微积分课后题答案习题详解
- 格式:docx
- 大小:914.38 KB
- 文档页数:16
高等数学教材微积分课后答案第一章微积分基本概念1. 第一节课后习题答案1.1 单项选择题1. A2. B3. C4. D5. A1.2 填空题1. 42. 273. 184. 05. 21.3 解答题1. (a) 首先将函数对x求导,得到f'(x) = 6x^2 + 12x - 8。
令f'(x) = 0,解得x = -2和x = 2/3。
然后再带入原函数,得到f(-2) = 0和f(2/3) = -1/27。
因此,函数在x = -2和x = 2/3处取得极值,极大值为0,极小值为-1/27。
(b) 由于f'(x) = 6x^2 + 12x - 8 > 0,说明函数在(-∞, -2)和(2/3, +∞)上为增函数;当-2 < x < 2/3时,f'(x) < 0,说明函数在(-2, 2/3)上为减函数。
结合图像,可以得到函数的单调性为:在(-∞, -2)上递增,在(-2, 2/3)上递减,在(2/3, +∞)上递增。
2. 第二节课后习题答案2.1 单项选择题1. C2. A3. D4. B5. C2.2 填空题1. 82. 123. 04. -∞5. +∞2.3 解答题1. (a) 首先求函数的导数,得到f'(x) = 2e^x - 12x。
令f'(x) = 0,解得x = ln6。
然后带入原函数,得到f(ln6) = 4ln6 - 6ln^2(6)。
因此,函数在x = ln6处取得极值。
(b) 由于f'(x) = 2e^x - 12x > 0,说明函数在(-∞, ln6)上为增函数;当x > ln6时,f'(x) < 0,说明函数在(ln6, +∞)上为减函数。
结合图像,可以得到函数的单调性为:在(-∞, ln6)上递增,在(ln6, +∞)上递减。
第二章微分学中值定理1. 第三节课后习题答案1.1 单项选择题1. B2. D3. C4. A5. D1.2 填空题1. 42. 53. π/24. √35. 01.3 解答题1. 根据罗尔定理,首先证明f(x)在区间[0, 1]上连续。
习题1—1解答 1. 设y x xy y x f +=),(,求),(1),,(),1,1(),,(y x f y x xy f y x f y x f -- 解yxxy y x f +=--),(;x xy y y x f y x y x xy f x y xy y x f +=+=+=222),(1;),(;1)1,1(2. 设y x y x f ln ln ),(=,证明:),(),(),(),(),(v y f u y f v x f u x f uv xy f +++=),(),(),(),(ln ln ln ln ln ln ln ln )ln )(ln ln (ln )ln()ln(),(v y f u y f v x f u x f v y u y v x u x v u y x uv xy uv xy f +++=⋅+⋅+⋅+⋅=++=⋅=3. 求下列函数的定义域,并画出定义域的图形: (1);11),(22-+-=y x y x f(2);)1ln(4),(222y x y x y x f ---=(3);1),(222222cz b y a x y x f ---=(4).1),,(222zy x z y x z y x f ---++=解(1)}1,1),{(≥≤=y x y x D (2)}{xy y x y x D 4,10),(222≤<+<=(3)⎭⎬⎫⎩⎨⎧≤++=1),(222222c z b y a x y x D(4){}1,0,0,0),,(222<++≥≥≥=z y x z y x z y x D4.求下列各极限:(1)22101limy x xy y x +-→→=11001=+- (2)2ln 01)1ln(ln(lim022)01=++=++→→e yx e x y y x(3)41)42()42)(42(lim 42lim000-=+++++-=+-→→→→xy xy xy xy xy xy y x y x(4)2)sin(lim )sin(lim202=⋅=→→→→x xy xy y xy y x y x5.证明下列极限不存在:(1);lim 00yx y x y x -+→→ (2)2222200)(lim y x y x y x y x -+→→ (1)证明 如果动点),(y x P 沿x y 2=趋向)0,0( 则322lim lim0020-=-+=-+→→=→x x xx y x y x x x y x ;如果动点),(y x P 沿y x 2=趋向)0,0(,则33lim lim 0020==-+→→=→y yy x y x y y x y所以极限不存在。
《微积分》上册部分课后习题答案习题五(A)1.求函数 f x ,使 f ′ x x 23 x ,且 f 1 0 .解:f ′ x x 2 5x 6 1 5 f x x3 x 2 6 x C 3 2 1 5 23 f 1 0 6 C 0 C 3 2 6 15 23 f x x3 x 26 x 3 2 6 12.一曲线y f x 过点(0,2),且其上任意点的斜率为x 3e x ,求 f x . 2 1解:f x x 3e x 2 1 2 f x x 3e x C 4 f 0 2 3 C 2 C 1 1 2 f x x 3e x 1 4 ∫ 23.已知f x 的一个原函数为 e x ,求 f ′ xdx . 2 2解:f x e x ′ 2 xe x∫ f ′ xdx 2 f x C 2 xe x C dx4.一质点作直线运动,如果已知其速度为3t 2 sin t ,初始位移为s0 2 ,求s 和t 的函dt数关系.解:S t 3t 2 sin t S t t 3 cos t CS 0 2 1 C 2 C 1 S t t 3 cos t 15.设ln f x′ 1 ,求f x . 1 x2解:ln f x′ 1 ln f x arctan x C11 x2 f x earctan x C1 Cearctan x C gt 0 1 16.求函数f x ,使f ′ x e 2 x 5 且f 0 0 . 1 x 1 x 2 1 1 1解:f x e x 5 f x ln x 1 arcsin x e 2 x 5 x C 1 x 1 x 2 2 1 1 f 0 0 0 0C 0 C 2 2 1 2x 1 f x ln x 1 arcsin x e 5x 2 27.求下列函数的不定积分x x2 ∫ ∫ dt(1)dx (2)x a t 1 x2 1 ∫ ∫x m n(3)x dx (4)dx 2 1 x4 1 1 sin 2 x(5)∫x 2 1 dx (6)∫ sin x cos x dx 1 cos 2 x ∫ ∫ cos 2 x (7)dx (8)dx sin x cos x 1 cos 2 x ∫ sin (10)cos 2 sin 2 x dx ∫ cos 2 x x(9)2 2 dx x cos x 2 cos 2 x 1 2x 1 ∫ sin ∫e e (11)dx (12)dx 2 x cos x 2 x 1 2 × 8x 3 × 5x 2 x 1 5 x 1(13)∫ 8x dx (14)∫ 10 x dx e x x e-x (15)∫ x dx ∫ (16)e x 2 x 1 3x dx 1 x 1 x x 2 1 1 x 2 5 x(17)∫ dx 1 x 1 x (18)∫ x 1 x2 dx 1 x2 1 cos 2 x(19)∫ 1 x4 dx (20)∫ 1 cos 2 x sin2 x dx x3 x 1 x4 x2(21)∫ x 1 x 2 2 dx (22)∫ 1 x 2 dx 1 3 35 ∫ 2 2解:(1)x 2 x 2 dx x 2 x 2 C 3 5 1 d t 1 ∫ 1 2(2). 1 t 1 2 C a a t 1 2 n nm ∫ x m dx m x m C m ≠ n m ≠ 0 nm n ∫(3)x m dx In x C m n dx x C ∫ m0 2(4)1 ∫ x2 1 dx x 2 arctan x C x 2 x 2 1 x 2 1 x3(5)∫ x 1 2 dx 3 x 2 arctan x C sin 2 x cos 2 x 2 sin x cos x sin x cos x 2(6)∫ sin x cos x dx ∫ sin x cos x dx ∫ sin x cos xdx sin x cos x C cos 2 x sin 2 x(7)∫ sin x cos x dx cos x sin xdx ∫ sin x cos x C 1 cos 2 x ∫ 2 cos ∫ cos 1 1 1 x(8)2 dx 2 1 dx tan x C x 2 x 2 2 cos 2 x sin 2 x 1 1(9)∫ sin 2 x cos 2 x dx 2 ∫ sin x cos 2 x dx cot x tan x C cos x 1 1 cos 2 x cos x cos 2 x(10)∫ 2 2 dx 2 2 1dx ∫ 1 1 x sin x sin 2 x C 2 4 cos 2 x sin 2 x cos 2 x sin 2 x ∫ ∫ cos 1(11)2 2 dx 2 2 dx 2 tan x C sin x cos x x ∫(12)e x 1 dx e x x C x 5 x 5(13)2 dx 3 dx 2 x 3 8 C ∫ ∫ 8 5 ln 8 x x(14)2 dx dx ∫ 5 ∫ 1 1 1 2 x 1 5 2 x C 5 2 ln 5 5 ln 2(15)e x dx e x ln x C ∫ 1 x ∫ 2x 3e x 6x(16)e x6 x 2 x 3e x dx e x C ln 2 l ln 3 ln 6 1 x 1 x ∫ ∫ 1(17)dx 2 dx 2 arcsin x C 1 x 2 1 x2 x2 1(18)∫ dx 1 x 2 ln x 5 arcsin x C 5 x 2 1 x 2 ∫ 1(19)dx arcsin x C 1 x2 1 cos 2 x 1 1 ∫ 2 cos ∫ 1 x(20)dx 1dx tan x C 2 x 2 cos 2 x 2 2 x x 2 1 1 1 1 1 ∫ ∫ 1(21)dx 2 x dx ln x arctan x C x 2 1 x 2 x 1 x2 x x 4 1 x 2 1 2 2 x3(22)∫ 1 x 2 d x x 2 2 ∫ 2 1 x dx 3 2 x 2 arctan x C8.用换元积分法计算下列各题. x4(1)∫ x2 dx ∫ (2)3x 28 dx .。
大学数学微积分第二版上册课后练习题含答案前言数学是一门抽象的学科,需要大量的练习才能真正理解和掌握。
微积分作为数学中的基础学科,更是如此。
本文将为大家提供大学数学微积分第二版上册的课后习题及其答案,供大家参考和练习。
课后习题及答案第一章函数与极限习题1.11.计算以下极限:1.$\\lim\\limits_{x\\rightarrow 1}\\frac{x-1}{x^2-1}$2.$\\lim\\limits_{x\\rightarrow 0}\\frac{\\sqrt{1+x}-1}{x}$3.$\\lim\\limits_{x\\rightarrow 0}(\\frac{1}{\\sin{x}}-\\frac{1}{x})$答案:1.$\\frac{1}{2}$2.$\\frac{1}{2}$3.02.求曲线$y=\\frac{1}{x}$与直线y=x在第一象限中形成的夹角。
答案:$\\frac{\\pi}{4}$3.证明:$\\lim\\limits_{x\\rightarrow 0}x\\sin\\frac{1}{x}=0$答案:对任意$\\epsilon>0$,取$\\delta=\\epsilon$,则当$0<|x|<\\delta$时,有$|x\\sin\\frac{1}{x}-0|<|x|<\\delta=\\epsilon$ 习题1.21.求下列函数的导数:1.y=2x3+3x2−4x+12.$y=\\frac{1}{2}x^3-x^2+2x-1$3.$y=\\frac{1}{\\sqrt{x}}+x\\ln{x}$答案:1.y′=6x2+6x−42.$y'=\\frac{3}{2}x^2-2x+2$3.$y'=-\\frac{1}{2x^{\\frac{3}{2}}}+\\ln{x}+1$2.求函数y=xe x在x=1处的导数。
