2013年北京电影学院研究生复试名单(精品)!
- 格式:doc
- 大小:170.00 KB
- 文档页数:8
2013年北电电影导演创作与理论真题二、填空(40分)1.伍迪艾伦的最新一部影片是2.写出一部德帕尔玛的影片片名3.猪与军舰的出品国是4.卡萨布兰卡的导演是5.英雄儿女的导演是6.放大的拍摄地是7.鱼缸的导演是8.孙瑜导演的最后一部作品是9.诗句“正是江南好风景,落花时节又逢君“的作者是10.写出巡回画派的一部代表作二、简答(前两题每题15分,第三题20分)1.写出《教父1》开场戏的要点。
2.简述六十年代中国导演状况。
3.画出二人对话180度轴线的机位,再画出镜头移至轴线另一侧的机位,再画出越轴的机位。
三、论述(三选二)(每题30分,共60分)1.科技的进步,会让导演的创作手段变得无边际么?2.请从景别角度分析杰克逊《金刚》中男女主角相遇的场景。
3.分析《少年派》的视觉风格。
1【育明教育北影专业课老师推荐导演系参考书目】电影导演创作与研究方向,备考书目《世界著名导演艺术家研究》中国电影出版社出版《构筑现代影像世界——电影导演艺术创作理论》中国电影出版社出版《艺术风格的个性化追求——电影导演大师创作研究》中国电影出版社出版《银幕追求——与中国当代电影导演对话》中国电影出版社出版《电影导演的艺术世界》中国电影出版社出版《华语电影十导演》浙江摄影出版社纪录片导演创作与研究方向,备考书目《纪录电影文献》单万里主编中国广播电视出版社《世界纪录电影史》(美)埃里克•巴尔诺中国电影出版社出版《电影的本性——物质现实的复原》(德)齐格弗里德•克拉考尔中国电影出版社出版《构筑现代影像世界——电影导演艺术创作理论》中国电影出版社出版《艺术风格的个性化追求——电影导演大师创作研究》中国电影出版社出版电视剧导演创作与研究方向,备考书目《世界著名导演艺术家研究》中国电影出版社《构筑现代影像世界——电影导演艺术创作理论》中国电影出版社《艺术风格的个性化追求——电影导演大师创作研究》中国电影出版社《银幕追求——与中国当代电影导演对话》中国电影出版社《电影导演的艺术世界》中国电影出版社《中国电视剧发展史纲》北京广播学院出版2育明教育北影资深专业课教师提醒:【报考北京电影学院研究生不能不知道的几点】1、初试网报报考点必须选择北京电影学院,咱们北影不承认京外考点所以报考咱们北京电影学院要到北京至少3次,距离北京远的同学要提前做好心理准备。
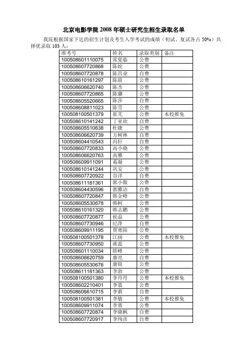
北京电影学院2008年硕士研究生招生录取名单
我院根据国家下达的招生计划及考生入学考试的成绩(初试、复试各占50%)共择优录取
注意事项:
1.录取通知书发放时间、办法等事宜将在6月16日以后在网上公布,此前请勿电话咨询;
2.录取为“自筹经费”的考生请下载《自筹经费协议书》并签字,并务必在6月13日前(以邮戳为准)寄至“北京市海淀区西土城路4号北京电影学院研究生部(收)邮编:100088 ”,并在信封上注明“08自筹经费协议书”字样。
因考生未及时寄送《自筹经费协议书》导致录取通知书不能发放、不能正常入学等问题,考生责任自负。
北京电影学院研究生部
2008-6-5。
北京电影学院2009年招收博士研究生
进入复试名单(准考证编号)及复试安排
复试内容:考察考生综合运用所学知识的能力、本学科前沿知识及最新研究动态的掌握情况、是否具备博士生培养的潜能和综合素质,并进行外国语的听力和口语测试(考官与考生进行英语对话,考查考生的听说能力)。
关于体检:进入复试的考生必须参加我院统一组织的体检。
考生请在4月3日上午7:20到达体检中心。
体检地点:中关村医院关村医院体检中心(北京海淀区中关村南路12号)
要求:
①考生自带身份证原件及一张近期免冠一寸照片(黑白、
彩色均可),到指定医院领取体检表。
请在体检表上注明“北京电影学院考博”字样。
②考生必须如实填写体检表中的“既往病史”。
不如实填写,
入学后出现问题责任自负。
③体检前应注意停止服药,避免剧烈运动,休息好。
体检
前须空腹。
④体检时需缴纳63.50元体检费(请自备零钱。
)
⑤体检完成后请将体检表交给医院,研究生部将负责去医
院领取体检结果。
自行将体检表带走者本次体检结果无效。
相关说明:
1.进入复试的考生请于4月2日13:30-14:00在研究生部二
层大厅办理复试相关手续。
复试凭准考证及个人有效证件参加,请各位考生按规定时间准时到达。
2.关于复试成绩及最后录取结果,我们将在6月初进行公布。
请
各位考生耐心等待,特此说明。
北京电影学院
研究生部
2009年4月2日。
导演系电影导演创作及理论专业2013年招生目录系别专业或学科领域以及类别研究方向招生导师初试考试科目招生对象姓名职称导演系电影领域(专业型)电影导演创作侯克明教授①政治②外语(英、日、俄)③导演创作及理论④电影剧本命题写作只招收应届、往届本科毕业生,以及已获得本科毕业证书的专升本人员章明教授导演系电影导演创作及理论专业2014年招生目录招生院系(拟招生人数)学科/专业学位专业/领域名称研究方向课题初试考试科目招生对象导演系(9人)戏剧与影视学(学术型)电影学电影导演创作及理论电影导演创作及理论①思想政治理论②英语、日语或俄语③电影导演创作及理论④命题创作只招收应届、往届本科毕业生,以及已获得本科毕业证书的专升本人员艺术硕士(专业学位)电影领域故事片、纪录片导演创作故事片导演创作纪录片导演创作PS:在我校公布的《2014年北京电影学院硕士研究生招生计划》中,不列入导师姓名,考生根据报考专业和研究方向填报志愿。
考生在复试中由其所报考院系根据考生志愿及考生成绩等通过双向选择确定导师。
导演系电影导演创作及理论专业研究生培养方案一、培养目标:本专业硕士学位研究生的培养目标是:培养面向现代化、面向世界、面向未来,适应社会主义现代化建设需要和中国电影事业和电影产业发展的需要,德、智、体全面发展的高级专业人才。
具体要求是:1.认真学习马克思主义、毛泽东思想、邓小平理论的基本原理。
坚持四项基本原则,认真学习"三个代表"重要思想,坚持党的基本路线。
2.树立无产阶级世界观;正确理解和运用马克思主义文艺观,具有正确的世界观、人生观、价值观;热爱祖国、热爱人民;遵纪守法,品德优秀;具有良好的科学道德,有为国家的文化、电影事业献身、积极为社会主义现代化建设服务的精神。
3.在本学科内,掌握坚实的基础理论和系统的专门知识,具有较宽的知识面;有较丰富的社会、文化、艺术知识和较强的电影创作研究能力;能熟练地运用外语阅读专业文献资料和撰写论文摘要,并具有初步的听说能力。
考生编号姓名政治外国语业务课一业务课二总分备注100507999990001童琪凡5848130125361100507999990002王淞可5155136140382100507999990005张庆席7163138129401100507999990007杨佳梦6669130137402100507999990017邹修美5461112135362100507999990019张帆6652132104354100507999990022董璐瑶7584131117407100507999990027丰云鹤6145141119366100507999990034严鸿飞5972130133394100507999990040刘利5757121120355100507999990048祁祥燕6971132113385100507999990052杨淋竣6454132132382100507999990054张玉明6455128131378100507999990056董文扬6158133121373100507999990059刘松6462127100353100507999990060吴恪瑾6356128125372100507999990063赵昕6058134108360100507999990064伍清璇5452134111351100507999990067缪巍楠596312999350100507999990070陈婷6153129139382100507999990071蔡文俊6953136123381100507999990074程珊珊6761126100354100507999990075沈林峰6949127116361100507999990076姜琪6178127140406100507999990077周如彪5651123128358100507999990080乔丹4961131113354100507999990083郭书辰6368135133399100507999990085郭贝丽5749133132371100507999990086仇雅琳567213799364100507999990091王泽宇5342137123355少数民族骨干人才计划100507999990100邱丽6466130123383100507999990103李岗5236129124341100507999990104张娟娟5463119124360100507999990105胡岳6470131136401100507999990110黄靖博5269123120364100507999990112王荟5657135125373100507999990114延梦玲5767131128383100507999990121钟琦6975124101369100507999990123董越6970133127399100507999990124刘福雷6266135130393100507999990126施琳慧5676120120372100507999990130鲁秀全6356130121370100507999990136岳晓帆6571137135408100507999990138张潇7271135135413100507999990140刘玉倩6474131129398100507999990142崔贤46637878265少数民族骨干人才计划100507999990143伟丽斯5158126109344少数民族骨干人才计划100507999990150吕溪缘6177133136407100507999990154侯晨伟6963133130395100507999990155辛琦5659128127370100507999990157何瑛楠7256127132387100507999990164袁金松6659132135392100507999990169顾崎琦6156134127378100507999990171夏之睿5171120136378100507999990176潘丽诗5458122135369100507999990177洪晓鸥6479126135404100507999990184方文正7282130123407100507999990189郑丹妤6164130131386100507999990190庞展鸿6380130126399100507999990197张浩6265139134400100507999990205占园园5065131130376100507999990206康敏6744135124370100507999990210赵楚靖6676133126401100507999990213刘书言6557123132377100507999990215王朔5670128114368100507999990216陈微5263143137395100507999990219张琳6069138127394100507999990223柳亚群7177124101373100507999990233秦宗鹏6370134118385100507999990234范婕5350125134362100507999990237刘思佳6554126117362100507999990238周莲576612396342100507999990239康乃馨5254136121363100507999990241周晨琛6762120103352100507999990246覃思静586412888338100507999990250刘月5855138102353100507999990251韩晓雯6062126107355100507999990253邓桂垚5444124103325少数民族骨干人才计划100507999990255符蓉658296103346100507999990258何静盈5048128125351100507999990259朱琳697190115345100507999990260刘晓英5174121100346100507999990262施嘉敏598490133366100507999990265范晓伟5043124140357100507999990266王沛泽6149121145376100507999990268邱阳4764122134367100507999990271韦德富5152116129348少数民族骨干人才计划100507999990280甘杨雨6152131136380100507999990281何凯臻5575132141403100507999990284廖无双6353111120347100507999990289梅宇6365139141408100507999990290邓雨佳595390135337100507999990293鲁梦河578578135355100507999990295刘涵6369141130403100507999990297田楠5379128117377100507999990302刘安智596896146369100507999990315李卓然6564128133390100507999990317杨中天5342130145370100507999990329祁文艳636712580335少数民族骨干人才计划100507999990335郭程晨6570121100356100507999990342董译蔚646711895344100507999990344殷晓新4661120110337100507999990354唐玮岐6674119110369100507999990357覃晓璐6779109100355100507999990369白楠6164114110349100507999990370杨菁6182112110365100507999990384刘金贤4769106120342100507999990417何阳638413795379100507999990419柳姗姗607712691354100507999990447张烨文5772112100341