初等数学研究试题答案
- 格式:doc
- 大小:1.03 MB
- 文档页数:22
襄樊学院10~11学年度上学期《初等数学研究》试卷参考答案与评分标准一、单项选择题(从下列各题4个备选答案中选出一个正确答案,并将其代号写在题干后面的括号内,答案选错、不选、多选者,该题不得分。
每小题3分,共27分)1.实数域上的一切有逆的n n ⨯阶矩阵对于矩阵乘法来说作成一个( A )。
A 群B 环C 域D 除环2.( C )是有理数域Q 的扩张。
{}.(2)a 2a A Q Q =∈ b .(2)2a b ,a 0a B Q Q ⎧⎫=∈≠⎨⎬⎩⎭, {}.(2)b 2a b C Q a =+∈,Q{}.(2)2bi a b D Q Q =∈, 3.如果48234+-++x Bx Ax x 是D Cx x ++2的完全平方,若A>0,则A 、 B 、C 、D 分别为( C )。
A.-4,8,-2,2B.4,8,-2,2C.4,0,2,-2D.-4,0,2,-24.如果d cx bx ax +++23能被22h x +整除,则a ,b ,c ,d 满足( D )。
A.ab=cdB.Ac=bdC.ad=-bcD.ad=bc5. 二圆外切于点P. AB 是一条外公切线(A ,B 为切点).则∠PAB=( B ).A.75°B.90°C.120°D.150°6. 平行四边形ABCD 的底边BC 固定,另一边AB 长为a ,则其对角线交E 的轨迹为一圆,圆心是BC 中点,则圆的半径为( B ).A.aB. 2aC. 3aD. 4a 7.函数),(2+∞-∞-=-在xx e e y 内的反函数具有( A )性质。
A 奇函数 增函数 B 奇函数 减函数C 偶函数 增函数D 偶函数 减函数8.消去方程023183234=+--+x x x x 中的二次项,则原方程变为( A )。
43.y 81790A y y +++= 43.y 81790B y y -++=43.y 81790C y y ++-= 43.y 81790D y y +--=9. 多面体中,发出奇数条棱的定点数必为( B ).A.奇数B.偶数C.任意点D.不存在 得分 评卷人二、填空题(每小题3分,共18分)1. 已知:设M 为平面α外一点,A 、B 为α内两点.MA=51CM ,MB=30CM ,MO ⊥平面α,垂足为O.且AO=BO=5:2,求MO=126CM 。
习题解答第一讲 自然数的基数理论与序数理论1、在自然数的基数理论中,证明自然数的乘法满足交换律证明:对于{(,)|,}A B a b a A b B ⨯=∈∈与{(,)|,}B B b a b B a A ⨯=∈∈,定义A B ⨯到B A ⨯的映射为:(,)(,),(,),(,)fa b b a a b A B b a B A −−→∈⨯∈⨯显然这个映射是A B ⨯到B A ⨯的一一映射,所以A B B A ⨯=⨯,于是按定义有:A B B A ⋅=⋅,即乘法满足交换律。
2、利用最小数原理证明定理14.定理14的内容是:设()p n 是一个与自然数有关的命题,如果:(1)命题()p n 对无穷多个自然数成立;(2)假如命题对0()n k k n =≥成立时,能够推出命题对1n k =-也成立,那么对一切自然数不小于n 0的自然数n ,命题()p n 必然成立。
证明:如果命题不真,设使命题不成立的自然数构成集合M ,那么M 非空,因此,M 中必有一个最小数000()r r n ≥。
此时,由于不大于0r 的自然数只有有限个,按照条件(1),至少有一个自然数0()r r r >,命题在r 处成立;于是由条件(2),命题对1r -也成立,连锁应用条件(2),那么命题在12,,,,, r r r r k ---处都成立,而这个序列是递减的,因此0r 必然出现在这个序列中,这与0r 的假定不符,这个矛盾说明定理14成立。
3、用序数理论证明3+4=7证明:313432313145,(),''''+==+=+=+==33323256(),'''+=+=+== 34333367()'''+=+=+==4、设平面内两两相交的n 个圆中,任何三个不共点,试问这n 个圆将所在的平面分割成多少个互不相通的区域?,证明你的结论。
解:设这n 个圆将所在平面分割成()f n 个部分,显然1224(),()f f ==; 如果满足条件的n 个圆把平面分割成()f n 个部分,那么对于满足条件的n+1个圆来说,其中的n 个圆一定已经把平面分割成()f n 个部分,而最后一个圆由于与前面的每个圆都相交,并且由于任何三个圆不共点,所以这最后的圆与前面的n 个圆必然产生2n 个交点,这2n 个交点必然把这最后一个圆分割成2n 段圆弧,这些圆弧每一段都把自己所在的一个区域一分为二,从而12()()f n f n n +-=, 于是得:212324121()(),()(),,()()() f f f f f n f n n -=-=--=- 将这n-1个等式相加得:124211()()()() f n f n n n -=+++-=- 即 2122()()f n n n n n =-+=-+ 5、设平面上的n 条直线最多可以把平面分割成 f (n )个互不相通的区域,证明:112()()n n f n +=+ 证明:显然1111212()()f +⨯==+成立; 假将设平面上的k 条直线最多可以把平面分割成 f (k )112()k k +=+个互不相通的区域,那么对于平面上的k+1条直线来说,其中的任意k 条直线最多把平面分割成112()k k +=+个互不相通的区域,对于最后的直线来说,它如果与前面的每条直线都相交,那么在这条直线上最多可以产生k 个交点,这k 个交点可以把最后的这条直线分割成k+1段,每一段都将自己所在的区域一分为二,从而11()()f k f k k +-=+所以:111112()()()k k f k f k k k ++=++=+++ 121121122()()()()k k k k k +++++=+=+所以公式112()()n n f n +=+在1n k =+时也成立, 于是公式对一切自然数n 都成立。
3.已知:在凸五边形ABCDE 中,∠BAE=3α,BC=CD=DE,且∠BCD=∠CDE=.2-1800α求证:∠BA C =∠CAD=∠DAE.思路:证五边形ABCDE 内接于圆,则由等弦⇒等弧⇒等圆周角即得所证。
沿此思路,有多种证法,这里介绍两种教简的方法。
证法1.发挥等腰三角形的性质。
连接BD ,如图1.14,则得△CBD 是等腰的且底角()[]()如分析所述即得所证。
共圆、、、同理,共圆、、、E D C A E D B A BDE CDB ∴-=--=∠∴=--=∠ααααα322211801801801800图1.14EDBCA证法2:巧证等腰梯形。
连接BE ,如图1.15 ∠C=∠D,BC=DE,..3.2在圆上而所对圆周角皆为等弧共圆且底角、、、等腰梯形A A E D D C C B DEB CBE E D C B CDEB ∴=∠==∴=∠=∠⇒⇒ααα图1.15EDACB4.设H 为锐角△ABC 之垂心,若AH 等于外接圆半径,求证:∠BAC=600分析:因条件中的等量关系含有外接圆半径,故宜画出外接圆,以便发现隐含的联系,现介绍三种较简的证法。
证法1:借助平行四边形。
连接CO 并延长交外接圆于D ,如图1.17,则有直径所对圆周角为直角易证BD//AH(同⊥BC), AD//BH(同⊥AC),⇒AHBD 是平行四边形;图1.17DOHCBA60600,21=∠∴=∠∴===A BDC CD R AH BD ,证法2.利用欧拉线的预备定理60600212121217.118.1,=∠=∠=∠∴=∠∴===⊥MOC BOC A MOC OC R AH OM M BC OM 知则由例如图于作图1.18KMDO ABC证法3.利用正弦定理60sin 2sin 2219.1,,=∠∴=∠=∠=⊥⊥A AB C R AHF AH AF AC BF BC AE ,则有如图设图1.19FEABC6.在△ABC 中,先作角A 、B 的平分线,再从点C 作上二角的平分线之平行线,并且连D 、E,若DE//BA ,求证:△ABC 等腰。
初等数学研究,李长明,周焕山版 高等教育出版社习题一1答:原则:(1)A ⊂B(2)A 的元素间所定义的一些运算或基本关系,在B 中被重新定义。
而且对于A 的元素来说,重新定义的运算和关系与A 中原来的意义完全一致。
(3)在A 中不是总能施行的某种运算,在B 中总能施行。
(4) 在同构的意义下,B 应当是A 满足上述三原则的最小扩展,而且由A 唯一确定。
方式:(1)添加元素法;(2)构造法2证明:(1)设命题能成立的所有c 组成集合M 。
a=b ,M 11b 1a ∈∴⋅=⋅∴, 假设bc ac M c =∈,即,则M c c b b bc a ac c a ∈'∴'=+=+=',由归纳公理知M=N ,所以命题对任意自然数c 成立。
(2)若a <b ,则bc kc ac bc,k)c (a )1(b k a N k =+=+=+∈∃即,,由,使得 则ac<bc 。
(3)若a>b ,则ac mc bc ac,m)c (b )1(a m b N m =+=+=+∈∃即,,由,使得 则ac>bc 。
3证明:(1)用反证法:若b a b,a b a <>≠或者,则由三分性知。
当a >b 时,由乘法单调性知ac >bc. 当a <b 时,由乘法单调性知ac<bc.这与ac=bc 矛盾。
则a=b 。
(2)用反证法:若b a b,a b a =>或者,则由三分性知不小于。
当a >b 时,由乘法单调性知ac >bc. 当a=b 时,由乘法单调性知ac=bc.这与ac<bc 矛盾。
则a <b 。
(3)用反证法:若b a b,a b a =<或者,则由三分性知不大于。
当a<b 时,由乘法单调性知ac<bc. 当a=b 时,由乘法单调性知ac=bc.这与ac>bc 矛盾。
则a>b 。
1、 已知21-=i z ,则150100++z z 的值等于( )A 、1B 、1-C 、iD 、i -2、 已知53sin =θ,02sin <θ,则2tan θ的值等于() A 、21B 、21-C 、31D 、3 3、 函数136-+-=x x y 的值域是()A 、⎥⎦⎤ ⎝⎛∞-317,B 、⎥⎦⎤ ⎝⎛∞-1277,C 、(]5,∞-D 、[)+∞,5 4、 若实数y x ,满足()()22214125=-++y x ,则22y x +的最小值为()A 、2B 、1C 、3D 、25、 曲线()x x x f -=4在点P 处的切线平行于直线03=-y x ,则P 点坐标为()A 、()3,1B 、()3,1-C 、()0,1D 、()0,1-6、 设集合{}1>=x x M ,{}12>=x x P ,则下列关系中正确的是() A 、P M =B 、P P M = C 、M P M = D 、P P M =7、 设α是锐角,2234tan +=⎪⎭⎫ ⎝⎛+πα,则αcos 的值等于() A 、22B 、23C 、33D 、36 8、 设()x f 是定义在R 上以2为周期的偶函数,已知()1,0∈x 时,()()x x f -=1log 21,则函数()x f 在()2,1上()A 、是增函数,且()0<x f ;B 、是增函数,且()0>x fC 、是减函数,且()0<x f ;D 、是减函数,且()0>x f9、 已知锐角βα,满足()21sin ,1tan =-=αβα,则βcos 等于() A 、426+B 、426-C 、462-D 、426-- 10、分解因式:y x y x 62922-+-(x-3y)(x+3y+2)分解因式:3542322+++++y x y xy x=(x+y)(x+2y)+3(x+y)+(x+2y)+3 =(x+y)(x+2y+3)+(x+2y+3) =(x+y+1)(x+2y+3) 已知200420052004112004--+-=x x y ,则()2004y x +的值是; x=1/2004,y= -2005/2004,代入得1 已知实数m 满足m m m =-+-20082007,则=-22007m 2008 计算⎥⎦⎤⎢⎣⎡--+÷⎥⎦⎤⎢⎣⎡-++x x x x x x xx 1111=1/2x-1 自然数集的两种主要理论是 基数理论 、 序数理论 。