答案:y′=e+13.求f(x)=|x−2|的导函数。
微积分上册 一元函数微积分与无穷级数第2章 极限与连续2.1 数列的极限1.对于数列n x ,若a x k →2(∞→k ),a x k →+12(∞→k ),证明:a x n → (∞→n ). 证. 0>∀ε, a x k →2 (∞→k ), Z K ∈∃∴1, 只要122K k >, 就有ε<-a x k 2; 又因a x k →+12(∞→k ), Z K ∈∃∴2, 只要12122+>+K k , 就有ε<-+a x k 12. 取{}12,2m ax 21+=K K N , 只要N n >, 就有ε<-a x n , 因此有a x n → (∞→n ). 2.若a x n n =∞→lim ,证明||||lim a x n n =∞→,并举反例说明反之不一定成立.证明: a x n n =∞→lim ,由定义有:N ∃>∀,0ε,当N n >时恒有ε<-||a x n又 ε<-≤-||||||a x a x n n对上述同样的ε和N ,当N n >时,都有ε<-||||a x n 成立 ∴ ||||lim a x n n =∞→反之,不一定成立.如取 ,2,1,)1(=-=n x nn显然 1||lim =∞→n n x ,但n n x ∞→lim 不存在.2.2 函数的极限1. 用极限定义证明:函数()x f 当0x x →时极限存在的充要条件是左、右极限各自存在且相等.证: 必要性. 若()A x f x x =→0lim , 0>∀ε, 0>∃δ, 当δ<-<00x x 时, 就有()ε<-A x f . 因而, 当δ<-<00x x 时, 有()ε<-A x f , 所以()A x f x x =+→0lim ; 同时当δ<-<x x 00时, 有()ε<-A x f , 所以()A x f x x =-→0lim .充分性. 若()A x f x x =+→0lim ,()A x f x x =-→0lim . 0>∀ε, 01>∃δ, 当100δ<-<x x 时, 就有()ε<-A x f , 也02>∃δ, 当200δ<-<x x 时, 有()ε<-A x f . 取{}21,m in δδδ=,则当δ<-<00x x 时, 就有()ε<-A x f . 所以()A x f x x =→0lim .2.写出下列极限的精确定义:(1)A x f x x =+→)(lim 0,(2)A x f x =-∞→)(lim ,(3)+∞=+→)(lim 0x f x x ,(4)-∞=+∞→)(lim x f x ,(5)A x f x =+∞→)(lim .解:(1)设R x U f →)(:0是一个函数,如果存在一个常数R A ∈,满足关系:0,0>∃>∀δε,使得当δ<-<00x x 时,恒有ε<-|)(|A x f ,则称A 是)(x f 当+→0x x 时的极限,记作A x f x x =+→)(lim 0或 )()(0+→=x x A x f . (2)设R f D f →)(:是一函数,其中0,),,()(>>--∞⊃αααR f D .若存在常数R A ∈,满足关系:0)(,0>∈∃>∀R X ε,使得当X x -<时,恒有ε<-|)(|A x f 成立,则称A 是)(x f 当-∞→x 时的极限,记作:A x f x =-∞→)(lim 或 A x f =)()(-∞→x .(3)设R x U f →)(:0是任一函数,若0>∀M ,0>∃δ,使得当δ<-<00x x 时,恒有M x f >)(,则称当+→0x x 时)(x f 的极限为正无穷大,记作+∞=+→)(lim 0x f x x 或 +∞=)(x f )(0+→x x . (4)设R f D f →)(:是一函数,其中R f D ∈>+∞⊃ααα,0),,()(,若存在常数R A ∈,满足关系:0>∀M ,0)(>∈∃R X ,使得当X x >时,恒有M x f -<)(则称当+∞→x 时)(x f 的极限为负无穷大,记作:-∞=+∞→)(lim x f x 或 -∞=)(x f )(+∞→x .(5)设R f D f →)(:是一函数,其中R f D ∈>+∞⊃ααα,0),,()(,若存在常数R A ∈,满足关系:0,0>∃>∀X ε,使得当X x >时,恒有ε<-|)(|A x f 成立,则称A是)(x f 当+∞→x 时的极限,记作:A x f x =+∞→)(lim 或 A x f =)()(+∞→x .2.3 极限的运算法则1.求∑=∞→+⋯++Nn N n 1211lim. 解. ()()⎪⎭⎫ ⎝⎛+-=+=+=+⋯++111212211211n n n n n n n⎪⎭⎫ ⎝⎛+-=⎥⎦⎤⎢⎣⎡⎪⎭⎫ ⎝⎛+-++⎪⎭⎫ ⎝⎛-+⎪⎭⎫ ⎝⎛-=+⋯++∑=1112111312121122111N N N n Nn 21112lim 211lim1=⎪⎭⎫ ⎝⎛+-=+⋯++∴∞→=∞→∑N nN Nn N 2.求xe e xxx 1arctan11lim110-+→. 解. +∞=+→x x e 10lim , 0lim 10=-→xx e,,21arctan lim 11lim 1arctan11lim 0110110π=-+=-++++→--→→x ee x e e x xxx xxx ,21arctan lim 11lim 1arctan11lim 0110110π=-+=-+---→→→x e e x e e x x xx x x x 21arctan 11lim 110π=-+∴→x e e x xx3.设)(lim 1x f x →存在,)(lim 2)(12x f x x x f x →+=,求)(x f . 解:设 )(lim 1x f x →=A ,则A x x x f ⋅+=2)(2再求极限:A A A x x x f x x =+=⋅+=→→21)2(lim )(lim 211⇒ 1-=A∴ x x xA x x f 22)(22-=+=.4.确定a ,b ,c ,使 0)1(3)1()1(lim 2221=-+-+-+-→x x c x b x a x 成立.解:依题意,所给函数极限存在且 0)1(lim 21=-→x x∴ 0]3)1()1([lim 221=+-+-+-→x c x b x a x ⇒ 2=c∴ 上式左边=])32)(1(11[lim ))1(321(lim 21221++-+--+=-+-+-+→→x x x x b a x x x b a x x])32)(1(1)32([lim 221++---+++=→x x x x b a x同理有 0]1)32([lim 21=--++→x x b x ⇒ 21=b ∴ 163)23)(1(8)1(3lim )32)(1(1)32(21lim221221=++---=++---++-=→→x x x x x x xx a x x 故 2,21,163===c b a 为所求.2.4 极限存在准则1. 设1x =10,n n x x +=+61,( ,2,1=n ).试证数列{n x }的极限存在,并求此极限. 证: 由101=x , 4612=+=x x , 知21x x >. 假设1+>k k x x , 则有21166+++=+>+=k k k k x x x x . 由数学归纳法知, 对一切正整数n , 有1+>n n x x ,即数列{n x }单调减少. 又显然, () ,2,10=>n x n , 即{n x }有界. 故n n x ∞→lim 存在.令a x n n =∞→lim , 对n n x x +=+61两边取极限得a a +=6, 从而有062=--a a ,,3=∴a 或2-=a , 但0,0≥∴>a x n , 故3lim =∞→n n x2.证明数列 nn n x x x x ++=<<+3)1(3,3011收敛,并求其极限.证明:利用准则II ,单调有界必有极限来证明.∴301<<x ,由递推公式33312131213213)1(30111112=++<++=++=++=<x x x x x x∴ 302<<x 同理可证:30<<n x 有界又 03)3)(3(333)1(311112111112>++-=+-=-++=-x x x x x x x x x x∴ 12x x > 同理 23x x > ,… ,1->n n x x ∴数列 }{n x 单调递增,由准则II n n x ∞→lim 存在,设为A ,由递推公式有:AA A ++=3)1(3 ⇒ 3±=A (舍去负数)∴ 3lim =∞→n n x .3.设}{n x 为一单调增加的数列,若它有一个子列收敛于a ,证明a x n n =∞→lim .证明:设}{k n x 为}{n x 的一子列,则}{k n x 也为一单调增加的数列,且a x k k n n =∞→lim对于1=ε,N ∃,当N n >时有1||<-a x k n 从而||1||||||||a a a x a a x x k k k n n n +<+-≤+-=取|}|1|,|,|,max {|1a x x M N n n += ,对一切k n 都有 M x k n ≤|| 有界.由子列有界,且原数列}{n x 又为一单调增加的数列,所以,对一切n 有M x n ≤||有界,由准则II ,数列}{n x 极限存在且a x n n =∞→lim .2.5 两个重要极限1. 求]cos 1[cos lim n n n -++∞→.解: 原式 =21sin 21sin2lim nn n n n -+++-+∞→⎪⎪⎭⎫⎝⎛++=-+=-+-+-+++-=+∞→n n n n n n nn nn nn n 1110212121sin21sin2lim 2. 求)1sin(lim 2++∞→n n π.解. 原式=()()n nn n n nn n -+-=-+++∞→+∞→1sin 1lim )1sin(lim 22ππππ()()()()0111sin 1lim 222=-+⋅-+-+-=+∞→n nn n nnnn πππ3. 求x x xx )1cos 1(sinlim +∞→. 解. 原式=()[]()e t t t tttt tt xt =⎥⎦⎤⎢⎣⎡+=+=→→=22sin 2sin 10212012sin 1lim cos sin lim 令4. 设 ⎩⎨⎧+-=32)cos 1(2)(x x x x f 00≥<x x 求 20)(lim x x f x →. 解: 1lim )(lim 232020=+=++→→x x x x x f x x ,1)cos 1(2lim )(lim 2020=-=--→→x x x x f x x ∴ 1)(lim2=→xx f x .2.6 函数的连续性1. 研究函数()[]x x x g -=的连续性,并指出间断点类型. 解. n x =,Z n ∈ (整数集)为第一类 (跳跃) 间断点.2. 证明方程)0(03>=++p q px x 有且只有一个实根.证. 令()()()0,0,3>∞+<∞-++=f f q px x x f , 由零点定理, 至少存在一点ξ使得()0=ξf , 其唯一性, 易由()x f 的严格单调性可得.3.设⎪⎩⎪⎨⎧≤<-+>=-01),1ln(0 ,)(11x x x e x f x ,求)(x f 的间断点,并说明间断点的所属类型. 解. )(x f 在()()()+∞-,1,1,0,0,1内连续, ∞=-→+111lim x x e,0lim 111=-→-x x e, ()00=f , 因此,1=x 是)(x f 的第二类无穷间断点; (),lim lim 1110--→→==++e ex f x x x()()01ln lim lim 00=+=--→→x x f x x , 因此0=x 是)(x f 的第一类跳跃间断点.4.讨论nx nxn e e x x x f ++=∞→1lim )(2的连续性.解. ⎪⎩⎪⎨⎧<=>=++=∞→0,0,00,1lim)(22x x x x x e e x x x f nxnxn , 因此)(x f 在()()+∞∞-,0,0,内连续, 又()()00lim 0==→f x f x , ()x f ∴在()+∞∞-,上连续.5.