高一数学基本初等函数测试题
- 格式:docx
- 大小:376.94 KB
- 文档页数:6
8、若集合R} , M={y|y=x2,x R},则下列结论中正确的是…高一数学《基本初等函数》测试题一、选择题:本大题共 15小题,共50分.在每小题给出的四个选项中,只有一项是符合 题目要求的.1下列函数是幕函数的是4、若 100a 5, 10b 2,则 2a b =C 、25、函数y= log 1(2x 1)的定义域为1A.( 3 , +x ) B . [ 1, +x )2A 、 y 2xB 、y x 3xC 、y 3x1x 212、 计算-log 312 log 3 2 •…2A. '、3B. 2 3C.— 2 3、 设集合A {x|x 1 0},BD.3{x|log 2 x 0|},则A B等于A . {x| x 1}B . {x| x 0}C . {x|x 1}D . {x | x()1C.( 1,1]D. ( — x, 1)6、已知f(x)=|lgx|,则匕)、f (3)、 f(2)的大小关系是……A. f(2)f(3)f(;)B. f(4)f(1)f(2)C. f (2)f(4)f©D.f(1)f(2)7、方程:lgx lg(x 3) 1的解为 x =(A 5 或-2、无解CB-2D、5A 、a 5或 a 2B 、2 a 3或3 a 5C 、2a5D 、3a4xxe e11、 已知f (x)- ............................................................ ——,则下列正确的是 ()2A •奇函数,在R 上为增函数B •偶函数,在R 上为增函数C .奇函数,在R 上为减函数D •偶函数,在R 上为减函数1112、 ................................................................ 已知logalog b 0,则a,b 的关系是 .............................................. () 33A 1<b<aB 1<a<bC 0<a<b<1D 0<b<a<1 13、世界人口已超过56亿,若按千分之一的年增长率计算,则两年增长的人口就可相当于一个 ............................................... ()A.M np={2 , 4}B. M HP ={4 , 16}C.M=PD.P M9、已知 f (X) lOg a X , g(x) lOg bh(x) log d x 的图象如图所示则A. c d aC. d c ab B.cd b a b D. d c b a 10. 在 b log (a 2) (5a)中,实数a 的取值范围是A.新加坡(270万)B •香港(560万)C •瑞士( 700万)D.上海(1200万)14若函数f (x) log a x(0 a 1)在区间a,2a上的最大值是最小值的3倍,则a的值为C、(a 1)x2在同坐标系中的图象只能是图中的二、填空题.(每小题3分)16•函数y (2 a)x在定义域内是减函数,则a的取值范围是__________________ 。
高一数学基本初等函数Ⅰ试题答案及解析1.若函数,则_________;【答案】1【解析】由题意知【考点】本小题主要考查分段函数的求值问题.点评:求分段函数的函数值,只需要按未知量的取值范围,分别代入求值即可.2.(本小题13分)有一批单放机原价为每台80元,两个商场均有销售,为了吸引顾客,两商场纷纷推出优惠政策。
甲商场的优惠办法是:买一台减4元,买两台每台减8元,买三台每台减12元,......,依此类推,直到减到半价为止;乙商场的优惠办法是:一律7折。
某单位欲为每位员工买一台单放机,问选择哪个商场购买比较划算?【答案】当公司的员工人数少于6时,选择乙商场比较合算;当恰好是6时,选择甲、乙商场均一样;当人数超过6人时,到选择甲商场比较合算【解析】设该单位有员工位,在甲、乙商场购买分别需要,则根据题意有:,,……6分下面进行分类讨论:①当时,,此时1)若;2)若;3)若;②当时,.所以,当公司的员工人数少于6时,选择乙商场比较合算;当恰好是6时,选择甲、乙商场均一样;当人数超过6人时,到选择甲商场比较合算。
……12分【考点】本小题主要考查利用分段函数和一次函数解决实际应用题,考查学生对实际问题的转化能力和运算求解能力以及分类讨论思想的应用.点评:要解决实际问题,首先要根据题意将实际问题转化为熟悉的数学问题,然后利用数学知识解决问题.3.函数在区间上递减,则实数的取值范围是____ _【答案】a≤-3【解析】因为函数在区间上递减,那么根据二次函数的对称轴x=1-a,可知4≤1-a,解得a≤-3。
4.如图所示,当时,函数的图象是 ( )【答案】D【解析】因为当时,函数,因为a,b同号,则可知当a>0,b>0,或者a<0,b<0那么分析可知选D5.若函数是上的减函数,则实数的取值范围是()A.B.C.D.【答案】C【解析】因为函数是上的减函数,则可知2-3a<0,0<a<1,a3-3a,解得实数a的范围是,选C.6.已知奇函数;(1)求实数m的值,并在给出的直角坐标系中画出的图象;(2)若函数在区间[-1,||-2]上单调递增,试确定的取值范围.【答案】(1)证明:的定义域为,令,则,令,则,即.,故为奇函数. 4分(2)证明:任取且,则又,,,即.故是上的减函数. 8分(3)解:又为奇函数,由(2)知是上的减函数,所以当时,取得最大值,最大值为;当时,取得最小值,最小值为. 11分所以函数在区间上的值域为. 12分【解析】考查奇函数的定义,应用转化的思想求值;作函数的图象,求a的取值范围,体现了作图和用图的能力,属中档题.(1)由奇函数的定义,对应相等求出m的值;画出图象.(2)根据函数的图象知函数的单调递增区间,从而得到|a|-2的一个不等式,解不等式就求得a 的取值范围.(1)证明:的定义域为,令,则,令,则,即.,故为奇函数. 4分(2)证明:任取且,则又,,,即.故是上的减函数. 8分(3)解:又为奇函数,由(2)知是上的减函数,所以当时,取得最大值,最大值为;当时,取得最小值,最小值为. 11分所以函数在区间上的值域为. 12分7.若函数与在区间上都是减函数,则实数的取值范围是()A.∪B.∪C.D.【答案】D【解析】因为函数与在区间上都是减函数,则有2a,a>0,实数的取值范围是,选D.8.里氏震级的计算公式为:其中是测震仪记录的地震曲线的最大振幅,为“标准地震”的振幅,假设在一次地震中,测震仪记录的最大振幅是1000,此时标准地震的振幅为0.001,则此次地震的震级为__________级;9级地震的最大振幅是5级地震的最大振幅的__________倍.【答案】6; 10000【解析】根据题意,假设在一次地震中,测震仪记录的最大振幅是1000,此时标准地震的振幅为0.001,则M=lgA-lgA0=lg1000-lg0.001=3-(-3)=6.设9级地震的最大的振幅是x,5级地震最大振幅是y, 9=lgx+3,5=lgy+3,解得x=106,y=102,∴=10000故答案为:6,100009.(12分)已知函数.(1)求函数的单调区间,并指出其增减性;(2)若关于x的方程至少有三个不相等的实数根,求实数a的取值范围.【答案】(1)递增区间为[1,2),[3,+∞),递减区间为(-∞,1),[2,3).(2)联立和,由得,,又点(1,0)和(2,1)两点连线斜率为-1,结合图像可知, a∈[-1,-]【解析】本试题主要是考查了函数的单调性和函数与方程的综合运用(1)先利用图像的对称变换作图可以函数的单调区间,得到结论。
基本初等函数练习卷一、选择题(本大题共12小题,每小题5分,共60分) 1、函数1213log (1)(1)y x x -=++-的定义域是()A .(-1,0)B .(-1,1)C .(0,1)D .(0,1]2、下列函数在(0,+∞)上是增函数并且是定义域上的偶函数的是( )A .23y x = B .12xy ⎛⎫= ⎪⎝⎭C .y =ln xD .y =x 2+2x +33、已知x x f 26log )(=,则=)8(f ( )A.34 B. 8 C. 18 D.21 4、已知函数e 1,1,()ln ,1,x x f x x x ⎧-≤=⎨>⎩那么f (ln 2)的值是( )A .0B .1C .ln(ln 2)D .25、函数x y a =与log (0,1)a y x a a =->≠且在同一坐标系中的图象可能是( )A B C D6、设a =log 0.50.6,b =log 1.10.6,c =1.10.6,则a ,b ,c 的大小关系是( )A .a <b <cB .b <c <aC .b <a <cD .c <a <b 7、函数(为自然对数的底数)对任意实数、,都有( )A. B. C. D. 8、已知幂函数()f x 的图象经过点(4,2), 则下列命题正确的是( )A. ()f x 是偶函数B. ()f x 是单调递增函数C. ()fx 的值域为R D. ()f x 在定义域内有最大值9、若y=log a (2-ax)在[0,1]上是减函数,则a 的取值范围为( ) (A)(0,1) ( B)(1,2) (C)(0,2) (D)(1,+∞)10、已知函数2()1,()43x f x e g x x x =-=-+-,若有()()f a g b =,则b 取值范围( )()()()f x y f x f y =+()()()f x y f xf y =()()()fx y fx fy +=+()()()f x y f x f y +=y x e ()xf x e=yxyxyxy xA. 22,22⎡⎤-+⎣⎦B. (22,22)-+C. []1,3D. ()1,311、函数y =e|-ln x |-|x -1|的图象大致是( )12、给出幂函数①f(x)=x ;②f(x)=x 2;③f(x)=x 3;④f(x)=x ;⑤f(x)=1x. 其中满足条件f 12()2x x +>12()()2f x f x + (x 1>x 2>0)的函数的个数是 ( ) A .1个 B .2个 C .3个 D .4个 二、填空题(本大题共4小题,每小题4分,共16分)13、当a >0且a ≠1时,函数f (x)=a x -2-3必过定点 . 14、函数652-+-=x x y 的单调增区间是15、已知函数2()f x x bx c =++,对任意x R ∈都有(1)()f x f x +=-,则(2)f -、 (0)f 、(2)f 的大小顺序是 .16.下列说法中:① 若2()(2)2f x ax a b x =+++(其中[21,4]x a a ∈-+)是偶函数,则实数2b =; ② 20132013)(22-+-=x x x f 既是奇函数又是偶函数;③ 函数()()43ln 2--=x x x f 的减区间是⎪⎭⎫ ⎝⎛+∞,23;④ 已知()f x 是定义在R 上的不恒为零的函数,且对任意的,x y R ∈都满足()()()f x y x f y y f x ⋅=⋅+⋅,则()f x 是奇函数。
高一数学基本初等函数Ⅰ试题答案及解析1.方程的根的情况是()A.仅有一根B.有两个正根C.有一正根和一个负根D.有两个负根【答案】C【解析】主要考查指数函数、对数函数的图象和性质。
解:采用数形结合的办法,在同一坐标系中,画出的图象可知。
2.已知 .【答案】8【解析】主要考查指数函数、二次函数的性质。
利用换元法。
解:可化为,令,又因为所以,,,故。
3.若下列命题正确的个数为()A.0B.1C.2D.3【答案】B【解析】主要考查对数运算法则。
解:根据对数的运算性质易知只有④是正确的。
4.已知_____________【答案】【解析】主要考查对数运算。
解:5.已知镭经过100年,剩留原来质量的95.76%,设质量为1的镭经过x年的剩留量为y,则y 与x的函数关系是A.y=(0.9576)B.y=(0.9576)100xC.y=()x D.y=1-(0.0424)【答案】A【解析】设每年减少q%,因为镭经过100年,剩留原来质量的95.76%,所以=95.76%, q%=1-(0.9576),所以=(0.9576)。
故选A。
【考点】主要考查函数的概念、解析式,考查应用数学知识解决实际问题的能力。
点评:审清题意,构建函数解析式。
6.一个体户有一种货,如果月初售出可获利100元,再将本利都存入银行,已知银行月息为2.4%,如果月末售出可获利120元,但要付保管费5元,问这种货是月初售出好,还是月末售出好?【答案】当成本大于525元时,月末售出好;成本小于525元时,月初售出好.【解析】解:设这种货的成本费为a元,则若月初售出,到月末共获利润为:y1=100+(a+100)×2.4%若月末售出,可获利y2=120-5=115(元)y 2-y1=0.024a-12.6=0.024(a-525)故当成本大于525元时,月末售出好;成本小于525元时,月初售出好.【考点】主要考查函数模型的广泛应用,考查应用数学知识解决实际问题的能力。
