数理统计试题及答案汇编
- 格式:doc
- 大小:493.00 KB
- 文档页数:7
数理统计学考试题及答案一、单项选择题(每题3分,共30分)1. 下列哪个选项是描述数据集中趋势的统计量?A. 方差B. 标准差C. 平均数D. 极差答案:C2. 假设检验中,若原假设为H0:μ=μ0,备择假设为H1:μ≠μ0,则该检验属于:A. 单尾检验B. 双尾检验C. 左尾检验D. 右尾检验答案:B3. 以下哪个分布是描述二项分布的?A. 正态分布B. t分布C. F分布D. 泊松分布答案:A4. 以下哪个选项是描述数据离散程度的统计量?A. 众数B. 中位数C. 极差D. 均值答案:C5. 以下哪个选项是描述数据分布形态的统计量?A. 偏度B. 方差C. 标准差D. 均值答案:A6. 以下哪个选项是描述数据分布集中趋势的统计量?A. 偏度B. 峰度C. 众数D. 标准差答案:C7. 以下哪个选项是描述数据分布离散程度的统计量?A. 偏度B. 峰度C. 标准差D. 均值答案:C8. 以下哪个选项是描述数据分布形态的统计量?A. 均值B. 方差C. 偏度D. 众数答案:C9. 以下哪个选项是描述数据分布集中趋势的统计量?A. 极差B. 标准差C. 均值D. 偏度答案:C10. 以下哪个选项是描述数据分布离散程度的统计量?A. 均值B. 众数C. 方差D. 偏度答案:C二、多项选择题(每题4分,共20分)1. 以下哪些统计量可以用来描述数据的集中趋势?A. 均值B. 中位数C. 众数D. 方差答案:ABC2. 以下哪些统计量可以用来描述数据的离散程度?A. 极差B. 方差C. 标准差D. 均值答案:ABC3. 以下哪些统计量可以用来描述数据的分布形态?A. 偏度B. 峰度C. 均值D. 方差答案:AB4. 以下哪些分布是描述连续型随机变量的?A. 正态分布B. 泊松分布C. 二项分布D. t分布答案:AD5. 以下哪些检验是用于检验总体均值的?A. t检验B. 方差分析C. 卡方检验D. F检验答案:A三、计算题(每题10分,共50分)1. 给定一组数据:2, 4, 6, 8, 10,求其平均数和标准差。
8、设总体X 具有连续的分布函数()F x ,12,,,n X X X 是来自总体X 的样本,且i EX μ=,定义随机变量1, , (1,2,,)0, i i i X Y i n X μμ>⎧==⎨≤⎩试确定统计量1ni i Y =∑的分布.解 由题意知(1,)i Y B p ,()1()1i i p P X P X μμμ=>=-≤=-, 1,2,,i n = .从而由二项分布定义知1(,)ni i Y B n p =∑ .14、设125,,,X X X 是来自总体(0,1)X N 的样本.1)、试确定常数11,c d ,使得2221121345()()()c X X d X X X n χ++++ ,并求出n ;2)、试确定常数2c ,使得222212345()/()(,)c X X X X X F m n +++ ,并求出m 和n .解 1)、由题意知:12(0,2)X X N + ,345(0,3)X X X N ++(0,1)N,(0,1)N .故有:222(2)χ+ .即2221234511()()(2)23X X X X X χ++++ . 由上得:1111,,223c d n ===. 1)、由题意知:22212(2)X X χ+ ,345(0,3)X X X N ++22(1)χ .故有:221222(2,1)X X F + ,即221223453()2(2,1)()X X F X X X +++ . 由上得:23,2,12c m n ===.19、设12,,,n X X X 是来自总体[,]X U a b 的样本,试求:1)、(1)X 的密度函数;2)、()n X 的密度函数.解 因为[,]X U a b ,所以X 的密度函数与分布函数分别为1, [,],()0, [,],x a b f x b ax a b ⎧∈⎪=-⎨⎪∉⎩0, ,(), ,1, .x a x a F x a x b b a x b ≤⎧⎪-⎪=<≤⎨-⎪>⎪⎩ 因此所求的(1)1()(1())()n f x n F x f x -=-11(1), [,],0, [,],n x a n x a b b a b ax a b --⎧-∈⎪=--⎨⎪∉⎩1(), [,],()0, [,],n n n b x x a b b a x a b -⎧-∈⎪=-⎨⎪∉⎩()1()(())()n n f x n F x f x -=11(), [,],0, [,],n x a n x a b b a b ax a b --⎧∈⎪=--⎨⎪∉⎩1(), [,],()0, [,].n nn x a x a b b a x a b -⎧-∈⎪=-⎨⎪∉⎩21、设121,,,,,,m m m n X X X X X ++为来自总体2(0,)X N σ 的一个样本,试确定下列统计量的分布:1)、1miX Y =、21221mi i m ni i m n X Y m X =+=+=∑∑;3)、223221111()()mm n i i i i m Y X X m n σσ+==+=+∑∑. 解 1)、由2(0,) 1,2,,,1,,i X N i m m m n σ=++ ,知:21(0,)m i i X N m σ=∑ ,21(0,)m ni i m X N n σ+=+∑(0,1)miXN ∑ ,221()m ni i m X n χσ+=+⎛⎫⎪⎝⎭∑ . 1)、1()mmiimiXXX Y t n ===∑∑ ;2)、22122121222211122(,)mmii mii i i m nm nm ni i i i m i m i m XXn X n m Y F m n mm X X X nσσσσ===+++=+=+=+===∑∑∑∑∑∑;3)、222223221111()()(2)m m niimm ni i i i m XXY X X m n χσσ++==+=+=+∑∑∑∑22、设总体X 服从正态分布2(,)N μσ,12,,,n X X X 是来自总体X ,2S 为样本方差,问样本容量n 取多大能满足22(1)32.670.95n S P σ⎛⎫-≤= ⎪⎝⎭? 解 已知:222(1)(1)n S n χσ-- ,由所求的22(1)32.670.95n S P σ⎛⎫-≤= ⎪⎝⎭有: 0.95(1)32.67n χ-=.查表得0.95(21)32.67χ=.故有121n -=即22n =.23、从两个正态总体中分别抽取容量为20和15的两独立的样本,设总体方差相等,2212,S S 分别为两样本方差,求2122 2.39S P S ⎛⎫> ⎪⎝⎭.解 由题意可得2122(19,14)S F S ,易得221122222.391 2.39S S P P S S ⎛⎫⎛⎫>=-≤ ⎪ ⎪⎝⎭⎝⎭. 由上知2.39为(19,14)F 的分位数,即(19,14) 2.39p F =.查表得0.95(19,14) 2.39F =.于是2122 2.390.95S P S ⎛⎫≤= ⎪⎝⎭.故所求的221122222.391 2.3910.950.05S S P P S S ⎛⎫⎛⎫>=-≤=-= ⎪ ⎪⎝⎭⎝⎭()1, a ,3);,0, x b f x a b a b b a ⎧≤≤⎪=<-⎨⎪⎩未知;其他,解矩估计法:因为总体X 的数学期望为,2a bEX +=方差()212b a DX -=所以 ()2*2,2,12a bX b a M +⎧=⎪⎪⎨-⎪=⎪⎩解得11a X b X ⎧=⎪⎨=+⎪⎩. 最大似然估计法:因为该总体X 的密度函数为()1, a ,;,0, x b f x a b a b b a ⎧≤≤⎪=<-⎨⎪⎩未知;其他,则该总体决定的似然函数为()()()()()1211, a ,1,2, ,,;,,;,0, ni n n i i x b i n b a L a b L a b x x x f x a b =⎧≤≤=⎪-==∏=⎨⎪⎩其他, 因为似然方程()()1ln ,0n L a b nab a +∂==∂-,()()1ln ,0n L a b nbb a +∂-==∂-,显然似然方程关于,a b 无解.这时利用似然估计的定义,当()1,2, i a x b i n ≤≤= 时,有()()()12n a x x x b ≤≤≤≤≤ ,则()()()()()()12111,,;,,n nnnL a b L a b x x x b a x x ==≤-- ,显然当 ()21a X =, ()2n b X =时,可使似然函数取最大值,因此,a b 的最大似然估计为,()211min i i na X X ≤≤==, ()21max i n i nb X X ≤≤==. ()()()228);11,x f x x θθθ-=--其中2,3,,0 1.x θ=<<解 矩估计法:因为总体X 的数学期望为()()222211x x X x x θθθ+∞-==⋅--=∑E ,所以2X θ=,得到 12Xθ=. 最大似然估计法:因为总体X 的分布密度为()()()22;11,x f x x θθθ-=--其中2,3,,0 1.x θ=<<则该总体决定的似然函数为()()()()()221211;,,;11i nnx n i i i i L L x x x f x x θθθθθ-====∏=∏-- ,其中2,3,,0 1.i x θ=<<当2,3,01i x θ=<< 时知()0L θ>,两边取对数得()()()11ln ln 12ln 2ln 1nn i i i i L x n x n θθθ==⎛⎫=-++-- ⎪⎝⎭∑∑,两边对θ求导得()1ln 21201n i i d L n x n d θθθθ=-⎛⎫=+-= ⎪-⎝⎭∑ 令()ln 0d L d λλ=,得到 22Xλ=.12.设总体()2,X N μσ ,12,,,n X X X 为其样本,1)求常数k ,使 ()122111n i i i X X k σ-+==-∑为2σ的无偏估计量;2)求常数k ,使 11n i i X X k σ==-∑为σ的无偏估计量. 解1) ()()()()()()11222211111112n n i i i i i i i i E E x x E x E x E x E x k k σ--+++==⎛⎫⎡⎤=-=-+ ⎪⎣⎦⎝⎭∑∑()()()()()()12211111[]2[]n i i i i i i i D x E x E x E x D x E x k -+++=⎡⎤=+-++⎣⎦∑()2122222212112n i n k kσσμμσμσ-=-⎡⎤=+-++==⎣⎦∑, 所以()21k n =-;19.设总体X 具有如下密度函数:1,01,(;)(0)0, ,x x f x θθθθ-⎧<<=>⎨⎩其他,12,,,n X X X 是来自于总体X 的样本,对可估计函数()1g θθ=,求()g θ的有效估计量()gθ,并确定C R -下界. 解 因为总体X 的分布密度为1,01,(;)(0)0, ,x x f x θθθθ-⎧<<=>⎨⎩其他,则该总体决定的似然函数为()()()11121,01,;,,;0, nn ni i i n i i x x L L x x x f x θθθθθ-==⎧∏<<⎪==∏=⎨⎪⎩ 其他,当()0112,n i x i <<= ,,时,由0θ>知()0L θ>,两边取对数得 ()()1ln ln +-1ln ni i L n x θθθ==∑,两边对θ求导得()11ln 11+ln ln nni i i i d L nx n x d n θθθθ==⎛⎫==--- ⎪⎝⎭∑∑, ()1211,,ln nn i i T X X X X n ==-∑ ,1110ln ln ln i E X x x dx xdx θθθ-==⎰⎰1111101ln ln x x x x dx x x θθθθθθ-=-=-=-⎰所以1ET θ=.