1.3波的叠加
- 格式:ppt
- 大小:3.03 MB
- 文档页数:46
波的叠加与干涉波是一种在空间中传播的能量传递方式。
它可以是声波、光波、水波等等。
波的叠加和干涉是波动现象中的重要概念,它们在我们的日常生活中以及科学研究中都有着重要的应用。
首先,我们来看看波的叠加。
波的叠加是指两个或多个波在同一空间中同时存在时,它们的幅度和相位进行相加的过程。
当两个波的幅度正好相等,且相位相差180度时,它们的叠加会产生完全相消的效果,称为波的干涉消除。
这种现象在噪音消除、声音控制等方面有着广泛的应用。
叠加还可以产生波的增幅效果。
当两个波的幅度和相位相同,它们的叠加会使得波的振幅增大,称为波的叠加增幅。
这种现象在扬声器、放大器等设备中得到了广泛应用,可以增强声音的传播效果。
除了叠加,波还可以发生干涉现象。
干涉是指两个或多个波在同一空间中相遇时,相互作用产生的效果。
干涉分为构造干涉和破坏干涉两种类型。
构造干涉是指两个或多个波的幅度和相位相同,它们的叠加会形成明暗相间的干涉条纹。
这种干涉现象在光学实验中常常出现,例如杨氏双缝干涉实验。
通过调整两个缝的间距和光源的波长,可以观察到明暗相间的干涉条纹,从而验证波动光学的理论。
破坏干涉是指两个或多个波的幅度和相位不同,它们的叠加会相互抵消,产生干涉消除的效果。
这种干涉现象在声学实验中常常出现,例如反射板干涉实验。
通过调整反射板的位置和声源的频率,可以观察到声音的干涉消除现象,从而研究声波的特性。
波的叠加和干涉不仅在实验室中有着重要应用,也在日常生活中有着广泛的应用。
例如,在音乐会上,乐器演奏出的声音会叠加在一起,形成丰富多样的音乐效果。
在海滩上,海浪的波动也会叠加在一起,形成美丽的波纹。
总之,波的叠加和干涉是波动现象中的重要概念。
通过波的叠加,我们可以实现波的增幅和消除效果,从而在声音、光学等领域得到广泛应用。
而波的干涉则可以帮助我们研究波的特性,验证波动理论。
无论是在科学研究中还是日常生活中,波的叠加和干涉都发挥着重要的作用。
无损检测超声波试题(UT)第三部分5.11 无缝钢管缺陷分布的方向有;()A、平行于钢管轴线的径向分布B、垂直于钢管轴线的径向分布C、平行于钢管表面的层状分布D、以上都可能5.12 小口径钢管超探时探头布置方向为:()A、使超声沿周向射入工件以探测纵向缺陷B、使超声沿轴向射入工件以探测横向缺陷C、以上二者都有D、以上二者都没有5.13 小口径无缝钢管探伤中多用聚焦探头,其主要目的是:()A、克服表面曲率引起超声散焦B、提高探伤效率C、提高探伤灵敏度D、以上都对5.14 钢管原材料超探试样中的参考反射体是:()A、横孔B、平底孔C、槽D、竖孔5.15 管材横波接触法探伤时,入射角的允许范围与哪一因素有关()A、探头楔块中的纵波声速B、管材中的纵横波声速C、管子的规格D、以上全部5.16 管材周向斜角探伤与板材斜角探伤显著不同的地方是()A、内表面入射角等于折射角B、内表面入射角小于折射角C、内表面入射角大雨折射角D、以上都可能5.17 管材水漫法探伤中,偏心距x与入射角α的关系是()。
