高等数学下-复旦大学出版-习题十答案详解
- 格式:doc
- 大小:2.85 MB
- 文档页数:57
第十章曲线积分与曲面积分习题详解习题10—11 计算下列对弧长的曲线积分: (1)L I xds =⎰,其中L 是圆221x y +=中(0,1)A到B 之间的一段劣弧;解: L AB =的参数方程为:cos ,sin x y θθ==()42ππθ-≤≤,于是24cos I ππθ-=⎰24cos (1d ππθθ-==⎰.(2)(1)Lx y ds ++⎰ ,其中L 是顶点为(0,0),(1,0)O A 及(0,1)B 所成三角形的边界;解: L 是分段光滑的闭曲线,如图9-2所示,根据积分的可加性,则有(1)Lx y ds ++⎰(1)OAx y ds =++⎰(1)ABx y ds +++⎰ (1)BOx y ds +++⎰,由于OA :0y =,01x ≤≤,于是ds dx ==,故 103(1)(01)2x y ds x dx ++=++=⎰⎰OA, 而:AB 1y x =-,01x ≤≤,于是ds ==. 故10(1)[(1)ABx y ds x x ++=+-+=⎰⎰同理可知:BO 0x =(01y ≤≤),0ds =,则13(1)[01]2BOx y ds y dy ++=++=⎰⎰. xyoABC综上所述33(1)322Lx y ds -+=+=+⎰ . (3)⎰,其中L 为圆周22x y x +=;解 直接化为定积分.1L 的参数方程为11cos 22x θ=+,1sin 2y θ=(02θπ≤≤), 且12ds d θθ==.于是201cos222d πθθ=⋅=⎰⎰.(4)2 Lx yzds ⎰,其中L 为折线段ABCD ,这里(0,0,0)A ,(0,0,2),B (1,0,2),C(1,2,3)D ;解 如图所示, 2222 LABBCCDx yzds x yzds x yzds x yzds =++⎰⎰⎰⎰.线段AB 的参数方程为 0,0,2(01)x y z t t ===≤≤,则ds =2dt ==,故02200 12=⋅⋅⋅=⎰⎰dt t yzds x AB.线段BC 的参数方程为,0,2(01)x t y z t ===≤≤,则,ds dt ==故122 0020BCx yzds t dt =⋅⋅⋅=⎰⎰,线段CD 的参数方程为1,2,2x y t z t===+)10(≤≤t ,则ds ==,故1122012(2))CDx yzds t t t t dt =⋅⋅+=+=⎰⎰ 2 (2所以2222LA BB CC Dx y z d s x y z d sx y z d sd s =++⎰⎰⎰⎰2 求八分之一球面2221(0,0,0)x y z x y z ++=≥≥≥的边界曲线的重心,设曲线的密度1ρ=。
高等数学(上)第一章 函数与极限1. 设⎪⎩⎪⎨⎧≥<=3||,03|||,sin |)(ππϕx x x x , 求).2(446ϕπϕπϕπϕ、、、⎪⎭⎫ ⎝⎛-⎪⎭⎫ ⎝⎛⎪⎭⎫ ⎝⎛ 2. 设()x f 的定义域为[]1,0,问:⑴()2x f ; ⑵()x f sin ;⑶()()0>+a a x f ; ⑷()()a x f a x f -++ ()0>a 的定义域是什么(1)][;,-的定义域为所以知-11)(,111022x f x x ≤≤≤≤ 3. 设()⎪⎩⎪⎨⎧>-=<=111011x x x x f ,()xe x g =,求()[]x gf 和()[]x fg ,并做出这两个函数的图形。
4. 设数列{}nx 有界, 又,0lim =∞→nn y证明: .0lim =∞→nnn yx5. 根据函数的定义证明: ⑴ ()813lim 3=-→x x(2) 0sin lim =+∞→x x x6. 根据定义证明: 当0→x 时,函数x x y 21+=是无穷大.问x 应满足什么条件时,才能使?104>y 7. 求极限:⑴13lim223+-→x x x =0⑵ ()hx h x h 22lim-+→=x h h x h h 2)2(lim 0=+→⑶13lim 242+-+∞→x x x x x =0(4) ()2121lim nn n -+++∞→ =212)1(lim 2=-∞→n n n n (5)⎪⎭⎫ ⎝⎛---→311311lim x x x =1)1)(1(31lim 221-=++--++→x x x x x x(6) ()223222lim -+→x x x x =∞8. 计算下列极限: ⑴ xxx 1sinlim 20→=0⑵ x x x arctan lim ∞→=0arctan .1lim =∞→x xx 9. 计算下列极限:⑴ x x x ωsin lim 0→=ϖϖϖϖ=→.sin lim 0xx x ⑵ x x x 3tan lim 0→=33cos 1.3sin lim 0=→xx x x ⑶ xx xx sin 2cos 1lim 0-→=2sin .sin 2lim 20=→xx xx(4)xx x 321⎪⎭⎫ ⎝⎛-∞→lim =6620)21(lim ---→=⎥⎦⎤⎢⎣⎡-e x xx(5)()xx x 121+→lim =22.210)21(lim e x xx =+→(6)xx x x ⎪⎭⎫ ⎝⎛--∞→13lim =21)2.(21)121(lim -+--∞→=-+e xxx10. 利用极限存在准则证明:⑴ 11211lim 222=⎪⎭⎫⎝⎛++++++∞→πππn n nn n n故原式=1⑵ 数列 ,222,22,2+++的极限存在,并求其极限. 11. 当0→x 时, 22x x -与32x x -相比, 哪一个是较高阶的无穷小12. 当1→x 时, 无穷小x -1和()2121x -是否同阶是否等价 13. 证明: 当0→x 时, 有2~1sec 2x x -.14. 利用等价无穷小的代换定理, 求极限: xxx x 3sin sin tan lim -→. 15. 讨论()201212x x f x x x ⎧≤<=⎨-≤≤⎩ 的连续性, 并画出其图形.16. 指出下列函数的间断点属于哪一类.若是可去间断点,则补充或改变函数的定义使其连续. ⑴2,123122==+--=x x x x x y⑵ 11311=⎩⎨⎧>-≤-=x x xx x y1x y ==017. 讨论函数()xx x x f nnn 2211lim +-=∞→的连续性, 若有间断点, 判别其类型。
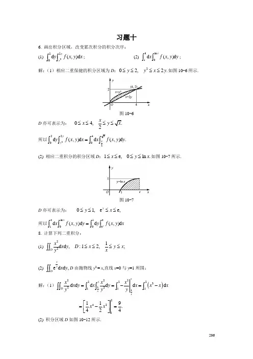
高等数学下_复旦大学出版_习题十答案详解习题十21. 根据二重积分性质,比较与的大小,其中:ln()dxy,,[ln()]dxy,,,,,,DD(1)D表示以(0,1),(1,0),(1,1)为顶点的三角形;(2)D表示矩形区域. {(,)|35,02}xyxy,,,,解:(1)区域D如图10-1所示,由于区域D夹在直线x+y=1与x+y=2之间,显然有图10-112,,,xy从而 0ln()1,,,xy2故有 ln()[ln()]xyxy,,,2所以 ln()d[ln()]dxyxy,,,,,,,,,DD(2)区域D如图10-2所示.显然,当时,有. (,)xyD,xy,,3图10-2 从而 ln(x+y)>12故有 ln()[ln()]xyxy,,,2所以 ln()d[ln()]dxyxy,,,,,,,,,DD2. 根据二重积分性质,估计下列积分的值: (1); IxyDxyxy,,,,,,,4d,{(,)|02,02},,,D22(2); IxyDxyxy,,,,,,sinsind,{(,)|0,π,0π},,D 2222(3). IxyDxyxy,,,,,,(49)d,{(,)|4},,,D 解:(1)因为当(,)xyD,时,有, 02,,y 02,,x206因而 . 04,,xy从而 2422,,,xy故 2d4d22d,,,,,,xy,,,,,,DDD即 2d4d22d,,,,,,xy,,,,,,DDD而 (为区域D的面积),由=4 σσd,,,,,D得 . 84d82,,,xy,,,D22(2) 因为,从而 0sin1,0sin1,,,,xy22 0sinsin1,,xy22故 0dsinsind1d,,,,,xy,,,,,,DDD22即 0sinsindd,,,xy,,,,,,,DD2而 ,,π222所以 0sinsind,,xy,π,,D22(3)因为当时,所以 (,)xyD,04,,,xy2222 9494()925,,,,,,,xyxy22故 9d(49)d25d,,,,,,,xy,,,,,,DDD22即 9(49)d25,,,,,,,xy,,D2而 ,,,,π24π22所以 36π,,,,(49)d100xy,π,,D3. 根据二重积分的几何意义,确定下列积分的值:22222(1) ()d,{(,)|};axyDxyxya,,,,,,,,D222222(2) axyDxyxya,,,,,d,{(,)|}.,,,D22解:(1)在几何上表示以D为底,以z轴为轴,以(0,0,a)为顶点的圆锥的体积,所以()d,axy,,,,,D2071223 axya,,,,()dπ,,D3222(2)在几何上表示以原点(0,0,0)为圆心,以a为半径的上半球的体积,故axy,,d,,,D22223 axya,,,,dπ.,,D312224. 设f(x,y)为连续函数,求.fxyDxyxxyyr,,,,,,lim(,)d,{(,)|()()}00,,2Dr,0rπ解:因为f(x,y)为连续函数,由二重积分的中值定理得,使得,,(,),,,D2 fxyfrf(,)d(,),,,,,,,,,,π(,),,D又由于D是以(x)为圆心,r为半径的圆盘,所以当时,,y(,)(,),,,,xyr,00000112fxyrff,,,,,,,,lim(,)dlimπ(,)lim(,)22,,Drrr,,,000rrππ于是: ,,ffxylim(,)(,),,00,,,xy(,)(,)005. 画出积分区域,把化为累次积分: fxy(,)d,,,D(1); Dxyxyyxy,,,,,,{(,)|1,1,0}2(2) Dxyyxxy,,,,{(,)|2,}2(3) Dxyyyxx,,,,{(,)|,2,2}x解:(1)区域D如图10-3所示,D亦可表示为. yxyy,,,,,,11,0111,y所以 fxyyfxyx(,)dd(,)d,,,,,,Dy01,22(2) 区域D如图10-4所示,直线y=x-2与抛物线x=y的交点为(1,-1),(4,2),区域D可表示为 . yxyy,,,,,,2,12图10-3 图10-422y,所以 fxyyfxyx(,)dd(,)d,,2,,,,Dy,122(3)区域D如图10-5所示,直线y=2x与曲线的交点(1,2),与x=2的交点为(2,4),曲线与x=2的交点为(2,1),区域Dy,y,xx2082可表示为 ,,,,yxx2,12.x图10-522x所以. fxyxfxyy(,)dd(,)d,,2,,,,D1x6. 画出积分区域,改变累次积分的积分次序:22yelnx(1); (2) ; d(,)dyfxyxd(,)dxfxyy2,,,,0y10πsinx132,y(3) ; (4) ; d(,)dxfxyyd(,)dyfxyxx,,,,,0sin0y21233yy,(5) . d(,)dd(,)dyfxyyyfxyx,,,,,00102解:(1)相应二重保健的积分区域为D:如图10-6所示. 02,2.,,,,yyxy图10-6xD亦可表示为: 04,.,,,,xyx2224yx所以d(,)dd(,)d.yfxyxxfxyy, x2,,,,00y2(2) 相应二重积分的积分区域D:1e,0ln.,,,,xyx如图10-7所示.图10-7209yD亦可表示为: 01,ee,,,,,yxeln1ex所以 d(,)dd(,)dxfxyyyfxyx,y,,,,100e(3) 相应二重积分的积分区域D为:如图10-8所示. 01,32,,,,,,yyxy图10-8 D亦可看成D与D的和,其中 122D: 01,0,,,,,xyx11D: 13,0(3).,,,,,xyx2212,,yxx13213(3)2所以. d(,)dd(,)dd(,)dyfxyxxfxyyxfxyy,,,,,,,,y00010 x(4) 相应二重积分的积分区域D为:如图10-9所示. 0,,,,,xyxπ,sinsin.2图10-9 D亦可看成由D与D两部分之和,其中 12D: ,,,,,,10,2arcsinyyxπ;1D: 01,arcsin,,,,,yyxyπarcsin.2πsin0xyπ1π,arcsin所以d(,)dd(,)dd(,)dxfxyyyfxyxyfxyx,,x,,,,,,0sin12arcsin0arcsin,,,yy2(5) 相应二重积分的积分区域D由D与D两部分组成,其中 12D:01,02,,,,,yxy D:13,03.,,,,,yxy 12如图10-10所示.210图10-10xD亦可表示为: 02,3;,,,,,xyx2123323yyx,,所以 d,dd(,)dd(,)dyfxyxyfxyxxfxyy,,,,x,,,,,,0010027. 求下列立体体积:2222(1)旋转抛物面z=x+y,平面z=0与柱面x+y=ax所围;222(2)旋转抛物面z=x+y,柱面y=x及平面y=1和z=0所围.解:(1)由二重积分的几何意义知,所围立体的体积2222V=其中D: {(,)|}xyxyax,,()ddxyxy,,,D22由被积函数及积分区域的对称性知,V=2, ()ddxyxy,,,D1其中D为D在第一象限的部分.利用极坐标计算上述二重积分得 1acos,πππacos,11334444222. Vrrraa,,,,,,,,2dd2dcosdπ,,,,000042320(2) 由二重积分的几何意义知,所围立体的体积22 Vxyxy,,()dd,,,D2其中积分区域D为xOy面上由曲线y=x及直线y=1所围成的区域,如图10-11所示.图10-112D可表示为: ,,,,,11,1.xxy112222所以 Vxyxyxxyy,,,,()ddd()d2,,,,Dx,111111188,,23246 xyyxxxxx,,,,,,,d()d.,,,,,,112333105,,x8. 计算下列二重积分:2112x1(1) dd,:12,;xyDxyx,,,,,,2Dyxxy2(2) D由抛物线y=x,直线x=0与y=1所围; edd,xy,,D22(3) D是以O(0,0),A(1,-1),B(1,1)为顶点的三角形; xyxy,dd,,,D . (4) cos()dd,{(,)|0xyxyDxyxxy,,,,,,π,π},,Dx222222xxxx3解:(1) ddddddxyxyxxxx,,,,,,,1,,,,,,22111Dyyy1xx2119,,42 ,,,xx.,,424,,1(2) 积分区域D如图10-12所示.图10-122D可表示为: 01,0.,,,,yxyxxx2211yyxyyy所示 edddedded()xyyxyy,,,,,,,,0000Dy2yx1111yyy ,,,,,yyyyyyyyed(e1)dedd,,,,000001111111yyy2 ,,,,,,yyyyyydedeed.,,,0000220(3) 积分区域D如图10-13所示.212图10-13 D可表示为: 01,.,,,,,xxyxx211x,,xyy222222所以ddddarcsindxyxyxxyyxyx,,,,,,,,,,,,,,00Dx22x,,,x11ππ1π23 ,,,,xxxd.,022360ππππ(4)cos()dddcos()d[sin()]dxyxyxxyyxyx,,,,,x,,,,,Dx00ππ,,,,,,[sin(πxxxxxx)sin2]d(sinsin2)d ,,00π11,,,,.coscos2xx,,,2,,209. 计算下列二次积分:1ysinx(1)dd;yx,,0yx yy1yy1xx2(2)dedded.yxyx,111,,,,y224sinx解:(1)因为求不出来,故应改变积分次序。
1. 指出下列各点所在的坐标轴、坐标面或卦限: A (2,1,-6),B (0,2,0),C (-3,0,5),D (1,-1,-7).解:A 在V 卦限,B 在y 轴上,C 在xOz 平面上,D 在VIII 卦限。
2. 已知点M (-1,2,3),求点M 关于坐标原点、各坐标轴及各坐标面的对称点的坐标. 解:设所求对称点的坐标为(x ,y ,z ),则(1) 由x -1=0,y +2=0,z +3=0,得到点M 关于坐标原点的对称点的坐标为:(1,-2,-3). (2) 由x =-1,y +2=0,z +3=0,得到点M 关于x 轴的对称点的坐标为:(-1,-2,-3).同理可得:点M 关于y 轴的对称点的坐标为:(1, 2,-3);关于z 轴的对称点的坐标为:(1,-2,3).(3)由x =-1,y =2,z +3=0,得到点M 关于xOy 面的对称点的坐标为:(-1, 2,-3).同理,M 关于yOz 面的对称点的坐标为:(1, 2,3);M 关于zOx 面的对称点的坐标为:(-1,-2,3).3. 在z 轴上求与两点A (-4,1,7)和B (3,5,-2)等距离的点. 解: 设所求的点为M (0,0,z ),依题意有|MA |2=|MB |2,即(-40)2(10)2(7z)2(30)2(50)2(-2z)2解之得z =11,故所求的点为M (0,0,149). 4. 证明以M 1(4,3,1),M 2(7,1,2),M 3(5,2,3)三点为顶点的三角形是一个等腰三角形. 解:由两点距离公式可得21214M M =,2213236,6M M M M ==所以以M 1(4,3,1),M 2(7,1,2),M 3(5,2,3)三点为顶点的三角形是一个等腰三角形. 5. 设平面在坐标轴上的截距分别为a =2,b =-3,c =5,求这个平面的方程.解:所求平面方程为1235y x z++=-。
高等数学课后习题及参考答案(第十章)习题 10-11. 设在xOy 面内有一分布着质量的曲线弧L , 在点(x , y )处它的线密度为μ(x , y ), 用对弧长的曲线积分分别表达:(1)这曲线弧对x 轴、对y 轴的转动惯量I x , I y ; (2)这曲线弧的重心坐标x , y .解 在曲线弧L 上任取一长度很短的小弧段ds (它的长度也记做ds ), 设(x , y )为小弧段ds 上任一点.曲线L 对于x 轴和y 轴的转动惯量元素分别为 dI x =y 2μ(x , y )ds , dI y =x 2μ(x , y )ds . 曲线L 对于x 轴和y 轴的转动惯量分别为 ⎰=Lx ds y x y I ),(2μ, ⎰=Ly ds y x x I ),(2μ.曲线L 对于x 轴和y 轴的静矩元素分别为 dM x =y μ(x , y )ds , dM y =x μ(x , y )ds . 曲线L 的重心坐标为⎰⎰==L L y dsy x ds y x x M M x ),(),(μμ, ⎰⎰==LL x ds y x dsy x y M M y ),(),(μμ. 2. 利用对弧长的曲线积分的定义证明: 如果曲线弧L 分为两段光滑曲线L 1和L 2, 则⎰⎰⎰+=12),(),(),(LL L ds y x f ds y x f ds y x f .证明 划分L , 使得L 1和L 2的连接点永远作为一个分点, 则∑∑∑+===∆+∆=∆111111),(),(),(n n i i i i ni n i i i i i i i s f s f s f ηξηξηξ.令λ=max{∆s i }→0, 上式两边同时取极限∑∑∑+=→=→=→∆+∆=∆nn i i i i n i i i i ni i i i s f s f s f 111011),(lim),(lim ),(lim ηξηξηξλλλ,即得⎰⎰⎰+=12),(),(),(LL L ds y x f ds y x f ds y x f .3. 计算下列对弧长的曲线积分:(1)⎰+Ln ds y x )(22, 其中L 为圆周x =a cos t , y =a sin t (0≤t ≤2π);解⎰+L nds y x)(22⎰+-+=π20222222)cos ()sin ()sin cos (dt t a t a t a t a n=⎰+-+π20222222)cos ()sin ()sin cos (dt t a t a t a t a n ⎰++==ππ2012122n n a dt a .(2)⎰+Lds y x )(, 其中L 为连接(1, 0)及(0, 1)两点的直线段;解 L 的方程为y =1-x (0≤x ≤1);⎰⎰'-+-+=+102])1[(1)1()(dx x x x ds y x L22)1(1=-+=⎰dx x x .(3)xdx L⎰, 其中L 为由直线y =x 及抛物线y =x 2所围成的区域的整个边界; 解 L 1: y =x 2(0≤x ≤1), L 2: y =x (0≤x ≤1) .xdx L ⎰xdx xdx LL ⎰⎰+=21⎰⎰'++'+=102122)(1])[(1dx x x dx x x⎰⎰++=10102241xdx dx x x )12655(121-+=.(4)ds ey x L22+⎰, 其中L 为圆周x 2+y 2=a 2, 直线y =x 及x 轴在第一象限内所围成的扇形的整个边界; 解 L =L 1+L 2+L 3, 其中 L 1: x =x , y =0(0≤x ≤a ),L 2: x =a cos t , y =a sin t )40(π≤≤t ,L 3: x =x , y =x )220(a x ≤≤,因而ds eds eds eds ey x L y x L y x L y x L22322222122++++⎰⎰⎰⎰++=,⎰⎰⎰+++-++=axa ax dx e dt t a t a e dx e 220222402202211)cos ()sin (01π2)42(-+=a e a π.(5)⎰Γ++ds z y x 2221, 其中Γ为曲线x =e t cos t , y =e t sin t , z =e t 上相应于t 从0变到2的这段弧;解 dt dtdz dt dydt dx ds 222)()()(++=dt e t e t e t e t e t t t t t 222)cos sin ()sin cos (+++-=dt e t 3=,⎰⎰++=++Γ20222222223sin cos 11dt e et e t e ds z y x t t t t ⎰----=-==2220)1(23]23[23e e dt e t t .(6)⎰Γyzds x 2, 其中Γ为折线ABCD , 这里A 、B 、C 、D 依次为点(0, 0, 0)、 (0, 0, 2)、(1, 0, 2)、(1, 3, 2); 解 Γ=AB +BC +CD , 其中 AB : x =0, y =0, z =t (0≤t ≤1), BC : x =t , y =0, z =2(0≤t ≤3), CD : x =1, y =t , z =2(0≤t ≤3), 故yzds x yzds x yzds x yzds x CD BC AB 2222⎰⎰⎰⎰++=Γ9010200322231=++++=⎰⎰⎰dt t dt dt .(7)⎰Lds y 2, 其中L 为摆线的一拱x =a (t -sin t ), y =a (1-cos t )(0≤t ≤2π);解⎰⎰'+'--=L dt t a t t a t a ds y π2022222])(cos [])sin ([)cos 1(⎰--=π2023cos 1)cos 1(2dt t t a 315256a =.(8)⎰+Lds y x )(22, 其中L 为曲线x =a (cos t +t sin t ), y =a (sin t -t cos t )(0≤t ≤2π).解 dt dtdydt dx ds 22)()(+=atdt dt t at t at =+=22)sin ()cos (atdt t t t a t t t a ds y x L ])cos (sin )sin (cos [)(22202222-++=+⎰⎰π⎰+=+=πππ2023223)21(2)1(a tdt t a .4. 求半径为a , 中心角为2ϕ的均匀圆弧(线密度μ=1)的重心. 解 建立坐标系如图10-4所示, 由对称性可知0=y , 又 ⎰==L x xds a M M x ϕ21⎰-⋅=ϕϕθθϕad a a cos 21ϕϕsin a =, 所以圆弧的重心为)0 ,sin (ϕϕa5. 设螺旋形弹簧一圈的方程为x =a cos t , y =a sin t , z =kt , 其中0≤1≤2π, 它的线密度ρ(x , y , z )=x 2+y 2+z 2, 求:(1)它关于z 轴的转动惯量I z ; (2)它的重心. 解 dt t z t y t x ds )()()(222'+'+'=dt k a 22+=. (1)⎰+=Lz ds z y x y x I ),,()(22ρds z y x y x L))((22222+++=⎰dt k a t k a a ⎰++=π20222222)()43(32222222k a k a a ππ++=. (2)⎰⎰++==LLds z y x ds z y x M )(),,(222ρ⎰++=π2022222)(dt k a t k a)43(3222222k a k a ππ++=, ds z y x x M x L)(1222⎰++=⎰++=π2022222)(cos 1dt k a t k a t a M2222436k a ak ππ+=, ds z y x y M y L)(1222⎰++=⎰++=π2022222)(sin 1dt k a t k a t a M2222436k a ak ππ+-=, ds z y x z M z L)(1222⎰++=⎰++=π2022222)(1dt k a t k a kt M22222243)2(3k a k a k πππ++=,故重心坐标为)43)2(3 ,436 ,436(22222222222222k a k a k k a ak k a ak πππππππ+++-+.习题 10-21. 设L 为xOy 面内直线x =a 上的一段, 证明:⎰=L dx y x P 0),(.证明 设L 是直线x =a 上由(a , b 1)到(a , b 2)的一段, 则L : x =a , y =t , t 从b 1变到b 2. 于是00) ,())( ,(),(2121⎰⎰⎰=⋅==b b b b L dt t a P dt dtda t a P dx y x P . 2. 设L 为xOy 面内x 轴上从点(a , 0)到(b , 0)的一段直线, 证明⎰⎰=Lbadx x P dx y x P )0 ,(),(.证明L : x =x , y =0, t 从a 变到b , 所以⎰⎰⎰='=baL b adx x P dx x x P dx y x P )0 ,())(0 ,(),(.3. 计算下列对坐标的曲线积分:(1)⎰-Ldx y x )(22, 其中L 是抛物线y =x 2上从点(0, 0)到点(2, 4)的一段弧;解 L : y =x 2, x 从0变到2, 所以⎰⎰-=-=-L dx x x dx y x2042221556)()(.(2)⎰Lxydx , 其中L 为圆周(x -a )2+y 2=a 2(a >0)及x 轴所围成的在第 一象限内的区域的整个边界(按逆时针方向绕行); 解 L =L 1+L 2, 其中L 1: x =a +a cos t , y =a sin t , t 从0变到π, L 2: x =x , y =0, x 从0变到2a , 因此⎰⎰⎰+=21L L L xydx xydx xydx⎰⎰+'++=adx dt t a a t a t a 200)cos (sin )cos 1(π3020232)sin sin sin (a t td tdt a πππ-=+-=⎰⎰.(3)⎰+Lxdy ydx , 其中L 为圆周x =R cos t , y =R sin t 上对应t 从0到2π的一段弧;解 ⎰⎰+-=+L dt t tR R t R t R xdy ydx ]cos cos )sin (sin [20π⎰==20202cos πtdt R .(4)⎰+--+L y x dy y x dx y x 22)()(, 其中L 为圆周x 2+y 2=a 2(按逆时针方向绕行);解 圆周的参数方程为: x =a cos t , y =a sin t , t 从0变到2π, 所以⎰+--+L yx dyy x dx y x 22)()( ⎰---+=π202)]cos )(sin cos ()sin )(sin cos [(1dt t a t a t a t a t a t a a ⎰-=-=ππ202221dt a a .