100507999990470张若男647512791357100507999990473卫楚俏5281110102345100507999990475龚鲁艳5879121110368100507999990476于佳欢6069101108338100507999990482曹斌成658813090373100507999990516冯子龙668011794357100507999990525吴丹丹5783121103364100507999990530宋帅5080131103364100507999990533娄爱伦435698123320少数民族骨干人才计划100507999990555付佳莉577711497345100507999990563姜虹宇5474126110364100507999990568夏晓晨4570122109346100507999990577张西芳5268120100340100507999990589岳淑培6581115113374100507999990605贾潇纵5877109113357100507999990611张家孟4463129111347100507999990613唐诗韵597910692336100507999990619王昭琪5482110107353100507999990621刘佳思597011695340100507999990625丁维千617611697350100507999990635徐粟影5786105108356100507999990641佟天娇6975109120373100507999990644雷丙鑫5475108116353100507999990645顾馨658111683345100507999990646陈芮667511498353100507999990652王丽尧607312295350100507999990656蒋岚好5980112108359100507999990659李惠妃5770120146393100507999990662秦振宵4461114136355100507999990668金升5470106120350100507999990687吴盛泽6276126114378100507999990693韩磊6273114103352100507999990702梅嘉豪6278122103365100507999990707齐博6076114114364100507999990712张天硕597412297352100507999990719赵文华6369118104354100507999990723张新楠6277119115373100507999990724赵睿霖6577111100353100507999990732谷珏江7381120120394100507999990734孟尧4987122100358100507999990739郝雨青6759111110347100507999990745钟康平666613597364100507999990754徐沁雪627711098347100507999990763尹晓威6169128128386100507999990765万博成6972134134409100507999990778侯丁一5261123118354100507999990780谭康697413297372100507999990781王轶君5944133119355100507999990783王安然688112093362100507999990787娄鑫5556121121353100507999990799李晨阳6173110135379100507999990809汤洵6180111105357100507999990821白阳6583116120384100507999990827应属他648199112356100507999990831霍震4757114136354100507999990840林伟彬5583110126374100507999990845漆芷乔5577108114354100507999990851李剑5334104125316少数民族骨干人才计划100507999990859栾晓玥6571112115363100507999990862吴垚657012598358100507999990864仇雅琪5872110121361100507999990866黄鑫5658118116348100507999990868郭玥涵4964130130373100507999990872马乾翔5279114101346100507999990874韦永斌6154122110347100507999990875周方文5652126108342100507999990898张文龙6783130121401100507999990923邓元昊5964101111335100507999990927潘洪爽5251123128354100507999990933李伦4543111141340100507999990937黄以欢4646119146357100507999990938董晟5564114144377100507999990947李艺雯585095142345100507999990949李雪婷5866126142392100507999990951焦阳38882123251少数民族骨干人才计划100507999990955陈雨薇5560129143387100507999990959贾诚6168123125377100507999990969王鹏5568122120365100507999990970徐雪菱6369124121377100507999990971李子熙4857123130358100507999990973杨絮菲5669121125371100507999990974周可笛6077132135404100507999990975涂颖哲5757110123347100507999990977赵梦宁6084119133396100507999990978杨芊芊5358120135366100507999990982周尹惠6253119125359100507999990984康晓榕5246112131341100507999990987李鹏飞4954114125342100507999990991孙慧4463130123360100507999990993余舒琪5956101123339100507999990994张怡5365125119362100507999991004张俊英子5343108132336100507999991006张子涵5575113124367100507999991007徐哲泓6044119123346100507999991046高原5062114129355100507999991052王晨6563123106357100507999991054张荃648411391352100507999991080张晗贝6981124115389少数民族骨干人才计划100507999991088黄沛敏578410493338100507999991090王鹤楠6772105100344100507999991099冉浩伶5170108111340100507999991104李帮伟587899106341100507999991108黄钰雯7086120101377100507999991129易晨6069115108352100507999991139罗彬艺5950114114337少数民族骨干人才计划100507999991155吕鑫6071114117362100507999991166汪煜607411799350100507999991168张福平4773109109338100507999991188孟贺锋667012097353100507999991195邹海州758313096384100507999991197李涛726712890357100507999991200金超程6182123112378100507999991211叶欣怡6870123120381100507999991235彭翔617511298346100507999991257张迪727811993362100507999991260董芳辰6282118115377100507999991262贾舒铭6074108103345100507999991285李玥567810398335100507999991317薛侨阳5272108104336100507999991358董向钦6373116116368100507999991360许长发648898129379100507999991380刘辰飞5479119100352100507999991383严偲予5682130116384100507999991392李倩媛6186104100351100507999991394刘韫韬678412194366100507999991397廖雅茜5868118106350100507999991399黄凌超5779120102358100507999991400卢丽阳6676136112390100507999991401张成阳5773111117358100507999991410黄齐6065108103336100507999991412李帅5875104108345100507999991415李郧东38499781265少数民族骨干人才计划100507999991416王杰5782109115363100507999991424郝鹏宇628111793353100507999991429高超515112494320少数民族骨干人才计划100507999991437赵寒月606712093340100507999991443尤嘉5160123110344100507999991445李朝阳787411690358100507999991447张柯6791124104386100507999991448李子健487811897341100507999991453徐以皓5668115109348100507999991463薛凤瑜598412193357100507999991510吴雪莹5985128125397100507999991516周嘉怡607812188347100507999991524李帆6379117102361100507999991526张舒扬707911298359100507999991527杜青5080116100346100507999991528周豪光6383112100358100507999991543张沁钰668211686350100507999991549周淑君5583129102369100507999991569江灵5374121100348100507999991570于绪龙6366126110365100507999991581武瑾卓5970115100344100507999991583赵楠5576138115384100507999991584刘道亚6480103124371100507999991586向姚667811998361100507999991592张峻耀5172121100344100507999991601胡朝云677313086356100507999991602姚思成657010999343100507999991609王静文6075118109362100507999991619吴蜜慧637912090352100507999991637李崇碧498511792343100507999991638赵一潞6887130106391100507999991644黄吉喆567613298362100507999991656郑永杰6084137120401100507999991673吕佳颐6375124123385100507999991696凌俏5687116108367100507999991716许哲妤6375121105364100507999991733王娣7073121104368100507999991739张雯6271112110355100507999991744黄林6863127108366100507999991745耿璇678511293357100507999991767张雨晖6477123102366100507999991770田艳杰6479123103369100507999991773王思涵6179119136395100507999991788宋少婷658312496368100507999991791张嘉敏6068118109355100507999991802王磊667812592361100507999991832李安如6481110127382100507999991834李静怡4870112135365100507999991836王玉琪5978100123360100507999991839朱婕5868117131374100507999991840刘梦婵5966116127368100507999991853刘翼凡5057121139367100507999991855张抒媛5757126133373100507999991866王晟骁5567127135384100507999991876姜南印5767104125353100507999991878姚天鸿5766115129367100507999991882李文鹏6463110136373100507999991887吕晴5476129123382100507999991893蓝天晓5984126136405100507999991894张欣怡5581114145395100507999991895李瑶涵6069117140386100507999991898嵇亚楠667994135374100507999991899姜思涵5768130140395少数民族骨干人才计划100507999991902姜智元6057114145376100507999991903林圣怡5776103135371100507999991905高宏5739118140354100507999991907廖雅文4447108145344100507999991914廉夏夏4848108145349100507999991925张明舒5762103130352100507999991929马紫箫4563100145353