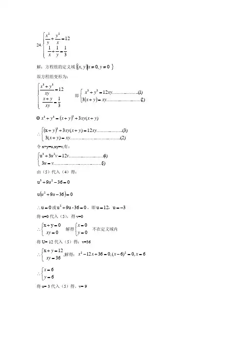
24.⎪⎪⎩⎪⎪⎨⎧=+=+31111222y x x y y x 解:方程组的定义域(){}0,0,≠≠y x y x原方程组变形为: ⎪⎪⎩⎪⎪⎨⎧=+=+311233xyy x xy y x 即()⎩⎨⎧=+=+)2.......(....................3)1.(....................1233xy y x xy y x ())(3333y x xy y x y x +++=+ ()⎩⎨⎧=+=+++∴)2.(........................................)(3)3.(....................12)(3x 3xy y x xy y x xy y 令x+y=u,xy=v,有:⎩⎨⎧==+)5........(..............................3)4.......(....................123u 23v u v v u 由(5)代入(4)得:0369u 23=-+u()0369u 2=-+u u0u =∴或036-u 9u 2=+,即3u 12u -==,将u=0代入(5),得v=0 ⎩⎨⎧==+∴00y x xy 解得⎩⎨⎧==00y x 不在定义域内 将U=-12代入(5)得:v=36⎩⎨⎧==+∴3612x xy y ,解得:6,0)6(,0361222==-=+-x x x x ⎩⎨⎧==∴66y x 将u=-3代入(5)得。
v=-9⎩⎨⎧-=-=+∴93y x xy ,解得:⎪⎪⎩⎪⎪⎨⎧--=+-=2532325323y x ⎪⎪⎩⎪⎪⎨⎧+-=--=2532325323y x x y 9-= 故原方程的解为:()⎪⎪⎭⎫ ⎝⎛+⎪⎪⎭⎫ ⎝⎛+25323253-23-253-23-25323-6,6,,,, (3)()⎩⎨⎧=+=+++xyy x x y x 71232y 22原方程可化为:()()()⎩⎨⎧=+=++-+)(2.....................................712)1..(....................3222xy y x y x xy y x 令x+y=u,xy=v,代入上方程组,有:⎩⎨⎧==+-)4......(..............................712)3......(....................3222v u u v u 由(4)得:u 712v =代入(3),并整理得:.(5)....................0.........224-u 17-u 72= 解(5)的得:732,7u 21-==u 将u=7代入(4),得v=12,故⎩⎨⎧==+127xy y x 解得⎩⎨⎧==43y x 或⎩⎨⎧==34y x 将732-=u 代入(4)得:49384v -= 故⎪⎩⎪⎨⎧-==+49384732-y x xy 得:0384224492=-+x x 解:987526450176224983844942242242+±-=⨯⨯+±-=x 9871022249812544022428⨯⨯±-=±-= 9810722244⨯±-=9810112224±-= 7108716±-= 故解得:()()⎪⎪⎩⎪⎪⎨⎧+-=-=2107872108y x ()()⎪⎪⎩⎪⎪⎨⎧-=+-=2107872108y x 故原方程组的解为:()()()()()()⎪⎭⎫ ⎝⎛+-⎪⎭⎫ ⎝⎛+2-107821078,21078-2-10783,44,3,,,, 26.(1)⎩⎨⎧==++)(2 (2464))1.......(....................12646422y X y x 解:令v u y x ==64,64,则原方程组可化为:⎩⎨⎧==+)(4.........................24)3....(....................12u 22uv v (3)+2(4),得:28122u 22+=++uv v即()()22222v u +=+ 222+=+∴v u⎩⎨⎧==∴22v 2u 或⎩⎨⎧==2v 22u ()⎩⎨⎧==∴2264264I y x 或()⎩⎨⎧==2642264II y x 解(I)得:⎪⎩⎪⎨⎧==4161y x 解(II )得:⎪⎩⎪⎨⎧==6141y x 故原方程组的解为:⎪⎭⎫⎝⎛41,61,或⎪⎭⎫ ⎝⎛61,41,(2)()⎪⎩⎪⎨⎧=+-=⎪⎪⎭⎫ ⎝⎛+-)(2.....................25)1.......(..........21log log 2225.0y x y x y 解:方程(1)左边取以2为底的对数,得:()22log 1log 5.0log log 2222-=⎪⎪⎭⎫ ⎝⎛+-y x y 即: ()2log log -22-=--y x y()2.log 2=-y x y()4x -y =∴y 即)(3........................42=-xy y 解(2),(3)联立方程组得:⎩⎨⎧=+=-)2..(....................25)3..(....................4222y x xy y 令y=tx,分别代入(2),(3)得: ()()⎩⎨⎧=+=-))5.(..............................2514.....(....................41222t x t t x 由(4),(5)解出2x 的表达式得:())6( (1)25142+=-t t t 由(6)变形整理得:0425212=--t t ()()0174-t 3=+t71,3421-==t t 由34=t ,有x y 34=,代入(3)得:3±=x 由71-=t ,有x y 71-=,代入(3)得:227±=x ⎩⎨⎧==∴43y x ,⎩⎨⎧-=-=43y x (舍),⎪⎪⎩⎪⎪⎨⎧-==22227y x (舍),⎪⎪⎩⎪⎪⎨⎧==22227-y x 所以原方程组的根为()⎪⎪⎭⎫ ⎝⎛22,227-4,3,,27.(1)⎪⎩⎪⎨⎧=+=+)2.......(..............................125)1....(..............................43sin sin 22πy x y x 解:利用降次公式,(1)即:4322cos 122cos -1=-+y x 212cos 2cos =+y x ()21cos 2=+y x ()())3....(.. (2)1cos cos 2=-+y x y x (2)代入(3),化简得:()21cos .125cos 2=-⎪⎭⎫ ⎝⎛y x π ()426261cos +=-=-y x ⎪⎪⎭⎫ ⎝⎛-=⎪⎭⎫ ⎝⎛+=42664cos 125cos πππ )4........(2426cos πk acr y x ++±=-∴ (2)(4)联立解得:⎪⎪⎩⎪⎪⎨⎧Z ∈-+±=Z ∈++±=k k acr y k k acr x ,426cos 21245,426cos 21245ππππ 4.(1)()()()()()())1.......(..........131321212--=--+--x x x x x x x 解:方程定义域为}{3,2,1,M ≠∈=x R x x 且将(1)式左边通分, ()()()()()()()1313212123--=----+-x x x x x x x x 即()()()()()131321222--=-----x x x x x x x 左边分子因式分解:()()()()()()()13-x 132121x 2-x -=---+x x x x左边约分()()()())2......(....................1313121--=--+x x x x x 两边同乘以(x-1)(x-3)得:1,21,121==+=+∴x x x 但x=1不在定义域内,为增根,原方程无解解法2:方程定义域为}{3,2,1,M ≠∈=x R x x 且将方程右边的分式移到左边: ()()()()()()0131321212=-----+--x x x x x x x 左边通分整理得:()()()()()()0321222123=------+-x x x x x x x 即:()()()()()()()()0321212,0321-x 2232=-----=--+-x x x x x x x x x 约去公因式()()021-x ≠-x ,将方程左边化成最简因式:()0321=-x 上式的分子为非零常数,显然无解。
大学数学之初等数学研究 ,李长明 ,周焕山版 ,高等教育出版社 习题一1答:原那么:〔1〕A ⊂B〔2〕A 的元素间所定义的一些运算或根本关系 ,在B 中被重新定义。
而且对于A 的元素来说 ,重新定义的运算和关系与A 中原来的意义完全一致。
〔3〕在A 中不是总能施行的某种运算 ,在B 中总能施行。
(4) 在同构的意义下,B 应当是A 满足上述三原那么的最小扩展,而且由A 唯一确定。
方式:〔1〕添加元素法;〔2〕构造法2证明:(1)设命题能成立的所有c 组成集合M 。
a=b ,M 11b 1a ∈∴⋅=⋅∴, 假设bc ac M c =∈,即 ,那么M c c b b bc a ac c a ∈'∴'=+=+=',由归纳公理知M=N ,所以命题对任意自然数c 成立。
〔2〕假设a <b ,那么bc kc ac bc,k)c (a )1(b k a N k =+=+=+∈∃即,,由,使得 那么ac<bc 。
〔3〕假设a>b ,那么ac mc bc ac,m)c (b )1(a m b N m =+=+=+∈∃即,,由,使得 那么ac>bc 。
3证明:(1)用反证法:假设b a b,a b a <>≠或者,则由三分性知。
当a >b 时 ,由乘法单调性知ac >bc. 当a <b 时 ,由乘法单调性知ac<bc.这与ac=bc 矛盾。
那么a=b 。
〔2〕用反证法:假设b a b,a b a =>或者,则由三分性知不小于。
当a >b 时 ,由乘法单调性知ac >bc. 当a=b 时 ,由乘法单调性知ac=bc.这与ac<bc 矛盾。
那么a <b 。
〔3〕用反证法:假设b a b,a b a =<或者,则由三分性知不大于。
当a<b 时 ,由乘法单调性知ac<bc. 当a=b 时 ,由乘法单调性知ac=bc.这与ac>bc 矛盾。