(5)ydz zdy dx x -+⎰Γ2, 其中Γ为曲线x =k θ, y =a cos θ, z =a sin θ上对应θ从0到π的一段弧; 解⎰⎰--+=-+Γπθθθθθθ022]cos cos )sin (sin )[(d a a a a k k ydz zdy dx x233220331)(a k d a k ππθθπ-=-=⎰.(6)dz y x ydy xdx )1(-+++⎰Γ, 其中Γ是从点(1, 1, 1)到点(2, 3, 4)的一段直线;解 Γ的参数方程为x =1+t , y =1+2t , z =1+3t , t 从0变到1.⎰Γ-+++dz y x ydy xdx )1(⎰-+++++++=1)]1211(3)21(2)1[(dt t t t t⎰=+=1013)146(dt t .(7)⎰Γ+-ydz dy dx , 其中Γ为有向闭折线ABCA , 这里的A , B , C依次为点(1, 0, 0), (0, 1, 0), (0, 0, 1); 解 Γ=AB +BC +CA , 其中AB : x =x , y =1-x , z =0, x 从1变到0, BC : x =0, y =1-z , z =z , z 从0变到1, CA : x =x , y =0, z =1-x , x 从0变到1, 故ydz dy dx ydz dy dx ydz dy dx ydz dy dx CA BC AB +-++-++-=+-⎰⎰⎰⎰Γ⎰⎰⎰+-+'--+'--=101010)]1()1([])1(1[dx dt z z dx x 21=.(8)dy xy y dx xy x L)2()2(22-+-⎰, 其中L 是抛物线y =x 2上从(-1, 1)到(1, 1)的一段弧.解 L : x =x , y =x 2, x 从-1变到1, 故⎰-+-L dy xy y dx xy x )2()2(22⎰--+-=113432]2)2()2[(dx x x x x x 1514)4(21042-=-=⎰dx x x 4. 计算⎰-++Ldy x y dx y x )()(, 其中L 是:(1)抛物线y =x 2上从点(1, 1)到点(4, 2)的一段弧; 解 L : x =y 2, y =y , y 从1变到2, 故⎰-++L dy x y dx y x )()(⎰=⋅-+⋅+=2122334]1)(2)[(dy y y y y y . (2)从点(1, 1)到点(4, 2)的直线段; 解 L : x =3y -2, y =y , y 从1变到2, 故⎰-++L dy x y dx y x )()(11]1)23()23[(21=⋅+-+⋅+-=⎰dy y y y y y(3)先沿直线从点(1, 1)到(1, 2), 然后再沿直线到点(4, 2)的折线; 解 L =L 1+L 2, 其中L 1: x =1, y =y , y 从1变到2, L 2: x =x , y =2, x 从1变到4, 故⎰-++L dy x y dx y x )()(dy x y dx y x dy x y dx y x L L )()()()(21-+++-++=⎰⎰14)2()1(4121=++-=⎰⎰dx x dy y .(4)沿曲线x =2t 2+t +1, y =t 2+1上从点(1, 1)到(4, 2)的一段弧. 解 L : x =2t 2+t +1, y =t 2+1, t 从0变到1, 故⎰-++L dy x y dx y x )()(332]2)()14)(23[(1022=⋅--++++=⎰dt t t t t t t .5. 一力场由沿横轴正方向的常力F 所构成, 试求当一质量为m 的质点沿圆周x 2+y 2=R 2按逆时针方向移过位于第一象限的那一段时 场力所作的功.解 已知场力为F =(|F |, 0), 曲线L 的参数方程为 x =R cos θ, y =R sin θ,θ从0变到2π, 于是场力所作的功为R F d R F dx F d W LL||)sin (||||20-=-⋅==⋅=⎰⎰⎰πθθr F .6. 设z 轴与力方向一致, 求质量为m 的质点从位置(x 1, y 1, z 1) 沿直线移到(x 2, y 2, z 2)时重力作的功.解 已知F =(0, 0, mg ). 设Γ为从(x 1, y 1, z 1)到(x 2, y 2, z 2)的直线, 则重力所作的功为⎰⎰⎰ΓΓ-==++=⋅=21)(0012z z z z mg dz mg mgdz dy dx d W r F .7. 把对坐标的曲线积分⎰+Ldy y x Q dx y x P ),(),(化成对弧长的曲线积分, 其中L 为:(1)在xOy 面内沿直线从点(0, 0)到(1, 1); 解 L 的方向余弦214cos cos cos ===πβα,故⎰+L dy y x Q dx y x P ),(),(ds y x Q y x P L]cos ),(cos ),([βα+=⎰⎰+=L ds y x Q y x P 2),(),(.(2)沿抛物线y =x 2从点(0, 0)到(1, 1);解 曲线L 上点(x , y )处的切向量为τ=(1, 2x ), 单位切向量为 )412,411()cos ,(cos 22x x x ++==τβαe ,故⎰+L dy y x Q dx y x P ),(),(ds y x Q y x P L ]cos ),(cos ),([βα+=⎰⎰++=L ds xy x xQ y x P 241),(2),(. (3)沿上半圆周x 2+y 2=2x 从点(0, 0)到(1, 1). 解 L 的方程为22x x y -=, 其上任一点的切向量为 )21 ,1(2x x x --=τ, 单位切向量为)1 ,2()cos ,(cos 2x x x --==τβαe ,故⎰+L dy y x Q dx y x P ),(),(ds y x Q y x P L ]cos ),(cos ),([βα+=⎰⎰-+-=Lds y x Q x y x P x x )],()1(),(2[2.8. 设Γ为曲线x =t , y =t 2, z =t 3上相应于t 从0变到1的曲线弧,把对坐标的曲线积分⎰Γ++Rdz Qdy Pdx 化成对弧长的曲线积分.解 曲线Γ上任一点的切向量为 τ=(1, 2t , 3t 2)=(1, 2x , 3y ), 单位切向量为)3 ,2 ,1(9211)cos ,cos ,(cos 22y x yx ++==τγβαe ,ds R Q P Rdz Qdy Pdx L ]cos cos cos [γβα++=++⎰⎰Γ⎰++++=L ds y x yRxQ P 2294132.习题 10-31. 计算下列曲线积分, 并验证格林公式的正确性:(1)⎰++-ldy y x dx x xy )()2(22, 其中L 是由抛物线y =x 2及y 2=x 所围成的区域的正向边界曲线; 解 L =L 1+L 2, 故⎰++-L dy y x dx x xy )()2(22⎰⎰++-+++-=21)()2()()2(2222L L dy y x dx x xy dy y x dx x xy⎰⎰++-+++-=112243423)](2)2[(]2)()2[(dy y y y y y dx x x x x x301)242()22(1010245235=++--++=⎰⎰dy y y y dx x x x ,而dxdy x dxdy yPx Q DD)21()(-=∂∂-∂∂⎰⎰⎰⎰⎰⎰-=102)21(y y dx x dy301)(42121=+--=⎰dy y y y y , 所以⎰⎰⎰+=∂∂-∂∂l DQdy Pdx dxdy yPx Q )(.(2)⎰-+-ldy xy y dx xy x )2()(232, 其中L 是四个顶点分别为(0, 0)、 (2, 0)、(2, 2)、和(0, 2)的正方形区域的正向边界.解 L =L 1+L 2+L 3+L 4, 故⎰-+-L dy xy y dx xy x )2()(232dy xy y dx xy x L L L L )2())((2324321-+-+++=⎰⎰⎰⎰ ⎰⎰⎰⎰+-+-+=202002022222)8()4(dy y dx x x dy y y dx x 8482020=-+=⎰⎰ydy xdx , 而 dxdy xy y dxdy y P x Q DD )32()(2+-=∂∂-∂∂⎰⎰⎰⎰ ⎰⎰+-=20220)32(dy xy y dx 8)48(20=-=⎰dx x , 所以 ⎰⎰⎰+=∂∂-∂∂l D Qdy Pdx dxdy yP x Q )(. 2. 利用曲线积分, 求下列曲线所围成的图形的面积:(1)星形线x =a cos 3t , y =a sin 3t ;解 ⎰⎰-⋅⋅-=-=L dt t t a t a ydx A π2023)sin (cos 3sin ⎰==ππ20224283cos sin 3a tdt t a . (2)椭圆9x 2+16y 2=144;解 椭圆9x 2+16y 2 =144的参数方程为x =4cos θ, y =3sin θ, 0≤θ≤2π, 故⎰-=Lydx xdy A 21 ⎰-⋅-⋅=πθθθθθ20)]sin 4(sin 3cos 3cos 4[21d ⎰==ππθ20126d . (3)圆x 2+y 2=2ax .解 圆x 2+y 2=2ax 的参数方程为x =a +a cos θ, y =a sin θ, 0≤θ≤2π,故 ⎰-=Lydx xdy A 21 ⎰-⋅-⋅+=πθθθθθ20)]sin (sin cos )cos 1([21d a a a a 2202)cos 1(2a d a ⎰=+=ππθθ.3. 计算曲线积分⎰+-L y x xdy ydx )(222, 其中L 为圆周(x -1)2+y 2=2, L 的方 向为逆时针方向.解 )(222y x y P +=, )(222y x x Q +-=. 当x 2+y 2≠0时 y P x Q ∂∂=∂∂0)(2)(22222222222=+--+-=y x y x y x y x . 在L 内作逆时针方向的ε小圆周l : x =εcos θ, y =εsin θ(0≤θ≤2π),在以L 和l 为边界的闭区域D ε上利用格林公式得0)(=∂∂-∂∂=+⎰⎰⎰-+dxdy y P x Q Qdy Pdx D l L ε, 即 ⎰⎰⎰+=+-=+-lL l dy Pdx Qdy Pdx Qdy Pdx . 因此 ⎰⎰+-=+-l L y x xdy ydx y x xdy ydx )(2)(22222⎰--=πθεθεθε20222222cos sin d ⎰-=-=ππθ2021d .4. 证明下列曲线积分在整个xOy 面内与路径无关, 并计算积分值:(1)⎰-++)3 ,2()1 ,1()()(dy y x dx y x ;解 P =x +y , Q =x -y , 显然P 、Q 在整个xOy 面内具有一阶连续偏 导数, 而且1=∂∂=∂∂xQ y P , 故在整个xOy 面内, 积分与路径无关.取L 为点(1, 1)到(2, 3)的直线y =2x -1, x 从1变到2, 则⎰⎰-+-=-++)3 ,2()1 ,1(21)]1(2)13[()()(dx x x dy y x dx y x ⎰=+=2125)1(dx x . (2)⎰-+-)4 ,3()2 ,1(2232)36()6(dy xy y x dx y xy ;解 P =6xy 2-y 3, Q =6x 2y -3xy 2, 显然P 、Q 在整个xOy 面内具有一阶连续偏导数, 并且2312y xy xQ y P -=∂∂=∂∂, 故积分与路径无关, 取路径 (1, 2)→(1, 4)→(3, 4)的折线, 则⎰-+-)4 ,3()2 ,1(2232)36()6(dy xy y x dx y xy236)6496()3642312=-+-=⎰⎰dx x dy y y .(3)⎰-++-)1 ,2()0 ,1(324)4()32(dy xy x dx y xy .解 P =2xy -y 4+3, Q =x 2-4xy 3, 显然P 、Q 在整个xOy 面内具有一阶连续偏导数, 并且342y x xQ y P -=∂∂=∂∂, 所以在整个xOy 面内积分与 路径无关, 选取路径为从(1, 0)→(1, 2)→(2, 1)的折线, 则⎰-++-)1 ,2()0 ,1(324)4()32(dy xy x dx y xy⎰⎰=++-=102135)1(2)41(dx x dy y .5. 利用格林公式, 计算下列曲线积分:(1)⎰-+++-Ldy x y dx y x )635()42(, 其中L 为三顶点分别为(0, 0)、 (3, 0)和(3, 2)的三角形正向边界;解 L 所围区域D 如图所示, P =2x -y +4, Q =5y +3x -6,4)1(3=--=∂∂-∂∂yP x Q , 故由格林公式,得⎰-+++-L dy x y dx y x )6315()42(dxdy y P x Q D)(∂∂-∂∂=⎰⎰ 124==⎰⎰dxdy D.(2)⎰-+-+Lx x dy ye x x dx e y x xy x y x )2sin ()sin 2cos (222, 其中L 为正 向星形线323232a y x =+(a >0);解 x e y x xy x y x P 22sin 2cos -+=, x ye x x Q 2sin 2-=,0)2cos sin 2()2cos sin 2(22=-+--+=∂∂-∂∂x x ye x x x x ye x x x x yP x Q , 由格林公式⎰-+-+L x x dy ye x x dx e y x xy x y x )2sin ()sin 2cos (2220)(=∂∂-∂∂=⎰⎰dxdy yP x Q D . (3)⎰+-+-Ldy y x x y dx x y xy )3sin 21()cos 2(2223, 其中L 为在抛物线 2x =πy 2上由点(0, 0)到)1 ,2(π的一段弧; 解 x y xy P cos 223-=, 223sin 21y x x y Q +-=,0)cos 26()6cos 2(22=--+-=∂∂-∂∂x y xy xy x y yP x Q , 所以由格林公式0)(=∂∂-∂∂=+⎰⎰⎰++-dxdy yP x Q Qdy Pdx D OB OA L , 其中L 、OA 、OB 、及D 如图所示.故 ⎰⎰++=+AB OA L Qdy Pdx Qdy Pdx4)4321(02201022πππ=+-+=⎰⎰dy y y dx . (4)⎰+--L dy y x dx y x )sin ()(22, 其中L 是在圆周22x x y -=上由点(0, 0)到点(1, 1)的一段弧.解 P =x 2-y , Q =-x -sin 2y ,0)1(1=---=∂∂-∂∂y P x Q , 由格林公式有0)(=∂∂-∂∂-=+⎰⎰⎰++dxdy y P x Q Qdy Pdx DBO AB L , 其中L 、AB 、BO 及D 如图所示.故 ⎰⎰++--=+--L OB BA dy y x dx y x dy y x dx y x )sin ()()sin ()(22222sin 4167)sin 1(102102+-=++-=⎰⎰dx x dy y .6. 验证下列P (x , y )dx +Q (x , y )dy 在整个xOy 平面内是某一函数u (x , y )的全微分, 并求这样的一个u (x , y ):(1)(x +2y )dx +(2x +y )dy ;证明 因为yP x Q ∂∂==∂∂2, 所以P (x , y )dx +Q (x , y )dy 是某个定义在整 个xOy 面内的函数u (x , y )的全微分.⎰++++=),()0,0()2()2(),(y x C dy y x dx y x y x u C y xy x +++=22222. (2)2xydx +x 2dy ;解 因为y P x x Q ∂∂==∂∂2, 所以P (x , y )dx +Q (x , y )dy 是某个定义在整个 xOy 面内的函数u (x , y )的全微分.⎰++=),()0,0(22),(y x C dy x xydx y x u ⎰⎰+=++=y yC y x C xydx dy 00220. (3)4sin x sin3y cos xdx –3cos3y cos2xdy解 因为yP x y x Q ∂∂==∂∂2sin 3cos 6, 所以P (x , y )dx +Q (x , y )dy 是某个 定义在整个xOy 平面内的函数u (x , y )的全微分.⎰+-=),()0,0(2cos 3cos 3cos 3sin sin 4),(y x C xdy y xdx y x y x u C y x C xdy y dx xy +-=+-+=⎰⎰3sin 2cos 2cos 3cos 3000. (4)dy ye y x x dx xy y x y )128()83(2322++++解 因为yP xy x x Q ∂∂=+=∂∂1632, 所以P (x , y )dx +Q (x , y )dy 是某个定 义在整个xOy 平面内的函数u (x , y )的全微分. ⎰+++++=),()0,0(232)128()823(),(y x y C dy ye y x x dx xy iy xh y x u C dx xy y x dy ye yx y +++=⎰⎰0022)83(12C e ye y x y x y y +-++=)(124223.(5)dy y x x y dx x y y x )sin sin 2()cos cos 2(22-++解 因为yP y x x y x Q ∂∂=-=∂∂sin 2cos 2, 所以P (x , y )dx +Q (x , y )dy 是 某个函数u (x , y )的全微分 ⎰⎰+-+=x y C dy y x x y xdx y x u 002)sin sin 2(2),( C y x x y ++=cos sin 22.7. 设有一变力在坐标轴上的投影为X =x +y 2, Y =2xy -8, 这变力确 定了一个力场, 证明质点在此场内移动时, 场力所做的功与路径无关. 解 场力所作的功为⎰Γ-++=dy xy dx y x W )82()(2. 由于yX y x Y ∂∂==∂∂2, 故以上曲线积分与路径无关, 即场力所作的功 与路径无关.习题10-41. 设有一分布着质量的曲面∑, 在点(x , y , z )处它的面密度为μ(x , y , z ), 用对面积的曲面积分表达这曲面对于x 轴的转动惯量.解. 假设μ(x , y , z )在曲面∑上连续, 应用元素法, 在曲面∑上任意一点(x , y , z )处取包含该点的一直径很小的曲面块dS (它的面积也记做dS ), 则对于x 轴的转动惯量元素为dI x =(y 2+z 2)μ(x , y , z )dS ,对于x 轴的转动惯量为dS z y x z y I x ),,()(22μ+=∑⎰⎰.2. 按对面积的曲面积分的定义证明公式dS z y x f dS z y x f dS z y x f ),,(),,(),,(21∑∑∑⎰⎰⎰⎰⎰⎰+=,其中∑是由∑1和∑2组成的.证明 划分∑1为m 部分, ∆S 1, ∆S 2, ⋅⋅⋅, ∆S m ;划分∑2为n 部分, ∆S m +1, ∆S m +2, ⋅⋅⋅, ∆S m +n ,则∆S 1, ⋅⋅⋅, ∆S m , ∆S m +1, ⋅⋅⋅, ∆S m +n 为∑的一个划分, 并且i i i i nm m i i i i i m i i i i i n m i S f S f S f ∆∑+∆∑=∆∑++==+=),,(),,(),,(111ζηξζηξζηξ. 令}{max 11i mi S ∆=≤≤λ, }{max 12i n m i m S ∆=+≤≤+λ, } ,max{21λλλ=, 则当 λ→0时, 有dS z y x f dS z y x f dS z y x f ),,(),,(),,(21∑∑∑⎰⎰⎰⎰⎰⎰+=.3. 当∑是xOy 面内的一个闭区域时, 曲面积分dSz y x f ),,(∑⎰⎰与二重积分有什么关系?解 ∑的方程为z =0, (x , y )∈D ,dxdy dxdy z z dS y x=++=221, 故 dxdy z y x f dS z y x f D),,(),,(⎰⎰⎰⎰=∑.4. 计算曲面积分dS z y x f ),,(∑⎰⎰, 其中∑为抛物面z =2-(x 2+y 2)在xOy 面上方的部分, f (x , y , z )分别如下:(1) f (x , y , z )=1;解 ∑: z =2-(x 2+y 2), D xy : x 2+y 2≤2,dxdy y x dxdy z z dS y x22224411++=++=. 因此 dxdy y x dS z y x f xyD 22441),,(++=⎰⎰⎰⎰∑ ⎰⎰+=πθ2020241rdr r d ππ313])41(121[2202/32=+=r . (2) f (x , y , z )=x 2+y 2;解 ∑: z =2-(x 2+y 2), D xy : x 2+y 2≤2, dxdy y x dxdy z z dS y x22224411++=++=. 因此 dxdy y x y x dS z y x f xyD 2222441)(),,(+++=⎰⎰⎰⎰∑ ⎰⎰+=πθ2020241rdr r d ππ301494122022=+=⎰rdr r r . (3) f (x , y , z )=3z .解 ∑: z =2-(x 2+y 2), D xy : x 2+y 2≤2,dxdy y x dxdy z z dS y x22224411++=++=. 因此 dS z y x f ),,(∑⎰⎰dxdy y x y x xyD 2222441)](2[3+++-=⎰⎰⎰⎰+-=πθ20202241)2(3rdr r r d ππ1011141)2(62022=+-=⎰rdr r r . 5. 计算dS y x )(22+∑⎰⎰, 其中∑是: (1)锥面22y x z +=及平面z =1所围成的区域的整个边界曲面;解 将∑分解为∑=∑1+∑2, 其中∑1: z =1 , D 1: x 2+y 2≤1, dS =dxdy ;∑1:22y x z +=, D 2: x 2+y 2≤1, dxdy dxdy z z dS y x2122=++=. dS y x dS y x dS y x )()()(22222221+++=+∑∑∑⎰⎰⎰⎰⎰⎰ dxdy y x dxdy y x D D )()(222221+++=⎰⎰⎰⎰⎰⎰=πθ20103dr r d +⎰⎰πθ201032dr r d πππ221222+=+=. 提示: dxdy dxdy yx y y x x dS 21222222=++++=.(2)锥面z 2=3(x 2+y 2)被平面z =0及z =3所截得的部分. 解 ∑:223y x z +=, D xy : x 2+y 2≤3,dxdy dxdy z z dS y x2122=++=, 因而 πθπ922)()(302202222==+=+⎰⎰⎰⎰⎰⎰∑rdr r d dxdy y x dS y x xy D . 提示: dxdy dxdy y x y y x x dS 2])(326[])(326[1222222=++++=.6. 计算下面对面积的曲面积分:(1)dS y x z )342(++∑⎰⎰, 其中∑为平面1432=++z y x 在第一象限中的部分;解 y x z 3424:--=∑, x y x D xy 2310 ,20 :-≤≤≤≤, dxdy z z dS y x 221++=dxdy 361=, 61436143614)342(==⋅=++⎰⎰⎰⎰⎰⎰∑dxdy dxdy dS y x z xy xyD D . (2)dS z x x xy )22(2+--∑⎰⎰, 其中∑为平面2x +2y +z =6在第一象限中的部分;解 ∑: z =6-2x -2y , D xy : 0≤y ≤3-x , 0≤x ≤3,dxdy dxdy z z dS y x3122=++=, dS z x x xy )22(2+--∑⎰⎰ dxdy y x x x xy xyD 3)22622(2--+--=⎰⎰⎰⎰--+--=x dy y xy x x dx 30230)22236(3 427)9103(33023-=+-=⎰dx x x . (3)dS z y x )(++∑⎰⎰, 其中∑为球面x 2+y 2+z 2=a 2上z ≥h (0<h <a )的部分;解 ∑:222y x a z --=, D xy : x 2+y 2≤a 2-h 2,dxdy z z dS y x 221++=dxdy y x a a 222--=,dxdy yx a a y x a y x dS z y x xy D 222222)()(----++=++⎰⎰⎰⎰∑ )(||22h a a D a adxdy xy D xy-===⎰⎰π(根据区域的对称性及函数的奇偶性).提示: dxdy yx a y y x a x dS 22222222)()(1+--++--+=dxdy y x a a 222--=, (4)dS zx yz xy )(++∑⎰⎰, 其中∑为锥面22y x z +=被x 2+y 2=2ax所截得的有限部分.解 ∑: 22y x z +=, D xy : x 2+y 2≤2ax ,dxdy dxdy z z dS y x2122=++=, dxdy y x y x xy dS zx yz xy xyD ])([2)(22+++=++⎰⎰⎰⎰∑ ⎰⎰++=-θππθθθθcos 202222)]sin (cos cos sin [2a rdr q r r dθθθθθθππd a )cos sin cos cos (sin 24422554⎰-++= 421564a =. 提示: dxdy yx y y x x dS 2222221++++=. 7. 求抛物面壳)10)((2122≤≤+=z y x z 的质量, 此壳的面密度为μ=z .解 ∑: )(2122y x z +=, D xy : x 2+y 2≤2, dxdy y x dxdy z z dS y x222211++=++=.故 dxdy y x y x zdS M xyD 22221)(21+++==⎰⎰⎰⎰∑ ⎰⎰+=πθ202022121rdr r r d )136(152+=π. 8. 求面密度为μ0的均匀半球壳x 2+y 2+z 2=a 2(z ≥0)对于z 轴的转动惯量. 解 ∑: 222y x a z --=, D xy : x 2+y 2≤a 2,dxdy z z dS y x 221++=dxdy yx a a 222--=, dxdy y x a a y x dS y x I z 222022022)()(--+=+=∑∑⎰⎰⎰⎰μμ ⎰⎰-=a dr ya r d a 0223200πθμ 4034a πμ=.提示:dxdy yx a y y x a x dS 22222222)()(1---+---+=dxdy y x a a 222--=.习题10-51. 按对坐标的曲面积分的定义证明公式:dydz z y x P z y x P )],,(),,([21±∑⎰⎰dydz z y x P dydz z y x P )],,(),,(21∑∑⎰⎰⎰⎰±=.解 证明把∑分成n 块小曲面∆S i (∆S i 同时又表示第i 块小曲面的面 积), ∆S i 在yOz 面上的投影为(∆S i )yz , (ξi , ηi ,ζi )是∆S i 上任意取定的一点, λ是各小块曲面的直径的最大值, 则dydzz y x P z y x P )],,(),,([21±∑⎰⎰ yz i i i i i i i n i S P P ))](,(),([lim ,2,110∆±==→∑ζηξζηξλyz i i i i ni yz i i i i n i S P S P ))(,(lim ))(,(lim ,210,110∆±∆==→=→∑∑ζηξζηξλλ dydz z y x P dydz z y x P )],,(),,(21∑∑⎰⎰⎰⎰±=.2. 当∑为xOy 面内的一个闭区域时, 曲面积分dxdy z y x R ),,(∑⎰⎰与二重积分有什么关系?