2-庚酮的合成实验报告
- 格式:pdf
- 大小:235.20 KB
- 文档页数:6
实验二十五一种昆虫信息素——2-庚酮的合成[实验目的] 了解昆虫信息素的有关知识及其应用,熟悉合成2-庚酮的原理和方法,掌握克莱森酯缩合及乙酰乙酸乙酯合成法在药物合成上的应用。
[实验原理][实验药品] 乙酸乙酯 22 g,金属钠2.5 g 醋酸,氯化钠,5%碳酸钠,无水硫酸镁,绝对乙醇50 mL,金属钠2.3 g,碘化钾1.2 g,乙酰乙酸乙酯13 g,正溴丁烷15.1 g,盐酸,无水硫酸镁,氢氧化钠,浓H2SO4,40%CaCl2溶液,二氯甲烷[仪器设备] 真空泵,红外光谱仪,氢核磁共振仪[实验步骤] 1、乙酰乙酸乙酯的合成在干燥的100 ml圆底烧瓶中,加入24.5 ml乙酸乙酯和2.5g金属钠丝。
装上回流冷凝管,冷凝管上口预先装上氯化钙干燥管。
用热水浴加热回流直至金属钠全部作用完。
冷却,拆去冷凝管,在冷水浴冷却状态下边振荡边向烧瓶缓缓滴加50%醋酸水溶液,使溶液呈弱酸性,将反应液用氯化钠饱和。
静置,用分液漏斗分离出酯层,水层用10 ml乙酸乙酯萃取一次,合并酯层及萃取液,用5%碳酸钠溶液洗至中性,水洗后用无水硫酸镁干燥。
分离干燥剂,液体用100 ml克氏蒸馏瓶先蒸除低沸点的乙酸乙酯,然后减压蒸馏,收集80-83℃/20 mmHg×133.3Pa馏分,产量:4-5g。
记录乙酰乙酸乙酯的红外光谱和核磁共振谱。
2、正丁基乙酰乙酸乙酯的合成在250 mL三颈圆底烧瓶上,装置回流冷凝管和滴液漏斗,在冷凝管的顶端装上氯化钙的干燥管。
瓶中加入2.3 g(0.1 mol)切成细条的新鲜金属钠,由滴液漏斗逐渐加入50 mL绝对乙醇,控制加入速度使乙醇保持沸腾。
待金属钠作用完毕后,加入1.2 g粉状碘化钾,并在水浴上加热至沸,直至固体溶解,然后加入13 g乙酰乙酸乙酯(0.1 mol)。
在加热回流下加入15.1 g正溴丁烷(0.11 mol),继续回流3 h。
待反应溶液冷却后,过滤溶液以除去溴化钠晶体,常压蒸去乙醇。
2-庚酮的制备摘要:本实验以正丁基乙酰乙酸乙酯为原料,在弱碱性条件搅拌半小时,温度控制在80℃左右,在搅拌下慢慢加入稀硫酸溶液其间进行多次蒸馏和萃取,最后得出产物为无色液体,称重得1.8克,计算产率为72%关键词:2-庚酮;蒸馏;萃取;回流;绝对乙醇一.前言2-庚酮是一种存在于成年工蜂和小黄蚁体内的昆虫警戒信息素,微量存在丁香油、肉桂油和椰子油中,具有强烈的水果香味,可用作香精的添加剂2-庚酮的制备,合成方法归纳起来主要有天然原料提取法、格氏试剂法、生物发酵法、乙酰乙酸乙酯法、丙二酸二乙酯法、羟醛缩合法、催化加氢法和气相法等,本实验用乙酰乙酸乙酯法,先用乙酰乙酸乙酯和正丁基溴缩合,然后再稀碱中水解,再在稀酸中脱羧生成2-庚酮。
二、实验部分1、实验仪器及药品仪器:回流冷凝管100mL圆底烧瓶、氯化钙干燥管、分液漏斗、锥形瓶、蒸馏头、温度计(200℃)、冷凝管、接收弯头、三口瓶(100mmL 250mL)、滴液漏斗、玻璃棒、试剂:金属钠、99%乙醇、邻苯二甲酸二乙酯、绝对乙醇、碘化钾、乙酰乙酸乙酯、正溴丁烷、盐酸、二氯甲烷、无水硫酸镁、氢氧化钠、正丁基乙酰乙酸乙酯、硫酸、氯化钙溶液可能副反应:4、实验步骤及现象三、实验结果产物为2-庚酮,无色液体,称量后得1.8g,理论产值为2.5g,因此计算产率为1.8g/2.5g*100%=72%。
四、实验结果分析及讨论得出的产品质量为1.8g,产率为72%,与理论产值相差不大,导致产率低的原因有:1、所制备的原料不纯2、仪器不干净,密封不严实3、蒸馏与回流中温度控制的不是很好4、萃取和过滤时有损耗5、转移试剂时也有损耗做实验时应该谨慎小心,称取或量取时要准确,在制备无水乙醇时要特别注意,所用仪器要干燥,之后的馏分收集要用磨口的锥形瓶,防止产品挥发。