初等数学研究期末试题及答案A延安大学西安创新学院期末考试命题专用纸课程名称: 初等数学研究任课教师姓名: 左晓虹卷面总分: 100 分考试时长: 100 分钟考试类别:闭卷 ? 开卷 ? 其他 ? 注:答题内容请写在答题纸上,否则无效(一、单选题(4*10=40分),,,,,,1(设,是向量,命题“若,则”的逆否命题是 ( ) ||||ab,abab,,,,,,,,,,,则 (B)若,则 (A)若||||ab,||||ab,ab,,ab,,,,,,,,,,(C)若,则 (D)若,则 ||||ab,||||ab,ab,,ab,,x,,22(设抛物线的顶点在原点,准线方程为,则抛物线的方程是 ( )2222(A) (B) (C) (D) yx,,4yx,4yx,,8yx,8fx()fxfx()(),,fxfx(2)(),,yfx,()3(设函数(R)满足,,则函数的图像x, 是 ( )xx,64((R)展开式中的常数项是 ( ) (42),x,,20,15(A) (B) (C)15 (D)205(某几何体的三视图如图所示,则它的体积是 ( )2,(A) ,83,(B) 8,382,,(C)2,(D) 3[0,),,6(函数在内 ( ) fxxx()cos,,(A)没有零点 (B)有且仅有一个零点第 1 页共 6 页延安大学西安创新学院期末考试命题专用纸 (C)有且仅有两个零点 (D)有无穷多个零点227(设集合, MyyxxxR,,,,{||cossin|,}1MN:},为虚数单位,R,则为( ) ix,Nxx,,,{|||2i1](0(A)(0,1) (B),1][01)[0(C), (D),xxx1238(右图中,,,为某次考试三个评阅人对同一道题的x,6x,9p,8.5p12独立评分,为该题的最终得分,当,,x3时,等于( )(A)11 (B)10 (C)8 (D)7l9(设,…,是变量和的个样本点,直线是由这些样本点y(,),(,)xyxy(,)xyxn112233通过最小二乘法得到的线性回归方程(如右图),以下结论中正确的是 ( )l(A)和的相关系数为直线的斜率 yx(B)和的相关系数在0到1之间 yxl(C)当为偶数时,分布在两侧的样本点的个数一定相同 nl(D)直线过点 (,)xy10(甲乙两人一起去游“2011西安世园会”,他们约定,各自独立地从1到6号景点中任选4个进行游览,每个景点参观1小时,则最后一小时他们同在一个景点的概率是 ( )1151(A) (B) (C) (D) 363696二、解答题(10*5=50分,选做5道题目即可), ,,ACD90AEBC,1(如右图,?B=?D,,,且AB=6,AC=4,AD=12,求BE的长度(第 2 页共 6 页延安大学西安创新学院期末考试命题专用纸1,,fx()(0,),,f(1)0,gxfxfx()()(),,2( 设函数定义在上,,导函数,( fx(),xgx()(1)求的单调区间;1gx()(2)讨论与的大小关系; g()x3(植树节某班20名同学在一段直线公路一侧植树,每人植一棵,相邻两棵树相距10米(开始时需将树苗集中放置在某一树坑旁边,使每位同学从各自树坑出发前来领取树苗往返所走的路程总和最小,求这个最小值( 4(叙述并证明余弦定理(((1)作出相应图像,叙述“三垂线定理”及其逆定理的内容; 5(2)请至少列出与三角形相关的5个性质命题(6(就感兴趣的某节课,请设计出你认为最好的开课语及结束语( 三、证明题(10分)ABACD,,如图,直三棱柱中,、分别为、的中点,EDE,ABCABC,BCAA11111ABAC,平面,求证:( BCC1一、选择题(4*10=40分)1(C 2( B 3( B 4( C 5( A6( B 7( C 8( C 9( D 10( D二、解答题(10*5=50分,选做5道题目即可),,,ACD90AEBC,1.如图,?B=?D,,,且AB=6,AC=4,AD=12,求BE(AEBC,解:因为,,,,ACD90,所以?AEB=又因为?B=?D,所以?AEB??ACD,……5分ACAD所以, ,AEABABAC,,64所以, AE,,,2AD122222BEABAE,,,,,6242在Rt?AEB中,(………………………5分第 3 页共 6 页延安大学西安创新学院期末考试命题专用纸1,,fx()(0,),,f(1)0,gxfxfx()()(),,2. 设函数定义在上,,导函数,( fx(),xgx()(1)求的单调区间;1gx()(2)讨论与的大小关系; g()x1,fxxc()ln,,f(1)0,ln10,,cc,0解:(1)?,?(为常数),又?,所以,即,cfx(),x1fxx()ln,?;, gxx()ln,,xx,1x,1,,gx()0,x,1?,令,即,解得,…………2分 ,0gx(),22xx,gx()0,gx()(0,1)gx()x,(0,1)当时,,是减函数,故区间在是函数的减区间;,x,,,(1,)gx()0,gx()(1,),,gx()当时,,是增函数,故区间在是函数的增区间;…………3分111(2),设, gxx()ln,,,hxgxgxx()()()2ln,,,,,xxx2(1)x,,则, hx(),,2x1h(1)0,x,1当时,,即, gxg()(),x,,x,,,(0,1)(1,):hx()0,h(1)0,当时,,,(0,),,hx()因此函数在内单调递减,1hxh()(1),01,,x当时,=0,?; gxg()(),x1hxh()(1),x,1当时,=0,?( ………………5分 gxg()(),x3.植树节某班20名同学在一段直线公路一侧植树,每人植一棵,相邻两棵树相距10米(开始时需将树苗集中放置在某一树坑旁边,使每位同学从各自树坑出发前来领取树苗往返所走的路程总和最小,求这个最小值为(解:(方法一)设树苗放在第个树坑旁边(如图), i1 2 … i … 19 20 那么各个树坑到第i个树坑距离的和是siiiiiii,,,,,,,,,,,,,,,,,,(1)10(2)10()10[(1)]10(20)10??iiii(1)(20)(120),,,, ,,,,,,,,10[(20)]iiii22第 4 页共 6 页延安大学西安创新学院期末考试命题专用纸2,…………………………8分 ,,,10(21210)iii,10所以当或时,的值最小,最小值是1000,所以往返路程的最小值是2000米. 11s……………………2分(方法二)根据图形的对称性,树苗放在两端的树坑旁边,所得路程总和相同,取得一个最值;所以从两端的树坑向中间移动时,所得路程总和的变化相同,最后移到第10个和第11个树坑旁时,所得的路程总和达到另一个最值,所以计算两个路程和即可。
习题二答案1添加元素法和构造法,自然数扩充到整数可以看成是在自然数的基础上添加0到扩大的自然数集,再添加负数到整数集;实数扩充到复数可以看成是在实数的基础上构造虚数单位i 满足12-=i ,和有序实数对),(b a 一起组成一个复数bi a +.2(略)3从数的起源至今,总共经历了五次扩充:为了保证在自然数集中除法的封闭性,像b ax =的方程有解,这样,正分数就应运而生了,这是数的概念的第一次扩展,数就扩展为正有理数集.公元六世纪,印度数学家开始用符号“0”表示零.这是数的概念的第二次扩充,自然数、零和正分数合在一起组成算术数集.为了表示具有相反意义的量,引入了负数.并且直到17世纪才对负数有一个完整的认识,这是数的概念的第三次扩充,此时,数的概念就扩展为有理数集.直到19世纪下半叶,才由皮亚诺、戴德金、维尔斯特拉斯等数学家的努力下构建了严格的实数理论.这是数的概念的第四次扩充,形成了实数集.虚数作为一种合乎逻辑的假设得以引进,并在进一步的发展中加以运用.这是数学概念的第五次扩充,引进虚数,形成复数集.4证明:设集合D C B A ,,,两两没有公共元素d c b a ,,,分别是非空有限集D C B A ,,,的基数,根据定义,若b a >,则存在非空有限集'A ,使得B A A ~'⊃;若d c ≥从而必存在非空有限集'C ,使得D C C ~'⊃,所以)(C A ⋃)(D B ⋃⊃所以集合C A ⋃的基数c a +大于集合D B ⋃的基数d b +,所以d b c a +>+.5(1)解:按照自然数序数理论加法定义,1555555155155)25(2535''=++=++⋅=+⋅=+⋅=⋅=⋅(2)解:按照自然数序数理论乘法定义87)6(])15[()15()25(2535'''''''''===+=+=+=+=+6证明:︒1当2=n 时,命题成立.(反证法)()()()()()()()01121,1111111,111101111111,,2,1,0111,,2,1,0)2(212122121212121212122221212122111112111212222121≥++-+⇒≥++-++≥+-+-≥++++∴≥⎪⎪⎭⎫ ⎝⎛-++⎪⎪⎭⎫ ⎝⎛-+⎪⎪⎭⎫ ⎝⎛->-=-++-+-=+++++=>+=≥+++=+++=>≥=︒+++++++++++++++++k k k k k k k k k k k k k k k i k k k k k k i k k i a k a k k a k k a k k a k a a k a a a a a k a a a a a a a a a a a a a a a a a a k i a k n ka a a a a a k i a k k n ,即要证由归纳假设,得,且得,,且时,由当。
习题三1解:(1)由.222r x AE AB AE AD =⋅=得则.2)(22rx r AE r CD -=-= 则)20.(2422r x r x x r x AB CD y <<-+=++= (2) .5.5)(124max 22r y r x r r x r r x x r y ==+--=-+=时,当 2证明:(1)令时,0n m ==).0()0()0(f f f =即或者0f(0)=1;f(0)= 当时0f(0)=0)0()()(==f m f m f ,又当时0m ≠f(0).f(m)≠则 1.f(0)= (2)时,,当0n n m >-=即,1)()()(=-=+-n f n f n n f )(1)(n f n f -=则)(1)(x f x f -=;又当,则时1f(x),0x >>1)(1>-x f ,即1)(0<-<x f 由此得;0;1)(001)(0;1)(⎪⎩⎪⎨⎧<<<==>>x x f x x f x x f ; 则对于任意.0f(x)R,x >∈均有3答:(1)是;(2)不是4解:(1)由}45,088|{01||80||054≠≠≤≤-⎪⎪⎩⎪⎪⎨⎧≥-≠≠-x x x x x x x 且得:.