根据教材中定理2.3.2知()1211,,ln n n i i T X X X X n ==-∑ 是()1g θθ=的有效估计量.C R -下界为()()2211g DT c n n θθθθ-'===- . 20.设总体X 服从几何分布:{}()()111,2,k P X k p p k -==-= ,对可估计函数()1g p p=,则 1)求()g p 的有效估计量()12,,n T X X X ;2)求方差DT 和信息量()I p ; 3)验证T 的相合性.解 1)因为总体X 的分布密度为{}()()111,2,k P X k p p k -==-=则该总体决定的似然函数为()()()()()11211;,,;11i nnx nn n i i i L p L p x x x f x p p p p p --====∏=∏-=- ,当0,1,2,i x = 时,由0p >知()0L p >,两边取对数得()()()ln ln ln 1L p n p nx n p =+--,两边对p 求导得()ln 111d L p n nx n n x dpp p p p ⎛⎫-=-=-- ⎪--⎝⎭所以()12,,n T X X X X =()()1111111k k k k EX EX k p p p k p p+∞+∞--====-=-=∑∑ 所以()12,,n T X X X X = 为()1g p p=的有效估计量. 2)由1)知()1nc p p =--,()()()()211c p g p I p n p p '==-, ()()()21g p np DT c p p '==-.3)()210,DX pDT DX n n np -===→→+∞,()12,,n T X X X X = 是相合估计量.28.假设0.5,1.25,0.8,2.0是总体X 的简单随机样本.已知()ln ,1Y X N μ= .1)求参数μ的置信度为0.95的置信区间;2)求EX 的置信度为0.95的置信区间.解 1)由题意可得411ln 0,44i i y x n ====∑,0.9750.05,10.975, 1.962u αα=-==,1σ=,0.9750.975110 1.960.98,+0 1.960.9822a y u b y u =-=-⨯=-==+⨯=, 所以参数μ的置信度为0.95的置信区间为[]0.98,0.98-.2)由()ln ,1Y X N μ= 得Y X e =且()()22,y Y f y y R μ--=∈.()()()2122y YYyY EX E ee f y dy edy eμμ-+∞+∞-+-∞-∞====⎰⎰,因为,YX e y R =∈是严格递增函数,参数μ的置信度为0.95的置信区间为[]0.98,0.98-,所以EX 的置信度为0.95的置信区间为0.48 1.48,e e -⎡⎤⎣⎦.29.随机地从A 批导线中抽取4根,并从B 批导线中抽取5根,测得其电阻(单位:Ω)为A 批导线:0.143,0.142,0.143,0.137B 批导线:0.140,0.142,0.136,0.138,0.140设测试数据分别服从()21,N μσ和()22,N μσ,并且他们相互独立,又212,,μμσ均未知,求参数12μμ-的置信度为0.95的置信区间.解 由题意得4511110.14125,0.139245i i i i x x y y ======∑∑,()()4522262611118.2510, 5.21034Ai Bi i i S x xS y y--===-=⨯=-=⨯∑∑,()()2212261212114,5, 6.57102A B Wn S n S n n Sn n --+-====⨯+-,()0.9750.00255,7 2.365W S t ==,()0.97570.002W a x y t S =--⨯=-, ()0.97570.0061W b x y t S =-+⨯=, 故参数12μμ-的置信度为0.95的置信区间为[]0.002,0.0061-.32.在105次设计中,有60次命中目标,试求命中率的置信度为95%的置信区间. 解 60470.5714,0.05105p X α=====,0.4763,0.6665a X u b X u =-==+=,命中率的置信度为95%的置信区间为[]0.4763,0.6665.1.正常情况下,某炼铁炉的铁水含碳量()24.55,0.108X N .现在测试了5炉铁水,其含碳量分别为4.28,4.40,4.42,4.35,4.37.如果方差没有改变,问总体的均值有无显著变化?如果均值没有改变,问总体方差是否有显著变化()0.05α=?解 由题意知,()24.55,0.108X N ,5n =,511 4.3645i i x x ===∑,0.05α=,()5220110.095265i i s x μ==-=∑.1)当00.108σ=已知时,①设统计假设0010: 4.55,: 4.55H H μμμμ==≠=. ②当0.05α=时,0.975121.96uu α-==,临界值121.960.0947c α-===, 拒绝域为000{}{0.0947}K x c x μμ=->=->.③004.364 4.550.186x K μ-=-=∈,所以拒绝0H ,接受1H ,即认为当方差没有改变时,总体的均值有显著变化.2)当0 4.55μ=已知时,①设统计假设2222220010:0.108,:0.108H H σσσσ==≠=.②当0.05α=时,临界值()()()()222210.02520.975122111150.1662,5 2.566655c n c n n n ααχχχχ-======, 拒绝域为22220212222{}{2.56660.1662}ssssK c c σσσσ=><=><或或.③202200.095268.16700.108sK σ==∈,所以拒绝0H ,接受1H ,即均值没有改变时,总体方差有显著变化.2.一种电子元件,要求其寿命不得低于1000h .现抽取25件,得其均值950x h =.已知该种元件寿命()2,100X N μ ,问这批元件是否合格()0.05α=?解 由题意知,()2,100X N μ ,25n =,950x =,0.05α=,0100σ=.①设统计假设0010:1000,:1000H H μμμμ≥=<=. ②当0.05α=时,0.05 1.65u u α==-,临界值()1.6533c α==-=-, 拒绝域为000{}{33}K x c x μμ=-<=-<-.③00950100050x K μ-=-=-∈,所以拒绝0H ,接受1H ,即认为这批元件不合格. 3.某食品厂用自动装罐机装罐头食品,每罐标准质量为500g ,现从某天生产的罐头中随机抽测9罐,其质量分别为510,505,498,503,492,502,497,506,495(单位:g ),假定罐头质量服从正态分布.问1)机器工作是否正常()0.05α=?2)能否认为这批罐头质量的方差为25.5()0.05α=?解 设X 表示用自动装罐机装罐头食品每罐的质量(单位:g ).由题意知()2500,X N σ ,方差2σ未知.9n =,911500.88899i i x x ===∑,0.05α=,()()222111133.6111118n ni i i i s x xx x n ===-=-=-∑∑,()52201130.66679i i s x μ==-=∑1)①设统计假设0010:500,:500H H μμμμ==≠=.②()()0.9751218 2.306tn t α--==,临界值()121 2.306 4.4564c n α-=-==,拒绝域为000{}{ 4.4564}K x c x μμ=->=->.③00500.88895000.8889x K μ-=-=∉,所以接受0H ,拒绝1H ,即认为机器工作正常.2)当0500μ=已知时,①设统计假设2222220010: 5.5,: 5.5H H σσσσ==≠=. ②当0.05α=时,临界值()()()()222210.02520.975122111190.3,9 2.113399c n c n n n ααχχχχ-======, 拒绝域为22220212222{}{2.11330.3}ssssK c c σσσσ=><=><或或.③2022030.66671.013785.5sK σ==∉,所以接受0H ,拒绝1H ,即为这批罐头质量的方差为25.5.14.从甲乙两煤矿各取若干个样品,得其含灰率()%为 甲:24.3,20.8,23.7,21.3,17.4, 乙:18.2,16.9,20.2,16.7假定含灰率均服从正态分布且2212σσ=.问甲、乙两煤矿的含灰率有无显著差异()0.05α=?解 设,X Y 分别表示甲乙两煤矿的含灰率.由题意知:2212(,),(,)X N Y N μσμσ .5,4,21.5,18n m x y ====,22127.505, 2.59333s s ==.问甲、乙两煤矿的含灰率有无显著差异,因此,可进行以下假设检验。
数理统计期末复习题答案一、选择题1. 以下哪项不是描述统计学的特点?A. 描述性B. 推断性C. 数量化D. 客观性答案:B2. 正态分布的均值和方差之间的关系是:A. 均值是方差的两倍B. 均值是方差的平方根C. 均值和方差无关D. 均值是方差的平方答案:C3. 以下哪个选项不是参数估计的目的?A. 估计总体参数B. 估计样本参数C. 估计总体分布D. 估计总体特征答案:B4. 点估计与区间估计的区别在于:A. 点估计给出一个值,区间估计给出一个范围B. 点估计给出一个范围,区间估计给出一个值C. 点估计和区间估计都给出一个值D. 点估计和区间估计都给出一个范围答案:A5. 以下哪个不是假设检验的基本步骤?A. 建立假设B. 选择检验统计量C. 确定显著性水平D. 计算样本均值答案:D二、填空题1. 样本均值的期望等于总体均值,这是_______的性质。
答案:无偏性2. 总体方差的估计量是样本方差乘以_______。
答案:n/(n-1)3. 假设检验中的两类错误是_______和_______。
答案:第一类错误;第二类错误4. 置信度为95%的置信区间意味着,如果重复抽样,大约有95%的置信区间会包含总体参数。
5. 相关系数的取值范围是[-1, 1],其中1表示_______,-1表示_______。
答案:完全正相关;完全负相关三、简答题1. 请简述中心极限定理的内容。
答案:中心极限定理指出,无论总体分布如何,只要样本量足够大,样本均值的分布将趋近于正态分布。
2. 什么是独立同分布的随机变量序列?答案:独立同分布的随机变量序列指的是一系列随机变量,它们相互独立,且每个随机变量都服从相同的分布。
3. 请解释什么是总体和样本,并给出它们在统计分析中的作用。
答案:总体是指研究对象的全体,样本是从总体中抽取的一部分个体。
在统计分析中,由于直接研究总体往往不现实或成本过高,我们通过研究样本来推断总体的特征。