1.若函数)10(log )(<<=a x x f a 在区间]2,[a a 上的最大值是最小值的3倍,则a 的值为( )A .42B .22C .41D .21 2.若函数)1,0)((log ≠>+=a a b x y a 的图象过两点(1,0)-和(0,1),则( )A .2,2a b ==B .2a b ==C .2,1a b ==D .a b ==3.已知x x f 26log )(=,那么)8(f 等于( )A .34B .8C .18D .21 4.函数lg y x =( )A . 是偶函数,在区间(,0)-∞ 上单调递增B . 是偶函数,在区间(,0)-∞上单调递减C . 是奇函数,在区间(0,)+∞ 上单调递增D .是奇函数,在区间(0,)+∞上单调递减5.已知函数=-=+-=)(.)(.11lg )(a f b a f xx x f 则若( ) A .b B .b - C .b 1 D .1b- 6.函数()log 1a f x x =-在(0,1)上递减,那么()f x 在(1,)+∞上( )A .递增且无最大值B .递减且无最小值C .递增且有最大值D .递减且有最小值1.若a x f x x lg 22)(-+=是奇函数,则实数a =_________。
2.函数()212()log 25f x x x =-+的值域是__________.3.已知1414log 7,log 5,a b ==则用,a b 表示35log 28= 。
4.设(){}1,,lg A y xy =, {}0,,B x y =,且A B =,则x = ;y = 。
5.计算:()()5log 22323-+ 。
6.函数x x e 1e 1y -=+的值域是__________. 三、解答题2.解方程:(1)192327x x ---⋅= (2)649x x x += 3.已知,3234+⋅-=x x y 当其值域为[1,7]时,求x 的取值范围。
基本初等函数 复习题1、 下列函数中,在区间()0,+∞不是增函数的是( )A.x y 2= B. x y lg = C. 3x y = D. 1y x=2、函数y =log 2x +3(x≥1)的值域是( )A.[)+∞,2B.(3,+∞)C.[)+∞,3 D.(-∞,+∞) 3、若{|2},{|1}x M y y P y y x ====-,则M∩P ( )A.{|1}y y > B. {|1}y y ≥ C. {|0}y y > D. {|0}y y ≥4、对数式2log (5)a b a -=-中,实数a 的取值范围是( )A.a>5,或a<2B.2<a<5C.2<a<3,或3<a<5D.3<a<45、 已知x a x f -=)( )10(≠>a a 且,且)3()2(->-f f ,则a 的取值范围是( )A. 0>aB. 1>aC. 1<aD. 10<<a6、函数|log |)(21x x f =的单调递增区间是A 、]21,0( B 、]1,0( C 、(0,+∞) D 、),1[+∞ 7、图中曲线分别表示l g a y o x =,l g b y o x =,l g c y o x =,l g d y o x =的图象,,,,a b c d 的关系是()A 、0<a<b<1<d<cB 、0<b<a<1<c<dC 、0<d<c<1<a<bD 、0<c<d<1<a<b8、已知幂函数f(x)过点(2,22),则f(4)的值为 ( ) A 、21B 、 1C 、2D 、89、a=log 0.50.6,b=log20.5,c=log35,则( )A.a <b <cB.b <a <cC.a <c <bD.c <a <b10、已知)2(log ax y a -=在[0,1]上是x 的减函数,则a 的取值范围是( )A.(0,1)B.(1,2)C.(0,2)D.[2,+∞] 11、函数)1(log 21-=x y 的定义域为 .12. 设函数()()()()4242x x f x x f x ⎧≥⎪=⎨<+⎪⎩,则()2log 3f =13、计算机的成本不断降低,如果每隔5年计算机的价格降低31,现在价格为8100元的计算机,15年后的价格可降为 14、函数2)23x (lg )x (f +-=恒过定点15、求下列各式中的x 的值1)1x (ln )1(<-x yOy=log ay=logy=log y=log11.a 0a ,1)2(212≠>⎪⎭⎫ ⎝⎛>--且其中x x a a16、点(2,1)与(1,2)在函数()2ax b f x +=的图象上,求()f x 的解析式。
xxxXXXXX 学校XXXX 年学年度第二学期第二次月考XXX 年级xx 班级姓名:_______________班级:_______________考号:_______________一、填空题(每空? 分,共? 分)1、已知函数的值域为,则的取值范围是 ▲ .2、函数的减区间是3、已知函数的定义域为导函数为,则满足的实数的取值范围为4、若满足,满足,则+= .二、选择题(每空? 分,共? 分)5、已知函数图象的两条对称轴x =0和x =1,且在x ∈[-1,0]上单调递增,设,,,则的大小关系是 ( )A .B .C .D .6、已知,则的解集为 ( )A.(-∞,-1)∪(0,) B.(-∞,-1)∪(,+∞)C.(-1,0)∪(,+∞) D.(-1,0)∪(0,)7、计算= ( )A. B. C. D.8、设偶函数上递增,则的大小关系是()A. B.C. D.9、函数在区间上的值域是 ,则点的轨迹是图中的()A.线段AC和线段BD B.线段AB和线段CDC.线段AD和线段BC D.线段AB和线段AD10、偶函数上单调递增,则的大小关系是()A. B.C. D.11、如下四个函数:①②③④,性质A:存在不相等的实数、,使得,性质B:对任意,以上四个函数中同时满足性质A和性质B的函数个数为()A.4个 B.3个 C. 2个 D.1个12、函数与的图像关于直线()对称;A. B C D13、定义在R上的函数满足当时,是单调增函数,若且,则的值为()A.恒小于零B.可能为零C.恒大于零D.不确定14、若,则(A) (B) (C) (D)15、设函数是定义在R上周期为3的奇函数,若,则有A .且 B. 或 C. D.16、已知函数的定义域为,若其值域也为,则称区间为的保值区间.若的保值区间是,则的值为A.1 B . C. D.三、计算题(每空?分,共?分)17、已知函数R ,且.(I )若能表示成一个奇函数和一个偶函数的和,求的解析式;(II)命题P:函数在区间上是增函数;命题Q:函数是减函数.如果命题P、Q有且仅有一个是真命题,求a的取值范围;(III)在(II)的条件下,比较的大小.18、已知函数是上的奇函数,且单调递减,解关于的不等式,其中且.19、已知函数f(x)=,x∈[1,+∞(1)当a=时,求函数f(x)的最小值(2)若对任意x∈[1,+∞,f(x)>0恒成立,试求实数a的取值范围(3)求f(x)的最小值20、设,,函数,(1)设不等式的解集为C,当时,求实数取值范围;(2)若对任意,都有成立,试求时,的值域;(3)设,求的最小值.参考答案一、填空题1、102、(0, 1)3、4、 5二、选择题5、D6、A7、B8、B9、 B10、D11、C12、B13、C14、C15、B16、A三、计算题17、.解:(1)解得(2)在区间上是增函数,解得又由函数是减函数,得∴命题P为真的条件是:命题Q为真的条件是:.又∵命题P、Q有且仅有一个是真命题,(2)由(1)得设函数.∴函数在区间上为增函数.又18、解:因为是上的奇函数,所以可化为.又单调递减,且,所以,即. ……………….4分①当时,,而,所以;……………………………6分②当时,,解得或;…………………..8分③当时,,而,所以. ……………………………….10分综上,当或时,不等式无解;当时,不等式的解集为. ………………………………………………12分19、解(1) 当a=时,f(x)=x++2∵f(x)在区间[1,+∞上为增函数,∴f(x)在区间[1,+∞上的最小值为f(1)= .。
数学测试一、选择题1.下列函数与x y =有相同图象的一个函数是( )A .2x y = B .x x y 2= C .)10(log ≠>=a a a y x a 且 D .x a a y log = 2.下列函数中是奇函数的有几个( ) ①11x x a y a +=- ②2lg(1)33x y x -=+- ③x y x = ④1log 1a x y x +=- A .1 B .2 C .3 D .43.函数y x =3与y x =--3的图象关于下列那种图形对称( )A .x 轴B .y 轴C .直线y x =D .原点中心对称4.下列函数为偶函数是是 ( )A )f(x)=x 2+x-1B )f(x)=x|x|C )f(x)=x 2-x 3D )()f x =5.函数y = )A .[1,)+∞B .2(,)3+∞ C .2[,1]3 D .2(,1]3 6.三个数60.70.70.76log 6,,的大小关系为( ) A . 60.70.70.7log 66<< B . 60.70.70.76log 6<< C .0.760.7log 660.7<< D . 60.70.7log 60.76<<7.若f x x (ln )=+34,则f x ()的表达式为( )A .3ln xB .3ln 4x +C .3x eD .34xe + 二、填空题1.985316,8,4,2,2从小到大的排列顺序是 。
2.若3)1()(2++-=mx x m x f 是偶函数,则)(x f 的递增区间是____________。
3.计算:(log )log log 2222545415-++= 。
4.函数1218x y -=的定义域是______;5.判断函数2lg(y x x =的奇偶性 。
三、解答题1.已知二次函数f(x)的图像的顶点是(-1,2),且过原点,求f(x)的表达式附加题。
基本初等函数(2)一、选择题:1、331log 12log 22-=( )A.B. C.21D.3 2、==)100()10(f x f x,则若( )A 、100B 、lg10C 、2D 、100103、 已知集合P={x|)2lg(1++-=x x y },Q={},)31(|||R x y y x ∈=,则P ∩Q=( )A.(0,1)B.(0,1]C.[2,1)-D.[-2,1] 4、下列函数中,在()0,+∞上为增函数的是( )A.12()-=f x xB.2()3=-f x x x C. 1()1=-+f x x D. ()=-f x x5、已知a>1,函数x a y =与)x (log y a -=的图像只可能是 ( )6、设函数⎩⎨⎧>-≤=-1,log 11,2)(21x x x x f x ,则满足2)(≤x f 的x 的取值范围是( )A .1[-,2]B .[0,2]C .[1,+∞]D .[0,+∞]7、已知(31)4,1()log ,1a a x a x f x x x -+≤⎧=⎨>⎩是(,)-∞+∞上的减函数,那么a 的取值范围是A.(0,1)B.1(0,)3C.11[,)73D.1[,1)78、设函数()f x 和()g x 分别是R上的偶函数和奇函数,则下列结论恒成立的是( )A.()()f x g x +是偶函数 B.()()f xg x -是奇函数C.()()f x g x +是偶函数 D.()()f x g x -是奇函数9、已知函数()f x 是定义在实数集R 上的不恒为零的偶函数,且对任意实数x 都有()1(1)()xf x x f x +=+,则)23(f 的值是( )A. 0B. 12C. 1D.7210、已知偶函数()f x 在区间[)0,+∞上单调递增,则满足(21)(3)f x f -<的x 的取值范围是( )A.()1,2- B. [)1,2- C. 1,22⎛⎫ ⎪⎝⎭D. 1,22⎡⎫⎪⎢⎣⎭二、填空题:请把答案填在题中横线上11、幂函数)(x f 的图象过点⎪⎭⎫⎝⎛21,4,那么)8(f 的值为___________________ 12、函数)26(log 1x y a --=的图象恒过一定点,这个定点是13、a4log 15<,则a 的取值范围是_________________________ 14、函数211()2x y -=,其中[2,1]x ∈-的值域为 ▲15、已知53()sin 2f x x ax b x =-++且(5)17f -=,则(5)f 的值为_______________16、已知函数)3(log )(2+-=x ax x f a 在[2,4]上是增函数,则实数a 的取值范围是三.解答题17、已知定义域为R 的函数2()12x x af x -+=+是奇函数(1)求a 值;(2)判断并证明该函数在定义域R 上的单调性; 18、(1)若函数22()log (43)f x kx kx =++的定义域为R ,求k 的取值范围。