(2) 由}132|{112012023≠>⎪⎩⎪⎨⎧≠->->-x x x x x x 且得:(3) 由].1,22()22,1[001log 0)1(log log 222225.0⋃--∈⎪⎩⎪⎨⎧>>+≥+x x x x 得: (4) 由}.8log 25|{0)39lg(0390|2|73≠<≤-⎪⎩⎪⎨⎧≠->-≥--x x x x x x且得:(5) }21|{0)31(112≥≥--x x x 得:由(6) 由.)25,1[00250lg ∈⎪⎩⎪⎨⎧>>-≥x x x x 得:(7) }.121|{1212≤≤-≤-≤-x x x x 得:由 (8) 由]2,51(015111∈⎩⎨⎧>-≤-≤-x x x 得:(9) 由}2,1,0,22|{0sin 101sin ±±=+=⎩⎨⎧≥-≥-k k x x x x ππ得:(10)由得:03cos >x }2,1,0,326326|{ ±±=+<<+-k k x k x ππππ5. (1)解:}.121211|{4112≤≤-≤≤-≤≤x x x x或得:由(2)解:}.40|{22≤≤≤≤-x x x 得:由(3) 解:}.1010|{3lg 213≤≤≤≤x x x 得:由6证明:⇒f(x)的定义域为实数集R ,则0.1-k 1k 4k 4kx -x 22>+++ 即.1,0144)114(41622><---=-++-=∆k k k k k k k 则 ⇒当时1>k ,0144)114(41622<---=-++-k k k k k k 则 即0.1-k 1k 4k 4kx -x 22>+++故f(x)的定义域为实数集R 7解:(1)-=+++=11x x y 22x x-=++11x 12x 43)21(x 12++;而,3443)21(x 102≤++<则).1,31[1x x 22-∈+++=x x y (2)]23,23[3)6sin(23sin cos +-∈++=++x x x π,则].23,23[3sin cos 7+-∈++=x x y(3),则由1076312≤++-≤x x .1)763lg(02≤++-≤x x(4) 133212122-+-=-+-=x x x x x y ,则0)3()3(22=+++-y x y x , ,01522≥--=∆y y 得.35-≤≥y y 或法二:=-+-=1212x x y 1)1(212+-+-x x ;则 =-+-|)1(212|x x 4|)1(|2|12|≥-+-x x 即或4)1(212≥-+-x x 4)1(212-≤-+-x x 则]3,(),5[1212--∞+∞∈-+-=或x x y (5) 令,413t x =-则44)1(21413322≤+--=-+-=t x x y(6)=-++-=344342x x x y 4)12(342-++-x x当).,23[,2343min +∞∈==y y x 则时, (7) ,11ln 21y yx e e e e y xx x x -+=+-=--得由即.11,011<<->-+y y y 则 (8))23lg ,45(lg )211lg(212lg 11122lg 1∈+=+=-++=x x x x x y y 得,由则).54lg 1,32lg 1++∈(y (9) ]3,0[)21arccos(3π∈-=x y ;(10) ∴∈-],3,0[12x]2,6[12ππ∈-=x arcctgy8 解:令t x =+14,则即,112t 11t 5)(2--+=t t f ∆≡--+=112x 11x 5)(2x x f y 则.01111)52(2=--+-y x y yx当0=y 时,有意义;当0≠y 时,.,0R y ∈>∆即9解:(1)2x 2y +--=由得反函数为212x y -=.其定义域和值域为.1,0≤≤y x(2)由1x 5x 2y +=得反函数为x x y 52-=.其定义域和值域为.51,52-≠≠y x 10证明:对使,1,00Mx M =∃>∀M M >+=+=1x 11y 2,则2x 11y +=无上界.但对,0≠∀x 2x 11y +=>1,则任何小于1的数都是2x 11y +=的下界.11 证明: 由于f(x)是有界函数,则.|)(|,,0M x f D x M <∈∀>∃有对而g(x)没有上界,则对.)(,,0N x g D x N >∈∃>∀有则W M N x g x f ∆≡->+)()(对使,,0x W ∃>∀W x g x f >+)()(,则f(x)与g(x)的和在定义域D 上无上界. 12 解:.),0[,2.822y 2上单调递增当,令+∞∈=++-==u y x x u u u在上单调递增当而.)1,2[.822-∈++-=x x x u .]4,1[上单调递减∈x 则8x 2x 22y ++-=在上单调递增当.)1,2[-∈x .]4,1[上单调递减∈x13. (1)奇函数 (2)偶函数 (3)非奇非偶函数 (4)非奇非偶函数 (5)偶函数 (6)偶函数14解: )211a 1g(-x)(f (-x)x-+-=)21a-1a g(-x)(x x +=f (x))211a 1g(x)(x =+-= 则)(x f 是偶函数. 15解: 则-f (x),x 1x 1lgf (-x)=-+=.它是奇函数)1,1(,0x1x 1-∈>-+x 得定义域为而 .)1,1(x 1x 1上单调递减在而-∈-+x 则x1x 1lg y +-=.)1,1(上单调递减在-∈x 16解:(1) =++==)1lg(-x f(-x)y 2x =++)1lg(-x 2x ).()1lg(x -2x f x -=++则f(x)的定义域为R x ∈,它是奇函数.(2)由和)1lg(x y 2++=x ,110110)1lg(-x y -222⎪⎩⎪⎨⎧+-=-++=++=-xx x x x y y 得 则即y y x 1021102⋅-=.102110)(21xx x f ⋅-=- (3) 则由于,11x 2≥++x ),0[)1lg(x f(x)y 2+∞∈++==x(4) 对),()(,2121x f x f x x <<∀.f(x)在其定义域上是增函数则 17解:当0x <时,0x ->即.2x x f(-x)2++=又f(x)是奇函数,则)()(x f x f -=-则.2x x f(x)2---= 18解:则,cosx sinx 1cosx -sinx 1f (-x)+--=++++=+cosx sinx 1cosx -sinx 1f (x)f (-x)cosxsinx 1cosx-sinx 1+--=0则.cosxsinx 1cosx-sinx 1f (x)是奇函数函数+++=19解:(1)a,632z y x ===令 1.a ,R z y,x,>∈+则由于.log ,log ,log 632a z a y a x ===即6log log 6log 66,3log log 3log log 33,log 22226223332aa z a a a y a x ======。
《初等数学研究》习题解答第一章 数系1.1 集合论初步·自然数的基数理论习题1.11.证明集合0{|}x x >与实数集对等。
证明:取对应关系为ln y x =,这个函数构成0(,)+∞与(,)-∞+∞的一一对应,所以集合0{|}x x >与实数集对等。
2.证明()()()A B C A B A C =证明:()x A B C x A ∀∈⇒∈或x B C ∈,x A ⇒∈或(x B ∈且x C ∈),那么有x A ∈或x B ∈同时还有x A ∈或x C ∈,即x A B ∈同时还有x A C ∈,所以()()()()()x A B A C A B C A B A C ∈⇒⊆反过来:()()x A B A C x A B ∀∈⇒∈且x A C ∈,对于前者有x A ∈或者x B ∈;对于后者有x A ∈或者x C ∈,综合起来考虑,x B ∈与x C ∈前后都有,所以应是“x B ∈且x C ∈”即“x B C ∈”,再结合x A ∈的地位“或者x A ∈”以与前后关系有“x A ∈或x B C ∈”即()x A B C ∈,所以()()()()x A B C A B C A B A C ∈⇒⊇ 所以()()()A B C A B A C =。
3.已知集合A 有10个元素,,B C 都是A 的子集,B 有5个元素,C 有4个元素,B C 有2个元素,那么()B A C -有几个元素?解:集合()B A C -如图1所示:由于452(),(),()r C r B r B C ===,所以32(),()r B C r C B -=-=,图1CBA从而1028(())r B A C -=-=, 即()B A C -有8个元素4.写出集合{,,,}a b c d 的全部非空真子集。
{,}{},{},{},{,},{,},{,},{,},{,},{,},{,,},{,,},{,,},{,,}a b c d a b a c a d b c b d c d a b c a b d a c d b c d5.证明,按基数理论定义的乘法对加法的分配律成立。
《初等数学研究》课程习题集一、单选题 1. 已知αβ、是方程22(2)(35)0x k x kk --+++=的两实数根,则221αβ++的最大值是( )..20.19.21.18A B C D2. 设()lg (101)2xxxb f x a x x a b -=+++4是偶函数,g ()=是奇函数,则的值为( )11..1.1..22A B C D --3. 设432()f x xa xb xc xd =++++,其中a b c d 、、、为常数,如果(1)1,f =[]1(2)2,(3)3,(4)(0)4f f f f ==+=则( ).5.3.7.11A B C D4. 若不等式2lo g 0m x x -<在区间(0,2)内恒成立,则实数m 的取值范围是( )A .1116m ≤< B.1016m <≤ C.104m <<D.116m ≥5. 已知()()(,),(7)7f x y f x y x y R f +=∈=且, 则(49)f 等于( )A.7B. 14C.49D. 16. 设33,(5)2003(5)1,(4)2003(4)1,x y xx y y -+-=--+-=为实数,满足则().x y +=A.1B. 9C. -1D. -97. 实数x y 、满足关系式[][]21yx x =+--和[]1y x =+,则x y +的值一定是( )1012.1516.910.A B C D .与之间与之间与之间一个整数8. 对每一个自然数n, 抛物线22()(21)1,n yn n x n x x A =+-++与轴交于n B 两点,||n n A B 以表示该两点的距离,则1122||||A B A B ++ 20022002||A B +等于( )2001200220032004.....2002200320042003A B C D9. 已知多项式2(),4(1)1,1(2)5,(3)f x a x c f f f =--≤≤--≤≤则满足()3825.4(3)15.1(3)20.(3)33f B f C f D f ≤≤-≤≤-≤≤-≤≤A .7(3)2610. 若2222,260,2x y x x yx yx -+=++实数满足则的最大值为( )A.15B. 14C. 17D. 1611.设2250,320,a x x b x x +=-+=是一元二次方程的较大的一根是的较小的一根那么a b +的值是( )A.-4B. -3C. 1D. 312. 2320x x -+=方程的最小一个根的负倒数是()A.1B. 12C. 2D. 413. 在,A B C G ∠022直角中,A =90为重心,且G A =2, 则G B +G C =( )A . 25 B. 10 C. 20 D. 1514. 圆锥的侧面展开图的圆心角等于0120,该圆锥的侧面积与表面积之比值为( )A.23B.45C.12D.3415. ∠∠0A B -A C 在A B C 中,C =90,A 的平分线A D 交B C 于D ,则C D等于( ).tan .sin .co s .co t .A AB AC AD A16. 