(rR为管材的内外半径)5.18 管材自动探伤设备中,探头与管材相对运动的形式是()A、探头旋转,管材直线前进B、探头静止,管材螺旋前进C、管材旋转,探头直线移动D、以上均可5.19 下面有关钢管水浸探伤的叙述中,哪点是错误的()A、使用水浸式纵波探头B、探头偏离管材中心线C、无缺陷时,荧光屏上只显示始波和l~2次底波D、水层距离应大于钢中一次波声程的1/25.10 钢管水浸聚焦法探伤中,下面有关点聚焦方法的叙述中,哪条是错误的?()A、对短缺陷有较高探测灵敏度B、聚焦方法一般采用圆柱面声透镜C、缺陷长度达到一定尺寸后,回波幅度不随长度而变化D、探伤速度较慢5.21 钢管水浸聚焦法探伤时,下面有关线聚焦方式的叙述中,哪条是正确的?()A、探伤速度轻快B、回波幅度随缺陷长度增大而增高C、聚焦方法一般采用圆柱面透镜或瓦片型晶片D、以上全部5.22 使用聚焦探头对管材探伤,如聚焦点未调到与声束中心线相垂直的管半径上,且偏差较大距离,则会引起()A、盲区增大B、在管中折射发散C、多种波型传播D、同波脉冲变宽6.1 锻件的锻造过程包括:()A、加热形变,成型和冷却B、加热,形变C、形变,成型D、以上都不全面6.2 锻件缺陷包括:()A、原材料缺陷B、锻造缺陷C、热处理缺路D、以上都有6.3 锻件中的粗大晶粒可能引起:()A、底波降低或消失B、噪声或杂波增大C、超声严重衰减D、以上都有6.4 锻件中的白点是在锻造过程中哪个阶段形成:()A、加热B、形变C、成型D、冷却6.5 轴类锻件最主要探测方向是:()A、轴向直探头探伤B、径向直探头探伤C、斜探头外圆面轴向探伤D、斜探头外圆面周向探伤6.6 饼类锻件最主要探测方向是:()A、直探头端面探伤B、直探头翻面探伤C、斜探头端面探伤D、斜探头侧面探伤6.7 筒形锻件最主要探测方向是:()A、直探头端面和外圆面探伤B、直探头外圆面轴向探伤C、斜探头外四面周向探伤D、以上都是6.8 锻件中非金属夹杂物的取向最可能的是:()A、与主轴线平行B、与锻造方向一致C、占锻件金属流线一致D、与锻件金属流线垂直6.9 超声波经液体进入具有弯曲表面工件时,声束在工件内将会产生:()A、与液体中相同的声束传播B、不受零件几何形状的影响C、凹圆弧面声波将收敛,凸圆弧面卢波将发散D、与C的情况相反6.10 锻钢件探测灵敏度的校正方式是:()A、没有特定的方式B、采用底波方式C、采用试块方式D、采用底波方式和试块方式6.11 以工件底面作为灵敏度校正基准,可以:()A、不考虑探测面的耦合差补偿B、不考虑材质衰减差补偿C、不必使用校正试块D、以上都是6.12 在使用2.5MHz直探头做锻件探伤时,如用400mm深底波调整Φ3mm平底孔度,底波调整后应提高多少db探伤?(晶片直径D=14mm)()A、36.5dbB、43.5dbC、50dbD、28.5db6.13 在直探头探伤,用2.5MHz探头,调节锻件200mm底波于荧光屏水平基线满量度10。
波的叠加原理波的干涉在波的叠加中,当两个波同时到达一个点时,它们会按照各自的振幅和相位差相互叠加。
振幅是指一个波的最大偏离距离,相位差是指两个或多个波在时间或空间上的偏移量。
如果两个波的振幅和相位差相同,即它们的波峰和波谷完全重合,那么它们会发生正相干叠加,振幅会增大。
这种现象被称为增强干涉。
相反,如果两个波的振幅和相位差不同,那么它们会发生干涉现象,定量上取决于振幅和相位差的差异。
在干涉中,两个波的振幅可能相互增大或相互减小,这取决于它们振动的相位差。
当振动的相位差是波长的整数倍时,波的叠加会引起增强干涉,形成明亮的区域,被称为增强干涉条纹;而当振动的相位差是波长的奇数倍时,波的叠加会引起减弱干涉,形成暗淡的区域,被称为减弱干涉条纹。
波的干涉有两种主要的类型:构造干涉和破坏干涉。
构造干涉是指当两个或多个波相遇时,它们叠加在一起形成新的波。
这种干涉产生的效果通常是明亮的干涉条纹。
构造干涉的一个经典例子是杨氏双缝干涉实验,通过朝一块遮挡板打开两个小缝让一束光通过,然后在屏幕上观察到干涉条纹的形成。
