山东德州市第一中学高中英语阅读理解高考重点题型及易错点提醒doc
- 格式:doc
- 大小:168.00 KB
- 文档页数:25
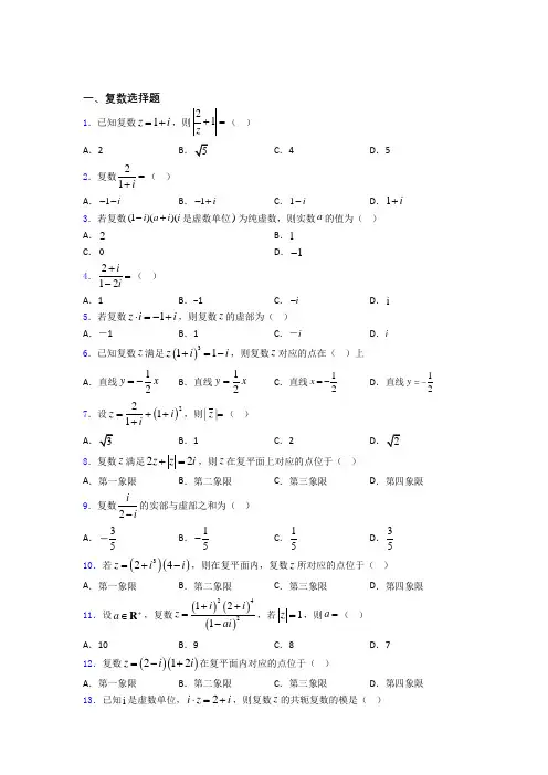
一、复数选择题1.已知复数2z i =-,若i 为虚数单位,则1i z +=( ) A .3155i + B .1355i + C .113i + D .13i + 2.若20212zi i =+,则z =( ) A .12i -+B .12i --C .12i -D .12i + 3.已知复数()2m m m i z i --=为纯虚数,则实数m =( ) A .-1 B .0 C .1 D .0或14.欧拉是瑞士著名数学家,他首先发现:e cos isin i θθθ=+(e 为自然对数的底数,i 为虚数单位),此结论被称为“欧拉公式”,它将指数函数的定义域扩大到复数集,建立了三角函数和指数函数的关系.根据欧拉公式可知,i e π=( )A .1B .0C .-1D .1+i5.已知i 是虚数单位,复数2z i =-,则()12z i ⋅+的模长为( )A .6B .6C .5D .56.如图所示,在复平面内,网格中的每个小正方形的边长都为1,点A ,B 对应的复数分别是1z ,2z ,则12z z -=( )A 2B .2C .2D .8 7.))552121i i --+=( )A .1B .-1C .2D .-2 8.设()2211z i i =+++,则||z =( ) A 3B .1 C .2 D 29.已知复数1z i =+,z 为z 的共轭复数,则()1z z ⋅+=( )A 2B .2C .10D 10 10.若()()324z ii =+-,则在复平面内,复数z 所对应的点位于( ) A .第一象限 B .第二象限 C .第三象限 D .第四象限11.设复数z 满足41i z i =+,则z 的共轭复数z 在复平面内的对应点位于( ) A .第一象限B .第二象限C .第三象限D .第四象限 12.设21i z i +=-,则z 的虚部为( ) A .12 B .12- C .32D .32- 13.复数22(1)1i i-+=-( ) A .1+i B .-1+i C .1-i D .-1-i14.若复数()()1i 3i a +-(i 为虚数单位)的实部和虚部互为相反数,则实数a =( ) A .1-B .12-C .13D .1 15.若复数11i z i ,i 是虚数单位,则z =( ) A .0 B .12 C .1 D .2二、多选题16.i 是虚数单位,下列说法中正确的有( )A .若复数z 满足0z z ⋅=,则0z =B .若复数1z ,2z 满足1212z z z z +=-,则120z z =C .若复数()z a ai a R =+∈,则z 可能是纯虚数D .若复数z 满足234z i =+,则z 对应的点在第一象限或第三象限17.已知复数cos sin 22z i ππθθθ⎛⎫=+-<< ⎪⎝⎭(其中i 为虚数单位)下列说法正确的是( )A .复数z 在复平面上对应的点可能落在第二象限B .z 可能为实数C .1z =D .1z的虚部为sin θ 18.已知复数z 满足220z z +=,则z 可能为( )A .0B .2-C .2iD .2i -19.已知复数012z i =+(i 为虚数单位)在复平面内对应的点为0P ,复数z 满足|1|||z z i -=-,下列结论正确的是( )A .0P 点的坐标为(1,2)B .复数0z 的共轭复数对应的点与点0P 关于虚轴对称C .复数z 对应的点Z 在一条直线上D .0P 与z 对应的点Z 间的距离的最小值为20.若复数z 满足()234z i i +=+(i 为虚数单位),则下列结论正确的有( )A .z 的虚部为3B .z =C .z 的共轭复数为23i +D .z 是第三象限的点 21.已知复数z 满足2724z i =--,在复平面内,复数z 对应的点可能在( ) A .第一象限 B .第二象限 C .第三象限D .第四象限 22.下列说法正确的是( )A .若2z =,则4z z ⋅=B .若复数1z ,2z 满足1212z z z z +=-,则120z z =C .若复数z 的平方是纯虚数,则复数z 的实部和虛部相等D .“1a ≠”是“复数()()()211z a a i a R =-+-∈是虚数”的必要不充分条件 23.已知i 为虚数单位,复数322i z i +=-,则以下真命题的是( ) A .z 的共轭复数为4755i - B .z 的虚部为75i C .3z = D .z 在复平面内对应的点在第一象限24.若复数z 满足(1i)3i z +=+(其中i 是虚数单位),复数z 的共轭复数为z ,则( )A .|z |=B .z 的实部是2C .z 的虚部是1D .复数z 在复平面内对应的点在第一象限25.已知复数12ω=-(i 是虚数单位),ω是ω的共轭复数,则下列的结论正确的是( )A .2ωω=B .31ω=-C .210ωω++=D .ωω>26.任何一个复数z a bi =+(其中a 、b R ∈,i 为虚数单位)都可以表示成:()cos sin z r i θθ=+的形式,通常称之为复数z 的三角形式.法国数学家棣莫弗发现:()()()n cos sin co i s s nn n z i n r i r n n N θθθθ+==+⎡⎤⎣∈⎦+,我们称这个结论为棣莫弗定理.根据以上信息,下列说法正确的是( )A .22z z =B .当1r =,3πθ=时,31z =C .当1r =,3πθ=时,122z =-D .当1r =,4πθ=时,若n 为偶数,则复数n z 为纯虚数27.已知复数z 的共轭复数为z ,且1zi i =+,则下列结论正确的是( )A .1z +=B .z 虚部为i -C .202010102z =-D .2z z z +=28.(多选)()()321i i +-+表示( )A .点()3,2与点()1,1之间的距离B .点()3,2与点()1,1--之间的距离C .点()2,1到原点的距离D .坐标为()2,1--的向量的模29.设()()2225322z t t t t i =+-+++,t ∈R ,i 为虚数单位,则以下结论正确的是( )A .z 对应的点在第一象限B .z 一定不为纯虚数C .z 一定不为实数D .z 对应的点在实轴的下方 30.已知复数z ,下列结论正确的是( )A .“0z z +=”是“z 为纯虚数”的充分不必要条件B .“0z z +=”是“z 为纯虚数”的必要不充分条件C .“z z =”是“z 为实数”的充要条件D .“z z ⋅∈R ”是“z 为实数”的充分不必要条件【参考答案】***试卷处理标记,请不要删除一、复数选择题1.B【分析】利用复数的除法法则可化简,即可得解.【详解】,.故选:B.解析:B【分析】 利用复数的除法法则可化简1i z+,即可得解.2z i =-,()()()()12111313222555i i i i i i z i i i +++++∴====+--+. 故选:B. 2.C【分析】根据复数单位的幂的周期性和复数除法的运算法则进行求解即可.【详解】由已知可得,所以.故选:C解析:C【分析】根据复数单位i 的幂的周期性和复数除法的运算法则进行求解即可.【详解】 由已知可得202150541222(2)21121i i i i i i z i i i i i i ⨯+++++⋅-======-⋅-,所以12z i =-. 故选:C 3.C【分析】结合复数除法运算化简复数,再由纯虚数定义求解即可【详解】解析:因为为纯虚数,所以,解得,故选:C.解析:C【分析】结合复数除法运算化简复数z ,再由纯虚数定义求解即可【详解】解析:因为()()22m m m iz m m mi i --==--为纯虚数,所以200m m m ⎧-=⎨≠⎩,解得1m =,故选:C.4.C【分析】利用复数和三角函数的性质,直接代入运算即可【详解】由题意可知=,故选C【分析】利用复数和三角函数的性质,直接代入运算即可【详解】由题意可知i e π=cos sin 101i ππ+=-+=-,故选C5.C【分析】利用复数代数形式的乘除运算化简,再由复数模的公式得答案.【详解】,,所以,,故选:C.解析:C【分析】利用复数代数形式的乘除运算化简,再由复数模的公式得答案.【详解】2z i =-,(12)(2)(12)43z i i i i ∴⋅+=-+=+,所以,5z =,故选:C.6.B【分析】根据复数的几何意义,求两个复数,再计算复数的模.【详解】由图象可知,,则,故.故选:B.解析:B【分析】根据复数的几何意义,求两个复数,再计算复数的模.【详解】由图象可知1z i =,22z i =-,则1222z z i -=-+,故12|22|z z i -=-+==故选:B .【分析】先求和的平方,再求4次方,最后求5次方,即可得结果.【详解】∵,,∴,,∴,,∴,故选:D.解析:D【分析】先求)1-和)1+的平方,再求4次方,最后求5次方,即可得结果. 【详解】∵)211-=--,)2+1=-,∴)()42117-=--=-+,)()42+17=-=--,∴)()51711-=-+-=--,)()51711+=--+=-,∴))55121-+=--, 故选:D.8.D【分析】利用复数的乘除法运算法则将化简,然后求解.【详解】因为,所以,则.故选:D .【点睛】本题考查复数的运算,解答时注意复数的乘法运算符合多项式乘法的运算法则,计算复数的除法时,解析:D【分析】利用复数的乘除法运算法则将z 化简,然后求解||z .【详解】 因为()()()()2221211211211111i z i i i i i i i i i -=++=+++=-++-=+++-,所以1z i =-,则z =故选:D .【点睛】本题考查复数的运算,解答时注意复数的乘法运算符合多项式乘法的运算法则,计算复数的除法时,需要给分子分母同乘以分母的共轭复数然后化简.9.D【分析】求出共轭复数,利用复数的乘法运算以及复数的求模公式可得答案.【详解】因为,所以,,所以,故选:D.解析:D【分析】求出共轭复数,利用复数的乘法运算以及复数的求模公式可得答案.【详解】因为1z i =+, 所以1z i =-,12z i +=+,所以()()()1123z z i i i ⋅+=-⋅+=-==故选:D.10.D【分析】根据复数的运算,先化简复数,再由复数的几何意义确定对应点的坐标,进而可得出结果.【详解】,则复数对应的点的坐标为,位于第四象限.故选:D .解析:D【分析】根据复数的运算,先化简复数,再由复数的几何意义确定对应点的坐标,进而可得出结果.【详解】()()324(2)(4)76z i i i i i =+-=--=-,则复数z 对应的点的坐标为()7,6-,位于第四象限.故选:D . 11.D【分析】先对化简,从而可求出共轭复数,再利用复数的几何意义可得答案【详解】解:因为,所以,所以共轭复数在复平面内的对应点位于第四象限,故选:D解析:D【分析】 先对41i z i=+化简,从而可求出共轭复数z ,再利用复数的几何意义可得答案 【详解】 解:因为244(1)4(1)=2(1)22221(1)(1)2i i i i i z i i i i i i i i --===-=-=+++-, 所以22z i =-, 所以共轭复数z 在复平面内的对应点位于第四象限,故选:D12.C【分析】根据复数的除法运算,先化简复数,即可得出结果.【详解】因为,所以其虚部为.故选:C.解析:C【分析】根据复数的除法运算,先化简复数,即可得出结果.【详解】 因为()()()()21223113111222i i i i z i i i i ++++-====+--+, 所以其虚部为32.故选:C.13.C【分析】直接根据复数代数形式的乘除运算法则计算可得;【详解】解:故选:C解析:C【分析】直接根据复数代数形式的乘除运算法则计算可得;【详解】 解:22(1)1i i-+- ()()()()2211211i i i i i +=-++-+ 12i i =+-1i =-故选:C14.B【分析】利用复数代数形式的乘法运算化简,再由实部加虚部为0求解.【详解】解:,所以复数的实部为,虚部为,因为实部和虚部互为相反数,所以,解得 故选:B解析:B【分析】利用复数代数形式的乘法运算化简,再由实部加虚部为0求解.【详解】解:()()()()21i 3i 33331a i ai ai a a i +-=-+-=++-,所以复数()()1i 3i a +-的实部为3a +,虚部为31a -,因为实部和虚部互为相反数,所以3310a a ++-=,解得12a =- 故选:B15.C【分析】由复数除法求出,再由模计算.【详解】由已知,所以.故选:C .解析:C【分析】由复数除法求出z ,再由模计算.【详解】 由已知21(1)21(1)(1)2i i i z i i i i ---====-++-, 所以1z i =-=.故选:C .二、多选题16.AD【分析】A 选项,设出复数,根据共轭复数的相关计算,即可求出结果;B 选项,举出反例,根据复数模的计算公式,即可判断出结果;C 选项,根据纯虚数的定义,可判断出结果;D 选项,设出复数,根据题解析:AD【分析】A 选项,设出复数,根据共轭复数的相关计算,即可求出结果;B 选项,举出反例,根据复数模的计算公式,即可判断出结果;C 选项,根据纯虚数的定义,可判断出结果;D 选项,设出复数,根据题中条件,求出复数,由几何意义,即可判断出结果.【详解】A 选项,设(),z a bi a b R =+∈,则其共轭复数为(),z a bi a b R =-∈, 则220z z a b ⋅=+=,所以0a b ,即0z =;A 正确;B 选项,若11z =,2z i =,满足1212z z z z +=-,但12z z i =不为0;B 错;C 选项,若复数()z a ai a R =+∈表示纯虚数,需要实部为0,即0a =,但此时复数0z =表示实数,故C 错;D 选项,设(),z a bi a b R =+∈,则()2222234z a bi a abi b i =+=+-=+,所以22324a b ab ⎧-=⎨=⎩,解得21a b =⎧⎨=⎩或21a b =-⎧⎨=-⎩,则2z i =+或2z i =--, 所以其对应的点分别为()2,1或()2,1--,所以对应点的在第一象限或第三象限;D 正确. 故选:AD.17.BC【分析】分、、三种情况讨论,可判断AB 选项的正误;利用复数的模长公式可判断C 选项的正误;化简复数,利用复数的概念可判断D 选项的正误.【详解】对于AB 选项,当时,,,此时复数在复平面内的点解析:BC【分析】 分02θπ-<<、0θ=、02πθ<<三种情况讨论,可判断AB 选项的正误;利用复数的模长公式可判断C 选项的正误;化简复数1z ,利用复数的概念可判断D 选项的正误. 【详解】对于AB 选项,当02θπ-<<时,cos 0θ>,sin 0θ<,此时复数z 在复平面内的点在第四象限;当0θ=时,1z R =-∈; 当02πθ<<时,cos 0θ>,sin 0θ>,此时复数z 在复平面内的点在第一象限.A 选项错误,B 选项正确;对于C 选项,1z ==,C 选项正确;对于D 选项,()()11cos sin cos sin cos sin cos sin cos sin i i z i i i θθθθθθθθθθ-===-++⋅-, 所以,复数1z的虚部为sin θ-,D 选项错误. 故选:BC. 18.ACD【分析】令代入已知等式,列方程组求解即可知的可能值.【详解】令代入,得:,∴,解得或或∴或或.故选:ACD【点睛】本题考查了已知等量关系求复数,属于简单题.解析:ACD【分析】令z a bi =+代入已知等式,列方程组求解即可知z 的可能值.【详解】令z a bi =+代入22||0z z +=,得:2220a b abi -+=,∴22020a b ab ⎧⎪-+=⎨=⎪⎩,解得0,0a b =⎧⎨=⎩或0,2a b =⎧⎨=⎩或0,2,a b =⎧⎨=-⎩ ∴0z =或2z i =或2z i =-.故选:ACD【点睛】本题考查了已知等量关系求复数,属于简单题.19.ACD【分析】根据复数对应的坐标,判断A 选项的正确性.根据互为共轭复数的两个复数坐标的对称关系,判断B 选项的正确性.设出,利用,结合复数模的运算进行化简,由此判断出点的轨迹,由此判读C 选项的正确解析:ACD【分析】根据复数对应的坐标,判断A 选项的正确性.根据互为共轭复数的两个复数坐标的对称关系,判断B 选项的正确性.设出z ,利用|1|||z z i -=-,结合复数模的运算进行化简,由此判断出Z 点的轨迹,由此判读C 选项的正确性.结合C 选项的分析,由点到直线的距离公式判断D 选项的正确性.【详解】复数012z i =+在复平面内对应的点为0(1,2)P ,A 正确;复数0z 的共轭复数对应的点与点0P 关于实轴对称,B 错误;设(,)z x yi x y R =+∈,代入|1|||z z i -=-,得|(1)(1)i|x yi x y -+=+-,即=y x =;即Z 点在直线y x =上,C 正确; 易知点0P 到直线y x =的垂线段的长度即为0P 、Z 之间距离的最小值,结合点到直线的距2=,故D 正确. 