解 因为∑: z =0, (x , y )∈D xy , 故dxdy z y x R dxdy z y x R xyD ),,(),,(⎰⎰⎰⎰±=∑,当∑取的是上侧时为正号, ∑取的是下侧时为负号.3. 计算下列对坐标的曲面积分:(1)zdxdy y x 22∑⎰⎰其中∑是球面x 2+y 2+z 2=R 2的下半部分的下侧;解 ∑的方程为222y x R z ---=, D xy : x 2+y 2≤R , 于是zdxdy y x 22∑⎰⎰dxdy y x R y x xyD )(22222----=⎰⎰ ⎰⎰⋅-⋅⋅=πθθθ20222202sin cos rdr r R r r d R⎰⎰-=πθθ20052222sin 41R dr r r R d 71052R π=. (2)ydzdx xdydz zdxdy ++∑⎰⎰, 其中z 是柱面x 2+y 2=1被平面z =0及z =3所截得的第一卦限内的部分的前侧;解 ∑在xOy 面的投影为零, 故0=∑⎰⎰zdxdy .∑可表示为21y x -=, (y , z )∈D yz ={(y , z )|0≤y ≤1, 0≤z ≤3}, 故 ⎰⎰⎰⎰⎰⎰⎰-=-=-=∑3010102221311dy y dy y dz dydz y xdyz yz D ∑可表示为21x y -=, (z , x )∈D zx ={(z , x )|0≤z ≤3, 0≤x ≤1}, 故dzdx x ydzdx zx D 21-=⎰⎰⎰⎰∑⎰⎰⎰-=-=30101022131dx x dx x dz . 因此 ydzdx xdydz zdxdy ++∑⎰⎰)13(2102dx x ⎰-=ππ2346=⨯=. 解法二 ∑前侧的法向量为n =(2x , 2y , 0), 单位法向量为)0 , ,(1)cos ,cos ,(cos 22y x y x +=γβα, 由两种曲面积分之间的关系,dS z y x ydzdx xdydz zdxdy )cos cos cos (γβα++=++∑∑⎰⎰⎰⎰π23)(222222==+=+⋅++⋅=∑∑∑⎰⎰⎰⎰⎰⎰dS dS y x dS y x y y y x x x . 提示: dS ∑⎰⎰表示曲面的面积.(3)dxdy z z y x f dzdx y z y x f dydz x z y x f ]),,([]),,(2[]),,([+++++∑⎰⎰, 其中f (x , y , z )为连续函数, ∑是平面x -y +z =1在第四卦限部分的上侧; 解 曲面∑可表示为z =1-x +y , (x , y )∈D xy ={(x , y )|0≤x ≤1, 0≤y ≤x -1}, ∑上侧的法向量为n =(1, -1, 1), 单位法向量为)31 ,31 ,31()cos ,cos ,(cos -=γβα, 由两类曲面积分之间的联系可得dxdy z z y x f dzdx y z y x f dydz x z y x f ]),,([]),,(2[]),,([+++++∑⎰⎰dS z f y f x f ]cos )(cos )2(cos )[(γβα+++++=∑⎰⎰dS z f y f x f ]31)()31()2(31)(⋅++-⋅++⋅+=∑⎰⎰ 2131)(31===+-=⎰⎰⎰⎰⎰⎰∑∑dxdy dS dS z y x xyD .(4)⎰⎰∑++yzdzdx xydydz xzdxdy , 其中∑是平面x =0, y =0, z =0, x +y +z =1所围成的空间区域的整个边界曲面的外侧.解 ∑=∑1+∑2+∑3+∑4, 其中∑1: x =0, D yz : 0≤y ≤1, 0≤z ≤1-y ,∑2: y =0, D zx : 0≤z 1, 0≤x ≤1-z ,∑3: z =0, D xy : 0≤x ≤1, 0≤y ≤1-x ,∑4: z =1-x -y , D xy : 0≤x ≤1, 0≤y ≤1-x ,于是 ⎰⎰⎰⎰⎰⎰⎰⎰⎰⎰∑∑∑∑∑+++=4321xzdxdy xzdxdy 4000∑⎰⎰+++= dxdy y x x xy D )1(--=⎰⎰⎰⎰-=--=1010241)1(x dy y x xdx . 由积分变元的轮换对称性可知241⎰⎰⎰⎰∑∑==yzdzdx xydydz . 因此⎰⎰∑=⨯=++812413yzdzdx xydydz xzdxdy .解 ∑=∑1+∑2+∑3+∑4, 其中∑1、∑2、∑3是位于坐标面上的三块; ∑4: z =1-x -y , D xy : 0≤x ≤1, 0≤y ≤1-x .显然在∑1、∑2、∑3上的曲面积分均为零, 于是⎰⎰∑++yzdzdx xydydz xzdxdyyzdzdx xydydz xzdxdy ++=∑⎰⎰4dS xz yz xy )cos cos cos (4γβα++=∑⎰⎰dS xz yz xy )(34++=∑⎰⎰81)]1)(([3=--++=⎰⎰dxdy y x y x xy xyD . 4. 把对坐标的曲面积分dxdy z y x R dzdx z y x Q dydz z y x P ),,(),,(),,(++∑⎰⎰化成对面积的曲面积分:(1)∑为平面63223=++z y x 在第一卦限的部分的上侧;解 令63223),,(-++=z y x z y x F , ∑上侧的法向量为:)32 ,2 ,3(),,(==z y x F F F n ,单位法向量为)32 ,2 ,3(51)cos ,cos ,(cos =γβα, 于是 Rdxdy Qdzdx Pdydz ++∑⎰⎰dS R Q P )cos cos cos (γβα++=∑⎰⎰dS R Q P )3223(51++=∑⎰⎰. (2)∑是抛物面z =8-(x 2+y 2)在xOy 面上方的部分的上侧.解 令F (x , y , z )=z +x 2+y 2-8, ∑上侧的法向量n =(F x , F y , F z )=(2x , 2y , 1),单位法向量为)1 ,2 ,2(4411)cos ,cos ,(cos 22y x y x ++=γβα, 于是 Rdxdy Qdzdx Pdydz ++∑⎰⎰dS R Q P )cos cos cos (γβα++=∑⎰⎰dS R yQ xP yx )22(441122++++=∑⎰⎰.10-61. 利用高斯公式计算曲面积分:(1)⎰⎰∑++dxdy z dzdx y dydz x 222, 其中∑为平面x =0, y =0, z =0, x =a ,y =a , z =a 所围成的立体的表面的外侧;解 由高斯公式原式dv z y x dv z R y Q x P )(2)(++=∂∂+∂∂+∂∂=ΩΩ⎰⎰⎰⎰⎰⎰ ⎰⎰⎰⎰⎰⎰===Ωaa a a dz dy xdx xdv 0400366(这里用了对称性).(2)⎰⎰∑++dxdy z dzdx y dydz x 333, 其中∑为球面x 2+y 2+z 2=a 2的外侧;解 由高斯公式原式dv z y x dv z R y Q x P )(3)(222++=∂∂+∂∂+∂∂=ΩΩ⎰⎰⎰⎰⎰⎰ ⎰⎰⎰=ππϕϕθ20004sin 3a dr r d d 5512a π=. (3)⎰⎰∑++-+dxdy z y xy dzdx z y x dydz xz )2()(2322, 其中∑为上半球体 x 2+y 2≤a 2, 2220y x a z --≤≤的表面外侧;解 由高斯公式原式dv y x z d z R y Q x P )()(222++=∂∂+∂∂+∂∂=ΩΩ⎰⎰⎰⎰⎰⎰ ⎰⎰⎰=ππϕϕθ2020022sin a dr r r d d 552a π=. (4)⎰⎰∑++zdxdy ydzdx xdydz 其中∑界于z =0和z =3之间的圆柱体x 2+y 2≤9的整个表面的外侧;解 由高斯公式原式π813)(==∂∂+∂∂+∂∂=ΩΩ⎰⎰⎰⎰⎰⎰dv dv z R y Q x P . (5)⎰⎰∑+-yzdxdy dzdx y xzdydz 24,其中∑为平面x =0, y =0, z =0, x =1,y =1, z =1所围成的立体的全表面的外侧.解 由高斯公式原式dv y y z dv z R y Q x P )24()(+-=∂∂+∂∂+∂∂=ΩΩ⎰⎰⎰⎰⎰⎰ ⎰⎰⎰=-=10101023)4(dz y z dy dx . 2. 求下列向量A 穿过曲面∑流向指定侧的通量: (1)A =yz i +xz j +xy k , ∑为圆柱x +y 2≤a 2(0≤z ≤h )的全表面, 流向外侧; 解 P =yz , Q =xz , R =xy ,⎰⎰∑++=Φxydxdy xzdzdx yzdydzdv z xy y xz x yz ))()()((∂∂+∂∂+∂∂=Ω⎰⎰⎰00==Ω⎰⎰⎰dv . (2)A =(2x -z )i +x 2y j - xz 2k , ∑为立方体0≤x ≤a , 0≤y ≤a , 0≤z ≤a ,的全表面, 流向外侧;解 P =2x -z , Q =x 2y , R =-xz 2,⎰⎰∑++=ΦRdxdy Qdzdx Pdydzdv xz x dv z r y Q x P )22()(2-+=∂∂+∂∂+∂∂=ΩΩ⎰⎰⎰⎰⎰⎰ ⎰⎰⎰-=-+=a a a a a dz xz x dy dx 023200)62()22(. (3)A =(2x +3z )i -(xz +y )j +(y 2+2z )k , ∑是以点(3, -1, 2)为球心, 半径R =3的球面, 流向外侧.解 P =2x +3z , Q =-(xz +y ), R =y 2+2z ,⎰⎰∑++=ΦRdxdy Qdzdx Pdydzdv dv z R y Q x P )212()(+-=∂∂+∂∂+∂∂=ΩΩ⎰⎰⎰⎰⎰⎰π1083==Ω⎰⎰⎰dv . 3. 求下列向量A 的散度:(1)A =(x 2+yz )i +(y 2+xz )j +(z 2+xy )k ;解 P =x 2+yz , Q =y 2+xz , R =-z 2+xy ,)(2222div z y x z y x zR y Q x P ++=++=∂∂+∂∂+∂∂=A . (2)A =e xy i +cos(xy )j +cos(xz 2)k ;解 P =e xy , Q =cos(xy ), R =cos(xz 2),)sin(2sin div 2xz xz xy x ye zR y Q x P xy --=∂∂+∂∂+∂∂=A . (3)A =y 2z i +xy j +xz k ;解 P =y 2, Q =xy , R =xz ,x x x zR y Q x P 20div =++=∂∂+∂∂+∂∂=A . 4. 设u (x , y , z )、v (x , y , z )是两个定义在闭区域Ω上的具有二阶连续 偏导数的函数, n u ∂∂, nv ∂∂依次表示u (x , y , z )、v (x , y , z )沿∑的外法线方向 的方向导数. 证明dS n u v n v u dxdydz u v v u )()∂∂-∂∂=∆-∆⎰⎰⎰⎰⎰∑Ω, 其中∑是空间闭区间Ω的整个边界曲面, 这个公式叫作林第二公式. 证明 由第一格林公式(见书中例3)知dxdydz z v y v x v u )(222222∂∂+∂∂+∂∂Ω⎰⎰⎰ dxdydz z v z u y v y u x v x u dS n v u )(∂∂∂∂+∂∂∂∂+∂∂∂∂-∂∂=⎰⎰⎰⎰⎰∑Ω, dxdydz z u y u x u v )(222222∂∂+∂∂+∂∂Ω⎰⎰⎰dxdydz z v z u y v y u x v x u dS n u v )(∂∂∂∂+∂∂∂∂+∂∂∂∂-∂∂=⎰⎰⎰⎰⎰∑Ω. 将上面两个式子相减, 即得dxdyd z u y u x u v z v y v x v u )]()([222222222222∂∂+∂∂+∂∂-∂∂+∂∂+∂∂Ω⎰⎰⎰ ⎰⎰∑∂∂-∂∂=dS n u v n v u )(. 5. 利用高斯公式推证阿基米德原理: 浸没在液体中所受液体的压力 的合力(即浮力)的方向铅直向上, 大小等于这物体所排开的液体的重力. 证明 取液面为xOy 面, z 轴沿铅直向下, 设液体的密度为ρ, 在物 体表面∑上取元素dS 上一点, 并设∑在点(x , y , z )处的外法线的方向余 弦为cos α, cos β, cos γ, 则dS 所受液体的压力在坐标轴x , y , z 上的分量 分别为-ρz cos αdS , -ρz cos β dS , -ρz cos γ dS ,∑所受的压力利用高斯公式进行计算得00cos ==-=Ω∑⎰⎰⎰⎰⎰dv dS z F x αρ,00cos ==-=Ω∑⎰⎰⎰⎰⎰dv dS z F y βρ,||cos Ω-=-=-=-=ΩΩ∑⎰⎰⎰⎰⎰⎰⎰⎰ρρργρdv dv dS z F z ,其中|Ω|为物体的体积. 因此在液体中的物体所受液体的压力的合力, 其方向铅直向上, 大小等于这物体所排开的液体所受的重力, 即阿基 米德原理得证.习题10-71. 利用斯托克斯公式, 计算下列曲线积分:(1)⎰Γ++xdz zdy ydx , 其中Γ为圆周x 2+y 2+z 2=a 2, , 若从z 轴 的正向看去, 这圆周取逆时针方向;解 设∑为平面x +y +z =0上Γ所围成的部分, 则∑上侧的单位法向量为)31,31,31()cos ,cos ,(cos ==γβαn .于是 ⎰Γ++xdz zdy ydx dS x z y zy x ∂∂∂∂∂∂=∑⎰⎰γβαcos cos cos 2333)cos cos cos (a dS dS πγβα-=-=---=∑∑⎰⎰⎰⎰.提示:dS ∑⎰⎰表示∑的面积, ∑是半径为a 的圆.(2)⎰Γ-+-+-dz y x dy x z dz z y )()()(, 其中Γ为椭圆x 2+y 2=a 2, 1=+b z a x(a >0, b >0), 若从x 轴正向看去, 这椭圆取逆时针方向;解 设∑为平面1=+b z a x 上Γ所围成的部分, 则∑上侧的单位法向量为) ,0 ,()cos ,cos ,(cos 2222b a b b a b ++==γβαn . 于是 ⎰Γ-+-+-dz y x dy x z dx z y )()()(dS y x x z z y zy x ---∂∂∂∂∂∂=∑⎰⎰γβαcos cos cos dS b a b a dS ∑∑⎰⎰⎰⎰++-=---=22)(2)cos 2cos 2cos 2(γβα)(2)(2)(22222b a a dxdy a b a dxdy a b a b a b a xyxyD D +-=+-=+++-=⎰⎰⎰⎰π.提示: ∑(即x ab b z -=)的面积元素为dxdy a b a dxdy a b dS 222)(1+=+=.(3)⎰Γ+-dz yz xzdy ydx 23, 其中Γ为圆周x 2+y 2=2z , z =2, 若从z 轴的正向看去, 这圆周是取逆时针方向;解 设∑为平面z =2上Γ所围成的部分的上侧, 则⎰Γ+-dz yz xzdy ydx 2323yz xz y zy x dxdydzdx dydz -∂∂∂∂∂∂=∑⎰⎰ ππ2025)3()(22-=⨯-=+-+=∑⎰⎰dxdy z dydz x z .(4)⎰Γ-+dz z xdy ydx 232, 其中Γ为圆周x 2+y 2+z 2=9, z =0, 若从z 轴的正向看去, 这圆周是取逆时针方向.解 设∑为xOy 面上的圆x 2+y 2≤9的上侧, 则⎰Γ-+dz z xdy ydx 232232z x y zy x dxdydzdx dydz -∂∂∂∂∂∂=∑⎰⎰ π9===⎰⎰⎰⎰∑dxdy dxdy xyD .2. 求下列向量场A 的旋度: (1)A =(2z -3y )i +(3x -z )j +(-2x )k ;解 k j i kj i A 6422332++=---∂∂∂∂∂∂=x y z x y z z y x rot . (2)A =(sin y )i -(z -x cos y )k ;解 j i kji A +=--+∂∂∂∂∂∂=0)cos (sin y x z y z z yx rot . (3)A =x 2sin y i +y 2sin(xz )j +xy sin(cos z )k .解 )sin(cos )sin(sin 22z xy xz y y x z y x ∂∂∂∂∂∂=kj i A rot=[x sin(cos z )-xy 2cos(xz )]i -y sin(cos z )j +[y 2z cos(xz )-x 2cos y ]k . 3. 利用斯托克斯公式把曲面积分dS n A ⋅∑⎰⎰rot 化为曲线积分, 并计算积分值,其中A 、∑及n 分别如下:(1)A =y 2i +xy j +xz k , ∑为上半球面221y x z --=, 的上侧, n 是∑的 单位法向量;解 设∑的边界Γ : x 2+y 2=1, z =0, 取逆时针方向, 其参数方程为 x =cos θ, y =sin θ, z =0(0≤θ≤2π, 由托斯公式dS n A ⋅∑⎰⎰rot ⎰Γ++=Rdz Qdy Pdx ⎰Γ++=xzdz xydy dx y 2⎰=+-=πθθθθθ20220]sin cos )sin ([sin d .(2)A =(y -z )i +yz j -xz k , ∑为立方体0≤x ≤2, 0≤y ≤2, 0≤z ≤2的表面外侧 去掉xOy 面上的那个底面, n 是∑的单位法向量. 解dS n A ⋅∑⎰⎰rot ⎰Γ++=Rdz Qdy Pdx⎰Γ-++-=dz xz yzdy dx x y )()(⎰⎰Γ-===0242dx ydx .4. 求下列向量场A 沿闭曲线Γ(从z 轴正向看依逆时针方向)的环流量: (1)A =-y i +x j +c k (c 为常量), Γ为圆周x 2+y 2=1, z =0; 解θθθθθπd cdz xdy ydx L ]cos cos )sin ()(sin [(20+--=++-⎰⎰⎰==ππθ202d .(2)A =(x -z )i +(x 3+yz )j -3xy 2k , 其中Γ为圆周222y x z +-=, z =0. 解 有向闭曲线Γ的参数方程为x =2cos θ, y =2sin θ, z =0(0≤π≤2π). 向量场A 沿闭曲线Γ的环流量为⎰⎰-++-=++LL dz xy dy yz x dx z x Rdz Qdy Pdx 223)()(。
高等数学(上)第一章 函数与极限1. 设⎪⎩⎪⎨⎧≥<=3||,03|||,sin |)(ππϕx x x x , 求).2(446ϕπϕπϕπϕ、、、⎪⎭⎫ ⎝⎛-⎪⎭⎫ ⎝⎛⎪⎭⎫ ⎝⎛ 2. 设()x f 的定义域为[]1,0,问:⑴()2x f ; ⑵()x f sin ;⑶()()0>+a a x f ; ⑷()()a x f a x f -++ ()0>a 的定义域是什么?(1)][;,-的定义域为所以知-11)(,111022x f x x ≤≤≤≤ 3. 设()⎪⎩⎪⎨⎧>-=<=111011x x x x f ,()xe x g =,求()[]x gf 和()[]x fg ,并做出这两个函数的图形。
4. 设数列{}nx 有界, 又,0lim =∞→nn y证明: .0lim =∞→nnn yx5. 根据函数的定义证明: ⑴ ()813lim 3=-→x x(2) 0sin lim =+∞→x x x6. 根据定义证明: 当0→x 时,函数x x y 21+=是无穷大.问x 应满足什么条件时,才能使?104>y 7. 求极限:⑴13lim223+-→x x x =0⑵ ()hx h x h 22lim-+→=x h h x h h 2)2(lim 0=+→⑶13lim 242+-+∞→x x x x x =0(4) ()2121lim nn n -+++∞→ =212)1(lim 2=-∞→n n n n (5)⎪⎭⎫ ⎝⎛---→311311lim x x x =1)1)(1(31lim 221-=++--++→x x x x x x(6) ()223222lim -+→x x x x =∞8. 计算下列极限: ⑴ xxx 1sinlim 20→=0⑵ x x x arctan lim ∞→=0arctan .1lim =∞→x xx 9. 计算下列极限:⑴ x x x ωsin lim 0→=ϖϖϖϖ=→.sin lim 0xx x ⑵ x x x 3tan lim 0→=33cos 1.3sin lim 0=→xx x x ⑶ xx xx sin 2cos 1lim 0-→=2sin .sin 2lim 20=→xx xx(4)xx x 321⎪⎭⎫ ⎝⎛-∞→lim =6620)21(lim ---→=⎥⎦⎤⎢⎣⎡-e x xx(5)()xx x 121+→lim =22.210)21(lim e x xx =+→(6)xx x x ⎪⎭⎫ ⎝⎛--∞→13lim =21)2.(21)121(lim -+--∞→=-+e xxx10. 利用极限存在准则证明:⑴ 11211lim 222=⎪⎭⎫⎝⎛++++++∞→πππn n nn n n故原式=1⑵ 数列,222,22,2+++的极限存在,并求其极限.11. 当0→x 时, 22x x -与32x x -相比, 哪一个是较高阶的无穷小?12. 当1→x 时, 无穷小x -1和()2121x -是否同阶?是否等价?13. 证明: 当0→x 时, 有2~1sec 2x x -.14. 利用等价无穷小的代换定理, 求极限:xx x x 30sin sin tan lim-→.15. 讨论()201212x x f x x x ⎧≤<=⎨-≤≤⎩ 的连续性, 并画出其图形.16. 指出下列函数的间断点属于哪一类.若是可去间断点,则补充或改变函数的定义使其连续.⑴2,123122==+--=x x x x x y⑵ 11311=⎩⎨⎧>-≤-=x x xx x y1x y ==017. 讨论函数()xx x x f nnn 2211lim +-=∞→的连续性, 若有间断点,判别其类型。
206习题十6. 画出积分区域,改变累次积分的积分次序: (1)2220d (,)d yyy f x y x ⎰⎰; (2)eln 1d (,)d xx f x y y ⎰⎰;解:(1)相应二重保健的积分区域为D :202,2.y y x y ≤≤≤≤如图10-6所示.图10-6D 亦可表示为:04,.2xx y ≤≤≤所以22242d (,)d d (,)d .y x yy f x y x x f x y y =⎰⎰⎰⎰(2) 相应二重积分的积分区域D :1e,0ln .x y x ≤≤≤≤如图10-7所示.图10-7D 亦可表示为: 01,e e,y y x ≤≤≤≤所以e ln 1e 1ed (,)d d (,)d y xx f x y y y f x y x =⎰⎰⎰⎰8. 计算下列二重积分: (1)221d d ,:12,;Dx x y D x y x yx≤≤≤≤⎰⎰(2)e d d ,x yDx y ⎰⎰D 由抛物线y 2 = x ,直线x =0与y =1所围;解:(1)()22222231221111d d d d d d xx D x xx x x x y x y x x x x y yy ==-=-⎰⎰⎰⎰⎰⎰2421119.424x x ⎡⎤=-=⎢⎥⎣⎦(2) 积分区域D 如图10-12所示.207图10-12D 可表示为:201,0.y x y ≤≤≤≤所示22110000e d d d e d d e d()x x x y y yyyD xx y y x y y y==⎰⎰⎰⎰⎰⎰ 2111100ed (e 1)d e d d y x y y yy y y y y y y y ==-=-⎰⎰⎰⎰1111120000011de d e e d .22y y y y y y y y y =-=--=⎰⎰⎰10. 在极坐标系下计算二重积分:(1){}2222d ,;(,)|π4πDx y D x y x y =≤+≤⎰⎰(3)arctand d ,Dxx y y⎰⎰D 是由22x y +=4, 22x y +=1,及直线y =0,y =x 所围成的在第一象限内的闭区域;解:(1)积分区域D 如图10-16所示:图10-16D 亦可采用极坐标表示为:π≤r ≤2π, 0≤θ≤2π所以[]2π2ππ2π2πd d sin d 2π6π.cos sin Dx y r r rr r r θ==-=--⎰⎰⎰⎰(3)积分区域D 如图10-17所示.208图10-17D 可用极坐标表示为:0≤θ≤π4, 1≤r ≤2. 所以:π2401π240arctan d d arctan(cot )d d 39ππd .2642D x x y r r yθθθθ=⎛⎫==- ⎪⎝⎭⎰⎰⎰⎰⎰11. 将下列积分化为极坐标形式,并计算积分值:)211222220(3)d ()d ;(4)d d .xaxx x y y y x x y -++⎰⎰⎰解:(3)积分区域D如图10-21所示.图10-21D 也可用极坐标表示为:π0,0sec tan 4r θθθ≤≤≤≤ . 于是:21ππ1sec tan 2221440π4d ()d d d sec tan d sec 1xx x x y y r r r θθθθθθθ--+=⋅===⎰⎰⎰⎰⎰(4)积分区域D如图10-22所示.209图10-22D 可用极坐标表示为:π0,02r a θ≤≤≤≤ 于是:π42234200ππd )d d d .284aaar y x y x r r a θ+==⋅=⎰⎰⎰29. 在直角坐标系下计算三重积分: (1)23d d d xyz x y z Ω⎰⎰⎰,其中Ω是由曲面z = x y 与平面y = x , x =1和z =0所围成的闭区域;(2)()3d d d 1x y zx y z Ω+++⎰⎰⎰,其中Ω为平面x = 0, y = 0, z = 0, x +y +z = 1所围成的四面体;(5)e d d d y x y z Ω⎰⎰⎰,其中Ω是由x 2+z 2-y 2=1, y =0, y =2所围成;解:(1)积分区域Ω如图10-42所示。
