初中八年级数学上册幂的运算评估测试题及答案
- 格式:doc
- 大小:308.00 KB
- 文档页数:5
幂的运算综合题专练(含答案)幂的运算综合题专练一.解答题(共30小题)1.已知x2m=2,求(2x3m)2﹣(3x m)2的值.2.若2•8n•16n=222,求n的值.3.已知a x=﹣2,a y=3.求:(1)a x+y的值;(2)a3x的值;(3)a3x+2y的值.4.已知2m=5,2n=7,求 24m+2n的值.5.已知(a x)y=a6,(a x)2÷a y=a3(1)求xy和2x﹣y的值;(2)求4x2+y2的值.6.已知9n+1﹣32n=72,求n的值.7.已知:5a=4,5b=6,5c=9,(1)52a+b的值;(2)5b﹣2c的值;(3)试说明:2b=a+c.8.已知 a m=2,a n=4,a k=32(a≠0).(1)求a3m+2n﹣k的值;(2)求k﹣3m﹣n的值.9.已知a m=5,a2m+n=75,求①a n;②a3n﹣2m的值.10.已知10a=5,10b=6,求:(1)102a+103b的值;(2)102a+3b的值.11.用幂的运算知识,你能比较出3555与4444和5333的大小吗?请给出科学详细的证明过程.12.已知x6﹣b•x2b+1=x11,且y a﹣1•y4﹣b=y5,求a+b的值.13.已知x3=m,x5=n用含有m、n的代数式表示x14.14.已知2m=a,2n=b(m,n为正整数).(1)2m+2=,22n=.(2)求23m+2n﹣2的值.15.将幂的运算逆向思维可以得到a m+n=a m•a n,a m﹣n=a m÷a n,a mn=(a m)n,a m b m=(ab)m,在解题过程中,根据算式的结构特征,逆向运用幂的运算法则,常可化繁为简,化难为易,使问题巧妙获解,收到事半功倍的效果如:(1)=;(2)若3×9m×27m=311,则m的值为;(3)比较大小:a=255,b=344,c=533,d=622,则a、b、c、d的大小关系是.(提示:如果a>b>0,n为正整数,那么a n>b n)16.已知4m=2,8n=5,(1)求:22m+3n的值;(2)求:24m﹣6n的值.17.已知3m=6,9n=2,求32m﹣4n+1的值.18.(1)若x n=2,y n=3,求(x2y)2n的值.(2)若3a=6,9b=2,求32a﹣4b+1的值.19.已知3×9m×27m=321,求(﹣m2)3÷(m3•m2)的值.20.若2x+5y﹣3=0,求4x•32y的值.21.(1)已知a x=5,a x+y=25,求a x+a y的值;(2)已知10α=5,10β=6,求102α+2β的值.22.已知2a=5,2b=3,求2a+b+3的值.23.若(a m+1b n+2)(a2n﹣1b2n)=a5b3,则求m+n的值.24.已知2x=8y+2,9y=3x﹣9,求x+2y的值.25.已知2x+3y﹣3=0,求9x•27y的值.26.已知3x+2•5x+2=153x﹣4,求(x﹣1)2﹣3x(x﹣2)﹣4的值.27.已知:2x+3y﹣4=0,求4x•8y的值.28.已知n为正整数,且x2n=4(1)求x n﹣3•x3(n+1)的值;(2)求9(x3n)2﹣13(x2)2n的值.29.已知4m=y﹣1,9n=x,22m+1÷32n﹣1=12,试用含有字母x的代数式表示y.30.“若a m=a n(a>0且a≠1,m、n是正整数),则m=n”.你能利用上面的结论解决下面的问题吗?试试看,相信你一定行!(1)如果27x=39,求x的值;(2)如果2÷8x•16x=25,求x的值;(3)如果3x+2•5x+2=153x﹣8,求x的值.幂的运算综合题专练参考答案与试题解析一.解答题(共30小题)1.已知x2m=2,求(2x3m)2﹣(3x m)2的值.【分析】根据积的乘方等于每个因式分别乘方,再把所得的幂相乘,可得已知条件,根据已知条件,可得计算结果.【解答】解:原式=4x6m﹣9x2m=4(x2m)3﹣9x2m=4×23﹣9×2=14.【点评】本题考查了幂的乘方与积得乘方,先由积的乘方得出已知条件是解题关键.2.若2•8n•16n=222,求n的值.【分析】把等号左边的数都能整理成以2为底数的幂相乘,再根据同底数幂相乘,底数不变指数相加计算,然后根据指数相等列式求解即可.【解答】解:2•8n•16n,=2×23n×24n,=27n+1,∵2•8n•16n=222,∴7n+1=22,解得n=3.【点评】本题主要考查同底数幂的乘法的性质,熟练掌握性质是解题的关键.3.已知a x=﹣2,a y=3.求:(1)a x+y的值;(2)a3x的值;(3)a3x+2y的值.【分析】(1)逆运用同底数幂相乘,底数不变指数相加解答;(3)逆运用幂的乘方,底数不变指数相乘解答;(3)逆运用幂的乘方和同底数幂的乘法进行计算即可得解.【解答】解:(1)a x+y=a x•b y=﹣2×3=﹣6;(2)a3x=(a x)3=(﹣2)3=﹣8;(3)a3x+2y=(a3x)•(a2y)=(a x)3•(a y)2=(﹣2)3•32=﹣8×9=﹣72.【点评】本题考查了同底数幂的乘法,幂的乘方的性质,熟练掌握运算性质并灵活运用是解题的关键.4.已知2m=5,2n=7,求 24m+2n的值.【分析】根据同底数幂的除法,底数不变指数相减;同底数幂的乘法,底数不变指数相加;幂的乘方,底数不变指数相乘计算即可.【解答】解:∵2m=5,2n=7,又∵24m=625,∴22n=49,∴24m+2n=625×49=30625故答案为30625.【点评】本题考查同底数幂的除法,同底数幂的乘法,幂的乘方,解题时记准法则是关键.5.已知(a x)y=a6,(a x)2÷a y=a3(1)求xy和2x﹣y的值;(2)求4x2+y2的值.【分析】(1)利用积的乘方和同底数幂的除法,即可解答;(2)利用完全平方公式,即可解答.【解答】解:(1)∵(a x)y=a6,(a x)2÷a y=a3∴a xy=a6,a2x÷a y=a2x﹣y=a3,∴xy=6,2x﹣y=3.(2)4x2+y2=(2x﹣y)2+4xy=32+4×6=9+24=33.【点评】本题考查了同底数幂的除法,积的乘方,以及完全平分公式,解决本题的关键是熟记相关公式.6.已知9n+1﹣32n=72,求n的值.【分析】由于72=9×8,而9n+1﹣32n=9n×8,所以9n=9,从而得出n的值.【解答】解:∵9n+1﹣32n=9n+1﹣9n=9n(9﹣1)=9n×8,而72=9×8,∴当9n+1﹣32n=72时,9n×8=9×8,∴9n=9,∴n=1.【点评】主要考查了幂的乘方的性质以及代数式的恒等变形.本题能够根据已知条件,结合72=9×8,将9n+1﹣32n变形为9n×8,是解决问题的关键.7.已知:5a=4,5b=6,5c=9,(1)52a+b的值;(2)5b﹣2c的值;(3)试说明:2b=a+c.【分析】(1)根据同底数幂的乘法,可得底数相同的幂的乘法,根据根据幂的乘方,可得答案;(2)根据同底数幂的除法,可得底数相同幂的除法,根据幂的乘方,可得答案;(3)根据同底数幂的乘法、幂的乘方,可得答案.【解答】解:(1)52a+b=52a×5b=(5a)2×5b=42×6=96(2)5b﹣2c=5b÷(5c)2=6÷92=6÷81=2/27(3)5a+c=5a×5c=4×9=3652b=62=36,因此5a+c=52b所以a+c=2b.【点评】本题考查了同底数幂的除法,根据法则计算是解题关键.8.已知 a m=2,a n=4,a k=32(a≠0).(1)求a3m+2n﹣k的值;(2)求k﹣3m﹣n的值.【分析】(1)首先求出a3m=23,a2n=42=24,a k=32=25,然后根据同底数幂的乘法、除法法则计算即可;(2)首先求出a k﹣3m﹣n的值是1;然后根据a0=1,求出k﹣3m﹣n的值是多少即可.【解答】解:(1)∵a3m=23,a2n=42=24,a k=32=25,∴a3m+2n﹣k=a3m•a2n÷a k=23•24÷25=23+4﹣5=22=4;(2)∵a k﹣3m﹣n=25÷23÷22=20=1=a0,∴k﹣3m﹣n=0,即k﹣3m﹣n的值是0.【点评】(1)此题主要考查了同底数幂的乘法法则:同底数幂相乘,底数不变,指数相加,要熟练掌握.(2)此题还考查了同底数幂的除法法则:同底数幂相除,底数不变,指数相减,要熟练掌握.(3)此题还考查了幂的乘方和积的乘方,要熟练掌握,解答此题的关键是要明确:①(a m)n=a mn(m,n是正整数);②(ab)n=a n b n(n是正整数).9.已知a m=5,a2m+n=75,求①a n;②a3n﹣2m的值.【分析】①根据幂的乘方,可得要求的形式,根据同底数幂的乘法,可得答案;②根据幂的乘方,可得要求的形式,根据同底数幂的除法,可得答案.【解答】解:①由a m=5,平方,得a2m=25.由同底数幂的乘法,得a2m+n=a2m•a n=75,即a n=75÷a2m=75÷25=3;②立方,得a3n=33=27,由同底数幂的除法,得a3n﹣2m=a3n÷a2m=27÷25=.【点评】本题考查了同底数幂的除法,先利用幂的乘方化成要求的形式,再利用同底数幂的乘除法.10.已知10a=5,10b=6,求:(1)102a+103b的值;(2)102a+3b的值.【分析】(1)根据幂的乘方,可得要求的形式,根据有理数的加法,可得答案;(2)根据幂的乘方,可得幂的形式,根据同底数幂的乘法,可得答案.【解答】解:(1)原式=(10a)2+(10b)3=52+63=241;(2)原式=(10a)2•(10b)3=52×63=5400.【点评】本题考查了幂的乘方,先算幂的乘方,再算幂的乘法.11.用幂的运算知识,你能比较出3555与4444和5333的大小吗?请给出科学详细的证明过程.【分析】此题根据幂的乘方,底数不变,指数相乘,把3555、4444和5333变形为指数相同的三个数,再比较它们的底数即可求出答案.【解答】解:因为它们的指数为555,444,333,具有公因式111,所以3555=(35)111=243111,4444=(44)111=256111,5333=(53)111=125111,而256111>243111>125111,所以4444>3555>5333【点评】此题考查了幂的乘方与积的乘方,此题较简单,解题时要能把三个数变形为指数相同的三个数是此题的关键.12.已知x6﹣b•x2b+1=x11,且y a﹣1•y4﹣b=y5,求a+b的值.【分析】根据同底数幂的乘法法则,可得出关于a、b的方程组,解出即可得出a、b,代入可得出代数式的值.【解答】解:∵x6﹣b•x2b+1=x11,且y a﹣1•y4﹣b=y5,∴,解得:,则a+b=10.【点评】本题考查了同底数幂的乘法,属于基础题,掌握同底数幂的乘法法则是关键.13.已知x3=m,x5=n用含有m、n的代数式表示x14.【分析】根据幂的乘方和同底数幂的乘法的性质可得出m、n的代数式.【解答】解:根据题意可把14次方分为9次方加5次方,∵x3=m,x5=n,∴x14=x9•x5=(x3)3•x5=m3n.【点评】本题考查幂的乘方和同底数幂的乘法,属于基础题,关键在于掌握幂的乘方的运用.14.已知2m=a,2n=b(m,n为正整数).(1)2m+2=,22n=2b.【分析】(1)分别求出m、n的值,然后代入即可;(2)先求出3m+2n+2的值,然后求解.【解答】解:(1)m=,n=,则2m+2=,22n=2b;(2)3m+2n﹣2=a+b﹣2,则23m+2n﹣2=.故答案为:,2b.【点评】本题考查了同底数幂的除法,涉及了同底数幂的乘法、幂的乘方和积的乘方等运算,掌握运算法则是解答本题的关键.15.将幂的运算逆向思维可以得到a m+n=a m•a n,a m﹣n=a m÷a n,a mn=(a m)n,a m b m=(ab)m,在解题过程中,根据算式的结构特征,逆向运用幂的运算法则,常可化繁为简,化难为易,使问题巧妙获解,收到事半功倍的效果如:(1)=1;(2)若3×9m×27m=311,则m的值为2;(3)比较大小:a=255,b=344,c=533,d=622,则a、b、c、d的大小关系是a<d<b<c.(提示:如果a>b>0,n为正整数,那么a n>b n)【分析】(1)根据积的乘方公式,进行逆运算,即可解答;(2)转化为同底数幂进行计算,即可解答;(3)转化为指数相同,再比较底数的大小,即可解答.【解答】解:(1)==12013,故答案为:1.(2)3×9m×27m=3×(32)m×(33)m=3×32m×33m=31+5m=311,∴1+5m=11,解得:m=2.故答案为:2.(3)a=255=(25)11=3211,b=344=(34)11=8111,c=533=(53)11=12511,d=622=(62)11=3611,∵32<36<81<125,∴3211<3611<8111<12511∴a<d<b<c,故答案为:a<d<b<c.【点评】本题考查了幂的乘方和积的乘方,解决本题的关键是公式的逆运用.16.已知4m=2,8n=5,(2)求:24m﹣6n的值.【分析】(1)直接利用积的乘方运算法则结合同底数幂的乘法运算法则求出即可;(2)利用幂的乘方运算法则结合同底数幂的除法运算法则求出即可.【解答】解:(1)∵4m=2,8n=5,∴22m=2,23n=5,∴22m+3n=22m×23n=2×5=10;(2)∵4m=2,8n=5,∴22m=2,23n=5,∴24m=(22m)2=4,26n=52=25,∴24m﹣6n=4÷25=.【点评】此题主要考查了同底数幂的乘方以及同底数幂的除法运算和幂的乘方等知识,正确将原式变形得出是解题关键.17.已知3m=6,9n=2,求32m﹣4n+1的值.【分析】根据9n=32n,32m﹣4n+1=32m×3÷34n,代入运算即可.【解答】解:由题意得,9n=32n=2,32m=62=36,故32m﹣4n+1=32m×3÷34n=36×3÷4=27.【点评】此题考查了同底数幂的乘除法则,属于基础题,注意掌握同底数幂的除(乘)法法则:底数不变,指数相减(加).18.(1)若x n=2,y n=3,求(x2y)2n的值.(2)若3a=6,9b=2,求32a﹣4b+1的值.【分析】(1)根据积的乘方和幂的乘方法则的逆运算,即可解答;(2)根据同底数幂乘法、除法公式的逆运用,即可解答.【解答】解:(1)(x2y)2n=x4n y2n=(x n)4(y n)2=24×32=16×9=144;(2)32a﹣4b+1=(3a)2÷(32b)2×3=36÷4×3=27.【点评】本题考查的是幂的乘方和积的乘方、同底数幂的乘除法,掌握它们的运算法则及其逆运算是解题的关键.19.已知3×9m×27m=321,求(﹣m2)3÷(m3•m2)的值.【分析】转化为同底数幂的乘法,求出m的值,即可解答.【解答】解:3×9m×27m=3×32m×33m=31+5m=321,∴1+5m=21,∴m=4,∴(﹣m2)3÷(m3•m2)=﹣m6÷m5=﹣m=﹣4.【点评】本题考查了同底数幂的除法,解决本题的关键是把3×9m×27m转化为同底数幂的乘法进行计算,求出m的值.20.若2x+5y﹣3=0,求4x•32y的值.【分析】由方程可得2x+5y=3,再把所求的代数式化为同为2的底数的代数式,运用同底数幂的乘法的性质计算,最后运用整体代入法求解即可.【解答】解:4x•32y=22x•25y=22x+5y∵2x+5y﹣3=0,即2x+5y=3,∴原式=23=8.【点评】本题考查了同底数幂的乘法,幂的乘方,积的乘方,理清指数的变化是解题的关键.21.(1)已知a x=5,a x+y=25,求a x+a y的值;(2)已知10α=5,10β=6,求102α+2β的值.【分析】(1)先根据同底数幂乘法运算的逆运算得出a x+y=a x•a y=25,根据a x=5可得a y=5,代入即可求解;(2)将原式利用同底数幂乘法运算的逆运算进行变形为(10α)2•(10β)2,即可求解.【解答】解:(1)∵a x+y=a x•a y=25,a x=5,∴a y=5,∴a x+a y=5+5=10;(2)102α+2β=(10α)2•(10β)2=52×62=900.【点评】本题主要考查的是正数指数幂的你运算,掌握整数指数幂的运算公式是解题的关键.22.已知2a=5,2b=3,求2a+b+3的值.【分析】直接利用同底数幂的乘法运算法则求出即可.【解答】解:2a+b+3=2a•2b•23=5×3×8=120.【点评】此题主要考查了同底数幂的乘法运算,熟练掌握运算法则是解题关键.23.若(a m+1b n+2)(a2n﹣1b2n)=a5b3,则求m+n的值.【分析】首先合并同类项,根据同底数幂相乘,底数不变,指数相加的法则即可得出答案.