在A B C 中,A B A C =,,,D B C B E A C E ⊥为中点且于交A D P 于,已知3B P =, 1P E =,则P A =( )A B C D ....17.已知梯形A中,//,,A B CA B C DA DBC BD A B C B D D C S S∠⊥=梯形平分且则,3A B C D .:1. 2.5:1.2:1. 1.5:118. 已知A D是直角三角形A B C斜边上的高,43A B A C ==,,:()A B CA C DS S=则,5A B C D .:3.25:9.4:3.16:919. 已知直角三角形的周长为2+斜边上的中线为1,则这个三角形的面积为( )14A B C D 1..1..220. 若一个正三角形和一个正六边形的面积相等,则他们的边长之比为( )11113A B C D ....二、填空题1 21. 集合2{1,2,31},{1,3},{3}A mm B AB =--=-=,实数m 的值是 _______22. 若函数2()1f x x a x =-+能取得负值,则实数a 的取值范围为23. 设x y z 、、为实数,1()2x y z =++,则23x y z=24. 函数sin ()yA x b =ω+ϕ+在同一周期内有最高点(,312π),最底点(7,512π-),则它的解析式为25. 若函数[]2(2)1,()2x f xf -+∞的定义域为,则的定义域为26. 在等差数列{}n a 中,已知前20项的和n S =170,则691116a a a a +++ =27. 已知:1ta n 11ta n +α=-α,则sin 2α的值=28. 设11(0),()f x f x x x ⎛⎫=-<= ⎪⎝⎭则29. 2,120nn S n =数列的前项和那么这个数列的前项中所有奇数项的和是30. 2006!的末尾的“0”的个数是 31. 已知:12()()3f x f x x x+-=+,则()___________f x =32. 不等式20a x a b x b ++>的解集是{23}M x =<<,则_____,______a b ==33. 以三角形的三条中线长为边作三角形,则它的面积与原三角形面积之比为34. P 是正方形ABCD 内一点,PA=2, PB=1, PD=3, 则A P B ∠的度数为 35. 1E F GA EB F A BC A E B F G S=,是的中线,与交于,若,则A B CS=36. 在A B C 中,5B C M I A B C =,与分别是的重心与内心,若//M I B C则A B A C +的值为37. 在A B C 中,90C ∠=,I IE A B E ⊥为内心,于,若2B C =,A C =3, 则A E E B ⋅=38. 设直角三角形的斜边为C, 其内切圆的半径为r, 则内切圆的面积与三角形面积之比是39. 若等腰梯形的两条对角线互相垂直, 高为8cm ,则上、下底之和为40. 凸n 边形的n 个内角与某一个外角的和为1350°,则n 等于三、计算题41. 121212{}1,2,,n n n n n n n a a a a a a a a a ++++===++已知数列中,且121,n n a a ++≠求20031.n n a =∑42. 求函数332s in 3s inc o s 3c o s s in 2c o s 2x x x xy x x+=+的最小值。
本文部分内容来自网络整理,本司不为其真实性负责,如有异议或侵权请及时联系,本司将立即删除!== 本文为word格式,下载后可方便编辑和修改! ==初等数学研究李长明篇一:初等数学研究(李长明周焕山编) p494第7题,p497第3题,p498第9题答案初等数学研究(李长明周焕山编) p494第7题,p497第3题,p498第9题答案7.在直角梯形ABCD中,AB是垂直二底的腰,另一腰切以AB为直径之圆于E,过E作底的平行线交AB于F,求证:AC平分EF.证明: ∠DAB=∠ABC=90°, 圆O以AB为直径, ∴AD,BC均与圆O相切; 又圆O与CD相切于E, ∴AD=ED;EC=BC;又AD∥EF∥BC,∴FG/BC=AF/AB=DE/DC=AD/DC=EG/EC=EG/BC.∴EG=FG .即AC平分EF.3.凸四边形ABCD的每条对角线皆平分它的面积.求证:ABCD是平行四边形证明:作AE⊥BD于E,CF⊥BD于F,BM⊥AC于M,DN⊥AC于N.BD平分凸四边形ABCD的面积,∴12BD?AE=12BD?CF?AE=CF.又∠AEO=∠CFO=90?,∠AOE=COF(对顶角相等).??AEO??CFO∴AO=CO,同理易证得:BO=DO.?凸四边形ABCD是平行四边形.(对角线互相平分)9.在?ABC中,∠B≠90,BC边的垂直平分线交求证:DE//BC.?AB于D,?ABC的外接圆在A,C两点之切线交于E.证明:连结OA,OC,CD. AE,CE是圆O的切线,∴∠OAE=∠OCE=90?.∴BD=CD.∴∠DBC=∠DCB.2倍),∠BDC=180?-∠DCB-∠DBC.=∠ACE.(同弧弦切角等于圆周角∴∠AOC+∠AEC=180?. DM是BC的垂直平分线又∠AOC=2∠ABC.(同弧圆心角是圆周角的∴∠ACE=∠ADE.(同弧圆周角相等∴∠ADE=∠ABC.∴DE//BC∴∠BDC=180?-2∠DBC=180?-∠AOC=∠AEC.∴A,D,C,E四点共圆.),∠ABC)篇二:初等几何研究试题答案(1)(李长明版)初等几何研究试题答案(I)一、线段与角的相等1. ⊙O1、⊙O2相交于A、B,⊙O1的弦BC交⊙O2于E,⊙O2的弦BD交⊙O1于F, 求证: (1)若∠DBA=∠CBA,则DF=CE; (2) 若DF=CE,则∠DBA=∠CBA.证明:(1)连接AC、AE、AF、AD在⊙O1中,由∠CBA=∠DBA得AC=AF在⊙O2中,由∠CBA=∠DBA得AE=AD由A、C、B、E四点共圆得∠1=∠2由A、D、B、E四点共圆得∠3=∠4所以△ACE≌△AFD∴DF=CE(2)由(1)得∠1=∠2,∠3=∠4∵DF=CE∴△ACE≌△AFD∴AD=AE在⊙O2中,由AD=AE可得∠DBA=∠CBA2. 在△ABC中,AC=BC,∠ACB=90O ,D是AC上的一点,AE⊥BD的延长线于E,又AE=BD, 求证:BD平分∠ABC.12证明:延长AE,BC交于点F∠AED=∠BCA=90? ∠ADE=∠BDC∴∠CBD=∠CAF又∠ACF=∠BCA=90? AC=BC∴?ACF??BCD∴AF=BD11BD∴AE=AF22又ABEE⊥BE又AE=∴BE平分∠ABF即BD平分∠ABC3. 已知在凸五边形ABCDE中,∠BAE=3α,BC=CD=DE,且∠BCD=∠CDE=180o-2α,求证:∠BAC=∠CAD=∠DAE.证明:连接BD,得ΔCBD是等腰三角形且底角是∠CDB=[180o-(180o-2α)]÷2=α. ∴∠BDE=(180°-2α)-α=180o -3α ∴A、B、D、E共圆同理A、C、D、E共圆∴∠BAC=∠CAD=∠DAE4. 设H为锐角△ABC的垂心,若AH等于外接圆的半径. 求证:∠BAC=60o证明:过点B作BD⊥BC,交圆周于点D,连结CD、ADC ∵∠DBC=90o, ∴CD是直径,则∠CAD=90o由题,可得AH⊥BC, BH⊥AC∴BD∥AH, AD∥BH∴四边形ADBH是□ ∴AH=BD又∵AH等于外接圆的半径(R) ∴BD=R,而CD=2R ∴在Rt△BCD中,CD=2BD,即∠BCD=30o ∴∠BDC=60o又∵∠BAC=∠BDC∴∠BAC=∠BDC=60o5. 在△ABC中,∠C=90o,BE是∠B的平分线,CD是斜边上的高,过BE、CD之交点O且平行于AB的直线分别交AC、BC于F、G,求证AF=CE.证明:如图∵∠1=∠3,∠1=∠2.∴∠2=∠3,∴GB = GO, ∵ ∠5=∠4=∠6,∴CO =CE,∵ FG∥AB,∴AF/CF=BG/CG=GO/CG, 又∵△FCO∽△COG,∴CO/CF=GO/CG=AF /CF, ∴CO=AF,∵CO=CE,∴AF=CE.6. 在△ABC中,先作角A、B的平分线,再从点C作上二角的平分线值平行线,并连结它们的交点D、E,若DE∥BA,求证:△ABC等腰.证:如图所示设AC、ED的交点为F∵AD是∠A的平分线∴∠1=∠2 ∵DE∥AB ∴∠1=∠3∵CE∥AD ∴∠3=∠5, ∠4=∠2 ∴∠1=∠2=∠3=∠4=∠5 则△FAD和△FCE是等腰三角形∴AF=DF,EF=CF ∴AC=DE同理可证BC=DE ∴AC=BC∴△ABC是等腰三角形篇三:初等数学研究课后习题答案初等代数研究课后习题201X1115033数学院07(1)杨明1、证明自然数的顺序关系具有对逆性与全序性,即(1)对任何a,b∈N,当且仅当a<b时,b>a.(2))对任何a,b∈N,在a<b,a=b,a>b中有且只有一个成立.证明:对任何a,b∈N,设A=a,B=b,,,(1)“?” a<b,则?B?B,使A~B,∴B?B~A,∴b>a ==,,,“?” b>a,则?B?B,使B~A,∴A~B?B,∴a<b综上对任何a,b∈N,a<b?b>a(2)由(1)a<b?b>a ∴a<b与a>b不可能同时成立,,,假设∴a<b与a=b同时成立,则?B?B,使A~B且A~B,∴B~B,与B为有限集矛盾,∴a<b与a=b不可能同时成立,综上,对任何a,b∈N,在a<b,a=b,a>b中有且只有一个成立..2、证明自然数的加法满足交换律.证明:对任何a,b∈N设M为使等式a+b=b+a成立的所有b组成的集合先证 a+1=1+a,设满足此式的a组成集合k,显然有1+1=1+1成立∴1∈k≠φ,设a∈k,a+1=1+a,则a++1=(a+)+=(a+1)+=(1+a)+=1+a++∴a∈k,∴k=N,取定a,则1∈M≠φ,设b∈M,a+b=b+a,则a+b=(a+b)+++ =(b+a)=b+ + a∴b+∈M,∴M=N∴ 对任何a,b∈N,a+b=b+a3、证明自然数的乘法是唯一存在的证明:唯一性:取定a,反证:假设至少有两个对应关系f,g,对?b∈N,有∈) f(b),g(bN,设M是由使f(b)=g(b)成立的所有的b组成的集合,f(b)=g(b)=a?1 ∴1∈M≠φ设b∈N则f(b)=g(b)∴f(b)+a=g(b)+a∴f(b+)=g(b+),∴b+∈M,∴M=N 即?b∈N,f(b)=g(b)乘法是唯一的存在性:设乘法存在的所有a组成集合K 当a=1时,?b∈N,1?1=1,1?b+=b+=b+1=1?b+1∴1∈k≠φ,设a∈K,?b∈N,有a,b与它对应,且1?a=a,ab=ab+a,对?b∈N,令ab=ab+b ++a+?1=a?1+1=a+1=a+a+b+=ab++b+=ab+a+b+1=(ab+b)+(a+1)=a+b+a+∴a+∈K ∴K=N 即乘法存在p24—5、解:满足条件的A有A1,2},A2={1,2,3},A3={1,2,4},A4={1,2,5}1={A5={1,2,3,,4A}6={1,2,3,5},A7={1,2,4,5},A8={1,2,3,4,5}∴A1=2,A2=A3=A4=3,A5=A6=A7=4,A8=5基数和为2+3?3+4?3+5=28 p24—6、证明:A=a,B=b,A中的x与B中的y对应 ========∴A?B=ab,∴B?A=ba=abA?B=ab ∴A?B=A?B=B? Ap24—8、证明:1)3+4=7+++ 3+1=3=43+2=3+1=(3+1)=4=++++ 3+3=3+2=(3+2)=5=63+4=3+3=(3+3)=6=72)3?4=12 +++3?1=33?2=3?