故选:ACD【点睛】本小题主要考查复数对应的坐标,考查共轭复数,考查复数模的运算,属于基础题.20.BC【分析】利用复数的除法求出复数,利用复数的概念与几何意义可判断各选项的正误.【详解】,,所以,复数的虚部为,,共轭复数为,复数在复平面对应的点在第四象限. 故选:BD.【点睛】本题考解析:BC【分析】利用复数的除法求出复数z ,利用复数的概念与几何意义可判断各选项的正误.【详解】()234z i i +=+,34232i z i i+∴=-=-+,所以,复数z 的虚部为3-,z =共轭复数为23i +,复数z 在复平面对应的点在第四象限.故选:BD.【点睛】 本题考查复数的四则运算、虚部、模、共轭复数以及几何意义,考查计算能力,属于基础题.21.BD【分析】先设复数,根据题中条件,由复数的乘法运算,以及复数相等的充要条件求出,即可确定对应的点所在的象限.【详解】设复数,则,所以,则,解得或,因此或,所以对应的点为或,因此复解析:BD【分析】先设复数(),z a bi a b R =+∈,根据题中条件,由复数的乘法运算,以及复数相等的充要条件求出z ,即可确定对应的点所在的象限.【详解】设复数(),z a bi a b R =+∈,则2222724z a abi b i =+-=--,所以2222724z a abi b i =+-=--,则227224a b ab ⎧-=-⎨=-⎩,解得34a b =⎧⎨=-⎩或34a b =-⎧⎨=⎩, 因此34z i =-或34z i =-+,所以对应的点为()3,4-或()3,4-,因此复数z 对应的点可能在第二或第四象限.故选:BD.【点睛】本题主要考查判定复数对应的点所在的象限,熟记复数的运算法则,以及复数相等的条件即可,属于基础题型.22.AD【分析】由求得判断A ;设出,,证明在满足时,不一定有判断B ;举例说明C 错误;由充分必要条件的判定说明D 正确.【详解】若,则,故A 正确;设,由,可得则,而不一定为0,故B 错误;当时解析:AD【分析】 由z 求得z z ⋅判断A ;设出1z ,2z ,证明在满足1212z z z z +=-时,不一定有120z z =判断B ;举例说明C 错误;由充分必要条件的判定说明D 正确.【详解】 若2z =,则24z z z ⋅==,故A 正确;设()11111,z a bi a b R =+∈,()22222,z a b i a b R =+∈ 由1212z z z z +=-,可得()()()()222222121212121212z z a a b b z z a a b b +=+++=-=-+-则12120a a b b +=,而()()121122121212121212122z z a bi a b i a a bb a b i b a i a a a b i b a i =++=-++=++不一定为0,故B 错误;当1z i =-时22z i =-为纯虚数,其实部和虚部不相等,故C 错误;若复数()()()211z a a i a R =-+-∈是虚数,则210a -≠,即1a ≠± 所以“1a ≠”是“复数()()()211z a a i a R =-+-∈是虚数”的必要不充分条件,故D 正确;故选:AD【点睛】本题考查的是复数的相关知识,考查了学生对基础知识的掌握情况,属于中档题.23.AD【分析】先利用复数的除法、乘法计算出,再逐项判断后可得正确的选项.【详解】,故,故A 正确.的虚部为,故B 错,,故C 错,在复平面内对应的点为,故D 正确.故选:AD.【点睛】本题考解析:AD【分析】先利用复数的除法、乘法计算出z ,再逐项判断后可得正确的选项.【详解】()()32232474725555i i i i i z i ++++====+-,故4755i z =-,故A 正确.z 的虚部为75,故B 错,355z ==≠,故C 错, z 在复平面内对应的点为47,55⎛⎫ ⎪⎝⎭,故D 正确. 故选:AD.【点睛】本题考查复数的概念、复数的运算以及复数的几何意义,注意复数(),z a bi a b R =+∈的虚部为b ,不是bi ,另外复数的除法运算是分子分母同乘以分母的共轭复数.24.ABD【分析】把已知等式变形,然后利用复数代数形式的乘除运算化简,求出复数,根据共轭复数概念得到,即可判断.【详解】,,,故选项正确,的实部是,故选项正确,的虚部是,故选项错误,复解析:ABD【分析】把已知等式变形,然后利用复数代数形式的乘除运算化简,求出复数z ,根据共轭复数概念得到z ,即可判断.【详解】(1i)3i z +=+,()()()()3134221112i i i i z i i i i +-+-∴====-++-,z ∴==,故选项A 正确,z 的实部是2,故选项B 正确,z 的虚部是1-,故选项C 错误, 复数2z i =+在复平面内对应的点为()2,1,在第一象限,故选项D 正确.故选:ABD .【点睛】本题主要考查的是复数代数形式的乘除运算,考查了复数的代数表示及几何意义,是基础题.25.AC【分析】根据复数的运算进行化简判断即可.【详解】解:∵所以,∴,故A 正确,,故B 错误,,故C 正确,虚数不能比较大小,故D 错误,故选:AC.【点睛】本题主要考查复数的有关概念解析:AC【分析】根据复数的运算进行化简判断即可.【详解】解:∵12ω=-所以12ω=--,∴2131442ωω=--=--=,故A 正确,3211131222244ωωω⎛⎫⎛⎫⎛⎫==---+=--= ⎪⎪ ⎪⎝⎭⎝⎭⎝⎭,故B 错误,21111022ωω++=--++=,故C 正确, 虚数不能比较大小,故D 错误,故选:AC .【点睛】本题主要考查复数的有关概念和运算,结合复数的运算法则进行判断是解决本题的关键.属于中档题.26.AC【分析】利用复数的三角形式与模长公式可判断A 选项的正误;利用复数的棣莫弗定理可判断B 选项的正误;计算出复数,可判断C 选项的正误;计算出,可判断D 选项的正误.【详解】对于A 选项,,则,可得解析:AC【分析】利用复数的三角形式与模长公式可判断A 选项的正误;利用复数的棣莫弗定理可判断B 选项的正误;计算出复数z ,可判断C 选项的正误;计算出4z ,可判断D 选项的正误.【详解】对于A 选项,()cos sin z r i θθ=+,则()22cos2sin 2z r i θθ=+,可得()222cos 2sin 2z r i r θθ=+=,()222cos sin z r i r θθ=+=,A 选项正确;对于B 选项,当1r =,3πθ=时,()33cos sin cos3sin3cos sin 1z i i i θθθθππ=+=+=+=-,B 选项错误;对于C 选项,当1r =,3πθ=时,1cos sin 3322z i ππ=+=+,则122z =-,C 选项正确;对于D 选项,()cos sin cos sin cos sin 44n n n n z i n i n i ππθθθθ=+=+=+, 取4n =,则n 为偶数,则4cos sin 1z i ππ=+=-不是纯虚数,D 选项错误.故选:AC.【点睛】本题考查复数的乘方运算,考查了复数的模长、共轭复数的运算,考查计算能力,属于中等题.27.ACD【分析】先利用题目条件可求得,再根据复数的模的计算公式,以及复数的有关概念和复数的四则运算法则即可判断各选项的真假.【详解】由可得,,所以,虚部为;因为,所以,.故选:ACD .【解析:ACD【分析】先利用题目条件可求得z ,再根据复数的模的计算公式,以及复数的有关概念和复数的四则运算法则即可判断各选项的真假.【详解】由1zi i =+可得,11i z i i+==-,所以12z i +=-==,z 虚部为1-;因为2422,2z i z =-=-,所以()5052020410102z z ==-,2211z z i i i z +=-++=-=.故选:ACD .【点睛】本题主要考查复数的有关概念的理解和运用,复数的模的计算公式的应用,复数的四则运算法则的应用,考查学生的数学运算能力,属于基础题. 28.ACD【分析】由复数的模的意义可判断选项A,B ;整理原式等于,也等于,即可判断选项C,D【详解】由复数的几何意义,知复数,分别对应复平面内的点与点,所以表示点与点之间的距离,故A 说法正确,B解析:ACD 【分析】由复数的模的意义可判断选项A,B ;整理原式等于2i +,也等于2i --,即可判断选项C,D【详解】由复数的几何意义,知复数32i +,1i +分别对应复平面内的点()3,2与点()1,1,所以()()321i i +-+表示点()3,2与点()1,1之间的距离,故A 说法正确,B 说法错误;()()3212i i i +-+=+,2i +可表示点()2,1到原点的距离,故C 说法正确;()()()()3211322i i i i i +-+=+-+=--,2i --可表示表示点()2,1--到原点的距离,即坐标为()2,1--的向量的模,故D 说法正确,故选:ACD【点睛】本题考查复数的几何意义,考查复数的模29.CD【分析】利用配方法得出复数的实部和虚部的取值范围,结合复数的概念和几何意义可判断出各选项的正误,由此可得出结论.【详解】,,所以,复数对应的点可能在第一象限,也可能在第二象限,故A 错误 解析:CD【分析】利用配方法得出复数z 的实部和虚部的取值范围,结合复数的概念和几何意义可判断出各选项的正误,由此可得出结论.【详解】22549492532488t t t ⎛+⎫= ⎪⎝⎭+-->-,()2222110t t t ++=++>, 所以,复数z 对应的点可能在第一象限,也可能在第二象限,故A 错误; 当222530220t t t t ⎧+-=⎨++≠⎩,即3t =-或12t =时,z 为纯虚数,故B 错误; 因为2220t t ++>恒成立,所以z 一定不为实数,故C 正确;由选项A 的分析知,z 对应的点在实轴的上方,所以z 对应的点在实轴的下方,故D 正确. 故选:CD.【点睛】本题考查复数的几何意义与复数的概念相关命题真假的判断,解题的关键就是求出复数虚部和实部的取值范围,考查计算能力与推理能力,属于中等题.30.BC【分析】设,可得出,利用复数的运算、复数的概念结合充分条件、必要条件的定义进行判断,从而可得出结论.【详解】设,则,则,若,则,,若,则不为纯虚数,所以,“”是“为纯虚数”必要不充分解析:BC【分析】设(),z a bi a b R =+∈,可得出z a bi =-,利用复数的运算、复数的概念结合充分条件、必要条件的定义进行判断,从而可得出结论.【详解】设(),z a bi a b R =+∈,则z a bi =-, 则2z z a +=,若0z z +=,则0a =,b R ∈,若0b =,则z 不为纯虚数, 所以,“0z z +=”是“z 为纯虚数”必要不充分条件; 若z z =,即a bi a bi +=-,可得0b =,则z 为实数,“z z =”是“z 为实数”的充要条件;22z z a b ⋅=+∈R ,z ∴为虚数或实数,“z z ⋅∈R ”是“z 为实数”的必要不充分条件.故选:BC.【点睛】本题考查充分条件、必要条件的判断,同时也考查了共轭复数、复数的基本概念的应用,考查推理能力,属于基础题.。
一、复数选择题1.已知复数1z i =+,则21z +=( )A .2B C .4 D .5 2.复数21i=+( ) A .1i -- B .1i -+ C .1i -D .1i + 3.若复数(1)()(i a i i -+是虚数单位)为纯虚数,则实数a 的值为( ) A .2 B .1C .0D .1- 4.212i i+=-( ) A .1 B .−1C .i -D .i 5.若复数1z i i ⋅=-+,则复数z 的虚部为( ) A .-1 B .1C .-iD .i 6.已知复数z 满足()311z i i +=-,则复数z 对应的点在( )上A .直线12y x =-B .直线12y x =C .直线12x =-D .直线12y 7.设()2211z i i =+++,则||z =( )A B .1 C .2 D8.复数z 满足22z z i +=,则z 在复平面上对应的点位于( )A .第一象限B .第二象限C .第三象限D .第四象限 9.复数2i i -的实部与虚部之和为( ) A .35 B .15- C .15 D .3510.若()()324z ii =+-,则在复平面内,复数z 所对应的点位于( ) A .第一象限 B .第二象限C .第三象限D .第四象限 11.设a +∈R ,复数()()()242121i i z ai ++=-,若1z =,则a =( ) A .10 B .9 C .8 D .712.复数()()212z i i =-+在复平面内对应的点位于( )A .第一象限B .第二象限C .第三象限D .第四象限13.已知i 是虚数单位,2i z i ⋅=+,则复数z 的共轭复数的模是( )A .5BCD .314.设复数202011i z i+=-(其中i 为虚数单位),则z 在复平面内对应的点所在象限为( )A .第四象限B .第三象限C .第二象限D .第一象限15.题目文件丢失!二、多选题16.已知复数Z 在复平面上对应的向量(1,2),OZ =-则( )A .z =-1+2iB .|z |=5C .12z i =+D .5z z ⋅= 17.已知复数z 满足220z z +=,则z 可能为( ).A .0B .2-C .2iD .2i+1-18.下面是关于复数21i z =-+的四个命题,其中真命题是( )A .||z =B .22z i =C .z 的共轭复数为1i -+D .z 的虚部为1-19.(多选题)已知集合{},n M m m i n N ==∈,其中i 为虚数单位,则下列元素属于集合M 的是( ) A .()()11i i -+ B .11i i-+ C .11i i +- D .()21i - 20.下面是关于复数21iz =-+(i 为虚数单位)的命题,其中真命题为( ) A .||2z = B .22z i = C .z 的共轭复数为1i + D .z 的虚部为1- 21.已知复数1cos 2sin 222z i ππθθθ⎛⎫=++-<< ⎪⎝⎭(其中i 为虚数单位),则( ) A .复数z 在复平面上对应的点可能落在第二象限B .z 可能为实数C .2cos z θ=D .1z 的实部为12- 22.已知i 为虚数单位,复数322i z i +=-,则以下真命题的是( ) A .z 的共轭复数为4755i - B .z 的虚部为75i C .3z = D .z 在复平面内对应的点在第一象限23.下列关于复数的说法,其中正确的是( )A .复数(),z a bi a b R =+∈是实数的充要条件是0b =B .复数(),z a bi a b R =+∈是纯虚数的充要条件是0b ≠C .若1z ,2z 互为共轭复数,则12z z 是实数D .若1z ,2z 互为共轭复数,则在复平面内它们所对应的点关于y 轴对称24.下列结论正确的是( )A .已知相关变量(),x y 满足回归方程ˆ9.49.1yx =+,则该方程相应于点(2,29)的残差为1.1B .在两个变量y 与x 的回归模型中,用相关指数2R 刻画回归的效果,2R 的值越大,模型的拟合效果越好C .若复数1z i =+,则2z =D .若命题p :0x R ∃∈,20010x x -+<,则p ⌝:x R ∀∈,210x x -+≥25.已知i 为虚数单位,以下四个说法中正确的是( ).A .234i i i i 0+++=B .3i 1i +>+C .若()2z=12i +,则复平面内z 对应的点位于第四象限D .已知复数z 满足11z z -=+,则z 在复平面内对应的点的轨迹为直线26.设i 为虚数单位,复数()(12)z a i i =++,则下列命题正确的是( )A .若z 为纯虚数,则实数a 的值为2B .若z 在复平面内对应的点在第三象限,则实数a 的取值范围是(,)122- C .实数12a =-是z z =(z 为z 的共轭复数)的充要条件 D .若||5()z z x i x R +=+∈,则实数a 的值为2 27.已知复数z 的共轭复数为z ,且1zi i =+,则下列结论正确的是( )A .1z +=B .z 虚部为i -C .202010102z =-D .2z z z +=28.已知复数()(()()211z m m m i m R =-+-∈,则下列说法正确的是( )A.若0m =,则共轭复数1z =- B .若复数2z =,则mC .若复数z 为纯虚数,则1m =±D .若0m =,则2420z z ++= 29.已知复数z 满足(2i)i z -=(i 为虚数单位),复数z 的共轭复数为z ,则( )A .3||5z = B .12i 5z +=- C .复数z 的实部为1- D .复数z 对应复平面上的点在第二象限30.已知i 为虚数单位,下列说法正确的是( )A .若,x y R ∈,且1x yi i +=+,则1x y ==B .任意两个虚数都不能比较大小C .若复数1z ,2z 满足22120z z +=,则120z z ==D .i -的平方等于1【参考答案】***试卷处理标记,请不要删除一、复数选择题1.B【分析】先求出,再计算出模.【详解】,,.故选:B.解析:B【分析】 先求出21z+,再计算出模. 