【解答】解:(a m+1b n+2)(a2n﹣1b2n)=a m+1×a2n﹣1×b n+2×b2n=a m+1+2n﹣1×b n+2+2n=a m+2n b3n+2=a5b3.∴m+2n=5,3n+2=3,解得:n=,m=,m+n=.【点评】本题考查了同底数幂的乘法,难度不大,关键是掌握同底数幂相乘,底数不变,指数相加.24.已知2x=8y+2,9y=3x﹣9,求x+2y的值.【分析】根据原题所给的条件,列方程组求出x、y的值,然后代入求解.【解答】解:根据2x=23(y+2),32y=3x﹣9,列方程得:,解得:,则x+2y=11.【点评】本题考查了幂的乘方和积的乘方,解答本题的关键是掌握幂的乘方和积的乘方的运算法则.25.已知2x+3y﹣3=0,求9x•27y的值.【分析】先把9x和27y都化为3为底数的形式,然后求解.【解答】解:∵2x+3y﹣3=0,∴2x+3y=3,则9x•27y=32x•33y=32x+3y=33=27.故答案为:27.【点评】本题考查了幂的乘方和积的乘方,掌握幂的乘方和积的乘方的运算法则是解答本题关键.26.已知3x+2•5x+2=153x﹣4,求(x﹣1)2﹣3x(x﹣2)﹣4的值.【分析】首先由3x+2•5x+2=153x﹣4,可得3x+2•5x+2=(15)x+2=153x﹣4,即可得方程x+2=3x ﹣4,解此方程即可求得x的值,然后化简(x﹣1)2﹣3x(x﹣2)﹣4,再将x=3代入,即可求得答案.【解答】解:∵3x+2•5x+2=(15)x+2=153x﹣4,∴x+2=3x﹣4,解得:x=3,∴(x﹣1)2﹣3x(x﹣2)﹣4=x2﹣2x+1﹣3x2+6x﹣4=﹣2x2+4x﹣3=﹣2×9+4×3﹣3=﹣9.【点评】此题考查了积的乘方的性质与化简求值问题.此题难度适中,注意由3x+2•5x+2=153x﹣4,得到方程x+2=3x﹣4是解此题的关键.27.已知:2x+3y﹣4=0,求4x•8y的值.【分析】首先根据2x+3y﹣4=0,求出2x+3y的值是多少;然后根据4x•8y=22x•23y=22x+3y,求出4x•8y的值是多少即可.【解答】解:∵2x+3y﹣4=0,∴2x+3y=4,∴4x•8y=22x•23y=22x+3y=24=16,∴4x•8y的值是16.【点评】(1)此题主要考查了幂的乘方和积的乘方,要熟练掌握,解答此题的关键是要明确:①(a m)n=a mn(m,n是正整数);②(ab)n=a n b n(n是正整数).(2)此题还考查了同底数幂的乘法法则:同底数幂相乘,底数不变,指数相加,要熟练掌握,解答此题的关键是要明确:①底数必须相同;②按照运算性质,只有相乘时才是底数不变,指数相加.28.已知n为正整数,且x2n=4(1)求x n﹣3•x3(n+1)的值;(2)求9(x3n)2﹣13(x2)2n的值.【分析】(1)根据同底数幂的乘法法则及幂的乘方法则将原式化简为(x2n)2,再把x2n=4代入进行计算即可;(2)根据同底数幂的乘法法则及幂的乘方法则将原式化简为9(x2n)3﹣13(x2n)2,再把x2n=4代入进行计算即可.【解答】解:(1)∵x2n=4,∴x n﹣3•x3(n+1)=x n﹣3•x3n+3=x4n=(x2n)2=42=16;(2)∵x2n=4,∴9(x3n)2﹣13(x2)2n=9x6n﹣13x4n=9(x2n)3﹣13(x2n)2=9×43﹣13×42=576﹣208=368.【点评】本题考查的是幂的乘方与同底数幂的乘法法则,熟知幂的乘方法则是底数不变,指数相乘是解答此题的关键.29.已知4m=y﹣1,9n=x,22m+1÷32n﹣1=12,试用含有字母x的代数式表示y.【分析】根据幂的乘方,可化已知成要求的形式,根据已知,可得答案.【解答】解:4m=22m=y﹣1,9n=32n=x,原式等价于;2×22m÷(32n÷3)=12,2(y﹣1)÷(x÷3)=122y﹣2=12(x÷3)2y﹣2=4xy=2x+1.【点评】本题考查了同底数幂的除法,把已知化成要求的形式是解题关键.30.“若a m=a n(a>0且a≠1,m、n是正整数),则m=n”.你能利用上面的结论解决下面的问题吗?试试看,相信你一定行!(1)如果27x=39,求x的值;(2)如果2÷8x•16x=25,求x的值;(3)如果3x+2•5x+2=153x﹣8,求x的值.【分析】(1)把等号左边的式子利用幂的乘方转化为以3为底数的幂,根据等式的左边=右边,即可求解.(2)把等号左边的式子利用幂的乘方以及同底数的幂的乘法法则转化为以2为底数的幂,则对应的指数相等,即可求解;(3)把等号左边的式子利用积的乘方的逆运用转化为以15为底数的幂,则对应的指数相等,即可求解.【解答】解:(1)27x=(33)x=33x=39,∴3x=9,解得:x=3.(2)2÷8x•16x=2÷(23)x•(24)x=2÷23x•24x=21﹣3x+4x=25,∴1﹣3x+4x=5,解得:x=4.(3)3x+2•5x+2=(3×5)x+2=15x+2=153x﹣8,∴x+2=3x﹣8,解得:x=5.【点评】本题考查了幂的乘方和积的乘方,解决本题的关键是熟记幂的乘方和积的乘方法则.。
2020-2021学年人教版八年级上册数学课堂小测 14.1.2幂的乘方 一,选择题1.计算()23x 的结果是( )A.5xB.32xC.9xD.6x2.下列计算的结果正确的是( )A .a 3·a 3=a 9B .(a 3)2=a 5C .a 2+a 3=a 5D .(a 2)3=a 63.下列各式成立的是( )A .(a 3)x =(a x )3B .(a n )3=a n +3C .(a +b )3=a 2+b 2D .(-a )m =-a m4.如果(9n )2=312,则n 的值是( )A .4B .3C .2D .15.下列变形不正确的是( )A.()5204a a =B.()223xy y a a =C.()225566=D.362()()x y x y ⎡⎤+=+⎣⎦ 6.计算332()[(])a b b a --的结果是( )A.8()a b -B.8()b a --C.9()a b -D.9()b a -7.()2m n a a ⋅的运算结果是( ) A.2m n a + B.2m n a + C.2()m n a + D.2mn a二,填空题8.若32×83=2n ,则n =________.9.已知n 为正整数,且a =-1,则-(-a 2n )2n +3的值为_________.10.已知a 3n =2,则a 9n =_________.11.计算:()()2432y y ⋅= . 12.计算:()523-=__________,52(3)⎡⎤-=⎣⎦__________. 三,简答题13.计算:(1)()5n a ;(2)()12x m -;(3)43()x ⎡⎤-⎣⎦.14.若2×8n ×16n =222,求n 的值.答案以及解析1.答案:D解析:()23326x x x ⨯==.故选D.2.答案:D3.答案:A4.答案:B5.答案:C解析:因为()251066=,所以选项C 不正确;其余选项均正确.故选C.6.答案:C解析:233369()()()()()a b b a a b a b a b ⎡⎤--=-⋅-=-⎣⎦.故选C. 7.答案:B解析:()222m n m n m n a a a a a +⋅=⋅=.故选B.8.答案:149.答案:110.答案:811.答案:14y 解析:()()24326814y y y y y ⋅=⋅= .12.答案:103-;103解析:()()55522102333,(3)⎡⎤-=-=--=⎣⎦1010(3)3-=. 13.答案:(1)()555n n n a a a ⨯==.(2)()122(1)22x x x m m m ---==.(3).解析:14.答案:n =3。
完整版)幂的运算练习题及答案幂的运算》练题一、选择题1.计算(-2)^100+(-2)^99所得的结果是()A。
-299 B。
-2 C。
299 D。
22.当m是正整数时,下列等式成立的有()1)a^(2m)=(a^m)^2;(2)a^(2m)=(a^2)^m;(3)a^(2m)=(-a^m)^2;4)a^(2m)=(-a^2)^m.A。
4个 B。
3个 C。
2个 D。
1个3.下列运算正确的是()A。
2x+3y=5xy B。
(-3x^2y)^3=-9x^6y^3C。
D。
(x-y)^3=x^3-y^34.a与b互为相反数,且都不等于0,n为正整数,则下列各组中一定互为相反数的是()A。
an与XXX^(2n)与b^(2n)C。
a^(2n+1)与b^(2n+1) D。
a^(2n-1)与(-b^(2n-1))5.下列等式中正确的个数是()①a^5+a^5=a^10;②(-a)^6•(-a)^3•a=a^10;③(-a)^4•(-a)^5=a^20;④25+25=26.A。
0个 B。
1个 C。
2个 D。
3个二、填空题6.计算:x^2•x^3=_________;(-a^2)^3+(-a^3)^2=_________.7.若2^m=5,2^n=6,则2^(m+n)=_________.三、解答题8.已知3x(x^n+5)=3x^n+1+45,求x的值。
9.若1+2+3+…+n=a,求代数式(x^n*y)(x^(n-1)*y^2)(x^(n-2)*y^3)…(x^2*y^(n-1))10.已知2x+5y=3,求4x•3^2y的值.11.已知25^m•2•10^n=57•24,求m、n.12.已知a^x=5,a^(x+y)=25,求a^(x+y)的值.13.若x^m+2n=16,x^n=2,求x^(m+n)的值.14.比较下列一组数的大小:8131,2741,96115.如果a^2+a=0(a≠0),求a^2005+a^2004+12的值.16.已知9^(n+1)-32^n=72,求n的值.18.若(a^n*b^m)^3=a^9*b^15,求2m+n的值.19.计算:a^n-5(a^(n+1)*b^(3m-2))^2+(-a^(n-1)*b^(m-2))^3*(-b^(3m+2))20.若x=3^a*n,y=-2^n,当a=2,n=3时,求a^n*x-a^y的值.21.已知:2x=4y+1,27y=3x-1,求x-y的值.22.计算:(a-b)^(m+3)•(b-a)^2•(a-b)^m•(b-a)^523.若(a^(m+1)*b^(n+2))*(a^(2n-1)*b^(2n))=a^5*b^3,则求m+n的值.用简便方法计算:1)2×422)(-0.25)12×4123)0.52×25×0.1254)[(2×23)÷3]3答案与评分标准一、选择题(共5小题,每小题4分,满分20分)1、计算(-2)100+(-2)99所得的结果是()A、-299B、-2C、299解答:(-2)100+(-2)99=(-2)99×(-2)=-299,故选A。
专题07 幂的运算与整式的乘法之七大题型判断幂的运算、整式运算正确例题:(2023上·福建厦门·八年级校考期末)下列运算结果正确的是( )A .326a a a ×=B .()32628a a =C .()211a a a +=+D .()32a a a a+¸=【答案】B【分析】根据同底数幂乘法、积的乘方、幂的乘方以及整式的乘除运算法则进行判断即可.【详解】解:A 、33522a a a a +×==,故此选项计算错误,不符合题意;B 、()32628a a =,故此选项计算正确,符合题意;C 、()21a a a a +=+,故此选项计算错误,不符合题意;D 、()321a a a a +¸=+,故此选项计算错误,不符合题意;故选:B .【点睛】本题考查了幂的相关运算以及整式的乘除运算法则,熟练掌握相关运算法则是解本题的关键.【变式训练】1.(2023下·四川达州·七年级校考期末)下列计算正确的是( )A .5552x x x ×= B .325a a a +=C .2383()a b a b =D .4222()()bc bc b c -¸-=【答案】D【分析】分别运用同底数幂的乘法,合并同类项法则,幂的乘方和同底数幂的除法运算即可.【详解】解:A 、5510x x x ×=,所以此选项错误;幂的运算【点睛】本题主要考查了积的乘方,解题的关键是熟练掌握积的乘方运算法则,准确计算.【变式训练】整式的四则混合运算【变式训练】【变式训练】多项式乘多项式【变式训练】1.(2023下·广东揭阳·七年级统考期末)先化简再求值:()()()()222213123x x x x x x -++---,其中3x =.【答案】3238133,45x x x -+-,【分析】根据单项式乘多项式,多项式乘多项式法则运算,再合并同类项,最后代入求值即可.【详解】解:()22(2)21(31)(23)x x x x x x -++---()32322226923x x x x x x x =-++---+32322226923x x x x x x x =-++-++-3238133x x x =-+-,当3x =时,原式3233831333=´-´+´-32789393=´-´+-45=.多项式乘多项式与图形面积【答案】2252a ab b --平方米,【分析】长方形的面积等于:方形面积﹣中间部分面积,化简出结果后,把【详解】解:(3S a =阴影2252a ab b --=(平方米),当6a =,4b =时,原式53664216=´-´-´1802432=--124=(平方米).【点睛】本题主要考查多项式乘多项式,解答的关键是对相应的运算法则的掌握.【变式训练】1.(2023上·江西上饶·八年级校联考期末)如图,某小区有一块长为()23a b +米,宽为()2a b -米的长方形地块,管理部门规划了4块边长均为b 米的正方形空地用于栽种梅、兰、竹、菊,剩余地块将铺设草坪.(1)用含a ,b 的代数式表示铺设的草坪的面积.(结果化为最简形式)(2)若105a b ==,,预计每平方米铺设草坪的费用为30元,请预计铺设草坪所需要的费用.【答案】(1)()22447a ab b +-平方米(2)12750元【分析】(1)用长方形面积减去4个正方形面积即可得到答案;(2)根据(1)所求代入105a b ==,求出草坪的面积,进而求出对应的费用即可.【详解】(1)解:()()22324a b a b b +--22246234a ab ab b b =+---()22447a ab b =+-平方米,∴铺设的草坪的面积为()22445a ab b +-平方米;(2)解:当105a b ==,时,2222445410410575425a ab b +-=´+´´-´=平方米,∴铺设草坪所需要的费用为4253012750´=元.【点睛】本题主要考查了多项式乘法在几何图形中的应用,代数式求值,熟练掌握多项式乘以多项式的计算法则是解题的关键.2.(2023下·陕西榆林·七年级统考期末)如图,在某高铁站广场前有一块长为2a b +,宽为a b +的长方形空地,计划在中间留两个长方形喷泉池(图中阴影部分),两个长方形喷泉池及周边留有宽度为b 的人行通道.(1)求该长方形空地的面积;(用代数式表示)(2)求这两个长方形喷泉池的总面积;(用代数式表示)(3)当200a =,100b =时,求这两个长方形喷泉池的总面积.【答案】(1)2223a ab b ++;(2)22242a ab b -+;(3)20000.【分析】(1)根据长方形的面积列式并计算即可;(2)根据“长为2a b +,宽为a b +的长方形空地,两个长方形喷泉池及周边留有宽度为b 的人行通道”列式计算即可;(3)把200a =,100b =代入(2)中得到结果计算即可.【详解】(1)解:()()22223a b a b a ab b ++=++,答:该长方形空地的面积为2223a ab b ++.(2)()()223a b b a b b +-+-()()22a b a b =--22242a ab b =-+.答:这两个长方形喷泉池的总面积为22242a ab b -+.(3)当200a =,100b =时,这两个长方形喷泉池的总面积为222202220042001002041020002a ab b =´-´´+´-+=.即这两个长方形喷泉池的总面积为20000.【点睛】此题考查了列代数式、多项式乘法的应用、代数式的值等知识,根据题意正确列出代数式是解题的关键.多项式乘积中的规律性问题例题:(2023上·重庆永川·八年级统考期末)根据多项式乘法法则可得:()2222a b a ab b +=++;【答案】10【分析】根据“杨辉三角形”,计算出()5a b +,即可确定字母部分为【详解】解:根据“杨辉三角形”,可知()55a a b =+∴字母部分为32a b 的项的系数为10,【变式训练】1.