本科数理统计试题及答案一、选择题(每题2分,共20分)1. 以下哪项不是数理统计中的基本概念?A. 总体B. 样本C. 变量D. 常数2. 随机变量X的概率分布函数F(x)满足什么条件?A. 非负B. 单调递增C. 右连续D. 所有选项3. 以下哪个统计量是度量数据离散程度的?A. 均值B. 方差C. 众数D. 标准差4. 假设检验中,拒绝原假设的决策规则是基于什么?A. p值B. 置信区间C. 样本均值D. 样本方差5. 以下哪项不是参数估计的方法?A. 最大似然估计B. 贝叶斯估计C. 插值估计D. 矩估计6. 两个独立随机变量X和Y的协方差Cov(X,Y)为0意味着什么?A. X和Y是独立的B. X和Y是相同的C. X和Y的方差为0D. X和Y的均值相等7. 以下哪项是描述总体分布特征的参数?A. 样本均值B. 样本方差C. 总体均值D. 总体方差8. 在回归分析中,如果自变量和因变量之间存在线性关系,那么回归系数的符号表示什么?A. 正相关B. 负相关C. 无相关D. 强相关9. 以下哪项是描述数据集中趋势的统计量?A. 极差B. 四分位数C. 变异系数D. 标准差10. 以下哪项是假设检验中的两类错误?A. 第一类错误和第二类错误B. 系统误差和随机误差C. 抽样误差和非抽样误差D. 总体误差和样本误差二、填空题(每题2分,共20分)1. 统计学中的“大数定律”表明,随着样本量的增大,样本均值会______总体均值。
2. 如果随机变量X服从标准正态分布,则其概率密度函数为______。
3. 在统计学中,一个数据集的中位数是将数据集从小到大排列后位于______位置的数值。
4. 相关系数的取值范围是______。
5. 假设检验的原假设通常表示为______,备择假设表示为______。
6. 在回归分析中,如果回归系数为正,则表示自变量和因变量之间存在______关系。
7. 统计学中的“中心极限定理”说明,即使总体分布未知,只要样本量足够大,样本均值的分布将近似为______分布。
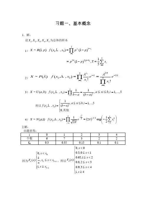
习题一、基本概念1.解:设12345,,,,X X X X X 为总体的样本1)51151~(1,) (,,)(1)i ix x i X B p f x x p p -==-∏ 555(1)11(1),5x x i i p p x x -==-=∑2)λλλλλ55155151!!),,( )(~-==-∏∏==e x ex x x f P X i ixi i xi3)5155111~(,) (,,),,1,...,5()i X U a b f x x a xi b i b a b a ===≤≤=--∏所以5151,,1,...,5()(,,)0,a xi b i b a f x x ⎧≤≤=⎪-=⎨⎪⎩其他4)()⎪⎭⎫ ⎝⎛-==∑∏=-=-5122/55125121exp 221),,( )1,(~2i i i x x e x x f N X i ππμ2.解:因为0110,(),1,n k k k x x k F x x x x nx x ++<⎧⎪⎪≤<⎨⎪≥⎪⎩,所以40,00.3,010.65,12()0.8,230.9,341,4x x x F x x x x <⎧⎪≤<⎪⎪≤<⎨≤<⎪⎪≤<⎪≥⎩3.解:它近似服从均值为172,方差为5.64的正态分布,即(172,5.64)N4.解:()55-5 510/2- -⎪⎪⎭⎫ ⎝⎛<<-=⎪⎪⎭⎫ ⎝⎛<=<k X k P k X P k X P μμμ 因k 较大()()()()()()()-555(15)2510.950.95P X k k k k k k k μ<≈Φ-Φ-=Φ--Φ=Φ-=Φ=,5 1.65,0.33k k ==查表5.解:()-5250.853.8 1.1429 1.7143(1.7143)( 1.14296.3/6X P X P ⎛⎫<<=-<<=Φ-Φ- ⎪⎝⎭)0.9564(10.8729)0.8293 =--=6.解:()()()~(20,0.3),~(20,0.2),~(0,0.5),0.3 0.30.3Y N Z N Y Z Y Z N P Y Z P Y Z P Y Z -->=->+-<-设与相互独立,0.42430.42431(0.4243)(1(0.4243))22(0.4243)P P ⎫⎫=>=+<-⎪⎪⎭⎭=-Φ+-Φ=-Φ220.66280.6744=-⨯=7.解:101010222111~(0,4),~(0,1),2111 10.05,0.95444444ii i i i i i i X X N N c c c P X P X P X ===⎛⎫⎛⎫⎛⎫>=-≤=≤= ⎪ ⎪ ⎪⎝⎭⎝⎭⎝⎭∑∑∑则查卡方分位数表 c/4=18.31,c=73.248.解:由已知条件得:(1,),1()i X Y B p p F μ=-由i X 互相独立,知i Y 也互相独立,所以1(,),1().ni X i Y B n p p F μ==-∑9.解:1) )1(,)1(,2p Np DX ES np Np n DX X D Np EX X E -==-==== 2) λλλ======DX ES nn DX X D EX X E 2,, 3) ()()12,12,2222a b DX ES n a b n DX X D b a EX X E -==-==+==4) 1,1,2======DX ES nn DX X D EX X E μ 10.解:1) ()22212)1()1()1()1(σ-=-=-=-=-∑=n DX n ES n S n E X X E ni i2)()222242221(1)(1)(1), ~(1)ni i n S n S D X X D n S D n σχσσ=⎛⎫---=-=- ⎪⎝⎭∑ ()2412(1)ni i D X X n σ=∴-=-∑11.解:ππππππn X E dt e dy ey dy ey X nE Y E nn DY X E EY N X n Y n N X t y y 2)(,2)1(222222||21)(),11,0(),1,0(~),/1,0(~)102222==Γ==========-∞+-∞+-∞+∞-⎰⎰⎰ 令ππππππ211,2)1(222222||21),1,0(~)21102222===Γ====∑∑⎰⎰⎰==-∞+-∞+-∞+∞-n i i n i i t x x X E n X n E dt e dx ex dx ex X E N X12.解:1) ()2224X E X E X E n μμ-=-=()244100.1X X D E n n⎡⎤=+=+≤⎢⎥⎣⎦ 40n ∴≥2)222211,2u u X u E u e du u du +∞+∞---∞-===⎰⎰222220022002(1)0.1,80010,254.6,255u uutue du ue duue d e dtE X En nμπ+∞+∞--+∞+∞--===Γ=-==≤≥≥=∴≥⎰⎰⎰⎰3) ()()111P X P X Pμμ⎛-≤=-≤-≤=≤≤⎝⎭0.975210.95,2221.96,15.36,162u n n⎛⎫⎛⎫⎛=Φ-Φ-=Φ-≥⎪ ⎪⎪ ⎪⎝⎭⎝⎭⎝⎭≥=≥≥13.解:()()()112221111111,n ni ii iY XY X a X na X an b b n bEY EX a S Sb b==⎛⎫=-=-=-⎪⎝⎭=-=∑∑14.解:1)12345~(0,2),~(0,3)X X N X X X N+++~~(0,1)N N1111,, 2.23c d n∴===2)()2345222212~(2),~(1)3X X XX Xχχ+++()()22122234523~(2,1),,2,123XX F c m n X X X +===++15.解:设1(1,)p F n α-=,即()1(1P F p P p α≤=-⇔≤≤=-()()12()2()12P T P T p P T p pP T ⇔≤-≤=-⇔≤=-⇔≤=-122112()()(1,)p p p t n tn F n α---=∴==16.解:()()()()()()()()()121222222221212222212121212212221212~(0,2),~(0,~~(0,1)~~(2)2210.1,2X X N X X N N N X X X X t P t P X X X X X X X X X X t P X X X X c χχ+-+⎛⎫⎛⎫++>=> ⎪ ⎪ ⎪ ⎪++-++-⎝⎭⎝⎭⎧⎫+⎪⎪=-≤=⎨⎬++-⎪⎪⎩⎭=0.9(1,2)8.532tF ==17.证明: 1)2211122211()0,(),(0,)1(1)(1)n n n n n E X X D X X XX N nnn S n t n σσχσ+++++-=-=∴---=- 又2)2211111()0,(),(0,)n n n n n E X X D X X X X N nnσσ+++++-=-=∴- 3)2211111()0,(),(0,)n n E X X D X X X X N n nσσ---=-=∴- 18. 解:()()()62,47.61,96.125.0,975.025.0,95.0125.0225.0/25.025.0975.0≥≥=≥≥Φ≥-Φ=⎪⎪⎭⎫ ⎝⎛≤-≤-=≤-n n u n n n n n X n P X P σμσμ 19.解[,]0,1,[,](),(),0,[,]1,X U a b x a x a b x af x F x a x b b a b a x a b x b ≤⎧⎧⎪∈-⎪⎪∴==<≤-⎨⎨-⎪⎪∉⎩>⎪⎩1(1)()(1())()n f x n F x f x -∴=-111()1(),[,]0,[,]1(),[,]()(())()0,[,]n n n n b a n x a b b a b a x a b x a n x a b f x n F x f x b a b ax a b ----⎧∈⎪=--⎨⎪∉⎩-⎧∈⎪==--⎨⎪∉⎩20.解:()()()()()()()55(1)(1)11515555555(5)111011011011101211121(1(1))1(11(1))1(1)0.5785121515 1.5(1.5)0.93320.70772i i i i i i i i i i P X P X P X P X X P X P X P X P =====<=-≥=-≥=--≤⎛-⎫⎛⎫=--≤- ⎪⎪⎝⎭⎝⎭=--Φ-=--+Φ=-Φ=-⎛⎫<==<=<=Φ== ⎪⎝⎭∏∏∏∏∏21. 解:1)因为21~(0,)mi i X N m σ=∑,从而~(0,1)miXN ∑2221~()m ni i m Xn χσ+=+∑,所以~()miX t n ξ=2)因为22211~()mii Xm χσ=∑,22211~()m nii m Xn χσ+=+∑所以2121~(,)mi i m ni i m n X F m n m X =+=+∑∑3)因为21~(0,)mii XN m σ=∑,21~(0,)m nii m XN n σ+=+∑所以2212()~(1)mi i X m χσ=∑,2212()~(1)m ni i m X n χσ+=+∑故 222221111~(2)m m n i i i i m X X m n χσσ+==+⎛⎫⎛⎫+ ⎪ ⎪⎝⎭⎝⎭∑∑22.解:由Th1.4.1 (2)()(),95.047.321),1(~122222=⎪⎪⎭⎫⎝⎛≤---σχσS n P n S n查表:n 121,n 22-==23.解:由推论1.4.3(2)05.095.0139.2139.2),14,19(~222122212221=-=⎪⎪⎭⎫ ⎝⎛≤-=⎪⎪⎭⎫ ⎝⎛>S S P S S P F S S 24.解: 1)()()94.005.099.057.3785.10)20(~),1,0(~),,0(~2201222220122=-=≤≤=⎪⎭⎫ ⎝⎛-=---∑∑==χχχσμσμσμσμP X XN X N X i i i ii i2)()895.01.0995.058.381965.11),19(~192222222012=-=⎪⎪⎭⎫ ⎝⎛≤≤=-∑=σχσσS P S X Xi i25. 