参考文献[①]作者:王清廉、李瀛、高坤等;2009年;出版物:《有机化学实验<第三板>》;出版社:高等教育出版社;页码:451、296-297。
中山大学有机化学实验报告有机化学实验报告2中山大学有机化学实验报告有机化学实验报告2中山大学工学院201*级生物医学工程专业《有机化学》课程实验报告姓名唐颖学号12312042成绩日期同组姓名指导教师戴箭实验名称:丁香酚的提取和分离一、实验目的:1、了解丁香酚的提取、分离方法。
2、掌握水蒸气蒸馏、分液漏斗的液-液萃取等基本操作技术。
二、仪器直形冷凝管、10ml圆底烧瓶、微型蒸馒头、分液漏斗、长滴管、3ml离心管、10ml锥形瓶、5ml量筒、天平三、药品丁香花蕾、乙酸乙酯、5%氢氧化钠、1:1盐酸溶液、PH试纸四、实验原理五、实验步骤及数据记录丁香为桃金娘科植物丁香Syzygiumaromaticum(L.)Merr.et.Perry的花蕾,是一种常用的中药。
丁香含挥发油16-19%,油中主要含有丁香酚(Eugenol,CHO)80-87%,β-丁香烯(β-Caryophyllene,CH)9.12%,乙酰丁香酚(Acetyleugenol)中山大学工学院201*级生物医学工程专业7.33%,此外尚含有其他的微量成分:2-庚酮、水杨酸甲酯、α-丁香烯、苯甲醛、苯甲醇、乙酸苯甲酯、间甲氧基苯甲醛、衣兰烯等。
丁香挥发油(简称丁香油),是一种局部麻醉镇痛药,药典规定丁香油含丁香酚不少于85%。
丁香油主要用于治龋齿,兼有杀菌作用,并用作芳香剂及香料,也可以配制风油精等外用药。
丁香油为无色或淡黄色液体,具有香味和挥发性成分与非挥发性成分,然后再用乙酸乙酯萃取蒸馏出来的挥发性成分,即得丁香油。
丁香酚是一种黄色油状物,沸点bp=225℃,相对密度(比重)d=1.0664,折光率n=1.5410.丁香酚可以溶于氢氧化钠溶液中,以钠盐的形式存在,加酸酸化可使丁香酚游离出来。
因此,为了提取分离丁香中的丁香酚,一般采用水蒸气蒸馏的方法提取其挥发油,然后根据酚羟基的性质,用氢氧化钠溶液萃取分离丁香酚,酸化后再用乙酸乙酯提取,最后蒸馏回收乙酸乙酯,即可以得到丁香酚。
合成化学实验报告班级姓名合作者XXXXX大学化学化工系实验者基本信息书写要求一、实验题目二、实验内容简介(摘要):简单介绍本次实验的目的、意义、产物应用领域、通过实验,了解相关领域的基本知识,实验方法与实验结果的简单叙述。
三、实验药品与仪器写出实验中所涉及到的主要的化学试剂的物理常数、规格、用量、生产厂家;实验仪器型号、生产厂家。
四、实验原理与方法:用化学反应式表述反应过程、必要时可配有必要的文字说明。
五、实验步骤与实验现象、实验数据记录:以简练的语言描述实验过程、实验现象、实验数据。
实验现象、实验数据必须当时完成,不得事后补填。
六、实验结果与数据处理:必须指出实验结论、对产物用文字(如外观、状态、颜色、气味等)和数据(如产率、体积、质量、产率、熔点、沸程、折光率等)进行描述七、分析与讨论实验结束后,应仔细分析实验现象、实验数据、从理论上、实验技术上对实验作出有价值论断,指出实验要点、技巧;自己实验的不足、改进的方法;对实验方法的合理化建议等。
实验分析要理论结合实际,要对实验有深刻的理解。
八、回答问题对课后思考题作出符合题意的解答。
说明:课前预习写在实验报告上(包括实验题目、摘要、仪器与药品、实验步骤),数据在实验过程中填写,分析讨论、回答问题课后写,实验三天后交报告。
实验目的:实验原理:实验仪器和化学试剂第页 /共页第页/共页实验结果与数据处理实验成绩和评语第页/共页实验一Jone’s试剂氧化法制备薄荷酮薄荷酮存在于天然植物中,用于香精和香料的制造。
薄荷醇有8种异构体。
从天然薄荷油中分离所得到的是左旋薄荷醇,它是薄荷植物的主要成分,有杀菌、防腐的作用,广泛用于医药、饮料、香料和化妆品工业。