(2023下·甘肃酒泉·七年级统考期末)观察下列各式()()2111x x x -+=-()()23111x x x x -++=-()()324111x x x x x -+++=-……(1)根据以上规律,则()()6543211x x x x x x x -++++++=______(2)若()1511x M x -×=-,则M =______(3)能否由此归纳出一般性规律:()()111n n x x x x --++++=L ______(4)由(3)直接写出结果:()()54322343a b a a b a b a b ab b -+++++=______(5)根据(3)求:3534222221+++++L 的结果.【答案】(1)71x -(2)()1413121x x x x +++++L(3)11n x +-(4)66a b -(5)3621-【分析】(1)根据题目中给出的式子总结规律,得出答案即可;(2)根据题目中给出的规律得出()()14131213111x x x x x x -+++++=-L ,即可得出答案;(3)根据规律得出结果即可;(4)由()()11a b a b -=---,根据题目中给出的规律得出结果即可;(4)用题目中提供的规律进行计算即可.【详解】(1)解:根据以上规律,可得()()654327111x x x x x x x x -++++++=-,故答案为:71x -;(2)解:根据以上规律,可得:若()1511x M x -×=-,则()1413121M x x x x =+++++L ,故答案为:()1413121x x x x +++++L ;(3)解:由所给算式可得规律为:()()11111n n n x x x x x -+-++++=-L ,故答案为:11n x +-;(4)解:∵()()11a b a b -=---,∴原式()()()5432234511a a b a b a a b b ab b =--++++-ëû+éù()()()()543223455432234511a a b a b a b ab b a a b a b a b b a b a b +++++-++++-+=-()()6611a b =---66a b =-;故答案为:66a b -;(5)解:根据以上规律可得:2343512222+++++L ()()353422122221=-+++++L 3621=-.【点睛】本题主要考查了规律探究,解题的关键是根据题干得出一般规律()()11111n n n x x x x x -+-++++=-L .一、单选题②()()23111x x x x -++=-;③()()324111x x x x x -+++=-;……【归纳】由此可得:()()121111n n n n x x x x x x --+-+++++=-L ;【应用】请运用上面的结论,计算:2023202220212222221++++++=K ( )A .202321-B .202421-C .20242D .202521-【答案】B【分析】根据所给规律求解即可.【详解】解:∵()()121111n n n n x x x x x x --+-+++++=-L ,∴()()202320222021220242122222121-×++++++=-K ,∴2023202220212202422222121++++++=-K .故选:B .【点睛】本题考查了多形式与多项式的乘法的规律问题,灵活运用规律求解是解答本题的关键.二、填空题【答案】5a b =/5b a=【分析】设左上角阴影部分的长为示阴影部分面积之差,可得x 变化,【详解】设左上角阴影部分的长为则右下角阴影部分的长为x a +三、解答题11.(2023下·江苏扬州·七年级统考期末)计算:(1)()()3642a a a a -×+×-(2)()()3x y x y -+【答案】(1)77a -(2)2223x xy y --【分析】(1)先计算积的乘方,再计算单项式乘单项式,最后合并同类项即可;(2)利用多项式乘多项式法则计算.【详解】(1)解:()()3642a a a a -×+×-()3468a a a a =-×+×778a a =-+77a =-;(2)解:()()3x y x y -+ 2233x xy xy y =+--2223x xy y =--.【点睛】本题考查积的乘方、单项式乘单项式、多项式乘多项式等知识点,解题的关键是熟练掌握各项运算法则并正确计算.12.(2023下·山西晋中·七年级统考期末)计算:(1)()322324a b ab a ׸(2)()()253x x +-.【答案】(1)422a b (2)2215x x --【分析】(1)先算幂的乘方和积的乘方,再计算单项式的乘除法;∵化简后不含2x 项和常数项,∴20a -=且120b -=,解得:212a b ==,.【点睛】本题考查了整式的混合运算一化简求值,绝对值和偶次方的非负性,平方差公式,准确熟练地进行计算是解题的关键.14.(2023下·山东烟台·六年级统考期末)已知()()43229323316A x x x x B x x =¸=-+--,.(1)求A 和B ;(2)若y 满足y B A -=,请用含x 的代数式表示y ;(3)在(2)的条件下,当10y =时,求()2225416x x y +--的值.【答案】(1)22932936A x xB x x =--=+-,(2)2188y x =-(3)25【分析】(1)利用多项式除以单项式法则得到A ,利用单项式乘以多项式法则即可得到B ;(2)把(1)中求得的A 和B 代入y A B =+即可得到答案;(3)把10y =代入(2)中关系式得218810x -=求得21x =,再整体代入即可得到答案.【详解】(1)解:()43222932932A x x x x x x =¸=----,,()23316936B x x x x =+-=+-;(2)由y B A -=,得到222932936188y A B x x x x x =+=--++-=-;(3)把10y =代入(2)中关系式得218810x -=,解得21x =.原式()2514110165361625=´+´--=+-=.【点睛】此题考查了整式的乘法和除法,代数式的求值,熟练掌握多项式除以单项式法则、单项式乘以多项式法则、整体代入是解题的关键.15.(2023下·辽宁沈阳·七年级统考期末)甲、乙两个长方形,其边长如图所示(0m >),其面积分别为1S ,2S .(1)用含m 的代数式表示:1S =______,2S =______;(结果化为最简形式)(2)用“<”、“>”或“=”填空:1S ______2S ;(3)若一个正方形的周长等于甲、乙两个长方形的周长之和,设该正方形的面积为3S ,试探究:3S 与()122S S +的差是否为定值?若为定值,请求出该值;如果不是,请说明理由.【答案】(1)265m m ++,268m m ++;(2)<(3)是,10【分析】(1)利用长方形的面积公式进行求解即可;(2)利用求差法可比较两个式子大小;(3)先求出正方形的边长,得到大正方形面积,再结合(1)列出相应的式子,进行运算即可.【详解】(1)解:()()215165S m m m m =++=++;()()224268S m m m m =++=++;(2)∵2212(65)(68)30S S m m m m -=++-++=-<,∴12S S <故答案为:<;(3)解:大正方形的边长为:2(1524)426m m m m m +++++++¸=+,大正方形面积为:223(26)42436S m m m =+=++,()222122 2(6568)42426S S m m m m m m +=+++++=++,()223122(42436)(42426)10S S S m m m m -+=++-++=.答:3S 与()122S S +的差为定值,值为10.【点睛】本题考查了多项式乘多项式,整式的加减,长方形和正方形的面积,熟练掌握运算法则是解题的关键.16.(2023下·黑龙江哈尔滨·六年级统考期末)阅读材料:我们知道,()424213x x x x x -+=-+=,类似地,我们把()a b +看成一个整体,则()()()()()()424213a b a b a b a b a b +-+++=-++=+.“整体思想”是中学教学解题中的一种重要的思想方法,它在多项式的化简与求值中应用极为广泛,尝试应用整体思想解决下列问题:(1)把()2a b -看成一个整体,合并()()()222265a b a b a b ---+-;(2)已知222x y -=-,求261215x y --的值;(3)已知21a b -=-,25b c -=,10c d -=-,求()()()22a c b d b c -+---的值.【答案】(1)()2a b -(2)27-(3)6-【分析】(1)把()2a b -提出了进行计算即可得;(2)()22612156215x y x y --=--,把222x y -=-代入进行计算即可得;(3)()()()()()()2222a c b d b c a b b c c d -+---=-+-+-,把21a b -=-,25b c -=,10c d -=-代入进行计算即可得.【详解】(1)解:()()()()()()22222265265a b a b a b a b a b ---+-=-+-=-.(2)解:()22612156215x y x y --=--,把222x y -=-代入得,原式()621527=´--=-.(3)解:()()()()()()222222a c b d b c a c b d b c a b b c c d -+---=-+--+=-+-+-把21a b -=-,25b c -=,10c d -=-代入得,原式()15106=-++-=-.【点睛】本题考查了多项式的变形和整体代入的思想,解题的关键是理解题意,掌握这些知识点.。
幂的运算专项练习50题(有答案)1.2. (4ab2)2×(﹣a2b)33.(1);(2)(3x3)2•(﹣x);(3) m2•7mp2÷(﹣7mp);(4)(2a﹣3)(3a+1).4.已知a x=2,a y=3求:a x+y与a2x﹣y的值.5.已知3m=x,3n=y,用x,y表示33m+2n.6.若a=255,b=344,c=433,d=522,试比较a,b,c,d 的大小.7.计算:(﹣2 m2)3+m7÷m.8.计算:(2m2n﹣3)3•(﹣mn﹣2)﹣29.计算:.10.(﹣)2÷(﹣2)﹣3+2×(﹣)0.11.已知:2x=4y+1,27y=3x﹣1,求x﹣y的值.12.若2x+5y﹣3=0,求4x•32y的值.13.已知3×9m×27m=316,求m的值.14.若(a n b m b)3=a9b15,求2m+n的值.15.计算:(x2•x3)2÷x6.16.计算:(a2n)2÷a3n+2•a2.17.若a m=8,a n =,试求a2m﹣3n的值.18.已知9n+1﹣32n=72,求n的值.19.已知x m=3,x n=5,求x2m+n的值.20.已知3m=6,9n=2,求32m﹣4n+1的值.21.(x﹣y)5[(y﹣x)4]3(用幂的形式表示)22.若x m+2n=16,x n=2,(x≠0),求x m+n,x m﹣n的值.23.计算:(5a﹣3b4)2•(a2b)﹣2.24.已知:3m•9m•27m•81m=330,求m的值.25.已知x6﹣b•x2b+1=x11,且y a﹣1•y4﹣b=y5,求a+b的值.26.若2x+3y﹣4=0,求9x﹣1•27y.27.计算:(3a2x4)3﹣(2a3x6)2.28.计算:.29.已知16m=4×22n﹣2,27n=9×3m+3,求(n﹣m)2010的值.30.已知162×43×26=22m﹣2,(102)n=1012.求m+n的值.31.(﹣a)5•(﹣a3)4÷(﹣a)2.32.(a﹣2b﹣1)﹣3•(2ab2)﹣2.33.已知x a+b•x2b﹣a=x9,求(﹣3)b+(﹣3)3的值.34.a4•a4+(a2)4﹣(﹣3x4)235.已知(x5m+n y2m﹣n)3=x6y15,求n m的值.36.已知a m=2,a n=7,求a3m+2n﹣a2n﹣3m的值.37.计算:(﹣3x2n+2y n)3÷[(﹣x3y)2]n38.计算:(x﹣2y﹣3)﹣1•(x2y﹣3)2.39.已知a2m=2,b3n=3,求(a3m)2﹣(b2n)3+a2m•b3n的值40.已知n为正整数,且x3n=7,求(3x2n)3﹣4(x2)3n 的值.41.若n为正整数,且x2n=5,求(3x3n)2﹣34(x2)3n 的值.42.计算:(a2b6)n+5(﹣a n b3n)2﹣3[(﹣ab3)2]n.43..44.计算:a n﹣5(a n+1b3m﹣2)2+(a n﹣1b m﹣2)3(﹣b3m+2)45.已知x a=2,x b=6.(1)求x a﹣b的值.(2)求x2a﹣b 的值.46.已知2a•27b•37c=1998,其中a,b,c为整数,求(a﹣b﹣c)1998的值.47.﹣(﹣0.25)1998×(﹣4)1999.48.(1)(2a+b)2n+1•(2a+b)3•(2a+b)n﹣4(2)(x﹣y)2•(y﹣x)5.49.(1)(3x2y2z﹣1)﹣2•(5xy﹣2z3)2.(2)(4x2yz﹣1)2•(2xyz)﹣4÷(yz3)﹣2.50.计算下列各式,并把结果化为正整数指数幂的形式.(1)a2b3(2a﹣1b3);(2)(a﹣2)﹣3(bc﹣1)3;(3)2(2ab2c﹣3)2÷(ab)﹣2.幂的运算50题参考答案:1.解:原式=4﹣1﹣4=﹣1;2. 原式=16a2b4×(﹣a6b3)=﹣2a8b73.解:(1)原式=(﹣5)×3=﹣15;(2)原式=9x6•(﹣x)=﹣9x7;(3)原式=7m3p2÷(﹣7mp)=﹣m2p;(4)原式=6a2+2a﹣9a﹣3=6a2﹣7a﹣3.故答案为﹣15、﹣9x7、﹣m2p、6a2﹣7a﹣3 4.解:a x+y=a x•a y=2×3=6;a2x﹣y=a2x÷a y=22÷3=5.解:原式=33m×32n,=(3m)3×(3n)2,=x3y26.解:a=(25)11=3211;b=(34)11=8111;c=(43)11=4811;d=(52)11=2511;可见,b>c>a>d7.解:(﹣2m2)3+m7÷m,=(﹣2)3×(m2)3+m6,=﹣8m6+m6,=﹣7m68.解:(2m2n﹣3)3•(﹣mn﹣2)﹣2=8m6n﹣9•m﹣2n4= 9.解:原式=(﹣4)+4×1=010.解:原式=÷(﹣)+2×1=﹣2+2=011.解:∵2x=4y+1,∴2x=22y+2,∴x=2y+2 ①又∵27y=3x﹣1,∴33y=3x﹣1,∴3y=x﹣1②联立①②组成方程组并求解得,∴x﹣y=312.解:4x•32y=22x•25y=22x+5y∵2x+5y﹣3=0,即2x+5y=3,∴原式=23=813.解:∵3×9m×27m,=3×32m×33m,=31+5m,∴31+5m=316,∴1+5m=16,解得m=314.解:∵(a n b m b)3=(a n)3(b m)3b3=a3n b3m+3,∴3n=9,3m+3=15,解得:m=4,n=3,∴2m+n=27=12815.解:原式=(x5)2÷x6=x10÷x6=x10﹣6=x416.解:(a2n)2÷a3n+2•a2=a4n÷a 3n+2•a2=a4n﹣3n﹣2•a2=a n﹣2•a2=a n﹣2+2=a n17.解:a2m﹣3n=(a m)2÷(a n)3,∵a m=8,a n =,∴原式=64÷=512.故答案为51218.解:∵9n+1﹣32n=9n+1﹣9n=9n(9﹣1)=9n×8,而72=9×8,∴当9n+1﹣32n=72时,9n×8=9×8,∴9n=9,∴n=119.解:原式=(x m)2•x n=32×5=9×5=4520.解:由题意得,9n=32n=2,32m=62=36,故32m﹣4n+1=32m×3÷34n=36×3÷4=2721.解:(x﹣y)5[(y﹣x)4]3=(x﹣y)5[(x﹣y)4]3=(x﹣y)5•(x﹣y)12=(x﹣y)1722.解:∵x m+2n=16,x n=2,∴x m+2n÷x n=x m+n=16÷2=8,x m+2n÷x3n=x m﹣n=16÷23=223.解:(5a﹣3b4)2•(a2b)﹣2=25a﹣6b8•a﹣4b﹣2=25a﹣10b6=24.解:由题意知,3m•9m•27m•81m,=3m•32m•33m•34m,=3m+2m+3m+4m,=330,∴m+2m+3m+4m=30,整理,得10m=30,解得m=325.解:∵x6﹣b•x2b+1=x11,且y a﹣1•y4﹣b=y5,∴,解得:,则a+b=1026.