基本初等函数练习题一、选择题1.如果函数y =(a x-1)-12的定义域为(0,+∞)那么a 的取值范围是( )A .a >0B .0<a <1C .a >1D .a ≥12.函数y =a x在[0,1]上的最大值与最小值的和为3,则a 等于( )A.12B .2C .4 D.143.在同一平面直角坐标系中,函数f (x )=ax 与指数函数g (x )=a x的图象可能是( )4.函数xx y 2221+⎪⎭⎫⎝⎛=的值域是( )A .(0,+∞) B.(0,2] C .(12,2] D .(-∞,2]5.函数y =3x与y =(13)x 的图象( )A .关于x 轴对称B .关于y 轴对称C .关于原点对称D .关于直线y =x 对称 6.若-1<a <0,则有( )A .2a >(12)a >0.2aB .(12)a >0.2a >2aC .0.2a >(12)a >2aD .2a >0.2a>(12)a7.设a 、b 满足0<a <b <1,下列不等式中正确的是( )A .a a<a bB .b a <b bC .a a <b aD .b b <a b8.下列式子中正确的个数是( )①log a (b 2-c 2)=2log a b -2log a c ②(log a 3)2=log a 32③log a (bc )=(log a b )·(log a c ) ④log a x 2=2log a x A .0 B .1 C .2 D .3 9.如果lg x =lg a +2lg b -3lg c ,则x 等于( )A .a +2b -3cB .a +b 2-c 3C.ab 2c3D.2ab 3c10. 的值等于( )A .2+ 5B .2 5C .2+52D .1+5211.设log (a -1)(2x -1)>log (a -1)(x -1),则( )A .x >1,a >2B .x >1,a >1C .x >0,a >2D .x <0,1<a <212.若函数y =log (a 2-1)x 在区间(0,1)内的函数值恒为正数,则a 的取值范围是( )A .|a |>1B .|a |> 2C .|a |< 2D .1<|a |<213.已知集合A ={y |y =log 2x ,x >1},B ={y |y =(12)x,x >1},则A ∪B =( )A .{y |0<y <12}B .{y |y >0}C .∅D .R14.若0<a <1,函数y =log a (x +5)的图象不通过( )A.第一象限 B .第二象限 C.第三象限D .第四象限15.如下图所示的曲线是对数函数y =log a x 的图象,已知a 的取值分别为3、43、35、110,则相应于C 1、C 2、C 3、C 4的a 值依次是( ) A.3,43,35,110B.3,43,110,35C.43,3,35,110D.43,3,110,3516.幂函数y =x α(α≠0),当α取不同的正数时,在区间[0,1]上它们的图象是一簇美丽的曲线(如图).设点A (1,0),B (0,1),连结AB ,线段AB 恰好被其中的两个幂函数y =x α,y =x β的图象三等分,即有BM =MN =NA .那么,αβ=( ) A .1B .2C .3D .无法确定17.下列函数中在区间[1,2]上有零点的是( )A .f (x )=3x 2-4x +5 B .f (x )=x 3-5x -5 C .f (x )=ln x -3x +6D .f (x )=e x+3x -618.已知函数f (x )=mx 2+(m -3)x +1的图象与x 轴的交点至少有一个在原点右侧,则实数m 的取值范围是( )A .(0,1]B .(0,1)C .(-∞,1)D .(-∞,1]19.函数f (x )=lg x -9x的零点所在的大致区间是( )A .(6,7)B .(7,8)C .(8,9)D .(9,10)20.已知f (x )=(x -a )(x -b )-2,并且α、β是函数f (x )的两个零点,则实数a 、b 、α、β的大小关系可能是( )A .a <α<b <β B .a <α<β<b C .α<a <b <βD .α<a <β<b21.函数f (x )=⎩⎪⎨⎪⎧x 2+2x -3,x ≤0,-2+ln x ,x >0的零点个数为( )A .0 B .1 C .2 D .322.函数y =x 3与y =⎝ ⎛⎭⎪⎫12x 的图象的交点为(x 0,y 0),则x 0所在区间为( )A .(-2,-1)B .(-1,0)C .(0,1)D .(1,2)23.若函数f (x )是奇函数,且有三个零点x 1、x 2、x 3,则x 1+x 2+x 3的值为( )A .-1B .0C .3D .不确定24.函数f (x )=(x -1)ln(x -2)x -3的零点有( )A .0个 B .1个C .2个 D .3个25.若函数y =f (x )在区间[0,4]上的图象是连续不断的曲线,且方程f (x )=0在(0,4)内仅有一个实数根,则f (0)·f (4)的值( )A .大于0 B .小于0 C .等于0 D .无法判断 二、填空题1.指数函数y =f (x )的图象过点(-1,12),则f [f (2)]=________.2.当x ∈[-1,1]时,函数f (x )=3x-2的值域为__________.3.已知x >0时,函数y =(a 2-8)x的值恒大于1,则实数a 的取值范围是________ 4.使对数式log (x -1)(3-x )有意义的x 的取值范围是________. 5.已知5lg x=25,则x =________,已知log x 8=32,则x =________.6.若log 0.2x >0,则x 的取值范围是________;若log x 3<0,则x 的取值范围是________. 7.用“>”“<”填空:(1)log 3(x 2+4)___1;(2)log 12(x 2+2)___0;(3)log 56_____log 65;(4)log 34___43.8.y =log a x 的图象与y =log b x 的图象关于x 轴对称,则a 与b 满足的关系式为________. 9.函数y =ax +1(0<a ≠1)的反函数图象恒过点______.10.已知幂函数y =f (x )的图象经过点(2,2),那么这个幂函数的解析式为________.11.若(a +1)13<(2a -2)13,则实数a 的取值范围是________. 12.二次函数y =ax 2+bx +c (x ∈R )的部分对应值如下表:x -3 -2 -1 0 1 2 3 4 y6-4-6-6-46则使ax 213.已知y =x (x -1)(x +1)的图象如图所示.令f (x )=x (x -1)(x +1)+0.01, 则下列关于f (x )=0的解叙述正确的是________.①有三个实根;②x >1时恰有一实根;③当0<x <1时恰有一实根;④当-1<x <0时恰有一实根;⑤当x <-1时恰有一实根(有且仅有一实根).三、解答题1.已知f (x )=73x +1,g (x )=2x,在同一坐标系中画出这两个函数的图象.试问在哪个区间上,f (x )的值小于g (x )?哪个区间上,f (x )的值大于g (x )?2.已知函数f (x )=log a (a x-1)(a >0且a ≠1)(1)求f (x )的定义域;(2)讨论f (x )的单调性;(3)x 为何值时,函数值大于1.3.已知函数f (x )=(m 2+2m )·xm 2+m -1,m 为何值时,f (x )是(1)正比例函数;(2)反比例函数;(3)二次函数;(4)幂函数.4.已知函数y =xn 2-2n -3(n ∈Z )的图象与两坐标轴都无公共点,且其图象关于y 轴对称,求n的值,并画出函数的图象.5.若函数f (x )=log 3(ax 2-x +a )有零点,求a 的取值范围.参考答案:一、选择题:1-5CBBBB 6-10CCACB 11-15ADBAA 16-20ADDDC 21-25CCBAD二、填空题:1.16 2.{y |-53≤y ≤1}3. a >3或a <-3 4.1<x <3且x ≠2 5.100;4 6. (0,1),(0,1)8.ab =1 9.(1,-1) 10.y =x 1211. (3,+∞) 12.(-∞,-2)∪(3,+∞) 13.①⑤ 三、解答题:1.[解析] 在同一坐标系中,画出函数f (x )=2x与g (x )=7x 3+1的图象如图所示,两函数图象的交点为(0,1)和(3,8),显然当x ∈(-∞,0)或x ∈(3,+∞)时,f (x )>g (x ),当x ∈(0,3)时,f (x )<g (x ). 2.[解析] (1)f (x )=log a (a x-1)有意义,应满足a x-1>0即a x>1当a >1时,x >0,当0<a <1时,x <0因此,当a >1时,函数f (x )的定义域为{x |x >0};0<a <1时,函数f (x )的定义域为{x |x <0}. (2)当a >1时y =a x-1为增函数,因此y =log a (a x-1)为增函数;当0<a <1时y =a x-1为减函数,因此y =log a (a x -1)为增函数综上所述,y =log a (a x -1)为增函数. (3)a >1时f (x )>1即a x -1>a ∴a x>a +1∴x >log a (a +1) 0<a <1时,f (x )>1即0<a x-1<a ∴1<a x<a +1∴log a (a +1)<x <0.3.[解析] (1)若f (x )为正比例函数,则⎩⎪⎨⎪⎧m 2+m -1=1,m 2+2m ≠0⇒m =1.(2)若f (x )为反比例函数,则⎩⎪⎨⎪⎧m 2+m -1=-1,m 2+2m ≠0⇒m =-1.(3)若f (x )为二次函数,则⎩⎪⎨⎪⎧m 2+m -1=2,m 2+2m ≠0⇒m =-1+132.(4)若f (x )为幂函数,则m 2+2m =1,∴m =-1± 2.4.[解析] 因为图象与y 轴无公共点,所以n 2-2n -3≤0,又图象关于y 轴对称,则n 2-2n -3为偶数,由n 2-2n -3≤0得,-1≤n ≤3,又n ∈Z .∴n =0,±1,2,3当n =0或n =2时,y =x -3为奇函数,其图象不关于y 轴对称,不适合题意. 当n =-1或n =3时,有y =x 0,其图象如图A.当n =1时,y =x -4,其图象如图B. ∴n 的取值集合为{-1,1,3}.5.[解析] ∵f (x )=log 3(ax 2-x +a )有零点,∴log 3(ax 2-x +a )=0有解.∴ax 2-x +a =1有解. 当a =0时,x =-1.当a ≠0时,若ax 2-x +a -1=0有解, 则Δ=1-4a (a -1)≥0,即4a 2-4a -1≤0, 解得1-22≤a ≤1+22且a ≠0.综上所述,1-22≤a ≤1+22.。
必修一基本初等函数练习题(含详细答案解析)一、选择题1.对数式log32-(2+3)的值是().A.-1 B.0 C.1 D.不存在1.A解析:log32-(2+3)=log32-(2-3)-1,故选A.2.当a>1时,在同一坐标系中,函数y=a-x与y=log a x的图象是().A B C D2.A解析:当a>1时,y=log a x单调递增,y=a-x单调递减,故选A.3.如果0<a<1,那么下列不等式中正确的是().A.(1-a)31>(1-a)21B.log1-a(1+a)>0C.(1-a)3>(1+a)2D.(1-a)1+a>13.A解析:取特殊值a=21,可立否选项B,C,D,所以正确选项是A.4.函数y=log a x,y=log b x,y=log c x,y=log d x的图象如图所示,则a,b,c,d的大小顺序是().A.1<d<c<a<bB.c<d<1<a<bC.c<d<1<b<aD.d<c<1<a<b4.B解析:画出直线y=1与四个函数图象的交点,它们的横坐标的值,分别为a,b,c,d的值,由图形可得正确结果为B.(第4题)5.已知f (x 6)=log 2 x ,那么f (8)等于( ). A .34 B .8 C .18 D .21 5.D6.如果函数f (x )=x 2-(a -1)x +5在区间⎪⎭⎫⎝⎛121 ,上是减函数,那么实数a 的取值范围是( ).A . a ≤2B .a >3C .2≤a ≤3D .a ≥36.D7.函数f (x )=2-x -1的定义域、值域是( ). A .定义域是R ,值域是RB .定义域是R ,值域为(0,+∞)C .定义域是R ,值域是(-1,+∞)D .定义域是(0,+∞),值域为R7.C+∞).8.已知-1<a <0,则( ).A .(0.2)a <a⎪⎭⎫⎝⎛21<2aB .2a <a⎪⎭⎫⎝⎛21<(0.2)aC .2a <(0.2)a <a⎪⎭⎫⎝⎛21D .a⎪⎭⎫⎝⎛21<(0.2)a <2a8.B9.已知函数f (x )=⎩⎨⎧+-1 log 1≤413> ,,)(x x x a x a a是(-∞,+∞)上的减函数,那么a 的取值范围是( ).A .(0,1)B .⎪⎭⎫ ⎝⎛310,C .⎪⎭⎫⎢⎣⎡3171,D .⎪⎭⎫⎢⎣⎡171,9.C解析:由f (x )在R 上是减函数,∴ f (x )在(1,+∞)上单减,由对数函数单调性,即0上是减函数,为了满足单调区间的定义,f (x )在(-∞,1]上的最小值7a -1要大于等于f (x )在[1,+∞)上的最大值0,才能保证f (x )在R 上是减函数.10.已知y =log a (2-ax )在[0,1]上是x 的减函数,则a 的取值范围是( ). A .(0,1) B .(1,2) C .(0,2) D .[2,+∞)10.B解析:先求函数的定义域,由2-ax >0,有ax <2,因为a 是对数的底,故有a >0且若0<a <1,当x 在[0,1]上增大时,2-ax 减小,从而log a (2-ax )增大,即函数 y =log a (2-ax )在[0,1]上是单调递增的,这与题意不符.