设函数),()(+∞-∞在x f 内连续,且0)(lim=∞→xx f x ,证明至少存在一点ξ,使得0)(=+ξξf .证:令x x f x F +=)()(,则01]1)([lim )(lim>=+=∞→∞→x x f x x F x x ,从而0)(>xx F .由极限保号性定理可得,存在01>x 使0)(1>x F ;存在02<x 使0)(2<x F .)(x F 在],[12x x 上满足零点定理的条件,所以至少存在一点ξ使得0)(=ξF ,即0)(=+ξξf .6.讨论函数nnx x x x f 2211lim )(+-=∞→的连续性,若有间断点,判别其类型.解: ⎪⎩⎪⎨⎧-=101)(x f 1||1||1||>=<x x x ,显然 1±=x 是第一类跳跃间断点,除此之外均为连续区间.7.证明:方程)0,0(sin >>+=b a b x a x 至少有一个正根,且不超过b a +. 证明:设b x a x x f --=sin )(,考虑区间],0[b a +0)0(<-=b f ,0))sin(1()(≥+-=+b a a b a f ,当0))sin(1()(=+-=+b a a b a f 时,b a x +=是方程的根;当0))sin(1()(>+-=+b a a b a f 时,由零点定理,至少),0(b a +∈∃ξ使0)(=ξf ,即 0sin =--b a ξξ成立,故原方程至少有一个正根且不超过b a +.2.7 无穷小与无穷大、无穷小的比较1. 当0→x 时,下面等式成立吗?(1))()(32x o x o x =⋅;(2))()(2x o xx o =;(3) )()(2x o x o =. 解. (1)()()()002232→→=⋅x xx o x x o x , ()()()032→=⋅∴x x o x o x (2) ()()()0)(,00)()(2222→=∴→→=x x o x x o x x x o xxx o(3) ()2xx o不一定趋于零, )()(2x o x o =∴不一定成立(当0→x 时) 2. 当∞→x 时,若)11(12+=++x o c bx ax ,则求常数c b a ,,.解. 因为当∞→x 时,若)11(12+=++x o c bx ax , 所以01lim 111lim 22=+++=++++∞→+∞→c bx ax x x c bx ax x x , 故c b a ,,0≠任意.3.写出0→x 时,无穷小量3x x +的等价无穷小量.解: 11lim 1lim lim303630=+=+=+→→→x xx xxx x x x∴ 当0→x ,3x x +~6x第3章 导数与微分3.1 导数概念1. 设函数)(x f 在0x 处可导,求下列极限值. (1)hh x f h x f h )3()2(lim000--+→;(2)000)()(lim 0x x x xf x f x x x --→.解.(1) 原式()()()000000533)3(22)2(lim x f h x f h x f h x f h x f h '=⎥⎦⎤⎢⎣⎡⋅---+⋅-+=→(2) 原式()[]()()()()00000000)(limx f x f x x x x x x f x f x f x x x -'=----=→2.设函数R f →+∞),0(:在1=x 处可导,且),0(,+∞∈∀y x 有)()()(y xf x yf xy f += 试证:函数f 在),0(+∞内可导,且)1()()(f xx f x f '+='. 解:令1==y x ,由()()()y xf x yf xy f +=有()()121f f =得()01=f .()+∞∈∀,0x ,()()()()()()()()()()xx f f x x f xx f x x f x x f x f x x x x xf x x f x x x f x x f x x f x f x x x x +'=+∆-⎪⎭⎫⎝⎛∆+=∆-⎪⎭⎫ ⎝⎛∆++⎪⎭⎫ ⎝⎛∆+=∆-⎥⎦⎤⎢⎣⎡⎪⎭⎫ ⎝⎛∆+=∆-∆+='→∆→∆→∆→∆111lim 11lim 1lim lim 0000 故()x f 在()+∞,0内处处可导,且()()()xx f f x f +'='1. 3.设()f x 在(,)-∞+∞内有意义,且(0)0f =,(0)1f '=, 又121221()()()()()f x x f x x f x x ϕϕ+=+,其中22()cos xx x x e ϕ-=+, 求()f x '.解: ()()()()()()()()x x f x x f x x f x x f x x f x f x x ∆-∆+∆=∆-∆+='→∆→∆ϕϕ00lim lim()()()()()()()()()001lim 0lim 00ϕϕϕϕ'+'=∆-∆+∆-∆=→∆→∆x f x f xx x f x x f x f x x ()x e x x x 22cos -+==ϕ4.设函数0)(=x x f 在处可导,且21arctan lim )(0=-→x f x e x,求)0(f '.解:由已知,必有0]1[lim )(0=-→x f x e,从而0)(lim 0=→x f x ,而0)(=x x f 在连续,故0)0(=f .于是)0(1)0()(1lim )(lim 1arctan lim200)(0f xf x f x f x e x x x x f x '=-==-=→→→. 故21)0(='f .5.设)(x f 具有二阶导数,)(,sin )()2(lim )(2x dF t xx f t x f t x F t 求⎥⎦⎤⎢⎣⎡-+=∞→.解: 令t h 1=,则)(2 sin )()2(lim)(0x f x hhxh x f h x f x F t '=⋅-+=→.从而)(2)(2)(x f x x f x F ''+'=',dx x f x x f dx x F x dF )]()([2)()(''+'='=.6.设f 是对任意实数y x ,满足方程 22)()()(xy y x y f x f x f +++= 的函数,又假设1)(lim=→xx f x ,求:(1))0(f ;(2))0(f '; (3))(x f '. 解:(1)依题意 R y x ∈∀,,等式 22)()()(xy y x y f x f y x f +++=+ 成立令0==y x 有 )0(2)0(f f = ⇒ 0)0(=f(2)又 1)(lim=→x x f x ,即 )0(10)0()(lim 0f x f x f x '==--→,∴ 1)0(='f(3)xx f x x f x f x ∆-∆+='→∆)()(lim )(0x x f x x x x x f x f x ∆-∆⋅+∆⋅+∆+=→∆)()()()(lim 220 x x x x x x f x ∆∆⋅+∆⋅+∆=→∆220)()(lim ])([lim 20x x x xx f x ∆⋅++∆∆=→∆ ]1)0(22x x f +=+'=∴ 21)(x x f +='.7.设曲线)(x f y =在原点与x y sin =相切,试求极限 )2(lim 21nf nn ∞→. 解:依题意有 1)0()0(='='f y 且0)0(=f∴ 222)0()2(lim )2(lim 2121=⋅-⋅=⋅∞→∞→n nf n f n nf n n n .8.设函数)(x f 在0=x 处可导且0)0(,0)0(='≠f f ,证明1])0()1([lim =∞→nn f n f .证:n n n n f f n f f n f ])0()0()1(1[lim ])0()1([lim -+=∞→∞→.=10)0(11)0()01(lim )0()0()1(lim ===⋅-+-∞→∞→e ee f nf n f f f n f n n n .1.计算函数baxax xb ab y )()()(= (0,0>>b a )的导数.解. a xb bx a b a x xb a b a a x b a x a b x b x b a a x x b a b a b y )(1)()()()(ln )(121⎪⎭⎫ ⎝⎛⎪⎭⎫ ⎝⎛+⎪⎭⎫ ⎝⎛⎪⎭⎫ ⎝⎛-⎪⎭⎫⎝⎛+='-- ⎥⎦⎤⎢⎣⎡+-=x b x a a b a x x b a b b a x ln )()()( 2.引入中间变量,1)(2x x u +=计算1111ln 411arctan 21222-+++++=x x x y 的导数dx dy .解. 引入,1)(2x x u += 得11ln 41arctan 21-++=u u u y ,于是dxdudu dy dx dy ⋅=, 又 ()()4242422111111111141121x x x u u u u du dy +-=+-=-=⎪⎭⎫ ⎝⎛--+++=,21xx dx du +=, 则()22242121121xx x x x x x dx dy ++-=+⋅⎪⎭⎫⎝⎛+-= 3.设y y x +=2,232)(x x u +=,求dudy. 解. dudxdx dy du dy ⋅= , 又()()1223,12212++=+=x x x dx du y dy dx ,得121+=y dx dy , ()x x x du dx ++=21232, 则得()()xx x y du dy +++=2121232 4.已知 2arctan )(),2323(x x f x x f y ='+-=,求=x dx dy .解:22)23(12)2323arctan()2323()2323(+⋅+-='+-⋅+-'='x x x x x x x f y π43)23(12)2323arctan(02200=+⋅+-='=∴===x x x x x x y dxdy .1. 计算下列各函数的n 阶导数. (1) 6512-+=x x y ; (2) x e y xcos =. 解 (1)⎪⎭⎫⎝⎛+--=611171x x y ,()()()()()()⎥⎦⎤⎢⎣⎡+---=⎥⎥⎦⎤⎢⎢⎣⎡⎪⎭⎫ ⎝⎛+-⎪⎭⎫⎝⎛-=∴++1161117!1611171n n nn n n x x n x x y (2) ()⎪⎭⎫ ⎝⎛+=⎥⎦⎤⎢⎣⎡-=-='4cos 2sin 21cos 212sin cos πx e x x e x x e y x x x()⎪⎭⎫ ⎝⎛⋅+=⎥⎦⎤⎢⎣⎡⎪⎭⎫ ⎝⎛+-⎪⎭⎫ ⎝⎛+=''42cos 24sin 4cos 22πππx ex x e y xx由此推得 ()()⎪⎭⎫ ⎝⎛⋅+=4cos 2πn x eyxnn2. 设x x y 2sin 2=, 求()50y .解 ()()()()()()()()()()"+'+=248250249150250502sin 2sin 2sin x x C x x C x x y⎪⎭⎫ ⎝⎛⋅+⋅⨯+⎪⎭⎫ ⎝⎛⋅+⋅+⎪⎭⎫ ⎝⎛⋅+=2482sin 2249502492sin 2502502sin 24950250πππx x x x xx x x x x 2sin 212252cos 2502sin 24950250⋅+⋅+-= ()[]x x x x 2cos 1002sin 212252249+-=3. 试从y dy dx '=1, 0≠'y , 其中y 三阶可导, 导出()322y y dy x d '''-=, ()()52333y y y y dy x d '''''-''= 解 y dy dx '=1 ,()()322211y y y y y dy dx y dx d dyx d '''-='⋅'-''=⋅⎪⎪⎭⎫ ⎝⎛'=∴ ()()()()()()52623333313y y y y y y y y y y y dy dx y y dx d dy x d '''''-''='⋅'''⋅'⋅''+''''-=⋅⎪⎪⎭⎫ ⎝⎛'''-=∴ 4. 设()x f 满足()()0 312≠=⎪⎭⎫⎝⎛+x xx f x f , 求()()()()x f x f x f n ,,'.解 以x 1代x ,原方程为()x x f x f 321==⎪⎭⎫ ⎝⎛,由()()⎪⎪⎩⎪⎪⎨⎧=+⎪⎭⎫ ⎝⎛=⎪⎭⎫ ⎝⎛+x x f x f x x f x f 321 312,消去⎪⎭⎫⎝⎛x f 1,求得()x x x f 12-=,且得()212xx f +=',()()()()2!111≥-=++n x n x f n n n . 5.设()arcsin f x x =,试证明()f x 满足 (1)2(1)()()0x f x xf x '''--= (2) ,1,0,0)()()12()()1()(2)1()2(2==-+--++n x f n x xf n x f x n n n(3)求()(0)n f解 (1)()211x x f -=',()()()22221112211xx xx x x x f --=-⋅--='', ()()()012='-''-∴x f x x f x ,(2)上式两边对x 求n 阶导数得()()[]()()[]()()()()()()()()()()()()()()()[]x f n x xf x f n n x f x n x f x x f x x f x n n n n n nn⋅⋅+-⋅-⋅---+-='-''-=+++1221211021222即 ()()()()()()()()01212122=-+--++x f nx xf n x f xn n n 。