【详解】 1z i =+,()()()21221112111i i z i i i -∴+=+=+=-++-,21z∴+==. 故选:B.2.C【分析】根据复数的除法运算法则可得结果.【详解】.故选:C解析:C【分析】根据复数的除法运算法则可得结果.【详解】21i =+2(1)(1)(1)i i i -=+-2(1)12i i -=-. 故选:C3.D【分析】由复数乘法化复数为代数形式,然后根据复数的分类求解.【详解】,它为纯虚数,则,解得.故选:D .解析:D【分析】由复数乘法化复数为代数形式,然后根据复数的分类求解.【详解】2(1)()1(1)i a i a i ai i a a i -+=+--=++-,它为纯虚数,则1010a a +=⎧⎨-≠⎩,解得1a =-. 故选:D .4.D【分析】利用复数的除法运算即可求解.【详解】,故选:D解析:D【分析】利用复数的除法运算即可求解.【详解】()()()()2221222255121212145i i i i i i i i i i i +++++====--+-, 故选:D5.B【分析】,然后算出即可.【详解】由题意,则复数的虚部为1故选:B解析:B【分析】1i z i-+=,然后算出即可. 【详解】 由题意()11111i i i i z i i i i -+-+--====+⋅-,则复数z 的虚部为1 故选:B 6.C【分析】利用复数的乘法和除法运算求得复数z 的标准形式,得到对应点的坐标,然后验证即可.【详解】解:因为,所以复数对应的点是,所以在直线上.故选:C.【点睛】本题考查复数的乘方和除法运解析:C【分析】利用复数的乘法和除法运算求得复数z 的标准形式,得到对应点的坐标,然后验证即可.【详解】 解:因为33111(1)1(1)2(1)2i i z i i z i i --+=-⇔===-+-,所以复数z 对应的点是1,02⎛⎫- ⎪⎝⎭,所以在直线12x =-上. 故选:C.【点睛】本题考查复数的乘方和除法运算,复数的坐标表示,属基础题.注意:()()()()()3211i 12121i i i i i +=++=-+=-. 7.D 【分析】利用复数的乘除法运算法则将化简,然后求解.【详解】因为,所以,则.故选:D .【点睛】本题考查复数的运算,解答时注意复数的乘法运算符合多项式乘法的运算法则,计算复数的除法时,解析:D【分析】利用复数的乘除法运算法则将z 化简,然后求解||z .【详解】 因为()()()()2221211211211111i z i i i i i i i i i -=++=+++=-++-=+++-, 所以1z i =-,则z =故选:D .【点睛】本题考查复数的运算,解答时注意复数的乘法运算符合多项式乘法的运算法则,计算复数的除法时,需要给分子分母同乘以分母的共轭复数然后化简.8.B【分析】先设复数,根据复数模的计算公式,以及复数相等,求出,得出复数,再由复数的几何意义,即可得出结果.【详解】设复数,由得,所以,解得,因为时,不能满足,舍去;故,所以,其对应的解析:B【分析】先设复数(),z x yi x R y R =+∈∈,根据复数模的计算公式,以及复数相等,求出,x y ,得出复数,再由复数的几何意义,即可得出结果.【详解】设复数(),z x yi x R y R =+∈∈, 由22z z i +=得222x yi i +=,所以2022x y ⎧⎪+=⎨=⎪⎩,解得1x y ⎧=⎪⎨⎪=⎩,因为1x y ⎧=⎪⎨⎪=⎩时,不能满足20x =,舍去;故1x y ⎧=⎪⎨⎪=⎩3z i =-+,其对应的点3⎛⎫- ⎪ ⎪⎝⎭位于第二象限, 故选:B.9.C【分析】利用复数代数形式的乘除运算化简得答案.【详解】,的实部与虚部之和为.故选:C【点睛】易错点睛:复数的虚部是,不是.解析:C【分析】利用复数代数形式的乘除运算化简得答案.【详解】()()()2+1212222+555i i i i i i i i -+===-+--,2i i ∴-的实部与虚部之和为121555-+=. 故选:C【点睛】易错点睛:复数z a bi =+的虚部是b ,不是bi .10.D【分析】根据复数的运算,先化简复数,再由复数的几何意义确定对应点的坐标,进而可得出结果.【详解】,则复数对应的点的坐标为,位于第四象限.故选:D . 解析:D【分析】根据复数的运算,先化简复数,再由复数的几何意义确定对应点的坐标,进而可得出结果.【详解】()()324(2)(4)76z i i i i i =+-=--=-,则复数z 对应的点的坐标为()7,6-,位于第四象限.故选:D .【分析】根据复数的模的性质求模,然后可解得.【详解】解:,解得.故选:D .【点睛】本题考查复数的模,掌握模的性质是解题关键.设复数,则, 模的性质:,,.解析:D【分析】根据复数的模的性质求模,然后可解得a .【详解】 解:()()()()24242422221212501111i i i i aai ai ++++====+--,解得7a =. 故选:D .【点睛】 本题考查复数的模,掌握模的性质是解题关键.设复数(,)z a bi a b R =+∈,则z =模的性质:1212z z z z =,(*)n n z z n N =∈,1122z z z z =. 12.A【分析】利用复数的乘法化简复数,利用复数的乘法可得出结论.【详解】,因此,复数在复平面内对应的点位于第一象限.故选:A.解析:A【分析】利用复数的乘法化简复数z ,利用复数的乘法可得出结论.【详解】()()221223243z i i i i i =-+=+-=+,因此,复数z 在复平面内对应的点位于第一象限.13.C【分析】首先求出复数的共轭复数,再求模长即可.【详解】据题意,得,所以的共轭复数是,所以.故选:C.解析:C【分析】首先求出复数z 的共轭复数,再求模长即可.【详解】 据题意,得22(2)12121i i i i z i i i ++-+====--,所以z 的共轭复数是12i +,所以z =.故选:C.14.A【分析】根据复数的运算,先将化简,求出,再由复数的几何意义,即可得出结果.【详解】因为,所以,其在复平面内对应的点为,位于第四象限.故选:A.解析:A【分析】根据复数的运算,先将z 化简,求出z ,再由复数的几何意义,即可得出结果.【详解】 因为()()()()4202050550512111121111111i i i z i i i i i i i ++++======+-----+, 所以1z i =-,其在复平面内对应的点为()1,1-,位于第四象限.故选:A.15.无二、多选题16.AD【分析】因为复数Z 在复平面上对应的向量,得到复数,再逐项判断.【详解】因为复数Z 在复平面上对应的向量,所以,,|z|=,,故选:AD解析:AD【分析】因为复数Z 在复平面上对应的向量(1,2)OZ =-,得到复数12z i =-+,再逐项判断.【详解】因为复数Z 在复平面上对应的向量(1,2)OZ =-,所以12z i =-+,12z i =--,|z 5z z ⋅=,故选:AD17.AC【分析】令,代入原式,解出的值,结合选项得出答案.【详解】令,代入,得,解得,或,或,所以,或,或.故选:AC【点睛】本题考查复数的运算,考查学生计算能力,属于基础题.解析:AC【分析】令()i ,z a b a b R =+∈,代入原式,解出,a b 的值,结合选项得出答案.【详解】令()i ,z a b a b R =+∈,代入220z z +=,得222i 0a b ab -+=,解得00a b =⎧⎨=⎩,或02a b =⎧⎨=⎩,或02a b =⎧⎨=-⎩, 所以0z =,或2i z =,或2i z =-.故选:AC【点睛】本题考查复数的运算,考查学生计算能力,属于基础题.18.ABCD【分析】先根据复数的除法运算计算出,再依次判断各选项.【详解】,,故A 正确;,故B 正确;的共轭复数为,故C 正确;的虚部为,故D 正确; 故选:ABCD.【点睛】本题考查复数的除法解析:ABCD【分析】先根据复数的除法运算计算出z ,再依次判断各选项.【详解】()()()2121111i z i i i i --===---+-+--,z ∴==,故A 正确;()2212z i i =--=,故B 正确;z 的共轭复数为1i -+,故C 正确;z 的虚部为1-,故D 正确;故选:ABCD.【点睛】本题考查复数的除法运算,以及对复数概念的理解,属于基础题.19.BC【分析】根据集合求出集合内部的元素,再对四个选项依次化简即可得出选项.【详解】根据题意,中,时,;时,;时,;时,,.选项A 中,;选项B 中,;选项C 中,;选项D 中,.解析:BC【分析】根据集合求出集合内部的元素,再对四个选项依次化简即可得出选项.【详解】 根据题意,{},n M m m i n N ==∈中, ()4n k k N =∈时,1n i =;()41n k k N =+∈时,n i i =;()42n k k N =+∈时,1n i =-;()43n k k N =+∈时,n i i =-,{}1,1,,M i i ∴=--.选项A 中,()()112i i M -+=∉;选项B 中,()()()211111i i i i i i M --==-+-∈+; 选项C 中,()()()211111i i i i i i M ++==-+∈-; 选项D 中,()212i i M -=-∉.故选:BC.【点睛】此题考查复数的基本运算,涉及复数的乘方和乘法除法运算,准确计算才能得解. 20.BD【分析】把分子分母同时乘以,整理为复数的一般形式,由复数的基本知识进行判断即可.【详解】解:,,A 错误;,B 正确;z 的共轭复数为,C 错误;z 的虚部为,D 正确.故选:BD.【点解析:BD【分析】 把21iz =-+分子分母同时乘以1i --,整理为复数的一般形式,由复数的基本知识进行判断即可.解:22(1)11(1)(1)i z i i i i --===---+-+--,||z ∴=A 错误;22i z =,B 正确;z 的共轭复数为1i -+,C 错误;z 的虚部为1-,D 正确.故选:BD.【点睛】本题主要考查复数除法的基本运算、复数的基本概念,属于基础题.21.BC【分析】由可得,得,可判断A 选项,当虚部,时,可判断B 选项,由复数的模计算和余弦的二倍角公式可判断C 选项,由复数的运算得,的实部是,可判断D 选项.【详解】因为,所以,所以,所以,所以A 选解析:BC【分析】由22ππθ-<<可得2πθπ-<<,得01cos22θ<+≤,可判断A 选项,当虚部sin 20θ=,,22ππθ⎛⎫∈- ⎪⎝⎭时,可判断B 选项,由复数的模计算和余弦的二倍角公式可判断C 选项,由复数的运算得11cos 2sin 212cos 2i z θθθ+-=+,1z 的实部是1cos 2122cos 22θθ+=+,可判断D 选项.【详解】因为22ππθ-<<,所以2πθπ-<<,所以1cos21θ-<≤,所以01cos22θ<+≤,所以A 选项错误; 当sin 20θ=,,22ππθ⎛⎫∈- ⎪⎝⎭时,复数z 是实数,故B 选项正确;2cos z θ===,故C 选项正确:()()111cos 2sin 21cos 2sin 21cos 2sin 21cos 2sin 21cos 2sin 212cos 2i i z i i i θθθθθθθθθθθ+-+-===+++++-+,1z 的实部是1cos 2122cos 22θθ+=+,故D 不正确. 故选:BC本题主要考查复数的概念,复数模的计算,复数的运算,以及三角恒等变换的应用,属于中档题.22.AD【分析】先利用复数的除法、乘法计算出,再逐项判断后可得正确的选项.【详解】,故,故A 正确.的虚部为,故B 错,,故C 错,在复平面内对应的点为,故D 正确.故选:AD.【点睛】本题考解析:AD【分析】先利用复数的除法、乘法计算出z ,再逐项判断后可得正确的选项.【详解】()()32232474725555i i i i i z i ++++====+-,故4755i z =-,故A 正确.z 的虚部为75,故B 错,355z ==≠,故C 错, z 在复平面内对应的点为47,55⎛⎫ ⎪⎝⎭,故D 正确. 故选:AD.【点睛】本题考查复数的概念、复数的运算以及复数的几何意义,注意复数(),z a bi a b R =+∈的虚部为b ,不是bi ,另外复数的除法运算是分子分母同乘以分母的共轭复数.23.AC【分析】根据复数的有关概念和充分条件和必要条件的定义进行判断即可.【详解】解:对于:复数是实数的充要条件是,显然成立,故正确;对于:若复数是纯虚数则且,故错误;对于:若,互为共轭复数解析:AC【分析】根据复数的有关概念和充分条件和必要条件的定义进行判断即可.解:对于A :复数(),z a bi a b R =+∈是实数的充要条件是0b =,显然成立,故A 正确;对于B :若复数(),z a bi a b R =+∈是纯虚数则0a =且0b ≠,故B 错误;对于C :若1z ,2z 互为共轭复数,设()1,z a bi a b R =+∈,则()2,z a bi a b R =-∈,所以()()2122222z a bi a bi a b b z i a =+-=-=+是实数,故C 正确; 对于D :若1z ,2z 互为共轭复数,设()1,z a bi a b R =+∈,则()2,z a bi a b R =-∈,所对应的坐标分别为(),a b ,(),a b -,这两点关于x 轴对称,故D 错误;故选:AC【点睛】本题主要考查复数的有关概念的判断,利用充分条件和必要条件的定义是解决本题的关键,属于基础题.24.ABD【分析】根据残差的计算方法判断A ,根据相关指数的性质判断B ,根据复数的模长公式判断C ,根据否定的定义判断D.【详解】当时,,则该方程相应于点(2,29)的残差为,则A 正确;在两个变量解析:ABD【分析】根据残差的计算方法判断A ,根据相关指数的性质判断B ,根据复数的模长公式判断C ,根据否定的定义判断D.【详解】当2x =时,ˆ9.429.127.9y=⨯+=,则该方程相应于点(2,29)的残差为2927.9 1.1-=,则A 正确;在两个变量y 与x 的回归模型中,2R 的值越大,模型的拟合效果越好,则B 正确;1z i =-,z ==C 错误;由否定的定义可知,D 正确;故选:ABD【点睛】本题主要考查了残差的计算,求复数的模,特称命题的否定,属于中档题. 25.AD【分析】根据复数的运算判断A ;由虚数不能比较大小判断B ;由复数的运算以及共轭复数的定义判断C ;由模长公式化简,得出,从而判断D.【详解】,则A 正确;虚数不能比较大小,则B 错误;,则,解析:AD【分析】根据复数的运算判断A ;由虚数不能比较大小判断B ;由复数的运算以及共轭复数的定义判断C ;由模长公式化简11z z -=+,得出0x =,从而判断D.【详解】234110i i i i i i +++=--+=,则A 正确;虚数不能比较大小,则B 错误;()221424341z i i i i =++=+-+=,则34z i =--,其对应复平面的点的坐标为(3,4)--,位于第三象限,则C 错误; 令,,z x yi x y R =+∈,|1||1z z -=+∣,=,解得0x =则z 在复平面内对应的点的轨迹为直线,D 正确;故选:AD【点睛】本题主要考查了判断复数对应的点所在的象限,与复数模相关的轨迹(图形)问题,属于中档题.26.ACD【分析】首先应用复数的乘法得,再根据纯虚数概念、复数所在象限,以及与共轭复数或另一个复数相等,求参数的值或范围,进而可确定选项的正误【详解】∴选项A :为纯虚数,有可得,故正确选项B解析:ACD【分析】首先应用复数的乘法得2(12)z a a i =-++,再根据纯虚数概念、复数所在象限,以及与共轭复数或另一个复数相等,求参数的值或范围,进而可确定选项的正误【详解】()(12)2(12)z a i i a a i =++=-++∴选项A :z 为纯虚数,有20120a a -=⎧⎨+≠⎩可得2a =,故正确 选项B :z 在复平面内对应的点在第三象限,有20120a a -<⎧⎨+<⎩解得12a <-,故错误 选项C :12a =-时,52z z ==-;z z =时,120a +=即12a =-,它们互为充要条件,故正确 选项D :||5()z z x i x R +=+∈时,有125a +=,即2a =,故正确故选:ACD【点睛】本题考查了复数的运算及分类和概念,应用复数乘法运算求得复数,再根据复数的概念及性质、相等关系等确定参数的值或范围27.ACD【分析】先利用题目条件可求得,再根据复数的模的计算公式,以及复数的有关概念和复数的四则运算法则即可判断各选项的真假.【详解】由可得,,所以,虚部为;因为,所以,.故选:ACD .【解析:ACD【分析】先利用题目条件可求得z ,再根据复数的模的计算公式,以及复数的有关概念和复数的四则运算法则即可判断各选项的真假.【详解】由1zi i =+可得,11i z i i+==-,所以12z i +=-==,z 虚部为1-;因为2422,2z i z =-=-,所以()5052020410102z z ==-,2211z z i i i z +=-++=-=.故选:ACD .【点睛】本题主要考查复数的有关概念的理解和运用,复数的模的计算公式的应用,复数的四则运算法则的应用,考查学生的数学运算能力,属于基础题. 28.BD【分析】根据每个选项里的条件,求出相应的结果,即可判断选项的正误.【详解】对于A ,时,,则,故A 错误;对于B ,若复数,则满足,解得,故B 正确;对于C ,若复数z 为纯虚数,则满足,解得,解析:BD【分析】根据每个选项里的条件,求出相应的结果,即可判断选项的正误.【详解】对于A ,0m =时,1z =-,则1z =-,故A 错误;对于B ,若复数2z =,则满足(()21210m m m ⎧-=⎪⎨-=⎪⎩,解得m ,故B 正确; 对于C ,若复数z为纯虚数,则满足(()21010m m m ⎧-=⎪⎨--≠⎪⎩,解得1m =-,故C 错误; 对于D ,若0m =,则1z =-+,()()221420412z z ++=+--+=+,故D 正确.故选:BD.【点睛】 本题主要考查对复数相关概念的理解,注意不同情形下的取值要求,是一道基础题.29.BD【分析】因为复数满足,利用复数的除法运算化简为,再逐项验证判断.【详解】因为复数满足,所以所以,故A 错误;,故B 正确;复数的实部为 ,故C 错误;复数对应复平面上的点在第二象限解析:BD【分析】因为复数z 满足(2i)i z -=,利用复数的除法运算化简为1255z i =-+,再逐项验证判断. 【详解】因为复数z 满足(2i)i z -=,所以()(2)1222(2)55i i i z i i i i +===-+--+所以z ==,故A 错误; 1255z i =--,故B 正确; 复数z 的实部为15- ,故C 错误; 复数z 对应复平面上的点12,55⎛⎫- ⎪⎝⎭在第二象限,故D 正确. 故选:BD【点睛】本题主要考查复数的概念,代数运算以及几何意义,还考查分析运算求解的能力,属于基础题. 30.AB【分析】利用复数相等可选A ,利用虚数不能比较大小可选B ,利用特值法可判断C 错误,利用复数的运算性质可判断D 错误.【详解】对于选项A ,∵,且,根据复数相等的性质,则,故正确;对于选项B ,解析:AB【分析】利用复数相等可选A ,利用虚数不能比较大小可选B ,利用特值法可判断C 错误,利用复数的运算性质可判断D 错误.【详解】对于选项A ,∵,x y R ∈,且1x yi i +=+,根据复数相等的性质,则1x y ==,故正确;对于选项B ,∵虚数不能比较大小,故正确;对于选项C ,∵若复数1=z i ,2=1z 满足22120z z +=,则120z z ≠≠,故不正确; 对于选项D ,∵复数()2=1i --,故不正确;故选:AB .【点睛】本题考查复数的相关概念,涉及复数的概念、复数相等、复数计算等知识,属于基础题.。