100507999991932李胜燕4962101140352100507999991938刘媛5559107135356100507999991941巴琪5571103135364100507999991953戴頔4352100145340100507999991958朱雯静5646102145349100507999991961赵婉婷4652108140346100507999991963于宛平5044118145357100507999991971李南石6162125100348100507999991977陈沛艺506188145344100507999991978黄飘莹5249102138341100507999991979朱霄霄477289135343100507999991980葛亚凡5149101147348100507999991981梁博媛505498142344100507999991982保可4635101140322少数民族骨干人才计划100507999991985孟奕瑶5138101148338100507999992004马佳琪5979115123376100507999992008何承忆6974124141408100507999992012郑家伦6460116123363100507999992016金光耀577799132365100507999992023王赟荻4862122132364100507999992038曾辉6666120132384100507999992040刘文东5872122130382100507999992043李典超5858127134377100507999992053杜晓娟5670126123375100507999992060韩罗娜6269118114363100507999992067孙浩钧5576123125379100507999992077韦江月6377124144408100507999992079王天宇6581108112366100507999992088刘杨6476127135402100507999992089黄晓慧6975119130393100507999992100王昱彤5261114117344100507999992101亓国梁5146108130335100507999992104赵润泽5664107116343100507999992107孙经纬6461116106347100507999992110朱晨旭5262114110338100507999992118李路5057112124343100507999992123崔宁4372114113342100507999992127王琛5785118101361100507999992129王树6265104124355100507999992130刘冬5362116125356100507999992132杨婧6373118137391100507999992133李欣5064114117345100507999992149张沐茜5966108106339100507999992153谭路528095125352100507999992158潘梦琪5961106130356100507999992162刘汉源4461121142368100507999992163陈希瑞5467121118360100507999992164马少典6883137143431100507999992165沙托6575127122389100507999992166孙畅5475119115363100507999992167王佳昕4667119117349100507999992168孙卓6480126132402100507999992171李子龙4063126125354100507999992185赵倩男5980124133396100507999992193杨丹丹5866127140391100507999992195吴天石3650114130330少数民族骨干人才计划100507999992199毕晙琪5973120105357100507999992201王如月4568127100340100507999992203王恺玥5778118134387100507999992208陈可夫6081127122390100507999992210李宛瑛5558111141365100507999992211赵若凡6360107123353100507999992213麦禾布拜·艾尼瓦尔373072120259少数民族骨干人才计划100507999992220余光宇4955122123349100507999992221耿汉强6473108116361100507999992233魏莱585299143352100507999992241褚芯梅446290140336100507999992247杨鑫517296116335100507999992249肖彬6479118118379100507999992252陈阳5368103123347100507999992254徐鑫煜6177122124384100507999992259胡小玮5173107142373100507999992260于天洋5256104124336100507999992261王逸伦4645116140347100507999992263王春婷517796138362100507999992266朱靓雯6064116138378100507999992268陈攀6271112125370100507999992296唐潮3770116129352100507999992297何如伦4459106145354少数民族骨干人才计划100507999992303陆艺5142118128339100507999992309铁骞414378125287少数民族骨干人才计划100507999992310孟德卓343070127261少数民族骨干人才计划100507999992312文俊5770109122358100507999992314孙旭东5660128128372100507999992316陈可馨6365133112373100507999992334雷雅婧696811598350100507999992337程雪莱1347700211公共管理硕士100507999992338郭婷1317300204公共管理硕士100507999992343童阳1117200183公共管理硕士100507999992346李艳1046600170公共管理硕士100507999992347韩建宾1357500210公共管理硕士100507999992350肖少杰1377600213公共管理硕士100507999992351王程程1236400187公共管理硕士100507999992352戴东明1176400181公共管理硕士。
录音系电影声音创作专业2013年招生目录系别专业或学科领域以及类别研究方向招生导师初试考试科目招生对象姓名职称录音系电影学(学术型)电影声音创作及理论姚国强教授①政治②外语(英、日、俄)③录音技术与工艺④声音艺术理论招收应届、往届本科毕业生,已获得本科毕业证书的专升本人员,获得毕业证书满两年的专科毕业生吴昊副教授谷毅副教授电影领域(专业型)电影声音创作黄英侠教授李伟副教授俞晓副教授电影学(学术型)电影音乐创作及理论王宏民副教授①政治②外语(英、日、俄)③音乐创作理论④电影音乐创作杨宣华副教授电影领域(专业型)电影音乐创作王黎光教授艺术学(学术型)综合媒体技术童雷副教授①政治②外语(英、日、俄)③信息与媒体技术④媒体理论与作品分析只招收应届、往届本科毕业生,以及已获得本科毕业证书的专升本人员录音系电影声音创作专业2014年招生目录招生院系(拟招生人数)学科/专业学位专业/领域名称研究方向课题初试考试科目招生对象录音系(19人)戏剧与影视学(学术型)电影学电影声音创作及理论电影声音创作及理论①思想政治理论②英语③录音技术与工艺④声音艺术理论招收应届、往届本科毕业生,已获得本科毕业证书的专升本人员,获得毕业证书满两年的专科毕业生电影音乐创作及理论电影音乐创作及理论①思想政治理论②英语、日语或俄语③音乐创作理论④电影音乐创作艺术学理论(学术型)艺术学综合媒体技术综合媒体技术①思想政治理论②英语③影视技术基础④媒体作品分析艺术硕士(专业学位)电影领域电影声音创作电影声音创作①思想政治理论②英语、日语或俄语③录音技术与工艺④声音艺术理论电影音乐创作电影音乐创作①思想政治理论②英语、日语或俄语③音乐创作理论④电影音乐创作PS:在我校公布的《2014年北京电影学院硕士研究生招生计划》中,不列入导师姓名,考生根据报考专业和研究方向填报志愿。
考生在复试中由其所报考院系根据考生志愿及考生成绩等通过双向选择确定导师。
录音系电影声音创作专业研究生培养方案一、培养目标及要求(一)培养目标培养具有系统专业知识和高水平创作技能的高层次、应用型电影艺术专门人才。
现公布我校2014年硕士研究生招生拟录取结果,公示时间为10个工作日。
如有调整,以我校实际发放录取通知书为准。
解释权归于我校研究生招生办公室。
附:北京电影学院2014年硕士研究生招生拟录取结果姓名报考院系所报考专业初试成绩复试成绩总成绩加试科目一加试科目二是否录取李秋辰文学系电影学免试8888拟录取潘越文学系电影免试9090拟录取谷一盈文学系电影免试8787拟录取孟远导演系电影学免试9292拟录取宋新棋导演系电影免试8888拟录取闫鑫茹表演学院电影学免试8989拟录取益才表演学院电影学免试8787拟录取曹博表演学院电影免试9191拟录取马川摄影系电影免试8686拟录取穆正伦摄影系电影免试8888拟录取应杰摄影系电影免试8686拟录取郭欣悦录音系艺术学免试8888拟录取王晋录音系电影免试9393拟录取孙立尧美术系电影免试8686拟录取宋晓雯美术系电影免试8686拟录取彭早早美术系广播电视免试8888拟录取左丹管理系电影学免试8888拟录取吴翠萍管理系电影学免试8686拟录取陈平青电影学系电影学免试8888拟录取雷博电影学系电影学免试8989拟录取谢淼崴摄影学院美术免试8888拟录取李彤玥文学系电影学3777274不录取娄思聪文学系电影学3697373不录取裘文思文学系电影学3648177拟录取吴超文学系电影学3567372不录取王璐文学系电影学3567975拟录取赵淼文学系电影学3568277拟录取张霄文学系电影学3548477拟录取姜娜文学系电影学3526266不录取董秦文学系电影学3456467不录取王翔宇文学系电影学3458376拟录取潘兆年文学系电影学33988788085拟录取张小虎文学系电影学3376667不录取张正文学系电影学3348676拟录取张培珍文学系电影学3336767不录取张琪文学系电影学3316365不录取赵雪薇文学系电影3519080拟录取武越文学系电影3379179拟录取许小青文学系电影3329078拟录取刘雨文学系电影3388275拟录取段余乐文学系电影3378074拟录取祁紫檀文学系电影3254957不录取周虹莹文学系电影2644348不录取杨奇军导演系电影学3646569不录取戴勇导演系电影学3507070不录取赵博文导演系电影学3357069不录取万羽翔导演系电影学3309782拟录取章漱凡导演系电影3789083拟录取何磊导演系电影3747575不录取谢晓珊导演系电影3669082拟录取喻景导演系电影3589583拟录取李莹导演系电影3577473不录取姚康惠导演系电影3547573不录取柳世导演系电影3509482拟录取王林跃导演系电影3497572不录取姚祖彪导演系电影3489582拟录取王玉杰导演系电影3477572不录取张栋梁导演系电影3469582拟录取徐鉴赏导演系电影3459582拟录取常达导演系电影3457572不录取徐少澜导演系电影3408074不录取张轩维导演系电影3397571不录取张鑫导演系电影3379682拟录取蒋楠导演系电影3359581拟录取杨美桥导演系电影3347571不录取艾冬导演系电影3337571不录取刘权文导演系电影3337571不录取唐亚杰导演系电影3327571不录取向昱竹导演系电影3317571不录取许金龙导演系电影3319681拟录取马乾翔导演系电影3307571不录取王京象表演学院电影学3485964不录取牟丹表演学院电影学3378777拟录取高赫辰表演学院电影3338877拟录取王珊珊表演学院电影3569181拟录取何苗表演学院电影3559282拟录取王斯贤表演学院电影33787779590拟录取王涵表演学院电影3329179拟录取郭兴悦摄影系电影学3447873拟录取张迪摄影系电影学3308576拟录取陈龙摄影系电影学32656618071不录取林井超摄影系电影学3258274拟录取王鹏摄影系电影3847576拟录取杨盛熙摄影系电影3678579拟录取齐硕摄影系电影3567272拟录取马勇摄影系电影3286163不录取张也摄影系电影3285761不录取龚子轩摄影系电影3254957不录取李帅摄影系电影38977777572拟录取宋华洋摄影系电影3705866不录取何骁摄影系电影3545764不录取刘鸣山摄影系电影3476969拟录取陈尔东摄影系电影3385260不录取邢顺江摄影系电影3364255不录取穆童摄影系电影32865656073不录取陈功摄影系电影3267570拟录取戈畅摄影系电影3266967拟录取张炳摄影系电影3073146不录取张典录音系电影学3597372拟录取邹爷程录音系电影学3555161不录取李林蔚录音系电影学3418778拟录取高帅录音系电影学3405863不录取马聪录音系电影学3327571拟录取苗杰录音系电影学39184816065拟录取李媛騑录音系电影学3627373拟录取郭潇筱录音系电影学3365863不录取李成桢录音系电影学3257369拟录取少赵雨录音系艺术学4018181拟录取刘惟一录音系艺术学3325963不录取田牧录音系电影3726268拟录取郑仕诚录音系电影3697373拟录取李怡园录音系电影3497472拟录取王雪莹录音系电影3487673拟录取袁明志录音系电影3388677拟录取潘小舟录音系电影3438878拟录取陈曦录音系电影学3228273拟录取孟祥龙美术系美术学3869486拟录取张诗墨美术系美术学3619182拟录取李晓雯美术系美术3518578拟录取陈曦美术系美术34387788590拟录取马弘美术系美术学3398878拟录取少包苏娅美术系美术学3076664不录取辛懿美术系美术学2786158不录取索冬冬美术系电影2648870拟录取少张大谦美术系电影3678981拟录取李昊彦美术系电影3598578拟录取杨冬美术系电影3516467不录取袁丁四郎美术系电影3398878拟录取刘州祥美术系电影3366767不录取欧璇美术系电影3368777拟录取王翔宇美术系电影3358677拟录取王征美术系电影3348877拟录取梁加升美术系电影3318877拟录取彭晶美术系电影3136765不录取房安琪美术系广播电视3589583拟录取黄琰美术系广播电视3386365不录取任欢美术系广播电视3369682拟录取罗嗣旺美术系广播电视3266264不录取王雪宁美术系美术3449582拟录取王昊飏美术系电影学3658981 