解:1)()4532.07734.0221)75.0(21431435/2080380=⨯-=+Φ-=⎪⎭⎫ ⎝⎛≤-=⎪⎪⎭⎫ ⎝⎛>-=>-U P X P X P2)()()05.01975.021064.21064.25/2674.780380=+⨯-=≤-=⎪⎪⎭⎫ ⎝⎛>-=>-T P X P X P 26.解: 1)8413.0120472.4472.4=⎪⎪⎭⎫ ⎝⎛<-=⎪⎪⎭⎫ ⎝⎛<-=⎪⎭⎫ ⎝⎛+<σσσa X P a X P a X P 2)2222222222223132222222S P S P S P S P σσσσσσσσ⎛⎫⎛⎫⎛⎫⎛⎫-<=-<-<=<<=<< ⎪ ⎪ ⎪ ⎪⎝⎭⎝⎭⎝⎭⎝⎭22199.528.50.950.050.9S P σ⎛⎫=<<=-= ⎪⎝⎭3)3676.3,328.120,1.020,9.02012020/1===⎪⎪⎭⎫ ⎝⎛≤=⎪⎪⎭⎫⎝⎛≤-=⎪⎪⎭⎫ ⎝⎛>-=⎪⎪⎭⎫⎝⎛>-=⎪⎪⎭⎫ ⎝⎛>-c c c T P cT P cS X P c S X P c X S P μμμ27.解:22cov(,)(,)1()()1cov(,)()1(,)1i j i j i j i j i j i j X X X X r X X X X n D X X D X X nX X X X E X X X X X X X X nr X X X X n σσ----=--=-=--=---=-∴--=--28.解:()2221212)1(2)1(,)1(,21),2,2(~σσμ-=-=-=-===+=∑∑==+n ES n ET S n Y Y T X Y n Y N X X Y Y Y ni i ni i in i i 令习题二、参数估计1. 解: 矩估计()1 3.40.10.20.90.80.70.766X =+++++= ()()11111ln ln(1)ln nnni ii i nii L x x L n x αααααα===⎡⎤=+=+⎣⎦=++∏∏∑121ln ln 01ˆ10.2112ln ni i n ii d n L x d n x αααα====+=+=--=∑∑3077.0121ˆ,212)1()1(110121=--==++=++=+=⎰++X X X x dx x EX αααααααα所以12112ˆˆ,11ln nii X n X X αα=⎛⎫ ⎪- ⎪==-+-⎪ ⎪⎝⎭∑,12ˆˆ0.3079,0.2112αα≈≈ 2.解:1)3077.02ˆ,21====X X EX θθ111ln 0nni L nL θθθ====-=∏无解,依定义:21ˆmax ii nX θ≤≤=2)矩法:211ˆˆ1.2,0.472212EX DX θθ====极大似然估计:22ˆˆ1.1,0.1833212EX DX θθ====3.1)解:矩法估计:111ˆ,EX X Xλλ===最大似然估计:111,ln ln niii nnx x ni i i L eeL n L x λλλλλ=--==∑===-∑∏2111ˆln 0,ni ni ii d n nL x d Xxλλλ===-===∑∑ 2)解:~()X P λ矩估计:X X EX ===1ˆ,λλ最大似然估计:1,ln ln ixnxnn i i iiL eeL n nx x x x λλλλλλ--====-+-∑∏∏2ˆln 0,d nx L n X d λλλ=-+== 3)解:矩估计:()2,212b a a bEX DX -+== 联立方程:()2*221ˆ2ˆa X b X a bX b a M ⎧=-⎪→+⎧=⎪⎪⎨-⎪=⎪⎩⎨=+⎪⎩极大似然估计:依照定义,11ˆˆmin ,max i ii ni naX b X ≤≤≤≤== 4) 解:矩估计:ln EX dx xxθθ+∞+∞==⎰,不存在22111,ln ln 2ln nnni i i i iL L n x x x θθθ=====-∑∏∏ ln 0n L αθ∂==∂,无解;故,依照定义,(1)ˆX θ= 5)解:矩法:()/0()(1)(2)x txEX e dx t edt αβααβαββ+∞+∞---==+=Γ+Γ⎰⎰X αβ=+=22220()(1)2(2)(3)t EX t e dt αβααββ+∞-=+=Γ+Γ+Γ⎰ 222222122()i M X nααββαββ=++=++==∑22222*2111ˆˆi M X X X M nX βαβ=-=-==-=∑即11ˆˆX X αβ==-==极大似然估计:()()/1111exp ,ln ln i nx n i n L e nx n L n nx αβαβαβββββ---=⎡⎤==--=--+⎢⎥⎣⎦∏2ln 0,ln ()0n n n L L x ααββββ∂∂===-+-=∂∂ α无解,依定义有:(1)(1)ˆˆ,L L X X X X αβα==-=- 7)解: 矩法:22223222(2)x x t x EX dx dte dt X θθθ+∞+∞+∞---=====⎰⎰⎰ˆMθ=极大似然估计:22222211iixnxn ni ii iL x eθθ--==∑⎛⎫== ⎪⎝⎭∏∏222ln ln43ln ln iixL n n n xθθ=---∑∑233ˆln20,iLxnLθθθθ∂=-+==∂∑8)解:矩法:2222222222022222223(1)(1)[(1)](1)(1)(1)1221x x x x x xxxd dEX x xd dd dq Xdq dq qθθθθθθθθθθθθθ∞∞∞-===∞==--=-=---=====-∑∑∑∑2ˆM Xθ=极大似然估计:22221(1)(1)(1)(1)ln2ln(2)ln(1)ln(1)inx n nx ni iiiL x xL n nx n xθθθθθθ--==--=--=+--+-∏∏∑222ˆln0,1Ln nx nLXθθθθ∂-=-==∂-4解:11112112(,,)(1)(1)ln(,,)ln(1)ln(1)n ni ii i i iy yny y nninL p y y y p p p pL p y y y ny p n y p==--=∑∑=-=-=+--∏12(,,)0(1)ny pd L p y y y ndp p p-==-ˆp Y=记001,;0,i i i iy x a y x a=≥=<则(1,)iY B p;1,ln ln i nx n nx i L e e L n nx λλλλλλ--====-∏711120000ˆln 0,,2010001000i i i d n L nx X x v d X λλλ==-=====∑ 1ˆ0.05Xλ== 6解:因为其寿命服从正态分布,所以极大似然估计为:2211ˆˆ,()ni i x x n μσμ===-∑ 根据样本数据得到:2ˆˆ997.1,17235.811μσ==。
1、 离散型随机变量X 的分布律为P (X=x i )=p i ,i=1.2…..,则11=∑=ni i p2、 设两个随机变量X ,Y 的联合分布函数F (x ,y ),边际分布Fx (x ),Fy (y ),则X 、Y相互独立的条件是)()(),(y F x F y x F Y X ∙=3、 X 1,X 2,….X 10是总体X~N (0,1)的样本,若2102221X X X +⋅⋅⋅++=ξ,则ξ的上侧分位数025.0ξ=解:因为X~N (0,1),所以2102221X X X +⋅⋅⋅++=ξ~)10(2χ,查表得025.0ξ=20.54、 设X~N (0,1),若Φ(x )=0.576,则Φ(-x )= 解:Φ(-x )=1-Φ(x )=1-0.576=0.4245、设X 1,X 2,….X n 是总体),(~2σμN X 的样本,∑=-=n i iXY 122)(1μσ,则EY=n解:∑=-=n i iXY 122)(1μσ~)(2n χ,E 2χ=n ,D 2χ=2n二、设设X 1,X 2,….X n 是总体),(~2σμN X 的样本,∑=-=6122)(51i iX X s ,试求)5665.2(22σ≤s P 。
解:因为),(~2σμN X ,所以有)5(~)(126122χσ∑=-i iX X,则⎪⎪⎪⎪⎭⎫⎝⎛≤-=⎪⎪⎪⎪⎭⎫⎝⎛≤-=≤=≤∑∑==8325.12)(5665.25)()5665.2()5665.2(261226122222σσσσi i i i X X P X X P sP s P 查2χ分布表得=≤)5665.2(22σs P ⎪⎪⎪⎪⎭⎫⎝⎛≤-∑=8325.12)(2612σi i X X P =1-α=1-0.0248=0.9752三.设总体X 的概率密度为f(x)=(1),(01)0a x x α⎧+<<⎨⎩,其他,其中α>0,求参数α的矩估计和极大似然估计量。
数理统计试题及答案一、选择题1. 在一次试验中,事件A和事件B是互斥事件,概率分别为0.4和0.3。
则事件“A或B”发生的概率是多少?A. 0.1B. 0.2C. 0.3D. 0.7答案:D. 0.72. 一批产品的重量服从正态分布,均值为100g,标准差为5g。
若随机抽取一件产品,其重量大于105g的概率是多少?A. 0.6827B. 0.1587C. 0.3413D. 0.0228答案:B. 0.15873. 一家量化投资公司共有1000名员工,调查结果显示,有700人拥有股票,400人拥有债券,300人既拥有股票又拥有债券。
随机选择一名员工,问其既拥有股票又拥有债券的概率是多少?A. 0.3B. 0.4C. 0.2D. 0.15答案:A. 0.34. 设X和Y为两个随机变量,已知X的期望为2,方差为4;Y的期望为5,方差为9,且X与Y的协方差为6。
则X + Y的期望为多少?A. 5B. 7C. 6D. 9答案:B. 7二、计算题1. 一箱产品中有10个次品,从中随机抽取3个,求抽到1个次品的概率。
解答:总共的可能抽取组合数为C(10,3) = 120。
抽取到1个次品的组合数为C(10,1) * C(90,2) = 4005。
所以,抽到1个次品的概率为4005/120 = 33.375%。
2. 已知某城市的男性身高服从正态分布,均值为172cm,标准差为5cm;女性身高也服从正态分布,均值为160cm,标准差为4cm。
问男性身高高于女性身高的概率是多少?解答:需要计算男性身高大于女性身高的概率,可以转化为计算两个正态分布随机变量之差的概率。
设随机变量X表示男性身高,Y表示女性身高,则X - Y服从正态分布,其均值为172cm - 160cm = 12cm,方差为5cm^2 + 4cm^2 =41cm^2。
要计算男性身高高于女性身高的概率,即计算P(X - Y > 0)。
首先,标准化X - Y,得到标准正态分布的随机变量Z:Z = (X - Y - 12) / sqrt(41)所以,P(X - Y > 0) = P(Z > (0 - 12) / sqrt(41)) = P(Z > -2.464)查标准正态分布表可知,P(Z > -2.464) ≈ 0.9937所以,男性身高高于女性身高的概率约为99.37%。
数理统计考试试卷一、填空题(本题15分,每题3分)1、总体)3,20(~N X 的容量分别为10,15的两独立样本均值差~Y X -________;2、设1621,...,,X X X 为取自总体)5.0,0(~2N X 的一个样本,若已知0.32)16(201.0=χ,则}8{1612∑=≥i i X P =________;3、设总体),(~2σμN X ,若μ和2σ均未知,n 为样本容量,总体均值μ的置信水平为α-1的置信区间为),(λλ+-X X ,则λ的值为________;4、设n X X X ,..,,21为取自总体),(~2σμN X 的一个样本,对于给定的显著性水平α,已知关于2σ检验的拒绝域为χ2≤)1(21--n αχ,则相应的备择假设1H 为________;5、设总体),(~2σμN X ,2σ已知,在显著性水平0.05下,检验假设00:μμ≥H ,01:μμ<H ,拒绝域是________。