破坏干涉是指当两个或多个波相遇时,它们的叠加会导致波的相消效应,形成暗淡的干涉条纹。
破坏干涉的一个著名例子是杨氏双缝实验中,如果在两个小缝之中再加入一个小缝,那么光束会在屏幕上形成亮暗交替的条纹。
这是因为中间的缝隙使其中一个波的相位相对于其他两个波发生了180度的相位差。
除了构造干涉和破坏干涉外,还有一些其他类型的干涉现象,如多光束干涉、薄膜干涉等。
在多光束干涉中,多个光束相互叠加会形成干涉条纹,这种现象在光的干涉仪、光栅等设备中得到广泛应用。
薄膜干涉是指当光线通过薄膜时,由于光在薄膜上的反射和折射而产生的干涉现象。
薄膜干涉在光学镀膜、显微镜、眼镜等方面起着重要作用。
总之,波的叠加原理和波的干涉是描述波动现象中的重要概念。
它们不仅在物理学中具有广泛的应用,也在其他学科如声学、光学和水波学等中起着重要作用。
波的叠加原理波的叠加原理是描述波动现象中两个或多个波通过空间叠加时的行为和结果的原理。
在物理学中,波动是一种常见的现象,可以看到许多波在相同的媒质中传播,通过叠加产生不同的效果。
一、波动的基本特征波动是一种能量传递的过程,它具有以下几个基本特征:1. 波长(λ):波浪中相邻两个峰或两个谷之间的距离,常用单位是米(m)。
2. 振幅(A):波浪波动的幅度,即波浪的高度或者波动的最大范围,常用单位是米(m)。
3. 频率(f):一定时间内波动通过某一点的次数,常用单位是赫兹(Hz)。
4. 周期(T):波动中完成一个完整波形所需要的时间,是频率的倒数,单位是秒(s)。
二、波的叠加原理在波的叠加中,当两个或多个波同时传播并在空间中相遇时,它们会沿着同一方向传播,相互叠加形成新的波形。
根据波的性质不同,叠加效果也有所区别。
1. 等幅叠加当两个波的振幅和相位完全相同,它们叠加后的效果称为等幅叠加。
在等幅叠加中,两个波的振幅简单相加,而波形不发生变化。
例如,当两个正弦波的振幅和相位相同,它们叠加后的结果仍然是一个正弦波,而振幅加倍。
2. 不等幅叠加当两个波的振幅和相位不同时,它们叠加后的效果称为不等幅叠加。
在不等幅叠加中,振幅大小和相位差决定了叠加后波形的变化。
如果两个波的相位差为0或2π的整数倍,叠加后的波形为振幅最大值的代数和或差。
如果两个波的相位差为π的奇数倍,叠加后的波形为振幅最小值的代数和或差。
3. 相干叠加相干叠加是指在两个或多个波叠加时,它们的相位关系保持稳定,使得叠加后的波形保持稳定。
在相干叠加中,两个波的振幅和相位都决定了叠加后的波形。
如果两个波的振幅相同且相位差保持稳定,它们叠加后的波形为周期性幅度变化的正弦波。
4. 干涉干涉是波的叠加效应中的一种特殊现象,它是由于波的特性导致的波形干涉现象。
干涉可以分为构相干干涉和破相干干涉两种。
构相干干涉是指两个或多个相干波的叠加所形成的干涉,而破相干干涉是指两个或多个不相干波的叠加所形成的干涉。
无损检测超声波题库一.是非题:246题二.选择题:256题三.问答题: 70题四.计算题: 56题一.是非题(在题后括弧内,正确的画○,错误的画×)1.1由于机械波是由机械振动产生的,所以超声波不是机械波。
()1.2只要有作机械振动的波源就能产生机械波。
( )1.3 振动是波动的根源,波动是振动状态的传播。
( )1.4 介质中质点的振动方向与波的传播方向互相垂直的波称为纵波。
( )1.5 当介质质点受到交变剪切应力作用时,产生切变形变,从而形成横波。
( )1.6 液体介质中只能传播纵波和表面波,不能传播横波。
( )1.7 根据介质质点的振动方向相对于波的传播方向的不同,波的波形可分为纵波、横波、表面波和板波等。