9090 拟录取同于晓溪美术系电影3249077 9088 拟录取同罗骥管理系艺术学3878581拟录取郭姝南管理系电影学3728680拟录取张月瀛管理系电影学3636770不录取韩梦雪管理系电影学3576669不录取刘璇管理系电影学3538578拟录取石典典管理系电影学3528678拟录取陈菁管理系电影学3528578拟录取许红岩管理系电影学3498778拟录取时昊苏管理系电影学3498678拟录取王小月管理系电影学3488577拟录取王贞管理系电影学3467371拟录取李明烜管理系电影学3448175拟录取李帆管理系电影学3437170不录取郭书辰管理系电影学3436567不录取梁辰凌子管理系电影学3427371拟录取曹文娟管理系电影学3377370拟录取胡朝云管理系电影学3376466不录取贾会侠管理系电影学3366566不录取钟玉连管理系电影3856873不录取孙杨管理系电影3688579拟录取郑忆宁管理系电影3688479拟录取闫啸林管理系电影3646267不录取芮茜管理系电影3638679拟录取陈柔雪管理系电影3566468不录取王晓晨管理系电影3568779拟录取李怀石管理系电影3548176拟录取黎学鹏管理系电影3518578拟录取杨镒繁管理系电影3508578拟录取何雨轩管理系电影3508578拟录取刘坤电影学系电影学3979286拟录取周昱宏电影学系电影学39092858085拟录取孙文可电影学系电影学3759284拟录取王泽儒电影学系电影学3726469拟录取宋佳电影学系电影学3709484拟录取张蕾电影学系电影学3588980拟录取刘同辉电影学系电影学3569282拟录取李思雪电影学系电影学3549583拟录取刘通电影学系电影学3526367不录取刘安琪电影学系电影学3509683拟录取吴书琦电影学系电影学3498979拟录取王瑾雯电影学系电影学3456467不录取李震寰电影学系电影学3459381拟录取邓怡昕电影学系电影学3395762不录取洪佩洁电影学系电影学3358174拟录取刘正达电影学系电影学3339380拟录取李凯睿电影学系电影学3319480拟录取梁东旭电影学系艺术学4008884拟录取王佳奕电影学系艺术学3948481拟录取张在梅电影学系艺术学3824360不录取贺一慧影视技术系电影学3907979拟录取戴骏影视技术系电影学3686569拟录取张文军影视技术系电影学3667675拟录取秦芸茜影视技术系电影学3627071拟录取齐晴影视技术系电影学3608076拟录取王茜影视技术系电影学3588377拟录取袁翔影视技术系电影学3556066不录取傅之恺影视技术系电影学3526166不录取周文影视技术系电影学3527070拟录取李雪君影视技术系电影学3317571拟录取芦志豪影视技术系电影学3146463拟录取少高攀摄影学院美术学3856973拟录取许晖摄影学院美术3864963不录取王嘉琳摄影学院美术3728379拟录取朱楷摄影学院美术3607875拟录取吴祥睿摄影学院美术3498075拟录取姚磊摄影学院美术3427873拟录取王顺辰摄影学院美术3378677拟录取李东明摄影学院美术3283550不录取杨凤娟摄影学院广播电视3444657不录取周洲摄影学院广播电视33676729085拟录取赫丽申动画学院美术学3817174拟录取丁一书动画学院美术学3547774拟录取邓冉冉动画学院美术学3448275拟录取王玥玥动画学院美术学339034不录取杨家杰动画学院美术学3298374拟录取买买提.吐尔动画学院电影3027367拟录取少逊董奕琦动画学院电影3878682拟录取郭淳动画学院电影3868179拟录取李拜天动画学院电影3819083拟录取张蔚然动画学院电影3788681拟录取石田动画学院电影3708982拟录取张宝蕊动画学院电影3707474拟录取郝文笛动画学院电影3666670不录取连竹动画学院电影3648579拟录取王楠楠动画学院电影36385797878拟录取崔曼动画学院电影3628679拟录取陶青雨动画学院电影3608478拟录取李朋动画学院电影3578578拟录取杨伯儒动画学院电影3577573拟录取张辰辰动画学院电影3548477拟录取何溪动画学院电影3547975不录取吴晨成动画学院电影3527271拟录取张艳动画学院电影3528075拟录取周丹动画学院电影3477974拟录取杜思聪动画学院电影3437270拟录取陈沛炫动画学院电影3428175拟录取范莹动画学院电影3427371拟录取徐赛动画学院电影3387370不录取吴茜动画学院电影3307169拟录取刘淇动画学院电影3287369不录取张琳基础部电影学3448074不录取常国奇基础部电影学3375561不录取欧阳阳基础部电影学3318877拟录取朱庆基础部电影学3819385拟录取温可基础部电影学3488778拟录取。
序号性质准考证号姓名性别方向名称所在省份1 统招本科13010017 李皓月女电影创意与策划北京市2 统招本科13010036 田风男电影创意与策划江苏省3 统招本科13010234 潘丽诗女电影创意与策划湖南省4 统招本科13010235 谭雅心女电影创意与策划湖南省5 统招本科13010239 袁金松男电影创意与策划河南省6 统招本科13010248 冯可慧女电影创意与策划广东省7 统招本科13010259 潘西雅女电影创意与策划湖北省8 统招本科13010336 侯若颐女电影创意与策划湖南省9 统招本科13010337 鲁艺女电影创意与策划浙江省10 统招本科13010393 任开济男电影创意与策划山西省11 统招本科13010407 郭昱德男电影创意与策划广东省12 统招本科13010422 董洁女电影创意与策划北京市13 统招本科13010456 苏嘉慧女电影创意与策划山西省14 统招本科13010459 汪欣女电影创意与策划四川省15 统招本科13010762 丁璐女电影创意与策划辽宁省16 统招本科13010804 李洁女电影创意与策划内蒙古自治区17 统招本科13010870 任意男电影创意与策划江苏省18 统招本科13010947 朱树青男电影创意与策划山东省19 统招本科13010986 宋耀鑫男电影创意与策划山东省20 统招本科13010996 郑晓韵女电影创意与策划上海市21 统招本科13011092 眭紫鑫女电影创意与策划四川省22 统招本科13011431 刘玉倩女电影创意与策划北京市23 统招本科13020007 周梦洁男电影剧作湖北省24 统招本科13020015 陈欣宁男电影剧作山东省25 统招本科13020019 张倩女电影剧作山东省26 统招本科13020058 叶晨鸽女电影剧作江西省27 统招本科13020063 刘牧涵女电影剧作北京市28 统招本科13020212 毛缚鲲女电影剧作山东省29 统招本科13020398 邓洛女电影剧作吉林省30 统招本科13020426 徐诗雨女电影剧作吉林省31 统招本科13020428 魏苓女电影剧作吉林省32 统招本科13020442 朱瑞男电影剧作安徽省33 统招本科13020517 赵斯懿女电影剧作北京市34 统招本科13020540 陈安琪女电影剧作江西省35 统招本科13020678 张翱男电影剧作贵州省36 统招本科13020683 任浩霖女电影剧作广东省37 统招本科13020694 彭佳慧女电影剧作河南省38 统招本科13020738 李明康男电影剧作广东省39 统招本科13020777 宋金穗女电影剧作广东省40 统招本科13020825 徐赛女电影剧作浙江省41 统招本科13020869 刘丝竹女电影剧作北京市42 统招本科13020883 张小权男电影剧作北京市43 统招本科13021049 苏雨馨女电影剧作广东省44 统招本科13021118 罗竹君女电影剧作广西壮族自治区45 统招本科13030014 李淇女电影导演上海市46 统招本科13030020 徐蔚昕女电影导演陕西省47 统招本科13030068 曾瀚男电影导演北京市48 统招本科13030080 张少帅男电影导演重庆市49 统招本科13030098 张玥女电影导演重庆市50 统招本科13030181 李际琛男电影导演河北省51 统招本科13030356 韦靓女电影导演河北省52 统招本科13030404 王士迪男电影导演山东省53 统招本科13030491 王诗毓女电影导演北京市54 统招本科13030541 李格瑞思女电影导演北京市55 统招本科13030582 秦如心女电影导演上海市56 统招本科13030595 杨冰男电影导演广东省57 统招本科13030765 孙顺男电影导演山东省58 统招本科13030793 王越洋男电影导演安徽省59 统招本科13031107 龙颖女电影导演甘肃省60 统招本科13040016 陈晓宇女剪辑山东省61 统招本科13040044 伊翔宇男剪辑河北省62 统招本科13040058 林育灿男剪辑广东省63 统招本科13040061 俞天慈男剪辑江苏省64 统招本科13040068 杨梦莹女剪辑北京市65 统招本科13040083 金中石男剪辑江苏省66 统招本科13040159 孔祥葆女剪辑黑龙江省67 统招本科13040205 徐宇辉男剪辑湖北省68 统招本科13040222 姚舒月女剪辑河北省69 统招本科13040275 田雨晴女剪辑湖北省70 统招本科13040308 薛宸男剪辑江苏省71 统招本科13040318 杨哲女剪辑河北省72 统招本科13040322 周俊文男剪辑广东省73 统招本科13040366 李浩玮男剪辑内蒙古自治区74 统招本科13040379 李文竹女剪辑山东省75 统招本科13040417 陈梦竹女剪辑江苏省76 统招本科13040544 马骜男剪辑宁夏回族自治区77 统招本科13040546 李玥禧女剪辑海南省78 统招本科13050037 白澜女表演创作河南省79 统招本科13050171 张家睿男表演创作黑龙江省80 统招本科13050224 蒋睿男表演创作北京市81 统招本科13050278 孟欢男表演创作安徽省82 统招本科13050383 朱润男表演创作浙江省83 统招本科13050561 孙佳雨女表演创作陕西省84 统招本科13050595 张淞男表演创作山东省85 统招本科13050609 陈志雄男表演创作湖南省86 统招本科13050762 黄馨瑶女表演创作重庆市87 统招本科13050808 王一鸣男表演创作黑龙江省88 统招本科13050863 徐好女表演创作北京市89 统招本科13050897 刘源男表演创作陕西省90 统招本科13050930 吴遥女表演创作北京市91 统招本科13050972 张丽双女表演创作辽宁省92 统招本科13051198 李昕哲男表演创作辽宁省93 统招本科13051495 李婉媚女表演创作北京市94 统招本科13051574 齐航男表演创作山东省95 统招本科13051617 眭缘女表演创作北京市96 统招本科13051621 聂子皓男表演创作四川省97 统招本科13051628 刘佳伟男表演创作河北省98 统招本科13051743 吕鹏男表演创作吉林省99 统招本科13051748 范凌子女表演创作湖南省100 统招本科13051760 谷易凌男表演创作四川省101 统招本科13051842 李雪歌女表演创作北京市102 统招本科13051938 王月明女表演创作上海市103 统招本科13051947 高浩钧男表演创作华侨104 统招本科13051985 郭天祺女表演创作辽宁省105 统招本科13052034 白雪女表演创作河南省106 统招本科13052063 孟子义女表演创作吉林省107 统招本科13052082 刘海宽男表演创作吉林省108 统招本科13052129 李韧韧女表演创作河南省109 统招本科13052147 吕晨男表演创作新疆维吾尔自治区110 统招本科13052212 牛然女表演创作辽宁省111 统招本科13052345 朱哲健男表演创作浙江省112 统招本科13052349 陆俐伶女表演创作江苏省113 统招本科13052378 谢璐瑶女表演创作浙江省114 统招本科13052478 杨悦女表演创作北京市115 统招本科13052560 张爽男表演创作黑龙江省116 统招本科13052570 谢欣贝女表演创作北京市117 统招本科13052587 张鹏男表演创作内蒙古自治区118 统招本科13052622 王一菲女表演创作北京市119 统招本科13052662 徐光夫男表演创作北京市120 统招本科13052682 陈瑶女表演创作四川省121 统招本科13052726 文成良敬女表演创作新疆维吾尔自治区122 统招本科13052757 杜孟云女表演创作山东省123 统招本科13052806 杨赢女表演创作黑龙江省124 统招本科13052828 陈泓宇男表演创作重庆市125 统招本科13052838 王军芳女表演创作辽宁省126 统招本科13052844 常轩语男表演创作山西省127 统招本科13052858 熊欣洋女表演创作江西省128 统招本科13052864 张警女表演创作北京市129 统招本科13052919 龙雨濛女表演创作北京市130 统招本科13052952 余金金女表演创作广东省131 统招本科13052993 傅姝阳女表演创作四川省132 统招本科13053012 李俊瑶女表演创作山东省133 统招本科13053083 李丹女表演创作广西壮族自治区134 统招本科13053122 秦天宇男表演创作黑龙江省135 统招本科13053167 贺开朗男表演创作重庆市136 统招本科13053195 袁欣女表演创作广东省137 统招本科13053222 张鑫女表演创作广东省138 统招本科13053223 张晚意男表演创作湖北省139 统招本科13053287 华雯女表演创作上海市140 统招本科13053355 孙晓伦女表演创作山东省141 统招本科13053436 邸楚女表演创作黑龙江省142 统招本科13053477 