一、高中英语阅读理解1.阅读理解Suppose you become a leader in an organization. It's very likely that you'll want to have volunteers to help with the organization's activities. To do so, it should help to understand why people undertake volunteer work and what keeps their interest in the work.Let's begin with the question of why people volunteer. Researchers have identified several factors that motivate people to get involved. For example, people volunteer to express personal values related to unselfishness, to expand their range of experiences, and to strengthen social relationships. If volunteer positions do not meet these needs, people may not wish to participate. To select volunteers, you may need to understand the motivations of the people you wish to attract.People also volunteer because they are required to do so. To increase levels of community service, some schools have launched compulsory volunteer programs. Unfortunately, these programs can shift people's wish of participation from an internal factor (e.g. "I volunteer because it's important to me") to an external factor (e.g. "I volunteer because I'm required to do so"). When that happens, people become less likely to volunteer in the future. People must be sensitive to this possibility when they make volunteer activities a must.Once people begin to volunteer, what leads them to remain in their positions over time? To answer this question, researchers have conducted follow-up studies in which they track volunteers over time. For instance, one study followed 238 volunteers in Florida over a year. One of the most important factors that influenced their satisfaction as volunteers was the amount of suffering they experienced in their volunteer positions. Although this result may not surprise you, it leads to important practical advice. The researchers note that attention should be given to "training methods that would prepare volunteers for troublesome situations or provide them with strategies for coping with the problem they do experience".Another study of 302 volunteers at hospitals in Chicago focused on individual differences in the degree to which people view "volunteer" as an important social role. It was assumed that those people for whom the role of volunteer was most part of their personal identity would also be most likely to continue volunteer work. Participants indicated the degree to which the social role mattered by responding to statements such as "Volunteering in Hospital is an important part of who I am." Consistent with the researchers' expectations, they found a positive correlation(正相关) between the strength of role identity and the length of time people continued to volunteer. These results, once again, lead to concrete advice: "Once an individual begins volunteering, continued efforts might focus on developing a volunteer role identity....Items like T-shirts that allow volunteers to be recognized publicly for their contributions can help strengthen role identity".(1)People volunteer mainly out of __________.A. academic requirementsB. social expectationsC. financial rewardsD. internal needs(2)What can we learn from the Florida study?A.Follow-up studies should last for one year.B.Volunteers should get mentally prepared.C.Strategy training is a must in research.D.Volunteers are provided with concrete advice.(3)What is most likely to motivate volunteers to continue their work?A.Individual differences in role identity.B.Publicly identifiable volunteer T-shirts.C.Role identity as a volunteer.D.Practical advice from researchers.(4)What is the best title of the passage?A.How to Get People to VolunteerB.How to Study Volunteer BehaviorsC.How to Keep Volunteers' InterestD.How to Organize Volunteer Activities【答案】(1)D(2)B(3)C(4)A【解析】【分析】本文是一篇说明文,介绍了怎样让人们去做志愿者的一些方法。
山东省德州市德城区德州市第一中学2024-2025学年高一上学期10月月考英语试题一、阅读理解CUB CREEK SCIENCE CAMPLocation: Rolla, MO USAge Range: 7-17Cub Creek Science Camp has over 20 years of providing a camp experience like no other. Each summer we have campers attend from many different countries. By combining (结合) a science camp, an animal camp and traditional summer camp activities, we have created a place where kids will have more fun than they ever thought possible! And they'll learn a lot too!CAMP LINGUA Location: Davie, FL USAge Range: 5-16Camp Lingua is a special Language Summer Camp Program where children enjoy an enriching, fun experience while developing language and creative thinking skills. Camp Lingua differentiates from the rest of South Florida day camps by combining its programs with interesting camp activities, making the learning of another language an easy and enjoyable process.CAMP BRA VO Location: Angelus Oaks, CA USAge Range: 10-18Founded in 1994, Camp Bravo is designed to provide young people interested in the performing (表演) arts with a beautiful outdoor setting and a safe noncompetitive environment. Taught by experienced professionals (专业人士), young artists will explore their creativity, discover new gifts and have fun!CAMP UP WITH PEOPLELocation: Harrisonburg, VA USAge Range: 13-17Camp Up with People is a leadership, community service and culturally diverse (多样的) summer camp that brings together students to influence the community through service and song. Campers will develop a sense of social responsibility, confidence and purpose, as well as the skills of working as part of a diverse group.1.Where does the language related summer camp lie?A.In Rolla, MO US.B.In Angelus Oaks, CA US.C.In Davie, FL US.D.In Harrisonburg, V A US.2.What can kids do at Camp Bravo?A.Learn from experienced teachers.B.Perform with world-famous artists.C.Take part in interesting art competitions.D.Make friends with kids from other countries.3.In which summer camp can you provide community service?A.Camp Lingua.B.Cub Creek Science Camp.C.Camp Bravo.D.Camp Up with People.My first day in high school will never be forgotten. When I got to the classroom in the morning, I saw that Mr. Brown had already put our names on our tables. After walking a few steps, I saw my name on the table right in the middle of the classroom. Walking up to my table, my heart sang. “It would be great to sit there. I could see everything easily.” I thought to myself.A while later, the other students entered one by one and took their own seats. And then Mr. Brown started talking. He showed