点到直线的距离其中令则若则若则于()()())0,min 11ln 2,min 2min 1ln 2.x f x f PQ d ∈+∞==-==-是因此)7.441622,,, .:,16,,9,169,72,2,1,, a b a a a b b a b ⨯⨯=在一个的个小方格中填入个和个每个小方格至多填一个字母若相同的字母既不在同一行也不在同一列共有种排列方式解先填入第一个有种填法再填入第二个有种排法考虑到两个是相同的共有种排法现在填入第一个若第一个填入后两个分别与第一个同行或同列则第二))929,9,22,,888,32,23,,747,14255,,7255=3960.b b a b b b a b b ⨯=⨯=⨯=⨯个有种填法此时有种填法若第一个填入后有且仅有一个与第一个同行或同列则第二个有种填法此时有种填法若第一个填入后两个均与第一个不同行且不同列则第二个有种填法此时有种填法,这里共有种填法根据乘法原理共有种填法()()222228.,,80,112,156, .:,,,180,31112,313a b h h a h b a h b h b a a ab ππππππππππ+-=+-=+在一个直角梯形中上底长小于下底长若以它的下底为轴旋转所得旋转体的体积为以上底为轴旋转所得体积为以直角腰为轴旋转所得体积为则直角梯形周长为解设上底长为下底长为高为则有()2156,3,9,4, 16b h a b h π+====+解得从而非直角腰的长为于是直角梯形周长为二、解答题:本大题共3小题,共56分. 解答应写出文字说明、证明过程或演算步骤.()()()22221.161,0,,,,,,,::cos ,sin ,, ,, x y a b A B a bP A B AP OA OP k P a b OP a OA AP a OP OA AP OAP OPA θθ+=>>=>===<=∠<∠=本小题分已知椭圆点分别为椭圆的左右顶点是椭圆上异于的一点满足证明直线的斜率满足证明设点坐标为则又于是从而,,3,,2322 tan tan AOP OAP OAP OAP OPA OPA k OPA πππππθ∠∠<-∠-∠∠=>∠=<==∠>可知于是所以()()()()()22222222222222222222222.20,,,3,.,,, ,9 3,,4,224 a b c a b c S a ab b b bc c c ca a a b c b bc c b c ca a a S a b a ab b a b a b c a b p ab q p q S a b a ab ++==-+-+-+≥≥-+≤-+≤≤-++++⎛⎫⎛⎫+=≤=≤≤=≥ ⎪ ⎪⎝⎭⎝⎭≤-本小题分令是非负实数求的最大值解:不妨设则于是设且于是()()()()()()()[)()()()()9222220,393, 93,92,9 0,2,0;2,,0,4 max 212, 12,2,1,0.q b q p q q q f q q q f q q q q f q q f q f q f S a b c ⎡⎤∈⎣⎦+=-≤-'=-=-⎛⎤''∈>∈< ⎥⎝⎦=====令则若则若则从而于是的最大值为在及其轮换时取得()()()()()()()()()()()()()()()()()()()()()()222223.20:**,,*,.1,11|11|, 11|111,11,11,11|11,11,1,*,1|1,11,f N N x y N f x y f y x x y f f a b b a f f f f f f f f x y n n N f n f n f n f n f n →∈++==+++-⎡⎤⎣⎦+=+-===∈+++≤+≤本题满分分求所有函数使得对任意均有被整除解:令可得这里表示被整除即显见从而 只能是 令 可得 从而即()()()()()()()()()()222,*,1*,1|1,11,,,,*.n x n n N y n N f n f n f n f n f n n f n n f x x x N =∈=∈+++≥+≥==∈ 又令 可得 从而即 于是 经检验满足题意。