+1=3?1+3= 63?3=3?2+=3?2+3=93?4=3?3+=3?3+3=12p24—12、证明:1)(m+n)=m+n(m+n)=m+n+1=(m+1)+n=m+n++++++++++2)(mn+)+=nm+m+(mn+)+=mn++1=mn+(m+1)=nm+m+p26—36、已知f(m,n)对任何m,n∈N满足f(1,n)=n+1??f(m+1,1)=f(m,2)??f(m+1,n+1)=f(m,f(m+1,n))?求证:1)f(2,n)=n+22)f(3,n)=2n+23)f(4,n)=2n+1-2证明:1)当n=1时,f(2,1)=f(1+1,1)=f(1,2)=2+1=1+2结论成立,假设n=k时,结论成立,即f(2,k)=k+2,当n=k+1时,f(2,k+1)=f(1+1,k+1)=f(1,f(2,k)) =f(1,k+2)=(k+2)+1=(k+1)+2 所以对一切自然数结论都成立2)当n=1时,f(3,n)=f(2+1,n)=f(2,2)=2+2=2?1+2结论成立假设n=k时,结论成立,即f(3,k)=2k+2当n=k+1时,f(3,k+1)=f(2+1,k+1)=f(2,f(3,k)) =f(2,2k+2)=2k+2+2=2(k+1)+2所以对一切自然数结论都成立3)当n=1时,f(4,1)=f(3+1,1)=f(3,2)=2?2-2=2假设n=k时,结论成立,即f(4,k)=2当n=k+1时,k+11+1-2结论成立 -2 f(4,k+1)=f(3,f(4,k))=f(3,2k+1-2)=2(2k+1-2)+2=2k+2-2所以对一切自然数结论都成立p62—1、证明定理2.1证明:?[a,b],[c,d]∈Z,[a,b]+[c,d]=[a+c,b+d]因为自然数加法满足交换律∴[a+c,b+d]=[c+a,d+b]而[c,d]+[a,b]=[c+a,d+b]∴[a,b]+[c,d]=[c,d]+[a,b]?[a,b],[c,d],[e,f]∈Z,[a,b]+[c,d]+[e,f]=[a+c,b+d]+[e,f]=[(a+c)+e,(b+d)+f]以为自然数满足加法结合律∴([a,b]+[c,d])+[e,f]=[a,b]+([c,d]+[e,f]) 即整数加法满足交换律和结合律p62—2、已知[a,b],[c,d]∈Z,求证[a,b]=[c,d]的充要条件是[a,b]-[c,d]=[1,1]证明:“?” 已知[a,b]=[c,d]则a+d=b+c∴[a,b]-[c,d]=[a+d,b+c]=[1,1]“?” 已知[a,b]-[c,d]=[1,1]则[a+d,b+c]=[1,1],a+d=b+c=[c,d ] ∴[a,b]p62—4、已知a,b∈N,求证-(-[a,b])=[a,b]a,b])=-b[a,=]a[ b,证明:-[a,b]=[b,a]-(-[p62—5、已知[a,b],[c,d]∈Z,求证-([a,b]-[c,d])=-[a,b]+[c,d]证明:左边-([a,b]-[c,d])=-[a+d,b+c]=[b+c,a+d]右边-[a,b]+[c,d]=[b,a]+[c,d]=[b+c,a+d]所以左边等于右边∴-([a,b]-[c,d])=-[a,b]+[c,d]p62—7、已知a,b,c∈N,求证当且仅当a+d<b+c时[a,b]<[c,d]证明:“?” 已知a+d<b+c,[a,b]-[c,d]=[a+d,b+c]] 因为a+d<b+c ∴[a+d,b+c是负数,∴[a,b]<[c,d]“?” 已知[a,b]<[c,d]则[a,b]-[c,d]=[a+d,b+c]因为[a+d,b+c]是负数,∴a+d<b+cp62—9、已知α,β∈Z,求证:1)α+β≤α+证明:设α=[a,b],β=[c,d] β,2)αβ=β1)α+β=[a+c,b+d] ∴α+β=(a+c)-(b +)而α=a-b,β=c-d(a+c)-(b+)(a-b)+(cd≤b+c -d∴α+β≤α+β2)αβ=[ac+bd,ad+bc]∴αβ=ac+bd-(ad+bc)而α=a-b,β=c-dac+bd-(ad+bc)=a(c-d)+b(d-c)=(a-b)(c-d)=a-bc-d ∴αβ=αβp63—12、n名棋手每两个比赛一次,没有平局,若第k名胜负的次数各为ak,bk,2222k=1,2,........,n,求证:a12+a2 +...+an=b12+b2+...+bn证明:对于ak(k=1,2,...,n),必存在一个bj(j=1,2,...,n)使得ak=bj2222 ?ak=bj(k,j=1,2,...,n)∴a1+a2+...+an2=b1+b+...+bn 222p63—16、已知pa-b,pc-d,求证pad-bc证明:由已知:?s,t∈Z使10a-b=ps,10c-d=pt? b=10a-ps,d=10c-pt∴ad-bc=10ac-apt-(10ac-cps)=p(cs-at)∴pad-bc2p63—17、设2不整除a,求证8a+1证明:因为2不整除a,所以存在唯一一对q,r∈Z,使a=2q+r,其中0<r<2 2222 ?r=1,∴a=4q+4q+1?a-1=4q(q+1)∴8a-1。
A 卷一1.在三线段a,b,c 中,欲证a=b+c ,可做线段p=b+c ,然后证 a=p2.反射轴相同的两个反射之积是 恒等变换3.轨迹的基本属性是指 纯粹性和完备性4.三大尺规作图的不可能问题是 化圆为方、倍立方、三等分角5.在ABC 与'''A B C 中,若'A A ∠=∠ ()'180A A ∠+∠=则'''''''ABC A B C S AB AC S A B A C = 二1. 三角形的三条中位线形成的三角形与原三角形关系是 相似2. 设E 、F 、G 、H 分别是ABCD 的AB 、BC 、CD 、AD 边上的中点,则四边形EFGH 是 平行四边形3. 下列变换中不是合同变换的是 位似比不等于±1的位似变换4.5三1. 设ABC 由一点M 与顶点A 、B 、C 的连线分别交BC 、CA 、AB 于点D 、E 、F ,求AM BM CM AD BE CF++2. 在ABC 的三边上分别取111,,222AE EC CD DB BF FA ===,求:DEF ABC S S1.在ABC中,M是BC的中点,求证:AB+AC>2AM2.证三角形三高线交于一点(西瓦准则)3.求作三角形,已知它的三条中线一1. 梅涅劳斯定理是证明 共线点 的有力工具2. 反射相同的两个反射的积是 恒等变换3. 在ABC 与'''A B C 中,若'A A ∠=∠ ()'180A A ∠+∠=则'''''''ABC A B C S AB AC S A B A C =4.轨迹的纯粹性是指 属于轨迹上的每一点都符合给定的条件 5.三大尺规作图的不可能问题是 化圆为方、倍立方、三等分角 二1.三角形的三条中位线形成的三角形与原三角形的面积之比是 1:4 2.在三角形的三高线、三中垂线和三中位线中,不共点的三线是 三中位线 3.正方形的一边与对角线之间 无公度 4.欧拉线上的三点是指 外心、垂心、重心 5.位似比为-1的位似变换是 中心对称 三1. 已知ABC 中,AB=8cm ,BC=6cm ,AC=10cm.求:(1)ABC S(2)AB 边上的高BD 的长2. 在ABC S 的三边上分别取111,,333AD AB BE BC CF CA ===,已知ABC S =3, 求:DEF S。
初等代数研究课后习题20071115033 数学院 07(1) 杨明1、证明自然数的顺序关系具有对逆性与全序性,即(1)对任何N b a ∈,,当且仅当b a <时,a b >.(2))对任何N b a ∈,,在b a <,b a =,b a >中有且只有一个成立.证明:对任何N b a ∈,,设a A ==,b B ==(1)“⇒” b a <,则B B ⊂∃,,使,~B A ,A B B ~,⊃∴,a b >∴“⇐” a b >,则B B ⊂∃,,使A B ~,,B B A ⊂∴,~,b a <∴综上 对任何N b a ∈,,b a <⇔a b >(2)由(1)b a <⇔a b > b a <∴与b a >不可能同时成立,假设b a <∴与b a =同时成立,则B B ⊂∃,,使,~B A 且B A ~, ,~B B ∴与B 为有限集矛盾,b a <∴与b a =不可能同时成立,综上,对任何N b a ∈,,在b a <,b a =,b a >中有且只有一个成立..2、证明自然数的加法满足交换律.证明:对任何N b a ∈,设M 为使等式a b b a +=+成立的所有b 组成的集合先证 a a +=+11,设满足此式的a 组成集合k ,显然有1+1=1+1成立φ≠∈∴k 1,设k a ∈,a a +=+11,则+++++++=+=+==+a a a a a 1)1()1()(1k a ∈∴+,N k =∴, 取定a ,则1M φ∈≠,设,b M a b b a ∈+=+,则 ()()a b a b b a b a +++++=+=+=+ ,b M M N +∴∈∴= ∴ 对任何N b a ∈,,a b b a +=+3、证明自然数的乘法是唯一存在的证明:唯一性:取定a ,反证:假设至少有两个对应关系,f g ,对b N ∀∈,有 (),()f b g b N ∈,设M 是由使()()f b g b =成立的所有的b 组成的集合,()()1f b g b a ==⋅ 1M φ∴∈≠ 设b N ∈则()()f b g b =()()f b a g b a ∴+=+ ()()f b g b ++∴=,b M +∴∈,M N ∴= 即b N ∀∈,()()f b g b =乘法是唯一的存在性:设乘法存在的所有a 组成集合K 当1a =时,b N ∀∈,111,1111b b b b ++⋅=⋅==+=⋅+ φ≠∈∴k 1,设a K ∈,b N ∀∈,有,a b 与它对应,且1a a ⋅=,ab ab a +=+,对b N ∀∈,令a b ab b +=+ 1111a a a a ++⋅=⋅+=+=1()(1)a b ab b ab a b ab b a a b a ++++++=+=+++=+++=+a K +∴∈ K N ∴= 即乘法存在p24—5、解:满足条件的A 有1{1,2}A =,2{1,2,3}A =,3{1,2,4}A =,4{1,2,5}A = 5{1,2,3,4}A =,6{1,2,3,5}A =,7{1,2,4,5}A =,8{1,2,3,4,5}A =123456782,3,4,5A A A A A A A A ========∴========基数和为23343528+⨯+⨯+= p24—6、证明:,A a B b ==,A 中的x 与B 中的y 对应 A B ab ∴⨯=,B A ba ab ∴⨯==A B ab ⨯= A B A B B A ∴⨯=⋅=⨯p24—8、证明:1)3+4=73134++== 3231(31)45++++=+=+== 3332(32)56++++=+=+==3433(33)67++++=+=+==2)3412⋅= 313⋅= 32313136+⋅=⋅=⋅+=33323239+⋅=⋅=⋅+=343333312+⋅=⋅=⋅+=p24—12、证明:1)()m n m n +++++=+()1(1)m