us his classroom rules and tried to explain them. All of a sudden a student called Tony started singing loudly. All the while he moved his body to the music. His deskmate Josh couldn’t understand why he was doing these things. Then he stood up and talked to Mr. Brown. “I don’t want to sit with this strange guy. Can I swap seats with someone else in this room, please?”Mr. Brown didn’t answer his question directly. He stopped what he was doing and turned on his computer. Then he showed us some pictures about autistic kids. He explained that autistic kids have little self-control. They seem to do things that are beyond everyone else’s understanding. However, they can do many other great things, in the field of art or music for example. Then he told us that Tony was not good at maths, but loved songs. “He can sing thousands of songs. What’s more surprising is that he can remember all the words without any mistakes.” In the end, Mr. Brown added that although autistic kids were different, they should be loved.Since that first day in high school, I became Mr. Brown’s admirer. I was pretty sure Mr.Brown would get all of us on the right track.4.How did the author feel when seeing his table?A.Proud.B.Excited.C.Curious.D.Unhappy. 5.What does the underlined word “swap” in Paragraph 2 mean?A.Share.B.Provide.C.Replace.D.Exchange.6.In what way was Tony special?A.He acted politely.B.He was understanding.C.He knew music very well.D.He had a mathematical mind.7.What does the author think of Mr. Brown?A.He is off the right track.B.He can make a great teacher.C.He has too many admirers.D.He is too different to be loved.Emojis (表情符号) are a new way of communication nowadays. There are more than 3,000 different emojis and most of us use them many times every day when we message a friend.The first-ever emojis were designed in 1997. There were 90 emojis in this set, but they were only found on one type of expensive Japanese mobile phone that not many people used. The first set of widely-used emojis was created by Shigetaka Kurita in 1999. He made 180 emojis according to expressions he saw on people’s faces, Chinese characters, traffic signs, etc.Are emojis a language? Probably not. An article in Deakin University’s online magazine This suggests emojis aren’t a language because we can’t “have fluent and complex (复杂的) conversations or express specific thoughts using emojis”.But emojis are a useful communication tool, according to Deakin University’s Dr. Adam Brown. He predicts (预测) in the This article that emojis are just the start of increasingly more complex communication in the future.Although emojis aren’t themselves a language, the word “emoji” was recognized as part of the English language in 2013 when it was added to the Oxford English Dictionary.New emojis are invented every year and added to emoji keyboards. Face with Tears of Joy was one of the most popular emojis in the past five years. In 2015, Oxford Dictionaries named it Word of the Year.Emojipedia describes Face with Tears of Joy as a yellow face with a big smile, upliftedeyebrows, and smiling eyes, each crying a tear from laughing so hard. It is widely used to show something is funny or pleasing.Other popular emojis are Loudly Crying Face. Smiling Face with Heart-Eyes, Red Heart, Purple Heart and Two Hearts.8.What do we know about the first set of widely-used emojis?A.It was made public in 1999.B.It included 3,000 different emojis.C.It was designed by Shigetaka Kurita.D.It could only be used on one type of mobile phone.9.What does Dr. Brown think of emojis?A.They should be added to dictionaries.B.They suggest new directions in communication.C.They can be considered as a special language.D.They are sometimes more useful than traditional words.10.Which of the following was named 2015 Word of the Year by Oxford Dictionaries?A.B.C.D.11.What is the best title for this text?A.Emojis — a new way of communicationB.How often do you use emojis?C.Popular emoji list uncovered!D.The story behind emojisFor many years, scientists and animal lovers have worked to make the world safer for endangered species. Now, there is something that needs protection from these protected animals — a famous French cheese called Roquefort, known as the “King of Cheeses”.Roquefort is made from sheep's milk in the southern part of the French mountains. Farmers have been making Roquefort for thousands of years, and they follow many rules when making it, to be sure that it is done in the traditional way. One of the rules is that they must let their sheep live freely in the mountains.However, following these rules has become very dangerous. Wolves have moved into the area, and they have killed 62 sheep. The wolves are an endangered species, and have not been seen in the French mountains since the 1920s. No one is allowed to kill the wolves, but the farmers are now saying it is impossible for their sheep to live in the same mountains as the wolves. Farmers have dogs to protect the sheep and have also built electric fences, but they say they will not have enough money to continue making Roquefort once they have spent it all on keeping their sheep safe. Many people have said that wolves that attack sheep should be killed, since they have become a threat to the farmers' jobs. Others think that anyone who wants the wolves killed is trying to make them become extinct.Maybe it would not be a problem if Roquefort became extinct instead, and the wolves were able to live in the mountains. But then the farmers would not have jobs. Will the people of Southern France be able to find a way that protects both the wolves and the King of Cheeses? Let's wait and see.12.What can we learn about Roquefort?A.It is produced in many places in France.B.It has been made in modern ways.C.It has a long history.D.It is easy to make.13.What problem do the sheep face?A.They have been endangered since the 1920s.B.They are in danger of being attacked.C.They are too expensive to feed.D.They are killed by people.14.What may happen if farmers fight with the wolves?A.They can't afford to make the cheese.B.They have no time to make the cheese.C.They have no idea how to sell the cheese.D.They can't produce the cheese with high quality.15.What do people think of the wolves?A.They agree with killing the wolves.B.They support leaving the wolves as they are.C.They are divided on the ways of protecting the wolves.D.They hold different ideas about how to deal with the wolves.Teaching kids is hard work, but educating them to be environment-friendly is even harder. 16 These small things will influence their whole lives. Here are four things I want to share.1. Knowing more about food.I don’t want my kids to think that food directly appears in supermarkets. 17 So we pick fruits together each summer to make a salad and buy meat from farmers whose farms and animals we’ve visited.2. Reducing waste.My children are told to empty the dustbins whenever they’re full, even in the cold Canadian winter.18 For example, we usually choose products with less or reusable packages.3. Wearing secondhand clothes.19 These old clothes can not only keep us warm, but also save resources for making new clothes. I get them at specific stores or from my friends whose children are older than mine.4.20Give children more time to spend outside every day, whether it’s playing in the backyard or riding their bikes around town. I believe that kids will protect the environment readily if they have a deep love for the natural world. And the easiest way to develop that is spending time on it. A.Taking more exercise.B.Spending time outside.C.We go to farms and pick fresh vegetables weekly.D.Nearly everything my kids and I wear is secondhand.E.They should know where food comes from and how it grows.F.So they have thought deeply about how to produce less waste.G.I always try to help them develop environmental habits in daily life.