2012年全国高中数学联赛一试一、填空题:本大题共8小题,每小题8分,共64分.把答案填在题中的横线上. 1.设P 是函数2y x x=+(0x >)的图像上任意一点,过点P 分别向 直线y x =和y 轴作垂线,垂足分别为,A B ,则PA PB ⋅的值是 . 2.设ABC ∆的内角,,A B C 的对边分别为,,a b c ,且满足3cos cos 5a Bb Ac -=, 则tan tan AB的值是 .3.设,,[0,1]x y z ∈,则M =是 .4.抛物线22(0)y px p =>的焦点为F ,准线为l,,A B 是抛物线上的 两个动点,且满足3AFB π∠=.设线段AB的中点M 在l上的投影为N , 则||||MN AB 的最大值是 . 5.设同底的两个正三棱锥P ABC -和Q ABC -内接于同一个球.若正三棱锥P ABC -的侧面与底面所成的角为45,则正三棱锥Q ABC -的侧面与底面所成角的正切值是 .6.设()f x 是定义在R 上的奇函数,且当0x ≥时,()f x x 2=.若对任意的[,2]x a a ∈+,不等式()2()f x a f x +≥恒成立,则实数a 的取值范围是 . 7.满足11sin 43n π<<的所有正整数n 的和是 . 8.某情报站有,,,A B C D 四种互不相同的密码,每周使用其中的一种密码,且每周都是从上周未使用的三种密码中等可能地随机选用一种.设第1周使用A种密码,那么第7周也使用A种密码的概率是 .(用最简分数表示)二、解答题:本大题共3小题,共56分.解答应写出文字说明、推理过程或演算步骤. 9.(本小题满分16分)已知函数131()sin cos 2,,022f x a x x a a R a a =-+-+∈≠ (1)若对任意x R ∈,都有()0f x ≤,求a 的取值范围; (2)若2a ≥,且存在x R ∈,使得()0f x ≤,求a 的取值范围.10.(本小题满分20分)已知数列{}n a 的各项均为非零实数,且对于任意的正整数n ,都有23331212()n n a a a a a a +++=+++(1)当3n =时,求所有满足条件的三项组成的数列123,,a a a ;(2)是否存在满足条件的无穷数列{}n a ,使得20132012?a =-若存在, 求出这样的无穷数列的一个通项公式;若不存在,说明理由.11.(本小题满分20分)如图,在平面直角坐标系XOY 中,菱形ABCD 的边长为4,且6OB OD ==.(1)求证:||||OA OC ⋅为定值;(2)当点A 在半圆22(2)4x y -+=(24x ≤≤)上运动时, 求点C 的轨迹.2012年全国高中数学联赛加试试题一、(本题满分40分)如图,在锐角ABC ∆中,,,AB AC M N >是BC 边上不同的两点,使得.BAM CAN ∠=∠设ABC ∆和AMN ∆的外心分别为12,O O ,求证:12,,O O A三点共线。
2012年全国高中数学联赛江苏赛区试题解析一、填空题1. 当[3,3]x ∈-时,函数3()3f x x x =-的最大值为_______2. 在△ABC 中 ,已知12,4AC BC AC BA ⋅=⋅=-,则AC=_____3.从集合{3,4,5,6,7,8}中随机选取3个不同的数,这3个数可以构成等差数列的概率是_______4. 已知a R ∈,方程2(4)40x i x ai ++++=的一个实数根是b ,则a bi +的值为______5. 在平面直角坐标系 XOY 中,双曲线221124x y -=的右焦点为F,一条过原点O 且倾斜角为锐角的直线l 与双曲线C 交于A,B 两点。
若△FAB 的面识为l 的斜率为________6. 设为a 正实数, lg a k a =,则k 的取值范围是_________7. 在四面体ABCD 中,AB= AC=AD=DB=5,BC=3,CD =4,该四面体的体积为_____ 8.已知等差数列{}n a 和等比数列{}n b 满足: 113a b +=,227a b +=,3315a b +=,4435a b +=,则n n a b +=________9. 将27,37,47,48,55,71,75这 7个数排成一列,使任意连续4个数的和为3的倍数则这样的排法有____ 种。