张思宇男表演创作黑龙江省143 统招本科13053494 叶卓明男表演创作广东省144 统招本科13053586 何龙龙男表演创作安徽省145 统招本科13053608 彭昱菲女表演创作湖北省146 统招本科13053687 牛明晨女表演创作北京市147 统招本科13053694 王艺麟男表演创作山东省148 统招本科13053733 何曼睿女表演创作辽宁省149 统招本科13053812 张芸鹭女表演创作辽宁省150 统招本科13053889 王浩轩男表演创作四川省151 统招本科13053933 崔丙林男表演创作河北省152 统招本科13054019 王雁泽女表演创作辽宁省153 统招本科13054402 钟宛霖女表演创作辽宁省154 统招本科13060010 魏征男电影制作A新疆维吾尔自治区155 统招本科13060023 白言文女电影制作A山东省156 统招本科13060044 路闻川男电影制作A广东省157 统招本科13060061 王晴女电影制作A辽宁省158 统招本科13060098 张铠麟男电影制作A北京市159 统招本科13060122 解明璋男电影制作A北京市160 统招本科13060124 冯军汉男电影制作A北京市161 统招本科13060128 陈想男电影制作A广东省162 统招本科13060134 杨雨果男电影制作A香港特别行政区163 统招本科13060184 李天宇男电影制作A山西省164 统招本科13060227 李蹊成男电影制作A河北省165 统招本科13060243 郑培科男电影制作A山东省166 统招本科13060282 李博文男电影制作A陕西省167 统招本科13060342 刘珊宁女电影制作A福建省168 统招本科13060360 肖溥伦男电影制作A北京市169 统招本科13060429 冯敬涛男电影制作A山东省170 统招本科13060488 徐子琛男电影制作A河北省171 统招本科13070029 余鑫艺女电影制作B北京市172 统招本科13070036 毛秉坤男电影制作B北京市173 统招本科13070050 刁鲁垣男电影制作B江苏省174 统招本科13070100 许雅璇女电影制作B北京市175 统招本科13070185 杜云涛男电影制作B辽宁省176 统招本科13070186 夏昊男电影制作B海南省177 统招本科13070233 陈帅男电影制作B北京市178 统招本科13080018 王江村男电影录音河北省179 统招本科13080022 朱婕女电影录音湖南省180 统招本科13080023 安丛笑女电影录音北京市181 统招本科13080036 张天乐鸥女电影录音山东省182 统招本科13080043 王惠莹女电影录音辽宁省183 统招本科13080047 谷思豪男电影录音北京市184 统招本科13080058 王玉琪女电影录音北京市185 统招本科13080059 高杉杉女电影录音北京市186 统招本科13080068 冯天舟男电影录音山东省187 统招本科13080071 刘书臣男电影录音北京市188 统招本科13080087 王天戈男电影录音北京市189 统招本科13080094 孙垚淼男电影录音山东省190 统招本科13080100 杨雪女电影录音北京市191 统招本科13080107 张星宇女电影录音北京市192 统招本科13080123 叶璟女电影录音北京市193 统招本科13080127 张振宇男电影录音广东省194 统招本科13080134 乐子男电影录音浙江省195 统招本科13080137 王昱彤女电影录音吉林省196 统招本科13080139 陈越秋爽女电影录音贵州省197 统招本科13080148 杨天伦男电影录音江苏省198 统招本科13080153 赵岳松男电影录音北京市199 统招本科13080154 姜程瀚男电影录音山东省200 统招本科13080157 唐潮男电影录音北京市201 统招本科13080174 冷秋璇女电影录音四川省202 统招本科13080205 方敏娜女电影录音安徽省203 统招本科13080214 周子钰女电影录音辽宁省204 统招本科13080220 王建君男电影录音辽宁省205 统招本科13080235 王佳楠女电影录音北京市206 统招本科13080249 李雅萌女电影录音山东省207 统招本科13080257 刘乐鑫男电影录音天津市208 统招本科13080298 王诗瑞女电影录音湖北省209 统招本科13080311 申由甲女电影录音江苏省210 统招本科13090001 郭思萌女音乐制作辽宁省211 统招本科13090004 郝斌钦男音乐制作山东省212 统招本科13090005 孙卓女音乐制作河南省213 统招本科13090019 吴昊女音乐制作北京市214 统招本科13090031 周原申男音乐制作福建省215 统招本科13090032 吕晴女音乐制作广东省216 统招本科13090039 曾楚瑜女音乐制作广东省217 统招本科13090044 丁可女音乐制作广东省218 统招本科13090056 陈希瑞女音乐制作河南省219 统招本科13090080 李博海男音乐制作吉林省220 统招本科13090082 蓝天晓女音乐制作北京市221 统招本科13090113 穆亚蝶女音乐制作陕西省222 统招本科13090114 姜南印男音乐制作辽宁省223 统招本科13090120 韩天一女音乐制作山东省224 统招本科13100026 张婧雯女数字媒体辽宁省225 统招本科13100053 唐健为男数字媒体台湾省226 统招本科13100114 陈颖乔女数字媒体广东省227 统招本科13110005 彭剑晗男电影美术设计湖南省228 统招本科13110008 梁博媛女电影美术设计北京市229 统招本科13110025 陈奥男电影美术设计北京市230 统招本科13110030 李想男电影美术设计宁夏回族自治区231 统招本科13110037 张耕艺男电影美术设计辽宁省232 统招本科13110046 姜智元男电影美术设计山东省233 统招本科13110049 邓泽斌男电影美术设计北京市234 统招本科13110053 夏大拙男电影美术设计北京市235 统招本科13110129 郭力特男电影美术设计江苏省236 统招本科13110136 陈佳慧女电影美术设计江西省237 统招本科13110206 时煜男电影美术设计北京市238 统招本科13110234 任中博男电影美术设计辽宁省239 统招本科13120014 孙立超男电影特技设计甘肃省240 统招本科13120020 乔梁男电影特技设计北京市241 统招本科13120028 朱雯静女电影特技设计安徽省242 统招本科13120032 上官瑞豪男电影特技设计北京市243 统招本科13120068 王若晨女电影特技设计北京市244 统招本科13120077 潘心喆男电影特技设计河南省245 统招本科13120090 刘洋女电影特技设计广东省246 统招本科13120095 拓浩男电影特技设计陕西省247 统招本科13120100 王启康男电影特技设计山西省248 统招本科13120112 于乐女电影特技设计黑龙江省249 统招本科13120154 孙长颖男电影特技设计山东省250 统招本科13120164 徐可男电影特技设计北京市251 统招本科13130001 韩芸晴女电影人物造型设计广东省252 统招本科13130003 尤佳女电影人物造型设计北京市253 统招本科13130005 马紫箫女电影人物造型设计北京市254 统招本科13130010 陈安琪女电影人物造型设计北京市255 统招本科13130025 吉明珠女电影人物造型设计河南省256 统招本科13130040 王静萱女电影人物造型设计河北省257 统招本科13130041 孟凡迪女电影人物造型设计北京市258 统招本科13130046 赫然女电影人物造型设计吉林省259 统招本科13130085 李文硕女电影人物造型设计河北省260 统招本科13130198 张乐女电影人物造型设计北京市261 统招本科13140001 董路女电影(电视)虚拟空间设计河北省262 统招本科13140002 胡津铖男电影(电视)虚拟空间设计北京市263 统招本科13140003 田力夫男电影(电视)虚拟空间设计湖北省264 统招本科13140007 王军舒女电影(电视)虚拟空间设计山东省265 统招本科13140011 杨迪男电影(电视)虚拟空间设计贵州省266 统招本科13140013 郑希浩男电影(电视)虚拟空间设计山东省267 统招本科13140014 邓思瑶女电影(电视)虚拟空间设计北京市268 统招本科13140020 张依雪女电影(电视)虚拟空间设计上海市269 统招本科13140049 王拓男电影(电视)虚拟空间设计浙江省270 统招本科13140066 李婧靖女电影(电视)虚拟空间设计北京市271 统招本科13140069 夏博伦男电影(电视)虚拟空间设计北京市272 统招本科13140082 石鑫男电影(电视)虚拟空间设计北京市273 统招本科13140088 段芷宜女电影(电视)虚拟空间设计北京市274 统招本科13150002 吴金泽男电影(电视)广告导演内蒙古自治区275 统招本科13150003 贾川男电影(电视)广告导演四川省276 统招本科13150004 陈奕全男电影(电视)广告导演广东省277 统招本科13150005 谢易琳女电影(电视)广告导演广东省278 统招本科13150011 梁兆天男电影(电视)广告导演广东省279 统招本科13150019 孟坤宇男电影(电视)广告导演山东省280 统招本科13150026 吴彦卿男电影(电视)广告导演山西省281 统招本科13150044 孙羽男电影(电视)广告导演安徽省282 统招本科13150054 赵晓洁女电影(电视)广告导演山东省283 统招本科13150056 吴竹君女电影(电视)广告导演江西省284 统招本科13150109 郭笑男电影(电视)广告导演广东省285 统招本科13150130 夏翰杰男电影(电视)广告导演上海市286 统招本科13150171 刘芳育男电影(电视)广告导演北京市287 统招本科13160001 王辰女电影(电视)管理河南省288 统招本科13160005 刘道亚女电影(电视)管理吉林省289 统招本科13160057 郑子函男电影(电视)管理辽宁省290 统招本科13160088 李景宇男电影(电视)管理山东省291 统招本科13160090 李杨女电影(电视)管理山东省292 统招本科13160105 李遥女电影(电视)管理山东省293 统招本科13160122 郭健男电影(电视)管理陕西省294 统招本科13160124 袁月雯女电影(电视)管理北京市295 统招本科13160137 欧阳征诚男电影(电视)管理广东省296 统招本科13160144 冉晓彤女电影(电视)管理湖北省297 统招本科13160154 朱荟瑾女电影(电视)管理湖北省298 统招本科13160156 陈劭华男电影(电视)管理江苏省299 统招本科13160166 姚思成男电影(电视)管理安徽省300 统招本科13160344 付晓朦女电影(电视)管理北京市301 统招本科13160347 王宇翔男电影(电视)管理安徽省302 统招本科13160437 钟妍妍女电影(电视)管理香港特别行政区303 统招本科13160480 崔嘉涛男电影(电视)管理陕西省304 统招本科13160543 曹益萌女电影(电视)管理北京市305 统招本科13160555 罗申男电影(电视)管理湖北省306 统招本科13160564 杜青女电影(电视)管理山东省307 统招本科13160575 王潞桐男电影(电视)管理北京市308 统招本科13160616 王思涵女电影(电视)管理山东省309 统招本科13160637 洪钰钦男电影(电视)管理湖北省310 统招本科13160683 李嘉琪女电影(电视)管理安徽省311 统招本科13160719 左奇男电影(电视)管理重庆市312 统招本科13160740 刘艺松男电影(电视)管理山东省313 统招本科13160758 王赫伦男电影(电视)管理山东省314 统招本科13160760 向续蕊女电影(电视)管理湖南省315 统招本科13160764 张文嘉女电影(电视)管理北京市316 统招本科13160767 周晨女电影(电视)管理河南省317 统招本科13160819 王婉璠女电影(电视)管理广东省318 统招本科13160831 凌英拉女电影(电视)管理广东省319 统招本科13160848 罗一灵女电影(电视)管理江西省320 统招本科13160850 易琦女电影(电视)管理湖南省321 统招本科13160864 金少玮男电影(电视)管理山东省322 统招本科13160913 王纪章男电影(电视)管理河南省323 统招本科13161020 龙彦妤女电影(电视)管理湖南省324 统招本科13161086 魏晨尧男电影(电视)管理河南省325 统招本科13161131 王天乐女电影(电视)管理山东省326 统招本科13161222 胡嘉城男电影(电视)管理辽宁省327 统招本科13170003 王文炟男院线经营管理山东省328 统招本科13170007 许静女院线经营管理江苏省329 统招本科13170009 王帆女院线经营管理北京市330 统招本科13170053 朱雯婷女院线经营管理广东省331 统招本科13170058 安宁男院线经营管理安徽省332 统招本科13170068 赵桐女院线经营管理江苏省333 统招本科13170069 唐莹女院线经营管理湖南省334 统招本科13170076 唐静文女院线经营管理湖南省335 统招本科13170082 郑斯敏女院线经营管理广东省336 统招本科13170087 王诗迪女院线经营管理辽宁省337 统招本科13170110 闫新元男院线经营管理山西省338 统招本科13170265 匡梓杰男院线经营管理河北省339 统招本科13170383 倪浩峰男院线经营管理广西壮族自治区340 统招本科13170386 王坤宇男院线经营管理山东省341 统招本科13170395 王馨可迪女院线经营管理江苏省342 统招本科13170413 欧阳俊伟男院线经营管理广东省343 统招本科13170445 王智洲男院线经营管理山西省344 统招本科13170455 涂涵聃女院线经营管理广东省345 统招本科13170462 秦桐男院线经营管理山西省346 统招本科13170514 吴泽科男院线经营管理广东省347 统招本科13170539 郝雨濛女院线经营管理山东省348 