二、完形填空Do you think that your English is not good enough to survive in an English-speakingcountry? 21 again. If you are doubtful, let me tell you a 22 about Arnold Schwarzenegger.Arnold Schwarzenegger was born on July 30, 1947 in Austria. Ever since he was 10, he 23 moving to America. At the age of 21, he moved to America speaking very 24 English.Arnold knew that if he wanted to 25 like Americans, he had to be surrounded (围绕) by as much English as possible. He took 26 type of English class you could think of: speech lessons, writing lessons, even accent-removal lessons. He 27 to do this so he could 28 newspapers and magazines and learn as much about American culture as possible.He also took advantage of 29 to practice English whenever he could. When he first moved to California, he worked at a fitness center so he could practice English. In America, he surrounded himself with people who 30 spoke English.He said that it was 31 for him when he first moved to America, but it never 32 him. He didn’t let anyone 33 him, even when people told him he had a funny accent. Instead, he worked at removing his accent and learnt as much English as possible.Through hard work, Arnold 34 becoming one of the most powerful men in America. His story shows what you can 35 when you work hard at something. 21.A.Try B.Think C.Learn D.Say22.A.plan B.joke C.story D.job 23.A.dreamed of B.believed in C.suggested D.remembered 24.A.clear B.fast C.little D.much25.A.do B.study C.work D.speak 26.A.every B.one C.another D.next 27.A.refused B.helped C.chose D.happened 28.A.buy B.read C.share D.write 29.A.excuses B.answers C.lessons D.chances 30.A.still B.ever C.never D.only 31.A.difficult B.important C.interesting D.dangerous 32.A.caught B.stopped C.satisfied D.surprised33.A.serve B.force C.discourage D.invite 34.A.talked about B.worried about C.gave up D.ended up 35.A.imagine B.achieve C.use D.accept三、语法填空Are you facing a situation that looks impossible to fix?In 1969,the pollution was terrible along the Cuyahoga River Cleveland, Ohio. It 36 (be) unimaginable that it could ever be cleaned up. The river was so polluted that it 37 (actual) caught fire and burned. Now, years later, this river is one of 38 most outstanding(杰出的)examples of environmental cleanup.But the river wasn’t changed in a few days 39 even a few months. It took years of work 40 (reduce) the industrial pollution and clean the water. Finally, that hard work paid off and now the water in the river is 41 (clean) than ever.Maybe you are facing an impossible situation. Maybe you have a habit 42 is driving your family crazy. Possibly you drink too much or don’t know how to control your credit card use. When you face such an impossible situation, don’t you want a quick fix and something to change immediately?While there are 43 (amaze) stories of instant transformation, for most of us the 44 (change) are gradual and require a lot of effort and work, like cleaning up a polluted river. Just be 45 (patience).四、书信写作46.假定你是李津,你的英国笔友Mike刚刚升入高中,感到一切都很陌生,压力很大。
山东省德州市第一中学2024-2025学年高二上学期10月月考英语试题一、阅读理解A Selection of Museums and Attractions in Washington DCThe Tidal BasinThe basin, part of the West Potomac Park, is surrounded by a path that’s perfect for walking, running or cycling. The memorials to Thomas Jefferson and Martin Luther King Junior are two highlights surrounding the lake. It is the location most associated with Washington’s Cherry Blossom (樱花) Festival that takes place each spring.National Museum of African American History and CultureThe museum opened in late 2016 after more than a decade of planning. It is dedicated to African American history and culture and is organized like a vertical timeline, starting with the Atlantic slave trade on the 1400s and moving up to the 21st century. Higher up are exhibitions on African American music, theatre and art. It’s a powerful experience and also very popular: you’ll have to apply for a timed ticket to enter.The NewseumFurther along Pennsylvania Avenue is the Newseum, loved for the 800 newspaper front pages from around the world that are hung outside every morning. Inside, there are moving exhibits showing how important historical events have been reported, such as the September 11 attacks. Alongside newspaper pages from the day after the attacks, there’s a video exhibit highlighting the work of journalists reporting on the Twin Towers falling. A must if you’re interested in journalism.National Gallery of ArtThe art gallery is an impressive space: two buildings, linked underground, and a sculpture garden next door. Inside the light-filed East Building there’s modern art, including a roomful of Jackson Pollock’s murals (壁), Andy Warhol’s Green Marilyn and Roy Lichtenstein’s Look Mickey.The classical West Building tends to house older artwork: the European impressionists andItalian Renaissance art (from artists including Da Vinci and Raphael) are two highlights. 1.Which of the following requires reserving a ticket in advance?A.The Newseum.B.The Tidal Basin.C.National Gallery of Art.D.National Museum of African American History and Culture.2.What can visitors do at the Newseum?A.Learn about the stories about news.B.Learn how to report important events.C.Talk with journalists about the 9/11 attacks.D.Read 800 recently published newspapers.3.Why is Green Marilyn exhibited in the East Building?A.It’s a painting of modern art.B.It is a painting of traditional art.C.It is a painting by a famous artist.D.It is a priceless painting of the gallery.As my husband and I drove down a country road, we passed a fire station with a sign that read, “Are you ready for the next storm?” Our area had just been in the path of Hurricane Irma, causing downed tree and outages. We were stuck in the dark and cut off from the outside world.We have had our share of storms in the past — a snowstorm and other heavy snows that knocked down trees, sometimes up to a week at a time. Those days in a cold house weren’t fun, but we learned much from those early storms, things that made later storms easier to bear.Now we have stored up flashlights, lanterns and candles. We bought a battery-operated radio to keep with the news. We stocked up on batteries so that we’d have plenty for extended power failures. We make sure our grill (烤架) is ready and its tank is full, and we purchase food that can be easily prepared and then cooked or heated on the grill. And we don’t forget to buy emergency chocolate! We have book lights to read in the dark. We keep our car gas tanks full and have emergency cash on hand.We’re ready for the next storm, but we wouldn’t have learned to do all those things if wehadn’t encountered a storm in the past. The same is true spiritually. Those little storms in our lives are never fun, but they prepare us for the big storms — the big trials — that will come our way. They can teach us some valuable lessons.Are you ready for the next storm? Now is the time to get ready... not when the storm arrives.4.Which can replace