解:∵2x+3y﹣4=0,∴2x+3y=4,∴9x﹣1•27y=32x﹣2•33y=32x+3y﹣2=32=927.解:(3a2x4)3﹣(2a3x6)2=27a6x12﹣4a6x12=23a6x12 28.解:原式=•a2b3=29.解:∵16m=4×22n﹣2,∴(24)m=22×22n﹣2,∴24m=22n﹣2+2,∴2n﹣2+2=4m,∴n=2m①,∵(33)n27n=9×3m+3,∴(33)n=32×3m+3,∴33n=3m+5,∴3n=m+5②,由①②得:解得:m=1,n=2,∴(n﹣m)2010=(2﹣1)2010=130.解:∵162×43×26=28×26×26=220=22m﹣2,(102)n=102n=1012.∴2m﹣2=20,2n=12,解得:m=11,n=6,∴m+n=11+6=1731.原式=(﹣a)5•a12÷(﹣a)2=﹣a5+12÷(﹣a)2=﹣a17÷a2=﹣a15.32.解:(a﹣2b﹣1)﹣3•(2ab2)﹣2=(a6b3)•(a﹣2b﹣4)=a4b﹣1=33.解:∵x a+b•x2b﹣a=x9,∴a+b+2b﹣a=9,解得:b=3,∴(﹣3)b+(﹣3)3=(﹣3)3+(﹣3)3=2×(﹣3)3=2×(﹣27)=﹣54 34.解:原式=a8+a8﹣9x8,=2a8﹣9x835.解:(x5m+n y2m﹣n)3=x15m+3n y6m﹣3n,∵(x5m+n y2m﹣n)3=x6y15,∴,解得:,则n m=(﹣9)3=﹣24336.解:∵a m=2,a n=7,∴a3m+2n﹣a2n﹣3m=(a m)3•(a n)2﹣(a n)2÷(a m)3=8×49﹣49÷8=37.解:(﹣3x2n+2y n)3÷[(﹣x3y)2]n,=﹣27x6n+6y3n÷(﹣x3y)2n,=﹣27x6n+6y3n÷x6n y2n,=﹣27x6y n38.解:(x﹣2•y﹣3)﹣1•(x2•y﹣3)2,=x2y3•x4y﹣6,=x6y﹣3,=39.解:(a3m)2﹣(b2n)3+a2m•b3n,=(a2m)3﹣(b3n)2+a2m•b3n,=23﹣32+2×3,=540.解:原式=27x6n﹣4x6n=23x6n=23(x3n)2=23×7×7=112741.解:∵x2n=5,∴(3x3n)2﹣34(x2)3n=9x6n﹣34x6n=﹣25(x2n)3=﹣25×53=﹣312542.解:原式=a2n b6n+5a2n b6n﹣3(a2b6)n=6a2n b6n﹣3a2n b6n=3a2n b6n43.解:原式=()50x50•()50x100=x15044.解:原式=a n﹣5(a2n+2b6m﹣4)+a3n﹣3b3m﹣6(﹣b3m+2),=a3n﹣3b6m﹣4+a3n﹣3(﹣b6m﹣4),=a3n﹣3b6m﹣4﹣a3n﹣3b6m﹣4,=045.解:(1)∵x a=2,x b=6,∴x a﹣b=x a÷x b=2÷6=;=(2)∵x a=2,x b=6,∴x2a﹣b=(x a)2÷x b=22÷6=46.解:∵2a•33b⋅37c=2×33×37,∴a=1,b=1,c=1,∴原式=(1﹣1﹣1)1998=147.解:原式=﹣()1998×(﹣4)1998×(﹣4),=﹣()1998×41998×(﹣4),=﹣(×4)1998×(﹣4),=﹣1×(﹣4),=448.解:(1)原式=(2a+b)(2n+1)+3+(n﹣4)=(2a+b)3n;(2)原式=﹣(x﹣y)2•(x﹣y)5=﹣(x﹣y)749.解:(1)原式=()﹣2•()2=•=;(2)原式=•÷=•y2z6=150.解:(1)a2b3(2a﹣1b3)=2a2﹣1b3+3=2ab6;(2)(a﹣2)﹣3(bc﹣1)3,=a6b3c﹣3,=;(3)2(2ab2c﹣3)2÷(ab)﹣2,=2(4a2b4c﹣6)÷(a﹣2b﹣2),=8a4b6c﹣6,。
初中数学幂的运算专题讲解及典型题练习【知识点梳理】1.有理数的乘方定义求个相同因数的积的运算,叫做乘方.乘方运算的结果叫幂.n 一般地,,叫做底数,叫做指数,叫做幂。
n n a a a a a ⋅⋅⋅= 个a n n a 读作“的次幂”或读作“的次方”.n a a n a n 【注意】(1)乘方是一种运算,是一种特殊的乘法运算(因数相同的乘法运算),幂是乘方运算的结果.(2)一个数可以看作是这个数本身的一次方,例如5就是,就是,指数是1通常省略15a 1a 不写.2.有理数幂的符号法则(1)正数的任何次幂都是正数.(2)负数的奇数次幂是负数,负数的偶数次幂是正数.(3)特别地,.()11,00n n n ==为正整数【注意】“负幂”与“负数的幂”区别:“负幂”例如表示的相反数,其结果为负数.“负51()2-51()2数的幂”例如,结果要看指数,即负数的奇次幂为负数,负数的偶次幂为正数.1()2n -3.有理数的混合运算一个算式里含有有理数的加、减、乘、除、乘方五种运算中的两种或两种以上的运算,称为有理数的混合运算.【注意】加法、减法、乘法、除法有各自的运算法则,也有各自的运算技巧,减法可以统一成加法,除法可以统一成乘法,加法与乘法还有各自的运算律,乘方是乘法的特例,也有自己的符号法则,同时也要考虑整体的符号关系以及简便算法.4.有理数的混合运算顺序(1)先乘方,再乘除,最后加减.(2)同级运算,从左到右依次进行.(3) 如有括号,先做括号内的运算,按小括号、中括号、大括号依次进行.【注意】(1)在加、减、乘、除、乘方这几种运算基本掌握的前提下,学习混含运算,首先应注意的就是运算顺序的问题.(2)通常把六种基本的代数运算分成三级:第一级运算是加和减,第二级运算是乘和除,第三级运算是乘方和开方(以后学习).运算顺序的规定是先算高级运算,再算低级运算,同级运算在一起,按从左到右的顺序计算.对于含有多重括号的运算,一般先算小括号内的,再算中括号内的,最后算大括号内的.(3)括号前带负号,去括号后要将括号内的各项都要变号,即.()(),a b a b a b a b -+=----=-+5.科学记数法把一个数写成(其中,是正整数)的形式,这种记数法称为科学记数10n a ⨯110a <≤n 法.【注意】(1)科学记数法是一种特定的记数方法,应明白其中包含的基本原理及其结构,即要掌握形式的结构特征: ,为正整数,且值等于原数的整数位数减1.10n a ⨯110a <≤n n (2)在把用科学记数法表示的数还原为原数时,根据其基本原理和结构,把的小数点向右a 移动位,中数字不够时,用补足.n a 0【典型例题讲解】【例1】计算:.2007200812()2⨯-【分析】直接进行各自的乘方运算非常困难,但根据乘方的意义可得.共200722222=⨯⨯⨯⋅⋅⋅⨯2007个2相乘,2008200811()()22-=2007112008200722111111111222222222=⨯⨯⋅⋅⋅⨯=⨯⨯⋅⋅⋅⨯⨯=⨯个个()利用乘法交换律和结合律,把2007个2与结合在一起相乘,利用互为倒数即可求出数12值.【解析】2007200812()2⨯-20072008122=⨯().20072007200711111222222=⨯⨯⨯⨯=()()=(2)【方法总结】此题主要应用互为倒数、乘法运算律及乘方的意义进行计算,事实上我们不难发现,当与互为倒数时,其值为1.计算时要注意符号的问题.多加理解与练()m m m a b ab = a b 习,最好能达到一看题目就可以得出结果的程度.【借题发挥】计算:、.2010201115()5⨯-200920102 2.55⎛⎫-⨯ ⎪⎝⎭【解析】.20102010201111115()55555⎡⎤⎛⎫⎛⎫⨯-=⨯-⨯-=- ⎪ ⎪⎢⎥⎝⎭⎝⎭⎣⎦.200920092009201020102252552.5 2.5552522⎡⎤⎛⎫⎛⎫⎛⎫⎛⎫-⨯=-⨯=-⨯⨯=- ⎪ ⎪ ⎪ ⎪⎢⎥⎝⎭⎝⎭⎝⎭⎝⎭⎣⎦【例2】计算:.22135(13)(2)0.2⎡⎤---+-⨯÷-⎢⎥⎣⎦【分析】根据有理数的混合运算法则进行计算,分清计算的先后顺序,还要注意去括号的时候要注意符号.【解析】22135(13)(2)0.2⎡⎤---+-⨯÷-⎢⎥⎣⎦[]135(13)435(1253)40.04⎡⎤=---+-⨯÷=---+-⨯÷⎢⎥⎣⎦[][]35(175)435(74)4=---+-÷=---+-÷.[]35(18.5)3(23.5)20.5=---+-=---=【借题发挥】计算:()()[]2243225.02115.01--⨯⎪⎭⎫ ⎝⎛-÷-+-【解析】原式=()[]()()2411110.52910.571167554162⎛⎫⎛⎫-+-÷⨯-=-+-÷⨯-=-+⨯⨯= ⎪ ⎪⎝⎭⎝⎭【例3】已知,,求的值.12x =-13y =-432231x y x --【分析】把,的值分别代入要求的式子,按有理数混合运算顺序进行计算.x y 【解析】把,代入,得12x =-13y =-432231x y x -- 原式43211112()3()23()231627111()124⨯--⨯-⨯-⨯-==---11114141789()3893627544-==+⨯=+=【方法总结】此类题一方面代入要准确,即负数或分数代入时一般加上小括号,另一方面代入后计算必须准确,最后结果是分数时一定是最简分数.【借题发挥】求当时,代数式的值.2,1x y =-=-2222222x y x xy y x y x y--+++-【解析】将带入,得2,1x y =-=-2222222x y x xy y x y x y --+++-原式=.()()()()()()()()()()2222221222113114221531521⨯-----⨯-⨯-+--+=+=⨯-+-----【例4】(1)补充完整下表:1323334353637383392781(2)从表中你发现3的方幂的个位数有何规律?(3)3251的个位数是什么数字?为什么?【分析】幂的个位上的数字3、9、7、l 交错重复出现,即每隔四个数,个位数字就重复一次,所以用251除以4所得的余数来确定.【解析】(1)132333435363738339278124372921876561(2)个位上的数字为3、9、7、1交错重复出现.(3)的个位数是7,因为除以4的余数是3.是重复出现时的第三个数.2513251【方法总结】此类题一般都是通过写出一些简单的幂,通过这些幂的结果总结出末位出现数字的种类及循环规律,进一步把指数按循环数进行分解,通过剩余指数求得最后答案.【借题发挥】的个位数是 ,的个位数是 ,253263的个位数是 ,的个位数是 .273283【解析】3,9,7,1.【例5】怎样比较,,的大小呢?553444335【解析】本题如果通过硬算,数字太大,不可能,因此要观察此三个数的特点,经观察,我们发现55、44、33存在着最大公因数11,不妨利用这一点以及乘方的定义来入手解题.具体过程如下:5511115533333(33333)243=⋅⋅⋅=⨯⨯⨯⨯= 个344111144444444(4444)256=⋅⋅⋅=⨯⨯⨯= 个.33111133555555(555)125=⋅⋅⋅=⨯⨯= 个因为,所以256243125>>111111256243125>>即.445533435>>【借题发挥】1.试比较的大小.443322234、、【解析】因为:,则,即()()()111111444113331122211221633274416======,,11111627<.442233243<=2.你能比较和的大小吗?2004200320032004 为了解决这个问题,我们先把它抽象成数学问题,写出它的一般形式,即比较和1n n +(1)n n +的大小(是自然数).然后,我们从分析…这些简单情形人手,从中发现规n 1,2,3,n n n ===律,经过归纳,猜想出结论.(1)通过计算.比较下列各组中两个数的大小(填“>”,“<”或“”).- ①___;②____;③ ;④____;⑤ ;…21123223433454456556 (2)从第(1)题的结果经过归纳,可以猜想出和的大小关系是 .1n n +(1)n n + (3)根据上面归纳猜想后得到的一般结论,试比较下面两个数的大小:.2004200320032004【解析】经计算与分析可推出结论:当时,<;当时,>.3n <1n n +(1)n n +3n ≥1n n +(1)n n +(1)①<;②<;③>;④>;⑤> (2) 当时,<;当时,>3n <1n n +(1)n n +3n ≥1n n +(1)n n +(3)>.(2)【借题发挥】比较下面各对数的大小:___; ; .211243342010200920092010【解析】<;>;>.【例6】比较与的大小.109.99810⨯111.00110⨯【分析】二者是用科学记数法表示的数,一方面可以把它们化成原数,通过比较原数大小来比较这两个数的大小;另一方面也可以把它化为相同指数,通过比较前面数(即)的大小来比a 较二者大小.【解析】解法一:,109.9981099980000000⨯=.111.00110100100000000⨯= 又,100100000000>99980000000.∴10119.99810 1.00110⨯<⨯ 解法二:,1110101.001l01. 0011010 10.0110⨯=⨯⨯=⨯ 又,10.019.998> .∴10119.99810 1.00110⨯<⨯【方法总结】解法一是常规方法,但书写起来很麻烦,易出现错误;方法二较巧妙地转化了,容易比较大小.11101.0011010.0110⨯=⨯【借题发挥】试比较:和.20099.9810⨯20101.0510⨯【解析】.2010200920091.051010.5109.9810⨯=⨯>⨯【例7】 定义“”“”两种运算,对于任意的两个数、,都有,○+○-a b a ○+b 1a b =+-a ○-b 1ab =-.求[()()]的值.4○-3○+5○+6○-2【分解】按规定的“”与“”进行各自的运算,运算时先算士括号里的,再算中括号里的.○+○-【解析】由,,得a ○+b 1a b =+-a ○-b 1ab =-[()()]4○-3○+5○+6○-2[()()]4=○-351+-○+621⨯-()()4=○-7○+114=○-7111+-.4=○-174=⨯171-67=【方法总结】此类题按规定的运算关系进行计算,首先要读懂表达式的含义,会套用公式,计算时注意符号关系及准确性外,还要注意运算的先后顺序.【借题发挥】“△”表示一种新的运算符号,其意义是对于任意,都存在△,如果△△a b a b 2a b =-x (1,则 .3)2=x =【解析】由△,得△△,即,则,所a b 2a b =-x (13)2=()()21312x x ⨯-=-=△△()212x --=以.12x =【例8】若尺布可做件上衣,则尺布能做多少件这样的上衣?619【解析】第题按计算件,但实际情况是只能做件,所以只能舍,不能入;961.5÷=105.【借题发挥】若每条船能载个人,则个人需要几条船?310【解析】按计算,但实际情况是条船不够,需要4条船,所以在这里应该入,取1103=33÷3134.【方法总结】在实际问题中,经常对药对一些数位上的数进行取舍,有的要求进行四舍五入,有的则按生活及生产实际进行取舍,千万不能遇及以上的数就入,遇以下的数就舍.555【随堂练习】1.计算: .2008(1)-=【答案】1.2.计算: .20102010201020104(0.25)(1)1-+-+= 【答案】原式=.201020102010201014()(1)111114-+-+=-++= 3.若,则 .21(2)0a b ++-=20102009()a b a ++=【答案】由题意知 得,代入原式可求结果为:0.1020a b +=⎧⎨-=⎩12a b =-⎧⎨=⎩4.如果那么的值为 .214,,2x y ==222x y -【答案】.222112243122x y -=⨯-=5.现有一根长为1米的木条,第一次截去一半,第二次截去剩下的一半,照此截下去,那么六次后剩下的木条为 米.【答案】第一次截后剩下米,第二次后剩下米,第三次后剩下米,由此推下1221142⎛⎫= ⎪⎝⎭312⎛⎫ ⎪⎝⎭去,第次后剩下米.所以六次后剩下的木条为(米).n 12n ⎛⎫ ⎪⎝⎭611264⎛⎫= ⎪⎝⎭6.计算:(1); (2); (3)321()(1)33-÷-232(3)-⨯-32221(0.2)(1).3(0.3)-⨯÷-【答案】(1);(2)108;(3).290.002-7.(1). (2).451132131511÷⨯⎪⎭⎫ ⎝⎛-⨯()1452515213⨯-÷+-(3). (4).()3432322⎪⎭⎫ ⎝⎛-⨯-÷-()()()3428102-⨯---÷+-(5).()[]2345.0813231325.01-----⨯÷⎪⎭⎫ ⎝⎛---(6).