( )1.8 不同的固体介质,弹性模量越大,密度越大,则声速越大 ( )1.9 同一时刻,介质中振动相位相同的所有质点所联成的面称为波前。
( )1.10 实际应用超声波探头中的波源近似于活塞波振动,当距离波源的距离足够大时,活塞波类似于柱面波。
( )1.11 超声波检测中广泛采用的是脉冲波,其特点是波源振动持续时间很长,且间歇辐射。
( )1.12 次声波、声波、超声波都是在弹性介质中传播的机械波,在介质中的传播速度相同,他们的主要区别主要在于频率不同。
( )1.13 同种波型的超声波,在同一介质中传播时,频率越低,其波长越长。
( )1.14 分贝值差表示反射波幅度相互关系,在确定基准波高后,可以直接用仪器的衰减器读数表示缺陷波相对波高。
( )1.15 一般固体中的声速随介质温度升高而降低。
( )1.16 超声波在同一介质中横波比纵波检测分辨力高,但对于材料的穿透能力差。
( )1.17 超声波在同一固体材料中,传播纵波、横波时声阻抗都相同。
( )1.18 超声场中任一点的声压与该处质点传播速度之比称为声阻抗。
( )1.19 固体介质的密度越小,声速越大,则它的声阻抗越大。
无损检测超声波试题(UT)一、是非题1.1 受迫振动的频率等于策动力的频率。
√1.2 波只能在弹性介质中产生和传播。
×(应该是机械波)1.3 由于机械波是由机械振动产生的, 所以波动频率等于振动频率。
√1.4 由于机械波是由机械振动产生的, 所以波长等于振幅。
×1.5 传声介质的弹性模量越大, 密度越小, 声速就越高。
√1.6 材料组织不均匀会影响声速, 所以对铸铁材料超声波探伤和测厚必须注意这一问题。
√1.7 一般固体介质中的声速随温度升高而增大。
×1.8 由端角反射率试验结果推断, 使用K≥l.5的探头探测单面焊焊缝根部未焊透缺陷, 灵敏度较低, 可能造成漏检。
√1.9 超声波扩散衰减的大小与介质无关。
√1.10 超声波的频率越高, 传播速度越快。
×1.11 介质能传播横波和表面波的必要条件是介质具有切变弹性模量。
√1.12 频率相同的纵波, 在水中的波长大于在钢中的波长。
×1.13 既然水波能在水面传播, 那么超声表面波也能沿液体表面传播。
×1.14 因为超声波是由机械振动产生的, 所以超声波在介质中的传播速度即为质点的振动速度。
×1.15 如材质相同, 细钢棒(直径<λ=与钢锻件中的声速相同。
×(C细钢棒=(E/ρ)½)1.16 在同种固体材料中, 纵、横渡声速之比为常数。
√1.17 水的温度升高时, 超声波在水中的传播速度亦随着增加。
×1.18 几乎所有的液体(水除外), 其声速都随温度的升高而减小。
√1.19 波的叠加原理说明, 几列波在同一介质中传播并相遇时, 都可以合成一个波继续传播。
×1.20 介质中形成驻波时, 相邻两波节或波腹之间的距离是一个波长。
×(应是λ/4;相邻两节点或波腹间的距离为λ/2)1.21 具有一定能量的声束, 在铝中要比在钢中传播的更远。
波的叠加与干涉波的叠加与干涉是波动现象中的两个重要概念。
本篇文章将从基本概念、叠加原理、干涉现象和应用等方面进行探讨,以便更好地理解和应用这一现象。
一、基本概念波动是物质在空间中传输能量的过程,可分为机械波和电磁波两类。
机械波是通过介质传播,如水波和声波;电磁波则是通过电场和磁场的相互作用传播,如光波和无线电波。
波的叠加和干涉是波动现象中的基本特征。
二、叠加原理叠加原理是波动现象的基本原理之一。
根据叠加原理,当两个或多个波同时存在于同一空间中时,它们会相互叠加形成新的波。
这种叠加可以是波峰相加或波谷相加,也可以是波峰和波谷相加。