(-)-薄荷醇和(-)-薄荷酮都具有稳定的全平状构象。
实验目的:1.了解Jone’s试剂及其氧化反应特点2.学习半微量合成技术/减压蒸馏技术3.学习薄层展开技术实验原理:Jone's试剂试剂与用量:薄荷醇1.0g(4.0m mol); 丙酮20mL; 三氧化铬,硫酸。
2-庚酮的制备摘要:本实验以正丁基乙酰乙酸乙酯为原料,在弱碱性条件搅拌半小时,温度控制在80℃左右,在搅拌下慢慢加入稀硫酸溶液其间进行多次蒸馏和萃取,最后得出产物为无色液体,称重得1.8克,计算产率为72%关键词:2-庚酮;蒸馏;萃取;回流;绝对乙醇一.前言2-庚酮是一种存在于成年工蜂和小黄蚁体内的昆虫警戒信息素,微量存在丁香油、肉桂油和椰子油中,具有强烈的水果香味,可用作香精的添加剂2-庚酮的制备,合成方法归纳起来主要有天然原料提取法、格氏试剂法、生物发酵法、乙酰乙酸乙酯法、丙二酸二乙酯法、羟醛缩合法、催化加氢法和气相法等,本实验用乙酰乙酸乙酯法,先用乙酰乙酸乙酯和正丁基溴缩合,然后再稀碱中水解,再在稀酸中脱羧生成2-庚酮。
二、实验部分1、实验仪器及药品仪器:回流冷凝管100mL圆底烧瓶、氯化钙干燥管、分液漏斗、锥形瓶、蒸馏头、温度计(200℃)、冷凝管、接收弯头、三口瓶(100mmL 250mL)、滴液漏斗、玻璃棒、试剂:金属钠、99%乙醇、邻苯二甲酸二乙酯、绝对乙醇、碘化钾、乙酰乙酸乙酯、正溴丁烷、盐酸、二氯甲烷、无水硫酸镁、氢氧化钠、正丁基乙酰乙酸乙酯、硫酸、氯化钙溶液可能副反应:4、实验步骤及现象三、实验结果产物为2-庚酮,无色液体,称量后得1.8g,理论产值为2.5g,因此计算产率为1.8g/2.5g*100%=72%。
四、实验结果分析及讨论得出的产品质量为1.8g,产率为72%,与理论产值相差不大,导致产率低的原因有:1、所制备的原料不纯2、仪器不干净,密封不严实3、蒸馏与回流中温度控制的不是很好4、萃取和过滤时有损耗5、转移试剂时也有损耗做实验时应该谨慎小心,称取或量取时要准确,在制备无水乙醇时要特别注意,所用仪器要干燥,之后的馏分收集要用磨口的锥形瓶,防止产品挥发。
参考文献[①]作者:王清廉、李瀛、高坤等;2009年;出版物:《有机化学实验<第三板>》;出版社:高等教育出版社;页码:451、296-297。
2-庚酮的认知化学品开发中的资料查阅1.化工辞典、手册主要用于查找化合物的分子式、结构式,基本的物理化学性质、相对密度、熔点、沸点、溶解度。
可供查阅的主要有:《化工辞典》、《兰氏化学手册》、《化学工程手册》等。
2.化学化工期刊可查得过去人们合成或分析某一化合物的方法、产品用途等。
可供查阅的期刊种类主要有:化学通报、化学世界、化学进展、精细化工、化学试剂、应用化学等等各类化学化工期刊。
查阅方法:可直接去图书馆期刊阅览室查,包括查过刊。
更方便的是从网上查:进入校园网——图书馆——中文期刊——关键词——检索。
3.专利可查得过去人们合成或分析某一化合物的方法、产品用途等。
网上查阅:(上海)知识产权局——专利检索——(中国)专利检索——名称等——点击名称——点击“申请公开”共N 页,可逐一查看。
4.查美国化学文摘CA (chemical abstracts )创始于1907年,由美国化学学会化学文摘社编辑出版发行,现为周刊,每年出版两卷,共52期,共摘录了152个国家的期刊、论文、政府出版物、会议记录、图书等,是世界上最具有权威性的检索工具。
检索方法:索引——化学物质索引——阅读文摘——获取原始文献。
由2、3、4,结合具体情况,定合成路线,由1获得物性数据.化学品小试阶段原料预处理产品提纯粗产品精产品加热回流萃取升华色谱柱1.选择小试原料用化学纯。
杂质少,能本能地反映出反应条件和原料配比对产品收率的影响。
价廉易得、毒副性小、挥发性小、稳定性好。