the underlined word “outages” in Paragraph 1?A.Weather change B.Power failureC.Virus spreading D.Emotional reaction5.What does Paragraph 3 mainly talk about?A.The lessons that storms can teach us.B.The importance of being ready for storms.C.The preparations the author made for the next storm.D.The necessities the author bought for her daily life.6.What does the author think of experiencing the past storms?A.It was thrilling.B.It was annoying.C.It was rewarding.D.It was frightening.7.What can we learn from the author’s story?A.Stay optımistic during the storms.B.Keep something for a rainy day.C.Don’t stop regardless of the weather.D.Sunshine always comes after the storm.Researchers at MIT created a high-tech pill that starts to vibrate (震动) once it makes contact with liquid in the user’s stomach and make him or her feel full. The pill was reportedly thought up by Shriya Srinivasan, currently an assistant professor of bioengineering at Harvard University.VIBES, short for Vibrating Ingestible BioEleotronic Stimulator, was only recently made public in a study published in the Science Journal, but it is already being announced by the media as the future of weight loss. Although it has yet to be tested on humans, trials on pigs have achieved very hopeful results. After about 30 minutes of VIBES activity, pigs consumed onaverage almost 40 percent less food in the next half hour than they did without the smart pill. Apparently, the revolutionary device works by activating stretch receptors in the stomach, modeling the presence of food. This in turn signals the hypothalamus (下丘脑) to increase the levels of hormones that make us feel full. The vibrating stimulator, which is about the size of a vitamin pill, is powered by an encased battery and activated either by the gastric fluid (胃液) breaking down a coat around the pill, or by an incorporated timer. After producing the desired effect, the pill exits the body with other solid waste:The good news is that it is expected to have a cost in the cents to one dollar range, and researchers say that it may eventually be possible to implant the stimulator and thus remove the need for people to constantly swallow it.“Our study demonstrates the effectiveness of a low-cost, non-operative intervention to reduce food intake and ca lorie consumption. The device functions effectively in the stomach and leading to fullness,” said Giovanni Traverso, co-author of the study. “The device has the potential to revolutionize options for weight loss treatment. However, future studies will need to explore the physiological effects of the device before it’s available for patients.”Researchers are now exploring ways to scale up the producing of VIBES capsules which could enable clinical trials in humans.8.What is the outcome of taking the pill?A.Liquid production.B.Food storage.C.Sensation of fullness.D.Recovery of users.9.Which aspect of the device is mentioned in paragraph 2?A.Its working principle.B.Its intelligence.C.Its testing history.D.Its side effect.10.What is the researchers’ ultimate goal of the device?A.To produce gastric fluid with it.B.To destroy the coat around it.C.To fix it in human body.D.To remove solid waste from it.11.What is Giovanni Traverso’s attitude towards the future of the device?A.Worried.B.Cautious.C.Doubtful.D.Confused.“There are few things more delightful than seeing a child’s eyes light up as they pick up apresent and wonder what might be inside,” says Chaz Firestone, an assistant professor of psychological science. “What our work shows is that your mind is able to track the information they are seeking. Just as they might be able to tell what’s inside the box by shaking it around, you can tell what they are trying to figure out when they shake it.”A team of researchers recently conducted a fascinating study to look into the science behind this present- guessing phenomenon. They asked 500 volunteers to watch two videos, each showing someone shaking a box of objects with different intentions. In one video, the person was attempting to determine the number of items inside the box, while in the other, they aimed to identify the shapes of the objects. Surprisingly, within a few seconds, the study participants were able to accurately determine the intention behind each shake.According to the researchers, this ability to quickly distinguish the purpose behind a shake involves numerous mental calculations and observations of subtle (细微的) clues to understand what someone is trying to learn from their surroundings. Yet, we seem to do it easily. “The way you would shake a present to find out if it’s one thing or many things, or if it’s a small thing or a big thing, can be subtly different,” says Sholei Croom, a graduate student. “But people are amazing at picking up on such differences.”While the study focused primarily on gift-shaking, it opens the door to a deeper understanding of human perception and cognitive abilities. In the future the team would like to pursue whether people observe the difference between what you want to do and what you want to learn. They’re also interested in when these skills emerge in human development and if it’s possible to build computation al models to detail exactly how observed physical actions show cognitive intent.12.What does the new study focus on about the box-shaking?A.The interaction between vision and thought.B.The motivation to recognize the goals.C.The way to track the information with mind.D.The psychological insights into emotions.13.What did the participants do in the experiment?A.Report their opinions on videos.B.Identify various shaking ways.C.Infer the meaning of the shaking.D.Guess the contents in the box.14.The ability that people can reveal the purpose of shaking a box is based on ______.A.numerous calculationsB.the quicker reaction to movementsC.the understanding of surrounding peopleD.the comprehension of small clues15.What is the main idea of the last paragraph?A.Applications are promising.B.Where the research will go?C.Tell hạnd from head.D.Limitation still exists.Do you ever feel like your parents still watch over you even though you’re a young adult? It might be your mother calling to check if you’ve eaten enough, or your father offering ad vice on managing your finances. Believe it or not, it’s common in adulthood to deal with feelings of being under parental control. We all know that their intentions come from love and care. 16 Parents’ attempts to control adults aren’t always conscious. Most of the time, their actions are driven by love, concern, and the desire to protect. 17 It’s not easy for parents to accept the transition from child to adult. Parents who have spent years guiding every step of their child’s life may struggle to recognize their child’s maturity and independence.Sometimes you might think that getting angry over their controlling behavior is an overreaction. But actually, your feelings of anger are natural because your parents’ attempts to control you directly affect your mental health. 