1、)210(,N ; 2、0.01; 3、nS n t )1(2-α; 4、202σσ<; 5、05.0z z -≤。
二、选择题(本题15分,每题3分)1、设321,,X X X 是取自总体X 的一个样本,α是未知参数,以下函数是统计量的为()。
(A ))(321X X X ++α (B )321X X X ++ (C )3211X X X α(D )231)(31α-∑=i i X2、设n X X X ,...,,21为取自总体),(~2σμN X 的样本,X 为样本均值,212)(1X X n S i n i n -=∑=,则服从自由度为1-n 的t 分布的统计量为( )。
(A )σμ)-X n ( (B )n S X n )(μ- (C )σμ)--X n (1 (D )n S X n )(1μ--3、设n X X X ,,,21 是来自总体的样本,2)(σ=X D 存在, 212)(11X X n S i ni --=∑=, 则( )。
一、填空题(本题15分,每题3分)1、总体)3,20(~N X 的容量分别为10,15的两独立样本均值差~Y X -________;2、设1621,...,,X X X 为取自总体)5.0,0(~2N X 的一个样本,若已知0.32)16(201.0=χ,则}8{1612∑=≥i i X P =________;3、设总体),(~2σμN X ,若μ和2σ均未知,n 为样本容量,总体均值μ的置信水平为α-1的置信区间为),(λλ+-X X ,则λ的值为________;4、设n X X X ,...,,21为取自总体),(~2σμN X 的一个样本,对于给定的显著性水平α,已知关于2σ检验的拒绝域为χ2≤)1(21--n αχ,则相应的备择假设1H 为________;5、设总体),(~2σμN X ,2σ已知,在显著性水平0.05下,检验假设00:μμ≥H ,01:μμ<H ,拒绝域是________。
1、)210(,N ; 2、0.01; 3、nS n t )1(2-α; 4、202σσ<; 5、05.0z z -≤。
二、选择题(本题15分,每题3分)1、设321,,X X X 是取自总体X 的一个样本,α是未知参数,以下函数是统计量的为()。
(A ))(321X X X ++α (B )321X X X ++ (C )3211X X X α(D )231)(31α-∑=i i X2、设n X X X ,...,,21为取自总体),(~2σμN X 的样本,X 为样本均值,212)(1X X n S i n i n -=∑=,则服从自由度为1-n 的t 分布的统计量为( )。
(A )σμ)-X n ( (B )n S X n )(μ- (C )σμ)--X n (1 (D )n S X n )(1μ--3、设n X X X ,,,21 是来自总体的样本,2)(σ=X D 存在, 212)(11X X n S i ni --=∑=, 则( )。
(完整版)数理统计考试题及答案1、离散型随机变量X 的分布律为P (X=x i )=p i ,i=1.2…..,则11=∑=ni ip2、设两个随机变量X ,Y 的联合分布函数F (x ,y ),边际分布Fx (x ),Fy (y ),则X 、Y 相互独⽴的条件是)()(),(y F x F y x F Y X ?=3、 X 1,X 2,….X 10是总体X~N (0,1)的样本,若2102221X X X +++=ξ,则ξ的上侧分位数025.0ξ=解:因为X~N (0,1),所以2102221X X X +++=ξ~)10(2χ,查表得025.0ξ=20.54、设X~N (0,1),若Φ(x )=0.576,则Φ(-x )= 解:Φ(-x )=1-Φ(x )=1-0.576=0.4245、设X 1,X 2,….X n 是总体),(~2σµN X 的样本,∑=-=ni iXY 122)(1µσ,则EY=n解:∑=-=ni iXY 122)(1µσ~)(2n χ,E 2χ=n ,D 2χ=2n⼆、设设X 1,X 2,….X n 是总体),(~2σµN X 的样本,∑=-=612)(51i i X X s ,试求)5665.2(22σ≤s P 。
解:因为),(~2σµN X ,所以有)5(~)(126122χσ∑=-i i X X ,则≤-= ≤-=≤=≤∑∑==8325.12)(5665.25)()5665.2()5665.2(261226122222σσσσi ii i X X P X X P s P s P 查2χ分布表得=≤)5665.2(22σs P≤-∑=8325.12)(2612σi i X X P =1-α=1-0.0248=0.9752 三.设总体X 的概率密度为f(x)= (1),(01) 0a x x α?+<,其他,其中α>0,求参数α的矩估计和极⼤似然估计量。
一、 (满分12分)X X X n ,,,12是总体X 的随机样本, X 的密度函数为)( ⎩≥⎨=><<∞⎧-λλλx f x e x x 0,0()0,0(1) 求X 的特征函数;(2) 利用X 的特征函数,求EX D X ,(); (3) 求∑==S X k k n1的概率密度函数. 二、(满分8分))(>X X X n n ,,,1122是总体μσN (,)2的随机样本,记 ,∑∑∑∑+--===-=-=-==+==+S S n n n n Y X Y X S X Y S X Y Z n Y Y k k n k k n k k k k n n n n 11,,(),()1111()121111*2*212112212*22*2222求统计量Z 的分布.三、 (满分14分)总体X 服从均匀分布θU (0,), X X X n ,,,12为其样本,(1) 证明,==+=+θθθn X n X X n n ,(1)2ˆˆˆ11()2(1)3都是未知参数θ的无偏估计; (2) 比较这三个估计量的优劣性.四、(满分14分)测得两批电子器材的电阻值(单位:Ω)分别为:A 批: 30, 32, 34, 36, 38, 42, 48, 52, 52, 56B 批: 31, 33, 37, 42, 46, 48, 53, 55, 56, 59设A 批器材的电阻μσX N ~(,),112B 批器材的电阻μσY N ~(,)222,而且总体相互独立.在显著性水平=α0.05下,能否认为两批器材的电阻的分布相同? 五、(满分14分)X X X n ,,,12是总体X 的随机样本,X 的密度函数为他其)( ⎩⎪⎨=>⎪<<⎧-θθθθf x x x 0,(;)0,01111(1)求未知参数θ的极大似然估计量θˆ; (2)证明θˆ是未知参数θ的UMVUE .六、(满分8分)将一颗骰子掷了120次,所得结果如下: 点数i 1 2 3 4 5 6 出现次数νi232718221416试在显著性水平=α0.05下,检验一颗骰子是否均匀、对称?七、 (满分16分)假定在某种产品表面进行腐蚀刻线试验,得到腐蚀深度y 与腐蚀时间x 对应的数据如下:x s / 1 2 3 4 5 6 7 8 9 10 μy m /7101316182123252730应用线性模型⎩⎨⎧=++εσεεεεN y a bx n ~(0,),,,,212为其样本.(1) 求a 和b 的最小二乘估计及回归方程;(2) 在显著性水平=α0.05下,检验原假设=H b :00;(3)预测腐蚀时间为=x s 6.50时,腐蚀深度y 0的范围-=a (10.95); (4) 若要使腐蚀深度在20-26μm 之间,腐蚀时间应该如何控制(=α0.05).八、 (满分14分) 某种型号的电池4批,分别为四个工厂所生产.各随机抽取5只电池样品,得它们的寿命如下:A 140 48 40 42 45 A 2 26 34 30 28 32 A 339 40 41 50 50 A 43634404035试在显著性水平=α0.05下,检验各批电池的平均寿命有无显著性的差异. 附注:计算中可能用到的数据如下:,,,,,,)(======Φ===χF F F r F t t (99) 4.03(1,8) 5.32,(3,16) 3.24.511.071(8)0.6319(99) 3.18(1.96)0.975,(18) 2.101,(8) 2.306,0.9750.950.950.950.050.9520.9750.975一、(满分12) 解:(1)X 的特征函数为())1)00()()|1()it xitxit xX e itt f x e dx edx it λλλφλλλ---∞∞---∞-∞====---⎰⎰(((2)21222222221()1(0)(0)222()1(0)(0)1()X X X X X X i it i t EX i it t EX i DX EX EX φφφλλλλφφφλλλλλ----⎛⎫'''=-=== ⎪⎝⎭--⎛⎫''''''=-=== ⎪⎝⎭=-=,,;,,;.(3)S 的特征函数为S ()[()](1/)n n X t t it φφλ-==-所以),(λn Γ~ S ,其密度函数为.0,00,!1)(1S ⎪⎩⎪⎨⎧≤>-=--y y n e y y f yn n )(λλ 二、(满分8)解:根据抽样分布定理得,*2*22222121222*2*21212(1)(1)11~(,),~(,),~(1)~(1),,n S n S Y N Y N n n n n Y Y S S μσμσχχσσ----,并且,,相互独立.于是,212*2*212*2*2122~(0,)~(0,1)(1)(1)2~(22)21)(1)2Y Y N N n n S n S n n S n S σχσσ--+---+-,,相互独立. 由t 分布的定义得 ,~(16)~(22)t Z t n =-,即. 三、(满分14分)解: (1)X 的密度函数为X 的分布函数为 0,0(),01,x F x x x x θθθθ≤⎧⎪=<<⎨⎪≥⎩;)(n X 的密度函数为()11,0()[()]()0,n n n nX n x x f x n F x f x θθθθ--⎧<<⎪==⎨⎪⎩;;其他 ()1()01ˆ.1nn n nx n n EX n dx E E X n n θθθθθ+⎡⎤====⎢⎥+⎣⎦⎰, (1)X 的密度函数为(1)11(),0()[1()]()0,n n n X n x x f x n F x f x θθθθθ--⎧-<<⎪=-=⎨⎪⎩;;其他 1(1)2(1)0()ˆ(1)1n nx x EX n dx E E n X n θθθθθθ--⎡⎤===+=⎣⎦+⎰,. 3ˆ(2)2E E X EX θθ===. 所以,1()2(1)31ˆˆˆ,(1),2n n X n X X nθθθ+==+=都是θ的无偏估计量. 2)122222()()()()2()()2(2)(1)n n n n n nx n n EXn dx D X EX EX n n n θθθθ+===-=+++⎰, ()2122222(1)(1(1)(1)2()2()(2)(1)(2)(1)n nx x n EX n D X EX EX n n n n θθθθθ--===-=++++⎰,.10()0,x f x θθθ⎧<<⎪=⎨⎪⎩,;其他()()2221()2(1)31ˆˆˆ()()()(1)()2(2)23n n n D D X D D n X D D X n n n n nθθθθθθ+===+===++,,所以,当1n >,132ˆˆˆ()()()D D D θθθ<<, 132ˆˆˆθθθ最有效,次之,效果最差. 