2.选择合适的催化剂 3.选择仪器仪器的装配应考虑:必要的加热、测温、搅拌;是否需要回流、是否要干燥、是否要滴加物料、是否需带水分离装置。
4.确定工艺路线通过正交实验,用最少的实验次数,得到正确的结论。
5.分离方法的选择反应产物往往是混合物,当然,在制定合成路线时应尽量考虑到反应物易分离。
1)分离依据:各化合物的物理化学性质差别。
2)常用方法:用化学方法除杂质液体混合物:蒸馏、分馏、萃取、离子交换、层析固体混合物:重结晶、升华固液混合:沉淀6.质量分析化学分析法:酸碱滴定、沉淀滴定、氧化-还原滴定、配合滴定。
2-庚酮的合成2一庚酮的制备方法归纳起来主要有天然原料提取法、格氏试剂法【2】、乙酰乙酸乙酯法、丙二酸二乙酯法,羟醛缩合法,几经权衡,我们采用乙酰乙酸乙酯法来进行合成.1.1主要原料乙酰乙酸乙酯(c.P.,上海化学试剂公司),1一溴丁烷(c.P.,上海五联化工厂),Na(c,P.,上海化学试剂一厂),无水乙醇(A.R.,上海振兴化工一厂),Ⅺ(c.P.,广州化学试剂厂),氯仿(c.P.,南昌鑫光精细化工厂),NaoH(南昌弯里化学试剂厂),H2s04(南昌鑫光精细化工厂)1.2主要仪器78一l型磁力加热搅拌器(杭州仪表电机厂),w啪(一404温度控制仪(上海医用仪表厂),683型红外光谱仪(Perkin—Elrner公司),cc一17A型毛细管气相色谱仪(shmda-公司).1.3正丁基乙酰乙酸Z酯的合成反应在装有磁力搅拌器的回流反应装置中进行,装置须严格隔绝水气.将5.75 E(0.25“101)干燥的金属钠丝置于反应器中,慢慢滴加128 n1L(2.2 m01)经认真处理过的绝对无水乙醇,控制滴加速度,使乙醇保持平稳沸腾.为安全起见,必要时予以冷却.待金属钠反应完毕后,加入3 g(0.02fn01)粉状碘化钾,加热至沸,直至固体全部溶解.然后加入32.5 g(O.25moI)乙酰乙酸乙酯.在搅拌回流状态下滴加37.0 g(O.27m1)1一演丁烷.滴加毕,在搅拌下回流3 h.待上述反应液冷却后,倾出上层清液;析出的盐用少量乙醇洗涤,洗涤液与上层清液合并后,蒸出并回收乙醇.粗产物用25 mL稀Hcl 洗涤,分出有机层;水层用25“1L氯仿萃取一次、将有机层与氯仿萃取液合并,用20 r11L水洗涤,分液后取有机层.1.4 2一庚酮的合成在上述有机层中加人150InL 5%NaoH溶液,在35~40℃搅拌水解2.5 h后,在相同条件下慢慢滴加20%的硫酸溶液约40mL,调节物料的pH为2~3,待大量的c0,气体释放完毕后,改成水蒸气蒸馏装置,蒸馏收集馏出物.蒸馏毕,分出油层,水层用氯仿(25“1L×2次)萃取.合并萃取液,用50 n1L 饱和氯化钙溶液洗涤一次.分出有机层,用无水MP$04充分干燥后,蒸馏,收集147一152 oc馏份,得2一庚酮实验二十五一种昆虫信息素——2-庚酮的合成[实验目的] 了解昆虫信息素的有关知识及其应用,熟悉合成2-庚酮的原理和方法,掌握克莱森酯缩合及乙酰乙酸乙酯合成法在药物合成上的应用。
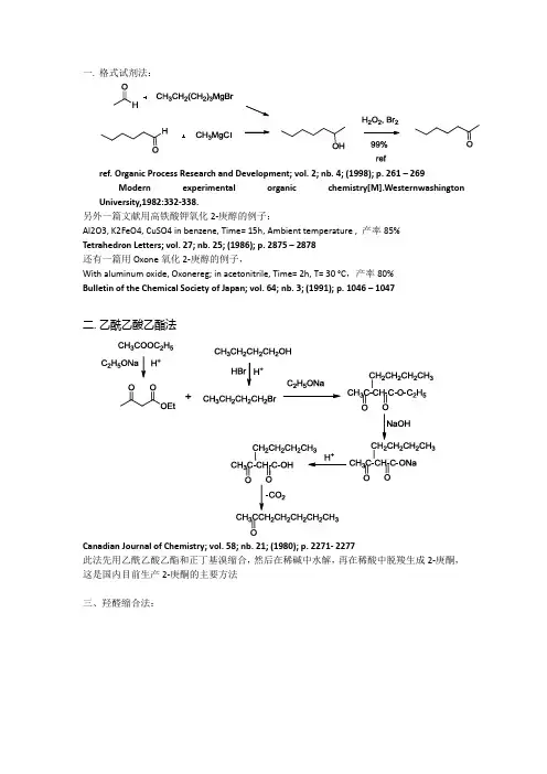
一.格式试剂法:ref. Organic Process Research and Development; vol. 2; nb. 4; (1998); p. 261 – 269 Modern experimental organic chemistry[M].Westernwashington University,1982:332-338.