若1<a <2,当x 在[0,1]上增大时,2-ax 减小,从而log a (2-ax )减小,即函数 y =log a (2-ax )在[0,1]上是单调递减的.所以a 的取值范围应是(1,2),故选择B . 二、填空题11.满足2-x >2x 的 x 的取值范围是 .11.参考答案:(-∞,0). 解析:∵ -x >x ,∴ x <0.12.已知函数f (x )=log 0.5(-x 2+4x +5),则f (3)与f (4)的大小关系为 . 12.参考答案:f (3)<f (4).解析:∵ f (3)=log 0.5 8,f (4)=log 0.5 5,∴ f (3)<f (4). 13.64log 2log 273的值为_____.14.已知函数f (x )=⎪⎩⎪⎨⎧,≤ ,,>,020log 3x x x x 则⎪⎪⎭⎫⎝⎛⎪⎭⎫ ⎝⎛91f f 的值为_____.15.函数y =)-(34log 5.0x 的定义域为 .16.已知函数f (x )=a -121+x,若f (x )为奇函数,则a =________. 解析:∵ f (x )为奇函数,三、解答题17.设函数f (x )=x 2+(lg a +2)x +lg b ,满足f (-1)=-2,且任取x ∈R ,都有f (x )≥2x ,求实数a ,b 的值.17.参考答案:a =100,b =10.解析:由f (-1)=-2,得1-lg a +lg b =0 ①,由f (x )≥2x ,得x 2+x lg a +lg b ≥0 (x ∈R ).∴Δ=(lg a )2-4lg b ≤0 ②.联立①②,得(1-lg b )2≤0,∴ lg b =1,即b =10,代入①,即得a =100.18.已知函数f (x )=lg (ax 2+2x +1) .(1)若函数f (x )的定义域为R ,求实数a 的取值范围; (2)若函数f (x )的值域为R ,求实数a 的取值范围.18.参考答案:(1) a 的取值范围是(1,+∞) ,(2) a 的取值范围是[0,1]. 解析:(1)欲使函数f (x )的定义域为R ,只须ax 2+2x +1>0对x ∈R 恒成立,所以有⎩⎨⎧0 <440a -a >,解得a >1,即得a 的取值范围是(1,+∞); (2)欲使函数 f (x )的值域为R ,即要ax 2+2x +1 能够取到(0,+∞) 的所有值.②当a ≠0时,应有⎩⎨⎧0 ≥440a -a =>Δ⇒ 0<a ≤1.当x ∈(-∞,x 1)∪(x 2,+∞)时满足要求(其中x 1,x 2是方程ax 2+2x +1=0的二根).综上,a 的取值范围是[0,1].19.求下列函数的定义域、值域、单调区间: (1)y =4x +2x +1+1; (2)y =2+3231x -x ⎪⎭⎫⎝⎛.19.参考答案:(1)定义域为R .令t =2x (t >0),y =t 2+2t +1=(t +1)2>1, ∴ 值域为{y | y >1}.t =2x 的底数2>1,故t =2x 在x ∈R 上单调递增;而 y =t 2+2t +1在t ∈(0,+∞)上单调递增,故函数y =4x +2x +1+1在(-∞,+∞)上单调递增.20.已知函数f(x)=log a(x+1),g(x)=log a(1-x),其中a>0,a≠1.(1)求函数f(x)-g(x)的定义域;(2)判断f(x)-g(x)的奇偶性,并说明理由;(3)求使f(x)-g(x)>0成立的x的集合.20.参考答案:(1){x |-1<x<1};(2)奇函数;(3)当0<a<1时,-1<x<0;当a>1时,0<x<1.(2)设F(x)=f(x)-g(x),其定义域为(-1,1),且F(-x)=f(-x)-g(-x)=log a(-x+1)-log a(1+x)=-[log a(1+x)-log a(1-x)]=-F(x),所以f(x)-g(x)是奇函数.(3)f(x)-g(x)>0即log a(x+1)-log a(1-x)>0有log a(x+1)>log a(1-x).。
高一数学必修一基本初等函数一.选择题(共30小题)1.设a=log43,b=log54,c=2﹣0.01,则a,b,c的大小关系为()A.b<a<c B.a<b<c C.a<c<b D.b<c<a2.已知a=3ln2π,b=2ln3π,c=3lnπ2,则下列选项正确的是()A.a>b>c B.c>a>b C.c>b>a D.b>c>a3.函数f(x)=(|x|﹣7)e|x|则()A.B.f(0.76)<f(60.5)<f(log0.76)C.D.4.已知P(x,y)为函数f(x)=图象上一动点,则的最大值为()A.B.C.2D.5.设a=3,b=3log3π,c=πlogπ3,则a,b,c的大小关系为()A.a<b<c B.a<c<b C.c<a<b D.c<b<a6.若a=0.220.33,b=0.330.22,c=log0.330.22,则()A.a>b>c B.b>a>c C.c>a>b D.c>b>a7.已知a,b,c∈R,满足==﹣<0,则a,b,c的大小关系为()A.c>a>b B.a>c>b C.c>b>a D.b>a>c8.已知2a=log2|a|,,c=sin c+1,则实数a,b,c的大小关系是()A.b<a<c B.a<b<c C.c<b<a D.a<c<b9.已知实数a,b,c分别满足2a=﹣a,log0.5b=b,log2c=,那么()A.a<b<c B.a<c<b C.b<c<a D.c<b<a10.已知a=log1213,b=(),c=log1314,则a,b,c的大小关系为()A.a>b>c B.c>a>b C.b>c>a D.a>c>b11.已知a>b>0,ab=1,设,则log x2x,log y2y,log z2z的大小关系为()A.log x2x>log y2y>log z2z B.log y2y>log z2z>log x2xC.log x2x>log z2z>log y2y D.log y2y>log x2x>log z2z12.已知,,c=log23,则a,b,c的大小关系为()A.b>a>c B.a>c>b C.a>b>c D.b>c>a13.下列命题为真命题的个数是()①②③A.0B.1C.2D.314.设,实数c满足e﹣c=lnc,(其中e为自然常数),则()A.a>b>c B.b>c>a C.b>a>c D.c>b>a15.若实数x,y,z满足,则x,y,z的大小关系是()A.x<y<z B.x<z<y C.z<x<y D.z<y<x16.已知x1=ln,x2=e,x3满足e=lnx3,则下列各选项正确的是()A.x1<x3<x2B.x1<x2<x3C.x2<x1<x3D.x3<x1<x217.已知t>1,x=log2t,y=log3t,z=log5t,则()A.2x<3y<5z B.5z<2x<3y C.3y<5z<2x D.3y<2x<5z18.已知定义在R上的函数y=f(x)对任意的x都满足f(x+2)=f(x),当﹣1≤x<1时,f(x)=x3.若函数g(x)=f(x)﹣log a|x|恰有6个不同零点,则a的取值范围是()A.(,]∪(5,7] B.(,]∪(5,7]C.(,]∪(3,5] D.(,]∪(3,5]19.已知函数f(x)=,g(x)=x2﹣2x,设a为实数,若存在实数m,使f(m)﹣2g(a)=0,则实数a的取值范围为()A.[﹣1,+∞)B.(﹣∞,﹣1]∪[3,+∞)C.[﹣1,3] D.(﹣∞,3]20.已知函数y=f(x)(x∈R)满足f(x+2)=2f(x),且x∈[﹣1,1]时,f(x)=﹣|x|+1,则当x∈[﹣10,10]时,y=f(x)与g(x)=log4|x|的图象的交点个数为()A.13B.12C.11D.1021.设a=log46,,,则()A.a>b>c B.b>c>a C.a>c>b D.c>b>a22.已知实数a>0,b>0,a≠1,且满足lnb=,则下列判断正确的是()A.a>b B.a<b C.log a b>1D.log a b<123.设a=π﹣e,b=lnπ﹣1,c=eπ﹣e e,则()A.a<b<c B.b<c<a C.c<b<a D.b<a<c24.若函数f(x)=在区间[2019,2020]上的最大值是M,最小值是m,则M﹣m()A.与a无关,但与b有关B.与a无关,且与b无关C.与a有关,但与b无关D.与a有关,且与b有关25.正数a,b满足1+log2a=2+log3b=3+log6(a+b),则的值是()A.B.C.D.26.已知实数a,b,c,d满足,则(a﹣c)2+(b﹣d)2的最小值为()A.8B.4C.2D.27.函数y=log a(x+3)﹣1(a>0,且a≠1)的图象恒过定点A,若点A在直线mx+ny+2=0上(其中m,n>0),则的最小值等于()A.10B.8C.6D.428.若m,n,p∈(0,1),且log3m=log5n=lgp,则()A.B.C.D.29.已知a=log2e,b=ln3,c=log,则a,b,c的大小关系为()A.a>b>c B.b>a>c C.c>b>a D.b>c>a30.若函数f(x)=ln(ax2﹣2x+3)的值域为R,则实数a的取值范围是()A.[0,]B.(,+∞)C.(﹣∞,]D.(0,]二.填空题(共6小题)31.已知函数f(x)在R上连续,对任意x∈R都有f(﹣3﹣x)=f(1+x);在(﹣∞,﹣1)中任意取两个不相等的实数x1,x2,都有(x1﹣x2)[f(x1)﹣f(x2)]<0恒成立;若f(2a﹣1)<f(3a﹣2),则实数a的取值范围是.32.若存在正数x,y,使得(y﹣2ex)(lny﹣lnx)z+x=0(其中e为自然对数的底数),则实数z的取值范围是33.已知函数f(x)=log2(x+2)与g(x)=(x﹣a)2+1,若对任意的x1∈[2,6),都存在x2∈[0,2],使得f(x1)=g(x2),则实数a的取值范围是.34.已知函数f(x)的图象与函数g(x)=2x关于直线y=x对称,令h(x)=f(1﹣|x|),则关于函数h(x)有以下命题:(1)h(x)的图象关于原点(0,0)对称;(2)h(x)的图象关于y轴对称;(3)h(x)的最小值为0;(4)h(x)在区间(﹣1,0)上单调递增.中正确的是.35.设a,b为非零实数,x∈R,若,则=.36.函数f(x)=log2x在区间[a,2a](a>0)上的最大值与最小值之差为.三.解答题(共4小题)37.已知函数f(x)=的图象关于原点对称,其中a为常数.(1)求a的值;(2)当x∈(1,+∞)时,f(x)+(x﹣1)<m恒成立,求实数m的取值范围;(3)若关于x的方程f(x)=(x+k)在[2,3]上有解,求k的取值范围.38.已知函数f(x)=log a(2﹣x)﹣log a(2+x)(a>0且a≠1),且1是函数y=f(x)+x的零点.(1)求实数a的值;(2)求使f(x)>0的实数x的取值范围.39.已知函数f(x)=(a2﹣3a+3)a x是指数函数.(1)求f(x)的解析式;(2)判断函数F(x)=f(x)﹣f(﹣x)的奇偶性,并证明;(3)解不等式log a(1﹣x)>log a(x+2).40.已知f(x)是定义在R上的偶函数,且x≤0时,f(x)=(﹣x+1)(1)求f(3)+f(﹣1);(2)求函数f(x)的解析式;(3)若f(a﹣1)<﹣1,求实数a的取值范围.参考答案与试题解析一.选择题(共30小题)1.【解答】解:因为0=log41<a=log43<log44=1,0<b=log54<log55=1,c=2﹣0.01>2≈0.92,log54=≈0.86,==log43×log45<()2=()2<1,∴a,b,c的大小关系为a<b<c.故选:B.2.【解答】解:,,=,∵6π>0,∴a,b,c的大小比较可以转化为的大小比较.设f(x)=,则f′(x)=,当x=e时,f′(x)=0,当x>e时,f′(x)<0,当0<x<e时,f′(x)>0∴f(x)在(e,+∞)上,f(x)单调递减,∵e<3<π<4∴,∴b>c>a,故选:D.3.【解答】解,60.5>1>0.76>0>log0.76,函数f(x)为偶函数,则,当x>0时,f(x)=(x﹣7)e x,则f′(x)=(x﹣6)e x,易知函数f(x)在(0,6)上单调递减,又,故,即﹣log0.76<6,又,故,即﹣log0.76>3,则0<0.76<1<60.5<﹣log0.76<6,所以f(0.76)>f(60.5)>f(﹣log0.76)=f(log0.76),故选:D.4.【解答】解:设Q(,1),原点O,则=(,1),=(x,y),∴即.∴当OP与f(x)在y轴右侧相切时取最大值,设直线y=kx(k>0)与函数f(x)相切于点P0(x0,y0),y′=k,f′(x)=2x,则,解得.即切点P0(,),∴,即的最大值为.故选:D.5.【解答】解:构造函数f(x)=(x>1),则f′(x)=,当x∈(1,e2)时,f′(x)>0,则f(x)在(1,e2)上为增函数,∴f(π)>f(3),即>,∴>,即3log3π>πlogπ3,则b>c;设g(x)=,则g′(x)=,当x>3时,g′(x)>30ln3﹣1>0,∴g(x)在(3,+∞)上为增函数,则g(π)>g(3)=0,即>π,则3π>π3.又πlogπ3=>.∴a<c<b.故选:B.6.