高等数学课后习题及参考答案(第十章)习题10-11.设在xOy面内有一分布着质量的曲线弧L,在点(x,y)处它的线密度为μ(x,y),用对弧长的曲线积分分别表达:(1)这曲线弧对x轴、对y轴的转动惯量I x,I y;(2)这曲线弧的重心坐标,.解在曲线弧L上任取一长度很短的小弧段ds(它的长度也记做ds),设(x,y)为小弧段ds上任一点.曲线L对于x轴和y轴的转动惯量元素分别为dI x=y2μ(x,y)ds,dI y=x2μ(x,y)ds.曲线L对于x轴和y轴的转动惯量分别为,.曲线L对于x轴和y轴的静矩元素分别为dM x=yμ(x,y)ds,dM y=xμ(x,y)ds.曲线L的重心坐标为,.2.利用对弧长的曲线积分的定义证明:如果曲线弧L分为两段光滑曲线L1和L2,则.证明划分L,使得L1和L2的连接点永远作为一个分点,则.令λ=max{∆s i}→0,上式两边同时取极限,即得.3.计算下列对弧长的曲线积分:(1),其中L为圆周x=a cos t,y=a sin t (0≤t≤2π);解=.(2),其中L为连接(1, 0)及(0, 1)两点的直线段;解L的方程为y=1-x (0≤x≤1);.(3), 其中L 为由直线y =x 及抛物线y =x 2所围成的区域的整个边界; 解 L 1: y =x 2(0≤x ≤1), L 2: y =x (0≤x ≤1) ..(4), 其中L 为圆周x 2+y 2=a 2, 直线y =x 及x 轴在第一象限内所围成的扇形的整个边界;解 L =L 1+L 2+L 3, 其中L 1: x =x , y =0(0≤x ≤a ),L 2: x =a cos t , y =a sin t ,L 3: x =x , y =x ,因而 ,.(5)⎰Γ++ds zy x 2221, 其中Γ为曲线x =e t cos t , y =e t sin t , z =e t 上相应于t 从0变到2的这段弧;解,.(6), 其中Γ为折线ABCD , 这里A 、B 、C 、D 依次为点(0, 0, 0)、(0, 0, 2)、(1, 0, 2)、(1, 3, 2);解 Γ=AB +BC +CD , 其中AB : x =0, y =0, z =t (0≤t ≤1),BC : x =t , y =0, z =2(0≤t ≤3),CD : x =1, y =t , z =2(0≤t ≤3),故.(7), 其中L 为摆线的一拱x =a (t -sin t ), y =a (1-cos t )(0≤t ≤2π);解.(8), 其中L 为曲线x =a (cos t +t sin t ), y =a (sin t -t cos t )(0≤t ≤2π).解.4. 求半径为a , 中心角为2ϕ的均匀圆弧(线密度μ=1)的重心.解 建立坐标系如图10-4所示, 由对称性可知, 又ϕϕsin a =, 所以圆弧的重心为)0 ,sin (ϕϕa 5. 设螺旋形弹簧一圈的方程为x =a cos t , y =a sin t , z =kt , 其中0≤1≤2π, 它的线密度ρ(x , y , z )=x 2+y 2+z 2, 求:(1)它关于z 轴的转动惯量I z ; (2)它的重心.解 .(1).(2),,,,故重心坐标为.习题 10-21. 设L 为xOy 面内直线x =a 上的一段, 证明: .证明 设L 是直线x =a 上由(a , b 1)到(a , b 2)的一段,则L : x =a , y =t , t 从b 1变到b 2. 于是.2. 设L 为xOy 面内x 轴上从点(a , 0)到(b , 0)的一段直线,证明.证明L : x =x , y =0, t 从a 变到b , 所以.3. 计算下列对坐标的曲线积分:(1), 其中L 是抛物线y =x 2上从点(0, 0)到点(2, 4)的一段弧;解 L : y =x 2, x 从0变到2, 所以.(2), 其中L 为圆周(x -a )2+y 2=a 2(a >0)及x 轴所围成的在第一象限内的区域的整个边界(按逆时针方向绕行);解 L =L 1+L 2, 其中L 1: x =a +a cos t , y =a sin t , t 从0变到π,L 2: x =x , y =0, x 从0变到2a ,因此.(3), 其中L 为圆周x =R cos t , y =R sin t 上对应t 从0到的一段弧;解.(4)⎰+--+L yx dy y x dx y x 22)()(, 其中L 为圆周x 2+y 2=a 2(按逆时针方向绕行); 解 圆周的参数方程为: x =a cos t , y =a sin t , t 从0变到2π, 所以⎰+--+L y x dy y x dx y x 22)()(.(5), 其中Γ为曲线x =k θ, y =a cos θ, z =a sin θ上对应θ从0到π的一段弧;解 ⎰⎰--+=-+Γπθθθθθθ022]cos cos )sin (sin )[(d a a a a k k ydz zdy dx x .(6), 其中Γ是从点(1, 1, 1)到点(2, 3, 4)的一段直线;解 Γ的参数方程为x =1+t , y =1+2t , z =1+3t , t 从0变到1..(7), 其中Γ为有向闭折线ABCA , 这里的A , B , C依次为点(1, 0, 0), (0, 1, 0), (0, 0, 1);解 Γ=AB +BC +CA , 其中AB : x =x , y =1-x , z =0, x 从1变到0,BC : x =0, y =1-z , z =z , z 从0变到1,CA : x =x , y =0, z =1-x , x 从0变到1,故.(8), 其中L 是抛物线y =x 2上从(-1, 1)到(1, 1)的一段弧.解 L : x =x , y =x 2, x 从-1变到1, 故4. 计算, 其中L 是:(1)抛物线y =x 2上从点(1, 1)到点(4, 2)的一段弧;解 L : x =y 2, y =y , y 从1变到2, 故.(2)从点(1, 1)到点(4, 2)的直线段;解 L : x =3y -2, y =y , y 从1变到2, 故(3)先沿直线从点(1, 1)到(1, 2), 然后再沿直线到点(4, 2)的折线;解 L =L 1+L 2, 其中L 1: x =1, y =y , y 从1变到2,L 2: x =x , y =2, x 从1变到4,故dy x y dx y x dy x y dx y x L L )()()()(21-+++-++=⎰⎰ .(4)沿曲线x =2t 2+t +1, y =t 2+1上从点(1, 1)到(4, 2)的一段弧.解 L : x =2t 2+t +1, y =t 2+1, t 从0变到1, 故.5. 一力场由沿横轴正方向的常力F 所构成, 试求当一质量为m的质点沿圆周x 2+y 2=R 2按逆时针方向移过位于第一象限的那一段时场力所作的功.解 已知场力为F =(|F |, 0), 曲线L 的参数方程为x =R cos θ, y =R sin θ,θ从0变到, 于是场力所作的功为.6. 设z 轴与力方向一致, 求质量为m 的质点从位置(x 1, y 1, z 1)沿直线移到(x 2, y 2, z 2)时重力作的功.解 已知F =(0, 0, mg ). 设Γ为从(x 1, y 1, z 1)到(x 2, y 2, z 2)的直线,则重力所作的功为7.把对坐标的曲线积分化成对弧长的曲线积分,其中L为:(1)在xOy面内沿直线从点(0, 0)到(1, 1);解L的方向余弦,故.(2)沿抛物线y=x2从点(0, 0)到(1, 1);解曲线L上点(x,y)处的切向量为τ=(1, 2x),单位切向量为,故.(3)沿上半圆周x2+y2=2x从点(0, 0)到(1, 1).解L的方程为,其上任一点的切向量为,单位切向量为,故.8.设Γ为曲线x=t,y=t2,z=t3上相应于t从0变到1的曲线弧,把对坐标的曲线积分化成对弧长的曲线积分.解曲线Γ上任一点的切向量为τ=(1, 2t, 3t2)=(1, 2x, 3y),单位切向量为,.习题10-31.计算下列曲线积分,并验证格林公式的正确性:(1),其中L是由抛物线y=x2及y2=x所围成的区域的正向边界曲线;解L=L1+L2,故,而 dxdy x dxdy y P x Q DD )21()(-=∂∂-∂∂⎰⎰⎰⎰ ,所以 ⎰⎰⎰+=∂∂-∂∂l D Qdy Pdx dxdy yP x Q )(. (2), 其中L 是四个顶点分别为(0, 0)、(2, 0)、(2, 2)、和(0, 2)的正方形区域的正向边界.解 L =L 1+L 2+L 3+L 4, 故dy xy y dx xy x L L L L )2())((2324321-+-+++=⎰⎰⎰⎰ ⎰⎰⎰⎰+-+-+=202002022222)8()4(dy y dx x x dy y y dx x ,而,所以 ⎰⎰⎰+=∂∂-∂∂l D Qdy Pdx dxdy yP x Q )(. 2. 利用曲线积分, 求下列曲线所围成的图形的面积:(1)星形线x =a cos 3t , y =a sin 3t ;解.(2)椭圆9x 2+16y 2=144;解 椭圆9x 2+16y 2 =144的参数方程为x =4cos θ, y =3sin θ, 0≤θ≤2π, 故.(3)圆x 2+y 2=2ax .解 圆x 2+y 2=2ax 的参数方程为x =a +a cos θ, y =a sin θ, 0≤θ≤2π,故.3. 计算曲线积分,其中L为圆周(x-1)2+y2=2,L的方向为逆时针方向.解,.当x2+y2≠0时.在L内作逆时针方向的ε小圆周l:x=εcosθ,y=εsinθ(0≤θ≤2π),在以L和l为边界的闭区域Dε上利用格林公式得,即.因此.4.证明下列曲线积分在整个xOy面内与路径无关,并计算积分值:(1);解P=x+y,Q=x-y,显然P、Q在整个xOy面内具有一阶连续偏导数,而且,故在整个xOy面内,积分与路径无关.取L为点(1, 1)到(2, 3)的直线y=2x-1,x从1变到2,则.(2);解P=6xy2-y3,Q=6x2y-3xy2,显然P、Q在整个xOy面内具有一阶连续偏导数,并且,故积分与路径无关,取路径(1, 2)→(1, 4)→(3, 4)的折线,则.(3).解P=2xy-y4+3,Q=x2-4xy3,显然P、Q在整个xOy面内具有一阶连续偏导数,并且,所以在整个xOy面内积分与路径无关,选取路径为从(1, 0)→(1, 2)→(2, 1)的折线,则.5. 利用格林公式, 计算下列曲线积分:(1), 其中L 为三顶点分别为(0, 0)、(3, 0)和(3, 2)的三角形正向边界;解 L 所围区域D 如图所示, P =2x -y +4, Q =5y +3x -6,4)1(3=--=∂∂-∂∂yP x Q , 故由格林公式,得.(2)⎰-+-+Lx x dy ye x x dx e y x xy x y x )2sin ()sin 2cos (222, 其中L 为正 向星形线(a >0);解 , ,,由格林公式⎰-+-+L x x dy ye x x dx e y x xy x y x )2sin ()sin 2cos (222.(3), 其中L 为在抛物线2x =πy 2上由点(0, 0)到的一段弧;解 , ,,所以由格林公式,其中L 、OA 、OB 、及D 如图所示.故.(4), 其中L 是在圆周上由点(0, 0)到点(1, 1)的一段弧.解 P =x 2-y , Q =-x -sin 2y ,0)1(1=---=∂∂-∂∂yP x Q , 由格林公式有,其中L 、AB 、BO 及D 如图所示.故.6.验证下列P(x,y)dx+Q(x,y)dy在整个xOy平面内是某一函数u(x,y)的全微分,并求这样的一个u(x,y):(1)(x+2y)dx+(2x+y)dy;证明因为,所以P(x,y)dx+Q(x,y)dy是某个定义在整个xOy面内的函数u(x,y )的全微分..(2)2xydx+x2dy;解因为,所以P(x,y)dx+Q(x,y)dy是某个定义在整个xOy面内的函数u(x,y)的全微分..(3)4sin x sin3y cos xdx–3cos3y cos2xdy解因为,所以P(x,y)dx+Q(x,y)dy是某个定义在整个xOy平面内的函数u(x,y)的全微分..(4)解因为,所以P(x,y)dx+Q(x,y)dy是某个定义在整个xOy平面内的函数u(x,y)的全微分..(5)解因为,所以P(x,y)dx+Q(x,y)dy是某个函数u(x,y)的全微分.7.设有一变力在坐标轴上的投影为X=x+y2,Y=2xy-8,这变力确定了一个力场,证明质点在此场内移动时,场力所做的功与路径无关.解场力所作的功为.由于,故以上曲线积分与路径无关,即场力所作的功与路径无关.习题10-41.设有一分布着质量的曲面∑,在点(x,y,z)处它的面密度为μ(x,y,z),用对面积的曲面积分表达这曲面对于x轴的转动惯量.解. 假设μ(x , y , z )在曲面∑上连续, 应用元素法, 在曲面∑上任意一点(x , y , z )处取包含该点的一直径很小的曲面块dS (它的面积也记做dS ), 则对于x 轴的转动惯量元素为dI x =(y 2+z 2)μ(x , y , z )dS ,对于x 轴的转动惯量为.2. 按对面积的曲面积分的定义证明公式,其中∑是由∑1和∑2组成的.证明 划分∑1为m 部分, ∆S 1, ∆S 2, ⋅⋅⋅, ∆S m ;划分∑2为n 部分, ∆S m +1, ∆S m +2, ⋅⋅⋅, ∆S m +n ,则∆S 1, ⋅⋅⋅, ∆S m , ∆S m +1, ⋅⋅⋅, ∆S m +n 为∑的一个划分, 并且.令, , , 则当λ→0时, 有.3. 当∑是xOy 面内的一个闭区域时, 曲面积分与二重积分有什么关系?解 ∑的方程为z =0, (x , y )∈D ,,故 .4. 计算曲面积分, 其中∑为抛物面z =2-(x 2+y 2)在xOy 面上方的部分, f (x , y , z )分别如下:(1) f (x , y , z )=1;解 ∑: z =2-(x 2+y 2), D xy : x 2+y 2≤2,.因此⎰⎰+=πθ2020241rdr r d .(2) f (x , y , z )=x 2+y 2;解 ∑: z =2-(x 2+y 2), D xy : x 2+y 2≤2,dxdy y x dxdy z z dS y x 22224411++=++=.因此 dxdy y x y x dS z y x f xyD 2222441)(),,(+++=⎰⎰⎰⎰∑ ⎰⎰+=πθ2020241rdr r d.(3) f (x , y , z )=3z .解 ∑: z =2-(x 2+y 2), D xy : x 2+y 2≤2,.因此dxdy y x y x xyD 2222441)](2[3+++-=⎰⎰.5. 计算, 其中∑是:(1)锥面及平面z =1所围成的区域的整个边界曲面; 解 将∑分解为∑=∑1+∑2, 其中∑1: z =1 , D 1: x 2+y 2≤1, dS =dxdy ;∑1:, D 2: x 2+y 2≤1, .+.提示: .(2)锥面z 2=3(x 2+y 2)被平面z =0及z =3所截得的部分. 解 ∑:, D xy : x 2+y 2≤3,,因而 .提示: .6. 计算下面对面积的曲面积分:(1), 其中∑为平面在第一象限中的部分;解 , ,,.(2), 其中∑为平面2x +2y +z =6在第一象限中的部分; 解 ∑: z =6-2x -2y , D xy : 0≤y ≤3-x , 0≤x ≤3,,⎰⎰--+--=x dy y xy x x dx 30230)22236(3.(3)dS z y x )(++∑⎰⎰, 其中∑为球面x 2+y 2+z 2=a 2上z ≥h (0<h <a )的部分;解 ∑:, D xy : x 2+y 2≤a 2-h 2,,(根据区域的对称性及函数的奇偶性).提示:,(4), 其中∑为锥面被x 2+y 2=2ax 所截得的有限部分. 解 ∑: , D xy : x 2+y 2≤2ax ,,dxdy y x y x xy dS zx yz xy xyD ])([2)(22+++=++⎰⎰⎰⎰∑421564a =. 提示: .7. 求抛物面壳的质量, 此壳的面密度为μ=z .解 ∑: , D xy : x 2+y 2≤2,.故.8. 求面密度为μ0的均匀半球壳x 2+y 2+z 2=a 2(z ≥0)对于z 轴的转动惯量.解 ∑: , D xy : x 2+y 2≤a 2,,.提示:.习题10-51. 按对坐标的曲面积分的定义证明公式:.解 证明把∑分成n 块小曲面∆S i (∆S i 同时又表示第i 块小曲面的面 积), ∆S i 在yOz 面上的投影为(∆S i )yz , (ξi , ηi ,ζi )是∆S i 上任意取定的一点, λ是各小块曲面的直径的最大值, 则.2. 当∑为xOy 面内的一个闭区域时, 曲面积分与二重积分有什么关系?解 因为∑: z =0, (x , y )∈D xy , 故dxdy z y x R dxdy z y x R xyD ),,(),,(⎰⎰⎰⎰±=∑,当∑取的是上侧时为正号, ∑取的是下侧时为负号.3. 计算下列对坐标的曲面积分:(1)zdxdy y x 22∑⎰⎰其中∑是球面x 2+y 2+z 2=R 2的下半部分的下侧;解 ∑的方程为, D xy : x 2+y 2≤R , 于是zdxdyy x 22∑⎰⎰dxdy y x R y x xyD )(22222----=⎰⎰.(2), 其中z 是柱面x 2+y 2=1被平面z =0及z =3所截得的第一卦限内的部分的前侧;解 ∑在xOy 面的投影为零, 故.∑可表示为, (y , z )∈D yz ={(y , z )|0≤y ≤1, 0≤z ≤3}, 故⎰⎰⎰⎰⎰⎰⎰-=-=-=∑3010102221311dy y dy y dz dydz y xdyz yz D ∑可表示为, (z , x )∈D zx ={(z , x )|0≤z ≤3, 0≤x ≤1}, 故dzdx x ydzdx zx D 21-=⎰⎰⎰⎰∑⎰⎰⎰-=-=30101022131dx x dx x dz . 因此 .解法二 ∑前侧的法向量为n =(2x , 2y , 0), 单位法向量为,由两种曲面积分之间的关系,dS z y x ydzdx xdydz zdxdy )cos cos cos (γβα++=++∑∑⎰⎰⎰⎰.提示: 表示曲面的面积.(3), 其中f (x , y , z )为连续函数, ∑是平面x -y +z =1在第四卦限部分的上侧;解 曲面∑可表示为z =1-x +y , (x , y )∈D xy ={(x , y )|0≤x ≤1, 0≤y ≤x -1}, ∑上侧的法向量为n =(1, -1, 1), 单位法向量为,由两类曲面积分之间的了解可得dS z f y f x f ]cos )(cos )2(cos )[(γβα+++++=∑⎰⎰.(4), 其中∑是平面x =0, y =0, z =0, x +y +z =1所围成的空间区域的整个边界曲面的外侧.解 ∑=∑1+∑2+∑3+∑4, 其中∑1: x =0, D yz : 0≤y ≤1, 0≤z ≤1-y ,∑2: y =0, D zx : 0≤z 1, 0≤x ≤1-z ,∑3: z =0, D xy : 0≤x ≤1, 0≤y ≤1-x ,∑4: z =1-x -y , D xy : 0≤x ≤1, 0≤y ≤1-x ,于是 xzdxdy 4000∑⎰⎰+++=由积分变元的轮换对称性可知.因此 .解 ∑=∑1+∑2+∑3+∑4, 其中∑1、∑2、∑3是位于坐标面上的三块;∑4: z =1-x -y , D xy : 0≤x ≤1, 0≤y ≤1-x .显然在∑1、∑2、∑3上的曲面积分均为零, 于是yzdzdx xydydz xzdxdy ++=∑⎰⎰4dS xz yz xy )cos cos cos (4γβα++=∑⎰⎰dS xz yz xy )(34++=∑⎰⎰.4. 把对坐标的曲面积分化成对面积的曲面积分:(1)∑为平面在第一卦限的部分的上侧;解 令, ∑上侧的法向量为:,单位法向量为,于是 Rdxdy Qdzdx Pdydz ++∑⎰⎰.(2)∑是抛物面z =8-(x 2+y 2)在xOy 面上方的部分的上侧.解 令F (x , y , z )=z +x 2+y 2-8, ∑上侧的法向量n =(F x , F y , F z )=(2x , 2y , 1),单位法向量为,于是 Rdxdy Qdzdx Pdydz ++∑⎰⎰10-61.利用高斯公式计算曲面积分:(1),其中∑为平面x=0,y=0,z=0,x=a,y=a,z=a所围成的立体的表面的外侧;解由高斯公式原式(这里用了对称性).(2),其中∑为球面x2+y2+z2=a2的外侧;解由高斯公式原式.(3),其中∑为上半球体x2+y2≤a2,的表面外侧;解由高斯公式原式.(4)其中∑界于z=0和z=3之间的圆柱体x2+y2≤9的整个表面的外侧;解由高斯公式原式.(5),其中∑为平面x=0,y=0,z=0,x=1,y=1,z=1所围成的立体的全表面的外侧.解由高斯公式原式.2.求下列向量A穿过曲面∑流向指定侧的通量:(1)A=yz i+xz j+xy k,∑为圆柱x+y2≤a2(0≤z≤h )的全表面,流向外侧;解P=yz,Q=xz,R=xy,⎰⎰⎰dv.=0=Ω(2)A=(2x-z)i+x2y j-xz2k,∑为立方体0≤x≤a, 0≤y≤a, 0≤z≤a,的全表面,流向外侧;解P=2x-z,Q=x2y,R=-xz2,.(3)A=(2x+3z)i-(xz+y)j+(y2+2z)k,∑是以点(3,-1, 2)为球心,半径R=3的球面,流向外侧.解P=2x+3z,Q=-(xz+y),R=y2+2z,⎰⎰⎰dv.π=3=108Ω3.求下列向量A的散度:(1)A=(x2+yz)i+(y2+xz)j+(z2+xy)k;解P=x2+yz,Q=y2+xz,R=-z2+xy,.(2)A=e xy i+cos(xy)j+cos(xz2)k;解P=e xy,Q=cos(xy),R=cos(xz2),.(3)A=y2z i+xy j+xz k;解P=y2,Q=xy,R=xz,.4.设u (x,y,z)、v (x,y,z)是两个定义在闭区域Ω上的具有二阶连续偏导数的函数,,依次表示u (x,y,z)、v (x,y,z)沿∑的外法线方向的方向导数.证明,其中∑是空间闭区间Ω的整个边界曲面,这个公式叫作林第二公式.证明由第一格林公式(见书中例3)知,.将上面两个式子相减,即得.5.利用高斯公式推证阿基米德原理:浸没在液体中所受液体的压力的合力(即浮力)的方向铅直向上,大小等于这物体所排开的液体的重力.证明取液面为xOy面,z轴沿铅直向下,设液体的密度为ρ,在物体表面∑上取元素dS上一点,并设∑在点(x,y,z)处的外法线的方向余弦为cos α, cos β, cos γ, 则dS 所受液体的压力在坐标轴x , y , z 上的分量 分别为-ρz cos αdS , -ρz cos β dS , -ρz cos γ dS ,∑所受的压力利用高斯公式进行计算得,,||cos Ω-=-=-=-=ΩΩ∑⎰⎰⎰⎰⎰⎰⎰⎰ρρργρdv dv dS z F z ,其中|Ω|为物体的体积. 因此在液体中的物体所受液体的压力的合力, 其方向铅直向上, 大小等于这物体所排开的液体所受的重力, 即阿基 米德原理得证.习题10-71. 利用斯托克斯公式, 计算下列曲线积分:(1), 其中Γ为圆周x 2+y 2+z 2=a 2, , 若从z 轴的正向看去, 这圆周取逆时针方向;解 设∑为平面x +y +z =0上Γ所围成的部分, 则∑上侧的单位法向量为.于是.提示: 表示∑的面积, ∑是半径为a 的圆.(2), 其中Γ为椭圆x 2+y 2=a 2,(a >0, b >0), 若从x 轴正向看去, 这椭圆取逆时针方向;解 设∑为平面上Γ所围成的部分, 则∑上侧的单位法向量为.于是.提示: ∑(即)的面积元素为.(3), 其中Γ为圆周x 2+y 2=2z , z =2, 若从z 轴的正向看去, 这圆周是取逆时针方向;解 设∑为平面z =2上Γ所围成的部分的上侧, 则.(4), 其中Γ为圆周x 2+y 2+z 2=9, z =0, 若从z 轴的正向看去, 这圆周是取逆时针方向.解 设∑为xOy 面上的圆x 2+y 2≤9的上侧, 则.2. 求下列向量场A 的旋度:(1)A =(2z -3y )i +(3x -z )j +(-2x )k ;解 .(2)A =(sin y )i -(z -x cos y )k ;解 .(3)A =x 2sin y i +y 2sin(xz )j +xy sin(cos z )k .解=[x sin(cos z )-xy 2cos(xz )]i -y sin(cos z )j +[y 2z cos(xz )-x 2cos y ]k . 3. 利用斯托克斯公式把曲面积分化为曲线积分, 并计算积分值, 其中A 、∑及n 分别如下:(1)A =y 2i +xy j +xz k , ∑为上半球面, 的上侧, n 是∑的单位法向量;解 设∑的边界Γ : x 2+y 2=1, z =0, 取逆时针方向, 其参数方程为x =cos θ, y =sin θ, z =0(0≤θ≤2π,由托斯公式.(2)A =(y -z )i +yz j -xz k , ∑为立方体0≤x ≤2, 0≤y ≤2, 0≤z ≤2的表面外侧 去掉xOy 面上的那个底面, n 是∑的单位法向量.解.4. 求下列向量场A 沿闭曲线Γ(从z 轴正向看依逆时针方向)的环流量:(1)A =-y i +x j +c k (c 为常量), Γ为圆周x 2+y 2=1, z =0;解.(2)A =(x -z )i +(x 3+yz )j -3xy 2k , 其中Γ为圆周, z =0.解 有向闭曲线Γ的参数方程为x =2cos θ, y =2sin θ, z =0(0≤π≤2π). 向量场A 沿闭曲线Γ的环流量为⎰⎰-++-=++L L dz xy dy yz x dx z x Rdz Qdy Pdx 223)()(.5.证明rot(a+b)=rot a+rot b.解令a=P1(x,y,z)i+Q1(x,y,z)j+R1(x,y,z)k,b=P2(x,y,z)i+Q2(x,y,z)j+R2(x,y,z)k,由行列式的性质,有.6.设u=u(x,y,z)具有二阶连续偏导数,求rot(grad u)解因为grad u=u x i+u y j+u z k,故=(u zy-u yz)i+(u zx-u xz)j+(u yx-u xy)k=0.*7.证明:(1)∇(uv)=u∇v+v∇u解=u∇v+v∇u.(2)解==u∆v+v∆u+2∇u⋅∇u.(3) ∇⋅(A⨯B )=B⋅(∇⨯A )-A⋅(∇⨯B )解B=P2i+Q2j+R2k,而所以∇⨯(A⨯B)=B⨯(∇⨯A)-A⨯( ∇⨯B )(4) ∇⨯(∇⨯A )=∇(∇⋅A )-∇2a解令A=Pi+Q j++R k,则从而命题地证总习题十1. 填空:(1)第二类曲线积分化成第一类曲线积分是____________, 其中α、β、γ为有向曲线弧Γ上点(x , y , z )处的_____________的方向角.解 , 切向量.(2)第二类曲面积分Rdxdy Qdzdx Pdydz ++∑⎰⎰化成第一类曲面积分是_______, 其中α、β、γ为有向曲面∑上点(x , y , z )处的________的方向角.解 , 法向量.2. 选择下述题中给出的四个结论中一个正确的结论:设曲面∑是上半球面: x 2+y 2+z 2=R 2(z ≥0), 曲面∑1是曲面∑在第一卦限中的部分, 则有________.(A )xdS xdS 14∑∑⎰⎰⎰⎰=; (B );(C )xdS zdS 14∑∑⎰⎰⎰⎰=; (D )xyzdS xyzdS 14∑∑⎰⎰⎰⎰=.解 (C ).3. 计算下列曲线积分:(1), 其中L 为圆周x 2+y 2=ax ;解 L 的参数方程为, (0≤θ≤2π), 故θθθθπd y x ax ds ax ds y x L L )()()(222022'+'⋅==+⎰⎰⎰().(2), 其中Γ为曲线x =t cos t , y =t sin t , z =t (0≤t ≤t 0);解.(3), 其中L 为摆线x =a (t -sin t ), y =a (1-cos t )上对应t 从0到2π的一段弧;解 ⎰⎰⋅-+-⋅+-=+-π20]sin )sin ()cos 1()cos 2[()2(dt t a t t a t a t a a a xdy dx y a L.(4), 其中Γ是曲线x =t , y =t 2, z =t 3上由听t 1=0到t 2=1的一段弧;解.(5), 其中L 为上半圆周(x -a )2+y 2=a 2, y ≥0, 沿逆时针方向;解 这里P =e x sin y -2y , Q =e x cos y -2, .令L 1为x 轴上由原点到(2a , 0)点的有向直线段, D 为L 和L 1所围成的区域, 则由格林公式,.(6), 其中Γ是用平面y =z 截球面x 2+y 2+z 2=1所得的截痕, 从z 轴的正向看去, 沿逆时针方向.解 曲线Γ的一般方程为, 其参数方程为, t 从0变到2π.于是.4. 计算下列曲面积分:(1), 其中∑是界于平面z =0及z =H 之间的圆柱面x 2+y 2=R 2;解 ∑=∑1+∑2, 其中, D xy : -R ≤y ≤R , 0≤z ≤H , ;, D xy : -R ≤y ≤R , 0≤z ≤H , ,于是.(2), 其中∑为锥面(0≤z ≤h ) 的外侧;解 这里P =y 2-z , Q =z 2-x , R =x 2-y , 0=∂∂+∂∂+∂∂zR y Q x P . 设∑1为z =h (x 2+y 2≤h 2)的上侧, Ω为由∑与∑1所围成的空间区域, 则由高斯公式,而40222024)sin cos ()(1h d r r d dxdy y x h πθθθθπ=-=-⎰⎰⎰⎰∑, 所以 .(3)zdxdy ydzdx xdydz ++∑⎰⎰, 其中∑为半球面的上侧;解 设∑1为xOy 面上圆域x 2+y 2≤R 2的下侧, Ω为由∑与∑1所围成的空间区域, 则由高斯公式得,而 ,所以 33202R R zdxdy ydzdx xdydz ππ=-=++∑⎰⎰.(4), 其中∑为曲面(z ≥0)的上侧;解 这里, , , 其中., , ,.设∑1为z =0的下侧, Ω是由∑和∑1所围成的空间区域, 则由高斯公式,32223222)()(1z y x zdxdy ydzdx xdydz z y x zdxdy ydzdx xdydz ++++-=++++∑∑⎰⎰⎰⎰. (5)xyzdxdy∑⎰⎰, 其中∑为球面x 2+y 2+z 2=1(x ≥0, y ≥0)的外侧. 解 ∑=∑1+∑2, 其中∑1是(x 2+y 2≤1, x ≥0, y ≥0)的上侧;∑2是(x 2+y 2≤1, x ≥0, y ≥0)的下侧,xyzdxdy xyzdxdy xyzdxdy 21∑∑∑⎰⎰⎰⎰⎰⎰+=dxdy y x xy dxdy y x xy xyxy D D )1(12222------=⎰⎰⎰⎰ ⎰⎰⎰⎰-⋅⋅=--=103220221sin cos 212ρρρθθθπd d dxdy y x xy xy D .5. 证明22y x ydy xdx ++在整个xOy 平面除去y 的负半轴及原点的区域G 内是某个二元函数的全微分, 并求出一个这样的二元函数.解 这里, . 显然, 区域G 是单连通的, P 和Q 在G 内具有一阶连续偏导数, 并且 , 所以22y x ydy xdx ++在开区域G 内是某个二元函数u (x , y )的全微分. .6. 设在半平面x >0内有力构成力场, 其中k 为常数, . 证明在此力场中场力所作的功与所取的路径无关.解 场力沿路径L 所作的功为.令, . 因为P 和Q 在单连通区域x >0内具有一阶连续的偏导数, 并且,所以上述曲线积分所路径无关, 即力场所作的功与路径无关.7. 求均匀曲面的质心的坐标.解 这里∑:, (x , y )∈D xy ={(x , y )|x 2+y 2≤a 2}.设曲面∑的面密度为ρ=1, 由曲面的对称性可知, . 因为,222421a a dS ππ=⋅=∑⎰⎰, 所以 .因此该曲面的质心为.8. 设u (x , y )、v (x , y )在闭区域D 上都具有二阶连续偏导数, 分段光滑的曲线L 为D 的正向边界曲线. 证明:(1);(2),其中、分别是u 、v 沿L 的外法线向量n 的方向导数, 符号称为二维拉普拉斯算子. 证明 设L 上的单位切向量为T =(cos α, sin α), 则n =(sin α, -cos α).(1),所以 .(2)dxdy u v v u dxdy y u x u v y v x v u DD )()]()([22222222∆-∆=∂∂+∂∂-∂∂+∂∂=⎰⎰⎰⎰. 9. 求向量A =x i +y j +z k 通过闭区域Ω={(x , y , z )|0≤x ≤1, 0≤y ≤1, 0≤z ≤1}的边界曲面流向外侧的通量.解 设∑为区域Ω的边界曲面的外侧, 则通量为33==Ω⎰⎰⎰dv .10. 求力F =y i +z j +x k 沿有向闭曲线Γ所作的功, 其中Γ为平面x +y +z =1被三个坐标面所截成的三角形的整个边界, 从z 轴正向看去, 沿顺时针方向.解 设∑为平面x +y +z =1在第一卦部分的下侧, 则力场沿其边界L (顺时针方向)所作的功为.曲面∑的的单位法向量为, 由斯托克斯公式有.温馨提示-专业文档供参考,请仔细阅读后下载,最好找专业人士审核后使用!。