另外一篇文献用高铁酸钾氧化2-庚醇的例子:Al2O3, K2FeO4, CuSO4 in benzene, Time= 15h, Ambient temperature , 产率85% Tetrahedron Letters; vol. 27; nb. 25; (1986); p. 2875 – 2878还有一篇用Oxone氧化2-庚醇的例子,With aluminum oxide, Oxonereg; in acetonitrile, Time= 2h, T= 30 °C,产率80%Bulletin of the Chemical Society of Japan; vol. 64; nb. 3; (1991); p. 1046 – 1047二.乙酰乙酸乙酯法Canadian Journal of Chemistry; vol. 58; nb. 21; (1980); p. 2271- 2277此法先用乙酰乙酸乙酯和正丁基溴缩合,然后在稀碱中水解,再在稀酸中脱羧生成2-庚酮,这是国内目前生产2-庚酮的主要方法三、羟醛缩合法:CH 3CH 2CH 2CHOCH 3COCH 3NaOH OCH 3CCH 2CHCH 2CH 2CH3CH 3CCH=CHCH2CH 2CH 3CH 3CCH 2CH2CH 2CH2CH 3OHJournal of the American Chemical Society, 2008 , vol. 130, # 51 p. 17287 – 17289 Journal of Organic Chemistry, 2010 , vol. 75, # 9 p. 2981 – 2988 钱清华,祝贵林.2-庚酮的开发利用[J].山西化工,2001,21(1):14-15四、丙二酸二乙酯法:此法先用镁和丙二酸二乙酯生成醇镁盐,然后用己酰氯在非质子溶剂中进行酰基化,再水解、脱羧得到2-庚酮。
气相色谱法定量分析2,4戊二酮、2-庚酮和环己酮混合物王朝阳【摘要】采用气相色谱技术,建立了可同时测量含有2,4戊二酮、2-庚酮和环己酮混合物质的定量分析方法.选用毛细管柱Rtx?-5(30 m×0.25 mm×0.25μm),利用纯物质标准品对照法进行定性分析,优化了色谱条件.运用标准曲线法实现了3种物质的定量测定,2,4戊二酮、2-庚酮和环己酮的线性范围分别为:0.1~0.4、0.7~3.5和0.9~4.4 mg/mL,r大于0.999,线性良好.方法相对标准偏差RSD均低于5%,精密度良好.3种组分的加标回收率分别为92.93%、103.17%和102.96%,均在80%~120%之间,符合质量控制要求.方法实现了同时测定2,4戊二酮、2-庚酮和环己酮,也为相关酮类物质的检测提供了参考.【期刊名称】《分析测试技术与仪器》【年(卷),期】2017(023)003【总页数】6页(P189-194)【关键词】2,4戊二酮;2-庚酮;环己酮;气相色谱【作者】王朝阳【作者单位】陕西省产品质量监督检验研究院,陕西西安 710048【正文语种】中文【中图分类】O657.3Abstract: Adopting the gas chromatographic technology, a quantitative analysis method for samples containing 2,4-glutaric ketone, 2-heptanoneand cyclohexanone is set up. Qualitative analysis was carried out using a capi llary column Rtx®-5(30 m×0.25 mm×0.25 μm)and a pure standard material as the control. Standard curve method was used to perform quantitative analysis after the optimization of chromatographic conditions. The linearities of