【解答】解:由1>a=0.220.33>0,1>b=0.330.22>0,c=log0.330.22>log0.330.33=1,所以c>a,且c>b;又ln0.220.33=0.33ln0.22,ln0.330.22=0.22ln0.33;不妨设0.33ln0.22<0.22ln0.33,则有<;构造函数f(x)=,x>0,所以f′(x)=,令f′(x)=0,解得x=e;所以x∈(0,e)时,f′(x)>0,f(x)是单调增函数;所以f(0.22)<f(0.33),即<,所以b>a;综上知,c>b>a.故选:D.7.【解答】解:已知a,b,c∈R,令==﹣=﹣1,则:,所以c>1.由于3b>0,且,故lnb<0,解得0<b<1,同理2a>0,且,故lna<0,解得0<a<1.由于0<a<1,0<b<1,==﹣<0,所以2a<3b,故lnb<lna,整理得b<a,所以c>1>a>b>0.故选:A.8.【解答】解:作出函数y=2x和y=log2|x|的图象,由图1可知,交点A的横坐标a<0;作出函数y=和y=的图象,由图2可知,交点B的横坐标0<b<1;作出函数y=x和y=sin x+1的图象,由图3可知,交点C的横坐标c>1所以,a<b<c.故选:B.9.【解答】解:∵log0.5b=﹣log2b=b,∴log2b=﹣b,在同一坐标系内画出函数y=2x,y=﹣x,y=log2x,y=的图象.可知a<0<b<1<c.故选:A.10.【解答】解:=,∵=<1,∴log1314<log1213,且log1314>1,,∴a>c>b.故选:D.11.【解答】解:,=,,∵a>b>0,ab=1,∴a>1>b>0,∴,log2(a+b)<2,∴,∴,∴,又0<,∴,∴log y2y>log z2z>log x2x.故选:B.12.【解答】解:根据指数运算与对数运算的性质,>3,1<<2,1<c=log23<2,设b=,c=log23,由于函数m=log2t为增函数,由于的值接近于4,所以a>b>c.故选:C.13.【解答】解:构造函数f(x)=,x∈(0,+∞),∴,令f'(x)=0得:x=e,∵当x∈(0,e)时,f'(x)>0,f(x)单调递增;当x∈(e,+∞)时,f'(x)<0,f(x)单调递减,∴f(e)>f(3)>f(π),即,故①正确,②错误,构造函数g(x)=,x∈(0,+∞),∵,令g'(x)=0得:x=e,∵当x∈(0,e)时,g'(x)<0,g(x)单调递减;当x∈(e,+∞)时,g'(x)>0,g(x)单调递增,∴g(e)<g(3),即0<,∴ln3<,∴,故③正确,∴真命题的个数是2个,故选:C.14.【解答】解:∵e﹣c>0,∴lnc>0,∴c>1,∴,∴,∴1<c<2,又,∴b>c>a.故选:B.15.【解答】解:设=p,∴p>0,设y1=log2x,y2=log3y,y3=2z,作出3个函数的图象,如图所示:由图可知:z<x<y,故选:C.16.【解答】解:依题意,因为y=lnx为(0,+∞)上的增函数,所以x1=ln<ln1=0;因为y=e x为R上的增函数,且e x>0,所以0<x2=e<e0=1;x3满足e=lnx3,所以x3>0,所以>0,所以lnx3>0=ln1,又因为y=lnx为(0,+∞)的增函数,所以x3>1,综上:x1<x2<x3.故选:B.17.【解答】解:∵t>1,∴lgt>0.又0<lg2<lg3<lg5,∴2x=2>0,3y=3>0,5z=>0,∴=>1,可得5z>2x.=>1.可得2x>3y.综上可得:3y<2x<5z.故选:D.18.【解答】解:首先将函数g(x)=f(x)﹣log a|x|恰有6个零点,这个问题转化成f(x)=log a|x|的交点来解决.数形结合:如图,f(x+2)=f(x),知道周期为2,当﹣1<x≤1时,f(x)=x3图象可以画出来,同理左右平移各2个单位,得到在(﹣7,7)上面的图象,以下分两种情况:(1)当a>1时,log a|x|如图所示,左侧有4个交点,右侧2个,此时应满足log a5≤1<log a7,即log a5≤log a a<log a7,所以5≤a<7.(2)当0<a<1时,log a|x|与f(x)交点,左侧有2个交点,右侧4个,此时应满足log a5>﹣1,log a7≤﹣1,即log a5<﹣log a a≤log a7,所以5<a﹣1≤7.故≤a<综上所述,a的取值范围是:5≤a<7或≤a<,故选:A.19.【解答】解:∵g(x)=x2﹣2x,设a为实数,∴2g(a)=2a2﹣4a,a∈R,∵y=2a2﹣4a,a∈R,∴当a=1时,y最小值=﹣2,∵函数f(x)=,f(﹣7)=6,f(e﹣2)=﹣2,∴值域为[﹣2,6]∵存在实数m,使f(m)﹣2g(a)=0,∴﹣2≤2a2﹣4a≤6,即﹣1≤a≤3,故选:C.20.【解答】解:由题意,函数f(x)满足:定义域为R,且f(x+2)=2f(x),当x∈[﹣1,1]时,f(x)=﹣|x|+1;在同一坐标系中画出满足条件的函数f(x)与函数y=log4|x|的图象,如图:由图象知,两个函数的图象在区间[﹣10,10]内共有11个交点;故选:C.21.【解答】解:,,,∵0<log34<log35<log36,∴,∴a>b>c.故选:A.22.【解答】解:∵lnb=,∴lnb﹣lna=,构造函数∴f(x)=;∴==;∴≥0;∴f(x)在(0,+∞)单调递增.且f(1)=0;当x∈(0,1)时,f(x)<0,当x∈(1.+∞)时f(x)>0;∵a≠1∴当0<a<1时,f(a)<0⇒0即lnb﹣lna<0⇒b<a,∴lnb<lna<0⇒⇒log a b>1,当a>1时,f(a)>0⇒即lnb﹣lna>0⇒b>a,∴lnb>lna>0⇒⇒log a b>1,故选:C.23.【解答】解:∵a=π﹣e>0,b=lnπ﹣1=lnπ﹣lne>0,c=eπ﹣e e>0;设y=lnx,则=,表示了连接两点(π,lnπ),(e,lne)的割线的斜率,而y'=,当x>1时,曲线切线的斜率0<k<1;故0<=<1,故b<a;设y=e x,则=,表示了连接两点(π,eπ),(e,e e)的割线的斜率,而y'=e x,当x>1时,曲线切线的斜率k>1;故=>1,故c>a;故b<a<c;故选:D.24.【解答】解:,令,则y=2019t2+bt+a的最大值是M,最小值是m,而a是影响图象的上下平移,此时最大和最小值同步变大或变小,故M﹣m与a无关,而b是影响图象的左右平移,故M﹣m与b有关,故选:A.25.【解答】解,依题意,设1+log2a=2+log3b=3+log6(a+b)=k,则a=2k﹣1,b=3k﹣2,a+b=6k﹣3,所以=====,故选:A.26.【解答】解:∵实数a,b,c,d满足,∴b=lna,d=c+1.考查函数y=lnx,与y=x+1.∴(a﹣c)2+(b﹣d)2就是曲线y=lnx与直线y=x+1之间的距离的平方值,对曲线y=lnx求导:y′=,与直线y=x+1平行的切线斜率k=1=,解得:x=1,将x=1代入y=lnx得:y=0,即切点坐标为(1,0),∴切点(1,0)到直线y=x+1的距离d==,即d2=2,则(a﹣c)2+(b﹣d)2的最小值为2.故选:C.27.【解答】解:令x+3=1,求得x=﹣2,可得函数y=log a(x+3)﹣1(a>0,且a≠1)的图象恒过定点A(﹣2,﹣1),若点A在直线mx+ny+2=0上(其中m,n>0),则﹣2m﹣n+2=0,即2m+n=2.由基本不等式可得2≥2,即mn≤,即≥2,当且仅当2m=n=1时,取等号.则==≥4,故选:D.28.【解答】解:∵m,n,p∈(0,1),且log3m=log5n=lgp=k,∴lgm,lgn,lgp<0,m=3k,n=5k,p=10k,∴==,==,==,因为,=53=125,所以,同理=5×5=25,=10,所以,所以>0,又因为y=x k(k<0)在(0,+∞)上单调递减,∴即<<.故选:A.29.【解答】解:根据题意,c=log=ln2<lne=1,则c<1,ln3>ln2,∴c<b,a=log2e>log22=1,即a>c,ln3﹣log2e=ln3﹣=,∵2=lne2>ln6=ln2+ln3>2,∴<1,即ln2ln3<1,则ln3﹣log2e=ln3﹣=<0,即ln3<log2e,即a>b,综上a>b>c,故选:A.30.【解答】解:若函数f(x)=ln(ax2﹣2x+3)的值域为R,即有t=ax2﹣2x+3取得一切的正数,当a=0时,t=3﹣2x取得一切的正数,成立;当a<0不成立;当a>0,△≥0即4﹣12a≥0,解得0<a≤,综上可得0≤a≤.故选:A.二.填空题(共6小题)31.【解答】解:由f(﹣3﹣x)=f(1+x)可知函数f(x)关于直线x=﹣1对称;在(﹣∞,﹣1)中任意取两个不相等的实数x1,x2,都有(x1﹣x2)[f(x1)﹣f(x2)]<0恒成立;可知函数f(x)在区间(﹣∞,﹣1)上单调递减,由对称性可知函数f(x)在区间(﹣1,+∞)上单调递增,不妨设f(x)=(x+1)2,则由f(2a﹣1)<f(3a﹣2)可得4a2<(3a﹣1)2,整理得5a2﹣6a+1>0,即(a﹣1)(5a﹣1)>0,解得或a>1,所以实数a的取值范围是.故答案为:.32.【解答】解:则(y﹣2ex)(lny﹣lnx)z+x=0可化为:,令t=,得(t﹣2e)lnt=﹣.令f(t)=(t﹣2e)lnt,(t>0),则f′(t)=g(t)=lnt+1﹣,则g′(t)=,故g(t)为(0,+∞)上的增函数,又因为f′(e)=g(e)=1+1﹣2=0,故当t∈(0,e)时,f′(t)<0,当t>e时,f′(t)>0,所以f(t)在(0,e)上单调递减,在(e,+∞)上单调递增,所以f(t)在(0,+∞)存在最小值f(e)=﹣e,即f(t)的值域为(﹣e,+∞),∴﹣∈(﹣e,+∞),所以z∈(﹣∞,0)∪[,+∞),故填:(﹣∞,0)∪[,+∞),33.【解答】解:∵x1∈[2,6),∴f(2)≤f(x1)<f(6),即2≤f(x1)<3,∴f(x1)的值域为[2,3).g(x)的图象开口向上,对称轴为x=a,(1)若a≤0,则g(x)在[0,2]上是增函数,∴g(0)≤g(x2)≤g(2),即g(x2)的值域为[a2+1,a2﹣4a+5],∴,解得﹣1≤a≤0.(2)若a≥2,则g(x)在[0,2]上是减函数,∴g(2)≤g(x2)≤g(1),即g(x2)的值域为[a2﹣4a+5,a2+1],∴,解得2≤a≤3.(3)若0<a≤1,则g min(x)=g(a)=1,g max(x)=g(2)=a2﹣4a+5,∴g(x)的值域为[1,a2﹣4a+5],∴,解得0.(4)若1<a<2,则g min(x)=g(a)=1,g max(x)=g(0)=a2+1,∴g(x)的值域为[1,a2+1],∴,解得a<2.综上,a的取值范围是[﹣1,0]∪[2,3]∪(0,2﹣)∪(,2)=[﹣1,2﹣]∪[,3].故答案为[﹣1,2﹣]∪[,3].34.【解答】解:由于函数f(x)的图象与函数g(x)=2x关于直线y=x对称,故函数f(x)与函数g(x)=2x互为反函数.故函数f(x)=log2x.∴h(x)=f(1﹣|x|)=log2(1﹣|x|),故函数h(x)是偶函数,图象关于y对称,故(2)正确而(1)不正确.函数h(x)的定义域为(﹣1,1),在(﹣1,0)上是增函数,在(0,1)上是减函数,故(4)正确.故当x=0时,函数h(x)取得最大值为0,故(3)不正确.故答案为②④.35.【解答】解:由成立,得=(sin2x+cos2x)2,化简得:,即,∴,又sin2x+cos2x=1,得,.∴.则==•(sin2x+cos2x)=.故答案为:.36.【解答】解:∵f(x)=log2x在区间[a,2a]上是增函数,∴f(x)max﹣f(x)min=f(2a)﹣f(a)=log22a﹣log2a=1.故答案为:1.三.解答题(共4小题)37.【解答】解:(1)函数f(x)=的图象关于原点对称,∴f(x)+f(﹣x)=0,即+=0,∴()=0,∴=1恒成立,即1﹣a2x2=1﹣x2,即(a2﹣1)x2=0恒成立,所以a2﹣1=0,解得a=±1,又a=1时,f(x)=无意义,故a=﹣1;(2)x∈(1,+∞)时,f(x)+(x﹣1)<m恒成立,即+(x﹣1)<m,∴(x+1)<m在(1,+∞)恒成立,由于y=(x+1)是减函数,故当x=1,函数取到最大值﹣1,∴m≥﹣1,即实数m的取值范围是m≥﹣1;(3)f(x)=在[2,3]上是增函数,g(x)=(x+k)在[2,3]上是减函数,∴只需要即可保证关于x的方程f(x)=(x+k)在[2,3]上有解,下解此不等式组.代入函数解析式得,解得﹣1≤k≤1,即当﹣1≤k≤1时关于x的方程f(x)=(x+k)在[2,3]上有解.38.【解答】解:(1)∵1是函数y=f(x)+x的零点,∴f(1)=﹣1,即log a(2﹣1)﹣log a(2+1)+1=0,即log a3=1,解得a=3.(2)由(1)可知函数f(x)是递增函数,f(x)>0得log3(2﹣x)>log3(2+x),所以:有解得﹣2<x<0,所使f(x)>0的实数x的取值集合为{x|﹣2<x<0}.39.【解答】解:(1)a2﹣3a+3=1,可得a=2或a=1(舍去),∴f(x)=2x;(2)F(x)=2x﹣2﹣x,∴F(﹣x)=﹣F(x),∴F(x)是奇函数;(3)不等式:log2(1﹣x)>log2(x+2),即1﹣x>x+2>0,∴﹣2<x<﹣,解集为{x|﹣2<x<﹣}.40.【解答】解:(I)∵f(x)是定义在R上的偶函数,x≤0时,f(x)=(﹣x+1),∴f(3)+f(﹣1)=f(﹣3)+f(﹣1)=4+2=﹣2﹣1=﹣3;(II)令x>0,则﹣x<0,f(﹣x)=(x+1)=f(x)∴x>0时,f(x)=(x+1),则f(x)=.(Ⅲ)∵f(x)=(﹣x+1)在(﹣∞,0]上为增函数,∴f(x)在(0,+∞)上为减函数∵f(a﹣1)<﹣1=f(1)∴|a﹣1|>1,∴a>2或a<0。