习题8.11.指出下列微分方程的阶数,并指出哪些方程是线性微分方程: (1)02)(2=+'-'xy y y y x (2) 02=+'-y y x y x (3)0)(sin 42=+''+'''y x y y x (4)θθ2sin d d =+p p解 (1) 1阶 非线性 (2) 1阶 线性 (3) 3阶 线性 (4) 1阶 线性2.验证下列函数是否是所给微分方程的解 (1) xxy x y y x sin ,cos ==+' (2) 2212,2)1(x C y x xy y x -+==+'- (C 为任意常数) (3) xCe y y y y ==+'-'',02 (C 为任意常数) (4) x xe C eC y y y y 21212121,0)(λλλλλλ+==+'+-'' (C 1 ,C 2为任意常数)(5) C y xy x y x y y x =+--='-22,2)2( (C 为任意常数) (6) )ln(,02)(2xy y y y y y x y x xy =='-'+'+''- 解 (1) 是,左=x x xx x x x xcos sin sin cos 2=+-=右(2) 是,左=x x C x x Cx x 2)12(1)1(222=-++---=右(3) 是,左=02=+-xxxCe Ce Ce =右 (4) 是,左=0)())(()(2121212121221121222211=++++-+x x x x x xe C e C e C e C eC e C λλλλλλλλλλλλλλ =右(5) 是,左==-=---y x yx yx y x 222)2(右(6) 是,左=x xy yx xy y y x xy y x x xy xy xy xy x xy ---+-+----2)()(22)(22332=0)())(2()()(222222232=---+-+---x xy x xy y y x xy xy x xy xy xy xy = 右3.求下列微分方程的解(1) 2d d =x y; (2) x xy cos d d 22=;(3) 0d )1(d )1(=--+y y x y (4) yx x y y )1()1(22++=' 解 (1) C x y x y +==⎰⎰2,d 2d (2) 1sin ,d cos d C x y x x x y +='=''⎰⎰211cos ,d )(sin d Cx C x y x C x x y ++-=+='⎰⎰(3)⎰⎰=+-x y y y d d 11 ⎰⎰=+++-x y y y d d 12)1(解得 ⎰⎰⎰=++-x y y y d d 12d即 C x y y +=++-|1|ln 2(4)⎰⎰+=+dx x xdy y y )1(122解得 2122)1ln()1ln(C x y ++=+整理得 22211C xy =++ 4.已知曲线)(x f y =经过原点,并且它在点),(y x 处的切线的斜率等于22x ,试求这条曲线的方程。
第六章习题6-11. 利用定积分定义计算由直线y =x +1,直线x =a ,x =b (a<b )及x 轴所围成的图形的面积. 解 因y =x 2+1在[a,b ]上连续,所以x 2+1在[a,b ]上可积,从而可特殊地将[a,b ]n 等分,并取2,,()()1Δi i i b a b a b a a i x f a i n n nξξ---=+==++, 于是21122221222()[()1]1()[()2()1]111(1)1()[()(1)(21)2()]62Δ nni i i i ni b a b a f x a i n ni i b a a b a a b a n n n n n b a na b a n n n b a a n n n nξ===--=++=-+-+-++=-+-⋅⋅+++-⋅⋅+⋅∑∑∑ 故面积 22211(1)l i m ()()[()()1]3d Δnbi i a n i S x x f x b a a b a a b a ξ→∞==+==-+-+-+∑⎰ 331()()3b a b a =-+- 2. 利用定积分的几何意义求定积分: (1)12d x x ⎰;(2)x ⎰(a >0).解 (1)根据定积分的几何意义知, 102d x x ⎰表示由直线y =2x ,x =0,x =1及x 轴所围的三角形的面积,而此三角形面积为1,所以12d x x ⎰=1.(2)根据定积分的几何意义知,0x ⎰表示由曲线0,y x x a ===及x轴所围成的14圆的面积,而此14圆面积为214πa ,所以2014πx a =⎰.3. 根据定积分的性质,比较积分值的大小: (1)12d x x ⎰与13d x x ⎰; (2)1e d xx ⎰与1(1)d x x +⎰.解 (1)∵当[0,1]x ∈时,232(1)0x x x x -=-≥,即23x x ≥,又2x3x ,所以11230d d x x x x >⎰⎰.(2)令()1,()1e e x xf x x f x '=--=-,因01x ≤≤,所以()0f x '>,从而()(0)0f x f ≥=,说明1e xx ≥+,又ex1+x .所以11(1)e d d xx x x >+⎰⎰.4. 估计下列各积分值的范围:(1)421(1)d x x +⎰;(2) arctan d x x ;(3)2e d ax ax --⎰(a >0); (4)22e d x x x -⎰.解 (1)在区间[1,4]上,函数2()1f x x =+是增函数,故在[1,4]上的最大值(4)17M f ==,最小值(1)2m f ==,所以4212(41)(1)17(41)d x x -≤+≤-⎰, 即 4216(1)51d x x ≤+≤⎰.(2)令()arctan f x x x =,则2()arctan 1x f x x x '=++,当x ∈时,()0f x '>,从而()f x在上是增函数,从而f (x )在上的最大值M f ==,最小值m f ==,所以2arctan 93ππd x x =≤≤=即2arctan 93ππd x x ≤≤. (3)令2()e x f x -=,则2()2e x f x x -'=-,令()0f x '=得驻点x =0,又(0)1f =,2()()e a f a f a -=-=,a >0时, 21e a -<,故()f x 在[-a,a ]上的最大值M =1,最小值 2e a m -=,所以2222e e d aa x aa x a ---≤≤⎰.(4)令2()ex xf x -=,则2()(21)e xxf x x -'=-,令()0f x '=得驻点12x =,又(0)1,f = 1241(),(2)2e ef f -==,从而()f x 在[0,2]上的最大值2e M =,最小值14e m -=,所以 212242ee d e x x x --≤≤⎰,而2222ed e d x xx x x x --=-⎰⎰,故 21024222e ed ex xx ---≤≤-⎰.习题6-21. 求下列导数:(1)20d d x t x ⎰; (2) 53ln 2d e d d x t t t x -⎰; (3) cos 2sin cos()d xxt t '⎡⎤π⎢⎥⎣⎦⎰; (4) 22dsin d d x t t x tπ⎰ (x >0). 解220(1)()d d x t x x'⋅=⎰5353ln 2(2)d e d e d x tx t t x x --=⎰cos cos sin 222sin 00cos sin 220022222(3)cos()cos()cos()cos()cos()cos(cos )(cos )cos(sin )(sin )cos(cos )sin cos(sin )cos cos(sin )sin πd πd πd πd πd πππππx x xx xx t t t t t t t t t tx x x x x x x x x x ''⎡⎤⎡⎤=-⎣⎦⎣⎦''⎡⎤⎡⎤=-⎣⎦⎣⎦''=⋅-⋅=--=-⎰⎰⎰⎰⎰22cos(sin )cos (sin cos )cos(sin )ππx x x x x =-2222sin sin sin (4)cos sin sin cos .ππd d d d d d d d d d xx t t x t t xt x x x t x x x x x x x x x⎛⎫⎛⎫==- ⎪ ⎪⎝⎭⎝⎭--=-=⎰⎰ 2. 求下列极限:(1) 02arctan d limxx t t x →⎰; (2) 2020sin 3d lim e d x xx tt t t t→-⎰⎰; (3)()22220e d lime d xt xx t t t t→⎰⎰.解 ()022000021a r c t a n a r c t a n a r c t a n11(1)l i m l i ml i m l i m 222d d x xx x xxt t t t x x x xx →→→→'⎡⎤--⎣⎦+====-'⎰⎰ 2220030003300222200sin 3sin 3sin 32(2)lim lim lim 2sin 3sin 3lim lim 663d d e e d e d e e x x x x x x x t x t x xx x t t t t x x x t t t t x x x x-→→→--→→'⎡⎤⋅⎢⎥⎣⎦=='⎡⎤⎣⎦=⋅=⋅⋅=⎰⎰⎰⎰()()[]222222222222222200002000022000200022(3)lim lim lim lim 222lim lim lim 2122e d e d e d e e d e e e d e d e d e e e e xxx x t t t x tx x x x x x x t x t x t x x x x x x x t t t t x x t tt t t x x x x →→→→→→→'⎡⎤⋅⎢⎥⎣⎦==='⎡⎤⎣⎦'⎡⎤⎣⎦====+'+⋅⎰⎰⎰⎰⎰⎰⎰ 3. 求由方程e d cos d 0yxtt t t +=⎰⎰所确定的隐函数y =y (x )的导数.解 方程两边对x 求导数得:cos 0e y y x '⋅+=, cos e yxy '∴=-. 又由已知方程有000sin e y xtt +=,即1sin sin 00e y x -+-=即1sin e yx =-,于是有cos cos sin 1e yx xy x '=-=-. 4. 当x 为何值时,I (x )=2e d xt t t -⎰有极值?解 2()e x I x x -'=,令()0I x '=得驻点0x =,又22()(12),(0)10e x I x x I -''''=-=>, 所以当x =0时,I (x )有极小值,且极小值为I (0)=0.5. 计算下列定积分:(1)3x ⎰; (2)221d x x x --⎰;(3)()d f x x π⎰,其中,0,2()sin ,2x x f x x x π⎧≤≤⎪⎪=⎨π⎪≤≤π;⎪⎩ (4) {}222max 1,d x x -⎰.