each composition were good because all the linear coefficient r were above 0.999 in the concentration range of 0.1~0.4mg/mL for 2,4-glutaric ketone, 0.7~3.5 mg/mL for 2-heptanone and 0.9~4.4 mg/mL for cyclohexanone respectively. The precision of the method was good for the RSD was less than 5%. The spiked recovery of three components were 92.93%, 103.17% and 102.96%, respectively, all of which ranged from 80% to 120%, conforming to the requirements of quality control. The method realizes the simultaneous determination of 2,4-glutaric ketone, 2-heptanone and cyclohexanone, and provides a reference for the determination of correlative ketones.Key words: 2,4-glutaric ketone;2-heptanone;cyclohexanone;gas chromatography工业生产过程中常会用到沸点较低易挥发的有机溶剂,这些有机溶剂极易挥发,会对作业者的呼吸器官乃至全身造成危害[1]. 在油漆工业、磁带涂渍等过程中,经常使用的2,4戊二酮(乙酰丙酮)[2]、2-庚酮(甲基戊基酮)[3]和环己酮[4],这些物质对人体皮肤、呼吸系统有强烈的刺激作用,长期接触会抑制神经中枢、脾脏等器官,对人身心健康有较大影响[1]. 快速准确地检测这几种物质对生产过程的污染控制和安全防护具有积极的作用. 由于这几种物质性质较为相似,目前也少有发现分离检测这3种物质的方法,只有类似物质的分离[5-6]. 针对这3种酮类物质的混合物样品,采用气相色谱法选择合适的检测条件,建立了其气相色谱定量分析方法,并对该方法的精密度和回收率进行了测试与评价.1.1 试剂和仪器无水乙醇:色谱纯,天津市科密欧化学试剂有限公司;2,4戊二酮:标准物质,上海安谱科学仪器有限公司;2-庚酮:标准物质,上海安谱科学仪器有限公司;环己酮:标准物质,天津市津科精细化工研究所;样品:某企业提供的试样,含有特定组成的2,4戊二酮、2-庚酮和环己酮3种物质.气相色谱仪:GC-2014,日本岛津制作所.1.2 试验方法1.2.1 色谱条件色谱柱:采用Restek型号为Rtx®-5的毛细管色谱柱(30 m×0.25 mm×0.25μm),柱内5%苯基,95%聚甲基聚硅氧烷,对应USP药典G27固定相,可用于酮类的分离[7].1.2.2 标准溶液配制分别称取2,4戊二酮、2-庚酮和环己酮3种标准物质0.492 4、3.531 5和4.437 2 g,用色谱纯乙醇定容到50 mL容量瓶中,得到3种物质的标准储备液.为减少定量误差,通常要求标准品的浓度与被测组分浓度接近. 分别称取3种储备液一定体积,定容到50 mL容量瓶. 量取的储备液体积和混标液质量浓度分别如表1、2所列.1.2.3 检测测试方法的精密度及加标回收率,并对实际样品进行分析.2.1 色谱条件的优化初始色谱条件由企业提供:初温40 ℃,保持2 min,以20 ℃/min的速率升至60 ℃,然后以25 ℃/min的速率升至250 ℃保持4 min.