()54436183242113÷⎥⎦⎤⎢⎣⎡-⨯⎪⎭⎫ ⎝⎛-+-【答案】(1) (2) (3) (4) (5) (6)225-347-1111620-11147224-8.利用乘方的有关知识确定的末两位数字.20076【答案】9.已知“三角”表示运算“”,“正方形”表示的运算是“” ,试计a b c -+d f g e -+-算的值.【答案】原式=.()()()199649551996281474116-+⨯-+-=-⨯=-9.计算:.111111111248163264128256512++++++++【答案】原式=11111111111122448816128256256512⎛⎫⎛⎫⎛⎫⎛⎫⎛⎫⎛⎫-+-+-+-+⋅⋅⋅+-+-= ⎪ ⎪ ⎪ ⎪ ⎪ ⎪⎝⎭⎝⎭⎝⎭⎝⎭⎝⎭⎝⎭.151********-=10.光年是天文学中使用的距离单位,指的是光在真空中经历一年所走的距离,若真空中光的速度为千米/秒,用科学记数法表示l 光年是多少?(1年按天计算)300000365【答案】已知:千米/秒,(秒).300000v =365243600t =⨯⨯ 由(千米).300000365243600s vt ==⨯⨯⨯9460800000000=129.460810=⨯所以,l 光年是千米.129.460810⨯11.阅读下列解题过程:计算:()632113115⨯⎪⎭⎫ ⎝⎛--÷-解:()632113115⨯⎪⎭⎫ ⎝⎛--÷-(第一步)()662515⨯⎪⎭⎫ ⎝⎛-÷-=(第二步)()()2515-÷-=(第三步)53-=回答:(1)上面的解题过程中有两个错误,第一处是第 步,错误的原因是 ;第二处是第 步,错误原因是 .(2)正确的结果是 .【答案】(1)二,乘除为同一等级的计算,没有按照从前往后的顺序求解;(2)三,负数乘以负数得到正数,题中为负数. (2).3215【课堂总结】【课后作业】一、填空题1. .=---3232. .()22533235-⨯-⨯+=3. .()()()()()=-⨯---⨯---⨯++n n n 212211111014. .()()=-÷⎪⎭⎫ ⎝⎛-+-⨯-5214387165. .()()()=-⨯-+⨯-03.716.016.4003.76. .()()=-⨯+-÷-2333227.若、互为倒数,、互为相反数,,则 .a b c d 2=m ()=-+⋅+23m ab ba d c 8.一个数用科学记数法表示为,则它是 位整数.10n a ⨯二、选择题9.下列公式计算正确的是( )A .B .()527527⨯--=⨯--31354453=÷=⨯÷C . D .⎪⎭⎫ ⎝⎛÷÷=÷÷5454354543()932=--10.计算的值是( )()()2007200822-+-A .1 B . C . D .2-20072-2007211.下列各组数中,相等的一组是( ).A .与B .与23-2(3)-2(3)--3(2)-- C .与 D .与3(3)-33-223-⨯332-⨯12.用合理的方法计算:(1) ; (2) ;515635236767---1544 3.87 4.253495-+-+(3) ; (4) ; 1511342461832⎛⎫⎛⎫--+--+ ⎪ ⎪⎝⎭⎝⎭()110.5678111-----+⎡⎤⎣⎦13.计算:(1); (2);63221⨯⎪⎭⎫ ⎝⎛-⎪⎭⎫ ⎝⎛-÷2131521(3); (4).⎪⎭⎫ ⎝⎛-+⎪⎭⎫ ⎝⎛-÷⎪⎭⎫ ⎝⎛--838712787431⎪⎭⎫ ⎝⎛-÷⎪⎭⎫ ⎝⎛-⨯⎪⎭⎫ ⎝⎛-⨯1811351121961365514.用科学计数法表示下列计算结果:(1)一昼夜小时是多少秒?24 (2)50251002⨯15.(1)阅读短文《拆项计算》:拆项计算下面带分数的计算申,常把整数部分和分数部分拆开,以简化计算过程,举例如下:5231591736342⎛⎫⎛⎫-+++- ⎪ ⎪⎝⎭⎝⎭()5231591736342523159173634252315917363425213063241235644⎛⎫⎛⎫⎛⎫⎛⎫=-+-+++-+ ⎪ ⎪ ⎪ ⎪⎝⎭⎝⎭⎝⎭⎝⎭=----++--⎛⎫=--+-+--+- ⎪⎝⎭⎛⎫=-+++ ⎪⎝⎭=-+=-(2)仿照第(1)小题的计算方法计算:5211200620054000116332⎛⎫⎛⎫⎛⎫-+-+-- ⎪ ⎪ ⎪⎝⎭⎝⎭⎝⎭【答案】1.-11 2.21 3.1 4.2 5.-281.2 6.-7 7.-1 8.1n +9.D 10.D 11.C12.(1) 515655163523325319867676677⎡⎤⎛⎫⎛⎫⎛⎫---=-+-+-=-=- ⎪ ⎪ ⎪⎢⎥⎝⎭⎝⎭⎝⎭⎣⎦(2) 1541451454 3.87 4.253437437495459459-+-+=-+-+=(3) 151153424146183218⎛⎫⎛⎫--+--+=- ⎪ ⎪⎝⎭⎝⎭ (4) ()110.56781110.4321-----+=-⎡⎤⎣⎦13.(1) 121266612323⎛⎫⎛⎫-⨯=⨯+-⨯=- ⎪ ⎪⎝⎭⎝⎭(2) ()2117216853255⎛⎫÷-=⨯-=- ⎪⎝⎭(3) 377733114812888⎛⎫⎛⎫⎛⎫--÷-+-=- ⎪ ⎪ ⎪⎝⎭⎝⎭⎝⎭(4).51111351936361853911366623518633519⎛⎫⎛⎫⎛⎫⎛⎫⎛⎫⎛⎫⨯-⨯-÷-=⨯-⨯-⨯-=- ⎪ ⎪ ⎪ ⎪ ⎪ ⎪⎝⎭⎝⎭⎝⎭⎝⎭⎝⎭⎝⎭14.(1) 一昼夜小时是(秒)244246060864008.6410⨯⨯==⨯(2) =50251002⨯50505010025410010⨯==15.原式=()5211352200620054000110.6332263⎛⎫⎛⎫--+++--++=+-+=- ⎪ ⎪⎝⎭⎝⎭。
人教版八年级数学上册《幂的运算》专项练习题-附含答案一.同底数幂的乘法1.已知2m•2m•8=211则m=4.试题分析:将已知中的2m•2m•8化为同底数的幂然后利用同底数幂的乘法法则进行计算再根据指数相同列式求解即可.答案详解:解:2m•2m•8=2m•2m•23=2m+m+3∵2m•2m•8=211∴m+m+3=11解得m=4.所以答案是4.2.已知2x+3y﹣2=0 求9x•27y的值.试题分析:直接利用幂的乘方运算法则将原式变形进而化简得出答案.答案详解:解:∵2x +3y ﹣2=0∴2x +3y =2∴9x •27y =32x •33y =32x +3y =32=9.3.已知3x +2=m 用含m 的代数式表示3x ( )A .3x =m ﹣9B .3x =m 9C .3x =m ﹣6D .3x =m 6 试题分析:根据同底数幂的乘法法则解答即可.答案详解:解:∵3x +2=3x ×32=m∴3x =m 9. 所以选:B .二.同底数幂的除法4.已知:3m =2 9n =3 则3m ﹣2n = 23 .试题分析:先利用幂的乘方变为同底数幂 再逆用同底数幂的除法求解.答案详解:解:∵9n =32n =3∴3m ﹣2n =3m ÷32n =23所以答案是:23.5.已知m =154344 n =54340 那么2016m ﹣n = 1 . 试题分析:根据积的乘方的性质将m 的分子转化为以3和5为底数的幂的积 然后化简从而得到m =n 再根据任何非零数的零次幂等于1解答.答案详解:解:∵m =154344=34⋅54344=54340 ∴m =n∴2016m ﹣n =20160=1. 所以答案是:1.6.已知k a =4 k b =6 k c =9 2b +c •3b +c =6a ﹣2 则9a ÷27b = 9 . 试题分析:先将9a ÷27b 变形 再由k a =4 k b =6 k c =9 2b +c •3b +c =6a ﹣2分别得出a b c 的关系式 然后联立得方程组 整体求得(2a ﹣3b )的值 最后代入将9a ÷27b 变形所得的式子即可得出答案.答案详解:解:9a ÷27b=(32)a ÷(33)b=(3)2a ﹣3b∵k a =4 k b =6 k c =9∴k a •k c =k b •k b∴k a +c =k 2b∴a +c =2b ①;∵2b +c •3b +c =6a ﹣2∴(2×3)b +c =6a ﹣2∴b +c =a ﹣2②;联立①②得:{a +c =2b b +c =a −2∴{c =2b −a c =a −2−b∴2b ﹣a =a ﹣2﹣b∴2a ﹣3b =2∴9a ÷27b=(3)2a ﹣3b=32=9.所以答案是:9.三.幂的乘方与积的乘方(注意整体思想的运用)7.已知2m =a 32n =b m n 为正整数 则25m +10n = a 5b 2 .试题分析:根据积的乘方与幂的乘方及同底数幂的乘法的运算法则解答.答案详解:解:∵2m =a 32n =b∴25m +10n =(2m )5•(25)2n =(2m )5•322n =(2m )5•(32n )2=a 5b 2所以答案是:a 5b 2.8.计算:(﹣0.2)100×5101= 5 .试题分析:根据幂的乘方与积的乘方运算法则 将所求的式子变形为(﹣0.2×5)100×5再求解即可.答案详解:解:(﹣0.2)100×5101=(﹣0.2)100×5100×5=(﹣0.2×5)100×5=5所以答案是:5.9.若x+3y﹣3=0 则2x•8y=8.试题分析:根据已知条件求得x=3﹣3y然后根据同底数幂的乘法法则进行解答.答案详解:解:∵x+3y﹣3=0∴x=3﹣3y∴2x•8y=23﹣3y•23y=23=8.所以答案是:8.四.幂的运算中的规律10.阅读材料:求1+2+22+23+24+…+22017+22018的值.解:设S=1+2+22+23+24+…+22017+22018①将等式两边同时乘 2 得2S=2+22+23+24+25+…+22018+22019②②﹣①得2S﹣S=22019﹣1 即S=22019﹣1所以1+2+22+23+24+…+22017+22018=22019﹣1.请你仿照此法计算:(1)1+2+22+23+24+…+29+210;(2)1+3+32+33+34+…+3n﹣1+3n(其中n为正整数).试题分析:(1)直接利用例题将原式变形进而得出答案;(2)直接利用例题将原式变形进而得出答案.答案详解:解:(1)设S=1+2+22+23+24+ (210)将等式两边同时乘2得:2S=2+22+23+24+…+210+211②②﹣①得2S﹣S=211﹣1即S=211﹣1∴1+2+22+23+24+…+210=211﹣1.(2)设S=1+3+32+33+34+…+3n①将等式两边同时乘3得:3S=3+32+33+34+…+3n+3n+1②②﹣①得3S﹣S=3n+1﹣1即S=12(3n+1﹣1)∴1+3+32+33+34+…+3n=12(3n+1﹣1).11.(1)通过计算比较下列各式中两数的大小:(填“>”、“<”或“=”)①12<21②23<32③34>43④45>54⑤56>65…(2)由(1)可以猜测n n+1与(n+1)n(n为正整数)的大小关系:当n≤2时n n+1<(n+1)n;当n≥3时n n+1>(n+1)n;(3)根据上面的猜想可以知道:20082009>20092008.试题分析:先要正确计算(1)中的各个数根据计算的结果确定所填的符号观察所填符号总结规律.答案详解:解:(1)①∵12=1 21=2∴12<21②∵23=8 32=9∴23<32③∵34=81 43=64∴34>43④∵45=1024 54=625∴45>54⑤∵56=15625 65=7776∴56>65…(2)由(1)可以猜测n n+1与(n+1)n(n为正整数)的大小关系:当n≤2时n n+1<(n+1)n;当n≥3时n n+1>(n+1)n;(3)∵n =2008>3∴20082009>20092008.12.求1+2﹣1+2﹣2+2﹣3+2﹣4+…+2﹣200的值.试题分析:依据12=1−12 12+14=1−14 12+14+18=1−18 …可得规律12+14+18+⋯+12200=1−12200 进而得到1+2﹣1+2﹣2+2﹣3+2﹣4+…+2﹣200的值.答案详解:解:∵12=1−1212+14=1−1412+14+18=1−18…12+14+18+⋯+12200=1−12200∴1+2﹣1+2﹣2+2﹣3+2﹣4+…+2﹣200=1+12+14+18+⋯+12200=1+1−12200=2−12200.13.探究:22﹣21=2×21﹣1×21=2( 1 )23﹣22= 2×22﹣1×22 =2( 2 )24﹣23= 2×23﹣1×23 =2( 3 )……(1)请仔细观察 写出第4个等式;(2)请你找规律 写出第n 个等式;(3)计算:21+22+23+…+22019﹣22020.试题分析:(1)根据给出的内容 直接可以仿写25﹣24=2×24﹣1×24=24(2)2n +1﹣2n =2×2n ﹣1×2n =2n(3)将原式进行变形 即提出负号后 就转化为原题中的类型 利用(1)(2)的结论 直接得出结果.答案详解:解:探究:22﹣21=2×21﹣1×21=2123﹣22=2×22﹣1×22=2224﹣23=2×23﹣1×23=23(1)25﹣24=2×24﹣1×24=24;(2)2n+1﹣2n=2×2n﹣1×2n=2n;(3)原式=﹣(22020﹣22019﹣22018﹣22017﹣……﹣22﹣2)=﹣2.所以答案是:1;2×22﹣1×22;2;2×23﹣1×23;3五.新定义14.定义一种新运算(a b)若a c=b则(a b)=c例(2 8)=3 (3 81)=4.已知(3 5)+(3 7)=(3 x)则x的值为35.试题分析:设3m=5 3n=7 根据新运算定义用m、n表示(3 5)+(3 7)得方程求出x 的值.答案详解:解:设3m=5 3n=7依题意(3 5)=m(3 7)=n∴(3 5)+(3 7)=m+n.∴(3 x)=m+n∴x=3m+n=3m×3n=5×7=35.所以答案是:35.15.规定两数a b之间的一种运算记作(a b);如果a c=b那么(a b)=c.例如:因为23=8 所以(2 8)=3.(1)根据上述规定填空:①(5 125)=3(﹣2 ﹣32)=5;②若(x 18)=﹣3 则x=2.(2)若(4 5)=a(4 6)=b(4 30)=c试探究a b c之间存在的数量关系;(3)若(m8)+(m3)=(m t)求t的值.试题分析:(1)①根据新定义的运算进行求解即可;②根据新定义的运算进行求解即可;(2)根据新定义的运算进行求解即可;(3)根据新定义的运算进行求解即可.答案详解:解:①∵53=125∴(5 125)=3∵(﹣2)5=﹣32∴(﹣2 ﹣32)=5所以答案是:3;5;②由题意得:x﹣3=1 8则x﹣3=2﹣3∴x=2所以答案是:2;(2)∵(4 5)=a(4 6)=b(4 30)=c ∴4a=5 4b=6 4c=30∵5×6=30∴4a•4b=4c∴a+b=c.(3)设(m8)=p(m3)=q(m t)=r ∴m p=8 m q=3 m r=t∵(m8)+(m3)=(m t)∴p+q=r∴m p+q=m r∴m p•m r=m t即8×3=t∴t=24.16.规定两数a b之间的一种运算记作(a b):如果a c=b那么(a b)=c.例如:因为23=8 所以(2 8)=3.(1)根据上述规定填空:(3 27)=3(5 1)=0(2 14)=﹣2.(2)小明在研究这种运算时发现一个现象:(3n4n)=(3 4)小明给出了如下的证明:设(3n4n)=x则(3n)x=4n即(3x)n=4n所以3x=4 即(3 4)=x所以(3n4n)=(3 4).请你尝试运用这种方法证明下面这个等式:(3 4)+(3 5)=(3 20)试题分析:(1)分别计算左边与右边式子即可做出判断;(2)设(3 4)=x(3 5)=y根据同底数幂的乘法法则即可求解.答案详解:解:(1)∵33=27∴(3 27)=3;∵50=1∴(5 1)=0;∵2﹣2=1 4∴(2 14)=﹣2;(2)设(3 4)=x(3 5)=y则3x=4 3y=5∴3x+y=3x•3y=20∴(3 20)=x+y∴(3 4)+(3 5)=(3 20).所以答案是:3 0 ﹣2.六.阅读类---紧扣例题化归思想17.阅读下列材料:一般地n个相同的因数a相乘a⋅a⋯a︸n个记为a n.如2×2×2=23=8 此时3叫做以2为底8的对数记为log28(即log28=3).一般地若a n=b(a>0且a≠1 b>0)则n叫做以a为底b的对数记为log a b(即log a b=n).如34=81 则4叫做以3为底81的对数记为log381(即log381=4).(1)计算以下各对数的值:log24=2log216=4log264=6.