解433322233222(1)(43)(8333x x ⎛⎫==-=- ⎪⎝⎭⎰201222221101(2)()()()d d d d x x x x x x x x x x x x --=-+-+--⎰⎰⎰⎰012322332101111111116322332x x x x x x -⎛⎫⎛⎫⎛⎫=++=--- ⎪ ⎪ ⎪⎝⎭⎝⎭⎝⎭()22220022(3)()sin 1cos 82ππππππππd d d xf x x x x x x x =+=+=+-⎰⎰⎰(4)由于22221()max{1,}11112x x f x x x x x ⎧-≤<-⎪==-≤<⎨⎪≤≤⎩,于是 21121212223312122111120max{1,}333d d 1d d x x x x x x x x x x -------=++=++=⎰⎰⎰⎰ 6. 已知f (x )连续,且f (2)=3,求2222()d d lim(2)xt x f u u tx →⎡⎤⎢⎥⎣⎦-⎰⎰.解 []222222222222()()()()limlim lim lim (2)2(2)2(2)(2)d d d d d d x xx x t t x x x x t f u u t f u u f u u f u u x x x x →→→→''⎡⎤⎡⎤⎡⎤⎡⎤⎢⎥⎣⎦⎣⎦⎣⎦⎣⎦===--''-⎡⎤-⎣⎦⎰⎰⎰⎰⎰⎰ 22()113lim lim ()(2)2222x x f x f x f →→-==-=-=-.习题6-31. 计算下列积分: (1)3sin()d x x πππ+3⎰; (2) 32d (115)xx 1-+⎰;(3)1x -⎰; (4) 320sin cos d ϕϕϕπ⎰;(5)22cos d u u ππ6⎰;(6)2e 1⎰;(7)1;(8)x ;(9)ln 3ln 2d e ex xx--⎰; (10) 322d 2xx x +-⎰;(11)21x ⎰;(12) 22x ππ-⎰.解 333(1)sin()d sin()d()[cos()]x x x x x ππππππππππ+=++=-+3333⎰⎰42coscos 033ππ=-+= 12332221d 1d(511)151(2)(511)(115)5(511)10512x x x x x 11---+==-=+++⎰⎰1111(3)4)14x x--=-==⎰⎰2334220011(4)sin cos d cos dcos cos44ϕϕϕϕϕϕπππ=-==-⎰⎰22222π2π61cos211(5)cos d d d cos2d22241πππ1sin226264uu u u u u uuππππππππ6666+==+⎛⎫=+=-⎪⎝⎭⎰⎰⎰⎰222e e11(6)1)===⎰⎰(7)令x=tan t,则d x=sec2t d t,当x=1时,π4t=;当x=,π3t=,于是ππ33π21π44cos1dsin sinttt t==-=⎰(8)令x t,则d dx t t=,当x=0时,t=0;当x=,π2t=,于是πππ222200π12cos d(1cos2)d(sin2)22x t t t t t t==+==+⎰⎰.(9)令e x t=,则1ln,d dx t x tt==,当ln2x=时,2t=;当ln3x=时,3t=,于是3ln3332ln2222d d1113111d ln lne e12222111x xx t ttt t t t--⎛⎫====-⎪---++⎝⎭⎰⎰⎰.3 333222222d d11111(10)()d ln19231232()241211(ln ln)ln2ln53543x x xxx x x x xx-==-=+--+++-=-=-⎰⎰⎰(11)t=,则65,d6dx t x t t==,当x=1时,t=1;当x=2,t于是2111611d6()d1x t tt t t t==-++⎰6(ln ln(7ln26ln(1t t=-+=-220202(12)d sin )d sin d x x x x x x x x xπ-π-π-==-+=-⎰⎰⎰33022202224cos cos 333x x ππ-=-= 2. 利用被积函数的奇偶性计算下列积分值:(1)ln(aa x x -+⎰(a 为正常数);(2) 325425sin d 21x xx x x -++⎰; (3) 4224cos d θθππ-⎰.解((1)()l n f x x =+是奇函数.(ln 0d aax x -∴=+⎰.3242sin (2)()21x xf x x x =++ 是奇函数.325425sin 021d x x x x x -∴=++⎰4(3)()cos f θθ= 是偶函数.4422222022202020222004cos 24cos 2(1cos )2(12cos 2cos 2)312(2cos 2cos 4)22(34cos 2cos 4)1332sin 2sin 442ππππππππππd d d d d d θθθθθθθθθθθθθθθθθθ-∴==+=++=++=++=++=⎰⎰⎰⎰⎰⎰π3. 证明下列等式: (1)2321()d ()d 2aa x f x x xf x x =⎰⎰ (a 为正整数);(2)证明:11221d d 11xx x x x x =++⎰⎰ (x >0);(3) 设f (x )是定义在(-∞,+∞)上的周期为T 的连续函数,则对任意a ∈[-∞,+∞),有()d ()d a TTaf x x f x x +=⎰⎰.证 (1)令x 2=t ,则d x x t ==,当x =0时,t =0;当x =a 时,t =a 2, 于是2223200011()()()()22d d d aa a a x f x x t t tf t t xf x x ===⎰⎰⎰⎰即2321()()2d d aa x f x x xf x x =⎰⎰.(2)令1x t=则21d d x t t -=,1111111222231111111111111d d d d d t xx t tx t t t x x t t x t t⎛⎫=⋅=-⋅==- ⎪++++⎝⎭+⎰⎰⎰⎰⎰ 即 1122111d d xx x x x x =++⎰⎰. 4. 若f (t )是连续函数且为奇函数,证明0()d xf t t ⎰是偶函数;若f (t )是连续函数且为偶函数,证明()d xf t t ⎰是奇函数.证 令0()()d xF x f t t =⎰.若f (t )为奇函数,则f (-t )=- f (t ),从而()()()()()d d d xxxF x f t tt u f u u f u u F x -==---==⎰⎰⎰,所以0()()d xF x f t t =⎰是偶函数.若f (t )为偶函数,则f (-t )=f (t ),从而()()()()()d d d xxxF x f t tt u f u u f u u F x --==---=-=-⎰⎰⎰,所以0()()d xF x f t t =⎰是奇函数.5※. 设f (x )在(-∞,+∞)内连续,且F (x )= 0(2)()d xx -t f t t ⎰,试证:若f (x )单调不减,则F (x )单调不增.证 00()()()2()()2()d d d x xxF x f t t xf x xf x xf t t tf t x '⎡⎤'==+--⎣⎦⎰⎰⎰()()()()[()()]d xf t t xf x f x xf x x f f x ξξ=-=-=-⎰,其中ξ在x 与0之间.当x >0时,x >ξ,由f (x )单调不减有()()0f f x ξ-≤,即()0F x '≤;当x <0时,ξ> x ,由f (x )单调不减有()()0f f x ξ-≥,即()0F x '≤;综上所述知F (x )单调不增.习题6-41. 计算下列定积分: (1)10e d xx x -⎰; (2)e1ln d x x x ⎰;(3)41x ⎰; (4) 324d sin xx x ππ⎰; (5) 220e cos d x x x π⎰; (6)221log d x x x ⎰;(7)π20(sin )d x x x ⎰; (8)e1sin(ln )d x x ⎰;(9)230e d x x ; (10)1201lnd 1xx x x+-⎰. 解 (1)1111000e d de e e d x x x xx x x x x ----=-=-+⎰⎰⎰ 111012e e e e e 1ex----=--=--+=-.e e e 22222ee 11111111111(2)ln d ln d ln d e (e 1)222244x x x x x x x x x x ==-=-=+⎰⎰⎰444441111(3)2ln 28ln 28ln 24x x x x ==-=-=-⎰⎰⎰33332444434(4)d dcot cot cot d sin π131πln πlnsin 492249xx x x x x x xx x ππππππππππ=-=-+⎛=-+=+- ⎝⎭⎰⎰⎰22222222000π2π222220π220(5)e cos d e dsin e sin 2e sin d e 2e dcos e 2e cos 4e cos d e 24e cos d xxxx xxx x x x x xx xx x x x x xππππππππ==-=+=+-=--⎰⎰⎰⎰⎰⎰故2π201e cos d (e 2)5x x x π=-⎰.()2222222111111(6)log d ln d ln d 2ln 22ln 2133(4ln 2)22ln 224ln 2x x x x x x x x x ==-=-=-⎰⎰⎰πππ2232π000033ππ2π0003ππ0033π01111(7)(sin )d (1cos 2)d (dsin2)2232π1π1(sin 22sin2d )dcos26464π1(cos 2cos d )64ππ1ππsin 264864x x x x x x x x x x x x x x x xx x x x x =-=-=--=-=--=-+=-⎰⎰⎰⎰⎰⎰ee e111ee11e1(8)sin(ln )d sin(ln )cos(ln )d esin1cos(ln )sin(ln )d esin1ecos11sin(ln )d x x x x x x x x x x x x=-=--=-+-⎰⎰⎰⎰故e11sin(ln )d (esin1ecos11)2x x =-+⎰. 222222322000011(9)e d de e e d 22111ln 2ln 2e ln 2222x x x x x x x x x x==-=-=-=-1112122222220000111222200012011111(10)ln d ln d ln d 121211111111ln 3(1)d ln 3()d 818211111131ln 3ln ln 3822281x x x x x x x x x x x x x x x x x x x x x +++==+----=++=++---+-=++=-+⎰⎰⎰⎰⎰2. 已知f (2)= 12,f ′(2)=0, 2()d 1f x x =⎰,求220()d x f x x ''⎰.解222222200()d d ()()2()d x f x x x f x x f x xf x x '''''==-⎰⎰⎰222004(2)2d ()2()2()d 14(2)21420.2f x f x xf x f x xf '=-=-+=-+⨯=-⨯+=⎰⎰3※. 利用分部积分公式证明:()()()d ()d d xxuf u x u u f x x u -=⎰⎰⎰.证 令0()()d uF u f x x =⎰则()()F u F u '=,则(())()()()d d d d xu x xx f x x u f u u uF u uF u u '==-⎰⎰⎰⎰()()()()()()()()()()d d d d d d d d x x xx x x xxxF x uf u u x f x x uf u ux f u u uf u u xf u u uf u u x u f u u=-=-=-=-=-⎰⎰⎰⎰⎰⎰⎰⎰即等式成立.习题6-51. 求由下列曲线所围成的平面图形的面积:(1) y =e x 与直线x =0及y =e; (2) y =x 3与y =2x ;(3) y =x 2,4y =x 3; (4) y =x 2与直线y =x 及y =2x ; (5) y =1x,x 轴与直线y =x 及x =2; (6) y =(x -1)(x -2)与x 轴; (7) y =e x ,y =e -x 与直线x =1; (8) y =ln x ,y 轴与直线y =ln a ,y =ln b , (0)a b <<. 