n m n m n m n +++++++=++=++=+2)()mn nm m +++=+ ()1(1)mn mn mn m nm m ++++=+=++=+p26—36、已知(,)f m n 对任何,m n N ∈满足(1,)1(1,1)(,2)(1,1)(,(1,))f n n f m f m f m n f m f m n =+⎧⎪+=⎨⎪++=+⎩求证:1)(2,)2f n n =+2)(3,)22f n n =+3)1(4,)22n f n +=-证明:1)当1n =时,(2,1)(11,1)(1,2)2112f f f =+==+=+结论成立,假设n k =时,结论成立,即(2,)2f k k =+,当1n k =+时,(2,1)(11,1)(1,(2,))(1,2)(2)1(1)2f k f k f f k f k k k +=++==+=++=++ 所以对一切自然数结论都成立2)当1n =时,(3,)(21,)(2,2)22212f n f n f =+==+=⋅+结论成立假设n k =时,结论成立,即(3,)22f k k =+当1n k =+时,(3,1)(21,1)(2,(3,))(2,22)2222(1)2f k f k f f k f k k k +=++==+=++=++ 所以对一切自然数结论都成立3)当1n =时,11(4,1)(31,1)(3,2)22222f f f +=+==⨯-=-结论成立 假设n k =时,结论成立,即1(4,)22k f k +=- 当1n k =+时,112(4,1)(3,(4,))(3,22)2(22)222k k k f k f f k f ++++==-=-+=-所以对一切自然数结论都成立p62—1、证明定理2.1证明:[,],[,]a b c d Z ∀∈,[,][,][,]a b c d a c b d +=++因为自然数加法满足交换律[,][,]a c b d c a d b ∴++=++而[,][,][,]c d a b c a d b +=++[,][,][,][,]a b c d c d a b ∴+=+[,],[,],[,]a b c d e f Z ∀∈,[,][,][,][,][,][(),()]a b c d e f a c b d e f a c e b d f ++=+++=++++以为自然数满足加法结合律([,][,])[,][,]([,][,])a b c d e f a b c d e f ∴++=++ 即整数加法满足交换律和结合律p62—2、已知[,],[,]a b c d Z ∈,求证[,][,]a b c d =的充要条件是[,][,][1,1]a b c d -= 证明:“⇒” 已知[,][,]a b c d =则a d b c +=+[,][,][,][1,1]a b c d a d b c ∴-=++=“⇐” 已知[,][,][1,1]a b c d -=则[,][1,1]a d b c ++=,a d b c +=+[,][,]a b c d ∴=p62—4、已知N b a ∈,,求证([,])[,]a b a b --=证明:[,][,]a b b a -= ([,])[,][,]a b b a a b --=-=p62—5、已知[,],[,]a b c d Z ∈,求证([,][,])[,][,]a b c d a b c d --=-+证明:左边([,][,])[,][,]a b c d a d b c b c a d --=-++=++右边[,][,][,][,][,]a b c d b a c d b c a d -+=+=++所以左边等于右边([,][,])[,][,]a b c d a b c d ∴--=-+p62—7、已知,,a b c N ∈,求证当且仅当a d b c +<+时[,][,]a b c d <证明:“⇒” 已知a d b c +<+,[,][,][,]a b c d a d b c -=++因为 a d b c +<+ [,]a d b c ∴++是负数,[,][,]a b c d ∴<“⇐” 已知[,][,]a b c d <则[,][,][,]a b c d a d b c -=++因为[,]a d b c ++是负数,a d b c ∴+<+p62—9、已知,Z αβ∈,求证:1)αβαβ+≤+ ,2) αβαβ=证明:设[,],[,]a b c d αβ== 1)[,]a c b d αβ+=++ ()()a c b d αβ∴+=+-+而,a b c d αβ=-=-()()()()a c b d a b c d a b c d +-+=-+-≤-+-αβαβ∴+≤+2)[,]ac bd ad bc αβ=++ ()ac bd ad bc αβ∴=+-+而,a b c d αβ=-=-()()()()()ac bd ad bc a c d b d c a b c d a b c d +-+=-+-=--=-- αβαβ∴=p63—12、n 名棋手每两个比赛一次,没有平局,若第k 名胜负的次数各为,k k a b ,1,2,........,k n =,求证:2222221212......n n a a a b b b +++=+++ 证明:对于(1,2,...,)k a k n =,必存在一个(1,2,...,)j b j n =使得k j a b =⇒22(,1,2,...,)k j a b k j n == 2222221212......n n a a a b b b ∴+++=+++p63—16、已知10p a b -,10p c d -,求证p ad bc -证明:由已知:,s t Z ∃∈使10a b ps -=,10c d pt -=⇒ 10,10b a ps d c pt =-=-10(10)()ad bc ac apt ac cps p cs at ∴-=---=-p ad bc ∴-p63—17、设2不整除a ,求证281a +证明:因为2不整除a ,所以存在唯一一对,q r Z ∈,使2a q r =+,其中02r <<⇒1r =,22441a q q ∴=++⇒214(1)a q q -=+ 281a ∴-p63—20、设a Z ∈,求证(1)(2)(3)1a a a a ++++是奇数的平方证明:22222(1)(2)(3)1[(1)1](1)[(2)(2)1]1[(1)(1)][(2)(2)]1(1)(2)2(1)(2)1[(1)(2)1]a a a a a a a a a a a a a a a a a a ++++=+-+++++=+-+++++=++-+++=++- 1,2a a ++肯定一奇一偶(1)(2)a a ∴++肯定为偶数(1)(2)1a a ∴++-肯定为奇数p63—22、证明:前n 个自然数之和的个位数码不能是2、4、7、9证明:前n 个自然数的和为(1)2n n + 因为:n 个自然数的和仍为自然数∴ 1+n 与n 中必定一个为奇数一个为偶数若个位数码为2则1+n 与n 的个位数码只能是1,4或4,1而(1+n )- n=1 ∴个位数码不能为2若个位数码为4则1+n 与n 的个位数码只能是1,8或8,1也不可能成立若个位数码为7则1+n 与n 的个位数码有2种可能,则2,7或1,14也不可能成立,若个位数码为9则1+n 与n 的个位数码有2种可能,即2,9或1,18也不可能成立,综上,前n 个自然数和的个位数码不能是2,4,7,9p63—26、证明2.3定理1(12,,......,n a a a )=(12,,......n a a a )证明:因为:(12,,......,n a a a )是12,,......n a a a 的公因数中的最大数所以R 需考虑非负整数 ∴(12,,......,n a a a )=(12,,......n a a a ) p63—29、证明2.3定理4的推论(,)1a b =的充要条件是有,x y Z ∈使得1ax by += 证明:因为(,)1a b = ,a b ∴不全为0“⇒” 由定理4 ,x y Z ∃∈使(,)1ax by a b +==“⇐” 设(,)a b d =则,d a d b ,d ax by ∴+ 1d ∴ (,)1d a b ∴== p63—30、证明2.3定理6及其推论。
习题五1(1)条件不等式 (2) 条件不等式 (3)绝对不等式 (4) 矛盾不等式 2 (1)不正确,如-1>-2,-3>-4,但3<8. (2)不正确,如1672⨯>⨯但62<. (3)不正确,如62>但.0602⨯=⨯ (4)不正确,如22->但;2121-> (5)不正确,如22->,,2=n 但2-无意义.(6)正确, 要证).1)(1())((b b b a b a -+>-+即证2221b -a b ->显然成立. 3-+)(44b a 解:)(33ab b a +=.0]43)21[()()()(22233≥++-=-+-b b a b a a b b b a a 即: 44b a +≥33ab b a +.4证明:假设命题成立,将两边平方,得.5226->- (1) 将(1)两边平方,得.58246->)(⨯即 549->- )(⨯ (2) 将(2)两边平方,得.8081>末式显然成立,又各步皆可逆,所以原命题成立.正确的证法: 假设命题成立,将两边平方,得.5226->-即.2526-< (1) 将(1)两边平方,得.58246-<即 549> (2) 将(2)两边平方,得.8081>末式显然成立,又各步皆可逆,所以原命题成立.5(1)证明:0)1()1()()1(222222≥-+-+-=+---+y x y x y x xy y x即.0122≥+---+y x xy y x(2)证明:.0101)9910(1019910223>++-=++-x x x x x x 6 证明:当1=n 时,左边=1,右边=1,即.11≥假设命题当k n =时成立,即.!1)122()52)(32)(12(k k k k k k ≥----- 当1+=k n 时,)1122()152)(132)(112(++-+-+-+-k k k k k)1122)(122()52)(32)(12(++------>k k k k k k k !1k ≥)1122(++-k k =)!1(1+k .7证明:(1)左边平方得dc bc ad ab +++;左边平方得cd abcd ab ++2;而≥+bc ad ,2abcd 即dc bc ad ab +++≥cd abcd ab ++2. 则.))((cd ab d b c a +≥++(2) 要证上式成立,即证:213312321123231321321321b b a b b a b b a b a a b a a b a a b b b a a a +++++++≥33212321321321)(3b b b a a a b b b a a a ++32321321)(3b b b a a a +;等号当i i kb a =成立。
2.对自然数证明乘法单调性:设a,b,c∈N则(1)若a=b,则ac=bc(2)若a<b,则ac<bc(3)若a>b,则ac>bc证明:(1)设命题能成立的所有c组成的集合M.∵a·1=b·1∴1∈M假设c∈M即则(ac) ′= (bc) ′﹤=﹥ac + 1 = bc + 1 重复以上过程a次,可得到ac + a = bc + a = bc + b即a(c+1) = b(c+1)∴c∈M由归纳公理知M = N.所以命题对任意自然数c成立(2)若a < b,则有k∈N,使得a + k = b,由(1) (a + k)c = bcac + kc = bc﹤=﹥ac < bc(3)依据(2)由对逆性可得。