四、(满分14)解:首先检验 2222012112:,:H H σσσσ=≠ 当0H 成立时, *21*22~(9,9)S F F S =拒绝域为 0,975(9,9) 4.03F F ≥= 或0.0251(9,9)0.2484.03F F ≤== 得 *2*21242,88,46,99.3333x S y S ====*21*220.8859S F S ==由于0.2480.8859 4.03F <=<,所以接受0H ,即认为两批器材的电阻的方差没有显著性差异.在此基础上检验012112:,:H H μμμμ=≠ 当0H 成立时,~(18)t t =拒绝域为 0.975||(18) 2.101t t ≥= 计算可得0.9242t ==- 由于||0.9242 2.101t =<,所以接受0H ,即认为两批器材的电阻的均值没有显著性的差异.综合以上,可以认为两批器材的电阻的分布相同. 五、(满分14分)解:(1) 11111()(;)()0nnk kn k k L f x x θθθθθ-====>∏∏,取对数得,11ln ()ln 1ln nk k L n x θθθ=⎛⎫=-+- ⎪⎝⎭∑令211ln ()ln 0n k k d n L x d θθθθ==--=∑ 解得 =11ˆln nkk x n θ=-∑ 所以,未知参数θ的极大似然估计量 11ˆln n k k X n θ-=-∑. (2) :(;)0f x θθ>{}=(0,1)与未知参数θ无关.[]11101211222202111(ln )ln 1(ln )ln 2ln 11ˆˆln ,()ln ttn nk k k k tE X xx dx e dt t E X xx dx e dt D X E E X D D X n n n θθθθθθθθθθθθθθθ--∞--∞==-===-===-=⎡⎤⎡⎤=-==-=⎢⎥⎢⎥⎣⎦⎣⎦⎰⎰⎰⎰∑∑,,,,,2223222121ln 21);(ln )(θθθθθθθθ=+-=⎥⎦⎤⎢⎣⎡+-=⎥⎦⎤⎢⎣⎡∂∂-=X E X f E I 由于 21ˆ()()D nnI θθθ==, 所以,=11ˆln nkk X n θ=-∑是未知参数θ的有效估计量,也是未知参数θ的UMVUE . 六、(满分8分)解: 0111:(1,2,,6),:(1,2,,6)66i i H p i H p i ===不全是当0H 成立时, 26221()(5).k k k k np np νχχ=-=∑近似服从 拒绝域为 22210.95(5)=(5)11.071αχχχ-≥=经计算得 2621() 5.911.071k k k knp np νχ=-==<∑ 所以接受0H ,可以认为这个骰子是均匀、对称的. 七、(满分16)解:(1)21112111155,()82.5,19,()512,205.n nn k xx k k k k k n nyy k xy k k k k x x L x x y y n n L y y L x y nx y ========-====-==-⨯=∑∑∑∑∑.设a 和b 的最小二乘估计分别为aˆ和b ˆ,则 205ˆˆˆ 5.3333, 2.484882.5xy xx L ay bx b L =-==== 回归方程为 ˆˆˆ 5.3333 2.4848ya bx x =+=+. (2)0:,0:10≠=b H b H当0H 成立时, )2(~ˆˆ-=n t L bt xx e σ拒绝域为 1-/20.975||(2)(8) 2.306t t n t α≥-==计算可得,ˆ0.570839.541e t σ====,由于||39.541 2.306t =>,所以,拒绝0H ,认为回归效果显著.(3)当0 6.5x =时,ε++=00bx a y ,00ˆˆˆ21.4848y a bx =+= 由于, )2(~)(11ˆˆ2000--++-=n t Lxxx x n y yt e σ得到, αα-=-<-1)}2(|{|21n tt P所以,成本0y 的置信水平为α-1的预测区间为120012ˆˆˆˆ(2)(2).yt n y t n αασσ--⎛--+- ⎝代入数据计算可得,001122ˆ20.1ˆˆˆ((22.870e e y t n y t n αασσ----+-=,所以,当06x =.5,腐蚀深度0y 的置信水平为95.0的预测区间为20.10,22.87().(4)当腐蚀深度在20-26m μ之间,近似地有0.97511ˆˆ'(')(200.5708 1.96 5.3333) 6.35ˆ 2.4848e x y u a b σ=+-=+⨯-=0.97511ˆˆ''('')=(260.5708 1.96 5.3333)7.87ˆ 2.4848e x y u a bσ=---⨯-= 所以,腐蚀时间控制6.35~7.87s ,可以使腐蚀深度在20-26m μ之间. 八(满分14)、解:20,5,44321======n n n n n r)4,,2,1(:,:143210 ====k H H k μμμμμ不全相同.当0H 成立时, ),1(~1r n r F rn S r S F e A----=拒绝域为 10.95(1,)(3,16) 3.24F F r n r F α-≥--== . 计算可得,1122111111111143,()48n n k k k k x x n S x x n =====-=∑∑2222222222112130,()40n n kk k k x xn S x x n =====-=∑∑3322333333113144,()122n n k k k k x x n S x x n =====-=∑∑4422444444114137,()32n n kk k k x xn S x x n =====-=∑∑24212==∑=rk kk e S n S 42211()5()625rA k k k k k S n x x x x ===-=-=∑∑由于 113.77 3.24Ae S r F S n r-==>-,所以拒绝0H ,即认为不同厂家的电池的平均寿命有显著性差异.。
数理统计考试题及答案一、选择题1. 下列哪个选项是中心极限定理的主要内容?A. 样本均值的分布趋近于正态分布B. 样本方差的分布趋近于正态分布C. 样本中位数的分布趋近于正态分布D. 样本最大值的分布趋近于正态分布答案:A2. 假设检验中的两类错误是什么?A. 第一类错误和第二类错误B. 系统误差和随机误差C. 测量误差和估计误差D. 抽样误差和非抽样误差答案:A二、填空题1. 总体均值的估计量是_________。
答案:样本均值2. 在进行假设检验时,如果原假设被拒绝,则我们犯的是_________错误。
答案:第一类三、简答题1. 简述什么是置信区间,并说明其在统计分析中的作用。
答案:置信区间是指在一定置信水平下,用于估计总体参数的一个区间范围。
它的作用是在统计分析中提供对总体参数估计的不确定性度量,帮助我们了解估计值的可信度。
2. 解释什么是点估计和区间估计,并给出它们的区别。
答案:点估计是用样本统计量来估计总体参数的单个值。
区间估计是在一定置信水平下,给出总体参数可能落在的区间范围。
它们的区别在于点估计提供了一个具体的数值,而区间估计提供了一个包含该数值的区间,反映了估计的不确定性。
四、计算题1. 某工厂生产的零件长度服从正态分布,样本均值为50mm,样本标准差为1mm,样本容量为100。
求95%置信水平下的总体均值的置信区间。
答案:首先计算标准误差:\( SE = \frac{\sigma}{\sqrt{n}} =\frac{1}{\sqrt{100}} = 0.1 \)。
然后根据正态分布的性质,95%置信水平下的置信区间为:\( \bar{x} \pm 1.96 \times SE \)。
计算得到:\( 50 \pm 1.96 \times 0.1 = (49.84, 50.16) \)。
2. 假设某公司员工的日均工作时长服从正态分布,样本均值为8小时,样本标准差为0.5小时,样本容量为36。
数理统计期末试题及答案注意事项:本文为数理统计期末试题及答案,按照试题的要求,将试题和答案进行整理和排版,以便学生们参考和复习。
以下为试题及答案的详细内容。
一、选择题1. 下列哪个统计图可以用于表示定性变量的分布情况?A. 饼图B. 直方图C. 线图D. 散点图答案:A2. 假设某地区的年降雨量服从正态分布,平均降雨量为50mm,标准差为10mm。
设有一天的降雨量为X,X~N(50,10^2),则P(X≥60)等于多少?A. 0.1587B. 0.3413C. 0.5000D. 0.8413答案:D3. 在一场篮球赛中,甲队的命中率为75%,乙队的命中率为80%。
已知甲队共投篮20次,乙队共投篮30次。
问:甲队在这场比赛中命中球的次数比乙队多多少次?A. 1B. 2C. 3D. 4答案:B4. 某投资公司第一天投资100万美元,以后每天投资额为前一天的1/4。
设投资额构成一个等比数列,求该公司的总投资额。
A. 200万美元B. 240万美元C. 250万美元D. 300万美元答案:C5. 一个城市中共有A、B、C三个医院,过去一年中A医院门诊病人数占总病人数的1/3,B医院门诊病人数占总病人数的1/4,C医院门诊病人数占总病人数的1/6。
如果某天随机选择一位门诊病人,那么他就诊于C医院的概率是多少?A. 1/6B. 1/5C. 1/4D. 1/3答案:A二、计算题1. 设X为正态分布随机变量,已知X~N(50,16),求P(45≤X≤55)。
答案:要求P(45≤X≤55),可以使用标准正态分布表计算。
先求得标准化后的值:(45-50)/4=-1.25,(55-50)/4=1.25。
查表可得P(-1.25≤Z≤1.25)=0.7881-0.1056=0.6825。
故P(45≤X≤55)≈0.6825。
2. 甲、乙两人独立地各自以相同的速率生产零件,甲人生产的零件平均每小时有2个次品,乙人生产的零件平均每小时有3个次品。
数理统计试题及答案一、单项选择题(每题3分,共30分)1. 下列哪个选项是随机变量的期望值?A. 随机变量的众数B. 随机变量的中位数C. 随机变量的平均值D. 随机变量的方差答案:C2. 以下哪个分布是离散分布?A. 正态分布B. 均匀分布C. 泊松分布D. 指数分布答案:C3. 以下哪个统计量是度量数据离散程度的?A. 均值B. 方差C. 标准差D. 众数答案:B4. 以下哪个统计量是度量数据集中趋势的?A. 极差B. 方差C. 标准差D. 均值答案:D5. 以下哪个选项是中心极限定理的描述?A. 样本均值的分布是正态分布B. 样本方差的分布是正态分布C. 样本大小的分布是正态分布D. 总体均值的分布是正态分布答案:A6. 以下哪个选项是二项分布的参数?A. 样本大小B. 总体均值C. 成功概率D. 总体方差答案:C7. 以下哪个选项是描述总体的?A. 样本均值B. 样本方差C. 总体均值D. 总体方差答案:C8. 以下哪个选项是描述样本的?A. 总体均值B. 总体方差C. 样本均值D. 样本方差答案:C9. 以下哪个选项是描述变量之间关系的?A. 相关系数B. 标准差C. 方差D. 均值答案:A10. 以下哪个选项是描述变量内部关系的?A. 相关系数B. 标准差C. 方差D. 均值答案:C二、填空题(每题4分,共20分)1. 随机变量X服从标准正态分布,其均值为______,方差为______。
答案:0,12. 样本容量为n的样本均值的方差为总体方差σ²除以______。
答案:n3. 两个独立的随机变量X和Y的协方差为______。
答案:04. 相关系数ρ的取值范围在______和______之间。