解 (1)可求得y =e x 与y =e 的交点坐标(1,e), y =e x 与x =0的交点为(0,1),它们所围成的图形如图6-1中阴影部分,其面积eee111d ln d (ln )1S x y y y y y y ===-=⎰⎰图6-1 图6-2(2)解方程组32y x y x ⎧=⎨=⎩得0,0x x x y y y ⎧⎧===⎧⎪⎪⎨⎨⎨==-=⎩⎪⎪⎩⎩即三次抛物线3y x =和直线2y x =的交点坐标分别为(0,0),(-,它们所围成的图形的面积3342240112)d )d ()(244S x x x x x x x x x x =-+-=-+-=⎰.(3)解方程234y xy x⎧=⎪⎨=⎪⎩得两曲线的交点为(0,0),(4,16),所求面积为 4233440011116()d ()43163S x x x x x =-=-=⎰.图6-3 图6-4(4)可求得2y x =与y x =的交点为(0,0),(1,1);2y x =与2y x =的交点为(0,0),(2,4); y =x 与y =2x 的交点为(0,0),它们所围图形如图6-4中阴影所示,其面积为:121122012231201(2)d (2)d d (2)d 117()236S x x x x x x x x x x xx x x =-+-=+-=+-=⎰⎰⎰⎰(5) 1y x =与y x =的交点为(1,1),1y x=,x 轴与直线x =1,及x =2所围成的图形如图6-5阴影所示,其面积:2121201111d d ln ln 222x S x x x xx =+=+=+⎰⎰.图6-5 图6-6(6) 231(1)(2)()24y x x x =--=--,顶点坐标为31(,)24-,与x 轴所围成的图形如图6-6中阴影所示,由231()24y x =--得32x =所求面积0143021433d 2222112364S y y y --⎡⎤⎛⎛=-=⎢⎥ ⎝⎝⎣⎦⎛⎫=⋅=+ ⎪⎝⎭⎰⎰(7)可求得曲线e x y =与e x y -=的交点(0,1),曲线e x y =,e x y -=与x =1所围成的图形如图6-7阴影所示,其面积:10)() 2.101(e e d e e e ex x x x S x --=-=+=+-⎰图6-7 图6-8(8)曲线ln ,y x y =轴与直线ln ,ln y a y b ==所围成的图形如图6-8阴影所示,其面积:ln ln ln ln ln ln .d e d e bby yb aaaS x y y b a ====-⎰⎰2. 求由下列曲线围成的平面图形绕指定轴旋转而成的旋转体的体积:(1) y =e x ,x =0,y =0,x =1,绕y 轴; (2) y =x 3,x =2,x 轴,分别绕x 轴与y 轴; (3) y =x 2,x =y 2,绕y 轴; (4) y 2=2px ,y =0,x =a (p >0,a >0),绕x 轴; (5) (x -2)2+y 2≤1,绕y 轴.解 (1)如图6-9所求旋转体的体积为矩形OABD ,与曲边梯形CBD 绕y 轴旋转所成的几何体体积之差,可求得y =e x 与x =1的交点为(1,e), y =e x 与y 轴的交点为(0,1),所以,所求旋转体的体积.222111(ln )(ln )2(ln )22(1)2(ln )eee11ee1πe πd πe πd πe πe ππe e π.d y V y y y y y y y y y ⎡⎤=⋅⋅-=--⎣⎦⎡⎤=-+=-+=-⎣⎦⎰⎰⎰722262000128(2)7ππd πd π7x x V y x x x ===⋅=⎰⎰25882283336428323255πππd ππd ππy V x y y y y =⨯⨯-=-=-⋅⋅=⎰⎰.图6-9 图6-10(3)解方程组22y xx y⎧=⎪⎨=⎪⎩得交点(0,0),(1,1),所求旋转体的体积2511410031025πdπdππxx xV x x x x⎛⎫=-=⋅=-⎪⎝⎭⎰⎰.图6-11 图6-1222300(4)2πdπdππa aaxV y x px x p x pa===⋅=⎰⎰.(5)所求旋转体的体积是由右半圆2x=2x=x轴旋转生成的旋转体的体积之差,即((122122281641dπππyV yy yπ-⎡⎤=-+-⎢⎥⎣⎦===⎰⎰⎰图6-133. 已知曲线y=(a>0)与y(x0,y0)处有公共切线,求:(1) 常数a及切点(x0,y0);(2) 两曲线与x轴围成的平面图形的面积S.解(1)由题意有点00(,)x y在已知曲线上,且在点00(,)x y处两函数的导数相等.即有00x xyy==⎧=⎪⎪==即12yyx⎧=⎪⎪=⎨=解得211eexya⎧=⎪⎪=⎨⎪=⎪⎩.(2)由(1)知两曲线的交点为2(,1)e,又在区间(0,1)上,曲线y=y=方,它们与x轴所围成的平面图形的面积122231221111()6223d ee ee e yyS y yy⎛⎫===-⎡⎤-- ⎪⎣⎦⎝⎭⎰.(由ey==得2()x ey=,由y=得2e yx=).4※. 设2()lim1e nxnxf xx→+∞=+-,试求曲线y=f(x),直线y=12x及x=1所围图形的面积.解2200()lim101nxnxxf x xx e xx→∞≥⎧⎪==⎨+-<⎪+⎩解方程2121y xxyx⎧=⎪⎪⎨⎪=⎪+⎩得交点为11,2⎛⎫--⎪⎝⎭,且易知当(1,0)x∈-时,12y x=位于21xyx=+的上方.所围图形如阴影部分所示,其面积2221111111111ln2ln(1)22422142dxS xx x xx--⎛⎫⎡⎤=+⨯⨯=+=--+⎪⎢⎥+⎣⎦⎝⎭⎰.5. 一抛物线y=ax2+bx+c通过点(0,0)、(1,2)两点,且a<0,试确定a,b,c的值,使抛物线与x轴所围图形的面积最小.解由抛物线过(0,0),(1,2)点,有c=0,a+b=2,又由抛物线方程2y ax bx=+得与x轴的两交点为(0,0), ,0ba⎛⎫-⎪⎝⎭,抛物线与x轴所围图形的面积.2220()6d b ab S ax bx x a-=+=⎰,由2a b +=得2b a =-,代入上式有32(2)6a S a -=, 23(2)(4)6a a S a--+'=,令0S '=得2a =或4a =-, 由已知0a <得4a =-,从而26b a =-=, 所以4,6,0a b c =-==.6. 已知某产品产量的变化率是时间t (单位:月)的函数f (t )=2t +5,t ≥0,问:第一个5月和第二个5月的总产量各是多少?解 设产品产量为()Q t ,则()()Q t f t '=,第一个5月的总产量552510()(25)(5)50.d d Q f t t t t t t ==+=+=⎰⎰ 第2个5月的总产量为10252055()(25)(5)100.d d tQ f t t t t t t ==+=+=⎰⎰ 7. 某厂生产某产品Q (百台)的总成本C (万元)的变化率为C ′(Q )=2(设固定成本为零),总收入R (万元)的变化率为产量Q (百台)的函数R ′(Q )=7-2Q .问: (1) 生产量为多少时,总利润最大?最大利润为多少?(2) 在利润最大的基础上又生产了50台,总利润减少了多少? 解 (1)总利润()()()L Q R Q C Q =-当()0L Q '=即()()0R Q C Q ''-=即7220Q --=, Q =2.5百台时,总利润最大,此时的总成本2.5 2.52.50()225d d C C Q Q Q Q'====⎰⎰总利润11.255 6.25L R C =-=-=(万元).即当产量为2.5百台时,总利润最大,最大利润是6.25万元.(2)在利润最大的基础上又生产了50台,此时产量为3百台,总成本3300()26d d C C Q Q Q '===⎰⎰,总收入3323000()(72)(7)12d d R R Q Q Q Q Q Q '==-=-=⎰⎰, 总利润为1266L R C =-=-=(万元).减少了6.25-6=0.25万元.即在利润最大的基础上又生产了50台时,总利润减少了0.25万元.8. 某项目的投资成本为100万元,在10年中每年可获收益25万元,年利率为5%,试求这10年中该投资的纯收入的现值. 解 投资后T 年中总收入的现值(1)e rt ay r-=-,由题意知 25,5%0.05,10.a r T ====所以0.051025(1)196.730.05e y -⨯=-= 纯收入的现值为196.73-100=96.73.即这10年中该投资的纯收入的现值为96.73万元.习题6-61. 判断下列广义积分的敛散性,若收敛,则求其值: (1)41d xx +∞⎰; (2)1+∞⎰; (3)0e d axx +∞-⎰ (a >0); (4)0cos d x x +∞⎰;(5)0e sin d x x x +∞⎰; (6)2d 22xx x +∞-∞++⎰; (7)21⎰; (8)10ln d x x ⎰;(9)e1⎰(10)22d (1)xx -⎰;(11)1⎰解 (1)1431d 1133x x x +∞+∞=-=⎰,此广义积分收敛.(2)1+∞==+∞⎰,此广义积分发散. (3)111e d e ax axx aa+∞--+∞=-=⎰,此广义积分收敛. (4)1cos d sin lim sin sin 0lim sin x x x x xx x +∞+∞→+∞→+∞==-=⎰不存在,所以,此广义积分发散.00(5)e sin d e d cos e cos e cos d e cos e dsin e cos e sin e sin d 11e sin d (e sin e cos )e (sin cos )22e sin d lim e sin d lim x x x x x x x x x x x x x b x x b b x x x x x x x x x x x xx x x x x x x x x x +∞→+∞→=-=-+=-+=-+-∴=-=-∴==⎰⎰⎰⎰⎰⎰⎰⎰ 01e (sin cos )211 lim e (sin cos )22x b b b x x b b +∞→+∞⎧⎫⎡⎤-⎨⎬⎢⎥⎣⎦⎩⎭⎡⎤=-+⎢⎥⎣⎦不存在,此广义积分发散.22d d(1)(6)arctan(1)π22(1)1xx x x x x +∞+∞+∞-∞-∞-∞+==+=++++⎰⎰,收敛.23222110013202(7)lim lim (1)3222lim 2,.2333收敛x x εεεεεε++++→→+→⎡==-+⎢⎣⎛==-- ⎝⎰⎰111011eee1111222220100(8)ln d ln d ln 1 ln d lim ln d lim (ln 1)1,.π(9)arcsin(ln ),.211d d d (10)lim (1)(1)(1)收敛收敛x x x x x x x x x x x x x x x x εεσεεεεεεεεεεεε+++→→-+→=-=--∴==--=-===⎛⎫+= ⎪---⎝⎭⎰⎰⎰⎰⎰⎰⎰⎰⎰120100112 lim lim ,211xxεεεεε++-+→→⎛⎫⎛⎫===+∞+- ⎪ ⎪--⎝⎭⎝⎭此广义积分发散.)211-00001(11)lim lim 2lim 1,1εεεεε+++-→→→==-=-=⎰⎰此广义积分收敛. 2. 当k 为何值时,广义积分+2d (ln )kxx x ∞⎰收敛?当k 为何值时,这广义积分发散?又当k 为何值时,这广义积分取得最小值? 解 当k =1时,++222d dln ln(ln )ln ln x x x x x x∞∞+∞===+∞⎰⎰,发散.当1k ≠时,1++122211d (ln )(1)(ln 2)(ln )dln (ln)11kk kk k x x k x x x kk -∞∞--+∞⎧>⎪-==⎨-⎪+∞<⎩⎰⎰所以,当k >1时,此广义积分收敛,当k ≤1时,此广义积分发散.记1()(1)(ln 2),k f k k -=-11()(ln 2)(1)(ln 2)lnln 2k k f k k --'=+-.令()0f k '=得11ln ln 2k =-. 