江苏省地表水环境功能区划
- 格式:xls
- 大小:602.50 KB
- 文档页数:8
江苏省环境保护厅关于开展地表水环境功能区监测断面认定和重点地表水环境功能区筛选工作的通知文章属性•【制定机关】江苏省环境保护厅•【公布日期】2006.06.28•【字号】苏环监[2006]24号•【施行日期】2006.06.28•【效力等级】地方规范性文件•【时效性】现行有效•【主题分类】环境保护综合规定正文江苏省环境保护厅关于开展地表水环境功能区监测断面认定和重点地表水环境功能区筛选工作的通知(苏环监〔2006〕24号)各省辖市环保局:为了加强全省地表水环境功能区水质监测工作,说清重点水环境功能区水质状况,依据《关于实施“说清环境质量、特殊污染物状况”行动计划的通知》(苏环监[2006]4号)中有关地表水监测断面布设与优化要求,决定开展全省地表水环境功能区监测断面认定和重点地表水环境功能区筛选工作。
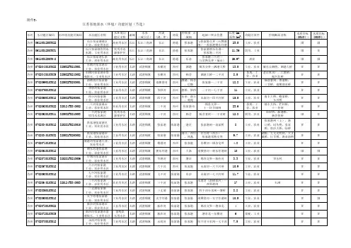
一、地表水环境功能区监测断面的认定依据《江苏省地表水(环境)功能区划》,全省在749条河流、43个湖泊、73座水库中共划分了1316个功能区。
各市按照省厅《关于开展地表水环境功能区水质普查工作的通知》(苏环监[2006] 14号)要求,在各水环境功能区均布设了一个控制断面(具体名单见附件三)。
为保证断面设置的代表性和科学性,请各市进一步做好所布设断面的论证认定工作,具体要求如下:1、以原国控、省控、市(县)控、行政交界、城考和重点流域国家考核等已开展监测断面为各水环境功能区控制断面的,应对其代表性、科学性进行论证。
2、所布设的断面为新增的,论证要求如下:(1)采用水质比对监测的方法,论证新增断面是否避开排污、支流混合区和过渡区,是否具有代表性,是否反映水环境功能区污染特征,同时还须考虑实际采样时的可行性和方便性;(2)调查断面所在水环境功能区内的污染源情况、主要污染物排放情况,断面所控制的纳污量应不小于该水环境功能区(河段)总纳污量的80%;(3)收集断面所在水域的规划、水文条件、历史监测数据等相关资料,分析并保证监测断面的长期性和可行性。
江苏省主要河流市界水质控制断面监测工作实施方案江苏省主要河流市界水质控制断面监测工作实施方案为进一步加强全省市界水质控制断面的监测工作,规范行政交界断面监测行为,现重新修订《江苏省主要河流市界控制目标断面监测工作实施方案》。
一、依据《江苏省地表水(环境)功能区划》(2003年江苏省人民政府批复)。
二、监测内容全省范围内省辖市行政交界河流、敏感水域和易产生污染纠纷的主要市界河流共34条,43个交界断面。
市界河流、断面名称、控制目标及监测工作承担单位名单见附表。
全省主要河流市界断面水质监测工作由省厅监测与信息处统一组织、省环境监测中心和省辖市环境监测中心站承担。
各省辖市应尽快确定辖区内县(市)交界河流断面名单,并参照本方案要求开展辖区内县界断面水质监测工作。
本监测方案自2006年5月开始实施,原环境监测报告制度中有关市界目标考核断面水质监测内容不再要求执行。
三、监测项目监测项目:流量(含流向)及《地表水环境质量标准》(GB3838-2002)中规定的基本项目24项,其中流量(含流向)、高锰酸盐指数、化学需氧量、氨氮,以及太湖流域河流断面的总磷、总氮等为每月必测项目;其它19项要求每年1月、7月进行监测,监测结果不达标的项每月要求监测。
四、监测时间及频次自2006年5月起各承担监测的单位按要求开展监测工作,承担单位由省环境监测中心和市环境监测站联合监测的,单月(1、3、5、7、9、11月)由省中心实施现场监测,监测结果于当月20日前反馈至相关市站;双月(2、4、6、8、10、12月)由市站实施现场监测,每月上旬监测一次。
承担单位仅为市环境监测站的,由市站结合例行监测,每月上旬监测一次。
五、监测结果报告市界断面监测结果于当月20日前,随例行水质监测数据上报,按监测报告制度中规定的格式以FTP方式报送至省环境监测中心数据服务器“市界断面”目录下。
各市每季度须编制县界断面监测报告,于下一季度第一个月10日前以FTP方式报送至省环境监测中心数据服务器“市界断面”目录下。
江苏省地表水功能区划江苏省,位于长江三角洲地带,拥有着丰富的水资源。
然而,随着社会经济的发展和人口的增长,水资源面临着日益严峻的挑战。
为了更好地保护和管理江苏省的水资源,江苏省政府制定了一套地表水功能区划方案。
一、区划背景江苏省地表水功能区划是在国家及地方有关法律、法规和政策的基础上,结合江苏省实际情况而制定的。
该区划旨在合理规划地表水资源,保障人民群众生活用水、农业灌溉、工业生产等需求,促进经济可持续发展。
二、区划原则1、科学性原则:根据水文地质、水资源分布、水质状况等因素,科学划分地表水功能区。
2、实用性原则:结合实际需求,考虑不同区域的用水特点和发展需要,制定实用可行的区划方案。
3、可操作性原则:确保区划方案易于实施和管理,充分考虑当地实际情况和政府管理能力。
4、保护性原则:以保护水资源、防止水污染为前提,确保地表水功能区的可持续发展。
三、区划方案根据江苏省地表水的实际情况,将全省划分为三大类地表水功能区:生活用水区、生产用水区和自然生态保护区。
1、生活用水区:该区域主要分布在城市和人口密集地区,以满足当地居民生活用水需求为主。
该区域应确保水质优良,满足国家相关标准。
2、生产用水区:该区域主要涉及农业生产、工业生产等用水需求,包括农田灌溉区、工业用水区等。
该区域应确保水量充足,满足生产需求。
3、自然生态保护区:该区域主要涉及重要的水生态系统,如湿地、河流源头等。
该区域应严格保护生态环境,防止水污染,保障生态系统的完整性。
四、实施措施1、加强监管:加强对地表水功能区的监管力度,严格控制污染源,确保水质达到标准。
2、提高公众意识:通过宣传教育等方式,提高公众对水资源保护的意识,形成全社会共同参与的良好氛围。
3、强化政策引导:制定优惠政策,鼓励企业和个人积极参与水资源保护工作,推动绿色发展。
4、建立联动机制:加强政府各部门之间的沟通协调,形成联动机制,确保地表水功能区划的实施效果。
5、定期评估调整:定期对地表水功能区划的实施情况进行评估,及时发现问题并进行调整,确保区划方案的可行性和科学性。