统招本科13170574 赵冠华男院线经营管理山东省349 统招本科13170592 刘奕麟男院线经营管理湖南省350 统招本科13170594 文佳武男院线经营管理湖南省351 统招本科13170623 黄娇妍女院线经营管理湖南省352 统招本科13170648 胡沫初女院线经营管理北京市353 统招本科13170690 韩沁苇女院线经营管理四川省354 统招本科13170756 张天昊男院线经营管理河北省355 统招本科13170760 周莹畅女院线经营管理广东省356 统招本科13170798 乔泺茜女院线经营管理山东省357 统招本科13170809 覃天男院线经营管理北京市358 统招本科13170811 腾格男院线经营管理北京市359 统招本科13170842 陈韵宇男院线经营管理四川省360 统招本科13170927 胡宇晗女院线经营管理福建省361 统招本科13170931 杨朵女院线经营管理北京市362 统招本科13180004 王述津男图片摄影广东省363 统招本科13180026 谢怡雪女图片摄影广东省364 统招本科13180036 杨博炜男图片摄影浙江省365 统招本科13180038 郑亦明男图片摄影北京市366 统招本科13180069 隗合元男图片摄影北京市367 统招本科13180081 张鹤同男图片摄影北京市368 统招本科13180112 陈柯颖女图片摄影四川省369 统招本科13180127 谭皓月女图片摄影海南省370 统招本科13180128 王然女图片摄影北京市371 统招本科13180133 付轶铭男图片摄影广东省372 统招本科13180176 屠芮铭女图片摄影北京市373 统招本科13180192 江欣芷女图片摄影广东省374 统招本科13180196 刘远征女图片摄影辽宁省375 统招本科13180225 刘明逸男图片摄影河北省376 统招本科13180246 上官静雨女图片摄影河南省377 统招本科13180269 熊宇杰男图片摄影广东省378 统招本科13180273 王淳平男图片摄影四川省379 统招本科13180287 曹乙迟女图片摄影北京市380 统招本科13180304 侯砚卿男图片摄影贵州省381 统招本科13180310 吴若曦女图片摄影山东省382 统招本科13180375 孙嘉玉女图片摄影山东省383 统招本科13190001 张至元男商业摄影山东省384 统招本科13190007 李梓维男商业摄影广东省385 统招本科13190009 马健男商业摄影吉林省386 统招本科13190014 李丹女商业摄影河北省387 统招本科13190023 官羽东男商业摄影广东省388 统招本科13190025 徐嘉威男商业摄影香港特别行政区389 统招本科13190028 秦榕女商业摄影吉林省390 统招本科13190036 李欣女商业摄影山西省391 统招本科13190046 庄馥妃女商业摄影广东省392 统招本科13190047 刀承远男商业摄影云南省393 统招本科13190051 刘照女商业摄影河北省394 统招本科13190052 李奕龙男商业摄影河北省395 统招本科13190060 李慧玲女商业摄影广东省396 统招本科13190065 刘姝言女商业摄影山东省397 统招本科13190067 李金泽男商业摄影河北省398 统招本科13190070 姜思汀女商业摄影辽宁省399 统招本科13190092 李泽萌女商业摄影湖南省400 统招本科13190099 张晓艺女商业摄影广东省401 统招本科13190109 温静女商业摄影北京市402 统招本科13190129 刁然女商业摄影北京市403 统招本科13190134 区嘉伦男商业摄影广东省404 统招本科13190139 沈赓男商业摄影江苏省405 统招本科13200033 迟旭男漫画北京市406 统招本科13200041 任静女漫画北京市407 统招本科13200048 邵霄女漫画辽宁省408 统招本科13200107 陈星竹女漫画陕西省409 统招本科13200120 杨曦明男漫画广西壮族自治区410 统招本科13200138 那果达女漫画北京市411 统招本科13200159 侯雨浓男漫画北京市412 统招本科13200180 詹嘉敏女漫画广东省413 统招本科13200183 郭兰馨女漫画山东省414 统招本科13200188 何昱莹女漫画辽宁省415 统招本科13200192 王一如女漫画浙江省416 统招本科13200205 敬祺铭男漫画四川省417 统招本科13200218 袁岑漾女漫画湖南省418 统招本科13200320 黄炜锋男漫画广东省419 统招本科13200333 朱梦笔女漫画浙江省420 统招本科13200410 董旭光男漫画河北省421 统招本科13210012 吕佳鑫女动画艺术北京市422 统招本科13210030 盛彤女动画艺术河北省423 统招本科13210042 付佳艺女动画艺术北京市424 统招本科13210098 梁家蜜男动画艺术北京市425 统招本科13210108 黄丹愉女动画艺术广西壮族自治区426 统招本科13210115 王雨佳女动画艺术陕西省427 统招本科13210138 景彦哲男动画艺术河北省428 统招本科13210154 平凡女动画艺术天津市429 统招本科13210177 曹一佳女动画艺术北京市430 统招本科13210181 韩蜀乔女动画艺术北京市431 统招本科13210185 王文韬男动画艺术陕西省432 统招本科13210188 焦晓鹏男动画艺术北京市433 统招本科13210242 郝子然男动画艺术河北省434 统招本科13210247 何塬男动画艺术浙江省435 统招本科13210353 张一鸣男动画艺术北京市436 统招本科13210376 李思婳女动画艺术广西壮族自治区437 统招本科13210382 吴婷女动画艺术安徽省438 统招本科13220004 褚芯梅女电脑动画北京市439 统招本科13220010 汪悠女电脑动画云南省440 统招本科13220035 李海铭男电脑动画重庆市441 统招本科13220045 陈逸鸣男电脑动画四川省442 统招本科13220062 任帅宇男电脑动画辽宁省443 统招本科13220096 邹鹏宇男电脑动画广西壮族自治区444 统招本科13220109 余文慧女电脑动画广东省445 统招本科13220110 张佳慧女电脑动画河北省446 统招本科13220117 曾阶男电脑动画四川省447 统招本科13220123 李玙璠男电脑动画河南省448 统招本科13220143 崔晓宇男电脑动画山西省449 统招本科13220181 杨雨龙男电脑动画河北省450 统招本科13220187 陈思尧女电脑动画四川省451 统招本科13220192 李旭朋男电脑动画福建省452 统招本科13220198 张文正女电脑动画广东省453 统招本科13220224 王春婷女电脑动画四川省454 统招本科13220321 赵文溪女电脑动画四川省455 统招本科13220328 李雄杰男电脑动画吉林省456 统招本科13220329 车恩静女电脑动画黑龙江省457 统招本科13220340 吴征女电脑动画山东省458 统招本科13230005 高尔蔓女游戏设计广东省459 统招本科13230006 程元女游戏设计重庆市460 统招本科13230009 高达男游戏设计北京市461 统招本科13230016 韩建磊男游戏设计河北省。
1外国哲学106503000010007杨立4222927691459拟录取2外国哲学106503000010008张忆凡3632537286411拟录取3外国哲学106503000010004刘加翠3452237490387拟录取4外国哲学106503000010009程龙飞3001978393373拟录取5外国哲学104863113006470潘莹莹7694170拟录取6外国哲学102843210106460张兆7094164拟录取7外国哲学106973161161233艾贇7089159拟录取8外国哲学106113001010007刘道勇76811579外国哲学102463210000086许森736113410外国哲学100023110001297刘俐伶716213311外国哲学106503000010002胡继宗34424580493741课程与教学论106503000020041陈大娟3442038680369拟录取2课程与教学论106503000020020朱琦3121859187363拟录取3课程与教学论106503000020031刘洋3182117280363拟录取4课程与教学论106503000020004刘优丽3532147475363拟录取5课程与教学论106503000020016张娟3362017288361拟录取6课程与教学论106503000020043秦国俊3271898387359拟录取7课程与教学论106503000020034胡君3281947786357拟录取8课程与教学论106503000020021张伟3522126678356拟录取9课程与教学论106503000020046林红梅3372136773353拟录取10课程与教学论106503000020040汪小红3462026978349拟录取11课程与教学论106503000020029王照331190707833812课程与教学论106503000020028杨露苹310193648033713课程与教学论106503000020007杨芳317191627933214课程与教学论106503000020009刘芳32519863713321文艺学106503000030001宋骁3732369189416拟录取2文艺学104233037523347王锦9193184拟录取3文艺学106103050100237高丽男9292184拟录取1语言学及应用语言学106503000040013朱丽莉4042767287435拟录取2语言学及应用语言学106503000040005李冰4112707687433拟录取3语言学及应用语言学106503000040016万乔3872578688431拟录取4语言学及应用语言学100303020120396杨璐9393186拟录取5语言学及应用语言学100653207410528高昳君7994173拟录取6语言学及应用语言学100303020120481吴冰磊8289171拟录取7语言学及应用语言学100303020120348张静8485169拟录取8语言学及应用语言学106103050100852付敏8188169拟录取9语言学及应用语言学104233037256762翟莉莉7989168拟录取10语言学及应用语言学104863111017346郑珊808716711语言学及应用语言学106103050100886喻子千76881641汉语言文字学106503000050002郑薇3772616384408拟录取2汉语言文字学104863111017711李斐8491175拟录取3汉语言文字学101833110212296刘姳如7795172拟录取4汉语言文字学106103050100911李思佳7794171拟录取5汉语言文字学102693210105003张婷7694170拟录取6汉语言文字学103193140900608葛荣7888166拟录取7汉语言文字学105583111104315李璐7492166拟录取8汉语言文字学106353405109696叶文李7192163拟录取9汉语言文字学106353405109691黄宁宁7286158拟录取10汉语言文字学100303020120423杨晓燕698515411汉语言文字学102703000001972蒋倩倩668815412汉语言文字学103193410611765吴美玲678515213汉语言文字学102693211002010潘晶虹698014914汉语言文字学104873000135423智雅君618314415汉语言文字学100943057000031燕晓阳61801411中国现当代文学106503000060006谭冰雪3702268583394拟录取2中国现当代文学102003105202041郭智洋9089179拟录取3中国现当代文学103353000012065董威里8786173拟录取4中国现当代文学106103050100457周燕春8885173拟录取5中国现当代文学107183141046452马露莹8584169拟录取6中国现当代文学103353000014578宋媛8284166拟录取7中国现当代文学102853210604192武连娣8074154拟录取1比较文学与世界文学106503000070002杨广慧3912528891431拟录取2比较文学与世界文学106503000070001黄留威3592217389383拟录取3比较文学与世界文学106103050100704郭娟9185176拟录取4比较文学与世界文学103463210001553程玉香7886164拟录取1文艺与传媒106503000080003赵鑫3842628794443拟录取2文艺与传媒106503000080005段如翼3642349488416拟录取3文艺与传媒100753060000233翟乐遥9392185拟录取4文艺与传媒105583170105805李玲莉9190181拟录取5文艺与传媒103573210002730纪政雪子9088178拟录取6文艺与传媒105593210009084王明娟8590175拟录取7文艺与传媒104863103014137吕承昭8387170拟录取8文艺与传媒106353309105946仲雪琴8978167拟录取9文艺与传媒106353309105782周金鑫7888166拟录取10文艺与传媒107183161220815孙洪禛8281163拟录取11文艺与传媒105583170105715高立祥907216212文艺与传媒106103050300213何锋906815813文艺与传媒105593210002815刘馨806914914文艺与传媒106103050300474李宁806914915文艺与传媒100753061000120张超806814816文艺与传媒103193320802823林晓露737514817文艺与传媒107183134125622郭海娜88缺考881比较制度学106503000160001王虹4282838997469拟录取2比较制度学106503000160002刘师言3602348196411拟录