7.设α=(3+13) / 2 , β=( 3-13) / 2 , An= (αn-βn)/ 13(n=1,2,…..).(1) 以α,β为根作一元二次方程;(2) 证明A n+2=3A n+1+A n;(3) 用数学归纳法证明A3n 是10的倍数;解:(1) α+ β=3, α β=-1,∴由韦达定理得以α,β为根作一元二次方程为:X2-3X-1=0(2) 证:3A n+1+A n=3(αn+1-βn+1)/13+(αn-βn)/13=( α+ β) (αn+1-βn+1) /13+(αn-βn)/13= (αn+2 -βn+2 - α βn+1 + β αn+1 + αn- βn)/13= (αn+2 -βn+2)/13=A n+2(3) 证:①当n=1时,有A3 =10,则10| A3。
②假设当n=k时,有10| A3k则当n=k+1时,A3k+3 = 3A 3k+2+A3k+1=3(3A 3k+1+A3k) +A3k+1=10 A 3k+1 +3 A3k10|10 A 3k+1 , 10| 3A3。
∴ 10|10 A 3k+3由①②得,对∀n∈N*,有10| A3n。
习题一1、数系扩展的原则是什么有哪两种扩展方式(P9——P10) 答:设数系A 扩展后得到新数系为B ,则数系扩展原则为:(1)B A ⊂(2)A 的元素间所定义的一些运算或几本性质,在B 中被重新定义。
而且对于A 的元素来说,重新定义的运算和关系与A 中原来的意义完全一致。
(3)在A 中不是总能实施的某种运算,在B 中总能施行。
(4)在同构的意义下,B 应当是A 的满足上述三原则的最小扩展,而且有A 唯一确定。
数系扩展的方式有两种:(1)添加元素法。
(2)构造法。
2、对自然数证明乘法单调性:设,,,a b c N ∈则(1),;a b ac bc ==若则(2),;a b ac bc <<若则(3),a b ac bc >>若则;证明:(1)设命题能成立的所有C 组成集合M 。
a b,a a 1,b b 1,P13(1),(1)a 111,a ac a c ac a bc b c bc b b Mc M c bc==⋅=⋅=+=+=+=+''∴⋅=⋅∴∈∈= (规定)假设即ac ,ac a c .bc a ba bcbc bc M ==∴+=+∴=''∴∈'又 由归纳公理知,,N M =所以命题对任意自然数成立。
(2),,.a b b a k k N <=+∈若则有 (P17定义9)由(1)有()bc a k c =+a c kc =+ac bc ∴< (P17.定义9)或:,,.a b b a k k N <=+∈若则有 bc ()a k c ac kc =+=+ ()ac ac kc a k c bc ∴<+=+=.ac bc ∴=(3),,.a b a b k k N >=+∈若则有a ().cb kc bc kc =+<+ac bc ∴>3、对自然数证明乘法消去律:,,,a b c N ∈设则(1),;ac bc a b ==若则(2)ac bc a b <<若,则;(3)ac bc a b >>若,则。
证明(1)(用反证法),a .a b a b b ≠><假设则有或,a b ac bc ac bc >>=若有和矛盾。
,,a b ac bc ac bc <<<若有也和矛盾。
a .b a b ≠=故假设不真,所以(2)方法同上。
(3)方法同上。
4、依据序数理论推求:135+(),235⋅() 解: 1313134++=='()先求,,(P16.例1)323231(31)45,++=+=+=='''再求,3333323256++=+=+=='''再求,(),35343478.+=+=+=='''如此等等,直至()(2)31313⋅⋅=先求,,3232313136⋅⋅=⋅=⋅+='再求,,333332323639⋅⋅=⋅=⋅+=+='再求,,353434312315.⋅=⋅=⋅+=+='如此等等,直至5、设n N ∈,证明n 415n 1+-是9的倍数。
证明:1n 141511189,1n =+⨯-==①当时,是的倍数故时命题成立。
k n k 415k 19=+-②假设当时,命题成立。
即是的倍数。
则当n=k+1时:k 1k 415k 114415k 1315k 18441519(52)k k k +++-=+--⨯+=+---()()()。
944151-952k k k ∴+--是的倍数()()19415(1)1k k +∴++-是的倍数1n k ∴=-当时,命题成立。
由①,②知,对于任一自然数n 成立。
6、用数学归纳法证明下式对于任意自然数都成立: 24444121-1-1-1-.19251221n n n +⋅⋅⋅=--()()()()()证明:412111--3-3.11-21n +⨯======⨯当时,左边,右边左边右边。
1n =故当时,等式成立。
n k =假设当时,等式成立,即:24444121-1-1-1-).19251221k k k +⋅⋅⋅=--()()()(()1n k =+则当时,有:22444411-1-1-1-)(1)1925(2k 1)(21)k ⋅⋅⋅--+()()()( 2(21)(23)12(1)121(1)12(12)(21)12(1)(21)k k k k k k k k k -++++=⋅-==⋅--+-++ 1.n k ∴=+当时,命题也成立。
由、知,对任意自然数n 命题成立。
41599k k +-是的倍数 9(52)9k -,是的倍数7、n (1,2...)n n A n αβ====设 (1)αβ以、为根作一元二次方程;(2)213;n n n A A A ++=+证明(3)3n 10A 用数学归纳法证明是的倍数。
解:(1)3-1αβαβ+==⋅==, 2310.x x αβ∴--=以,为根的一元二次方程为: (2)22313 1.αβααββ=+=+以,代入以上方程,得:, 2222n 2n n n n n n A+++∴=== n 113n n n++=n 13.n A A +=+(3)2232113310.n A A A ==+==当时, 1n =故命题对成立:3k 10.n k A =假设当时,命题成立,即是的倍数32(31)3k 113k k n k A A A +++=+=+()则当时,有: 3k 133133k k A A A ++=++() 3k 13103k A A +=+12n 211,3,3n n A A A A A ++=∈N =∈N =+又故经递推式所得的各个数皆为自然数,因此,3k 1.A +∈N3(k+1)10A ∴也是的倍数。
3k ()10A n ∴∈N 是的倍数。
8、,,,,a ()b c a b c a b b c κρκρ+,设都是整数。
如果则对于任何整数都有证明: 112212121212a b a?()c ()b .c .b m .m .a ()ab cm m z m a m z m a m a c m a m am a m b c κκρρκρκρκρκρκρ∴=∈=∈∴==∴+=+=++∈Z ∴+, ()又()9.证明整数集具有离散性.证明: (反证法)假设整数集不具有离散性,即在相邻整数a 和a+1之间存在b ,1a b a ∈Z <<+使。
依据加法单调性,(1)(1)1(1)a a b a a a +-<+-<++- , 即11()2b a <+-<1b a ⎡⎤⎣⎦+-∈N ().这就和自然数集具有离散性相矛盾。
10、证明:有理数乘法满足结合律。
证明:,,,()a b c Q ab c a bc ∈=设要证:() (1)当a,b,c 中至少有一个为零。
(1)显然成立。
设a,b,c 都不为零。
因为算术数乘法满足结合律,故a ()bc a b c ⋅⋅=⋅⋅()。
故(1)两边的绝对值相等。
如果a,b,c 中有一个或三个都是负数,则(1)两边都为负数;如果a,b,c 中没有负数或有两个负数,则(1)两边都是正数,说明(1)两边的符号相同。
因此(1)成立。
11、指出下列集合中可以畅通无阻的算术运算,并且判断哪些集合构成数环:{}10(); {}21(); 3N (); {}40N (); 5Q +();6()奇数集合;7()偶数集合;{}8036,3n ±±⋅⋅⋅±(),,,。
答:(1)加,乘,成环(2)乘,除(3)加,乘(4)加,乘(5)加,乘,除(6)乘(7)加,乘,成环(8)加,乘,成环12、设有n 个正分数 312123.n n a a a a a b b b <<<⋅⋅⋅< (分母为正分数) 求证:112112a n n n n a a a ab b b b b ++⋅⋅⋅+<<++⋅⋅⋅+. 证明: 设1212m ,a a b b =M = 12121212a a ab b a b b <⇒< 32232323a a ab b a b b <⇒< 34343434a a ab b a b b <⇒<m <M 11111mb b mb a b ∴<M ⇒=<M (1) 22m b b ∴<M 122122111m a b b b a a b b =⋅<⋅=又 即2222m ,a b a b =<M 而222m b a b ∴<<M (2)223mb a b <<M 同理: (3)n n n mb a b <<M (n)12n ++⋅⋅⋅+()()()121212m()()n n n b b b a a a b b b ++⋅⋅⋅+<++⋅⋅⋅+<M ++⋅⋅⋅+1212m n na a ab b b ++⋅⋅⋅+∴<<M ++⋅⋅⋅+ 112112a n n n na a a ab b b b b ++⋅⋅⋅+<<++⋅⋅⋅+即. 13.近似计算:()4311.210+1.53105003.6⨯⨯+()243.260.3824-()332.264 2.13⨯()()34 2.6310 2.43564⨯÷3344333333(1) 1.2 1.53105003.6=1210 1.5310 5.003610 =(12+1.53+5.0036)10 (12 1.5 5.0)10 =18.5101910 =1.910⨯+⨯+⨯+⨯+⨯⨯≈++⨯⨯≈⨯⨯解:解法一:10 4334444441.210 1.53105003.6=1.2100.153100.5003610(1.20.1530.50036)10(1.20.150.50)10=1.85101.910⨯+⨯+⨯+⨯+⨯=++⨯≈++⨯⨯≈⨯解法二:(2)43.260.382443.260.38242.87842.88-≈-=≈(3)32.264 2.1332.26 2.1368.713868.7⨯≈⨯=≈ 3333(4)(2.6310) 2.43564(2.6310) 2.4361.079101.0810⨯÷≈⨯÷≈⨯≈⨯ 14.已知近似数的相对误差界是000.02,.是确定它的绝对误差界,并指出它的有效数字的个数。
00=2315.40.02=0.463080.5∆⨯≈解:故近似数精确到个位所以有效数字有4个15.22 3.1416 1.7321=4.5511 4.551ππ≈⨯-≈计算0.001.解:2*16.,,,,S=.a b c d Q x ax b ad bc cx d∈+=+设是无理数。