高等数学(上)第一章 函数与极限1. 设⎪⎩⎪⎨⎧≥<=3||,03|||,sin |)(ππϕx x x x , 求).2(446ϕπϕπϕπϕ、、、⎪⎭⎫ ⎝⎛-⎪⎭⎫ ⎝⎛⎪⎭⎫ ⎝⎛ 2. 设()x f 的定义域为[]1,0,问:⑴()2x f ; ⑵()x f sin ;⑶()()0>+a a x f ; ⑷()()a x f a x f -++ ()0>a 的定义域是什么(1)][;,-的定义域为所以知-11)(,111022x f x x ≤≤≤≤ 3. 设()⎪⎩⎪⎨⎧>-=<=111011x x x x f ,()xe x g =,求()[]x gf 和()[]x fg ,并做出这两个函数的图形。
4. 设数列{}nx 有界, 又,0lim =∞→nn y证明: .0lim =∞→nnn yx5. 根据函数的定义证明: ⑴ ()813lim 3=-→x x(2) 0sin lim =+∞→x x x6. 根据定义证明: 当0→x 时,函数x x y 21+=是无穷大.问x 应满足什么条件时,才能使?104>y 7. 求极限:⑴13lim223+-→x x x =0⑵ ()hx h x h 22lim-+→=x h h x h h 2)2(lim 0=+→⑶13lim 242+-+∞→x x x x x =0(4) ()2121lim nn n -+++∞→ =212)1(lim 2=-∞→n n n n (5)⎪⎭⎫ ⎝⎛---→311311lim x x x =1)1)(1(31lim 221-=++--++→x x x x x x(6) ()223222lim -+→x x x x =∞8. 计算下列极限: ⑴ xxx 1sinlim 20→=0⑵ x x x arctan lim ∞→=0arctan .1lim =∞→x xx 9. 计算下列极限:⑴ x x x ωsin lim 0→=ϖϖϖϖ=→.sin lim 0xx x ⑵ x x x 3tan lim 0→=33cos 1.3sin lim 0=→xx x x ⑶ xx xx sin 2cos 1lim 0-→=2sin .sin 2lim 20=→xx xx(4)xx x 321⎪⎭⎫ ⎝⎛-∞→lim =6620)21(lim ---→=⎥⎦⎤⎢⎣⎡-e x xx(5)()xx x 121+→lim =22.210)21(lim e x xx =+→(6)xx x x ⎪⎭⎫ ⎝⎛--∞→13lim =21)2.(21)121(lim -+--∞→=-+e xxx10. 利用极限存在准则证明:⑴ 11211lim 222=⎪⎭⎫⎝⎛++++++∞→πππn n nn n n故原式=1⑵ 数列 ,222,22,2+++的极限存在,并求其极限. 11. 当0→x 时, 22x x -与32x x -相比, 哪一个是较高阶的无穷小12. 当1→x 时, 无穷小x -1和()2121x -是否同阶是否等价 13. 证明: 当0→x 时, 有2~1sec 2x x -.14. 利用等价无穷小的代换定理, 求极限: xxx x 3sin sin tan lim -→. 15. 讨论()201212x x f x x x ⎧≤<=⎨-≤≤⎩ 的连续性, 并画出其图形.16. 指出下列函数的间断点属于哪一类.若是可去间断点,则补充或改变函数的定义使其连续. ⑴2,123122==+--=x x x x x y⑵ 11311=⎩⎨⎧>-≤-=x x xx x y1x y ==017. 讨论函数()xx x x f nnn 2211lim +-=∞→的连续性, 若有间断点, 判别其类型。
习题7-11. 指出下列各点所在的坐标轴、坐标面或卦限:A (2,1,-6),B (0,2,0),C (-3,0,5),D (1,-1,-7).解:A 在V 卦限,B 在y 轴上,C 在xOz 平面上,D 在VIII 卦限。
2. 已知点M (-1,2,3),求点M 关于坐标原点、各坐标轴及各坐标面的对称点的坐标.解:设所求对称点的坐标为(x ,y ,z ),则(1) 由x -1=0,y +2=0,z +3=0,得到点M 关于坐标原点的对称点的坐标为:(1,-2,-3).(2) 由x =-1,y +2=0,z +3=0,得到点M 关于x 轴的对称点的坐标为:(-1,-2,-3).同理可得:点M 关于y 轴的对称点的坐标为:(1, 2,-3);关于z 轴的对称点的坐标为:(1,-2,3).(3)由x =-1,y =2,z +3=0,得到点M 关于xOy 面的对称点的坐标为:(-1, 2,-3).同理,M 关于yOz 面的对称点的坐标为:(1, 2,3);M 关于zOx 面的对称点的坐标为:(-1,-2,3).3. 在z 轴上求与两点A (-4,1,7)和B (3,5,-2)等距离的点.解: 设所求的点为M (0,0,z ),依题意有|MA |2=|MB |2,即(-4-0)2+(1-0)2+(7-z)2=(3-0)2+(5-0)2+(-2-z)2.解之得z =11,故所求的点为M (0,0,149).4. 证明以M 1(4,3,1),M 2(7,1,2),M 3(5,2,3)三点为顶点的三角形是一个等腰三角形.解:由两点距离公式可得21214M M =,2213236,6M M M M == 所以以M 1(4,3,1),M 2(7,1,2),M 3(5,2,3)三点为顶点的三角形是一个等腰三角形.5. 设平面在坐标轴上的截距分别为a =2,b =-3,c =5,求这个平面的方程.解:所求平面方程为1235y x z ++=-。
习题七1. 在空间直角坐标系中,定出下列各点的位置:A(1,2,3); B(-2,3,4); C(2,-3,-4);D(3,4,0); E(0,4,3); F(3,0,0).解:点A在第Ⅰ卦限;点B在第Ⅱ卦限;点C在第Ⅷ卦限;点D在xOy面上;点E在yOz面上;点F在x轴上.2. xOy坐标面上的点的坐标有什么特点?yOz面上的呢?zOx面上的呢?答: 在xOy面上的点,z=0;在yOz面上的点,x=0;在zOx面上的点,y=0.3. x轴上的点的坐标有什么特点?y轴上的点呢?z轴上的点呢?答:x轴上的点,y=z=0;y轴上的点,x=z=0;z轴上的点,x=y=0.4. 求下列各对点之间的距离:(1)(0,0,0),(2,3,4);(2)(0,0,0),(2,-3,-4);(3)(-2,3,-4),(1,0,3);(4)(4,-2,3),(-2,1,3).解:(1)s=(2) s==(3) s==(4) s==5. 求点(4,-3,5)到坐标原点和各坐标轴间的距离.解:点(4,-3,5)到x轴,y轴,z轴的垂足分别为(4,0,0),(0,-3,0),(0,0,5).故2s=xs==ys==5zs==.6. 在z轴上,求与两点A(-4,1,7)和B(3,5,-2)等距离的点. 解:设此点为M(0,0,z),则222222(4)1(7)35(2)z z-++-=++--解得149 z=即所求点为M(0,0,149).1731747. 试证:以三点A (4,1,9),B (10,-1,6),C (2,4,3)为顶点的三角形是等腰直角三角形.证明:因为|AB |=|AC |=7.且有 |AC |2+|AB |2=49+49=98=|BC |2. 故△ABC 为等腰直角三角形. 8. 验证:()()++=++a b c a b c . 证明:利用三角形法则得证.见图7-1图7-19. 设2, 3.=-+=-+-u a b c v a b c 试用a , b , c 表示23.-u v 解:232(2)3(3)2243935117-=-+--+-=-++-+=-+u v a b c a b c a b c a b c a b c10. 把△ABC 的BC 边分成五等份,设分点依次为D 1,D 2,D 3,D 4,再把各分点与A 连接,试以AB =c ,BC =a 表示向量1D A ,2D A ,3D A 和4D A . 解:1115D A BA BD =-=--c a 2225D A BA BD =-=--c a3335D A BA BD =-=--c a444.5D A BA BD =-=--c a11. 设向量OM 的模是4,它与投影轴的夹角是60°,求这向量在该轴上的投影. 解:设M 的投影为M ',则1Pr j cos 604 2.2u OM OM =︒=⨯= 12. 一向量的终点为点B (2,-1,7),它在三坐标轴上的投影依次是4,-4和7,求这向量的起点A 的坐标.解:设此向量的起点A 的坐标A (x , y , z ),则{4,4,7}{2,1,7}AB x y z =-=----解得x =-2, y =3, z =0故A 的坐标为A (-2, 3, 0).17513. 一向量的起点是P 1(4,0,5),终点是P 2(7,1,3),试求: (1) 12PP 在各坐标轴上的投影; (2) 12PP 的模;(3) 12PP 的方向余弦; (4) 12PP 方向的单位向量. 解:(1)12Pr j 3,x x a PP == 12Pr j 1,y y a PP == 12Pr j 2.z z a PP ==-(2) 12(7PP ==(3) 12cos 14x a PP α==12cos 14y a PP β==12cos 14z a PP γ==.(4) 12012{14PP PP ===+e j . 14. 三个力F 1=(1,2,3), F 2=(-2,3,-4), F 3=(3,-4,5)同时作用于一点. 求合力R 的大小和方向余弦.解:R =(1-2+3,2+3-4,3-4+5)=(2,1,4)||==Rcos cos cos αβγ=== 15. 求出向量a = i +j +k , b =2i -3j +5k 和c=-2i -j +2k 的模,并分别用单位向量,,a b c e e e 来表达向量a, b , c .解:||==a ||==b||3==c, , 3. a b c ===a b c e17616. 设m =3i +5j +8k , n =2i -4j -7k , p =5i +j -4k ,求向量a =4m +3n -p 在x 轴上的投影及在y 轴上的分向量.解:a =4(3i +5j +8k )+3(2i -4j -7k )-(5i +j -4k )=13i +7j +15k 在x 轴上的投影a x =13,在y 轴上分向量为7j . 17.解:设{,,}x y z a a a a =则有 c o s (1,1)3x a i a a i a i π⋅====⋅ 求得12x a =. 设a 在xoy 面上的投影向量为b 则有{,,0}x y b a a =则222cos 42a ba b π⋅=⇒=⋅ 则214y a =求得12y a =± 又1,a =则2221x y z a a a ++= 从而求得11{,,}222a =±或11{,,}222-± 18. 已知两点M 1(2,5,-3),M 2(3,-2,5),点M 在线段M 1M 2上,且123M M MM =,求向径OM 的坐标. 解:设向径OM ={x , y , z }12{2,5,3}{3,2,5}M M x y z MM x y z =--+=----因为,123M M MM =所以,11423(3)153(2) 433(5)3x x x y y y z z z ⎧=⎪-=-⎧⎪⎪⎪-=--⇒=-⎨⎨⎪⎪+=-⎩=⎪⎪⎩故OM ={111,,344-}.17719. 已知点P 到点A (0,0,12)的距离是7,OP 的方向余弦是236,,777,求点P 的坐标.解:设P 的坐标为(x , y , z ), 2222||(12)49PA x y z =++-= 得2229524x y z z ++=-+126570cos 6, 749z z γ=⇒==又122190cos 2, 749x x α==⇒==123285cos 3, 749y y β==⇒==故点P 的坐标为P (2,3,6)或P (190285570,,494949). 20. 已知a , b 的夹角2π3ϕ=,且3,4==b a ,计算: (1) a ·b ; (2) (3a -2b )·(a + 2b ). 解:(1)a ·b =2π1cos ||||cos3434632ϕ⋅⋅=⨯⨯=-⨯⨯=-a b (2) (32)(2)3624-⋅+=⋅+⋅-⋅-⋅a b a b a a a b b a b b2223||44||334(6)41661.=+⋅-=⨯+⨯--⨯=-a a b b21. 已知a =(4,-2, 4), b =(6,-3, 2),计算:(1)a ·b ; (2) (2a -3b )·(a + b ); (3)2||-a b 解:(1)46(2)(3)4238⋅=⨯+-⨯-+⨯=a b (2) (23)()2233-⋅+=⋅+⋅-⋅-⋅a b a b a a a b a b b b222222222||3||2[4(2)4]383[6(3)2]23638349113=-⋅-=⨯+-+--+-+=⨯--⨯=-a a b b (3) 222||()()2||2||-=-⋅-=⋅-⋅+⋅=-⋅+a b a b a b a a a b b b a a b b36238499=-⨯+=22. 已知四点A (1,-2,3),B (4,-4,-3),C (2,4,3),D (8,6,6),求向量AB 在178向量CD 上的投影.解:AB ={3,-2,-6},CD ={6,2,3}Pr j CD AB CD AB CD⋅=4.7==-23. 若向量a +3b 垂直于向量7a -5b ,向量a -4b 垂直于向量7a -2b ,求a 和b 的夹角. 解: (a +3b )·(7a -5b ) =227||1615||0+⋅-=a a b b ① (a -4b )·(7a -2b ) = 227||308||0-⋅+=a a b b ②由①及②可得:222221()1||||2||||4⋅⋅⋅==⇒=a b a b a b a b a b 又21||02⋅=>a b b ,所以1cos ||||2θ⋅==a b a b , 故1πarccos23θ==. 24. 设a =(-2,7,6),b =(4, -3, -8),证明:以a 与b 为邻边的平行四边形的两条对角线互相垂直. 证明:以a ,b 为邻边的平行四边形的两条对角线分别为a +b ,a -b ,且 a +b ={2,4, -2} a -b ={-6,10,14}又(a +b )·(a -b )= 2×(-6)+4×10+(-2)×14=0 故(a +b )⊥(a -b ).25. 已知a =3i +2j -k , b =i -j +2k ,求: (1) a ×b ; (2) 2a ×7b ; (3) 7b ×2a ; (4) a ×a . 解:(1) 211332375122111--⨯=++=----a b i j k i j k(2) 2714()429870⨯=⨯=--a b a b i j k(3) 7214()14()429870⨯=⨯=-⨯=-++b a b a a b i j k (4) 0⨯=a a .26. 已知向量a 和b 互相垂直,且||3, ||4==a b .计算: (1) |(a +b )×(a -b )|;(2) |(3a +b )×(a -2b )|.(1)|()()|||2()|+⨯-=⨯-⨯+⨯-⨯=-⨯a b a b a a a b b a b b a b179π2||||sin242=⋅⋅=a b (2) |(3)(2)||362||7()|+⨯-=⨯-⨯+⨯-⨯=⨯a b a b a a a b b a b b b aπ734sin842=⨯⨯⨯= 27. 求垂直于向量3i -4j -k 和2i -j +k 的单位向量,并求上述两向量夹角的正弦. 解:411334555111221----⨯=++=--+--a b i j k i j k与⨯a b平行的单位向量)||⨯==--+⨯a b e i j k a b||sin ||||26θ⨯===⨯a b a b . 28. 一平行四边形以向量a =(2,1,-1)和b =(1,-2,1)为邻边,求其对角线夹角的正弦.解:两对角线向量为13=+=-l a b i j ,232=-=+-l a b i j k因为12|||2610|⨯=++=l l i j k12||||l l 所以1212||sin 1||||θ⨯===l l l l .即为所求对角线间夹角的正弦.29. 已知三点A (2,-1,5), B (0,3,-2), C (-2,3,1),点M ,N ,P 分别是AB ,BC ,CA 的中点,证明:1()4MN MP AC BC ⨯=⨯. 证明:中点M ,N ,P 的坐标分别为31(1,1,), (1,3,), (0,1,3)22M N P --{2,2,2}MN =--3{1,0,}2MP =-{4,4,4}AC =-- {2,0,3}BC =-18022222235233100122MN MP ----⨯=++=++--i j k i j k 44444412208033220AC BC ---⨯=++=++--i j k i j k故 1()4MN MP AC BC ⨯=⨯. 30.(1)解: xy z xyzij k a b a a a b b b ⨯==-+-+-y z z y z x x z x y y x a b a b i a b a b j a b a b k ()()()则 C=-C +-+-y z z y x z x x z y x y y x y a b a b a b a b a b C a b a b C ⨯⋅()()()()xy z xy z xyza a ab b b C C C = 若 ,,C a b 共面,则有a b ⨯后与 C 是垂直的. 从而C 0a b ⨯⋅=() 反之亦成立. (2) C xy z xy z x y za a a ab b b b C C C ⨯⋅=() a xy z xy z x y z b b b b C C C C a a a ⨯⋅=() b xy z xy z xy z C C C C a a a a b b b ⨯⋅=() 由行列式性质可得:xy z x y z x y z xy z x y z xy z xyzxyzxyza a ab b b C C C b b b C C C a a a C C C a a a b b b == 故C a a b b C C a ⨯⋅=⨯⋅=⨯⋅()()()18131. 四面体的顶点在(1,1,1),(1,2,3),(1,1,2)和(3,-1,2)求四面体的表面积. 解:设四顶点依次取为A , B , C , D .{0,1,2}, {2,2,1}AB AD ==-则由A ,B ,D 三点所确定三角形的面积为111|||542|22S AB AD =⨯=+-=i j k .同理可求其他三个三角形的面积依次为12故四面体的表面积12S =+32.解:设四面体的底为BCD ∆,从A 点到底面BCD ∆的高为h ,则 13BCDV S h =⋅⋅,而11948222BCDSBC BD i j k =⨯=--+= 又BCD ∆所在的平面方程为:48150x y z +-+=则43h ==故1942323V =⋅⋅= 33. 已知三点A (2,4,1), B (3,7,5), C (4,10,9),证:此三点共线. 证明:{1,3,4}AB =,{2,6,8}AC = 显然2AC AB =则22()0AB AC AB AB AB AB ⨯=⨯=⨯=故A ,B ,C 三点共线.34. 一动点与M 0(1,1,1)连成的向量与向量n =(2,3,-4)垂直,求动点的轨迹方程. 解:设动点为M (x , y , z )0{1,1,1}M M x y z =---因0M M n ⊥,故00M M n ⋅=.即2(x -1)+3(y -1)-4(z -1)=0整理得:2x +3y -4z -1=0即为动点M 的轨迹方程. 35. 求通过下列两已知点的直线方程: (1) (1,-2,1), (3,1,-1); (2) (3,-1,0),(1,0,-3).182解:(1)两点所确立的一个向量为s ={3-1,1+2,-1-1}={2,3,-2}故直线的标准方程为:121232x y z -+-==- 或 311232x y z --+==- (2)直线方向向量可取为s ={1-3,0+1,-3-0}={-2,1,-3}故直线的标准方程为:31213x y z -+==-- 或 13213x y z -+==-- 36. 求直线234035210x y z x y z +--=⎧⎨-++=⎩的标准式方程和参数方程.解:所给直线的方向向量为 12311223719522335--=⨯=++=----s n n i j k i j k另取x 0=0代入直线一般方程可解得y 0=7,z 0=17于是直线过点(0,7,17),因此直线的标准方程为:7171719x y z --==-- 且直线的参数方程为:771719x t y t z t =⎧⎪=-⎨⎪=-⎩37. 求过点(4,1,-2)且与平面3x -2y +6z =11平行的平面方程. 解:所求平面与平面3x -2y +6z =11平行 故n ={3,-2,6},又过点(4,1,-2)故所求平面方程为:3(x -4)-2(y -1)+6(z +2)=0 即3x -2y +6z +2=0.38. 求过点M 0(1,7,-3),且与连接坐标原点到点M 0的线段OM 0垂直的平面方程. 解:所求平面的法向量可取为0{1,7,3}OM ==-n故平面方程为:x -1+7(y -7)-3(z +3)=0 即x +7y -3z -59=039. 设平面过点(1,2,-1),而在x 轴和z 轴上的截距都等于在y 轴上的截距的两倍,求此平面方程.解:设平面在y 轴上的截距为b 则平面方程可定为122x y z b b b++= 又(1,2,-1)在平面上,则有121122b b b-++=183得b =2.故所求平面方程为1424x y z ++= 40. 求过(1,1,-1), (-2,-2,2)和(1,-1,2)三点的平面方程. 解:由平面的三点式方程知1112121213131310x x y y z z x x y y z z x x y y z z ------=--- 代入三已知点,有1112121210111121x y z --+----+=---+化简得x -3y -2z =0即为所求平面方程.41. 指出下列各平面的特殊位置,并画出其图形: (1) y =0; (2) 3x -1=0; (3) 2x -3y -6=0; (4) x – y =0; (5) 2x -3y +4z =0.解:(1) y =0表示xOz 坐标面(如图7-2) (2) 3x -1=0表示垂直于x 轴的平面.(如图7-3)图7-2 图7-3(3) 2x -3y -6=0表示平行于z 轴且在x 轴及y 轴上的截距分别为x =3和y =-2的平面.(如图7-4) (4) x –y =0表示过z 轴的平面(如图7-5)(5) 2x -3y +4z =0表示过原点的平面(如图7-6).图7-4 图7-5 图7-6 42. 通过两点(1,1,1,)和(2,2,2)作垂直于平面x +y -z =0的平面. 解:设平面方程为Ax +By +Cz +D =0 则其法向量为n ={A ,B ,C }已知平面法向量为n 1={1,1,-1} 过已知两点的向量l ={1,1,1}由题知n·n1=0, n·l=0即0,.A B CC A B A B C+-=⎧⇒==-⎨++=⎩所求平面方程变为Ax-Ay+D=0又点(1,1,1)在平面上,所以有D=0故平面方程为x-y=0.43. 决定参数k的值,使平面x+ky-2z=9适合下列条件:(1)经过点(5,-4,6);(2)与平面2x-3y+z=0成π4的角.解:(1)因平面过点(5,-4,6)故有5-4k-2×6=9得k=-4.(2)两平面的法向量分别为n1={1,k,-2} n2={2,-3,1}且1212πcos cos||||42θ⋅====n nn n解得2k=±44. 确定下列方程中的l和m:(1) 平面2x+ly+3z-5=0和平面mx-6y-z+2=0平行;(2) 平面3x-5y+lz-3=0和平面x+3y+2z+5=0垂直.解:(1)n1={2,l,3}, n2={m,-6,-1}12232,18613lm lm⇒==⇒=-=--n n(2) n1={3, -5, l }, n2={1,3,2}12315320 6.l l⊥⇒⨯-⨯+⨯=⇒=n n45. 通过点(1,-1,1)作垂直于两平面x-y+z-1=0和2x+y+z+1=0的平面.解:设所求平面方程为Ax+By+Cz+D=0其法向量n={A,B,C}n1={1,-1,1}, n2={2,1,1}12203203A CA B CA B C CB⎧=-⎪⊥⇒-+=⎪⇒⎨⊥⇒++=⎪=⎪⎩n nn n又(1,-1,1)在所求平面上,故A-B+C+D=0,得D=0故所求平面方程为233CCx y Cz-++=即2x-y-3z=018418546. 求平行于平面3x -y +7z =5,且垂直于向量i -j +2k 的单位向量. 解:n 1={3,-1,7}, n 2={1,-1,2}.12,⊥⊥n n n n故1217733152122111--=⨯=++=+---n n n i j k i j k则2).n =+-e i j k 47. 求下列直线与平面的交点:(1)11126x y z-+==-, 2x +3y +z -1=0; (2) 213232x y z +--==, x +2y -2z +6=0. 解:(1)直线参数方程为1126x ty t z t =+⎧⎪=--⎨⎪=⎩代入平面方程得t =1 故交点为(2,-3,6).(2) 直线参数方程为221332x t y t z t =-+⎧⎪=+⎨⎪=+⎩代入平面方程解得t =0. 故交点为(-2,1,3). 48. 求下列直线的夹角: (1)533903210x y z x y z -+-=⎧⎨-+-=⎩ 和2223038180x y z x y z +-+=⎧⎨++-=⎩; (2)2314123x y z ---==- 和 38121y z x --⎧=⎪--⎨⎪=⎩ 解:(1)两直线的方向向量分别为:s 1={5, -3,3}×{3, -2,1}=533321ij k--={3,4, -1}s 2={2,2, -1}×{3,8,1}=221381i j k-={10, -5,10}186由s 1·s 2=3×10+4×(-5)+( -1) ×10=0知s 1⊥s 2 从而两直线垂直,夹角为π2. (2) 直线2314123x y z ---==-的方向向量为s 1={4, -12,3},直线38121y z x --⎧=⎪--⎨⎪=⎩的方程可变为22010y z x -+=⎧⎨-=⎩,可求得其方向向量s 2={0,2, -1}×{1,0,0}={0, -1, -2},于是1212cos 0.2064785θθ⋅==≈⋅'≈︒s s s s 49. 