第二 章 : 基 本 初 等 函 数第 I 卷(选择题)一、选择题 5 分一个1.已知 f ( x ) =ax 5+bx 3+cx+1( a ≠0),若 f=m ,则 f (﹣ 2014 )=( )A .﹣ mB . mC . 0D .2﹣ m2.已知函数 f (x ) =log a ( 6﹣ ax )在 [0, 2]上为减函数,则 a 的取值范围是 ( )A .( 0, 1)B .( 1, 3)C .( 1, 3]D . [3 ,+∞)3.已知有三个数 a=()﹣2, b=, c=,则它们之间的大小关系是 ()A . a <c < bB . a < b < cC . b <a < cD . b < c < a4.已知 a > 0,a ≠1,f ( x )=x 2 ﹣a x .当 x ∈(﹣ 1,1)时,均有 f ( x )< ,则实数 a 的取值范围是 ( )A .( 0, ] ∪[2 ,+∞)B . [ , 1)∪( 1, 2]C .( 0,] ∪[4 ,+∞) D . [ , 1)∪( 1, 4]5.若函数 y=x 2﹣ 3x ﹣ 4 的定义域为 [0, m] ,值域为 [ ﹣ ,﹣ 4],则 m 的取值范围是 ()A .( 0, 4]B .C .D .6.以下函数中,在其定义域内既是奇函数又是减函数的是 ()A . y= ( x ∈R 且 x ≠0)B . y=( ) x ( x ∈ R )C . y=x ( x ∈ R )D . y=x 3( x ∈ R )7.函数 f ( x ) =2x ﹣ 1+log 2x 的零点所在的一个区间是 ( )A .(1,1)B .(1,1)C .( 1, 1) D .( 1, 2)8 4 42 28.若函数 y=x 2﹣ 3x ﹣ 4 的定义域为 [0, m] ,值域为,则 m 的取值范围是 ()A .( 0, 4]B .C .D .9.会合 M={x| ﹣2≤ x ≤,2}N={y|0 ≤ y ≤,2}给出以下四个图形,此中能表示以M 为定义域, N 为值域的函数关系的是 ( )A .B .C .D .f ( x 1 ) f ( x 2 )x 1 x 210.已知函数 f ( x )对随意的 x 1,x 2∈(﹣ 1,0)都有 ,且函数 y=f ( x ﹣ 1)是偶函数. 则以下结论正确的选项是 ( )A . f (1) f (1) f ( 4)B .23C . f (4 ) f ( 1) f ( 1)D .3 24 ) f (1) f ( 1f ( )321 ) f (4 f ( 1)f () 2311.以下给出函数 f ( x )与 g (x )的各组中,是同一个对于 x 的函数的是 ( )A . f (x ) =x ﹣ 1, g ( x )=B . f (x ) =2x ﹣1, g ( x ) =2x+1C . f (x ) =x 2, g ( x ) =D . f ( x ) =1, g ( x ) =x 012.以下函数既是奇函数,又在区间 [﹣ 1, 1]上单一递减的是 ( )A . f (x ) =sinxB . f (x ) =﹣ |x+1|C .D .13.已知 f ( x )是偶函数,它在 [0,+∞)上是减函数,若 f ( lgx )> f (1),则实数 x 的取值范围是 ( )A .( , 1)B .( 0, )∪( 1,+∞)C .( , 10)D .( 0, 1)∪( 10,+∞)14.已知函数,此中 a ∈ R .若对随意的非零实数 x 1,存在独一的非零实数 x 2( x 1≠x 2),使得 f ( x 1) =f ( x 2)建立,则k 的取值范围为 ()A .k ≤0B .k ≥8C .0≤k ≤8D .k ≤0 或 k ≥8log 2 x, x 01 15.已知函数 f ( x ) =2 x , x,若 f ( a ) = 2 ,则实数 a 的值为 ( )A .﹣ 1B . 2C .﹣1 或2D .1 或﹣ 2第 II 卷(非选择题)二、填空题16.若函数 f ( x )=ln ( x 2+ax+1)是偶函数,则实数 a 的值为.17.对于以下命题:①若函数 y=2x 的定义域是 {x|x ≤0} ,则它的值域是 {y|y ≤1} ; ②若函数 y= 的定义域是 {x|x> 2} ,则它的值域是 {y|y ≤} ;③若函数 y=x 2 的值域是 {y|0 ≤y ≤4} ,则它的定义域必定是 {x| ﹣2≤x ≤2} ;④若函数 y=log x 的值域是 {y|y≤3} ,则它的定义域是 {x|0 <x ≤8} .2此中不正确的命题的序号是.(注:把你以为不正确的命题的序号都填上)a, a ba, bb设函数 f ( x )=﹣ x+3,g ( x ) =log 2 x ,则函数 h ( x )18.对于随意实数 a ,b ,定义 minb, a =min{f ( x ), g ( x ) }的最大值是 __________.x 2 x, x19.设函数 f ( x )= x 2 , x 0,若 f ( f ( a )) ≤2,则实数 a 的取值范围是 __________.20.若 2a =5b =10,则=.三、解答题21.已知函数 f ( x ) =1+(﹣ 2< x ≤2)( 1)用分段函数的形式表示该函数;( 2)画出该函数的图象;( 3)写出该函数的值域、单一区间.22.已知函数f ( x ) =ax 2+bx+1( a , b ∈ R ).(Ⅰ)若 f (﹣ 1) =0 且对随意实数 x 均有 f ( x )≥0建立,务实数(Ⅱ)在(Ⅰ)的条件下,当 x ∈ [ ﹣ 2,2] 时, g (x ) =f ( x )﹣ kxa ,b 的值;是单一函数,务实数k 的取值范围.23.已知函数 f ( x ) =x+( 1)判断 f ( x )在(.2,+∞)上的单一性并用定义证明;( 2)求f ( x )在 [1 , 4] 的最大值和最小值,及其对应的x 的取值.24.( 14 分)设函数的定义域为 A , g ( x ) =lg (x ﹣ a ﹣ 1)( 2a ﹣ x )的定义域为B .( 1)当 a=2 时,求 A ∪B ;( 2)若 A ∩B=B ,务实数 a 的取值范围.试卷答案考点:函数奇偶性的性质.专题:函数的性质及应用.剖析:依据f=m,能够获得20145a+20143b+2014c 的值,而后把x=﹣ 2014 代入所求代数式,整体代换20145a+20143b+2014c 的值,即可求得 f (﹣ 2014)的值.解答:解:∵ f ( x) =ax5+bx3+cx+1 ,∵1f=2013 5a+20133b+2013c+7=24+1=m,∴20145a+20143b+2014c=m﹣1,53∴f (﹣ 2014)=a×(﹣ 2013) +b×(﹣ 2013) +c×(﹣ 2013)+1=﹣ +1=2﹣ m,∴f (﹣ 2014) =2﹣ m.应选: D.评论:本题考察了求函数的值,解题的重点是利用“整体代入法”求函数的值,在整体代换的过程中运用了函数的奇偶性.属于基础题.考点:复合函数的单一性.专题:函数的性质及应用.剖析:由已知中 f ( x) =log a( 6﹣ax)在 [0 , 2] 上为减函数,联合底数的范围,可得内函数为减函数,则外函数必为增函数,再由真数必为正,可得 a 的取值范围.解答:解:若函数 f ( x) =log a( 6﹣ ax)在 [0 , 2] 上为减函数,则解得 a∈( 1, 3)应选 B评论:本题考察的知识点是复合函数的单一性,此中依据已知剖析出内函数为减函数,则外函数必为增函数,是解答的重点【考点】指数函数的单一性与特别点.【专题】转变思想;数学模型法;函数的性质及应用.【剖析】先判断出a∈( 0, 1),b, c∈( 1,+∞),再用指数的运算性质,将指数式化为同底式,从而能够比较大小.【解答】解:a=()﹣2=∈(0,1),b==> 1, c==> 1,且>,故 a<b< c,应选: B【评论】本题考察的知识点是指数函数的单一性,指数式比较大小,难度中档.【考点】指、对数不等式的解法.【专题】函数的性质及应用;不等式的解法及应用.【剖析】由题意可知,a x>x2﹣在(﹣1,1)上恒建立,令g( x) =a x,m( x) =x2﹣,联合图象,列出不等式组,解不等式组,求出 a 的取值范围.【解答】解:若当x∈(﹣ 1, 1)时,均有 f ( x)<,即 a x>x2﹣在(﹣ 1,1)上恒建立,令 g(x) =a x, m( x) =x2﹣,由图象知:若 0< a< 1 时, g( 1)≥ m( 1),即 a≥1﹣= ,此时≤a< 1;当 a>1 时, g(﹣ 1)≥ m( 1),即 a﹣1≥1﹣ =,此时 a≤2,此时1<a≤2.综上≤a< 1 或 1<a≤2.应选: B.【评论】本题考察不等式组的解法,将不等式关系转变为函数的图象关系是解决本题的重点.,表现了数形联合和转变的数学思想.【考点】二次函数的性质.【专题】函数的性质及应用.【剖析】依据函数的函数值 f ()=﹣,f ( 0) =﹣4,联合函数的图象即可求解【解答】解:∵ f ( x) =x2﹣ 3x﹣ 4=( x﹣)2﹣,∴f ()=﹣,又f(0)=﹣4,故由二次函数图象可知:m的值最小为;最大为 3.m的取值范围是:[,3],应选: C【评论】本题考察了二次函数的性质,特别是利用抛物线的对称特色进行解题,属于基础题.【考点】函数奇偶性的判断;函数单一性的判断与证明.【专题】计算题;函数的性质及应用.【剖析】依据函数的奇偶性和单一性的判断方法,即可获得在其定义域内既是奇函数又是减函数的函数.【解答】解:对于A.函数的定义域为 {x|x ≠0且 x∈ R},对于原点对称, f (﹣ x)=f ( x),则为偶函数,故 A 不知足;对于 B.定义域 R 对于原点对称, f (﹣ x)≠﹣ f (x)且≠ f ( x),则为非奇非偶函数,故 B 不知足;对于 C. y=x 为奇函数,在 R 上是增函数,故 C 不知足;对于 D.定义域 R 对于原点对称, f (﹣ x)32=﹣(﹣ x) =﹣ f ( x),则为奇函数, y′=﹣ 3x≤0,则为减函数,故 D 知足.应选 D.【评论】本题考察函数的奇偶性和单一性的判断,考察定义法和导数、及性质的运用,考察运算能力,属于基础题.考点:函数零点的判断定理.专题:函数的性质及应用.剖析:依据函数 f ( x) =2x﹣ 1+log 2x,在( 0,+∞)单一递加, f ( 1) =1, f ()=﹣1,可判断剖析.解答:解:∵函数 f ( x) =2x﹣ 1+log 2x,在( 0,+∞)单一递加.∴f ( 1) =1, f ()=﹣1,∴依据函数的零点的判断方法得出:零点所在的一个区间是(),应选: C.评论:本题考察了函数的性质,函数的零点的判断方法,属于简单题.【考点】函数的定义域及其求法;函数的值域.【专题】计算题;综合题.【剖析】先配方利用定义域值域,剖析确立m的范围.【解答】解:y=x2﹣ 3x﹣ 4=x2﹣ 3x+﹣=( x﹣)2﹣定义域为〔 0, m〕那么在 x=0 时函数值最大即 y 最大 =( 0﹣)2﹣=﹣=﹣ 4又值域为〔﹣,﹣ 4〕即当 x=m时,函数最小且y 最小 =﹣即﹣≤( m﹣)2﹣≤﹣40≤( m﹣)2≤即 m≥(1)即( m﹣)2≤m﹣≥﹣3且m﹣≤0≤m≤3 ( 2)因此:≤m≤3应选 C.【评论】本题考察函数的定义域值域的求法,是中档题.【考点】函数的观点及其组成因素.【专题】数形联合.【剖析】本题考察的是函数的观点和图象问题.在解答时第一要对函数的观点从两个方面进行理解:一是对于定义域内的随意一个自变量在值域中间都有独一确立的元素与之对应,二是知足一对一、多对一的标准,绝不可以出现一对多的现象.【解答】解:由题意可知:M={x| ﹣2≤x≤2} ,N={y|0 ≤y≤2} ,对在会合 M中( 0, 2] 内的元素没有像,因此不对;对不切合一对一或多对一的原则,故不对;对在值域中间有的元素没有原像,因此不对;而切合函数的定义.应选: B.【评论】本题考察的是函数的观点和函数图象的综合类问题.在解答时充足表现了函数观点的知识、函数图象的知识以及问题转变的思想.值得同学们领会和反省.考点:函数奇偶性的性质.专题:函数的性质及应用.) =f 剖析:依据已知条件即得 f ( x)在(﹣ 1, 0)上单一递减, f (﹣ x﹣1) =f (x﹣ 1),因此 f ((﹣),而都在f(x)的单一递减区间上,因此可比较对应三个函数值的大小.解答:解:由已知条件可知, f ( x)在(﹣ 1, 0)上单一递减;∵y=f ( x﹣ 1)是偶函数;∴f(﹣ x﹣ 1) =f ( x﹣ 1);∴;∵f ( x)在(﹣ 1, 0)上单一递减,且;∴;即 f ()<f(﹣)<f(﹣1).应选 D.评论:考察单一递减函数的定义,以及偶函数的观点,依据函数单一性比较函数值的大小【考点】判断两个函数能否为同一函数.【专题】函数的性质及应用.【剖析】分别判断两个函数的定义域和对应法例能否完整同样即可.【解答】解:A.