(2)观察(1)中三数4、16、64之间满足怎样的关系式log24、log216、log264之间又满足怎样的关系式;(3)由(2)的结果你能归纳出一个一般性的结论吗?log a M+log a N=log a(MN);(a>0且a≠1 M>0 N>0)(4)根据幂的运算法则:a n•a m=a n+m以及对数的含义证明上述结论.试题分析:首先认真阅读题目准确理解对数的定义把握好对数与指数的关系.(1)根据对数的定义求解;(2)认真观察不难找到规律:4×16=64 log24+log216=log264;(3)由特殊到一般得出结论:log a M+log a N=log a(MN);(4)首先可设log a M=b1log a N=b2再根据幂的运算法则:a n•a m=a n+m以及对数的含义证明结论.答案详解:解:(1)log24=2 log216=4 log264=6;(2)4×16=64 log24+log216=log264;(3)log a M+log a N=log a(MN);(4)证明:设log a M=b1log a N=b2则a b1=M a b2=N∴MN=a b1⋅a b2=a b1+b2∴b1+b2=log a(MN)即log a M+log a N=log a(MN).18.阅读下列材料:若a3=2 b5=3 则a b的大小关系是a>b(填“<”或“>”).解:因为a15=(a3)5=25=32 b15=(b5)3=33=27 32>27 所以a15>b15所以a >b .解答下列问题:(1)上述求解过程中 逆用了哪一条幂的运算性质 CA .同底数幂的乘法B .同底数幂的除法C .幂的乘方D .积的乘方(2)已知x 7=2 y 9=3 试比较x 与y 的大小.试题分析:(1)根据幂的乘方进行解答即可;(2)根据题目所给的求解方法 进行比较.答案详解:解:∵a 15=(a 3)5=25=32 b 15=(b 5)3=33=27 32>27 所以a 15>b 15 所以a >b 所以答案是:>;(1)上述求解过程中 逆用了幂的乘方 所以选C ;(2)∵x 63=(x 7)9=29=512 y 63=(y 9)7=37=2187 2187>512∴x 63<y 63∴x <y .19.阅读下面一段话 解决后面的问题.观察下面一列数:1 2 4 8 … 我们发现 这一列数从第二项起 每一项与它前一项的比都等于2.一般地 如果一列数从第二项起 每一项与它前一项的比都等于同一个常数 这一列数就叫做等比数列 这个常数叫做等比数列的比.(1)等比数列5 ﹣15 45 …的第四项是 ﹣135 .(2)如果一列数a 1 a 2 a 3 a 4 …是等比数列 且公比为q 那么根据上述的规定 有a 2a 1=q ,a 3a 2=q ,a 4a 3= …所以a 2=a 1q a 3=a 2q =(a 1q )q =a 1q 2 a 4=a 3q =(a 1q 2)q =a 1q 3 … a n = a 1q n ﹣1 (用含a 1与q 的代数式表示).(3)一个等比数列的第二项是10 第三项是20 则它的第一项是 5 第四项是 40 . 试题分析:(1)由于﹣15÷5=﹣3 45÷(﹣15)=﹣3 所以可以根据规律得到第四项.(2)通过观察发现 第n 项是首项a 1乘以公比q 的(n ﹣1)次方 这样就可以推出公式了;(3)由于第二项是10 第三项是20 由此可以得到公比然后就可以得到第一项和第四项.答案详解:解:(1)∵﹣15÷5=﹣3 45÷(﹣15)=﹣3∴第四项为45×(﹣3)=﹣135.故填空答案:﹣135;(2)通过观察发现第n项是首项a1乘以公比q的(n﹣1)次方即:a n=a1q n﹣1.故填空答案:a1q n﹣1;(3)∵公比等于20÷10=2∴第一项等于:10÷2=5第四项等于20×2=40.a n=a1q n﹣1.故填空答案:它的第一项是5 第四项是40.七.整式除法(难点)20.我阅读:类比于两数相除可以用竖式运算多项式除以多项式也可以用竖式运算其步骤是:(i)把被除式和除式按同一字母的降幂排列(若有缺项用零补齐).(ii)用竖式进行运算.(ii)当余式的次数低于除式的次数时运算终止得到商式和余式.我会做:请把下面解答部分中的填空内容补充完整.求(5x4+3x3+2x﹣4)÷(x2+1)的商式和余式.解:答:商式是5x2+3x﹣5 余式是﹣x+1;我挑战:已知x4+x3+ax2+x+b能被x2+x+1整除请直接写出a、b的值.试题分析:我会做:根据“我阅读”的步骤计算填空即可;我挑战:用竖式计算令余式为0即可算出a b的值.答案详解:解:我阅读:(iii)余式是﹣x+1所以答案是:0x2﹣5x2﹣5x2﹣5x2+0x﹣5 ﹣x+1;我挑战:∴x4+x3+ax2+x+b=(x2+x+1)(x2+a﹣1)+(2﹣a)x+b﹣a+1 ∵x4+x3+ax2+x+b能被x2+x+1整除∴(2﹣a)x+b﹣a+1=0∴2﹣a=0且b﹣a+1=0解得a=2 b=1.21.计算:3a3b2÷a2+b•(a2b﹣3ab).试题分析:根据单项式的除法以及单项式乘以多项式进行计算即可.答案详解:解:原式=3ab2+a2b2﹣3ab2=a2b2.22.计算:(2a3•3a﹣2a)÷(﹣2a)试题分析:依据单项式乘单项式法则进行计算然后再依据多项式除以单项式法则计算即可.答案详解:解:原式=(6a4﹣2a)÷(﹣2a)=6a4)÷(﹣2a)﹣2a÷(﹣2a)=﹣3a3+1.八.巧妙比大小---化相同23.阅读下列解题过程试比较2100与375的大小.解:∵2100=(24)25=1625375=(33)25=2725而16<27∴2100<375请根据上述解答过程解答:比较255、344、433的大小.试题分析:根据幂的乘方的逆运算把各数化为指数相同、底数不同的形式再根据底数的大小比较即可.答案详解:解:∵255=3211344=8111433=6411且32<64<81∴255<433<344.24.比较20162017与20172016的大小我们可以采用从“特殊到一般”的思想方法:(1)通过计算比较下列各式中两数的大小:(填“>”、“<”或“=”)①12<21②23<32③34>43④45>54⑤56>65…(2)由(1)可以猜测n n+1与(n+1)n(n为正整数)的大小关系:当n≤2时n n+1<(n+1)n;当n>2时n n+1>(n+1)n;(3)根据上面的猜想则有:20162017>20172016(填“>”、“<”或“=”).试题分析:(1)通过计算可比较大小;(2)观察(1)中的符号归纳n n+1与(n+1)n(n为正整数)的大小关系;(3)由(2)中的规律可直接得到答案;答案详解:解:(1)①∵12=1 21=2∴12<21②∵23=8 32=9∴23<32③∵34=81 43=64∴34>43④∵45=1024 54=625∴45>54⑤∵56=15625 65=7776∴56>65(2)通过观察可以看出;n≤2时n n+1<(n+1)n;n>2时n n+1>(n+1)n;(3)由(2)得到的结论;2016>2∴20162017>20172016.所以答案是:(1)<<>>;≤2 >2;>.25.(1)用“>”、“<”、“=”填空:35<3653<63(2)比较下列各组中三个数的大小并用“<”连接:①41086164②255344433.试题分析:(1)根据底数为大于1的正数时底数相同指数越大幂越大和指数相同时底数越小幂越小填空即可;(2)①先把这3个数化为底数都为2的幂比较大小;②根据(a m)n=a mn(m n是正整数)的逆运算把三个数化为指数相同的数再比较底数的大小即可.答案详解:解:(1)∵3>1∴35<36所以答案是:<;∵1<5<6∴53<63所以答案是:<;(2)①∵410=(42)5=220164=(42)4=21686=218∵220>218>216∴164<86<410;②∵255=(25)11344=(34)11433=(43)11又∵25=32<43=64<34=81∴255<433<344.九.幂的运算的综合提升26.已知5a=2b=10 求1a +1b的值.试题分析:想办法证明ab=a+b即可.答案详解:解:∵5a=2b=10∴(5a)b=10b(2b)a=10a∴5ab=10b2ab=10a∴5ab•2ab=10b•10a∴10ab=10a+b∴ab=a+b∴1a+1b=a+bab=127.已知6x=192 32y=192 则(﹣2017)(x﹣1)(y﹣1)﹣2=−1 2017.试题分析:由6x=192 32y=192 推出6x=192=32×6 32y=192=32×6 推出6x﹣1=32 32y ﹣1=6 可得(6x﹣1)y﹣1=6 推出(x﹣1)(y﹣1)=1 由此即可解决问.答案详解:解:∵6x=192 32y=192∴6x=192=32×6 32y=192=32×6∴6x﹣1=32 32y﹣1=6∴(6x﹣1)y﹣1=6∴(x﹣1)(y﹣1)=1∴(﹣2017)(x﹣1)(y﹣1)﹣2=(﹣2017)﹣1=−1 201728.已知三个互不相等的有理数既可以表示为1 a a+b的形式又可以表示0 bab的形式试求a2n﹣1•a2n(n≥1的整数)的值.试题分析:由于ba 有意义则a≠0 则应有a+b=0 则ba=−1 故只能b=1 a=﹣1了再代入代数式求解.答案详解:解:由题可得:a≠0 a+b=0∴ba=−1 b=1∴a=﹣1又∵2n﹣1为奇数﹣1的奇数次方得﹣1;2n为偶数﹣1的偶数次方得1∴a2n﹣1•a2n=(﹣1)2n﹣1×(﹣1)2n=﹣1×1=﹣1.29.化简与求值:(1)已知3×9m×27m=321求(﹣m2)3÷(m3•m2)m的值.(2)已知10a=5 10b=6 求①102a+103b的值;②102a+3b的值.试题分析:(1)先根据幂的乘方的运算法则求出m的值然后化简(﹣m2)3÷(m3•m2)m并代入求值;(2)根据幂的乘方以及同底数幂的乘法法则求解.答案详解:解:(1)3×9m×27m=3×32m×33m=35m+1=321∴5m+1=21解得:m=4则(﹣m2)3÷(m3•m2)m=﹣m6﹣5m将m=4代入得:原式=﹣46﹣20=﹣4﹣14;(2)①102a+103b=(10a)2+(10b)3=52+63=241;②102a+3b=(10a)2•(10b)3=25×216=5400.。
幂的乘方初二上练习题1. 计算以下幂的乘方:a) 2^3 = ____.b) 5^2 = ____.c) 10^0 = ____.d) 0^3 = ____.2. 将以下算式转化为幂的乘方形式:a) 9 x 9 = ____.b) 4 x 4 x 4 = ____.c) 10 x 10 x 10 x 10 = ____.3. 计算以下幂的乘方与乘法的结果是否相等:a) 2^4 = 2 x 2 x 2 x 2. 结果相等:是/否.b) 3^2 x 3^3 = 3^5. 结果相等:是/否.c) 8^2 ÷ 8^3 = 8^-1. 结果相等:是/否.4. 简化以下幂的表达式:a) 2^2 x 2^3 = ____.b) 7^4 ÷ 7^2 = ____.c) (2^3)^4 = ____.5. 计算以下数的指数:a) 10^2 = ____.b) 3^4 = ____.c) 5^0 = ____.6. 如果一个数的指数为0,那么它的值是多少?答案:______.7. 解决以下问题:a) 一个正方形的边长是3米,它的面积是多少平方米?b) 一个立方体的边长是7厘米,它的体积是多少立方厘米?c) 如果一个圆的半径是5米,它的面积是多少平方米?8. 下列哪一个指数是负数?a) 2^3.b) 5^0.c) 10^-2.d) 3^4.9. 在数轴上标出以下等式的解集:a) x^2 = 9.b) y^3 = 27.c) z^4 = 81.10. 一个方形的周长是12米,它的边长是多少米?11. 一个矩形的面积是16平方米,它的宽度是2米,长度是多少米?12. 一个正方形的周长是20厘米,它的边长是多少厘米?13. 指数为零的数的特点是什么?14. 总结幂的乘方的计算规律与性质。
这些练习题将帮助你巩固对幂的乘方的理解和应用。
请认真完成每一题,并确保你理解了每个问题的解决方法和答案。
祝你进步!。
七年级下册数学第八章幂的运算评估测试卷(时间:90分钟满分:100分)一、选择题(每小题2分,共50分)1.下列计算不正确的是 ( )A.30+2-1=112B.10-4÷10-2=0.01 C.a2n÷a n=a2 D.()331328baba---=-2.下列计算不正确的是 ( ) A.a m÷a m=a0=1 B.a m÷(a n÷a p)=a m-n-pC.(-x) 5÷(-x) 4=-x D.9-3÷(3-3) 2=l3.下列计算正确的是 ( ) A.x8÷x4=x2 B.a8÷a-8=1 C.3100÷399=3 D.510÷55÷5-2=534.100m÷1000n的计算结果是 ( ) A.100000m-n B.102m-3n C.100mn D.1000mn5.若1x=2,则x2+x-2的值是 ( )A.4 B.144C.0 D.146.在等式a m+n÷A=a m-2中A的值应是 ( ) A.a m+n+2 B.a n-2 C.a m+n+3 D.a n+27.a2m+4等于 ( ) A.2a m+2 B.(a m) 2 a4 C.a2·a m+4 D.a2 a m+a48.x m+1 x m-1÷(x m) 2的结果是 ( ) A.-l B.1 C.0 D.±19.下列等式正确的是 ( )①0.000 126=1.26×10-4 ②3.10×104=31 000③1.1×10-5=0.000 011 ④12 600 000=1.26×106A.①② B.②④ C.①②③ D.①③④10.(-23×103) 2×(1.5×104) 2的值是 ( )A.-1.5×1011 B.1014 C.-4×1014 D.-101411.下列各式中-定正确的是 ( )A.(2x-3) 0=1 B.π0=0 C.(a2-1) 0=1 D.(m2+1) 0=112.计算200820091122⎛⎫⎛⎫-+-⎪ ⎪⎝⎭⎝⎭的结果是 ( )A.2009112⎛⎫+⎪⎝⎭B.200912⎛⎫- ⎪⎝⎭C.200812⎛⎫- ⎪⎝⎭D.200912⎛⎫⎪⎝⎭13.若26m>2x>23m,m为正整数,则x的值是 ( )A.4m B.3m C.3 D.2m14.在算式a m+n÷( )=a m-2中括号内的式子应是 ( ) A.a m+n+2 B.a n-2 C.a m+n-2 D.a n+215.(2×3-12÷2)0结果为 ( ) A.0 B.1 C.12 D.无意义16.结果为a2的式子是 ( ) A.a6÷a3 B.a4 a-2 C.(a-1) 2 D.a4-a217.下面计算正确的是 ( ) A.a4 a2=a8 B.b3+b3=b6 C.x5+x2=x7 D.x x7=x8 18.(-2a3) 2等于 ( ) A.4a5 B.4a6 C.4a9 D.-4a619.下列运算正确的是 ( ) A.x5 x=x5 B.x5-x2=x3 C.(-y) 2 (-y) 7=y9 D.-y3·(-y) 7=y10 20.下列运算正确的是 ( ) A.x10÷(x4÷x2)=x8 B.(xy) 6÷(xy) 2=(xy) 3=x3y3C.x n+2÷x n+1=x-n D.x4n÷x2n x3n=x-n21.计算25m÷5m得 ( )A.5 B.20 C.5m D.20m22.1纳米=0.000 000 001米,则2.5纳米应表示为 ( ) A.2.5×10-8米 B.2.5×10-9米 C.2.5×10-10米 D.2.5×109米23.国家游泳中心——“水立方”是北京2008奥运会场馆之一,它的外层膜的展开面积约260 000平方米,将260 000用科学记数法表示应为 ( )A.0.26×106 B.26×104 C.2.6×105 D.2.6×10624.下列运算正确的是 ( )A.a2 a3=a6 B.(-y2) 3=y6 C.(m2n) 3=m5n3 D.-2x2+5x2=3x2 25.国家教育部最近提供的数据娃示,2008年全国普通高考计划招生667万人,这一数据科学记数法表示为(结果保留两个有效数字) ( ) A.6.6×106 B.66×106 C.6.7×106 D.67×106二、填空题(每小题2分,共44分)26.a2·(-a)2=____________.27.(x2)-3·(x3)-1÷x=____________.28.-b2·(-b) 2 (-b3)=_____________.29.(x-y) 2 (y-x) 3=______________.30. 0.1252008×82009=_____________.31.