10.三角形的周长为31,三边为,,a b c 均为整数且 a b c ≤≤,则满足条件的三元数组(,,)a b c 的个数为________二、解答题11.在∆ABC 中,角A,B,C 对应的边分别为a,b,c,证明:(1) cos cos b C c B a +=; ⑵22sin cos cos 2C A Ba bc+=+12.已知,a b 为实数, 2a >,函数()ln (0)af x x b x x=-+>,若(1)1f e =+ (2)ln 212ef =-+ (1)求实数,a b ; (2)求函数()f x 的单调区间; (3)若实数,,c d 满足,1c d cd >=,求证:()()f c f d <13. 如图,半径为1的圆O 上有一定点M, A 为圆O 上动点,在射线OM 上有一动点B,AB=1,OB>1. 线段AB 交圆O 于另一点C,D 为线段OB 的中点,求线段CD 长的取值范围M BDOA14. 设,,,a b c d 是正整数,,a b 是方程2()0x d c x cd --+=的两根,证明:存在边长是正整数且面积为ab 的直角三角形。
2012年全国高中数学联合竞赛(四川初赛)一、单项选择题(本大题共6个小题,每小题5分,共30分)1、设集合{}2|560S x x x =--<,{}|2|3T x x =+≤,则S T ⋂=( )A 、{|51}x x -≤<-B 、{|55}x x -≤<C 、{|11}x x -<≤D 、{|15}x x ≤< 2、正方体1111ABCD A BC D -中1BC 与截面11BB D D 所成的角是( ) A 、6π B 、4π C 、3π D 、2π3、已知2()23f x x x =-+,()1g x kx =-,则“||2k ≤”是“()()f x g x ≥在R 上恒成立”的( )A 、充分但不必要条件B 、必要但不充分条件C 、充要条件D 、既不充分也不必要条件 4、设正三角形1∆的面积为1S ,作1∆的内切圆,再作内切圆的内接正三角形,设为2∆,面积为2S ,如此下去作一系列的正三角形34,,∆∆ ,其面积相应为34,,S S ,设11S =,12n n T S S S =+++ ,则lim n n T →+∞=( )A 、65 B 、43 C 、32D 、2 5、设抛物线24y x =的焦点为F ,顶点为O ,M 是抛物线上的动点,则||||MO MF 的最大值为( )ABC 、43 D6、设倒圆锥形容器的轴截面为一个等边三角形,在此容器内注入水,并放入半径为r 的一个实心球,此时球与容器壁及水面恰好都相切,则取出球后水面高为( )A 、rB 、r 2C 、r 312D 、r 315二、填空题(本大题共6个小题,每小题5分,共30分)7、如图,正方形ABCD 的边长为3,E 为DC 的中点,AE 与BD 相交于F ,则FD DE ⋅的值是 .8、261()x x x+-的展开式中的常数项是 .(用具体数字作答)9、设等比数列{}n a 的前n 项和为n S ,满足2(1)4n n a S +=,则20S 的值为 .10、不超过2012的只有三个正因数的正整数个数为 .11、已知锐角,A B 满足tan()2tan A B A +=,则tan B 的最大值是 . 12、从1,2,3,4,5组成的数字不重复的五位数中,任取一个五位数abcde ,满足条件“a b c d e <><>”的概率是 .三、解答题(本大题共4个小题,每小题20分,共80分)13、设函数()sin 1f x x x =+, (I )求函数()f x 在[0,]2π上的最大值与最小值;(II )若实数c b a ,,使得1)()(=-+c x bf x af 对任意R x ∈恒成立,求acb cos 的值.14、已知,,a b c R +∈,满足()1abc a b c ++=,(I )求()()S a c b c =++的最小值; (II )当S 取最小值时,求c 的最大值.15、直线1y kx =+与双曲线221x y -=的左支交于A 、B 两点,直线l 经过点(2,0)-和AB 的中点,求直线l 在y 轴的截距b 的取值范围.16、设函数2()(1)n n f x x x =-在1[,1]2上的最大值为n a (1,2,3,n = ). (I )求数列{}n a 的通项公式;(II )求证:对任何正整数(2)n n ≥,都有21(2)n a n ≤+成立;(III )设数列{}n a 的前n 项和为n S ,求证:对任意正整数n ,都有716n S <成立.2012年全国高中数学联合竞赛(四川初赛)参考解答一、选择题(本大题共6个小题,每小题5分,共30分)1、C2、A3、A4、B5、B6、D 二、填空题(本大题共6个小题,每小题5分,共30分)7、32-8、5- 9、0 10、14 11、412、215 三、解答题(本大题共4个小题,每小题20分,共80分) 13、解:(I )由条件知()2sin()13f x x π=++, (5分)由02x π≤≤知,5336x πππ≤+≤,于是1sin()123x π≤+≤所以2x π=时,()f x 有最小值12122⨯+=;当6x π=时,()f x 有最大值2113⨯+=. (10分)(II )由条件可知2sin()2sin()133a xb xc a b ππ+++-++=对任意的x R ∈恒成立, ∴2sin()2sin()cos 2cos()sin (1)0333a xb xc b x c a b πππ+++⋅-+⋅++-= ∴2(cos )sin()2sin cos()(1)033a b c x b c x a b ππ+⋅+-⋅+++-=∴ cos 0sin 010a b c b c a b +=⎧⎪=⎨⎪+-=⎩, (15分)由sin 0b c =知0b =或sin 0c =。
2012年高中数学联赛天津预赛试卷一、选择题1.(12天津预赛)数列}{n a 的前n 项和n n S n 22-=,则=+173a a(A)36 (B)35 (C)34 (D)332.(12天津预赛)若1>x ,则x x x x ln ln ln )(ln -的值是(A)正数 (B)零 (C)负数 (D)以上皆有可能3.(12天津预赛)如果ABC ∆中,B A ,为锐角,且C B A sin sin sin 22=+,则对ABC ∆的形状描述最准确的是(A)直角三角形 (B)等腰三角形 (C)等腰直角三角形 (D)以上都不对4.(12天津预赛)设椭圆与x 轴交于B A ,两点,已知对于椭圆上不同于B A ,的任意一点P ,直线AP 与BP 的斜率之积均为21-,则椭圆的离心率为 (A)31(B)32(C)21 (D)21 5.(12天津预赛)在正四面体ABCD 中,M 、N 分别是BC 和DA 的中点,则直线AM 和BN 所成角的余弦值是 (A)31 (B)21 (C)32 (D)43 6.(12天津预赛)在半径为1的球面上有不共面的四个点A 、B 、C 、D ,且x CD AB ==,BC DA y ==,z BD CA ==,则222z y x ++等于(A)2 (B)4 (C)8 (D)16二、填空题7.(12天津预赛)函数],[,cos 1ππ-∈+=x x y 的图象与x 轴围成的区域的面积是 .8.(12天津预赛)已知ABCDEF 是边长为2的正六边形,一条抛物线经过A 、B 、C 、D 四点,则该抛物线的焦点到准线的距离是 .9.(12天津预赛)如果复数z 满足1||=z ,且bi a z +=2,其中a 、b 为实数,则b a +的最大值为 .10.(12天津预赛)函数|10||2||1|-++-+-=x x x y 的最小值是 . 11.(12天津预赛)极限=---∞→)]11()311)(211[(222lim n n . 12.(12天津预赛)如果对一切正实数x 、y 不等式y x a x y 9sin cos 42-≥-都成立,则实数a 的取值范围是 .三、解答题13.(12天津预赛)如果双曲线的两个焦点坐标分别为)0,2(1-F 和)0,2(2F ,双曲线的一条切线交x 轴于)0,21(Q ,且斜率为2.(1)求双曲线的方程;(2)设该切线与双曲线的的切点为P ,求证:PQ F PQ F 21∠=∠.14.(12天津预赛)电脑每秒钟以相同的概率输出一个数字1或2.将输出的前n 个数字之和被3整除的概率记为n P .证明:(1))1(211n n P P -=+;(2)312012>P .15.(12天津预赛)已知三次函数c bx ax x x f +++=234)((其中R c b a ∈,,)满足:当11≤≤-x 时,.1)(1≤≤-x f 求a 、b 、c 的所有可能取值.参考答案:1、C 。
2012年全国高中数学联赛试题
考试时间:2012年10月14日上午8:00-9:20