取3比较制度学100403020000413赵健哲9295187拟录取4比较制度学100363950608106陈黎8392175拟录取5比较制度学102843211311971孔维亚91731646比较制度学102843210608788王培培85641497比较制度学100023122409759李伶俐80631431国际商务文化106503000170002宋璐3792438598426拟录取2国际商务文化106503000170004周洋阳3602517794422拟录取3国际商务文化106503000170003傅绪亚3692417896415拟录取4国际商务文化118463003000784丁凤娟8196177拟录取1俄语语言文学106503000100009孟灵3842429390425拟录取2俄语语言文学106503000100006苏崇阳3982498686421拟录取3俄语语言文学106503000100010胡悦3772328989410拟录取4俄语语言文学106503000100005陈亚星3812418485410拟录取5俄语语言文学106503000100011夏琳3842417986406拟录取6俄语语言文学106503000100014古维奥3592299284405拟录取7俄语语言文学106503000100003陈静3782477583405拟录取8俄语语言文学106503000100015杨东升3802337690399拟录取9俄语语言文学106503000100004葛承旭3552308083393拟录取10俄语语言文学106503000100012李培霞3782288277387拟录取11俄语语言文学106503000100017张洁3602257581381调笔译拟录取12俄语语言文学106503000100001陈寞3632118682379调笔译拟录取1俄语笔译106503000200003汪梦玫3873208188489拟录取2俄语笔译106503000200004张波4073367476486拟录取3俄语笔译106503000200001王丹3622927483449拟录取4俄语笔译102123105024502吉进平8488172拟录取5俄语笔译102713211801449陆持7890168拟录取6俄语笔译100313050202018淡宁宁7887165拟录取7俄语笔译101833810308129吕卓航7087157拟录取8俄语笔译102123105021142常丹丹7575150拟录取9俄语笔译102123105024074商婷婷7270142拟录取1俄语口译106503000210004褚婧汝4023359195521拟录取2俄语口译106503000210002康晨3813189090498拟录取3俄语口译106503000210001郝心洁3993268191498拟录取4俄语口译106503000210005白凌霄3873138391487拟录取5俄语口译106503000210003王昕然3672957675446拟录取6俄语口译103843210620013石磊8975164拟录取7俄语口译102713211801458崔夏8178159拟录取8俄语口译102003106702974沙小影8474158拟录取9俄语口译104253540001646卢芸芸6872140拟录取1法语语言文学106503000110041罗晓娟3782307879387拟录取2法语语言文学106503000110004袁梦雪3572217289382拟录取3法语语言文学106503000110031钟晋芸3502137593381拟录取4法语语言文学106503000110022曾珍3572247185380拟录取5法语语言文学106503000110015杨美玲3692226788377拟录取6法语语言文学106503000110005马小璇3582097591375拟录取7法语语言文学106503000110036杨倩瑶3722237279374拟录取8法语语言文学106503000110014陈春香3592136784364拟录取9法语语言文学106503000110013张颖斌37422972583591德语语言文学106503000120012周泽芝3832438584412拟录取2德语语言文学106503000120028段倩雯3942529161404拟录取3德语语言文学106503000120027钱晓玉3732407882400拟录取4德语语言文学106503000120013何宇洋3752368282400拟录取5德语语言文学106503000120023齐菲菲3742358578398拟录取6德语语言文学106503000120025李晓阳3542238483390拟录取7德语语言文学106503000120010初亚洲3532069179376拟录取8德语语言文学106503000120024雷蕾3512117377361拟录取9德语语言文学106503000120011马嘉悦3542206872360拟录取10德语语言文学102473411911587陈亚民9282174拟录取11德语语言文学100303020040063毛先勇8488172调笔译拟录取12德语语言文学102473321707080李晨8582167调笔译拟录取13德语语言文学100303010040022钱桐9174165调笔译拟录取14德语语言文学102713212001664彭玥8183164调笔译拟录取15德语语言文学102713212001637沈阳8082162调笔译拟录取16德语语言文学100313050204025李婷7880158调笔译拟录取17德语语言文学100023113208756尉红琛866815418德语语言文学118463005001247余翠翠63811441德语笔译106503000220008高鑫3592968681463拟录取4德语笔译106503000220004张洋3562896168418拟录取2德语笔译102713212001627胡静8772159拟录取3德语笔译102473360109459孔梦婷7679155拟录取5德语笔译100313050204039张淑然6479143拟录取6德语笔译100313050204035杨玉琪63531161德语口译106503000230002卜宗英3893197269460拟录取2德语口译106503000230012柳璐3703107770457拟录取3德语口译106503000230010邱晨3723017475450拟录取4德语口译106503000230013杜翔3623006780447拟录取5德语口译102473370109991刘晋9085175拟录取6德语口译118463005001248贺婷婷8280162拟录取7德语口译118463005001250李丹卉6878146拟录取8德语口译118463005001259韩雪丽776113810德语口译100313050204040崔盼盼64681329德语口译106503000230008田妮36629158614101日语语言文学106503000130023赵小玲3502296680375拟录取2日语语言文学106503000130033王楚楚3752276977373拟录取3日语语言文学100363967509953苏莉8694180拟录取4日语语言文学102713212101875何珊8396179拟录取5日语语言文学100273219110290王玉8288170拟录取6日语语言文学100363167502365张力文7591166拟录取7日语语言文学102713212101833郭婷7686162拟录取8日语语言文学100363967509873赵晓旭6992161拟录取9日语语言文学104863102013164储佳丽7485159拟录取10日语语言文学102713212101707金歌7484158拟录取11日语语言文学118463006001397翁露晗748015412日语语言文学102713212101837雷亚楠777615313日语语言文学104863102013223刘鹏琦767615214日语语言文学100313050205210梁玉静757314815日语语言文学104863102013183冯艳艳717614716日语语言文学100363967509929李情情687614417日语语言文学104863102013180颜士娜627713918日语语言文学100363967509915李静617613719日语语言文学106503000130016张兴辉35020354463031亚非语言文学101723000000644孙雪婷9398191拟录取2亚非语言文学104233037075294李欣悦8891179拟录取3亚非语言文学104233037523282张夏青7464138拟录取4亚非语言文学101723000000686吕真7361134拟录取5亚非语言文学101723000000716张亚雷6965134拟录取6亚非语言文学106503000140004唐怡波38024649943897亚非语言文学106503000140007吕婧37325738873828亚非语言文学106503000140002刘艳40328533633819亚非语言文学106503000140003郑一礼395256476636910亚非语言文学101723000000726刘萌49841331朝鲜语笔译106503000240006李旋4273499587531拟录取2朝鲜语笔译106503000240002沈琳辉3963287989496拟录取3朝鲜语笔译106503000240005彭雨薇3583079095492拟录取4朝鲜语笔译106503000240003权赫3593038795485拟录取1朝鲜语口译106503000250002张欢3603018192474拟录取2朝鲜语口译100313050210021崔晓慧9590185拟录取3朝鲜语口译104233037523270马丽玲8987176拟录取4朝鲜语口译101843100600798常楠8985174拟录取1英语笔译106503000180337张蓝月3833117487472拟录取2英语笔译106503000180472罗爽3853137384470拟录取3英语笔译106503000180257杨成香3712998584468拟录取4英语笔译106503000180329赵立阳3602948184459拟录取5英语笔译106503000180064张毅3723007583458拟录取6英语笔译106503000180037贾文涛3753057083458拟录取7英语笔译106503000180260王乐3642898385457拟录取8英语笔译106503000180243王亚娜3572957684455拟录取9英语笔译106503000180001张欣欣3672997482455拟录取10英语笔译106503000180198雷宇3582957782454拟录取11英语笔译106503000180286蒋勇3612937684453拟录取12英语笔译106503000180056房磊3712938079452拟录取13英语笔译106503000180077方兰燕3572877787451拟录取14英语笔译106503000180179陈凌3582887687451拟录取15英语笔译106503000180140武玉文3662927485451拟录取16英语笔译106503000180465刘雨松3582957284451拟录取17英语笔译106503000180347刘江梅3632996785451拟录取18英语笔译106503000180158丁婉嫕3743026584451拟录取19英语笔译106503000180390胡咏霞3622957183449拟录取20英语笔译106503000180237邓芝华3522867686448拟录取21英语笔译106503000180272谭婵3612887585448拟录取22英语笔译106503000180271古正丹3602927284448拟录取23英语笔译106503000180382康卫红3552857785447拟录取24英语笔译106503000180468谢珍珍3502867883447拟录取25英语笔译106503000180100段春景3733046776447拟录取26英语笔译106503000180137孙二虎3542838379445拟录取27英语笔译106503000180072陈倩3632966782445拟录取28英语笔译106503000180006李茜3652986582445拟录取29英语笔译106503000180125张涛3783026776445拟录取30英语笔译106503000180332黄诗佳3542937279444拟录取31英语笔译106503000180110惠显鑫3532807390443拟录取32英语笔译106503000180197王庆3532886986443拟录取33英语笔译106503000180456鲁陇苗3552917181443拟录取34英语笔译106503000180313杨丽熹3652976581443拟录取35英语笔译106503000180144李莉3602977274443拟录取36英语笔译106503000180230杨婷3582877184442拟录取37英语笔译106503000180423胡昌俊3682917081442拟录取38英语笔译106503000180074曹菊玲3692996578442拟录取39英语笔译106503000180251刘霞3502837385441拟录取40英语笔译106503000180045陈思静3542847384441拟录取41英语笔译106503000180221贾智晨3612916585441拟录取42英语笔译106503000180138王宁3622946582441拟录取43英语笔译106503000180355易小又3542847581440拟录取44英语笔译106503000180018田野3592917178440拟录取45英语笔译106503000180204王晋花3562847085439拟录取46英语笔译106503000180258王新悦3602856886439拟录取47英语笔译106503000180379叶建美3612907178439拟录取48英语笔