优化色谱条件:初温72 ℃,保持0.8 min,以15 ℃/min的速率升至74 ℃,保持4.8 min,后以25 ℃/min的速率升至250 ℃保持4 min. 进样口温度:150 ℃;检测器温度:270 ℃;载气:高纯氮气;毛细管柱流速:0.98 mL/mim;进样方式:分流进样,分流比为60∶1.初始色谱条件和优化色谱条件下的色谱图如图1、2所示.由图1可知,根据标准品的出峰情况,混合标准溶液出峰顺序依次为溶剂乙醇、2,4-戊二酮、2-庚酮和环己酮,保留时间分别为3.600、5.507和5.747 min. 在原始色谱条件下,环己酮(155 ℃)和2-庚酮(149 ℃)沸点相似[1],保留时间非常接近,谱图中两种物质的峰没有完全分开.由图2可以看出,在优化条件下,2-庚酮和环己酮两种样品的出峰情况良好,其分辨率RS由式(1)计算[8],结果为1.8,满足样品分辨率大于等于1.5的要求,说明两种物质已完全分离.RS=式中,tR2和tR1分别为相邻两峰的保留时间,Y1和Y2分别为两峰的峰底宽度. 2.2 混合标准溶液色谱图及标准曲线按1.2.1中所选色谱条件,对混合标准溶液进行分析,其色谱图如图3所示.根据测得的混合标准溶液中各组分的峰面积,建立浓度y对峰面积x的关系标准曲线,各组分的线性方程结果,以信噪比(S/N)为3时对应的标准品浓度,作为仪器最低检出限( LOD)[9] ,结果如表3所列.由表3可见,各组分的标准曲线的相关系数r均大于0.999,说明该方法线性好,拟合度高.2.3 精密度取同一样品溶液,连续进样5次,计算样品精密度,方法的精密度的测定如表4所列.由表4可见,该方法相对标准偏差RSD均低于5%,根据样品中不同组分的浓度范围,符合质量控制RSD低于10%的要求[10] ,说明该方法精密度良好.2.4 加标回收率用加标回收率来评价方法准确度[11]. 从5个样品中随机抽取2个,分别吸取0.1 mL样品溶液,用色谱纯乙醇溶解定容于50 mL的容量瓶,测定样品浓度. 另取2个50 mL的容量瓶,加入样品溶液0.1 mL,再加入与样品溶液各组分含量一致的标准溶液(按照样∶标准品=1∶1加标),用色谱纯乙醇定容后测定质量浓度,计算加标回收率. 样品加标回收率测试结果如表5所列.由表5可见,根据不同的浓度范围,2,4戊二酮加标回收率符合质量控制在80%~120%之间的要求,2-庚酮和环己酮的加标回收率符合质量控制在95%~105%之间的要求[9].2.5 实际样品测试结果随机抽取3份实际样品进行测试,结果如图4所示,质量浓度检测结果如表6所列.针对某种含有2,4戊二酮、2-庚酮和环己酮3种混合物样品,建立了定量分析的方法. 该方法定性分离完全、定量准确,加标回收率符合质量控制要求,成功地完成了样品的定量检测任务. 该方法也为相关酮类物质的检测提供了参考.【相关文献】[1] 王广生,主编. 石油化工原料与产品安全手册[M]. 北京:中国石化出版社, 2010.[2] 胡跃飞,主编. 现代有机合成试剂性质、制备和反应(第2卷)[M]. 北京:化学工业出版社, 2011:404-406.[3] 崇明本, 张典鹏, 李琪, 等. 2-庚酮制备、应用新进展[J]. 化工生产与技术, 2004, 2: 25-30.[4] 国家标准化管理委员会. 工业用环己酮[M]. 北京: 中国标准出版社, 2001.[5] 徐正云,林力,余建军.气相色谱法测定环已酮中戊醛、2-已酮、2-庚酮的含量[J]. 中国石油和化工标准与质量, 2014,34(12):19-24.[6] 徐庆利, 郭灿城, 曾旭, 等. 仿生催化环己烷空气氧化联产环己醇、环己酮和己二酸工艺的产物分离与分析[J].精细化工中间体. 2009, 39(3):47-52.[7] 李好枝,主编. 体内药物分析(第2版)[M]. 