求满足下列各组条件的直线方程: (1)经过点(2,-3,4),且与平面3x -y +2z -4=0垂直; (2)过点(0,2,4),且与两平面x +2z =1和y -3z =2平行; (3)过点(-1,2,1),且与直线31213x y z --==-平行. 解:(1)可取直线的方向向量为 s ={3,-1,2}故过点(2,-3,4)的直线方程为234312x y z -+-==- (2)所求直线平行两已知平面,且两平面的法向量n 1与n 2不平行,故所求直线平行于两平面的交线,于是直线方向向量12102{2,3,1}013=⨯==--i j ks n n故过点(0,2,4)的直线方程为24231x y z --==- (3)所求直线与已知直线平行,故其方向向量可取为 s ={2,-1,3}故过点(-1,2,1)的直线方程为121213x y z +--==-. 50. 试定出下列各题中直线与平面间的位置关系:(1)34273x y z++==--和4x -2y -2z =3; (2)327x y z==-和3x -2y +7z =8;187(3)223314x y z -+-==-和x +y +z =3. 解:平行而不包含. 因为直线的方向向量为s ={-2,-7,3}平面的法向量n ={4,-2,-2},所以(2)4(7)(2)3(2)0⋅=-⨯+-⨯-+⨯-=s n于是直线与平面平行.又因为直线上的点M 0(-3,-4,0)代入平面方程有4(3)2(4)2043⨯--⨯--⨯=-≠.故直线不在平面上.(2) 因直线方向向量s 等于平面的法向量,故直线垂直于平面.(3) 直线在平面上,因为3111(4)10⨯+⨯+-⨯=,而直线上的点(2,-2,3)在平面上. 51. 求过点(1,-2,1),且垂直于直线23030x y z x y z -+-=⎧⎨+-+=⎩ 的平面方程.解:直线的方向向量为12123111-=++-ij ki j k , 取平面法向量为{1,2,3},故所求平面方程为1(1)2(2)3(1)0x y z ⨯-+++-=即x +2y +3z =0.52. 求过点(1,-2,3)和两平面2x -3y +z =3, x +3y +2z +1=0的交线的平面方程. 解:设过两平面的交线的平面束方程为233(321)0x y z x y z λ-+-++++= 其中λ为待定常数,又因为所求平面过点(1,-2,3) 故213(2)33(13(2)231)0λ⨯-⨯-+-++⨯-+⨯+=解得λ=-4.故所求平面方程为2x +15y +7z +7=053. 求点(-1,2,0)在平面x +2y -z +1=0上的投影.解:过点(-1,2,0)作垂直于已知平面的直线,则该直线的方向向量即为已知平面的法向量,即s =n ={1,2,-1}所以垂线的参数方程为122x t y t z t =-+⎧⎪=+⎨⎪=-⎩将其代入平面方程可得(-1+t )+2(2+2t )-(-t )+1=0188得23t =-于是所求点(-1,2,0)到平面的投影就是此平面与垂线的交点522(,,)333-54. 求点(3,-1,2)到直线10240x y z x y z +-+=⎧⎨-+-=⎩的距离.解:过点(3,-1,2)作垂直于已知直线的平面,平面的法向量可取为直线的方向向量即11133211==-=---ij kn s j k故过已知点的平面方程为y +z =1.联立方程组102401x y z x y z y z +-+=⎧⎪-+-=⎨⎪+=⎩解得131,,.22x y z ==-= 即13(1,,)22-为平面与直线的垂足于是点到直线的距离为d = 55. 求点(1,2,1)到平面x +2y +2z -10=0距离.解:过点(1,2,1)作垂直于已知平面的直线,直线的方向向量为s =n ={1,2,2}所以垂线的参数方程为12212x t y t z t =+⎧⎪=+⎨⎪=+⎩将其代入平面方程得13t =. 故垂足为485(,,)333,且与点(1,2,1)的距离为1d ==即为点到平面的距离.56. 建立以点(1,3,-2)为中心,且通过坐标原点的球面方程.解:球的半径为R =设(x ,y ,z )为球面上任一点,则(x -1)2+(y -3)2+(z +2)2=14 即x 2+y 2+z 2-2x -6y +4z =0为所求球面方程.57. 一动点离点(2,0,-3)的距离与离点(4,-6,6)的距离之比为3,求此动点的轨迹方程.189解:设该动点为M (x ,y ,z )3.=化简得:8x 2+8y 2+8z 2-68x +108y -114z +779=0 即为动点的轨迹方程.58. 指出下列方程所表示的是什么曲面,并画出其图形:(1)22()()22a a x y -+=; (2)22149x y -+=; (3)22194x z +=; (4)20y z -=; (5)220x y -=; (6)220x y +=. 解:(1)母线平行于z 轴的抛物柱面,如图7-7. (2)母线平行于z 轴的双曲柱面,如图7-8.图7-7 图7-8 (3)母线平行于y 轴的椭圆柱面,如图7-9. (4)母线平行于x 轴的抛物柱面,如图7-10.图7-9 图7-10(5)母线平行于z 轴的两平面,如图7-11. (6)z 轴,如图7-12.图7-11 图7-1219059. 指出下列方程表示怎样的曲面,并作出图形:(1)222149y z x ++=; (2)22369436x y z +-=; (3)222149y z x --=; (4)2221149y z x +-=; (5)22209z x y +-=. 解:(1)半轴分别为1,2,3的椭球面,如图7-13. (2) 顶点在(0,0,-9)的椭圆抛物面,如图7-14.图7-13 图7-14(3) 以x 轴为中心轴的双叶双曲面,如图7-15. (4) 单叶双曲面,如图7-16.图7-15 图7-16(5) 顶点在坐标原点的圆锥面,其中心轴是z 轴,如图7-17.图7-1760. 作出下列曲面所围成的立体的图形: (1) x 2+y 2+z 2=a 2与z =0,z =2a(a >0); (2) x +y +z =4,x =0,x =1,y =0,y =2及z =0; (3) z =4-x 2, x =0, y =0, z =0及2x +y =4; (4) z =6-(x 2+y 2),x =0, y =0, z =0及x +y =1.191解:(1)(2)(3)(4)分别如图7-18,7-19,7-20,7-21所示.图7-18 图7-19图7-20 图7-21 61. 求下列曲面和直线的交点:(1) 222181369x y z ++=与342364x y z --+==-; (2) 22211694x y z +-=与2434x y z +==-.解:(1)直线的参数方程为334624x ty t z t =+⎧⎪=-⎨⎪=-+⎩代入曲面方程解得t =0,t =1. 得交点坐标为(3,4,-2),(6,-2,2). (2) 直线的参数方程为4324x t y tz t =⎧⎪=-⎨⎪=-+⎩代入曲面方程可解得t =1, 得交点坐标为(4,-3,2).62. 设有一圆,它的中心在z 轴上,半径为3,且位于距离xOy 平面5个单位的平面上,试建立这个圆的方程.192解:设(x ,y ,z )为圆上任一点,依题意有2295x y z ⎧+=⎨=±⎩ 即为所求圆的方程.63. 试考察曲面22219254x y z -+=在下列各平面上的截痕的形状,并写出其方程. (1) 平面x =2; (2) 平面y =0; (3) 平面y =5; (4) 平面z =2.解:(1)截线方程为2212x ⎧=⎪⎪⎨⎪⎪=⎩ 其形状为x =2平面上的双曲线.(2)截线方程为221940x z y ⎧+=⎪⎨⎪=⎩为xOz 面上的一个椭圆.(3)截线方程为2215y ==⎩为平面y =5上的一个椭圆.(4) 截线方程为2209252x y z ⎧-=⎪⎨⎪=⎩为平面z =2上的两条直线.64. 求曲线x 2+y 2+z 2=a 2, x 2+y 2=z 2在xOy 面上的投影曲线. 解:以曲线为准线,母线平行于z 轴的柱面方程为2222a x y +=故曲线在xOy 面上的投影曲线方程为22220a x y z ⎧+=⎪⎨⎪=⎩65. 建立曲线x 2+y 2=z , z =x +1在xOy 平面上的投影方程. 解:以曲线为准线,母线平行于z 轴的柱面方程为x 2+y 2=x +1即2215()24x y -+=.193故曲线在xOy 平面上的投影方程为2215()240x y z ⎧-+=⎪⎨⎪=⎩习题八1. 判断下列平面点集哪些是开集、闭集、区域、有界集、无界集?并分别指出它们的聚点集和边界: (1) {(x , y )|x ≠0};(2) {(x , y )|1≤x 2+y 2<4}; (3) {(x , y )|y <x 2};(4) {(x , y )|(x -1)2+y 2≤1}∪{(x , y )|(x +1)2+y 2≤1}.解:(1)开集、无界集,聚点集:R 2,边界:{(x , y )|x =0}. (2)既非开集又非闭集,有界集, 聚点集:{(x , y )|1≤x 2+y 2≤4},边界:{(x , y )|x 2+y 2=1}∪{(x , y )| x 2+y 2=4}. (3)开集、区域、无界集, 聚点集:{(x , y )|y ≤x 2}, 边界:{(x , y )| y =x 2}.(4)闭集、有界集,聚点集即是其本身,边界:{(x , y )|(x -1)2+y 2=1}∪{(x , y )|(x +1)2+y 2=1}. 2. 已知f (x , y )=x 2+y 2-xy tanxy,试求(,)f tx ty . 解:222(,)()()tan(,).tx f tx ty tx ty tx ty t f x y ty=+-⋅= 3. 已知(,,)w u v f u v w u w +=+,试求(,,).f x y x y xy +- 解:f ( x + y , x -y , x y ) =( x + y )xy +(x y )x +y +x -y =(x + y )xy +(x y )2x . 4. 求下列各函数的定义域:2(1)ln(21);z y x =-+(2)z =(3)z =(4)u =(5)z =(6)ln()z y x =-194(7)u =解:2(1){(,)|210}.D x y y x =-+>(2){(,)|0,0}.D x y x y x y =+>->22222(3){(,)|40,10,0}.D x y x y x y x y =-≥-->+≠(4){(,,)|0,0,0}.D x y z x y z =>>>2(5){(,)|0,0,}.D x y x y x y =≥≥≥ 22(6){(,)|0,0,1}.D x y y x x x y =->≥+< 22222(7){(,,)|0,0}.D x y z x y x y z =+≠+-≥5. 求下列各极限:10(1)y x y →→ 22001(2)lim;x y x y →→+00(3)x y →→x y →→00sin (5)lim ;x y xy x →→2222221cos()(6)lim.()ex y x y x y x y +→→-++解:(1)原式0ln 2.=(2)原式=+∞. (3)原式=01.4x y →→=-(4)原式=002.x y →→=(5)原式=00sin lim100.x y xyy xy →→⋅=⨯=(6)原式=22222222222()00001()2lim lim 0.()e 2ex y x y x x y y x y x y x y ++→→→→++==+1956. 判断下列函数在原点O (0,0)处是否连续:33222222sin(),0,(1)0,0;x y x y z x y x y ⎧++≠⎪=+⎨⎪+=⎩33333333sin(),0,(2)0,0;x y x y z x y x y ⎧++≠⎪=+⎨⎪+=⎩(3) 222222222,0,(2)()0,0;x y x y z x y x y x y ⎧+≠⎪=+-⎨⎪+=⎩解:(1)由于3333333322223333sin()sin()sin()0()x y x y x y x y y x x y x y x y x y++++≤=≤+⋅++++ 又00lim()0x y y x →→+=,且3333000sin()sin lim lim 1x u y x y ux y u →→→+==+, 故0lim 0(0,0)x y z z →→==.故函数在O (0,0)处连续. (2)000sin lim lim1(0,0)0x u y uz z u→→→==≠=故O (0,0)是z 的间断点.(3)若P (x ,y ) 沿直线y =x 趋于(0,0)点,则2222000lim lim 10x x y x x x z x x →→=→⋅==⋅+, 若点P (x ,y ) 沿直线y =-x 趋于(0,0)点,则22222220000()lim lim lim 0()44x x x y x x x x z x x x x →→→=-→-===⋅-++ 故00lim x y z →→不存在.故函数z 在O (0,0)处不连续.7. 指出下列函数在向外间断:(1) f (x ,y )=233x y x y -+; (2) f (x ,y )=2222y xy x +-;(3) f (x ,y )=ln(1-x 2-y 2);(4)f (x ,y )=22e ,0,0,0.x y x y yy -⎧⎪≠⎨⎪=⎩196解:(1)因为当y =-x 时,函数无定义,所以函数在直线y =-x 上的所有点处间断,而在其余点处均连续.(2)因为当y 2=2x 时,函数无定义,所以函数在抛物线y 2=2x 上的所有点处间断.而在其余各点处均连续.(3)因为当x 2+y 2=1时,函数无定义,所以函数在圆周x 2+y 2=1上所有点处间断.而在其余各点处均连续.(4)因为点P (x ,y )沿直线y =x 趋于O (0,0)时.1200lim (,)lime x x y x xf x y x-→→=→==∞. 故(0,0)是函数的间断点,而在其余各点处均连续. 8. 求下列函数的偏导数:(1)z = x 2y +2xy;(2)s =22u v uv+;(3)z = x;(4)z = lntan x y; (5)z = (1+xy )y ; (6)u = z xy ;(7)u = arctan(x -y )z; (8)y zu x =.解:(1)223122,.z z x xy x x y y y∂∂=+=-∂∂ (2)u v s v u =+ 2211,.s v s u u v u v v u∂∂=-=-+∂∂(3)2222212ln(),2z x x x x y x x y ∂==++∂+222.z xy x y y x y ∂==∂+ (4)21122sec csc ,tan z x x x x y y y yy∂=⋅⋅=∂222122sec ()csc .tan z x x x x x y y y y yy∂=⋅⋅-=-∂ (5)两边取对数得ln ln(1)z y xy =+故[]221(1)(1)(1).ln(1)1y yy x z y xy xy y xy y xy x xy-∂'=+⋅=+⋅=++∂+197[]ln(1)(1)(1)ln(1)1ln(1)(1).1y y y y x z xy yxy xy y xy xy y xy xy xy xy ∂⎡⎤'++=+⋅=++⎢⎥+∂⎣⎦⎡⎤++=+⎢⎥+⎣⎦(6)1ln ln xy xy xy u u uz z y z z x xy z x y z-∂∂∂=⋅⋅=⋅⋅=⋅∂∂∂ (7)11221()().1[()]1()z z z zu z x y z x y x x y x y --∂-=⋅-=∂+-+- 112222()(1)().1[()]1()()ln()()ln().1[()]1()z z z z z zz zu z x y z x y y x y x y u x y x y x y x y z x y x y --∂-⋅--==-∂+-+-∂----==∂+-+-(8)1.yzu y x x z-∂=∂ 2211ln ln .ln ln .y yz z yy z zu x x x x y z zu y y x x x x z z z ∂=⋅=∂∂⎛⎫=⋅=-- ⎪∂⎝⎭9.已知22x y u x y=+,求证:3u u x y u x y ∂∂+=∂∂. 证明: 222223222()2()()u xy x y x y x y xy x x y x y ∂+-+==∂++. 由对称性知 22322()u x y yx y x y ∂+=∂+. 于是 2223()3()u u x y x y x y u x y x y ∂∂++==∂∂+.10.设11ex y z ⎛⎫+- ⎪⎝⎭=,求证:222z z xy z x y∂∂+=∂∂. 证明: 11112211e e x y x y z x x x ⎛⎫⎛⎫++-- ⎪ ⎪⎝⎭⎝⎭∂⎡⎤⎛⎫=-=- ⎪⎢⎥∂⎝⎭⎣⎦, 由z 关于x ,y 的对称性得1981121e x y z y y ⎛⎫+- ⎪⎝⎭∂=∂ 故 11111122222211e e 2e 2.x y x y x y z z x y x y z x y x y⎛⎫⎛⎫⎛⎫+++--- ⎪ ⎪ ⎪⎝⎭⎝⎭⎝⎭∂∂+⋅=⋅+⋅==∂∂11.设f (x ,y ) = x +(y,求f x (x ,1) .解:1(,)1(x f x y y y =+- 则(,1)101x f x =+=.12.求曲线2244x y z y ⎧+=⎪⎨⎪=⎩在点(2,4,5)处的切线与正向x 轴所成的倾角.解:(2,4,5)1,1,2z z x x x ∂∂==∂∂ 设切线与正向x 轴的倾角为α, 则tan α=1. 故α=π4. 13.求下列函数的二阶偏导数: (1)z = x 4+ y 4-4x 2y 2; (2)z = arctan y x; (3)z = y x ;(4)z = 2ex y+.解:(1)2322224812816z z z x xy x y xy x x x y∂∂∂=-=-=-∂∂∂∂ ,,由x ,y 的对称性知22222128.16.z z y x xy y y x∂∂=-=-∂∂∂ (2)222211zy y xx y x y x ∂⎛⎫=⋅=-- ⎪∂+⎝⎭⎛⎫+ ⎪⎝⎭,1992222222222222222222222222222222222222222()022,()()11,12,()()2,()()2.()()z x y y x xyx x y x y z x y x x y y x z xyy x y z x y y y y x x y x y x y z x y x x y x y x x y x y ∂+⋅-⋅=-=∂++∂=⋅=∂+⎛⎫+ ⎪⎝⎭∂=-∂+∂+-⋅-=-=∂∂++∂+-⋅-=-=∂∂++ (3)222ln ,ln ,xx z z y y y y x x∂∂==∂∂ 21222112111,(1),1ln (1ln ),ln (1ln ).x x x x x x x x z z xy x x y y y z y xy y y x y x y y zy x y y y x y y x-------∂∂==-∂∂∂=⋅+=+∂∂∂=+⋅⋅=+∂∂ (4)22e 2,e ,x y x y z zx x y++∂∂=⋅=∂∂ 222222222e 22e 22e (21),e ,2e ,2e .x y x y x y x y x y x y z x x x xz z z x x y x y y x++++++∂=⋅⋅+⋅=+∂∂∂∂===∂∂∂∂∂14.设f (x , y , z ) = xy 2+yz 2+zx 2,求(0,0,1),(0,1,0),(2,0,1).xx yz zzx f f f - 解:2(,,)2x f x y z y zx =+22(,,)2,(0,0,1)2,(,,)2(,,)2,(0,1,0)0,(,,)2(,,)2(,,)0,(2,0,1)0.xx xx y yz yz z zz zzx zzx f x y z z f f x y z xy z f x y z z f f x y z yz x f x y z yf x y z f ===+=-==+===15315.设z = x ln ( x y ),求32z x y ∂∂∂及32zx y ∂∂∂.解:ln()1ln(),z yx xy xy x xy∂=⋅+=+∂ 232223221,0,11,.z y zx xy x x y z x z x y xy y x y y∂∂===∂∂∂∂∂===-∂∂∂∂16.求下列函数的全微分: (1)22e xy z +=;(2)z =(3)zyu x =;(4)yzu x =.解:(1)∵2222e 2,e 2x y x y z z x y x y++∂∂=⋅=⋅∂∂ ∴222222d 2e d 2e d 2e (d d )xy x y x y z x x y y x x y y +++=+=+(2)∵22223/21()z xy y x y x x y ∂⎛⎫-=⋅=- ⎪+∂+⎝⎭2223/2()z x yx y ∂==∂+ ∴ 223/2d (d d ).()x z y x x y x y =--+ (3)∵11,ln z z z y y z u uy x x x zy x y --∂∂==⋅⋅∂∂ 2ln ln y z ux x y y z∂=⋅⋅⋅∂ ∴211d d ln d ln ln d .z z zy y z y z u y x x x x zy y x x y y z --=+⋅+⋅⋅⋅(4)∵1yz u y x x z-∂=∂ 1ln yz u x x y z∂=⋅⋅∂154ln yz u y x x z z 2∂⎛⎫=⋅⋅- ⎪∂⎝⎭∴121d d ln d ln d .y y yz z z y y u x x x x y x x z z z z -⎛⎫=+⋅⋅+⋅⋅- ⎪⎝⎭17. 求下列函数在给定点和自变量增量的条件下的全增量和全微分: (1)222,2,1,0.2,0.1;z x xy y x y x y =-+==-∆=∆=- (2)e ,1,1,0.15,0.1.xy z x y x y ===∆=∆=解:(1)22()()()2()9.688 1.68z x x x x y y y y z ∆=+∆-+∆+∆++∆-=-=d (2)(4) 1.6z x y x x y y =-∆+-+∆=(2)()()0.265e e e(e 1)0.30e.x x y y xy z +∆+∆∆=-=-=d e e e ()0.25e xy xy xy z y x x y y x x y =∆+∆=∆+∆=18.利用全微分代替全增量,近似计算: (1) (1.02)3·(0.97)2;;(3)(1.97)1.05.解:(1)设f (x ,y )=x 3·y 2,则223(,)3,(,)2,x y f x y x y f x y x y ==故d f (x ,y )=3x 2y 2d x +2x 3y d y =xy (3xy d x +2x 2d y ) 取x =1,y =1,d x =0.02,d y =-0.03,则(1.02)3·(0.97)2=f (1.02,0.97)≈f (1,1)+d f (1,1)d 0.02d 0.03x y ==-=13×12+1×1[3×1×1×0.02+2×12×(-0.03)]=1.(2)设f (x ,y,则(,)(,)x y f x y f x y ===故d (,)d d )f x y x x y y =+取4,3,d 0.05,d 0.07x y x y ====-,则155d 0.05d 0.07(4.05,2.93)(4,3)d (4,3)0.053(0.07)]15(0.01)54.998x y f f f ==-=≈+=⨯+⨯-=+⨯-=(3)设f (x ,y )=x y ,则d f (x ,y )=yx y -1d x +x y ln x d y , 取x =2,y =1,d x =-0.03,d y =0.05,则1.05d 0.03d 0.05(1.97)(1.97,1.05)(2,1)d (2,1)20.0393 2.0393.x y f f f =-==≈+=+=19.矩型一边长a =10cm ,另一边长b =24cm, 当a 边增加4mm ,而b 边缩小1mm 时,求对角线长的变化.解:设矩形对角线长为l ,则d d ).l l x x y y ==+当x =10,y =24,d x =0.4,d y =-0.1时,d 0.4240.1)0.062l =⨯-⨯=(cm)故矩形的对角线长约增加0.062cm.20.解:因为圆锥体的体积为21.3V r h π=⋅0030,0.1,60,0.5r r h h ====- 而221.33V V V dV r h yh r r h r h ππ∂∂≈=⋅+⋅=⋅+⋅∂∂0030,0.1,60,0.5r r h h ====-时, 2213.1430600.130(0.5)33V π≈⨯⨯⨯⨯+⨯⨯- 230()cm =-21.解:设水池的长宽深分别为,,x y z 则有:V xyz =精确值为:50.242 2.850.22 3.62V =⨯⨯+⨯⨯⨯+⨯⨯⨯ 313.632()m = 近似值为:156V dV zx y xy z ≈=+0.4,0.4,0.2x y z ===430.4530.454V d V ≈=⨯⨯+⨯⨯+⨯⨯314.8()m =22. 求下列复合函数的偏导数或全导数:(1)22,cos ,sin ,z x y xy x u v y u v =-==求z u ∂∂,zv∂∂; (2)z =arc tanxy, x =u +v ,y =u -v , 求z u ∂∂,z v ∂∂;(3)ln(e e )xyu =+, y =x 3, 求d d u x; (4) u =x 2+y 2+z 2, x =e cos tt , y =e sin tt , z =e t, 求d d ut. 解:(1)222(2)cos (2)sin 3sin cos (cos sin )z z x z yxy y v x xy v u x u y u u v v v v ∂∂∂∂∂=⋅+⋅=-⋅+-∂∂∂∂∂=-223333(2)sin (2)cos 2sin cos (sin cos )(sin cos ).z z x z yxy y u v x xy u v v x v y v u v v v v u v v ∂∂∂∂∂=⋅+⋅=--⋅+-⋅∂∂∂∂∂=-+++ (2)222222211111x z z x z y y x v y u x u y uy x y u v x x y y ∂∂∂∂∂--⎛⎫-=⋅+⋅=⋅+⋅== ⎪∂∂∂∂∂++⎝⎭⎛⎫⎛⎫++ ⎪ ⎪⎝⎭⎝⎭ 2222222111(1)11.x z z x z yy v x v y vyx x y y y x ux y u v -∂∂∂∂∂⎛⎫=⋅+⋅=⋅+⋅⋅- ⎪∂∂∂∂∂⎝⎭⎛⎫⎛⎫++ ⎪ ⎪⎝⎭⎝⎭+==++ (3)33222d d d 11e 3e e 3e e e 3.d d d e e e e e e e ex y xx x y x y x y x y x x u u x u y x x x x x x y x ∂∂++=⋅+⋅=⋅+⋅⋅==∂∂++++ (4)d d d d d d d d u u x u y u z t x t y t z t∂∂∂=⋅+⋅+⋅∂∂∂ 22(e cos e sin )2(e sin e cos )2e 4e t t t t t t x t t y t t z =-+++⋅=.15723. 设f 具有一阶连续偏导数,试求下列函数的一阶偏导数: (1)22(,e );xy u f x y =- (2),;x y u f y z ⎛⎫= ⎪⎝⎭(3)().,,u f x xy xyz = 解:(1)12122e 2e .xy xy uf x f y xf y f x∂''''=⋅+⋅⋅=+∂ 1212(2)e 2e .xy xy uf y f x yf x f y∂''''=⋅-+⋅⋅=-+∂ (2)1111u f f x y y∂''=⋅=∂ 121222222211..x u x f f f f y y z y z u y y f f z z z ∂⎛⎫''''-=⋅+⋅=-+ ⎪∂⎝⎭∂⎛⎫''=⋅=-- ⎪∂⎝⎭(3)1231231,uf f y f yz f yf yzf x∂''''''=⋅+⋅+⋅=++∂ 12323330,.uf f x f xz xf xzf yuf xy xyf z∂'''''=⋅+⋅+⋅=+∂∂''=⋅=∂24.