-4n÷8n-1=_____________.32.a3 __________ a m+1=a2m+433.已知10a=5,10b=25,则103a-b=____________.34.已知Ax n+1=x2n+1,则A=_____________.35.0.258×643×258×48=______________.36.-52×(-5) 2×5-4=_____________.37.(a2) 2 (a b) 3-(-a2b) 3(-a)=______________.38.(-a)6÷(-a)3=____________.39.a2 a5÷a6=____________.40.50×5-2+25-1=____________.41.m3·(m2) 6÷m10=___________.42.-x m+1÷x m-1=___________.43.(a m-1) n÷a mn=___________.44.若22n=4,则n=__________.45.若64×83=2x,则x=___________.46.若x3=(-2) 5÷(12)-2,则x=____________.47.用科学记数法表示0.000 000 125=____________.三、计算题(48~51题每小题4分,52、53题每小题5分,共26分) 48.(-3a3) 2÷a249.x n+1 ÷x n-1(x n) 2 (x≠0) 50.x5 x4-x6·x2·x51. ( -3) 0+(-12)3-(13)-252.3x2·x n-2+3(-x) 2·x n-3·(-x) 53.(-3×3-2)-3-(-32) 2÷32×20090参考答案1.C 2.B 3.C 4.B 5.B 6.D 7.B 8.B 9.C 10.B 11.D12.D 13.A 14.D 15.D 16.B 17.D 18.B 19.D 20.A 21.C 22.B23.C 24.D 25.C26.a 4 27.101x 28.b 7 29.(y -x) 5 30.8 31.-23-n 32.a m33.5 34.x n 35.436.-1 37.0 38.-a 3 39.a 40.1 41.m 5 42.-x 2 43.1na 44.1 45.15 46.-2 47.1.25×10-748.解:(-3a 3) 2÷a 2 =9a 6÷a 2 =9a 6-2=9a 449.解:x n+1·x n -1÷(x n ) 2 =x (n+1)+(n -1)-2n =x 0=150.解:x 5·x 4-x 6 x 2 x=x 9-x 29=0.51.解:()320111131982388π-⎛⎫⎛⎫⎛⎫-+--=+--=- ⎪ ⎪ ⎪⎝⎭⎝⎭⎝⎭52.解:原式=3x n -3x n =0.53.解:(-3×3-2)-3-(-32) 2÷32×20090=-27-9×1=-36。
幂的运算一、选择题1.下列各式运算正确的是 ( )A .2a 2+3a 2=5a 4B .(2ab 2)2=4a 2b 4C 2a 6÷a 3=2a 2D .(a 2)3=a 52.若a m =2,a n =3,则a m +n 的值为 ( )A .5B .6C .8D .93.在等式a 3·a 2·( )=a 11中,括号里填入的代数式应当是 ( )A .a 7B .a 8C .a 6D .a 34.下列计算正确的是 ( )A B .C .D .5.下列算式:①(-a )4.(-a 3c 2)=-a 7c 2;②(-a 3)2=-a 6;③(-a 3)3÷a 4=a 2;④(-a )6÷(-a )3=-a 3.其中,正确的有 ( )A .4个B .3个C .2个D .1个6.下列运算正确的是( )A .xy y x 532=+B .36329)3(y x y x -=-C .442232)21(4y x xy y x -=-⋅ D .333)(y x y x -=- 7.下列等式中正确的个数是( )①5510a a a += ②6310()()a a a -⋅-= ③4520()a a a -⋅-= ④556222+=A .0个B .1个C .2个D .3个8、已知n 是大于1的自然数,则()c -1-n ()1+-∙n c 等于 ( ) A. ()12--n c B.nc 2- C.c -n 2 D.n c 29.化简2(21)(2)x x x x ---的结果是( )A .3x x --B .3x x -C .21x --D .31x -10.化简()()()a b c b c a c a b ---+-的结果是( )A .222ab bc ac ++B .22ab bc -C .2abD .2bc -11.如图14-2是L 形钢条截面,它的面积为( )A .ac+bcB .ac+(b-c)cC .(a-c)c+(b-c)cD .a+b+2c+(a-c)+(b-c)12.下列各式中计算错误的是( )A .3422(231)462x x x x x x -+-=+-B .232(1)b b b b b b -+=-+C .231(22)2x x x x --=--D .342232(31)2323x x x x x x -+=-+ 13.2211(6)(6)23ab a b ab ab --⋅-的结果为( ) A .2236a b B .3222536a b a b + C .2332223236a b a b a b -++D .232236a b a b -+二、填空题 1.计算:(-x 2) 4=____________. ()22433xy x y ⎛⎫-- ⎪⎝⎭=___________. 2 .(a +b )2·(b +a )3=________; (2m -n )3·(n -2m )2=________. 3 .(________)2=a 4b 2; ________×2n -1=22n +3 4 .若2m ·2·8=211,则m =________ 若2m+1=10,2n+2=12,则2m+n =________ 5 )83(4322yz x xy -⋅ =________. )312)(73(3323c b a b a -=________. 6 .如果一个三角形的底边长为2x 2y-y 2,高为6xy ,则这个三角形的面积是________• 7 单项式5x m y n 和-8xy m+1的积等于-40x 3y 4则m= n=三.用简便方法计算:(1)221(2)44⨯ (2)1212(0.25)4-⨯(3)、0.125 2004×(-8)2005 (4)、20072006522125⎛⎫⎛⎫-⨯ ⎪ ⎪⎝⎭⎝⎭(5)、()5.1)32(2000⨯1999()19991-⨯ (6)、)1(1699711111-⎪⎭⎫ ⎝⎛⎪⎭⎫ ⎝⎛11四.先化简,再求值22(69)(815)2(3)x x x x x x x x -----+-,其中16x =-。
14.1.1同底数幂的乘法一、单选题1.已知32,33x y ==,则3x y +的值为( )A .6B .5C .36D .3【答案】A【分析】原式逆用同底数幂的乘法法则变形,将已知等式代入计算即可求出值.【详解】∵32,33x y ==,∴3=33236x y x y +⋅=⨯=,故选:A【点评】本题考查了同底数幂乘法的逆运算,熟练掌握法则是解题的关键,2.已知2,3m n a a ==,则m n a +的值为( )A .6B .5C .3D .1 【答案】A【分析】根据同底数幂的乘法的逆用可直接进行求解.【详解】∵2,3m n a a ==,∴236m n m n a a a +=⋅=⨯=;故选A .【点评】本题主要考查同底数幂的乘法的逆用,熟练掌握同底数幂的乘法的逆用是解题的关键.3.计算(-2)99+(-2)100结果等于 ( )A .(-2)199B .-2199C .299D .-299 【答案】C【分析】原式利用乘方的意义计算即可得到结果.【详解】原式=(-2)99+(-2)99×(-2)=(-2)99×(1-2)=299,故选:C .【点评】此题考查了有理数的混合运算,熟练掌握运算法则是解本题的关键.4.若23a =,25b =,215c =,则( )A .a b c +=B .1a b c ++=C .2a b c +=D .22a b c +=【分析】根据同底数幂乘法的逆运算进行计算即可【详解】∵23a =,25b =,215c =,∵21535222+==⨯=⨯=a b c a b∴a b c +=故选:A【点评】本题考查了同底数幂乘法的逆运算,熟练掌握法则是解题的关键5.计算()()9910022-+-的结果为( ) A .992-B .992C .2-D .2 【答案】B【分析】根据同底数幂的乘法法则运算即可.【详解】()()9910022-+- =9100922-=9999222-⨯=()99212-⨯ =992故选B .【点评】本题考查了有理数的混合运算,解题的关键是合理利用同底数幂的乘法法则进行简便运算. 6.计算23a a ⋅的结果是( )A .6aB .5aC .4aD .3a【答案】B【分析】根据同底数幂相乘的法则进行计算,然后判断即可.【详解】23235a a a a +⋅==,故选:B .【点评】本题考查了同底数幂相乘,按照法则—同底数幂相乘,底数不变,指数相加进行计算是关键,属于基础题型.7.若3x =10,3y =5,则3x +y 的值是( )A .15B .50C .0.5D .2【分析】直接逆用同底数幂的乘法法则计算得出答案.【详解】∵3x =10,3y =5,∴3x +y =3x •3y =10×5=50.故选:B .【点评】此题主要考查了同底数幂的乘法运算,正确将原式变形是解题关键.8.10102(2)+-所得的结果是( )A .0B .102C .112D .202【答案】C【分析】先把10(2)-化为102,合并后再根据同底数幂的运算法则计算即可.【详解】10102(2)+-=1010101122222=⋅=+.故选:C .【点评】本题考查了同底数幂的运算和合并同类项,属于常考题型,明确求解的方法是解题关键.二、填空题目9.如果23x =,27y =,则2x y +=_____________.【答案】21【分析】根据同底数幂的乘法可得222x y x y +=⋅,继而可求得答案.【详解】∵23x =, 27y =,∴2223721x y x y +=⋅=⨯=,故答案为:21.【点评】本题考查了同底数幂的乘法,熟练掌握运算法则是解题的关键.本题中要注意掌握公式的逆运算. 10.已知5122120m m ++-=,则m 的值是_________________.【答案】2【分析】根据同底数幂的乘法法则将原式变形可得52222120m m ⨯-⨯=,再利用乘法分配律合并计算,得到m 值.【详解】∵5122120m m ++-=,∴52222120m m ⨯-⨯=,∴()2322120m ⨯-=,∴24m =,∴m=2,故答案为:2.【点评】本题考查了同底数幂的乘法,解题的关键是灵活运用运算法则.11.我们规定一个新数“i ”,使其满足i 1=i ,i 2=﹣1,并且进一步规定:一切有理数可以与新数进行四则运算,且原有的运算律和运算法则仍然成立,于是有i 1=i ,i 2=﹣1,i 3=i 2•i =﹣i ,i 4=i 2•i 2=﹣1×(﹣1)=1.那么i 6=____,i 1+i 2+i 3+…+i 2022+i 2023=____.【答案】-1 -1【分析】各式利用题中的新定义计算即可求出值.【详解】i 6=i 5•i =-1,由题意得,i 1=i ,i 2=﹣1,i 3=i 2•i =﹣i ,i 4=i 2•i 2=﹣1×(﹣1)=1,i 5=i 4•i =i ,i 6=i 5•i =-1,故可发现4次一循环,一个循环内的和为0,2023÷4=505 (3)i 1+i 2+i 3+…+i 2022+i 2023=505×0+(i -1-i )=-1.故答案为:-1,-1.【点评】本题考查了同底数幂的乘法运算,解答本题的关键是计算出前面几个数的值,发现规律,求出一个循环内的和再计算,有一定难度.12.已知4222112x x +-⋅=,则x =________【答案】3【分析】利用同底数幂乘法的逆运算求解即可.【详解】∵()4411312222222172x x x x x x +++++-⋅-=⋅=⋅-=,∴172112x +⋅=,即:142162x +==,∴14x +=,∴3x =,故答案为:3.【点评】本题主要考查同底数幂乘法的逆运算,灵活运用同底数幂乘法法则是解题关键.13.已知8m x =,6n x =,则2m n x +的值为______.【答案】384【分析】利用同底数幂相乘的逆运算得到2m n m m n x x x x +⋅⋅=,将数值代入计算即可.【详解】∵8m x =,6n x =,∴2886m n m m n x x x x +⋅⋅==⨯⨯=384,故答案为:384.【点评】此题考查同底数幂相乘的逆运算,正确将多项式变形为2m n m m n x x x x +⋅⋅=是解题的关键. 14.已知25,23a b ==,求2a b +的值为________.【答案】15.【分析】逆用同底数幂的乘法运算法则将原式变形得出答案.【详解】∵2a =5,2b =3,∴2a+b =2a ×2b =5×3=15.故答案为:15.【点评】此题主要考查了同底数幂的乘法运算,正确将原式变形是解题关键.三、解答题15.光的速度约为3×105千米/秒,太阳光射到地球需要时间约是5×102秒,地球与太阳的距离约是多少千米?【答案】81.510⨯【分析】根据路程=速度×时间,先列式表示地球到太阳的距离,再用科学记数法表示.【详解】3×105×5×102=15×107=1.5×108千米.故地球与太阳的距离约是1.5×108千米.【点评】此题主要考查科学记数法的表示方法.科学记数法的表示形式为a×10n 的形式,其中1≤|a|<10,n 为整数.表示时关键要正确确定a 的值以及n 的值.同时考查了同底数幂的乘法.16.判断23221()()()()n m a m a b b a a b a b -++-⋅-⋅-=-是否正确,并说明理由.【答案】不正确,理由见解析【分析】根据题意,要进行幂的乘法运算,先把每一项写成同底数的形式,所以把()3b a -转换成()3a b --,然后进行同底数幂的乘法运算,底数不变指数相加.【详解】不正确.理由如下:232()()()n m a b b a a b --⋅-⋅-232()[()]()n m a b a b a b -=-⋅--⋅-232()()()n m a b a b a b -=--⋅-⋅-21()n m a b ++=--.【点评】本题考查了同底数幂的乘法,需要注意的是当指数是奇数的时候,底数变为原来的相反数,幂的前面要加上负号.17.计算:2726733333(3)⨯-⨯+⨯-.【答案】83【分析】由题意先根据同底数幂相乘指数相加进行运算,再进行同类项合并即可求值.【详解】2726733333(3)⨯-⨯+⨯-272617333+++=--883323=⨯-⨯83=.【点评】本题考查整式乘法,熟练掌握同底数幂的乘法运算法则以及合并同类项原则是解题的关键. 18.若3a =5,3b =10,则3a+b 的值.【答案】50【分析】根据同底数幂乘法的逆运算即可得出答案【详解】3a+b =3a ⨯3b =5⨯10=50【点评】此题考查了同底数幂乘法的逆运算,熟练掌握运算法则是解题的关键19.如果c a b =,那么我们规定()a b c =,.例如:因为328=,所以(2,8)3=.(1)根据上述规定,填空:(4,16)= ,(2,32)= .(2)记(3,5)a =,(3,6)b =,(3,30)c =.求证:a b c +=.【答案】(1)2,5;(2)证明见解析.【分析】(1)由新定义设()4,16,x =可得416,x = 从而可得答案,同理可得()2,32的结果;(2)由新定义可得:35a =,36b =,330c =,从而可得:333=30,a b a b += 从而可得33a b c +=,从而可得结论.【详解】(1)()a b c =,,,c a b ∴=设()4,16,x =24164,x ∴==2,x ∴=()4,16=2∴,设()2,32,y =52322,y ∴==5,y ∴=()2,32 5.∴=故答案为:2,5.(2)证明:根据题意得:35a =,36b =,330c =∵5630⨯=∴333a b c ⋅= 则33a b c +=∴a b c +=.【点评】本题考查的新定义情境下幂的运算,弄懂新定义的含义,掌握同底数幂的乘法,幂的含义是解题的关键.20.规定两正数a ,b 之同的一种运算,记作:E(a ,b),如果a c =b ,那么E(a ,b)=c .