又 1()(ln 2)lnln 2[2(1)lnln 2]k f k k -''=+-,且 1ln ln 21(1)(ln 2)ln ln 20ln ln 2f -''-=<, 故()f k 在11ln ln 2k =-有极大值,而()f k 只有一个驻点,所以当11ln ln 2k =-时()f k 取得最大值,因而11ln ln 2k =-时,这个广义积分取得最小值.3. 利用递推公式计算反常积分+0e d n x n I x x ∞-=⎰.解 ++110de e e d n x n xn x n n I x x n x x nI ∞∞----+∞-=-=-+=⎰⎰又 +10de e e 1x x xI x x ∞---+∞+∞=-=--=⎰故 121(1)(1)2!n n n I nI n n I n n I n --==-=-= 4. 求120(1)d n n I x x =-⎰(n 0,1,2,…).解 设x =sin t ,则d x =cosd t ,π2120cos d n n I t t +=⎰而 ππ2200(21)!!π2(2)!!2sin d cos d (2)!!21(21)!!n n k n kk x x x x k n k k -⎧⋅=⎪⎪==⎨⎪=+⎪+⎩⎰⎰所以 π221220(2)!!(!)cosd 2 (0,1,2,)(21)!!(21)!n nn n n I t t n n n +====++⎰.6. 用Γ函数表示下列积分:(1)e d nx x +∞-⎰ (n >0); (2)101(ln )d x x α⎰ (α>-1); (3) 0e d n m x x x +∞-⎰1(>0)m n +; (4)220e d n x x x +∞-⎰ (12n >-).解 (1)令nx t =,则1111,d d nn x t x t t n-==,于是1111+++001111ed e d e d ()nx tt n n x t t t t n n n n --∞∞∞---=⋅==Γ⎰⎰⎰.(2)令1lnt x =,则e ,d e d .t t x x t --==- 于是 10+(1)1001(ln )d e d e d (1).a a t a tx t t tt a x∞-+--+∞=-==Γ+⎰⎰⎰ (3)令nx t =,则1111,d d nn x t x t t n-==,于是1111+++001111ed ()e d e d ()nm m x m tt n n n m x x t t t t t n n n n+-∞∞∞---+=⋅⋅=⋅=Γ⎰⎰⎰.(4)令2x t =,则x x t ==,于是21+++2220011+201ed e e d 2111e d ()222n n x ntt n t x x t t tt t n ∞∞∞----⎛⎫-+∞ ⎪-⎝⎭=⋅===Γ+⎰⎰⎰⎰。
第二章习题2-11. 试利用本节定义5后面的注(3)证明:若lim n →∞x n =a ,则对任何自然数k ,有lim n →∞x n +k =a .证:由lim n n x a →∞=,知0ε∀>,1N ∃,当1n N >时,有取1N N k =-,有0ε∀>,N ∃,设n N >时(此时1n k N +>)有 由数列极限的定义得 lim n k x x a +→∞=.2. 试利用不等式A B A B -≤-说明:若lim n →∞x n =a ,则lim n →∞∣x n ∣=|a|.考察数列x n =(-1)n ,说明上述结论反之不成立. 证:而 n n x a x a -≤- 于是0ε∀>,,使当时,有N n N ∃>n n x a x a ε-≤-< 即 n x a ε-<由数列极限的定义得 lim n n x a →∞=考察数列 (1)nn x =-,知lim n n x →∞不存在,而1n x =,lim 1n n x →∞=,所以前面所证结论反之不成立。
3. 利用夹逼定理证明:(1) lim n →∞222111(1)(2)n n n ⎛⎫+++ ⎪+⎝⎭=0; (2) lim n →∞2!nn =0.证:(1)因为222222111112(1)(2)n n n n n n n n n n++≤+++≤≤=+ 而且 21lim0n n →∞=,2lim 0n n→∞=,所以由夹逼定理,得222111lim 0(1)(2)n n n n →∞⎛⎫+++= ⎪+⎝⎭. (2)因为22222240!1231n n n n n<=<-,而且4lim 0n n →∞=,所以,由夹逼定理得4. 利用单调有界数列收敛准则证明下列数列的极限存在. (1) x n =11n e +,n =1,2,…;(2) x 1x n +1,n =1,2,…. 证:(1)略。
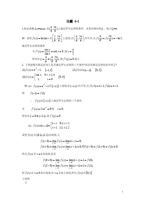
习题 4-11.验证函数f (x )=lnsin x 在[π5π,66]上满足罗尔定理的条件,并求出相应的ξ,使f ′(ξ)=0.解: 显然()ln sin f x x =在5π,66x ⎡⎤⎢⎥⎣⎦上连续,在π5π,66⎛⎫⎪⎝⎭内可导,且π5π()()ln 266f f ==-,满足罗尓定理的条件. 令cos ()cot 0sin xf x x x '===,则π2x =即存在ππ5π(,)66ξα=∈,使()0f ξ'=成立.2. 下列函数在指定区间上是否满足罗尔定理的三个条件?有没有满足定理结论中的ξ ?[][][]2(1)()1,;(2)(),;1,10,21sin ,0π(3)()0,π1,exf x f x x x x f x x =-=--<≤⎧=⎨=⎩解: (1) 2()1e x f x =-在[]1,1-上连续,在()1,1-内可导,且(1)1,(1)1,e e f f -=-=- 即 (1)(1)f f-= () f x ∴在[]1,1-上满足罗尓定理的三个条件. 令 2()20e x f x x '==得 0x =, 即存在0(1,1)ξ=∈-,使()0f ξ'=.(2) 101()1112xx f x x x x -≤<⎧==-⎨-≤≤⎩显然()f x 在(0,1),(1,2)内连续,又1111(10)lim ()lim (1)0,(10)lim ()lim (1)0,(10)(10)(1)0,即x x x x f f x x f f x x f f f --++→→→→-==-=+==-=-=+==所以()f x 在1x =处连续,而且22(00)lim ()lim (1)1(0),(20)lim ()lim (1)1(2),x x x x f f x x f f f x x f ++--→→→→+==-==-==-==即()f x 在0x =处右连续,在2x =处左连续,所以()f x 在[]0,2 上连续.又1111()(1)1(1)lim lim 1,11()(1)1(1)lim lim 111x x x x f x f x f x x f x f x f x x --++-→→+→→--'===-----'===--(1)(1)(f f f x -+''∴≠∴在1x =处不可导,从而()f x 在(0,2)内不可导. 又 (0)(2)1f f ==又由 101()112x f x x -<<⎧'=⎨<<⎩ 知 ()0f x '≠综上所述,函数()f x 满足罗尓定理的条件(1),(3)不满足条件(2),没有满足定理结论的ξ. (3) 由0(00)lim sin 0(0)1x f x f +→+==≠=知()f x 在0x =不右连续,() f x ∴在[]0,π上不连续,显然()f x 在()0,π上可导,又(0)1,(π)0f f ==,即(0)(π)f f ≠,且()cos (0,π) f x x x '=∈,取π(0,π)2ξ=∈,有π()cos cos02f ξξ'===.综上所述,函数()f x 满足罗尓定理的条件(2),不满足条件(1),(3),有满足定理结论的ξ,ξ=π2.3. 不用求出函数()(1)(2)(3)f x x x x =---的导数,说明方程()0f x '=有几个实根,并指出它们所在的区间.解: 显然()f x 在[]1,2上连续,在()1,2内可导,且(1)(2)0f f ==,由罗尓定理知,在()1,2内至少存在一点1ξ,使1()0f ξ'=,即()0f x '=在()1,2内至少有一个实根.同理 ()0f x '=在()2,3内也至少有一个实根2ξ.又()0f x '=是二次方程,最多有两个实根,故()0f x '=有两个实根,分别在区间()1,2和()2,3内.4. 验证拉格朗日中值定理对函数3()2f x x x =+在区间[0,1]上的正确性.解: 显然3()2f x x x =+在[0,1]上连续,在()0,1内可导,满足拉格朗日中值定理的条件.若令2(1)(0)()32310f f f x x-'=+==-则3x =±,取3ξ=,即存在(0,1)3ξ=,使得(1)(0)()10f f f ξ-=-成立.从而拉格朗日中值定理对函数3()2f x x x =+在[0,1]上成立.5※. 设()f x '在[a ,b ]上连续,在[a ,b ]内可导,f ′(a ) = 0,f ′′(x ) > 0,证明:f ′(a )> f (b )。
第一单元 函数与极限一、填空题1、已知x x f cos 1)2(sin +=,则=)(cos x f 。
2、=-+→∞)1()34(lim22x x x x 。
3、0→x 时,x x sin tan -是x 的 阶无穷小。
4、01sinlim 0=→xx kx 成立的k 为 。
5、=-∞→x e xx arctan lim 。
6、⎩⎨⎧≤+>+=0,0,1)(x b x x e x f x 在0=x 处连续,则=b 。
7、=+→xx x 6)13ln(lim0 。
8、设)(x f 的定义域是]1,0[,则)(ln x f 的定义域是__________。
9、函数)2ln(1++=x y 的反函数为_________。
10、设a 是非零常数,则________)(lim =-+∞→xx ax a x 。
11、已知当0→x 时,1)1(312-+ax 与1cos -x 是等价无穷小,则常数________=a 。
12、函数xxx f +=13arcsin )(的定义域是__________。
13、____________22lim22=--++∞→x x n 。
14、设8)2(lim =-+∞→xx ax a x ,则=a ________。
15、)2)(1(lim n n n n n -++++∞→=____________。
二、选择题1、设)(),(x g x f 是],[l l -上的偶函数,)(x h 是],[l l -上的奇函数,则 中所给的函数必为奇函数。
(A))()(x g x f +;(B))()(x h x f +;(C ))]()()[(x h x g x f +;(D ))()()(x h x g x f 。
2、xxx +-=11)(α,31)(x x -=β,则当1→x 时有 。
(A)α是比β高阶的无穷小; (B)α是比β低阶的无穷小; (C )α与β是同阶无穷小; (D )βα~。
微积分第五版影印版课后练习题含答案本文提供微积分第五版影印版课后练习题及其答案,方便读者进行练习和自我检验。
前言微积分是高等数学中最基础也是最重要的一门学科,在各个领域中都有广泛的应用。
本文提供微积分第五版影印版的课后练习题及其答案,希望读者通过练习,加深对微积分的理解,提高自己的能力。
课后习题第一章函数与极限1.1 函数的概念与性质1.已知函数f(x)=2x+1,求f(3)。
答案:$f(3)=2 \\times 3 +1=7$。
2.已知函数y=x2+1,求y(2)。
答案:y(2)=22+1=5。
3.已知函数f(x)=x3+3x,求f(−2)。
答案:$f(-2)=(-2)^3+3 \\times (-2)=-8-6=-14$。
…注:为了节约篇幅,本文仅列举几道习题及其答案。
第二章导数与微分2.1 导数的概念1.求函数y=x2在x=1的导数。
答案:y′=2x|x=1=2。
…第三章微分中值定理与导数的应用3.1 中值定理及其应用1.证明函数y=x2在区间[0,1]上满足罗尔定理的条件。
答案:由罗尔定理可得,若f(a)=f(b),且f(x)在[a,b]上连续,f(x)在(a,b)内可导,那么必存在一点 $c\\in(a,b)$,使f′(c)=0。
在本题中,f(0)=0,f(1)=1,f(x)=x2在[0,1]上连续,f(x)在(0,1)内可导,于是满足罗尔定理的条件。