设(),,()yz xy xF u u F u x=+=为可导函数,证明: .z zxy z xy x y∂∂+=+∂∂ 证明:2()()()()z y y y xF u F u F u y F u x x x ∂⎛⎫''=+⋅+=+-- ⎪∂⎝⎭1()().z x xF u x F u y x∂''=+⋅=+∂ 故[]()()()()()()().z z F u y xy x y x F u F u y x y x xF u xy yF u xy yF u xy xF u xy z xy '∂∂⎡⎤'+=+++-⎢⎥∂∂⎣⎦''=+-++=++=+15825. 设22()yz f x y =-,其中f (u )为可导函数,验证: 211z z zx x y y y∂∂+=∂∂. 证明:∵2222z yf x xyf x f f''∂⋅=-=-∂, 222(2)2z f y f y f y f y f f''∂-⋅⋅-+==∂, ∴22222112211z z yf f y f y zx x y y f yf yf f y y ''∂∂++=-+==⋅=∂∂⋅ 26. 22()z f x y =+,其中f 具有二阶导数,求22222,,.z z z x x y y∂∂∂∂∂∂∂解:2,2,z zxf yf x y∂∂''==∂∂ 222222224,224,zf x xf f x f xzxf y xyf x y∂''''''=+⋅=+∂∂''''=⋅=∂∂ 由对称性知,22224.z f y f y∂'''=+∂27. 设f 具有二阶偏导函数,求下列函数的二阶偏导数: (1),;x x z f y ⎛⎫= ⎪⎝⎭(2)()22;,z f xy x y =(3)().sin ,cos ,e x y z f x y += 解:(1)1212111,z f f f f x y y∂''''=⋅+⋅=+∂1592212211121112222221222122222222222222222223211121,1111,,2z f f f f f f f y x y y y yx x z x f f f f f f y y y x y y y y yx z x f f y y y z x x f f y y y ∂⎛⎫''''''''''''''+⋅=+⋅+=+⋅+ ⎪∂⎝⎭∂⎛⎫⎛⎫⎛⎫''''''''''--+=⋅-+⋅=-- ⎪ ⎪ ⎪∂∂⎝⎭⎝⎭⎝⎭∂⎛⎫''-==- ⎪∂⎝⎭∂''=-∂22222342.x x x f f y yy ⎛⎫''''-⋅=+ ⎪⎝⎭,(2)22121222,zf y f xy y f xyf x∂''''=⋅+⋅=+∂ ()()22222211122122432221112222222244,zy yf xy f y f xy f y f xy x yf y f xy f x y f ∂'''''''''=++⋅+⋅⋅+⋅∂'''''''=+++()()()()222212111221223322121122122212122222121112212212222222225,22,22222zyf y xf xy f xy f x f xy f x x yyf xf xy f x yf x y f zf xy f x xyf x f yzxf xy x f xy f x f xy f x yxf ∂''''''''''=+++⋅+⋅⋅+⋅∂∂''''''''=++++∂''''=⋅+⋅=+∂∂'''''''''=++⋅+⋅⋅+⋅∂'=223411122244.x y f x yf x f ''''''+++(3)1313cos e cos e ,x y x y zf x f xf f x++∂''''=⋅+⋅=+∂ ()()1321113313322()311113332312133233sin cos e e cos e cos e e sin cos 2e cos e ,cos e e (sin )e (sin )x y x y x y x y x y x y x y x y x y x y zxf x f f x f f x f xf xf xf xf f z x f f y f f y f x y++++++++++∂''''''''''=-+++⋅+⋅+⋅∂''''''''=-+++∂'⎡⎤''''''=++⋅⋅-+⋅⋅-+⎣⎦∂∂2()3121332332323223222233233e e cos sin e cos e sin e ,(sin )e sin e ,cos sin e e (sin )e (sin )e x y x y x y x y x y x y x y x y x y x y x y f x yf xf yf f zf y f yf f yz yf y f f y f f y f y +++++++++++⎡⎤''⋅⎣⎦'''''''''=-+-+∂''''=-+=-+∂∂''⎡⎤⎡''''''''=--++-+⋅-+⋅⎣⎦∂22()32222333e cos sin 2e sin e .x y x y x y f yf yf yf f +++⎤⎣⎦''''''''=-+-+28. 试证:利用变量替换1,3x y x y ξη=-=-,可将方程。
高等数学课后习题及参考答案(第十章)习题10-11.设在xOy面内有一分布着质量的曲线弧L,在点(x,y)处它的线密度为μ(x,y),用对弧长的曲线积分分别表达:(1)这曲线弧对x轴、对y轴的转动惯量I x,I y;(2)这曲线弧的重心坐标,.解在曲线弧L上任取一长度很短的小弧段ds(它的长度也记做ds),设(x,y)为小弧段ds上任一点.曲线L对于x轴和y轴的转动惯量元素分别为dI x=y2μ(x,y)ds,dI y=x2μ(x,y)ds.曲线L对于x轴和y轴的转动惯量分别为,.曲线L对于x轴和y轴的静矩元素分别为dM x=yμ(x,y)ds,dM y=xμ(x,y)ds.曲线L的重心坐标为,.2.利用对弧长的曲线积分的定义证明:如果曲线弧L分为两段光滑曲线L1和L2,则.证明划分L,使得L1和L2的连接点永远作为一个分点,则.令λ=max{∆s i}→0,上式两边同时取极限,即得.3.计算下列对弧长的曲线积分:(1),其中L为圆周x=a cos t,y=a sin t (0≤t≤2π);解=.(2),其中L为连接(1, 0)及(0, 1)两点的直线段;解L的方程为y=1-x (0≤x≤1);.(3), 其中L 为由直线y =x 及抛物线y =x 2所围成的区域的整个边界; 解 L 1: y =x 2(0≤x ≤1), L 2: y =x (0≤x ≤1) ..(4), 其中L 为圆周x 2+y 2=a 2, 直线y =x 及x 轴在第一象限内所围成的扇形的整个边界;解 L =L 1+L 2+L 3, 其中L 1: x =x , y =0(0≤x ≤a ),L 2: x =a cos t , y =a sin t ,L 3: x =x , y =x ,因而 ,.(5)⎰Γ++ds zy x 2221, 其中Γ为曲线x =e t cos t , y =e t sin t , z =e t 上相应于t 从0变到2的这段弧;解,.(6), 其中Γ为折线ABCD , 这里A 、B 、C 、D 依次为点(0, 0, 0)、(0, 0, 2)、(1, 0, 2)、(1, 3, 2);解 Γ=AB +BC +CD , 其中AB : x =0, y =0, z =t (0≤t ≤1),BC : x =t , y =0, z =2(0≤t ≤3),CD : x =1, y =t , z =2(0≤t ≤3),故.(7), 其中L 为摆线的一拱x =a (t -sin t ), y =a (1-cos t )(0≤t ≤2π);解.(8), 其中L 为曲线x =a (cos t +t sin t ), y =a (sin t -t cos t )(0≤t ≤2π).解.4. 求半径为a , 中心角为2ϕ的均匀圆弧(线密度μ=1)的重心.解 建立坐标系如图10-4所示, 由对称性可知, 又ϕϕsin a =, 所以圆弧的重心为)0 ,sin (ϕϕa 5. 设螺旋形弹簧一圈的方程为x =a cos t , y =a sin t , z =kt , 其中0≤1≤2π, 它的线密度ρ(x , y , z )=x 2+y 2+z 2, 求:(1)它关于z 轴的转动惯量I z ; (2)它的重心.解 .(1).(2),,,,故重心坐标为.习题 10-21. 设L 为xOy 面内直线x =a 上的一段, 证明: .证明 设L 是直线x =a 上由(a , b 1)到(a , b 2)的一段,则L : x =a , y =t , t 从b 1变到b 2. 于是.2. 设L 为xOy 面内x 轴上从点(a , 0)到(b , 0)的一段直线,证明.证明L : x =x , y =0, t 从a 变到b , 所以.3. 计算下列对坐标的曲线积分:(1), 其中L 是抛物线y =x 2上从点(0, 0)到点(2, 4)的一段弧;解 L : y =x 2, x 从0变到2, 所以.(2), 其中L 为圆周(x -a )2+y 2=a 2(a >0)及x 轴所围成的在第一象限内的区域的整个边界(按逆时针方向绕行);解 L =L 1+L 2, 其中L 1: x =a +a cos t , y =a sin t , t 从0变到π,L 2: x =x , y =0, x 从0变到2a ,因此.(3), 其中L 为圆周x =R cos t , y =R sin t 上对应t 从0到的一段弧;解.(4)⎰+--+L yx dy y x dx y x 22)()(, 其中L 为圆周x 2+y 2=a 2(按逆时针方向绕行); 解 圆周的参数方程为: x =a cos t , y =a sin t , t 从0变到2π, 所以⎰+--+L y x dy y x dx y x 22)()(.(5), 其中Γ为曲线x =k θ, y =a cos θ, z =a sin θ上对应θ从0到π的一段弧;解 ⎰⎰--+=-+Γπθθθθθθ022]cos cos )sin (sin )[(d a a a a k k ydz zdy dx x .(6), 其中Γ是从点(1, 1, 1)到点(2, 3, 4)的一段直线;解 Γ的参数方程为x =1+t , y =1+2t , z =1+3t , t 从0变到1..(7), 其中Γ为有向闭折线ABCA , 这里的A , B , C依次为点(1, 0, 0), (0, 1, 0), (0, 0, 1);解 Γ=AB +BC +CA , 其中AB : x =x , y =1-x , z =0, x 从1变到0,BC : x =0, y =1-z , z =z , z 从0变到1,CA : x =x , y =0, z =1-x , x 从0变到1,故.(8), 其中L 是抛物线y =x 2上从(-1, 1)到(1, 1)的一段弧.解 L : x =x , y =x 2, x 从-1变到1, 故4. 计算, 其中L 是:(1)抛物线y =x 2上从点(1, 1)到点(4, 2)的一段弧;解 L : x =y 2, y =y , y 从1变到2, 故.(2)从点(1, 1)到点(4, 2)的直线段;解 L : x =3y -2, y =y , y 从1变到2, 故(3)先沿直线从点(1, 1)到(1, 2), 然后再沿直线到点(4, 2)的折线;解 L =L 1+L 2, 其中L 1: x =1, y =y , y 从1变到2,L 2: x =x , y =2, x 从1变到4,故dy x y dx y x dy x y dx y x L L )()()()(21-+++-++=⎰⎰ .(4)沿曲线x =2t 2+t +1, y =t 2+1上从点(1, 1)到(4, 2)的一段弧.解 L : x =2t 2+t +1, y =t 2+1, t 从0变到1, 故.5. 一力场由沿横轴正方向的常力F 所构成, 试求当一质量为m的质点沿圆周x 2+y 2=R 2按逆时针方向移过位于第一象限的那一段时场力所作的功.解 已知场力为F =(|F |, 0), 曲线L 的参数方程为x =R cos θ, y =R sin θ,θ从0变到, 于是场力所作的功为.6. 设z 轴与力方向一致, 求质量为m 的质点从位置(x 1, y 1, z 1)沿直线移到(x 2, y 2, z 2)时重力作的功.解 已知F =(0, 0, mg ). 设Γ为从(x 1, y 1, z 1)到(x 2, y 2, z 2)的直线,则重力所作的功为7.把对坐标的曲线积分化成对弧长的曲线积分,其中L为:(1)在xOy面内沿直线从点(0, 0)到(1, 1);解L的方向余弦,故.(2)沿抛物线y=x2从点(0, 0)到(1, 1);解曲线L上点(x,y)处的切向量为τ=(1, 2x),单位切向量为,故.(3)沿上半圆周x2+y2=2x从点(0, 0)到(1, 1).解L的方程为,其上任一点的切向量为,单位切向量为,故.8.设Γ为曲线x=t,y=t2,z=t3上相应于t从0变到1的曲线弧,把对坐标的曲线积分化成对弧长的曲线积分.解曲线Γ上任一点的切向量为τ=(1, 2t, 3t2)=(1, 2x, 3y),单位切向量为,.习题10-31.计算下列曲线积分,并验证格林公式的正确性:(1),其中L是由抛物线y=x2及y2=x所围成的区域的正向边界曲线;解L=L1+L2,故,而 dxdy x dxdy y P x Q DD )21()(-=∂∂-∂∂⎰⎰⎰⎰ ,所以 ⎰⎰⎰+=∂∂-∂∂l D Qdy Pdx dxdy yP x Q )(. (2), 其中L 是四个顶点分别为(0, 0)、(2, 0)、(2, 2)、和(0, 2)的正方形区域的正向边界.解 L =L 1+L 2+L 3+L 4, 故dy xy y dx xy x L L L L )2())((2324321-+-+++=⎰⎰⎰⎰ ⎰⎰⎰⎰+-+-+=202002022222)8()4(dy y dx x x dy y y dx x ,而,所以 ⎰⎰⎰+=∂∂-∂∂l D Qdy Pdx dxdy yP x Q )(. 2. 利用曲线积分, 求下列曲线所围成的图形的面积:(1)星形线x =a cos 3t , y =a sin 3t ;解.(2)椭圆9x 2+16y 2=144;解 椭圆9x 2+16y 2 =144的参数方程为x =4cos θ, y =3sin θ, 0≤θ≤2π, 故.(3)圆x 2+y 2=2ax .解 圆x 2+y 2=2ax 的参数方程为x =a +a cos θ, y =a sin θ, 0≤θ≤2π,故.3. 计算曲线积分,其中L为圆周(x-1)2+y2=2,L的方向为逆时针方向.解,.当x2+y2≠0时.在L内作逆时针方向的ε小圆周l:x=εcosθ,y=εsinθ(0≤θ≤2π),在以L和l为边界的闭区域Dε上利用格林公式得,即.因此.4.证明下列曲线积分在整个xOy面内与路径无关,并计算积分值:(1);解P=x+y,Q=x-y,显然P、Q在整个xOy面内具有一阶连续偏导数,而且,故在整个xOy面内,积分与路径无关.取L为点(1, 1)到(2, 3)的直线y=2x-1,x从1变到2,则.(2);解P=6xy2-y3,Q=6x2y-3xy2,显然P、Q在整个xOy面内具有一阶连续偏导数,并且,故积分与路径无关,取路径(1, 2)→(1, 4)→(3, 4)的折线,则.(3).解P=2xy-y4+3,Q=x2-4xy3,显然P、Q在整个xOy面内具有一阶连续偏导数,并且,所以在整个xOy面内积分与路径无关,选取路径为从(1, 0)→(1, 2)→(2, 1)的折线,则.5. 利用格林公式, 计算下列曲线积分:(1), 其中L 为三顶点分别为(0, 0)、(3, 0)和(3, 2)的三角形正向边界;解 L 所围区域D 如图所示, P =2x -y +4, Q =5y +3x -6,4)1(3=--=∂∂-∂∂yP x Q , 故由格林公式,得.(2)⎰-+-+Lx x dy ye x x dx e y x xy x y x )2sin ()sin 2cos (222, 其中L 为正 向星形线(a >0);解 , ,,由格林公式⎰-+-+L x x dy ye x x dx e y x xy x y x )2sin ()sin 2cos (222.(3), 其中L 为在抛物线2x =πy 2上由点(0, 0)到的一段弧;解 , ,,所以由格林公式,其中L 、OA 、OB 、及D 如图所示.故.(4), 其中L 是在圆周上由点(0, 0)到点(1, 1)的一段弧.解 P =x 2-y , Q =-x -sin 2y ,0)1(1=---=∂∂-∂∂yP x Q , 由格林公式有,其中L 、AB 、BO 及D 如图所示.故.6.验证下列P(x,y)dx+Q(x,y)dy在整个xOy平面内是某一函数u(x,y)的全微分,并求这样的一个u(x,y):(1)(x+2y)dx+(2x+y)dy;证明因为,所以P(x,y)dx+Q(x,y)dy是某个定义在整个xOy面内的函数u(x,y )的全微分..(2)2xydx+x2dy;解因为,所以P(x,y)dx+Q(x,y)dy是某个定义在整个xOy面内的函数u(x,y)的全微分..(3)4sin x sin3y cos xdx–3cos3y cos2xdy解因为,所以P(x,y)dx+Q(x,y)dy是某个定义在整个xOy平面内的函数u(x,y)的全微分..(4)解因为,所以P(x,y)dx+Q(x,y)dy是某个定义在整个xOy平面内的函数u(x,y)的全微分..(5)解因为,所以P(x,y)dx+Q(x,y)dy是某个函数u(x,y)的全微分.7.设有一变力在坐标轴上的投影为X=x+y2,Y=2xy-8,这变力确定了一个力场,证明质点在此场内移动时,场力所做的功与路径无关.解场力所作的功为.由于,故以上曲线积分与路径无关,即场力所作的功与路径无关.习题10-41.设有一分布着质量的曲面∑,在点(x,y,z)处它的面密度为μ(x,y,z),用对面积的曲面积分表达这曲面对于x轴的转动惯量.解. 假设μ(x , y , z )在曲面∑上连续, 应用元素法, 在曲面∑上任意一点(x , y , z )处取包含该点的一直径很小的曲面块dS (它的面积也记做dS ), 则对于x 轴的转动惯量元素为dI x =(y 2+z 2)μ(x , y , z )dS ,对于x 轴的转动惯量为.2. 按对面积的曲面积分的定义证明公式,其中∑是由∑1和∑2组成的.证明 划分∑1为m 部分, ∆S 1, ∆S 2, ⋅⋅⋅, ∆S m ;划分∑2为n 部分, ∆S m +1, ∆S m +2, ⋅⋅⋅, ∆S m +n ,则∆S 1, ⋅⋅⋅, ∆S m , ∆S m +1, ⋅⋅⋅, ∆S m +n 为∑的一个划分, 并且.令, , , 则当λ→0时, 有.3. 当∑是xOy 面内的一个闭区域时, 曲面积分与二重积分有什么关系?解 ∑的方程为z =0, (x , y )∈D ,,故 .4. 计算曲面积分, 其中∑为抛物面z =2-(x 2+y 2)在xOy 面上方的部分, f (x , y , z )分别如下:(1) f (x , y , z )=1;解 ∑: z =2-(x 2+y 2), D xy : x 2+y 2≤2,.因此⎰⎰+=πθ2020241rdr r d .(2) f (x , y , z )=x 2+y 2;解 ∑: z =2-(x 2+y 2), D xy : x 2+y 2≤2,dxdy y x dxdy z z dS y x 22224411++=++=.因此 dxdy y x y x dS z y x f xyD 2222441)(),,(+++=⎰⎰⎰⎰∑ ⎰⎰+=πθ2020241rdr r d.(3) f (x , y , z )=3z .解 ∑: z =2-(x 2+y 2), D xy : x 2+y 2≤2,.因此dxdy y x y x xyD 2222441)](2[3+++-=⎰⎰.5. 计算, 其中∑是:(1)锥面及平面z =1所围成的区域的整个边界曲面; 解 将∑分解为∑=∑1+∑2, 其中∑1: z =1 , D 1: x 2+y 2≤1, dS =dxdy ;∑1:, D 2: x 2+y 2≤1, .+.提示: .(2)锥面z 2=3(x 2+y 2)被平面z =0及z =3所截得的部分. 解 ∑:, D xy : x 2+y 2≤3,,因而 .提示: .6. 计算下面对面积的曲面积分:(1), 其中∑为平面在第一象限中的部分;解 , ,,.(2), 其中∑为平面2x +2y +z =6在第一象限中的部分; 解 ∑: z =6-2x -2y , D xy : 0≤y ≤3-x , 0≤x ≤3,,⎰⎰--+--=x dy y xy x x dx 30230)22236(3.(3)dS z y x )(++∑⎰⎰, 其中∑为球面x 2+y 2+z 2=a 2上z ≥h (0<h <a )的部分;解 ∑:, D xy : x 2+y 2≤a 2-h 2,,(根据区域的对称性及函数的奇偶性).提示:,(4), 其中∑为锥面被x 2+y 2=2ax 所截得的有限部分. 解 ∑: , D xy : x 2+y 2≤2ax ,,dxdy y x y x xy dS zx yz xy xyD ])([2)(22+++=++⎰⎰⎰⎰∑421564a =. 提示: .7. 求抛物面壳的质量, 此壳的面密度为μ=z .解 ∑: , D xy : x 2+y 2≤2,.故.8. 求面密度为μ0的均匀半球壳x 2+y 2+z 2=a 2(z ≥0)对于z 轴的转动惯量.解 ∑: , D xy : x 2+y 2≤a 2,,.提示:.习题10-51. 按对坐标的曲面积分的定义证明公式:.解 证明把∑分成n 块小曲面∆S i (∆S i 同时又表示第i 块小曲面的面 积), ∆S i 在yOz 面上的投影为(∆S i )yz , (ξi , ηi ,ζi )是∆S i 上任意取定的一点, λ是各小块曲面的直径的最大值, 则.2. 当∑为xOy 面内的一个闭区域时, 曲面积分与二重积分有什么关系?解 因为∑: z =0, (x , y )∈D xy , 故dxdy z y x R dxdy z y x R xyD ),,(),,(⎰⎰⎰⎰±=∑,当∑取的是上侧时为正号, ∑取的是下侧时为负号.3. 计算下列对坐标的曲面积分:(1)zdxdy y x 22∑⎰⎰其中∑是球面x 2+y 2+z 2=R 2的下半部分的下侧;解 ∑的方程为, D xy : x 2+y 2≤R , 于是zdxdyy x 22∑⎰⎰dxdy y x R y x xyD )(22222----=⎰⎰.(2), 其中z 是柱面x 2+y 2=1被平面z =0及z =3所截得的第一卦限内的部分的前侧;解 ∑在xOy 面的投影为零, 故.∑可表示为, (y , z )∈D yz ={(y , z )|0≤y ≤1, 0≤z ≤3}, 故⎰⎰⎰⎰⎰⎰⎰-=-=-=∑3010102221311dy y dy y dz dydz y xdyz yz D ∑可表示为, (z , x )∈D zx ={(z , x )|0≤z ≤3, 0≤x ≤1}, 故dzdx x ydzdx zx D 21-=⎰⎰⎰⎰∑⎰⎰⎰-=-=30101022131dx x dx x dz . 因此 .解法二 ∑前侧的法向量为n =(2x , 2y , 0), 单位法向量为,由两种曲面积分之间的关系,dS z y x ydzdx xdydz zdxdy )cos cos cos (γβα++=++∑∑⎰⎰⎰⎰.提示: 表示曲面的面积.(3), 其中f (x , y , z )为连续函数, ∑是平面x -y +z =1在第四卦限部分的上侧;解 曲面∑可表示为z =1-x +y , (x , y )∈D xy ={(x , y )|0≤x ≤1, 0≤y ≤x -1}, ∑上侧的法向量为n =(1, -1, 1), 单位法向量为,由两类曲面积分之间的了解可得dS z f y f x f ]cos )(cos )2(cos )[(γβα+++++=∑⎰⎰.(4), 其中∑是平面x =0, y =0, z =0, x +y +z =1所围成的空间区域的整个边界曲面的外侧.解 ∑=∑1+∑2+∑3+∑4, 其中∑1: x =0, D yz : 0≤y ≤1, 0≤z ≤1-y ,∑2: y =0, D zx : 0≤z 1, 0≤x ≤1-z ,∑3: z =0, D xy : 0≤x ≤1, 0≤y ≤1-x ,∑4: z =1-x -y , D xy : 0≤x ≤1, 0≤y ≤1-x ,于是 xzdxdy 4000∑⎰⎰+++=由积分变元的轮换对称性可知.因此 .解 ∑=∑1+∑2+∑3+∑4, 其中∑1、∑2、∑3是位于坐标面上的三块;∑4: z =1-x -y , D xy : 0≤x ≤1, 0≤y ≤1-x .显然在∑1、∑2、∑3上的曲面积分均为零, 于是yzdzdx xydydz xzdxdy ++=∑⎰⎰4dS xz yz xy )cos cos cos (4γβα++=∑⎰⎰dS xz yz xy )(34++=∑⎰⎰.4. 把对坐标的曲面积分化成对面积的曲面积分:(1)∑为平面在第一卦限的部分的上侧;解 令, ∑上侧的法向量为:,单位法向量为,于是 Rdxdy Qdzdx Pdydz ++∑⎰⎰.(2)∑是抛物面z =8-(x 2+y 2)在xOy 面上方的部分的上侧.解 令F (x , y , z )=z +x 2+y 2-8, ∑上侧的法向量n =(F x , F y , F z )=(2x , 2y , 1),单位法向量为,于是 Rdxdy Qdzdx Pdydz ++∑⎰⎰10-61.利用高斯公式计算曲面积分:(1),其中∑为平面x=0,y=0,z=0,x=a,y=a,z=a所围成的立体的表面的外侧;解由高斯公式原式(这里用了对称性).(2),其中∑为球面x2+y2+z2=a2的外侧;解由高斯公式原式.(3),其中∑为上半球体x2+y2≤a2,的表面外侧;解由高斯公式原式.(4)其中∑界于z=0和z=3之间的圆柱体x2+y2≤9的整个表面的外侧;解由高斯公式原式.(5),其中∑为平面x=0,y=0,z=0,x=1,y=1,z=1所围成的立体的全表面的外侧.解由高斯公式原式.2.求下列向量A穿过曲面∑流向指定侧的通量:(1)A=yz i+xz j+xy k,∑为圆柱x+y2≤a2(0≤z≤h )的全表面,流向外侧;解P=yz,Q=xz,R=xy,⎰⎰⎰dv.=0=Ω(2)A=(2x-z)i+x2y j-xz2k,∑为立方体0≤x≤a, 0≤y≤a, 0≤z≤a,的全表面,流向外侧;解P=2x-z,Q=x2y,R=-xz2,.(3)A=(2x+3z)i-(xz+y)j+(y2+2z)k,∑是以点(3,-1, 2)为球心,半径R=3的球面,流向外侧.解P=2x+3z,Q=-(xz+y),R=y2+2z,⎰⎰⎰dv.π=3=108Ω3.求下列向量A的散度:(1)A=(x2+yz)i+(y2+xz)j+(z2+xy)k;解P=x2+yz,Q=y2+xz,R=-z2+xy,.(2)A=e xy i+cos(xy)j+cos(xz2)k;解P=e xy,Q=cos(xy),R=cos(xz2),.(3)A=y2z i+xy j+xz k;解P=y2,Q=xy,R=xz,.4.设u (x,y,z)、v (x,y,z)是两个定义在闭区域Ω上的具有二阶连续偏导数的函数,,依次表示u (x,y,z)、v (x,y,z)沿∑的外法线方向的方向导数.证明,其中∑是空间闭区间Ω的整个边界曲面,这个公式叫作林第二公式.证明由第一格林公式(见书中例3)知,.将上面两个式子相减,即得.5.利用高斯公式推证阿基米德原理:浸没在液体中所受液体的压力的合力(即浮力)的方向铅直向上,大小等于这物体所排开的液体的重力.证明取液面为xOy面,z轴沿铅直向下,设液体的密度为ρ,在物体表面∑上取元素dS上一点,并设∑在点(x,y,z)处的外法线的方向余弦为cos α, cos β, cos γ, 则dS 所受液体的压力在坐标轴x , y , z 上的分量 分别为-ρz cos αdS , -ρz cos β dS , -ρz cos γ dS ,∑所受的压力利用高斯公式进行计算得,,||cos Ω-=-=-=-=ΩΩ∑⎰⎰⎰⎰⎰⎰⎰⎰ρρργρdv dv dS z F z ,其中|Ω|为物体的体积. 