答案:-1,15. 泊松分布的参数λ表示单位时间内发生事件的______。
答案:平均数三、简答题(每题10分,共20分)1. 简述中心极限定理的内容。
答案:中心极限定理指出,对于足够大的样本容量,样本均值的分布将趋近于正态分布,无论总体分布的形状如何。
《数理统计》课程习题集一、计算题1. 总体X 服从泊松分布()λP ,0>λ ,样本为n X ,,X 1 ;证明 ()111-∑=i n i i X X n 是2λ的无偏估计2. 某厂生产的40瓦灯管的使用寿命)100,(2μN X ~(单位:小时),现从这批灯管中任抽取9只,测得使用寿命如下:1450 1500 1370 1610 1430 1550 1580 1460 1550 试求这批灯管平均使用寿命的置信度为0.95的置信区间3. 设n X ,,X 1是来自总体为二项分布()p ,n B 的一个样本 ;证明 :X 是p 的无偏估计量,4. 设n X X ,,1 为简单样本,总体)(E X θ~分布,求参数θ的极大似然估计量θˆ; 5. 设总体()θE X ~ ()⎪⎩⎪⎨⎧>=-其他01x ex f xθθ 样本为n X ,,X 1,求参数θ的矩法估计量 。
6. 设n X ,,X 1是来自总体X 的样本,X 的数学期望为μ,样本值为 n x ,,x 1 是任意常数,验证∑∑∑===≠⎪⎭⎫⎝⎛n i ni ii n i i i )a(a X a 1110是μ的无偏估计量 。
7. 设n X X ,,1 为来自总体X ~1),(-=θθθx x f )10(<<x 的一个简单样本,其中0>θ 为未知参数,n x x ,,1 是X 的一组观察值。
求:θ 的矩估计。
8. 设某种清漆的9个样品,其干燥时间(以小时计)分别为6.0 5.7 5.8 6.57.0 6.3 5.6 6.1 5.0 设干燥时间总体服从正态分布()2,σμN , 求:μ的置信水平为95.0的置信区间 。
9. 设总体 {} ,,,x !x e x X P X x 210===-λλ~,样本为n X ,,X 1 , 样本值为 n x ,,x 1 ; 1、求 参数λ的矩法估计量 ; 2、求 参数λ的极大似然估计量10. 设某厂生产的细纱的强力X ~),(2σμN 分布, 任取九个样品测得强力如下:(单位:公斤)19.0 、 18.7 、 18.8 、 19.5 、 20.0 、 19.3 、 18.6 、 19.1 、 18.0 。
第一学期成人本科数理统计学试题一、选择题(每题1分,共30分)1、样本是总体中:(D)A、任意一部分B、典型部分C、有意义的部分D、有代表性的部分E、有价值的部分2、参数是指:(C)A、参与个体数B、研究个体数C、总体的统计指标D、样本的总和E、样本的统计指标3、抽样的目的是:(E)A、研究样本统计量B、研究总体统计量C、研究典型案例D、研究误差E、样本推断总体参数4、脉搏数(次/分)是:(B)A、观察单位B、数值变量C、名义变量D.等级变量E.研究个体5、疗效是:(D)A、观察单位B、数值变量C、名义变量D、等级变量E、研究个体6、抽签的方法属于(D)A、分层抽样B、系统抽样C、整群抽样D、单纯随机抽样E、二级抽样7、统计工作的步骤正确的是(C)A、收集资料、设计、整理资料、分析资料B、收集资料、整理资料、设计、统计推断C、设计、收集资料、整理资料、分析资料D、收集资料、整理资料、核对、分析资料E、搜集资料、整理资料、分析资料、进行推断8、实验设计中要求严格遵守四个基本原则,其目的是为了:(D)A、便于统计处理B、严格控制随机误差的影响C、便于进行试验D、减少和抵消非实验因素的干扰E、以上都不对9、对照组不给予任何处理,属(E)A、相互对照B、标准对照C、实验对照D、自身对照E、空白对照10、统计学常将P≤0.05或P≤0.01的事件称(D)A、必然事件B、不可能事件C、随机事件D、小概率事件E、偶然事件11、医学统计的研究内容是(E)A、研究样本B、研究个体C、研究变量之间的相关关系D、研究总体E、研究资料或信息的收集.整理和分析12、统计中所说的总体是指:(A)A、根据研究目的确定的同质的研究对象的全体B、随意想象的研究对象的全体C、根据地区划分的研究对象的全体D、根据时间划分的研究对象的全体E、根据人群划分的研究对象的全体13、概率P=0,则表示(B)A、某事件必然发生B、某事件必然不发生C、某事件发生的可能性很小D、某事件发生的可能性很大E、以上均不对14、总体应该由(D)A、研究对象组成B、研究变量组成C、研究目的而定D、同质个体组成E、个体组成15、在统计学中,参数的含义是(D)A、变量B、参与研究的数目C、研究样本的统计指标D、总体的统计指标E、与统计研究有关的变量16、调查某单位科研人员论文发表的情况,统计每人每年的论文发表数应属于(A)A、计数资料B、计量资料C、总体D、个体E、样本17、统计学中的小概率事件,下面说法正确的是:(B)A、反复多次观察,绝对不发生的事件B、在一次观察中,可以认为不会发生的事件C、发生概率小于0.1的事件D、发生概率小于0.001的事件E、发生概率小于0.1的事件18、统计上所说的样本是指:(D)A、按照研究者要求抽取总体中有意义的部分B、随意抽取总体中任意部分C、有意识的抽取总体中有典型部分D、按照随机原则抽取总体中有代表性部分E、总体中的每一个个体19、以舒张压≥12.7KPa为高血压,测量1000人,结果有990名非高血压患者,有10名高血压患者,该资料属(B)资料。
《数理统计》考试题及参考答案一、填空题(每小题3分,共15分)1,设总体X 和Y 相互独立,且都服从正态分布2(0,3)N ,而129(,,)X X X 和129(,,)Y Y Y 是分别来自X 和Y的样本,则U =服从的分布是_______ .解:(9)t .2,设1ˆθ与2ˆθ都是总体未知参数θ的估计,且1ˆθ比2ˆθ有效,则1ˆθ与2ˆθ的期望与方差满足_______ .解:1212ˆˆˆˆ()(), ()()E E D D θθθθ=<. 3,“两个总体相等性检验”的方法有_______ 与____ ___.解:秩和检验、游程总数检验.4,单因素试验方差分析的数学模型含有的三个基本假定是_______ . 解:正态性、方差齐性、独立性.5,多元线性回归模型=+Y βX ε中,β的最小二乘估计是ˆβ=_______ .解:1ˆ-''X Y β=()X X . 二、单项选择题(每小题3分,共15分)1,设12(,,,)(2)n X X X n ≥为来自总体(0,1)N 的一个样本,X 为样本均值,2S 为样本方差,则____D___ .(A )(0,1)nXN ; (B )22()nS n χ;(C )(1)()n Xt n S-; (D )2122(1)(1,1)nii n X F n X=--∑.2,若总体2(,)X N μσ,其中2σ已知,当置信度1α-保持不变时,如果样本容量n 增大,则μ的置信区间____B___ .(A )长度变大; (B )长度变小; (C )长度不变; (D )前述都有可能.3,在假设检验中,分别用α,β表示犯第一类错误和第二类错误的概率,则当样本容量n 一定时,下列说法中正确的是____C___ .(A )α减小时β也减小; (B )α增大时β也增大; (C ),αβ其中一个减小,另一个会增大; (D )(A )和(B )同时成立.4,对于单因素试验方差分析的数学模型,设T S 为总离差平方和,e S 为误差平方和,A S 为效应平方和,则总有___A___ .(A )T e A S S S =+; (B )22(1)AS r χσ-;(C )/(1)(1,)/()A e S r F r n r S n r ----; (D )A S 与e S 相互独立.5,在一元回归分析中,判定系数定义为2TS R S =回,则___B____ . (A )2R 接近0时回归效果显著; (B )2R 接近1时回归效果显著; (C )2R 接近∞时回归效果显著; (D )前述都不对. 三、(本题10分)设总体21(,)XN μσ、22(,)Y N μσ,112(,,,)n X X X 和212(,,,)n Y Y Y 分别是来自X 和Y 的样本,且两个样本相互独立,X Y 、和22X Y S S 、分别是它们的样本均值和样本方差,证明12(2)X Y t n n +-,其中2221212(1)(1)2X Yn S n S S n n ω-+-=+-.证明:易知221212(,)X YN n n σσμμ--+,(0,1)X Y U N =.由定理可知22112(1)(1)Xn S n χσ--,22222(1)(1)Yn S n χσ--.由独立性和2χ分布的可加性可得222121222(1)(1)(2)XYn S n S V n n χσσ--=++-.由U 与V 得独立性和t 分布的定义可得12(2)X Y t n n =+-.四、(本题10分)已知总体X 的概率密度函数为1,0(),0, xe xf x θθ-⎧>⎪=⎨⎪⎩其它其中未知参数0θ>,12(,,,)n X X X 为取自总体的一个样本,求θ的矩估计量,并证明该估计量是无偏估计量.解:(1)()101()xv E X xf x dx xe dx θθθ-∞∞-∞====⎰⎰,用111ni i v X X n ===∑代替,所以∑===ni iX Xn11ˆθ.(2)11ˆ()()()()ni i E E X E X E X n θθ=====∑,所以该估计量是无偏估计.五、(本题10分)设总体X 的概率密度函数为(;)(1),01f x x x θθθ=+<<,其中未知参数1θ>-,12(,,)n X X X 是来自总体X 的一个样本,试求参数θ的极大似然估计.解:1 (1)() , 01() 0 , nn i i i x x L θθθ=⎧+∏<<⎪=⎨⎪⎩其它当01i x <<时,1ln ()ln(1)ln ni i L n x θθθ==++∑,令1ln ()ln 01ni i d L nx d θθθ==+=+∑,得 1ˆ1ln nii nxθ==--∑.六、(本题10分)设总体X 的密度函数为e ,>0;(;)0,0,x x f x x λλλ-⎧=⎨≤⎩ 未知参数0λ>,12(,,)n X X X 为总体的一个样本,证明X 是1λ的一个UMVUE . 证明:由指数分布的总体满足正则条件可得222211()ln (;)I E f x E λλλλλ⎡⎤∂-⎛⎫=-=-= ⎪⎢⎥∂⎝⎭⎣⎦,1λ的的无偏估计方差的C-R 下界为 2221221[()]11()nI n n λλλλλ-⎡⎤⎢⎥'⎣⎦==.另一方面()1E X λ=, 21V a r ()X n λ=, 即X 得方差达到C-R 下界,故X 是1λ的UMVUE . 七、(本题10分)合格苹果的重量标准差应小于0.005公斤.在一批苹果中随机取9个苹果称重, 得其样本标准差为007.0=S 公斤, 试问:(1)在显著性水平05.0=α下, 可否认为该批苹果重量标准差达到要求? (2)如果调整显著性水平0.025α=,结果会怎样?参考数据: 023.19)9(2025.0=χ, 919.16)9(205.0=χ, 535.17)8(2025.0=χ, 507.15)8(205.0=χ.解:(1)()()2222021:0.005,~8n S H σχχσ-≤=,则应有: ()()2220.050.0580.005,(8)15.507P χχχ>=⇒=, 具体计算得:22280.00715.6815.507,0.005χ⨯==>所以拒绝假设0H ,即认为苹果重量标准差指标未达到要求.(2)新设 20:0.005,H σ≤ 由2220.025280.00717.535,15.6817.535,0.005χχ⨯=⇒==< 则接受假设,即可以认为苹果重量标准差指标达到要求.八、(本题10分)已知两个总体X 与Y 独立,211~(,)X μσ,222~(,)Y μσ,221212, , , μμσσ未知,112(,,,)n X X X 和212(,,,)n Y Y Y 分别是来自X 和Y 的样本,求2122σσ的置信度为1α-的置信区间.解:设22, X Y S S 分别表示总体X Y ,的样本方差,由抽样分布定理可知221121(1)(1)Xn S n χσ--,222222(1)(1)Yn S n χσ--,由F 分布的定义可得211222121222221222(1)(1)(1,1)(1)(1)XX YY n S n S F F n n n S S n σσσσ--==----.对于置信度1α-,查F 分布表找/212(1,1)F n n α--和1/212(1,1)F n n α---使得 []/2121/212(1,1)(1,1)1P F n n F F n n ααα---<<--=-, 即22222121/2122/212//1(1,1)(1,1)X Y X Y S S S S P F n n F n n αασασ-⎛⎫<<=- ⎪----⎝⎭, 所求2221σσ的置信度为α-1的置信区间为 22221/212/212//, (1,1)(1,1)X Y X Y S S S S F n n F n n αα-⎛⎫ ⎪----⎝⎭.九、(本题10分)试简要论述线性回归分析包括哪些内容或步骤.解:建立模型、参数估计、回归方程检验、回归系数检验、变量剔除、预测.。