…第四章曲线的性质与应用4.1 曲率1.求函数y=x3在点(1,1)处的曲率半径。
答案:函数y=x3的导函数为y′=3x2,曲率公式为$R=\\frac{[1+(y')^2]^{3/2}}{|y''|}$。
在点(1,1)处,$y'=3\\times1^2=3$,y″=6x|x=1=6。
代入公式得$R=\\frac{[1+3^2]^{3/2}}{|6|}=\\frac{10\\sqrt{10}}{9}$。
…结语本文提供了微积分第五版影印版的课后习题及其答案,希望对读者有所帮助。
第二章习题解答 习 题 2—11. 用定义求函数2y x =在1x =处的导数。
解:(1)22(1)(1)(1)12()y f x f x x x ∆=+∆-=+∆-=∆+∆;(2)22()2y x x x x x∆∆+∆==+∆∆∆; (3)00limlim(2)2x x yx x ∆→∆→∆=+∆=∆.2. 已知一物体的运动方程为38s t =+ ()m ,求该物体在2()t s =时的瞬时速度。
解:(1)323(2)(2)(2)816126()()s s t s t t x t ∆=+∆-=+∆+-=∆+∆+∆;(2)230[126()()](2)lim12t s t x t v t t∆→∆∆+∆+∆===∆∆。
3. 求在抛物线22y x =+上点1x =处的切线方程与法线方程. 解:因为2(2)2y x x ''=+=,12,x y ='= 故所求的切线方程为 32(1)y x -=- 即 210x y -+-=所求的法线方程为 13(1)2y x -=--即 15022x y +-=。
4. 设0()f x '存在,试利用导数的定义求下列极限:(1)000()()limx f x x f x x ∆→-∆-∆; (2)000()()lim h f x h f x h h →+--;(3)000()(2)lim 2x f x x f x x x∆→+∆--∆∆.解:(1) 0000000()()[()]()lim lim ()x x f x x f x f x x f x f x x x∆→∆→-∆-+-∆-'=-=-∆-∆;(2)原式0000000()()()()lim lim 2()h h f x h f x f x h f x f x h h→→+---'=+=-;(3)原式0000000()()(2)()3lim lim ()222x x f x x f x f x x f x f x x x ∆→∆→+∆--∆-'=+=∆-∆。
微积分课后题答案习题详解IMB standardization office【IMB 5AB- IMBK 08- IMB 2C】第二章习题2-11. 试利用本节定义5后面的注(3)证明:若lim n →∞x n =a ,则对任何自然数k ,有lim n →∞x n +k =a .证:由lim n n x a →∞=,知0ε∀>,1N ∃,当1n N >时,有取1N N k =-,有0ε∀>,N ∃,设n N >时(此时1n k N +>)有 由数列极限的定义得 lim n k x x a +→∞=.2. 试利用不等式A B A B -≤-说明:若lim n →∞x n =a ,则lim n →∞∣x n ∣=|a|.考察数列x n =(-1)n ,说明上述结论反之不成立.证:而 n n x a x a -≤- 于是0ε∀>,,使当时,有N n N ∃>n n x a x a ε-≤-< 即 n x a ε-<由数列极限的定义得 lim n n x a →∞=考察数列 (1)nn x =-,知lim n n x →∞不存在,而1n x =,lim 1n n x →∞=,所以前面所证结论反之不成立。
3. 利用夹逼定理证明:(1) lim n →∞222111(1)(2)n n n ⎛⎫+++ ⎪+⎝⎭=0; (2) lim n →∞2!n n =0.证:(1)因为222222111112(1)(2)n n n n n n n n n n++≤+++≤≤=+ 而且 21lim0n n →∞=,2lim 0n n→∞=, 所以由夹逼定理,得222111lim 0(1)(2)n n n n →∞⎛⎫+++= ⎪+⎝⎭. (2)因为22222240!1231n n n n n<=<-,而且4lim 0n n →∞=,所以,由夹逼定理得4. 利用单调有界数列收敛准则证明下列数列的极限存在.(1) x n =11n e +,n =1,2,…;(2) x 1x n +1,n =1,2,…. 证:(1)略。
(2)因为12x <,不妨设2k x <,则故有对于任意正整数n ,有2n x <,即数列{}n x 有上界,又 1n n x x +-=,而0n x >,2n x <, 所以 10n n x x +-> 即 1n n x x +>, 即数列是单调递增数列。
综上所述,数列{}n x 是单调递增有上界的数列,故其极限存在。
习题2-21※. 证明:0lim x x →f (x )=a 的充要条件是f (x )在x 0处的左、右极限均存在且都等于a .证:先证充分性:即证若0lim ()lim ()x x x x f x f x a -+→→==,则0lim ()x x f x a →=. 由0lim ()x x f x a -→=及0lim ()x x f x a +→=知: 10,0εδ∀>∃>,当010x x δ<-<时,有()f x a ε-<,20δ∃>当020x x δ<-<时,有()f x a ε-<。
取{}12min ,δδδ=,则当00x x δ<-<或00x x δ<-<时,有()f x a ε-<, 而00x x δ<-<或00x x δ<-<就是00x x δ<-<, 于是0,0εδ∀>∃>,当00x x δ<-<时,有()f x a ε-<, 所以 0lim ()x x f x a →=.再证必要性:即若0lim ()x x f x a →=,则0lim ()lim ()x x x x f x f x a -+→→==, 由0lim ()x x f x a →=知,0,0εδ∀>∃>,当00x x δ<-<时,有()f x a ε-<,由00x x δ<-<就是 00x x δ<-<或00x x δ<-<,于是0,0εδ∀>∃>,当00x x δ<-<或00x x δ<-<时,有()f x a ε-<.所以 0lim ()lim ()x x x x f x f x a -+→→== 综上所述,0lim x x →f (x )=a 的充要条件是f (x )在x 0处的左、右极限均存在且都等于a .2. (1) 利用极限的几何意义确定0lim x → (x 2+a ),和0lim x -→1e x; (2) 设f (x )= 12e ,0,,0,xx x a x ⎧⎪<⎨⎪+≥⎩,问常数a 为何值时,0lim x →f (x )存在.解:(1)因为x 无限接近于0时,2x a +的值无限接近于a ,故20lim()x x a a →+=.当x 从小于0的方向无限接近于0时,1e x的值无限接近于0,故10lim e 0xx -→=. (2)若0lim ()x f x →存在,则00lim ()lim ()x x f x f x +-→→=, 由(1)知 22lim ()lim()lim()x x x f x x a x a a +--→→→=+=+=, 所以,当0a =时,0lim ()x f x →存在。
3. 利用极限的几何意义说明lim x →+∞sin x 不存在.解:因为当x →+∞时,sin x 的值在-1与1之间来回振摆动,即sin x 不无限接近某一定直线y A =,亦即()y f x =不以直线y A =为渐近线,所以lim sin x x →+∞不存在。
习题2-31. 举例说明:在某极限过程中,两个无穷小量之商、两个无穷大量之商、无穷小量与无穷大量之积都不一定是无穷小量,也不一定是无穷大量.解:例1:当0x →时,tan ,sin x x 都是无穷小量,但由sin cos tan xx x=(当0x →时,cos 1x →)不是无穷大量,也不是无穷小量。
例2:当x →∞时,2x 与x 都是无穷大量,但22xx=不是无穷大量,也不是无穷小量。
例3:当0x +→时,tan x 是无穷小量,而cot x 是无穷大量,但tan cot 1x x =不是无穷大量,也不是无穷小量。
2. 判断下列命题是否正确:(1) 无穷小量与无穷小量的商一定是无穷小量; (2) 有界函数与无穷小量之积为无穷小量; (3) 有界函数与无穷大量之积为无穷大量; (4) 有限个无穷小量之和为无穷小量; (5) 有限个无穷大量之和为无穷大量;(6) y =x sin x 在(-∞,+∞)内无界,但lim x →∞x sin x ≠∞;(7) 无穷大量的倒数都是无穷小量; (8) 无穷小量的倒数都是无穷大量. 解:(1)错误,如第1题例1; (2)正确,见教材§定理3;(3)错误,例当0x →时,cot x 为无穷大量,sin x 是有界函数,cot sin cos x x x =不是无穷大量;(4)正确,见教材§定理2;(5)错误,例如当0x →时,1x 与1x -都是无穷大量,但它们之和11()0x x+-=不是无穷大量;(6)正确,因为0M ∀>,∃正整数k ,使π2π+2k M >,从而ππππ(2π+)(2π+)sin(2π+)2π+2222f k k k k M ==>,即sin y x x =在(,)-∞+∞内无界,又0M ∀>,无论X 多么大,总存在正整数k ,使π>k X ,使(2π)πsin(π)0f k k k M ==<,即x →+∞时,sin x x 不无限增大,即lim sin x x x →+∞≠∞;(7)正确,见教材§定理5;(8)错误,只有非零的无穷小量的倒数才是无穷大量。
零是无穷小量,但其倒数无意义。
3. 指出下列函数哪些是该极限过程中的无穷小量,哪些是该极限过程中的无穷大量. (1) f (x )=234x -,x →2; (2) f (x )=ln x ,x →0+,x →1,x →+∞; (3) f (x )= 1e x,x →0+,x →0-; (4) f (x )=2π-arctan x ,x →+∞;(5) f (x )=1x sin x ,x →∞; (6) f (x )= 21xx →∞. 解:(1)22lim(4)0x x →-=因为,即2x →时,24x -是无穷小量,所以214x -是无穷小量,因而234x -也是无穷大量。
(2)从()ln f x x =的图像可以看出,1lim ln ,limln 0,lim ln x x x x x x +→→+∞→=-∞==+∞,所以,当0x +→时,x →+∞时,()ln f x x =是无穷大量;当1x →时,()ln f x x =是无穷小量。
(3)从1()e x f x =的图可以看出,110lim e ,lim e 0x xx x +-→→=+∞=, 所以,当0x +→时,1()e xf x =是无穷大量;当0x -→时,1()e xf x =是无穷小量。
(4)πlim (arctan )02x x →+∞-=, ∴当x →+∞时,π()arctan 2f x x =-是无穷小量。
(5)当x →∞时,1x是无穷小量,sin x 是有界函数, ∴ 1sin x x 是无穷小量。
(6)当x→∞时,21x∴ 习题2-41.若0lim x x →f (x )存在,0lim x x →g (x )不存在,问0lim x x →[f (x )±g (x )], 0lim x x →[f (x )·g (x )]是否存在,为什么?解:若0lim x x →f (x )存在,0lim x x →g (x )不存在,则(1)0lim x x →[f (x )±g (x )]不存在。
因为若0lim x x →[f (x )±g (x )]存在,则由()()[()()]g x f x f x g x =--或()[()()]()g x f x g x f x =+-以及极限的运算法则可得0lim x x →g (x ),与题设矛盾。
(2)0lim x x →[f (x )·g (x )]可能存在,也可能不存在,如:()sin f x x =,1()g x x=,则0limsin 0x x →=,01lim x x →不存在,但0lim x x →[f (x )·g (x )]=01lim sin 0x x x →=存在。