函数 g( x)的定义域为 {x|x ≠0} ,两个函数的定义域不同样,不是同一函数.B.函数 f ( x)和 g( x)的定义域为R,两个函数的定义域同样,但对应法例不同样,不是同一函数.C.函数 g( x) =x2,两个函数的定义域同样,对应法例同样,是同一函数.D.函数 g( x)的定义域为 {x|x ≠0} ,两个函数的定义域不同样,不是同一函数.应选 C.【评论】本题主要考察判断两个函数能否为同一函数,判断的依照是判断两个函数的定义域和对应法例能否完整同样.【考点】奇偶性与单一性的综合.【专题】惯例题型.【剖析】本题是选择题,可采纳逐个查验的方法,只需不知足此中一条就能说明不正确.【解答】解: f ( x) =sinx 是奇函数,但其在区间 [ ﹣ 1, 1] 上单一递加,故 A 错;∵f ( x) =﹣ |x+1| ,∴ f (﹣ x) =﹣ | ﹣x+1| ≠﹣ f (x),∴ f ( x) =﹣|x+1|不是奇函数,∴故 B 错;∵a> 1 时, y=a x在[ ﹣ 1, 1] 上单一递加, y=a﹣x[ ﹣ 1, 1] 上单一递减,∴ f ( x) =(a x﹣a﹣x)在 [ ﹣ 1,1] 上单一递加,故 C 错;应选D【评论】本题综合考察了函数的奇偶性与单一性,是函数这一部分的常有好题.【考点】函数单一性的性质;偶函数.【专题】函数的性质及应用.0)上单一递加,【剖析】利用偶函数的性质, f ( 1) =f (﹣ 1),在 [0 ,+∞)上是减函数,在(﹣∞,列出不等式,解出x 的取值范围.【解答】解:∵ f ( x)是偶函数,它在[0 ,+∞)上是减函数,∴f( x)在(﹣∞, 0)上单一递加,由 f(lgx )> f ( 1), f ( 1) =f (﹣ 1)得:﹣ 1< lgx <1,∴< x< 10,故答案选C.【评论】本题考察偶函数的性质及函数单一性的应用.【考点】分段函数的应用.【专题】函数的性质及应用;不等式的解法及应用.【剖析】因为函数 f ( x)是分段函数,且对随意的非零实数x1,存在独一的非零实数x2( x2≠x1),使得f ( x2) =f ( x1)建立,获得x=0时, f ( x) =k( 1﹣ a2),从而获得,对于 a 的方程(3﹣ a)2=k(1﹣ a2)有实数解,即得△≥0,解出k 即可.【解答】解:因为函数 f ( x) =,此中a∈ R,则 x=0 时, f ( x) =k( 1﹣ a2),又由对随意的非零实数x1,存在独一的非零实数x2( x2≠x1),使得 f (x2) =f ( x1)建立.∴函数一定为连续函数,即在x=0 邻近的左右双侧函数值相等,∴( 3﹣ a)2=k(1﹣ a2)即( k+1) a2﹣6a+9﹣ k=0 有实数解,2因此△ =6 ﹣ 4( k+1)( 9﹣k)≥ 0,解得k≤0或 k≥8.应选 D.【评论】本题考察了分段函数的运用,主要考察二次函数的性质,以及二次不等式的解法,考察运算能力,属于中档题.考点:函数的值;对数的运算性质.专题:计算题.x> 0 时的 a 值,而后再计剖析:本题考察的分段函数的求值问题,由函数分析式,我们能够先计算当算当 x≤0时的 a 值,最后综合即可.解答:解:当x> 0 时, log 2x=,∴ x=;当 x≤0时, 2x= ,∴ x=﹣ 1.则实数 a 的值为:﹣ 1 或,应选 C.评论:分段函数求值问题分段办理,这是研究分段函数图象和性质最中心的理念,属于基础题.【考点】对数函数图象与性质的综合应用;函数奇偶性的性质.【专题】计算题.ax=【剖析】由题意函数是偶函数,由偶函数的定义能够获得 ln ( x2+ax+1) =ln ( x2﹣ ax+1),从而获得﹣ ax在函数的定义域中总建立,即可判断出 a 的取值获得答案【解答】解:函数 f ( x) =ln ( x2 +ax+1)是偶函数∴f ( x) =f (﹣ x),即 ln ( x2+ax+1) =ln (x2﹣ ax+1)∴a x=﹣ ax 在函数的定义域中总建立∴a=0故答案为0【评论】本题考察对数的性质及函数偶函数的性质,解题的重点是理解ax=﹣ ax 在函数的定义域中总成立,由此判断出参数的取值17.①②③【考点】函数的定义域及其求法;函数的值域;指数函数的定义、分析式、定义域和值域;对数函数的值域与最值.【专题】计算题.【剖析】依据①、②、③、④各个函数的定义域,求出各个函数的值域,判断正误即可.【解答】解:①中函数y=2x的定义域x≤0,值域y=2x∈( 0, 1] ;原解错误;②函数 y=的定义域是{x|x>2},值域y=∈(0,);原解错误;③中函数 y=x2的值域是 {y|0 ≤y≤4} ,, y=x 2的值域是 {y|0 ≤y≤4} ,但它的定义域不必定是 {x| ﹣2≤x≤2} ;原解错误④中函数 y=log 2x 的值域是 {y|y ≤3} , y=log 2x≤3,∴0<x≤8,故①②③错,④正确.故答案为:①②③【评论】本题考察函数的定义域及其求法,函数的值域,指数函数的定义域和值域,对数函数的值域与最值,考察计算能力,高考常会考的题型.考点:对数函数图象与性质的综合应用.专题:数形联合.剖析:分别作出函数 f (x) =﹣ 3+x 和 g(x) =log 2x 的图象,联合函数 f ( x) =﹣ 3+x 和 g( x) =log 2x 的图象可知,在这两个函数的交点处函数h(x) =min{f ( x),g( x) } 的最大值.解答:解:∵ x> 0,∴ f (x)=﹣ x+3< 3,g( x)=log 2x∈R,分别作出函数 f ( x)=﹣ 3+x 和 g( x)=log 2x 的图象,联合函数 f ( x) =﹣ 3+x 和 g( x) =log 2x 的图象可知,h( x)=min{f (x), g( x) } 的图象,在这两个函数的交点处函数h( x)=min{f (x), g( x) } 的最大值.解方程组得,∴函数 h( x) =min{f ( x), g( x) } 的最大值是1.故答案是1.评论:数形联合是求解这种问题的有效方法.19.考点:导数的运算.专题:导数的观点及应用.剖析:画出函数 f ( x)的图象,由 f ( f ( a))≤ 2,可得f ( a)≥﹣ 2,数形联合求得实数 a 的取值范围.解答:解:∵函数 f ( x) =,它的图象如下图:由 f ( f ( a))≤ 2,可得 f ( a)≥﹣2.由 f (x) =﹣ 2,可得﹣x2=﹣ 2,x≥0,解得x=,故当 f ( f ( a))≤2 时,则实数 a 的取值范围是a≤;故答案为:评论:本题主要考察分段函数的应用,不等式的解法,重点获得 f ( a)≥﹣ 2.联合图形获得 a 的范围,表现了数形联合的数学思想,属于中档题.【考点】对数的运算性质.【专题】计算题.【剖析】第一剖析题目已知2a=5b=10,求的值,故考虑到把 a 和 b 用对数的形式表达出来代入,再依据对数的性质以及同底对数和的求法解得,即可获得答案.【解答】解:因为2a=5b=10,故10a=log 2, b=log105=1故答案为1.【评论】本题主要考察对数的运算性质的问题,对数函数属于三级考点的内容,一般在高考取以选择填空的形式出现,属于基础性试题同学们需要掌握.21.【考点】函数的图象;分段函数的分析式求法及其图象的作法;函数的单一性及单一区间.【专题】作图题;数形联合.【剖析】( 1)依据 x 的符号分﹣ 2<x≤0和 0<x≤2两种状况,去掉绝对值求出函数的分析式;( 2)依据( 1)的函数分析式,画出函数的图象;( 3)依据函数的图象求出函数的值域和函数单一区间.【解答】解(1)由题意知, f ( x) =1+(﹣2<x≤2),当﹣ 2<x≤0时, f ( x)=1﹣ x,当 0<x≤2时, f (x) =1,则 f (x) =( 2)函数图象如图:( 3)由( 2)的图象得,函数的值域为[1 ,3),函数的单一减区间为(﹣2,0] .【评论】本题考察了由函数分析式画出函数图象,依据图象求出函数的值域和单一区间,考察了作图和读图能力.22.【考点】函数恒建立问题;函数单一性的性质.【专题】计算题;综合题.【剖析】(Ⅰ)由 f (﹣ 1) =0,可得 a﹣ b+1=0 即 b=a+1,又对随意实数x 均有 f (x)≥0 建立,可得恒建立,即(a﹣ 1)2≤0恒建立,从而可求出a, b 的值;(Ⅱ)由(Ⅰ)可知 f (x) =x2+2x+1,可得 g( x) =x2+( 2﹣ k)x+1,由 g( x)在 x∈ [ ﹣ 2,2] 时是单调函数,可得,从而得出,解之即可得出k 的取值范围.【解答】解:(Ⅰ)∵ f (﹣ 1) =0,∴a﹣ b+1=0 即 b=a+1,又对随意实数 x 均有 f (x)≥0建立∴恒建立,即( a﹣ 1)2≤0恒建立∴a=1, b=2;(Ⅱ)由(Ⅰ)可知 f (x) =x2+2x+1∴g( x) =x 2+( 2﹣ k) x+1∵g( x)在 x∈ [ ﹣ 2, 2] 时是单一函数,∴∴,即实数k 的取值范围为(﹣∞,﹣2] ∪[6 ,+∞).【评论】本题考察了函数的恒建立问题及函数单一性的应用,难度一般,重点是掌握函数单一性的应用.23.【考点】利用导数研究函数的单一性;利用导数求闭区间上函数的最值.【专题】计算题;证明题.【剖析】( 1)在给定区间内任取两数x1, x2,只需判断 f ( x1)﹣ f (x2)与 0 的大小就行;(2)由函数的单一性,即可求出最小值与最大值.【解答】解:( 1)任取 x1, x2∈( 2,+∞),且 x1<x2,f ( x1)﹣ f ( x2) ==,∵x1<x2,∴且x1﹣x2<0,且x1,x2∈(2,+∞),∴x1x2﹣4>0∴f( x1)﹣ f ( x2)< 0,∴ f ( x)在( 2,+∞)上的单一递加;( 2)任取 x1,x2∈(1,2)且 x1< x2,f(x1)﹣ f(x2)==,∵x<x2,∴且 x﹣ x < 0,且 x,x∈( 1, 2),∴x x ﹣ 4< 0,1121212∴f ( x1)﹣ f ( x2)> 0,∴ f ( x)在( 1, 2)上的单一递减,由(1)知 f ( x)在( 2, 4)上单一递加,又 f (1) =5, f ( 2) =4, f ( 4)=5,∴当 x=1 或 x=4 时函数 f ( x)有最大值 5,当 x=2 时函数 f ( x)有最小值 4.【评论】本题考察了运用定义法证明函数的单一性,连续函数在闭区间上的最值,注意的是最值可能是函数的极值也可能是区间端点的值.属于基础题.24.【考点】对数函数的定义域;会合关系中的参数取值问题.【专题】计算题.【剖析】( 1)由 2﹣=≥0,解得﹣1<x≤3,可得A,由 a=2 且( x﹣ a﹣ 1)(2a﹣ x)> 0得 3 <x< 4,即得 B,再由两个会合的并集的定义求出A∪B.( 2)由题意可得B?A,分 a> 1、a=1、a<1 三种状况,分别求出实数 a 的取值范围,再求并集,即得所求.【解答】解:( 1)由 2﹣=≥0,解得﹣1<x≤3,∴ A=(﹣1,3].可由 a=2 且( x﹣ a﹣ 1)( 2a﹣ x)> 0 可得 3 <x< 4,故 B=( 3,4),∴A∪B=(﹣ 1,4).( 2)∵ A∩B=B,∴B?A.当 a>1 时, A=( a+1, 2a),有﹣ 1≤a+1<2a≤3,即;当 a=1 时, B=?不合题意(函数定义域是非空会合);当 a<1 时, A=( a+1, 2a),有﹣ 1≤2a<a+1≤3,即;综上:.【评论】本题主要考察对数函数的定义域,会合中参数的取值问题,表现了分类议论的数学思想,属于基础题.。
高一数学《基本初等函数》测试班级 姓名 座号一、选择题(共42分.在每小题给出的四个选项中,只有一项是符合题目要求的) 1、下列函数是幂函数的是A、22y x = B 、3y x x =+ C 、3xy = D 、12y x = 2、计算331log 12log 22-= A. 3 B. 23 C. 21D.33、设集合 等于A .}1|{>x xB .}5.0|{-<x xC .}1|{-<x xD .}11|{>-<x x x 或4、若210,5100==ba,则b a +2=A 、0B 、1C 、2D 、3 5、函数12y=log (21)x -的定义域为A .(21,+∞) B .[1,+∞) C .(21,1] D .(-∞,1) 6、已知f(x)=|lgx|,则11()()(2)43f f f 、、的大小关系是A. )41()31()2(f f f >>B. )2()31()41(f f f >>C. )31()41()2(f f f >>D. )2()41()31(f f f >>7、在(2)log (5)a b a -=-中,实数a 的取值范围是A 、52a a ><或B 、2335a a <<<<或C 、25a <<D 、34a <<8、已知()log a f x x =,()log b g x x =,()log c r x x =,()log d h x x =的图象如图所示则a,b,c,d 的大小为A.c d a b <<<B.c d b a <<<C.d c a b <<<D.d c b a <<< 9.方程2||lg +=x x 的解的个数为A 、0B 、1C 、2D 、310、已知2)(xx e e x f --=,则下列正确的是BA x xB x x A ⋂>=<+=则},0||log |{},012|{2A .奇函数,在R 上为增函数B .偶函数,在R 上为增函数C .奇函数,在R 上为减函数D .偶函数,在R 上为减函数 11、已知031log 31log >>b a,则a,b 的关系是 A 1<b<a B 1<a<b C 0<a<b<1 D 0<b<a<112、世界人口已超过56亿,若按千分之一的年增长率计算,则两年增长的人口就可相当于一个A .新加坡(270万)B .香港(560万)C .瑞士(700万)D .上海(1200万) 13、若函数 ()log (01)a f x x a =<<在区间[],2a a 上的最大值是最小值的3倍,则a 的值为A 、24 B 、22 C 、14 D 、1214、已知0<a <1,则函数xy a =和2(1)y a x =-在同坐标系中的图象只能是图中的题号 1234567891011121314答案二、 填空题.(每小题3分,共18分)15.幂函数)(x f 的图象过点(2,22),则)(x f = 。