数理统计考试试卷一、填空题(本题15分,每题3分)1、总体)3,20(~N X 的容量分别为10,15的两独立样本均值差~Y X -________;2、设1621,...,,X X X 为取自总体)5.0,0(~2N X 的一个样本,若已知0.32)16(201.0=χ,则}8{1612∑=≥i i X P =________;3、设总体),(~2σμN X ,若μ和2σ均未知,n 为样本容量,总体均值μ的置信水平为α-1的置信区间为),(λλ+-X X ,则λ的值为________;4、设n X X X ,..,,21为取自总体),(~2σμN X 的一个样本,对于给定的显著性水平α,已知关于2σ检验的拒绝域为χ2≤)1(21--n αχ,则相应的备择假设1H 为________;5、设总体),(~2σμN X ,2σ已知,在显著性水平0.05下,检验假设00:μμ≥H ,01:μμ<H ,拒绝域是________。
1、)210(,N ; 2、0.01; 3、nS n t )1(2-α; 4、202σσ<; 5、05.0z z -≤。
二、选择题(本题15分,每题3分)1、设321,,X X X 是取自总体X 的一个样本,α是未知参数,以下函数是统计量的为()。
(A ))(321X X X ++α (B )321X X X ++ (C )3211X X X α(D )231)(31α-∑=i i X2、设n X X X ,...,,21为取自总体),(~2σμN X 的样本,X 为样本均值,212)(1X X n S i n i n -=∑=,则服从自由度为1-n 的t 分布的统计量为( )。
(A )σμ)-X n ( (B )n S X n )(μ- (C )σμ)--X n (1 (D )n S X n )(1μ--3、设n X X X ,,,21 是来自总体的样本,2)(σ=X D 存在, 212)(11X X n S i ni --=∑=, 则( )。
(A )2S 是2σ的矩估计(B )2S 是2σ的极大似然估计(C )2S 是2σ的无偏估计和相合估计 (D )2S 作为2σ的估计其优良性与分布有关4、设总体),(~),,(~222211σμσμN Y N X 相互独立,样本容量分别为21,n n ,样本方差分别为2221,S S ,在显著性水平α下,检验2221122210:,:σσσσ<≥H H 的拒绝域为( )。
(A ))1,1(122122--≥n n F s s α (B ))1,1(12212122--≥-n n Fs s α(C ))1,1(212122--≤n n F s s α (D ))1,1(21212122--≤-n n Fs s α5、设总体),(~2σμN X ,2σ已知,μ未知,n x x x ,,,21 是来自总体的样本观察值,已知μ的置信水平为0.95的置信区间为(4.71,5.69),则取显著性水平05.0=α时,检验假设0.5:,0.5:10≠=μμH H 的结果是( )。
(A )不能确定 (B )接受0H (C )拒绝0H (D )条件不足无法检验 1、B ; 2、D ; 3、C ; 4、A ; 5、B.三、(本题14分) 设随机变量X 的概率密度为:⎪⎩⎪⎨⎧<<=其他θθx x x f 0,0,2)(2,其中未知参数0>θ,n X X ,,1 是来自X 的样本,求(1)θ的矩估计;(2)θ的极大似然估计。
解:(1) θθθ322)()(022===⎰⎰∞+∞-x d xx d x f x X E ,令θ32)ˆ(==X XE ,得X 23ˆ=θ为参数θ的矩估计量。
(2)似然函数为:),,2,1(,022),(1212n i x x x x L i ni i nnni ii =<<==∏∏==θθθθ,, 而)(θL 是θ的单调减少函数,所以θ的极大似然估计量为},,,max{ˆ21nX X X =θ。
四、(本题14分)设总体),0(~2σN X ,且1021,x x x 是样本观察值,样本方差22=s , (1)求2σ的置信水平为0.95的置信区间;(2)已知)1(~222χσX Y =,求⎪⎪⎭⎫⎝⎛32σX D 的置信水平为0.95的置信区间;(70.2)9(2975.0=χ,023.19)9(2025.0=χ)。
解:(1)2σ的置信水平为0.95的置信区间为⎪⎪⎭⎫ ⎝⎛)9(18,)9(182975.02025.0χχ,即为(0.9462,6.6667); (2)⎪⎪⎭⎫ ⎝⎛32σX D =2222222)]1([11σχσσσ==⎪⎪⎭⎫ ⎝⎛D X D ; 由于2322σσ=⎪⎪⎭⎫ ⎝⎛X D 是2σ的单调减少函数,置信区间为⎪⎪⎭⎫ ⎝⎛222,2σσ, 即为(0.3000,2.1137)。
五、(本题10分)设总体X 服从参数为θ的指数分布,其中0>θ未知,n X X ,,1 为取自总体X 的样本, 若已知)2(~221n X U ni i χθ∑==,求: (1)θ的置信水平为α-1的单侧置信下限;(2)某种元件的寿命(单位:h )服从上述指数分布,现从中抽得容量为16的样本,测得样本均值为5010(h ),试求元件的平均寿命的置信水平为0.90的单侧置信下限。
)585.42)32(,985.44)31((210.0205.0==χχ。
解:(1) ,1)2(2,1)2(222αχθαχθαα-=⎪⎭⎪⎬⎫⎪⎩⎪⎨⎧>∴-=⎭⎬⎫⎩⎨⎧<n X n P n X n P即θ的单侧置信下限为)2(22n X n αχθ=;(2)706.3764585.425010162=⨯⨯=θ。
六、(本题14分)某工厂正常生产时,排出的污水中动植物油的浓度)1,10(~N X ,今阶段性抽取10个水样,测得平均浓度为10.8(mg/L ),标准差为1.2(mg/L ),问该工厂生产是否正常?(220.0250.0250.9750.05,(9) 2.2622,(9)19.023,(9) 2.700t αχχ====)解:(1)检验假设H 0:σ2=1,H 1:σ2≠1; 取统计量:222)1(σχs n -=;拒绝域为:χ2≤)9()1(2975.0221χχα=--n =2.70或χ2≥2025.022)1(χχα=-n =19.023,经计算:96.1212.19)1(2222=⨯=-=σχs n ,由于)023.19,700.2(96.122∈=χ2,故接受H 0,即可以认为排出的污水中动植物油浓度的方差为σ2=1。
(2)检验假设101010≠'='μμ:,:H H ; 取统计量:10/10S X t -=~ )9(2αt ;拒绝域为2622.2)9(025.0=≥t t ;1028.210/2.1108.10=-=t <2.2622 ,所以接受0H ', 即可以认为排出的污水中动植物油的平均浓度是10(mg/L )。
综上,认为工厂生产正常。
七、(本题10分)设4321,,,X X X X 为取自总体)4,(~2μN X 的样本,对假设检验问题5:,5:10≠=μμH H ,(1)在显著性水平0.05下求拒绝域;(2)若μ=6,求上述检验所犯的第二类错误的概率β。
解:(1) 拒绝域为96.1254/45025.0=≥-=-=z x x z ; (2)由(1)解得接受域为(1.08,8.92),当μ=6时,接受0H 的概率为921.02608.12692.8}92.808.1{=⎪⎭⎫⎝⎛-Φ-⎪⎭⎫⎝⎛-Φ=<<=X P β。
八、(本题8分)设随机变量X 服从自由度为),(n m 的F 分布,(1)证明:随机变量X1服从 自由度为),(m n 的F 分布;(2)若n m =,且05.0}{=>αX P ,求}1{α>X P 的值。
证明:因为),(~n m F X ,由F 分布的定义可令nV mU X //=,其中)(~),(~22n V m U χχ,U 与V 相互独立,所以),(~//1m n F m U n V X =。
当n m =时,X 与X 1服从自由度为),(n n 的F 分布,故有=>}{αX P }1{α>X P ,从而 95.005.01}{1}1{1}1{}1{=-=>-=>-=<=>ααααX P XP X P X P 。
数理统计试卷参考答案一、填空题(本题15分,每题3分) 1、)210(,N ; 2、0.01; 3、nS n t )1(2-α; 4、202σσ<; 5、05.0z z -≤。
二、选择题(本题15分,每题3分) 1、B ; 2、D ; 3、C ; 4、A ; 5、B.三、(本题14分)解:(1) θθθ322)()(022===⎰⎰∞+∞-x d xx d x f x X E ,令θ32)ˆ(==X XE ,得X 23ˆ=θ为参数θ的矩估计量。
(2)似然函数为:),,2,1(,022),(1212n i x x x x L i ni i nnni ii =<<==∏∏==θθθθ,, 而)(θL 是θ的单调减少函数,所以θ的极大似然估计量为},,,max{ˆ21nX X X =θ。
四、(本题14分)解:(1)2σ的置信水平为0.95的置信区间为⎪⎪⎭⎫ ⎝⎛)9(18,)9(182975.02025.0χχ,即为(0.9462,6.6667); (2)⎪⎪⎭⎫ ⎝⎛32σX D =2222222)]1([11σχσσσ==⎪⎪⎭⎫ ⎝⎛D X D ; 由于2322σσ=⎪⎪⎭⎫ ⎝⎛X D 是2σ的单调减少函数,置信区间为⎪⎪⎭⎫ ⎝⎛222,2σσ, 即为(0.3000,2.1137)。
五、(本题10分)解:(1) ,1)2(2,1)2(222αχθαχθαα-=⎪⎭⎪⎬⎫⎪⎩⎪⎨⎧>∴-=⎭⎬⎫⎩⎨⎧<n X n P n X n P即θ的单侧置信下限为)2(22n X n αχθ=;(2)706.3764585.425010162=⨯⨯=θ。
六、(本题14分)解:(1)检验假设H 0:σ2=1,H 1:σ2≠1; 取统计量:222)1(σχs n -=;拒绝域为:χ2≤)9()1(2975.0221χχα=--n =2.70或χ2≥2025.022)1(χχα=-n =19.023,经计算:96.1212.19)1(2222=⨯=-=σχs n ,由于)023.19,700.2(96.122∈=χ2,故接受H 0,即可以认为排出的污水中动植物油浓度的方差为σ2=1。