一. 填空题:本大题共8小题,每小题8分,共64分。
把答案填在试卷相应题号的横上。
1. 设P 是函数y =x +2x (x >0)的图像上任意一点,过点P 分别向直线y =x 和y 轴作垂线,垂
足分别为A ,B ,则PA �����⃗⋅PB �����⃗的值是______________。
2. 设△ABA 的内角A ,B ,A 的对边分别为a ,b ,c ,且满足a cos B −b cos A =35c ,则tan A tan B 的值是
_________________。
3. 设x ,y ,z ∈[0,1],则M =�|x −y |+�|y −z |+�|z −x |的最大值是____________。
4. 抛物线y 2=2px (p >0)的焦点为F ,准线为l ,A ,B 是抛物线上的两个动点,且满足
∠AFB =π3,设线段AB 的中点M 在l 上的投影为N ,则|MM ||AB |的最大值是___________。
5. 设同底的两个正三棱锥P −ABA 和Q −ABA 内接于同一个球。
若正三棱锥P −ABA 的侧面与底面所成的角为45°,则正三棱锥Q −ABA 的侧面与底面所成角的正切值是_____________。
6. 设f (x )是定义在R 上的奇函数,且当x ≥0时,f (x )=x 2。
若对任意的x ∈[a ,a +2],不等式f (x +a )≥2f (x )恒成立,则实数a 的取值范围是_______________。
7. 满足14<sin πn <13的所有正整数n 的和是________________。
8. 某情报站有A ,B ,A ,D 四种互不相同的密码,每周使用其中的一种密码,且每周都是从上周未使用的三种密码中等可能地随机选用一种。
设第1周使用A 种密码,那么第7周也使用A 种密码的概率是______________。
(用最简分数表示)。
二. 解答题:本大题共3小题,共56分。
解答应写出文字说明、推理过程或演算步骤。
9. (本小题满分16分)
已知函数f (x )=a sin x −12cos 2x +a −3a +12,a ∈R 且a ≠0。
(1)若对任意x ∈R ,都有f (x )≤0,求a 的取值范围;
(2)若a ≥2,且存在x ∈R ,使得f (x )≤0,求a 的取值范围。
10. (本小题满分20分)
已知数列{a n }的各项均为非零实数,且对于任意的正整数n ,都有 (a 1+a 2+⋯+a n )2=a 13+a 23+⋯+a n 3
(1)当n =3时,求所有满足条件的三项组成的数列a 1,a 2,a 3;
(2)是否存在满足条件的无穷数列{a n },使得a 2013=−2012
列的一个通项公式;若不存在,说明理由。
11. (本小题满分20分)
如图,在平面直角坐标系XXX 中,菱形ABAD 的边长为4,且
|XB |=|XD |=6。
(1)求证:|XA |⋅|XA |为定值; (2)当点A 在半圆M :(x −2)2+y 2=4(2≤x ≤4)上运动时,求点A 的轨迹。
2012年全国高中数学联赛加试试题
考试时间:2012年10月14日上午9:40-12:10
一、(本题满分40分)
如图,在锐角△ABA 中,AB >AA ,M ,N 是BA 边上两个不同的点,使得∠BAM =∠AAN 。
设△ABA 和△AMN 的
外心分别为X 1,X 2,求证:X 1,X 2,A 三点共线。
二、(本题满分40分)
试证明:集合A ={2,22,⋯,2n ,⋯}满足 (1)对每个a ∈A ,及b ∈N ∗,若b <2a −1,则b (b +1)一定不是2a 的倍数; (2)对每个a ∈(其中表示A 在N ∗中的补集),且a ≠1,必存在b ∈N ∗,b <2a −1,使b (b +1)是2a 的倍数。
三、(本题满分50分)
设P 0,P 1,P 2,⋯,P n 是平面上n +1个点,它们两两间的距离的最小值为d (d >0),求证:
|P 0P 1|⋅|P 0P 2|⋅⋯⋅|P 0P n |>(d 3)n �()四、(本题满分50分)
设S n =1+12+⋯+1n ,n 是正整数。
证明:对满足0≤a <b ≤1的任意实数a ,b ,数列
{S n −[S n ]}中有无穷多项属于(a ,b )。
这里,[x ]表示不超过实数x 的最大整数。
B。