北京: 中国医药科技出版社, 2011: 209.[8] 马红梅,主编. 实用药物研发仪器分析[M]. 上海:华东理工大学出版社, 2014:157.[9] 席宏波,周岳溪,宋玉栋. 气相色谱/质谱测定苯酚丙酮生产废水中半挥发性有机物[J]. 环境污染与防护. 2012, 34(2):9-13.[10] 吉林化学工业公司研究院. 气相色谱实用手册[M]. 北京:化学工业出版社, 1980: 446.[11] 周静,包秀秀,张元华,等. 高效液相法定量分析戊二酸、戊二酸单甲酯和戊二酸二甲酯混合物[J]. 分析测试技术与仪器, 2017.23(1):29-33.。
1、物质的理化常数CA国标编号: 33583110-43-0S:中文名称: 2-庚酮英文名称: 2-heptanone;methyl amyl ketone别名: 甲基戊基甲酮分子分子式: C7H14O;CH3CO(CH2)4CH3114.19量:熔点: -35℃ 沸点:150.2℃密度: 相对密度(水=1)0.82;蒸汽压: 47℃溶解性: 溶于水,可混溶于多数有机溶剂稳定性: 稳定外观与性无色液体,有类似梨的水果香味状:危险标记: 7(易燃液体)用作硝化纤维素的溶剂和涂料、惰性反应介质。
也用用途:作香料原料2.对环境的影响:一、健康危害侵入途径:吸入、食入、经皮吸收。
健康危害:主要为麻醉和刺激作用。
吸入高浓度蒸气可致深度麻醉;对鼻、眼有强烈刺激性。
二、毒理学资料及环境行为毒性:属低毒类。
急性毒性:LD501670mg/kg(大鼠经口);12600mg/kg(兔经皮)刺激性:家兔经皮开放性刺激试验:14mg(24小时),轻度刺激。
危险特性:易燃,遇明火、高热或与氧化剂接触,有引起燃烧爆炸的危险。
若遇高热,容器内压增大,有开裂和爆炸的危险。
燃烧(分解)产物:一氧化碳、二氧化碳。
3.现场应急监测方法:4.实验室监测方法:空气中:样品用活性炭吸附后,用二硫化碳洗脱,再用气相色谱法分析(NIOSH法)气相色谱法,参照《分析化学手册》(第四分册,色谱分析),化学工业出版社5.环境标准:美国车间卫生标准235mg/m³6.应急处理处置方法:一、泄漏应急处理迅速撤离泄漏污染区人员至安全区,并进行隔离,严格限制出入。
切断火源。
建议应急处理人员戴自给正压式呼吸器,穿消防防护服。
不要直接接触泄漏物。
尽可能切断泄漏源,防止进入下水道、排洪沟等限制性空间。
小量泄漏:用砂士或其它不燃材料吸附或吸收。
也可以用大量水冲洗,洗水稀释后放入废水系统。
大量泄漏:构筑围堤或挖坑收容;用泡沫覆盖,降低蒸气灾害。
用防爆泵转移至槽车或专用收集器内,回收或运至废物处理场所处置。
6-甲基-2-庚酮标准
6-甲基-2-庚酮,化学式为C8H14O,也被称为甲基环己基甲酮,是一种有机化合物。
它是一种无色液体,具有类似于水果的气味。
这种化合物主要用作香料和食品添加剂,也被用作溶剂和化学中间体。
从化学角度来看,6-甲基-2-庚酮是一种酮类化合物,它的分子
结构中含有一个酮基团,即C=O。
这种化合物在有机合成中具有一
定的重要性,可以用于合成其他有机化合物。
从应用角度来看,6-甲基-2-庚酮作为食品添加剂,常用于增强
食物的香味,尤其是水果味道。
它也被广泛用于香水和化妆品中,
赋予产品特定的气味特征。
此外,由于其良好的溶解性,它还可以
作为溶剂用于化妆品和其他化学产品的生产中。
从安全角度来看,6-甲基-2-庚酮作为食品添加剂在合理使用下
是安全的,但过量摄入可能会对健康造成影响,因此在食品生产中
需要控制使用量。
此外,作为化学品,它的储存和使用也需要遵守
相关的安全操作规程,避免接触皮肤和吸入气体对人体造成危害。
总的来说,6-甲基-2-庚酮是一种在食品、香水和化妆品等领域有着广泛应用的化合物,它的化学性质和安全性需要在实际应用中得到充分考虑和控制。