译106503000180467潘燕3512926780439拟录取49英语笔译106503000180475高瑞婕3702996278439拟录取50英语笔译106503000180222闫丹3542787486438拟录取51英语笔译106503000180248唐小寒3552847282438拟录取52英语笔译106503000180031李婷3652946381438拟录取53英语笔译106503000180354李春艳3502837083436拟录取54英语笔译106503000180184陈昊力多3582846388435拟录取55英语笔译106503000180306彭芳3532856783435拟录取56英语笔译106503000180228项阳3522866980435拟录取57英语笔译106503000180098周晓梅3512827676434拟录取58英语笔译106503000180025张宏霞3502896283434拟录取59英语笔译106503000180225籍天璐3592866383432拟录取60英语笔译106503000180022李小兵3522866383432拟录取61英语笔译106503000180362罗欢3522876877432拟录取62英语笔译106503000180131任蔓莉3592926079431拟录取63英语笔译106503000180027张鹏3512806783430拟录取64英语笔译106503000180351谭雪忆3612836285430拟录取65英语笔译106503000180334王明睿3632886478430拟录取66英语笔译106503000180030朱子壮3612936077430拟录取67英语笔译106503000180113卢伟3562856282429拟录取68英语笔译106503000180148庄红卫3502826383428拟录取69英语笔译106503000180010黄强3512856974428拟录取70英语笔译106503000180132王婷3502856479428拟录取71英语笔译106503000180145刘玉芬3502776486427拟录取72英语笔译106503000180261邹梦薇3532786683427拟录取73英语笔译106503000180159薛萌3652906572427拟录取74英语笔译106503000180015张立宁3642876277426拟录取75英语笔译106503000180203柴硌3532846180425拟录取76英语笔译106503000180302张志鹏3502826973424拟录取77英语笔译106503000090145杨强3708378161拟录取78英语笔译106503000090485李敏3557782159拟录取79英语笔译106503000090183李小芳3807779156拟录取80英语笔译106503000090059舒敏敏3577382155拟录取81英语笔译106503000090327罗浩3527479153拟录取82英语笔译106503000090232姚瑶3656983152拟录取83英语笔译106503000090006陈伟然3696980149拟录取84英语笔译106503000090451江雨婷3666782149拟录取85英语笔译106503000150022沈戟3596880148拟录取86英语笔译106503000090099李萍3586979148拟录取87英语笔译106503000090361傅瑶3526880148拟录取88英语笔译106503000150052林雨楣3546186147拟录取89英语笔译106503000150041刘静3527077147拟录取90英语笔译106503000090104张毅3586977146拟录取91英语笔译106503000090076芦霞3546581146学术补录92英语笔译106503000090079肖飞3676877145拟录取93英语笔译106503000090429杨洁350648014494英语笔译106503000180294杨亚稀36528956794241英语口译106503000190134顾星梅4113287388489拟录取2英语口译106503000190147余珊珊3783098586480拟录取3英语口译106503000190015李斌3843147489477拟录取4英语口译106503000190158李哲3933156782464拟录取5英语口译106503000190133田新吉3793066987462拟录取6英语口译106503000190109汪颖3743067383462拟录取7英语口译106503000190018黄蕾3673037385461拟录取8英语口译106503000190113向月婷3652927984455拟录取9英语口译106503000190157郭云莉3572926792451拟录取10英语口译106503000190166吴新宇3552878083450拟录取11英语口译106503000190230朱毅松3642916791449拟录取12英语口译106503000190212樊皇3522887090448拟录取13英语口译106503000190097王星耀3502838282447拟录取14英语口译106503000190209陈柯梦3672877386446拟录取15英语口译106503000190037周友德3732987078446拟录取16英语口译106503000190029陈治3552897977445拟录取17英语口译106503000190249赵然3582937379445拟录取18英语口译106503000190217曾瑶3713047467445拟录取19英语口译106503000190035熊辉3612907183444拟录取20英语口译106503000190216杨潇潇3572936289444拟录取21英语口译106503000190208马丽3542808380443拟录取22英语口译106503000190119范小姝3712946881443拟录取23英语口译106503000190054原冬阳3522867779442拟录取24英语口译106503000190051王静3502867382441拟录取25英语口译106503000190112曹小凡3582907081441拟录取26英语口译106503000190165刘舸3512867182439拟录取27英语口译106503000190215刘左己3592876785439拟录取28英语口译106503000190213陈强3622976973439拟录取29英语口译106503000190107杨雅茹3532837282437拟录取30英语口译106503000190130王妮娜3572917175437拟录取31英语口译106503000190033徐三姗3712996375437拟录取32英语口译106503000190010李晓燕3633007066436拟录取33英语口译106503000190025詹擎天3532836686435拟录取34英语口译106503000190195蒋方舟3502847873435拟录取35英语口译106503000190185陈燕3562867277435拟录取36英语口译106503000190068范依鸣3692896878435拟录取37英语口译106503000190103雷玲3552857178434拟录取38英语口译106503000190032陶崔未3602877666429拟录取39英语口译106503000190111李秀3722996960428拟录取40英语口译106503000190095朱靓3322726884424拟录取41英语口译106503000190030雷庭3532847068422拟录取42英语口译106503000190177马也3562776776420拟录取43英语口译106503000190044夏露茜3532837661420拟录取44英语口译106503000190024易茂琴3602867262420拟录取45英语口译106503000090437吴丹3538380163拟录取46英语口译106503000090283陈颍3556390153拟录取47英语口译106503000090332金翠3746585150拟录取48英语口译106503000090435舒飞洋3667077147拟录取49英语口译106503000090334王玉和3526778145拟录取50英语口译106503000090007李歌3687066136拟录取51英语口译106503000090133郑进3506669135拟录取52英语口译106503000090153鲁红艳3506962131拟录取53英语口译106503000090536冯雯3556061121拟录取54英语口译106503000190009舒燕361296715842555英语口译106503000190092李莉莉360297675742156英语口译106503000090084张庆3567258130学术学位名额调整,补录050201英语语言文学专业考生2人31英语语言理论与应用106503000090076芦霞3542197576370拟录取14文化研究106503000090107郭营营3562198177377拟录取。
北京工商大学2013年硕士研究生复试名单(第一批)材料与机械工程学院付晓宇戈翔耿叶郭赫楠何梦琴胡保华胡俊杰胡赛峰蒋约林雷永姚黎进远李峰李鹤李晶李晓光李杨李云华廉丽冰梁韬刘茜刘倩倩鲁浩远马栋司丽琦宋晓龙万璐明王恒王靖宇王荃王珊珊王亚南王乙博吴健鹏伍璇许梦兰杨雅瑜杨溢锴于瑞江郁子仪翟峰翟庆彬张东梅张文彪张晓宇张永佳赵坤赵秀华周强邹文奇法学院/马克思主义学院白杨蔡文杰陈衡平陈洪义陈玉哲杜伟伟段海霞范富军付琪韩晓雪胡妙语黄冠雄黄梅焦如磊焦阳康彤彤赖兴朋李传琳李达李佳慧李利李响李秀峰李亚贞刘博刘慧芹刘婧朵刘瑞泉刘通卢文生陆娜吕秋香罗光金骆奕彤马玉萌孟宪宁牟秉芸牛子亮潘佳浔齐硕冉琳琳宋姗姗田鸿飞王飞王飞翔王红霞王梦婷王曦王喜团王秀杰王予予王园园魏婧魏磊磊夏碧婷肖宁肖亚芸徐华徐紫嫣闫希晏雨茹杨亚静叶帆尤式笋于日辉袁小美张建英张净张骏张萌张强新张思楠张宣红张正琦赵尔旋赵继红赵京红赵晓莹周晨龚周楠朱程程邹金宏珠岚其木格计算机与信息工程学院白宇清常立敏陈俐伶陈晓崔世杰邓璧莹窦颖高成高峰郭俊才郭艺何刚胡玉君黄亚楠姜戈姜欢姜万勇姜旭蒋菲焦瑶瑶焦志鑫解贵龙康肖钰赖龙李彩虹李俊平李康飞李桥林晓蕾刘戬刘硕刘亚奇刘月卢孟维卢昱章吕豪罗海涛罗芃瑜罗旭马艳发毛昱苗贝贝彭森秦军立邵发沈卓孙艳艳邰庆月谈鸿燕谭旭升田嫦丽田飞万雅娟王博文王芳王福生王蒙王松王一品王昭洋位丽娜温延立吴丹习勇向灵孜肖璐彬薛蕊闫宏浩杨彪杨昆程杨慕钊杨毅姚俊杨于意余嘉琪余愿张芳芳张敬蕤张凌燕张梦张诗荟张学伟张扬张阳伟张音张子龙赵俊华赵威赵雨薇甄远刚周美景朱清伟经济学院安云白钰卜亚婷蔡文婷蔡振武曹丹丹查至真柴晓雪陈忱陈方洲陈飞陈琨陈丽霞陈玲陈雯雯陈煜陈忠程爽程小慧董丽丽董陆然董巍巍杜文华段捷方礼蓉冯建勋耿燕顾军晓顾湘管世超郭晨龙郭慧君韩万权郝召何地何珺侯鹏候倩胡爱博胡雪莹胡雅君胡亚峰胡月黄嵘黄帅黄维黄祖琰霍奕彤贾利英贾琦姜昊姜雪蒋敏景慧鞠晓玲孔博寇跃晨李春晓李殿宇李芳莹李国玉李佳李家文李建聪李健李京育李婧李可李坤格李丽阳李露李敏李爽李腾飞李婷婷李为李昕李扬李玉晶李宗明梁瑞霞廖雪梅刘超刘成义刘春月刘丹刘璟琨刘静刘可心刘清波刘庆芳刘秋实刘世坡刘威宏刘维鹏刘亚涵刘颖逯明马琼孟子瀚裴涛皮磊亓美娟钱裕安邱宪黎屈璐申宸沈涛石瑾静宋佳佳宋杰宋景佳孙蕾孙梦超孙梦雪孙念谭一蔓唐秘万里洋王宝珠王梦璇王萍王琪王荣基王锐王威王巍王晓蕾王雅丽王妍君王忠彪尉瑞轩吴卫良武光斌向环宇肖琳谢士江邢邵龙闫晓虹杨婷竹杨晓宇杨鑫杨星灿姚熙嘉叶美琴叶倩文于立娟袁茵岳川张博张驰张春晓张加奇张敬敏张琳张曼仪张宁张奇凯张杉杉张少鹏张爽张贤贤张霄张小爱张晓佩张兆雨张致尚赵贵收赵萨赵玉清甄文帅郑慧慧周婧琪周艺瑶朱磊朱亚丽朱玉泽邹馨左晓静理学院段超樊琳娜胡隽李婷李彦敏李洋李忠芳刘艳红鲁思瑶马梦晴孟骁然潘婷婷苏梅孙宇王楠王伟吴丹阳夏洪坤向萍萍谢丹杨学轩袁天姿岳军治张地伟张楠张小慧张逸君赵丹朱苹商学院阿荣其木格安刚毕昆仑毕研旭布艳辉曹可心常越晁国喻陈春崔彩红崔彦武邓文娅邓宇晴丁富依董灿董翠翠杜蕾范丽方菲冯秦付广旭高翁玉顾滢滢郭凯韩建英郝雯慧何敏侯炜侯玉硕胡国武胡雪婷黄洁黄文思黄月霍思慧冀国文蒋兆华金浩泽乐路萍李伯昊李丹萍李宏扬李菁李楠李宁李麒麟李强李庆娜李睿欣李雪李泽李昭刘芳刘国蕊刘凯璇刘阔刘丽晖刘巧荣刘若礞刘婷刘伟刘晓彤龙林玲楼珂吕霄澄吕延龄马晨晨孟诗尧孟秀秀宁欢欢彭媛媛乔珊秦斐秦祥红卿洛惟任乐任晓艳申悦石书焕时斐宋迪宋娟娟宋新颖苏雅菲孙明月孙依愿唐中华王蓓蓓王储王聪聪王丹王戈王莎菲王树彬王涛王婷婷王伟王伟哲王雯王霞王璇王阳阳王依章王玉香王云平王振山王志猛韦洋洋吴建姣伍小红夏逸琼徐豪萍徐建平徐临莉许慎思许婷钰薛龙彬闫聪闫丽娟岩慧子杨爱华杨歆璇杨阳杨哲易显强于志杰张华张倩张琼张如张天娇张晓莉张欣张亚丽张永芬赵宸赵辉燕赵金丽赵喜哲赵亚洁赵洋郑佳周福金周苗苗朱辰朱辰辰朱丹商学院MBA管理中心戴安娜丁禺心范宏伟冯媛郭兰辉郝晓华胡敏黄信豪蒋艳艳蓝婧瑞李晓岚李玉涵李志佳林宇轩卢桂环孟兆芬齐欢齐玮婷沙亚美邵婧宋智慧苏杰孙博孙浩鑫吴普迎许小崇杨超杨茜于琪于潇雪翟炳衡张明瑞张瑞芳张洋洋张耀元赵蓉赵亚楠赵中铭朱路曼食品学院曹长春曹孟影陈培灿陈婷婷陈怡颖程红艳邓成龙丁晴晴董玉杜文倩方冬冬冯海红冯丽萍高乐高思思古霞郭贝贝韩芸娇郝一铭胡俊槐抗抗黄成季超贾丽丽贾琪焦志亮郎天丹李冰心李大为李飞李福芳李涵鑫李红宏李靖李骏宝李丽慧李孟沙李培根李青李婷李雅梅李园子李泽仟李子花栗真真梁银连廖怡平刘浩刘丽刘妙刘明艳刘瑞雪刘廷竹娄新曼娄迎霞鲁锐马变变马思蕊马文慧孟维苗菁曲玲玉商锋申新新沈丹丹舒畅宋先雨宋振芹宋振蓉苏杭苏航苏柯冉苏楠楠孙洁雯孙晓谭婷婷田言翠王凤莲王海波王琳王蒙王淑慧王婷婷王晓丹王一帆王哲魏京华毋波波吴丹吴海超吴涛郗梦露肖潇徐晓辉徐月续丹丹薛亚薇闫荣闫媛媛杨大壮杨帆杨海静杨凯杨克玉杨薇桦杨亚威杨亚政杨哲于莉于明于云娟虞芳妮禹晓燕张单单张凯丽张利丹张美美张明张铭霞张楠张萍张茜张兴张亚张玥琪张芸赵爱梅赵东瑞赵佳佳赵磊赵寅成种宇轩周恋彤周胜云外国语学院李婧暄卢迪卢晓青尹喻刘云龙赵竹艺术与传媒学院陈紫薇丁婉星郭媛媛郝爽郝思宇侯艳艳金蕾李辛未刘英马玉霞齐春惠沈怡然王冬妮王诗音王潇武影晏榕杨兴杨泽袁玉周筱洲。