例如23=8,所以E(2,8)=3(1)填空:E(3,27)= ,E 11,216⎛⎫ ⎪⎝⎭= (2)小明在研究这和运算时发现一个现象:E(3n ,4n )=E(3,4)小明给出了如下的证明:设E(3n ,4n )=x ,即(3n )x =4n ,即(3n ,4n )=4n ,所以3x =4,E(3,4)=x ,所以E(3n ,4n )=E(3,4),请你尝试运用这种方法说明下面这个等式成立:E(3,4)+E(3,5)=E(3,20)【答案】(1)3;4;(2)证明见解析.【分析】(1)根据规定的两数之间的运算法则:知4311327,,216⎛⎫== ⎪⎝⎭ 从而可得答案; (2)设E (3,4)=x ,E (3,5)=y ,根据定义得:34,35,x y ==利用同底数幂的乘法可得答案.【详解】(1)∵3327,=∴E (3,27)=3; ∵411,216⎛⎫= ⎪⎝⎭ ∴11,4,216E ⎛⎫= ⎪⎝⎭故答案为:3;4;(2)设E (3,4)=x ,E (3,5)=y ,则34,35,x y ==∴3334520,x y x y +=•=⨯=∴E (3,20)=x+y ,∴E (3,4)+E (3,5)=E (3,20).【点评】本题是利用新定义考查幂的运算的逆运算,掌握幂的运算,同底数幂的乘法运算是解题的关键. 21.(1)若2x a =,3y a =,求x y a -的值; (2)计算2310012222++++⋅⋅⋅+的值.【答案】(1)23;(2)10121-. 【分析】(1)逆用同底数幂的除法的运算法则解答即可;(2)设S=2310012222++++⋅⋅⋅+,则2S=231012222+++⋅⋅⋅+, 把这两个式子相减即可求解.【详解】(1)∵2x a =,3y a =, ∴23x y x y a a a -=÷=; (2) 设S=2310012222++++⋅⋅⋅+,则2S=231012222+++⋅⋅⋅+,∴S=2S-S=10121-.【点评】本题考查了同底数幂的除法及同底数幂的乘法的应用,熟练运用法则是解决问题的关键.22.已知a x=5,a x+y=30,求a x+a y的值.【答案】11.【详解】分析:首先根据同底数幂的乘法法则:同底数幂相乘,底数不变,指数相加,求出y a的值是多少;然后把x a、y a的值相加,求出x a+y a的值是多少即可.本题解析:∵a x=5,a x+y=30,∴a y=a x+y﹣x=30÷5=6,∴a x+a y=5+6=11,即a x+a y的值是11.祝福语祝你考试成功!。
幂的运算测试一、选择题(30分)1.下列各式运算正确的是( )A .2a 2+3a 2=5a 4B .(2ab 2)2=4a 2b 4C .2a 6÷a 3=2a 2D .(a 2)3=a 52.若a m =2,a n =3,则a m +n 的值为 ( )A .5B .6C .8D .93.在等式a 3·a 2·( )=a 11中,括号里填入的代数式应当是( )A .a 7B .a 8C .a 6D .a 34.计算25m ÷5m 的结果为 ( )A .5B .20C .20mD .5m5.下列算式:①(-a )4.(-a 3c 2)=-a 7c 2;②(-a 3)2=-a 6;③(-a 3)3÷a 4=a 2; ④(-a )6÷(-a )3=-a 3.其中,正确的有 ( )A .4个B .3个C .2个D .1个6.下列运算正确的是( )A .xy y x 532=+B .36329)3(y x y x -=-C .442232)21(4y x xy y x -=-⋅ D .333)(y x y x -=- 7.下列等式中正确的个数是( )①5510a a a += ②6310()()a a a -⋅-= ③4520()a a a -⋅-= ④556222+=A .0个B .1个C .2个D .3个8.计算(a-b)n ·(b-a)n-1等于( )A.(a-b)2n-1B.(b-a)2n-1C.+(a-b)2n-1D.非以上答案9.下列各式中计算错误的是( )A .3422(231)462x x x x x x -+-=+-B .232(1)b b b b b b -+=-+ C .x x x +-=-22)22(x 21- D .342232(31)2323x x x x x x -+=-+ 10.如图14-2是L 形钢条截面,它的面积为( )A .ac+bcB .ac+(b-c)cC .(a-c)c+(b-c)cD .a+b+2c+(a-c)+(b-c)二、填空题(24分)11.计算:()22433xy x y ⎛⎫-- ⎪⎝⎭=___________. 12.(a +b )2·(b +a )3=________;(2m -n )3·(n -2m )2=________.13.(________)2=a 4b 2;________×2n -1=22n +314.若2m ·2n ·8=211,则m =________.15.已知9n+1﹣32n =72,则n=________16.若a =999999,b =990119,则a ________b . 17.若2m+1=10,2n+2=12,则2m+n =________18.已知n 是大于1的自然数,则()c -1-n ()1+-•n c 等于________ 三、解答题(66分)19.(12分)计算:(1)(-a 3)2·(-a 2)3; (2)-t 3·(-t )4·(-t )5;(3)(p -q )4÷(q -p )3.(p -q )2; (4)(-3a )3-(-a )·(-3a )220.(8分)先化简,再求值:①a 3·(-b 3)2+(-12ab 2)3,其中a =14,b =4。
幂的运算测试一、选择题(30分)1.下列各式运算正确的是( )A .2a 2+3a 2=5a 4B .(2ab 2)2=4a 2b 4C .2a 6÷a 3=2a 2D .(a 2)3=a 52.若a m =2,a n =3,则a m +n 的值为 ( )A .5B .6C .8D .93.在等式a 3·a 2·( )=a 11中,括号里填入的代数式应当是( )A .a 7B .a 8C .a 6D .a 34.计算25m ÷5m 的结果为 ( )A .5B .20C .20mD .5m5.下列算式:①(-a )4.(-a 3c 2)=-a 7c 2;②(-a 3)2=-a 6;③(-a 3)3÷a 4=a 2; ④(-a )6÷(-a )3=-a 3.其中,正确的有 ( )A .4个B .3个C .2个D .1个6.下列运算正确的是( )A .xy y x 532=+B .36329)3(y x y x -=-C .442232)21(4y x xy y x -=-⋅D .333)(y x y x -=- 7.下列等式中正确的个数是( )①5510a a a += ②6310()()a a a -⋅-= ③4520()a a a -⋅-= ④556222+=A .0个B .1个C .2个D .3个8.计算(a-b)n ·(b-a)n-1等于( )A.(a-b)2n-1B.(b-a)2n-1C.+(a-b)2n-1D.非以上答案9.下列各式中计算错误的是( )A .3422(231)462x x x x x x -+-=+-B .232(1)b b b b b b -+=-+ C .x x x +-=-22)22(x 21- D .342232(31)2323x x x x x x -+=-+ 10.如图14-2是L 形钢条截面,它的面积为( )A .ac+bcB .ac+(b-c)cC .(a-c)c+(b-c)cD .a+b+2c+(a-c)+(b-c)二、填空题(24分)11.计算:()22433xy x y ⎛⎫-- ⎪⎝⎭g =___________. 12.(a +b )2·(b +a )3=________;(2m -n )3·(n -2m )2=________.13.(________)2=a 4b 2;________×2n -1=22n +314.若2m ·2n ·8=211,则m =________.15.已知9n+1﹣32n =72,则n=________16.若a =999999,b =990119,则a ________b . 17.若2m+1=10,2n+2=12,则2m+n =________18.已知n 是大于1的自然数,则()c -1-n ()1+-•n c 等于________ 三、解答题(66分)19.(12分)计算:(1)(-a 3)2·(-a 2)3; (2)-t 3·(-t )4·(-t )5;(3)(p -q )4÷(q -p )3.(p -q )2; (4)(-3a )3-(-a )·(-3a )220.(8分)先化简,再求值:①a 3·(-b 3)2+(-12ab 2)3,其中a =14,b =4。
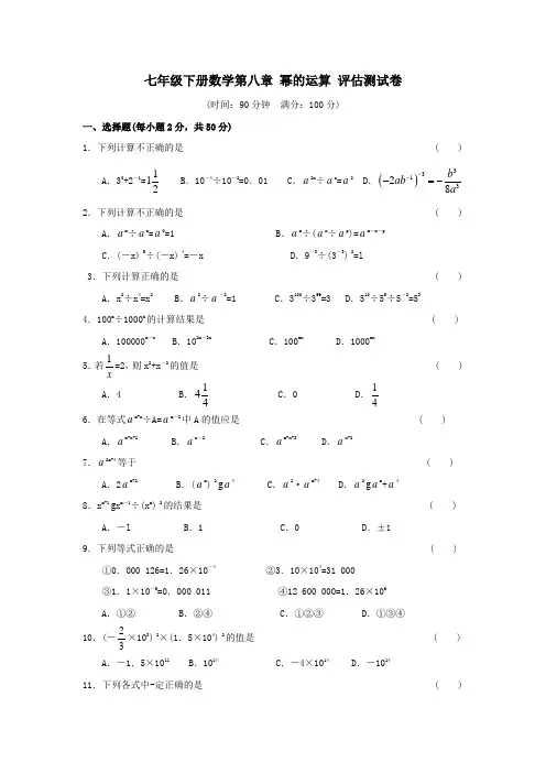
七年级下册数学第八章幂的运算评估测试卷
(时间:90分钟满分:100分)
一、选择题(每小题2分,共50分)
1.下列计算不正确的是 ( )
A.30+2-1=
1
1
2
B.10-4÷10-2=0.01 C.a2n÷a n=a2 D.()
3
3
1
3
2
8
b
ab
a
-
-
-=-
2.下列计算不正确的是 ( ) A.a m÷a m=a0=1 B.a m÷(a n÷a p)=a m-n-p
C.(-x) 5÷(-x) 4=-x D.9-3÷(3-3) 2=l
3.下列计算正确的是 ( ) A.x8÷x4=x2 B.a8÷a-8=1 C.3100÷399=3 D.510÷55÷5-2=53
4.100m÷1000n的计算结果是 ( ) A.100000m-n B.102m-3n C.100mn D.1000mn
5.若1
x
=2,则x2+x-2的值是 ( )
A.4 B.
1
4
4
C.0 D.
1
4
6.在等式a m+n÷A=a m-2中A的值应是 ( ) A.a m+n+2 B.a n-2 C.a m+n+3 D.a n+2
7.a2m+4等于 ( ) A.2a m+2 B.(a m) 2 a4 C.a2·a m+4 D.a2 a m+a4
8.x m+1 x m-1÷(x m) 2的结果是 ( ) A.-l B.1 C.0 D.±1
9.下列等式正确的是 ( )
①0.000 126=1.26×10-4 ②3.10×104=31 000
③1.1×10-5=0.000 011 ④12 600 000=1.26×106
A.①② B.②④ C.①②③ D.①③④
10.(-2
3
×103) 2×(1.5×104) 2的值是 ( )
A.-1.5×1011 B.1014 C.-4×1014 D.-1014
11.下列各式中-定正确的是 ( )
A.(2x-3) 0=1 B.π0=0 C.(a2-1) 0=1 D.(m2+1) 0=1
12.计算
20082009
11
22
⎛⎫⎛⎫
-+-
⎪ ⎪
⎝⎭⎝⎭
的结果是 ( )
A.
2009
1
1
2
⎛⎫
+
⎪
⎝⎭
B.
2009
1
2
⎛⎫
- ⎪
⎝⎭
C.
2008
1
2
⎛⎫
- ⎪
⎝⎭
D.
2009
1
2
⎛⎫
⎪
⎝⎭
13.若26m>2x>23m,m为正整数,则x的值是 ( )
A.4m B.3m C.3 D.2m
14.在算式a m+n÷( )=a m-2中括号内的式子应是 ( ) A.a m+n+2 B.a n-2 C.a m+n-2 D.a n+2
15.(2×3-12÷2)0结果为 ( ) A.0 B.1 C.12 D.无意义
16.结果为a2的式子是 ( ) A.a6÷a3 B.a4 a-2 C.(a-1) 2 D.a4-a2
17.下面计算正确的是 ( ) A.a4 a2=a8 B.b3+b3=b6 C.x5+x2=x7 D.x x7=x8 18.(-2a3) 2等于 ( ) A.4a5 B.4a6 C.4a9 D.-4a6
19.下列运算正确的是 ( ) A.x5 x=x5 B.x5-x2=x3 C.(-y) 2 (-y) 7=y9 D.-y3·(-y) 7=y10 20.下列运算正确的是 ( ) A.x10÷(x4÷x2)=x8 B.(xy) 6÷(xy) 2=(xy) 3=x3y3
C.x n+2÷x n+1=x-n D.x4n÷x2n x3n=x-n
21.计算25m÷5m得 ( )
A.5 B.20 C.5m D.20m
22.1纳米=0.000 000 001米,则2.5纳米应表示为 ( ) A.2.5×10-8米 B.2.5×10-9米 C.2.5×10-10米 D.2.5×109米23.国家游泳中心——“水立方”是北京2008奥运会场馆之一,它的外层膜的展开面积约260 000平方米,将260 000用科学记数法表示应为 ( )
A.0.26×106 B.26×104 C.2.6×105 D.2.6×106
24.下列运算正确的是 ( )
A.a2 a3=a6 B.(-y2) 3=y6 C.(m2n) 3=m5n3 D.-2x2+5x2=3x2 25.国家教育部最近提供的数据娃示,2008年全国普通高考计划招生667万人,这一数据科学记数法表示为(结果保留两个有效数字) ( ) A.6.6×106 B.66×106 C.6.7×106 D.67×106
二、填空题(每小题2分,共44分)
26.a2·(-a)2=____________.
27.(x2)-3·(x3)-1÷x=____________.
28.-b2·(-b) 2 (-b3)=_____________.
29.(x-y) 2 (y-x) 3=______________.
30. 0.1252008×82009=_____________.
31.-4n÷8n-1=_____________.
32.a3 __________ a m+1=a2m+4
33.已知10a
=5,10b=25,则103
a-b
=____________.
34.已知Ax n+1=x2n+1,则A=_____________.
35.0.258×643×258×48=______________.
36.-52×(-5) 2×5-4=_____________.
37.(a2) 2 (a b) 3-(-a2b) 3(-a)=______________.38.(-a)6÷(-a)3=____________.
39.a2 a5÷a6=____________.
40.50×5-2+25-1=____________.
41.m3·(m2) 6÷m10=___________.
42.-x m+1÷x m-1=___________.
43.(a m-1) n÷a mn=___________.
44.若22n=4,则n=__________.
45.若64×83=2x,则x=___________.
46.若x3=(-2) 5÷(1
2
)-2,则x=____________.
47.用科学记数法表示0.000 000 125=____________.
三、计算题(48~51题每小题4分,52、53题每小题5分,共26分) 48.(-3a3) 2÷a2
49.x n+1 ÷x n-1(x n) 2 (x≠0) 50.x5 x4-x6·x2·x
51. ( -3) 0+(-1
2
)3-(
1
3
)-2
52.3x2·x n-2+3(-x) 2·x n-3·(-x) 53.(-3×3-2)-3-(-32) 2÷32×20090
参考答案
1.C 2.B 3.C 4.B 5.B 6.D 7.B 8.B 9.C 10.B 11.D
12.D 13.A 14.D 15.D 16.B 17.D 18.B 19.D 20.A 21.C 22.B
23.C 24.D 25.C
26.a 4 27.101
x 28.b 7 29.(y -x) 5 30.8 31.-23-n 32.a m
33.5 34.x n 35.4
36.-1 37.0 38.-a 3 39.a 40.1 41.m 5 42.-x 2 43.1
n
a 44.1 45.15 46.-2 47.1.25×10-7
48.解:(-3a 3) 2÷a 2 =9a 6÷a 2 =9a 6-2=9a 4
49.解:x n+1·x n -1÷(x n ) 2 =x (n+1)+(n -1)-2n =x 0=1
50.解:x 5·x 4-x 6 x 2 x=x 9-x 29=0.
51.解:()32
01111
31982388π-⎛⎫
⎛⎫
⎛⎫
-+--=+--=- ⎪ ⎪ ⎪⎝⎭⎝⎭⎝⎭
52.解:原式=3x n -3x n =0.
53.解:(-3×3-2)-3-(-32) 2÷32×20090=-27-9×1=-36。