叠加的结果取决于波的相位关系。
三、干涉现象干涉是波的叠加过程中产生的一种现象。
当两个或多个波以一定的条件叠加时,会形成干涉条纹。
干涉条纹是由波的增强和抵消效应形成的,可以观察到亮暗交替的纹理。
干涉又分为构造性干涉和破坏性干涉。
构造性干涉是指波的叠加导致波峰与波峰、波谷与波谷相遇,增强了波的振幅;破坏性干涉则是波的叠加导致波峰与波谷相遇,相互抵消了一部分的波。
四、应用波的叠加与干涉在现实生活中有广泛的应用。
以下列举几个例子:1. 光的干涉:光的干涉是利用波的叠加原理来制造干涉现象。
例如在干涉仪器中,通过将光分成两束并使其相交,可以观察到干涉条纹。
这种干涉现象在光学领域有着重要的应用,例如激光干涉测量、干涉光栅等。
2. 声波的叠加:在音响系统中,多个扬声器发出的声波可以通过适当的叠加来形成立体声效果。
这种叠加可以让声音在空间中产生定位感,增强音乐的享受。
3. 电磁波的干涉:无线电通信中的天线阵列利用电磁波的叠加原理来增强信号强度。
通过合理设计天线的位置和相位,可以产生干涉效应,提高无线信号的接收和发射效果。
4. 水波的干涉:在水波中,两个波源产生的波纹叠加会形成干涉条纹。
这种干涉现象可以用来研究水波的传播规律,也可以用来探索水中障碍物的存在。
总结:波的叠加与干涉是波动现象中的重要概念。
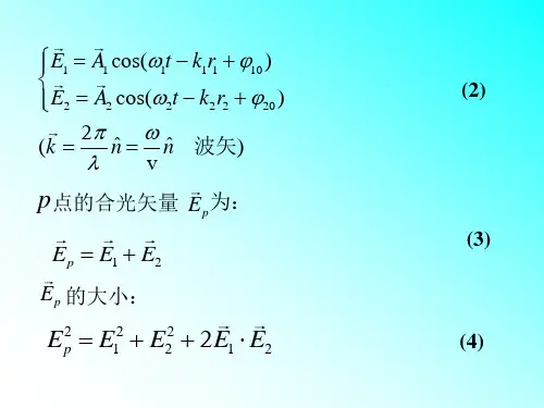
波的叠加计算方法波的叠加呢,简单来说就是当几列波在同一个空间区域相遇的时候,它们就会叠加起来。
就像一群小伙伴凑到一块儿似的。
那怎么计算呢?如果是两列波的叠加,咱们先得知道这两列波在每个点的振动情况。
比如说波的表达式,像y1 = A1sin(ω1t + φ1)和y2 = A2sin(ω2t + φ2),这里的A就是振幅啦,表示波振动的幅度大小;ω是角频率,和波的周期、频率有关;φ呢就是初相位,就像是波出发时候的初始状态。
当这两列波叠加的时候,在某一时刻t、某一位置x处的合振动就等于这两列波单独存在时在这个位置、这个时刻的振动之和。
也就是y = y1 + y2,把表达式带进去就是y = A1sin(ω1t + φ1)+A2sin(ω2t + φ2)。
要是这两列波的频率相同,也就是ω1 = ω2的时候,那计算就会变得稍微简单一点。
咱们可以利用三角函数的一些小技巧来化简这个式子。
这时候合振动的振幅就不是简单的A1+A2了哦,它还和初相位差有关系呢。
宝子,你可别被这些公式吓着哈。
其实就像搭积木一样,每块积木(每个波的参数)都有它自己的作用,咱们只要按照规则把它们组合起来就好啦。
而且啊,在实际问题里,可能还会有一些特殊情况。
比如说有一列波很强,另一列波很弱,那叠加后的波就会更偏向于强波的样子,但弱波也还是有一丢丢影响的。
如果是多列波的叠加呢,原理也是一样的,就是把每列波在那个点的振动都加起来。
不过随着波的数量增多,计算可能会变得复杂一些,但只要咱们一步一步来,就像走小台阶一样,也没那么难啦。
总的来说,波的叠加计算就是要先搞清楚每列波自己的情况,然后按照叠加的规则把它们合到一起,就像是把不同颜色的丝线编织成漂亮的彩带一样有趣呢。
波的叠加与波的干涉现象波的叠加和波的干涉是波动学中重要的现象,能够解释光、声音等各种波的行为。
本文将介绍波的叠加和波的干涉的概念、原理以及应用。
一、波的叠加波的叠加是指两个或多个波在同一时刻、同一空间相遇时所产生的现象。
波动学中的波可以是机械波,如水波、声波,也可以是电磁波,如光波。
波的叠加原理可以通过实验来验证,比如在水槽中同时产生两个水波,它们会相遇并叠加在一起形成新的波纹。