因此在液体中的物体所受液体的压力的合力, 其方向铅直向上, 大小等于这物体所排开的液体所受的重力, 即阿基 米德原理得证.习题10-71. 利用斯托克斯公式, 计算下列曲线积分:(1), 其中Γ为圆周x 2+y 2+z 2=a 2, , 若从z 轴的正向看去, 这圆周取逆时针方向;解 设∑为平面x +y +z =0上Γ所围成的部分, 则∑上侧的单位法向量为.于是.提示: 表示∑的面积, ∑是半径为a 的圆.(2), 其中Γ为椭圆x 2+y 2=a 2,(a >0, b >0), 若从x 轴正向看去, 这椭圆取逆时针方向;解 设∑为平面上Γ所围成的部分, 则∑上侧的单位法向量为.于是.提示: ∑(即)的面积元素为.(3), 其中Γ为圆周x 2+y 2=2z , z =2, 若从z 轴的正向看去, 这圆周是取逆时针方向;解 设∑为平面z =2上Γ所围成的部分的上侧, 则.(4), 其中Γ为圆周x 2+y 2+z 2=9, z =0, 若从z 轴的正向看去, 这圆周是取逆时针方向.解 设∑为xOy 面上的圆x 2+y 2≤9的上侧, 则.2. 求下列向量场A 的旋度:(1)A =(2z -3y )i +(3x -z )j +(-2x )k ;解 .(2)A =(sin y )i -(z -x cos y )k ;解 .(3)A =x 2sin y i +y 2sin(xz )j +xy sin(cos z )k .解=[x sin(cos z )-xy 2cos(xz )]i -y sin(cos z )j +[y 2z cos(xz )-x 2cos y ]k . 3. 利用斯托克斯公式把曲面积分化为曲线积分, 并计算积分值, 其中A 、∑及n 分别如下:(1)A =y 2i +xy j +xz k , ∑为上半球面, 的上侧, n 是∑的单位法向量;解 设∑的边界Γ : x 2+y 2=1, z =0, 取逆时针方向, 其参数方程为x =cos θ, y =sin θ, z =0(0≤θ≤2π,由托斯公式.(2)A =(y -z )i +yz j -xz k , ∑为立方体0≤x ≤2, 0≤y ≤2, 0≤z ≤2的表面外侧 去掉xOy 面上的那个底面, n 是∑的单位法向量.解.4. 求下列向量场A 沿闭曲线Γ(从z 轴正向看依逆时针方向)的环流量:(1)A =-y i +x j +c k (c 为常量), Γ为圆周x 2+y 2=1, z =0;解.(2)A =(x -z )i +(x 3+yz )j -3xy 2k , 其中Γ为圆周, z =0.解 有向闭曲线Γ的参数方程为x =2cos θ, y =2sin θ, z =0(0≤π≤2π). 向量场A 沿闭曲线Γ的环流量为⎰⎰-++-=++L L dz xy dy yz x dx z x Rdz Qdy Pdx 223)()(.5.证明rot(a+b)=rot a+rot b.解令a=P1(x,y,z)i+Q1(x,y,z)j+R1(x,y,z)k,b=P2(x,y,z)i+Q2(x,y,z)j+R2(x,y,z)k,由行列式的性质,有.6.设u=u(x,y,z)具有二阶连续偏导数,求rot(grad u)解因为grad u=u x i+u y j+u z k,故=(u zy-u yz)i+(u zx-u xz)j+(u yx-u xy)k=0.*7.证明:(1)∇(uv)=u∇v+v∇u解=u∇v+v∇u.(2)解==u∆v+v∆u+2∇u⋅∇u.(3) ∇⋅(A⨯B )=B⋅(∇⨯A )-A⋅(∇⨯B )解B=P2i+Q2j+R2k,而所以∇⨯(A⨯B)=B⨯(∇⨯A)-A⨯( ∇⨯B )(4) ∇⨯(∇⨯A )=∇(∇⋅A )-∇2a解令A=Pi+Q j++R k,则从而命题地证总习题十1. 填空:(1)第二类曲线积分化成第一类曲线积分是____________, 其中α、β、γ为有向曲线弧Γ上点(x , y , z )处的_____________的方向角.解 , 切向量.(2)第二类曲面积分Rdxdy Qdzdx Pdydz ++∑⎰⎰化成第一类曲面积分是_______, 其中α、β、γ为有向曲面∑上点(x , y , z )处的________的方向角.解 , 法向量.2. 选择下述题中给出的四个结论中一个正确的结论:设曲面∑是上半球面: x 2+y 2+z 2=R 2(z ≥0), 曲面∑1是曲面∑在第一卦限中的部分, 则有________.(A )xdS xdS 14∑∑⎰⎰⎰⎰=; (B );(C )xdS zdS 14∑∑⎰⎰⎰⎰=; (D )xyzdS xyzdS 14∑∑⎰⎰⎰⎰=.解 (C ).3. 计算下列曲线积分:(1), 其中L 为圆周x 2+y 2=ax ;解 L 的参数方程为, (0≤θ≤2π), 故θθθθπd y x ax ds ax ds y x L L )()()(222022'+'⋅==+⎰⎰⎰().(2), 其中Γ为曲线x =t cos t , y =t sin t , z =t (0≤t ≤t 0);解.(3), 其中L 为摆线x =a (t -sin t ), y =a (1-cos t )上对应t 从0到2π的一段弧;解 ⎰⎰⋅-+-⋅+-=+-π20]sin )sin ()cos 1()cos 2[()2(dt t a t t a t a t a a a xdy dx y a L.(4), 其中Γ是曲线x =t , y =t 2, z =t 3上由听t 1=0到t 2=1的一段弧;解.(5), 其中L 为上半圆周(x -a )2+y 2=a 2, y ≥0, 沿逆时针方向;解 这里P =e x sin y -2y , Q =e x cos y -2, .令L 1为x 轴上由原点到(2a , 0)点的有向直线段, D 为L 和L 1所围成的区域, 则由格林公式,.(6), 其中Γ是用平面y =z 截球面x 2+y 2+z 2=1所得的截痕, 从z 轴的正向看去, 沿逆时针方向.解 曲线Γ的一般方程为, 其参数方程为, t 从0变到2π.于是.4. 计算下列曲面积分:(1), 其中∑是界于平面z =0及z =H 之间的圆柱面x 2+y 2=R 2;解 ∑=∑1+∑2, 其中, D xy : -R ≤y ≤R , 0≤z ≤H , ;, D xy : -R ≤y ≤R , 0≤z ≤H , ,于是.(2), 其中∑为锥面(0≤z ≤h ) 的外侧;解 这里P =y 2-z , Q =z 2-x , R =x 2-y , 0=∂∂+∂∂+∂∂zR y Q x P . 设∑1为z =h (x 2+y 2≤h 2)的上侧, Ω为由∑与∑1所围成的空间区域, 则由高斯公式,而40222024)sin cos ()(1h d r r d dxdy y x h πθθθθπ=-=-⎰⎰⎰⎰∑, 所以 .(3)zdxdy ydzdx xdydz ++∑⎰⎰, 其中∑为半球面的上侧;解 设∑1为xOy 面上圆域x 2+y 2≤R 2的下侧, Ω为由∑与∑1所围成的空间区域, 则由高斯公式得,而 ,所以 33202R R zdxdy ydzdx xdydz ππ=-=++∑⎰⎰.(4), 其中∑为曲面(z ≥0)的上侧;解 这里, , , 其中., , ,.设∑1为z =0的下侧, Ω是由∑和∑1所围成的空间区域, 则由高斯公式,32223222)()(1z y x zdxdy ydzdx xdydz z y x zdxdy ydzdx xdydz ++++-=++++∑∑⎰⎰⎰⎰. (5)xyzdxdy∑⎰⎰, 其中∑为球面x 2+y 2+z 2=1(x ≥0, y ≥0)的外侧. 解 ∑=∑1+∑2, 其中∑1是(x 2+y 2≤1, x ≥0, y ≥0)的上侧;∑2是(x 2+y 2≤1, x ≥0, y ≥0)的下侧,xyzdxdy xyzdxdy xyzdxdy 21∑∑∑⎰⎰⎰⎰⎰⎰+=dxdy y x xy dxdy y x xy xyxy D D )1(12222------=⎰⎰⎰⎰ ⎰⎰⎰⎰-⋅⋅=--=103220221sin cos 212ρρρθθθπd d dxdy y x xy xy D .5. 证明22y x ydy xdx ++在整个xOy 平面除去y 的负半轴及原点的区域G 内是某个二元函数的全微分, 并求出一个这样的二元函数.解 这里, . 显然, 区域G 是单连通的, P 和Q 在G 内具有一阶连续偏导数, 并且 , 所以22y x ydy xdx ++在开区域G 内是某个二元函数u (x , y )的全微分. .6. 设在半平面x >0内有力构成力场, 其中k 为常数, . 证明在此力场中场力所作的功与所取的路径无关.解 场力沿路径L 所作的功为.令, . 因为P 和Q 在单连通区域x >0内具有一阶连续的偏导数, 并且,所以上述曲线积分所路径无关, 即力场所作的功与路径无关.7. 求均匀曲面的质心的坐标.解 这里∑:, (x , y )∈D xy ={(x , y )|x 2+y 2≤a 2}.设曲面∑的面密度为ρ=1, 由曲面的对称性可知, . 因为,222421a a dS ππ=⋅=∑⎰⎰, 所以 .因此该曲面的质心为.8. 设u (x , y )、v (x , y )在闭区域D 上都具有二阶连续偏导数, 分段光滑的曲线L 为D 的正向边界曲线. 证明:(1);(2),其中、分别是u 、v 沿L 的外法线向量n 的方向导数, 符号称为二维拉普拉斯算子. 证明 设L 上的单位切向量为T =(cos α, sin α), 则n =(sin α, -cos α).(1),所以 .(2)dxdy u v v u dxdy y u x u v y v x v u DD )()]()([22222222∆-∆=∂∂+∂∂-∂∂+∂∂=⎰⎰⎰⎰. 9. 求向量A =x i +y j +z k 通过闭区域Ω={(x , y , z )|0≤x ≤1, 0≤y ≤1, 0≤z ≤1}的边界曲面流向外侧的通量.解 设∑为区域Ω的边界曲面的外侧, 则通量为33==Ω⎰⎰⎰dv .10. 求力F =y i +z j +x k 沿有向闭曲线Γ所作的功, 其中Γ为平面x +y +z =1被三个坐标面所截成的三角形的整个边界, 从z 轴正向看去, 沿顺时针方向.解 设∑为平面x +y +z =1在第一卦部分的下侧, 则力场沿其边界L (顺时针方向)所作的功为.曲面∑的的单位法向量为, 由斯托克斯公式有.温馨提示-专业文档供参考,请仔细阅读后下载,最好找专业人士审核后使用!。
261 习题十一3.计算下列对坐标的曲线积分:(1)()22d -⎰L x y x ,其中L 是抛物线y =x 2上从点(0,0)到点(2,4)的一段弧; (2)d Lxy x ⎰ 其中L 为圆周(x -a )2+y 2=a 2(a >0)及x 轴所围成的在第一象限内的区域的整个边界(按逆时针方向绕行);(6)()322d 3d d x x zy y x y z Γ++-⎰,其中Γ是从点(3,2,1)到点(0,0,0)的一段直线;解:(1)L :y =x 2,x 从0变到2,()()22222435001156d d 3515L x y x x x x x x ⎡⎤-=-=-=-⎢⎥⎣⎦⎰⎰(2)如图11-1所示,L =L 1+L 2.其中L 1的参数方程为图11-1cos 0πsin x a a tt y a t =+⎧≤≤⎨=⎩L 2的方程为y =0(0≤x ≤2a )故 ()()()()()12π200π320ππ322003d d d 1+cost sin cos d 0d sin 1cos d sin d sin dsin π2L L L a xy x xy x xy x a a t a a t t xa t t ta t t t t a =+'=⋅++=-+=-+=-⎰⎰⎰⎰⎰⎰⎰⎰ (6)直线Γ的参数方程是32=⎧⎪=⎨⎪=⎩x ty t z tt 从1→0.262故()()32203221031041d 3d d 27334292d 87d 1874874x x zy y x y zt t t tt tt t t Γ++-⎡⎤=⋅+⋅⋅+-⋅⎣⎦==⋅=-⎰⎰⎰ 7.应用格林公式计算下列积分:(1)()()d d 24356+-++-⎰ x y x y x y Γ, 其中L 为三顶点分别为(0,0),(3,0)和(3,2)的三角形正向边界;解:(1)L 所围区域D 如图11-4所示,P =2x -y +4,Q =3x +5y -6,3Q x∂=∂,1P y ∂=-∂,由格林公式得 ()()d d 24356d d 4d d 4d d 1432212LD D Dx y x y x y Q P x y x y x y x y +-++-∂∂⎛⎫-= ⎪∂∂⎝⎭===⨯⨯⨯=⎰⎰⎰⎰⎰⎰⎰8.利用曲线积分,求下列曲线所围成的图形的面积:(1)星形线x = a cos 3t ,y = a sin 3t ;解:(1)()()()()()2π3202π2π242222002π202π202π202d sin 3cos d sin 33sin cos d sin 2sin d 43d 1cos 41cos 2163d 1cos 2cos 4cos 2cos 416312π+d cos 2cos61623π8L A y x a t a t t t a t t t a t t t a t t t a t t t t t a t t t a =-=-⋅-==⋅=--=--+⎡⎤=+⎢⎥⎣⎦=⎰⎰⎰⎰⎰⎰⎰ 9.证明下列曲线积分与路径无关,并计算积分值:(2)()()()()3,423221,2d d 663x y xy y x y xy +--⎰; (3)()()1,221,1d d x y x x y -⎰沿在右半平面的路径;263 证:(2) P =6xy 2-y 3,Q =6x 2y -3xy 2.显然P ,Q 在xOy 面内有连续偏导数,且2123P xy y y∂=-∂,2123Q xy y x ∂=-∂,有P Q y x ∂∂=∂∂,所以积分与路径无关. 取L 为从(1,2)→(1,4)→(3,4)的折线,则()()()()()()[]3,423221,2432214323212d d 663d d 63966434864236x y xy y x y xy y x y y x y y x x +--=+--=+⎡⎤--⎣⎦=⎰⎰⎰ (3)2y P x =,1Q x =-,P ,Q 在右半平面内有连续偏导数,且21P y x ∂=∂,21Q x x∂=∂,在右半平面内恒有P Q y x ∂∂=∂∂,故在右半平面内积分与路径无关. 取L 为从(1,1)到(1,2)的直线段,则()()()21,2211,1d d d 11x y x x y y -==--⎰⎰ 10.验证下列P (x , y )d x +Q (x , y )d y 在整个xOy 面内是某一函数u (x , y )的全微分,并求这样的一个函数u (x , y ):(2)2xy d x +x 2d y ;(3)(3x 2y +8xy 2)d x +(x 3+8x 2y +12y e y )d y ;(4)(2x cos y +y 2cos x )d x +(2y sin x -x 2sin y )d y .解:(2)P =2xy ,Q =x 2, 2P Q x y x∂∂==∂∂,故2xy d x +x 2d y 是某个定义在整个xOy 面内的函数u (x ,y )的全微分.()()(),20,020022d d ,0d d x y x yu xy x x y x y x x y x y=+=+=⎰⎰⎰ (3)P =3x 2y +8xy 2,Q =x 3+8x 2y +12y e y ,2316∂∂=+=∂∂P Q x xy y x,故(3x 2y +8xy 2)d x +(x 3+8x 2y +12y e y )d y 是某个定义在整个xOy 面内函数u (x ,y )的全微分,()()()()()(),22320,03200322d ,38812e 0d d 812e 412e 12e 12x y y x y y y y u x x y x y x y x x y y x y x x y y x y x y y =++++=+++=++-+⎰⎰⎰。
习题7-11. 指出下列各点所在的坐标轴、坐标面或卦限:A (2,1,-6),B (0,2,0),C (-3,0,5),D (1,-1,-7).解:A 在V 卦限,B 在y 轴上,C 在xOz 平面上,D 在VIII 卦限。
2. 已知点M (-1,2,3),求点M 关于坐标原点、各坐标轴及各坐标面的对称点的坐标.解:设所求对称点的坐标为(x ,y ,z ),则(1) 由x -1=0,y +2=0,z +3=0,得到点M 关于坐标原点的对称点的坐标为:(1,-2,-3).(2) 由x =-1,y +2=0,z +3=0,得到点M 关于x 轴的对称点的坐标为:(-1,-2,-3).同理可得:点M 关于y 轴的对称点的坐标为:(1, 2,-3);关于z 轴的对称点的坐标为:(1,-2,3).(3)由x =-1,y =2,z +3=0,得到点M 关于xOy 面的对称点的坐标为:(-1, 2,-3).同理,M 关于yOz 面的对称点的坐标为:(1, 2,3);M 关于zOx 面的对称点的坐标为:(-1,-2,3).3. 在z 轴上求与两点A (-4,1,7)和B (3,5,-2)等距离的点.解: 设所求的点为M (0,0,z ),依题意有|MA |2=|MB |2,即(-4-0)2+(1-0)2+(7-z)2=(3-0)2+(5-0)2+(-2-z)2.解之得z =11,故所求的点为M (0,0,149).4. 证明以M 1(4,3,1),M 2(7,1,2),M 3(5,2,3)三点为顶点的三角形是一个等腰三角形.解:由两点距离公式可得21214M M =,2213236,6M M M M == 所以以M 1(4,3,1),M 2(7,1,2),M 3(5,2,3)三点为顶点的三角形是一个等腰三角形.5. 设平面在坐标轴上的截距分别为a =2,b =-3,c =5,求这个平面的方程.解:所求平面方程为1235y x z ++=-。
习题十1. 根据二重积分性质,比较ln()d Dx y σ+⎰⎰与2[ln()]d Dx y σ+⎰⎰的大小,其中:(1)D 表示以(0,1),(1,0),(1,1)为顶点的三角形; (2)D 表示矩形区域{(,)|35,02}x y x y ≤≤≤≤.解:(1)区域D 如图10-1所示,由于区域D 夹在直线x +y =1与x +y =2之间,显然有图10-112x y ≤+≤<从而 0ln()1x y ≤+<故有 2ln()[ln()]x y x y +≥+ 所以2ln()d [ln()]d DDx y x y σσ+≥+⎰⎰⎰⎰(2)区域D 如图10-2所示.显然,当(,)x y D ∈时,有3x y +≥.图10-2从而 ln(x +y )>1故有 2ln()[ln()]x y x y +<+|所以2ln()d [ln()]d DDx y x y σσ+<+⎰⎰⎰⎰2. 根据二重积分性质,估计下列积分的值: (1)4d ,{(,)|02,02}I xy D x y x y σ=+=≤≤≤≤⎰⎰; (2)22sin sin d ,{(,)|0π,0π}DI x y D x y x y σ==≤≤≤≤⎰⎰;解:(1)因为当(,)x y D ∈时,有02x ≤≤, 02y ≤≤ 因而 04xy ≤≤.从而 2≤≤》故 2d DD σσσ≤≤⎰⎰⎰⎰⎰⎰即2d d DDσσσ≤≤⎰⎰⎰⎰而d Dσσ=⎰⎰(σ为区域D 的面积),由σ=4得 8σ≤≤⎰⎰(2) 因为220sin 1,0sin 1x y ≤≤≤≤,从而220sin sin 1x y ≤≤故220d sin sin d 1d DDDx y σσσ≤≤⎰⎰⎰⎰⎰⎰即220sin sin d d DDx y σσσ≤≤=⎰⎰⎰⎰~而2πσ=所以2220sin sin d πDx y σ≤≤⎰⎰(3)因为当(,)x y D ∈时,2204x y ≤+≤所以22229494()925x y x y ≤++≤++≤故229d (49)d 25d DDDx y σσσ≤++≤⎰⎰⎰⎰⎰⎰即 229(49)d 25Dx y σσσ≤++≤⎰⎰而 2π24πσ=⋅= 所以 2236π(49)d 100πDx y σ≤++≤⎰⎰…3. 根据二重积分的几何意义,确定下列积分的值:(2)222,{(,)|}.D x y x y a σ=+≤⎰⎰解:(1)(,Da σ⎰⎰在几何上表示以D 为底,以z 轴为轴,以(0,0,a )为顶点的圆锥的体积,所以31(π3Da a σ=⎰⎰ (2)σ⎰⎰在几何上表示以原点(0,0,0)为圆心,以a 为半径的上半球的体积,故32π.3a σ=⎰⎰4. 设f (x ,y )为连续函数,求22200201lim(,)d ,{(,)|()()}πDr f x y D x y x x y y r r σ→=-+-≤⎰⎰.解:因为f (x ,y )为连续函数,由二重积分的中值定理得,(,),D ξη∃∈使得2(,)d (,)π(,)Df x y f r f σξησξη=⋅=⋅⎰⎰!又由于D 是以(x 0,y 0)为圆心,r 为半径的圆盘,所以当0r →时,00(,)(,),x y ξη→于是:0022200000(,)(,)11lim(,)d limπ(,)lim (,)ππlim (,)(,)Dr r r x y f x y r f f r r f f x y ξησξηξηξη→→→→=⋅===⎰⎰5. 画出积分区域,把(,)d Df x y σ⎰⎰化为累次积分:(1){(,)|1,1,0}D x y x y y x y =+≤-≤≥; (2) 2{(,)|2,}D x y y x x y =≥-≥ (3) 2{(,)|,2,2}D x y y y x x x=≥≤≤ 解:(1)区域D 如图10-3所示,D 亦可表示为11,01y x y y -≤≤-≤≤.所以1101(,)d d (,)d yDy f x y y f x y x σ--=⎰⎰⎰⎰?(2) 区域D 如图10-4所示,直线y =x -2与抛物线x =y 2的交点为(1,-1),(4,2),区域D 可表示为 22,12y x y y ≤≤+-≤≤.图10-3 图10-4所以2221(,)d d (,)d y Dyf x y y f x y x σ+-=⎰⎰⎰⎰(3)区域D 如图10-5所示,直线y =2x 与曲线2y x=的交点(1,2),与x =2的交点为(2,4),曲线2y x =与x =2的交点为(2,1),区域D 可表示为22,1 2.y x x x≤≤≤≤图10-5所以2221(,)d d (,)d xDxf x y x f x y y σ=⎰⎰⎰⎰.~6. 画出积分区域,改变累次积分的积分次序: (1)2220d (,)d yy y f x y x ⎰⎰; (2)eln 1d (,)d xx f x y y ⎰⎰;(3) 1320d (,)d y y y f x y x -⎰⎰; (4)πsin 0sin2d (,)d xxx f x y y -⎰⎰;(5)123301d (,)d d (,)d yyy f x y y y f x y x -+⎰⎰⎰⎰.解:(1)相应二重保健的积分区域为D :202,2.y y x y ≤≤≤≤如图10-6所示.图10-6D 亦可表示为: 04,.2xx y x ≤≤≤≤ -所以22242d (,)d d (,)d .y xx yy f x y x x f x y y =⎰⎰⎰⎰(2) 相应二重积分的积分区域D :1e,0ln .x y x ≤≤≤≤如图10-7所示.图10-7D 亦可表示为: 01,e e,y y x ≤≤≤≤所以eln 1e 1ed (,)d d (,)d y xx f x y y y f x y x =⎰⎰⎰⎰(3) 相应二重积分的积分区域D 为:01,32,y y x y ≤≤≤≤-如图10-8所示.\图10-8D 亦可看成D 1与D 2的和,其中 D 1:201,0,x y x ≤≤≤≤D 2:113,0(3).2x y x ≤≤≤≤-所以2113213(3)20001d (,)d d (,)d d (,)d y x x yy f x y x x f x y y x f x y y --=+⎰⎰⎰⎰⎰⎰.(4) 相应二重积分的积分区域D 为:0π,sinsin .2xx y x ≤≤-≤≤如图10-9所示.图10-9、D亦可看成由D1与D2两部分之和,其中D1:10,2arcsinπ;y y x-≤≤-≤≤D2:01,arcsinπarcsin.y y x y≤≤≤≤-所以πsin0π1πarcsin0sin12arcsin0arcsin2d(,)d d(,)d d(,)dx yxy yx f x y y y f x y x y f x y x----=+⎰⎰⎰⎰⎰⎰(5) 相应二重积分的积分区域D由D1与D2两部分组成,其中D1:01,02,y x y≤≤≤≤D2:13,03.y x y≤≤≤≤-如图10-10所示.|图10-10D亦可表示为:02,3;2xx y x≤≤≤≤-所以()123323001002d,d d(,)d d(,)dy y xxy f x y x y f x y x x f x y y--+=⎰⎰⎰⎰⎰⎰7. 求下列立体体积:(1)旋转抛物面z=x2+y2,平面z=0与柱面x2+y2=ax所围;(2)旋转抛物面z=x2+y2,柱面y=x2及平面y=1和z=0所围.解:(1)由二重积分的几何意义知,所围立体的体积V=22()d dDx y x y+⎰⎰其中D:22{(,)|}x y x y ax+≤:由被积函数及积分区域的对称性知,V=2122()d dDx y x y+⎰⎰,其中D1为D在第一象限的部分.利用极坐标计算上述二重积分得cosπππcos3444422200001132d d2d cos dπ4232aaV r r r a aθθθθθθ====⎰⎰⎰⎰.(2) 由二重积分的几何意义知,所围立体的体积22()d d,DV x y x y=+⎰⎰其中积分区域D为xOy面上由曲线y=x2及直线y=1所围成的区域,如图10-11所示.图10-11\D 可表示为:211, 1.x x y -≤≤≤≤所以21122221()d d d ()d DxV x y x y x x y y -=+=+⎰⎰⎰⎰2111232461111188d ()d .333105x x y y x x x x x --⎡⎤=+=+--=⎢⎥⎣⎦⎰⎰ 8. 计算下列二重积分: (1)221d d ,:12,;Dx x y D x y x y x≤≤≤≤⎰⎰(2)e d d ,x yDx y ⎰⎰D 由抛物线y 2=x ,直线x =0与y =1所围;(3)22d d ,Dx y x y -⎰⎰D 是以O (0,0),A (1,-1),B (1,1)为顶点的三角形;(4)cos()d d ,{(,)|0π,π}Dx y x y D x y x x y +=≤≤≤≤⎰⎰.[解:(1)()22222231221111d d d d d d xx Dx xx x x x y x y x x x x y yy ==-=-⎰⎰⎰⎰⎰⎰ 2421119.424x x ⎡⎤=-=⎢⎥⎣⎦(2) 积分区域D 如图10-12所示.图10-12D 可表示为:201,0.y x y ≤≤≤≤所示22110000e d d d e d d e d()x x x y y y y yD xx y y x y y y==⎰⎰⎰⎰⎰⎰ 21111ed (e 1)d e d d y x yyyy y y y y y y y ==-=-⎰⎰⎰⎰)1111120000011de d e e d .22y y y y y y y y y =-=--=⎰⎰⎰(3) 积分区域D 如图10-13所示.图10-13D 可表示为:01,.x x y x ≤≤-≤≤所以21122222200d d d d arcsin d 22xxxx y y x y x y x x y y x y x x --⎡-=-=+-⎢⎣⎰⎰⎰⎰⎰112300ππ1πd .2236x x x ==⋅=⎰ ππππ0πππ0(4)cos()d d d cos()d [sin()]d [sin(π)sin 2]d (sin sin 2)d 11.cos cos 222x Dxx y x y x x y y x y xx x x x x x x x +=+=+=+-=--⎡⎤==+⎢⎥⎣⎦⎰⎰⎰⎰⎰⎰⎰·9. 计算下列二次积分:10112111224(1)d d ;(2)d e d d e d .y yy y yyxxyxy x xy x y x +⎰⎰⎰⎰解:(1)因为sin d xx x ⎰求不出来,故应改变积分次序。