高一数学基本初等函数Ⅰ试题答案及解析1.的值域是_______ ;【答案】[0,30]【解析】,因为,结合二次函数的图象可知函数在上单调递减,当时当时,所以函数的值域为[0,30].【考点】本小题主要考查二次函数在闭区间上的值域,考查学生的运算求解能力.点评:对于二次函数要采用配方法求函数的值域,结合函数的图象进行即可.2.如图所示,当时,函数的图象是 ( )【答案】D【解析】因为当时,函数,因为a,b同号,则可知当a>0,b>0,或者a<0,b<0那么分析可知选D3.已知奇函数;(1)求实数m的值,并在给出的直角坐标系中画出的图象;(2)若函数在区间[-1,||-2]上单调递增,试确定的取值范围.【答案】(1)证明:的定义域为,令,则,令,则,即.,故为奇函数. 4分(2)证明:任取且,则又,,,即.故是上的减函数. 8分(3)解:又为奇函数,由(2)知是上的减函数,所以当时,取得最大值,最大值为;当时,取得最小值,最小值为. 11分所以函数在区间上的值域为. 12分【解析】考查奇函数的定义,应用转化的思想求值;作函数的图象,求a的取值范围,体现了作图和用图的能力,属中档题.(1)由奇函数的定义,对应相等求出m的值;画出图象.(2)根据函数的图象知函数的单调递增区间,从而得到|a|-2的一个不等式,解不等式就求得a 的取值范围.(1)证明:的定义域为,令,则,令,则,即.,故为奇函数. 4分(2)证明:任取且,则又,,,即.故是上的减函数. 8分(3)解:又为奇函数,由(2)知是上的减函数,所以当时,取得最大值,最大值为;当时,取得最小值,最小值为. 11分所以函数在区间上的值域为. 12分4.设,则的大小关系为()A.B.C.D.【答案】D【解析】因为,所以,选D.5.若定义运算,则函数的值域是()A.B.C.D.【答案】B【解析】因为,那么化简可知则其值域为,选B.6.已知偶函数在区间上单调递增,则满足不等式的的取值范围是()A.B.C.D.【答案】A【解析】因为解:根据函数在区间[0,+∞)单调递增,得当2x-1≥0,即x≥时,不等式f(2x-1)<f()等价于2x-1<,解之得x<而当2x-1<0,即x<时,由于函数是偶函数,所以f(2x-1)>f()等价于f(1-2x)<f()再根据单调性,得1-2x<,解之得x>综上所述,不等式f(2x-1)<f()的解集为{x|x>}故选A7.求函数的定义域;【答案】【解析】要使原式有意义,则满足,求解不等式得到定义域为。
高一数学基本初等函数测试题1(含答案)1.若32a=,则33log 82log 6-用a 的代数式可表示为 ( ) ()A a -2 ()B 3a -(1+a )2 ()C 5a -2 ()D 3a -a 22.下列函数中,值域为(0,)+∞的是 ( )()A 125x y -= ()B 11()3x y -= ()C y =()D y = 3. 设1a >,实数,x y 满足()xf x a =,则函数()f x 的图象形状大致是 (4.世界人口已超过56亿,若按千分之一的年增长率计算,则两年增长的人口就可相当于一个( )()A 新加坡(270万) ()B 香港(560万) ()C 瑞士(700万)()D 上海(1200万)5.已知函数log (2)a y ax =-在[0,1]上是x 的减函数,则a 的取值范围是 ( )()A (0,1) ()B (0,2) ()C (1,2) ()D [2,+∞)6.函数lg(1)(01)()1lg() (10)1x x f x x x -≤<⎧⎪=⎨-<<⎪+⎩,则它是 ( ) ()A 偶函数且有反函数 ()B 奇函数且有反函数()C 非奇非偶函数且有反函数 ()D 无反函数7.函数()1log 15.0-=x y 的定义域是 . 8.化简⨯53x x35x x×35x x= .9.定义在(0,)+∞上的函数对任意的,(0,)x y ∈+∞,都有()()()f x f y f xy +=,且当01x << 上时,有()0f x >,则()f x 在(0,)+∞上的单调性是 .10.若直线a y 2=与函数()1,01≠>-=a a a y x 的图像有两个公共点,则a 的取值范围是 .11.(12分)(Ⅰ)求x x x x f -+--=4lg 32)(的定义域; (Ⅱ)求212)(x x g -=的值域.12.(14分)若()1log 3,()2log 2x x f x g x =+=,试比较()f x 与()g x 的大小.13.(14分)已知函数()x f 满足()()()1,01log 12≠>--=-a a x x a a x f a , (Ⅰ)求()x f 的解析式并判断其单调性;(Ⅱ)对定义在()1,1-上的函数()x f ,若()()0112<-+-m f m f ,求m 的取值范围; (Ⅲ)当()2,∞-∈x 时,关于x 的不等式()04<-x f 恒成立,求a 的取值范围.参考答案(仅供参考):ABADCB , (1,2), 1, 单调递减, 1(0,)211.(Ⅰ){243}x x x ≤<≠且 (Ⅱ)(0,2]12.f (x)-g(x)=log x 3x-log x 4=log x43x .当0<x<1时,f(x)>g(x);当x=34时,f(x)=g(x);当1<x<34时,f(x)<g(x);当x>34时,f(x)>g(x). 13. (Ⅰ) 21()()1x x a f x a a a=-- ……………………………………………2′ 证明在(1,1)-上单调递增 ……………………………………4′ (Ⅱ)判断函数()f x 为奇函数,22111111111m m m m m -<-<⎧⎪-<-<⇒<<⎨⎪-<-⎩……………4′(Ⅲ)[2(1,2-U …………………………………4′。
高一数学基本初等函数
测试题
Document number:WTWYT-WYWY-BTGTT-YTTYU-2018GT
高一数学《基本初等函数》测试题
一、选择题:本大题共15小题,共50分.在每小题给出的四个选项中,只有一项是符合题目要求的.
1、下列函数是幂函数的是…………………………………………………( )
A、22y x = B 、3y x x =+ C 、3x y = D 、12
y x =
2、计算331log 12log 22
-=…………………………………………………( )
2
1 3、设集合 等于 ( ) A .}1|{>x x B .}0|{>x x C .}1|{-<x x D .}11|{>-<x x x 或
4、若210,5100==b a ,则b a +2=………………… …………………( )
A 、0
B 、1
C 、2
D 、3
5
、函数的定义域为 ………………………………………( )
A .(21,+∞)
B .[1,+∞)
C .(21,1]
D .(-∞,1)
6、已知f(x)=|lgx|,则11()()(2)43
f f f 、、的大小关系是……………………( ) A. )41()31()2(f f f >> B. )2()3
1()41(f f f >> C. )31()41()2(f f f >> D. )2()4
1()31(f f f >> 7、方程:lg lg(3)1x x +-=的解为x = ( )
A 、5或-2
B 、5
C 、-2
D 、无解
8、若集合x P={y|y=2,x R}∈,2M={y|y=x ,x R}∈,则下列结论中正确的是…( )
∩P={2,4} B. M ∩P ={4,16} =P M
B A x x B x x A ⋂>=>-=则|},0log |{},01|{2
9、已知()log a f x x =,()log b g x x =,()log c r x x =,
()log d h x x =的图象如图所示则a,b,c,d 的大小为
( )
A.c d a b <<<
B.c d b a <<<
C.d c a b <<<
D.d c b a <<<
10.在(2)log (5)a b a -=-中,实数a 的取值范围是 ( )
A 、52a a ><或
B 、2335a a <<<<或
C 、25a <<
D 、34a <<
11、已知2
)(x
x e e x f --=,则下列正确的是……………………………( ) A .奇函数,在R 上为增函数 B .偶函数,在R 上为增函数
C .奇函数,在R 上为减函数
D .偶函数,在R 上为减函数
12、已知03
1log 31log >>b a ,则a,b 的关系是……………………………………( ) 13、世界人口已超过56亿,若按千分之一的年增长率计算,则两年增长的人口就可相当于一个………………………………………………………………( )
A .新加坡(270万)
B .香港(560万)
C .瑞士(700万)
D .上海(1200万)
14、若函数 ()log (01)a f x x a =<<在区间[],2a a 上的最大值是最小值的3倍,则a 的值为( )
A 、24
B 、22
C 、14
D 、12
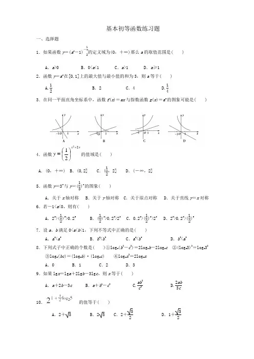
15、已知0<a <1,则函数x y a =和2(1)y a x =-在同坐标系中的图象只能是图中的
二、 填空题.(每小题3分)
16.函数(2)x y a =-在定义域内是减函数,则a 的取值范围是 。
17.若lg2=a ,lg3=b ,则log 512=________.
18.已知函数)]91(f [f ,)0x (20)(x x log )x (f x 3则,,⎩
⎨⎧≤>=的值为 19、函数2)23x (lg )x (f +-=恒过定点
20.幂函数()f x 的图象过点,则()f x 的解析式是
__ 21、a 4log 15
<,则a 的取值范围是_________________________. 三、解答题 (每题都要求写出详细的解答过程)
22、求下列各式中的x 的值(共15分,每题5分)
23、求下列各式的值:(共10分,每题5分)
(1)
100
1(e e )+log 2(log 216) (2)245lg 8lg 344932lg 21+- 24、用定义证明:函数21()2f x x x -=+在(0,1]上是减函数。
(6分)
25、已知函数1])2
1[(
log )x (f x 21-=, (1)求f(x)的定义域; (5分)
(2)讨论函数f(x)的增减性。
(5分)
26.设函数22()log (4)log (2)f x x x =⋅,144
x ≤≤, (1) 若t=log 2x ,求t 取值范围; (5分)
(2) 求()f x 的最值,并给出最值时对应的x 的值。
(6分)
参考答案:
一、选择题
DCABC BBDAD ADDAD
二、填空题
16.(1,2) 17。
a
b a -+12 18。
41 19.(1,2) 20。
x y =
21。
(0,54)),1(+∞⋃ 三、解答题
22.解:(1)⎩⎨⎧〈-〉-e
x x 101 所以 11+〈〈e x
(2)2311〈⎪⎭⎫ ⎝⎛-x 2log 13〉-x 即2log 13+〈x
(3)当x x x a 即-〉-〈〈212,101〉 当〈-〈-〉x x x a 即212,11
23.解:(1)原式=2-2+4log 232+=2
7 (2)原式=)42457
32lg(245lg 8lg 732lg 32÷⨯=+- =2
110lg = 24.证明:设]1,0(,,2121∈〈x x x x 且则,
=()()()02112212112212221〉⎥⎦⎤
⎢⎣⎡+--=⎪⎪⎭⎫ ⎝⎛-+-x x x x x x x x x x
所以()122-+=x x x f 在(]1,0上是减函数。
25.解:(1)0,0121<>-⎪⎭
⎫ ⎝⎛x x 即。
定义域为{}
0<x x (2)是减函数121-⎪⎭⎫ ⎝⎛=x
y ,()x x f 2
1log =是减函数。
())0,(121log 21-∞⎥⎥⎦⎤⎢⎢⎣⎡-⎪⎭⎫ ⎝⎛=∴在x x f 是增函数。
26.解:(1)44
1,log 2≤≤=x x t 即22≤≤-t (2)()2log 3log 22
2++=x x x f
x t 2log =∴令,则,41232322-⎪⎭
⎫ ⎝⎛+=++=t t t y 2322,23log 23-=-=-=∴x x t 即当时,()4
1min -=x f 当()12,42max ===x f x t 时即。