叠加后的波的特性与原来的波的特性有所不同,可能出现波高增大、波高减小、波消失等情况。
当两个波的幅度同相时,即波峰和波峰、波谷和波谷相遇,叠加后的波的振幅会增大,称为互相增强,这种叠加称为构成性干涉。
相反,当两个波的幅度反相时,即波峰和波谷相遇,叠加后的波的振幅减小,甚至为零,称为互相抵消,这种叠加称为破坏性干涉。
二、波的干涉波的干涉是波动学中的一种重要现象,它是指两个或多个波在同一空间、同一时间相遇时,互相影响并产生干涉图样的现象。
波的干涉可以分为两种类型:光的干涉和声音的干涉。
1. 光的干涉光的干涉是指两束或多束光波在同一空间、同一时间相遇时所发生的干涉现象。
根据干涉现象的不同,我们可以将光的干涉分为两类:相干光的干涉和非相干光的干涉。
相干光的干涉又可以细分为两种:薄膜干涉和干涉条纹。
薄膜干涉是指光波在经过介质界面时,发生的反射和折射现象引起的干涉现象。
典型的例子就是油膜的干涉,当光波射入油膜表面时,会发生多次反射和透射,导致干涉现象。
薄膜的厚度、光的波长以及光线的入射角度都会影响干涉图样的形状。
干涉条纹是指通过具有两个相干光源的干涉实验所观察到的亮暗相间的干涉图样。
干涉条纹常见的实验有杨氏双缝干涉和杨氏双孔干涉。
杨氏双缝干涉实验利用两个非相干光源照射到一块屏幕上的两个狭缝上,通过观察屏幕上的干涉条纹来研究波的干涉现象。
非相干光的干涉指的是两束非相干光波在相遇时产生的干涉现象。
在非相干光的干涉中,由于光的相位不一致,会出现时间平均后的干涉图样,这种干涉现象在实际生活中常见,如彩色条纹的形成。
波的干涉和衍射现象及原理==================1. 波的干涉现象及原理-----------------波的干涉是指两个或多个波在空间中叠加时,形成具有特定频率和振幅的复合波。
这种复合波具有与原始波不同的特性,表现为波峰和波谷的叠加、相消干涉以及振动加强和减弱的区域。
1.1 波的叠加原理根据波的叠加原理,当两个或多个波在同一介质中传播时,它们在空间中任意一点的振幅是各自波的振幅之和。
如果两个波的相位相同(同相叠加),则振幅相加;如果相位相反(反相叠加),则振幅相减。
1.2 干涉现象及其产生条件当两个或多个波的叠加满足相干条件时,就会产生干涉现象。
相干条件包括:* 频率相同:这是产生干涉现象的基本条件。
只有频率相同的波才能产生叠加。
* 振动方向相同:只有振动方向相同的波才能产生叠加。
* 位相差恒定:只有当两个波的位相差恒定时,才能形成稳定的干涉图像。
1.3 干涉原理的应用干涉原理在许多领域都有应用,例如光学干涉、无线电干涉、超声干涉等。
在光学干涉中,我们经常利用双缝实验来展示干涉现象。
当光通过两个小缝隙时,会形成两个相干的子波源,它们产生的波在空间中相互叠加形成明暗相间的条纹。
这些条纹是光波的振动加强和减弱的区域,是检测光的波动性质的重要实验之一。
2. 波的衍射现象及原理-----------------波的衍射是指波绕过障碍物传播的现象。
当波遇到障碍物时,它们会绕过障碍物的边缘继续传播,形成衍射现象。
衍射现象是波特有的性质之一,任何波都会产生衍射现象。
2.1 衍射现象及其产生条件衍射现象的产生条件包括:* 障碍物的大小要小于或接近于波长:只有当障碍物的大小接近或小于波长时,波才能绕过障碍物的边缘继续传播,形成衍射现象。
* 障碍物的边缘要比较尖锐:只有当障碍物的边缘比较尖锐时,波才能被“引导”绕过障碍物的边缘。
2.2 衍射原理的应用衍射原理在许多领域都有应用,例如声学、电磁学、光学等。