18 It also reduces children’s perceived competence and increases their anxiety as a result Therefore, it’s not surprising that these effects can, persist into adulthbody.19 But as an adult, you’re responsible for taking care of your mental health and you can do something to help change that. It’s important to share how you feel and what you need from your parents. Just make sure to be confident and clearly explain how their behavior impacts you. Begin making small decisions without the need for their approval. You can avoid getting yourparents involved in your decisions or share your choices with them after you’ve made them. 20 They will provide strategies to ensure your relationship is both healthy and respectful.A.You can also turn to professionals for help.B.One primary factor is the difficulty of letting go.C.This situation is difficult for the children in the middle of it.D.But such behavior may negatively impact your well-being.E.For professionals working on controlling parents, advice differs.F.It’s not easy to face your controlling parents and regain a sense of independence. G.Studies show that parental control is linked to children’s anxiety and depression.二、完形填空What’s stopping you from learning a new language or a new sport? One common 21 is that the older you get, the more 22 it is to master something new. 23 , social scientists find that it’s the level of willingness you have to 24 yourself that determines whether you can succeed grasping something new.For many, 25 changes in life circumstances becomes more and more difficult with age. Settling down means spending more time on the sofa than trying 26 something outside of your comfort zone. Even if you have a spark of (丝毫) 27 for a new hobby, the desire for it tends to 28 over time. And with the reduced desire is a decreasing belief that you can get 29 it.Indeed, the biggest 30 is not age, but a person’s 31 mode of thinking that they possess only a certain amount of intelligence. While you may not become a world champion at snowboarding, your 32 will increase if you keep at it and do not give up.That’s why it’s important to 33 a growth mindset (思维模式). You can’t stop believing in growth even though you’re getting older. Luckily, it’s never too late to develop such a mindset if we 34 to. It’s all about being 35 to things you don’t know and looking at challenges as opportunities instead of obstacles. So, the next time something new comes your way, step up and say, “Challenge accepted! I’ll make it!”21.A.pursuit B.belief C.characteristic D.instance22.A.interesting B.meaningful C.challenging D.regretful 23.A.However B.Therefore C.Otherwise D.Besides 24.A.sustain B.advertise C.behave D.push 25.A.understanding B.accepting C.recognizing D.summarizing 26.A.brushing off B.going for C.missing out D.thinking over 27.A.pride B.sympathy C.generosity D.passion 28.A.weaken B.continue C.emerge D.expand 29.A.aware of B.focused on C.experienced in D.motivated by 30.A.principle B.barrier C.expectation D.target 31.A.mature B.normal C.fixed D.practical 32.A.competence B.tolerance C.consideration D.imagination 33.A.define B.maintain C.assess D.question 34.A.expect B.attempt C.agree D.determine 35.A.limited B.sensitive C.open D.contrary三、语法填空阅读下面短文,在空白处填入1个适当的单词或括号内单词的正确形式。
一、高中英语阅读理解1.阅读理解A few hours after my first mission, returning to Earth on the space shuttle Endeavour, I completed all of my medical tests after flight, met with NASA officials, and reunited with my family. Finally, I was alone in my office room in astronaut crew quarters at the Kennedy Space Center, exhausted and ready for bed. And I did what anyone does when they return to their hotel room on a business trip: I turned on the TV. The television news started up: Such and such had happened, people were shocked, blah blah blah. Sports scores. Silly commercials.It didn't take more than a minute before I had to turn it off. It felt like my body was rejecting all this input, just as it would reject an organ donation that had the wrong blood type. All of this noise was just completely foreign to who I was—or, more appropriately, who I had become. A few hours before, I had been orbiting Earth, seeing our planet from space, flying the most amazing machine ever built by human hands, working with a team that was the absolute success of human. And now here in my room watching what was being sold as news, and with my newfound perspective, I just could not stomach it. My worldview was changed forever in a profound (深刻的) way.The biggest change by far and the one for which I will always be most grateful is this big-picture perspective. That will stick with me for the rest of my life.Whenever I feel the pressure of modern life, the stress about work, or worry about the future, I remember my time in the space station. Back to seeing the sun set Or watching our galaxy rise on the horizon. Or seeing a sea of lightning flash a hundred times a second. Or simply back to floating weightlessly.When I'm there in my mind and realize how many billions of these beautiful sunsets there have been and will be in the future, the cares of the world just don't seem that pressing. It goes that, "Do not worry about tomorrow, for tomorrow will worry about itself." Living daily life down here on the planet is so much better with this attitude!(1)Which of the following is closest in meaning to the underlined word stomach in paragraph 2?A. Access.B. Attend.C. Accept.D. Afford.(2)What is the most important change to the writer?A. He has a broader view of the world.B. He doesn't like watching TV any more.C. He will always be most grateful for everything.D. He can fly the most amazing machine by hands.(3)What attitude to life does the writer tend to have?A. caged bird longs for clouds.B. Live in the present moment.C. Let bygones be bygones.D. Time works great changes.【答案】(1)C(2)A(3)B【解析】【分析】本文是一篇夹叙夹议文,讲述了在一次太空之旅后作者对待生活的态度的变化。
一、高中英语阅读理解1.阅读理解The term "smiling depression" —appearing happy to others while actually suffering depressive symptoms—has become increasingly popular. In fact, many people who experience a low mood and a loss of pleasure in activities manage to hide their condition in this way. And these people might be particularly easy to suicide.While smiling depression is not a technical term that psychologists use,it is certain to be depressed and manage to successfully mask the symptoms. The closest technical term for this condition is "atypical depression: It can be very hard to spot people suffering depression because they may seem like they don't have a reason to be sad —they have a job, an apartment and maybe even children or a partner. They smile when you greet them and can carry pleasant conversations. In short, they often put on a mask to the outside world while leading seemingly normal and active lives. Inside, however, they often feel hopeless and down, sometimes even having thoughts about ending it all.People with smiling depression put on a happy face to the outside world, but they can experience a lift in their mood as a result of positive occurrences in their lives. Other symptoms of this condition include overeating, feeling a sense of heaviness in the arms and legs and being easily hurt by criticism or rejection. They are also more likely to feel depressed in the evening and feel the need to sleep longer than usual. With other forms of depression, however, your mood might be worse in the morning and you might feel the need for less sleep than you are normally used to.So how can they break this circle? A starting point needs to be known that this condition actually exists and that it's serious. Only when we stop ignoring our problems because we think they're not serious enough can we start making an actual difference. Then we can find purpose by taking the attention away from ourselves and placing it onto something else. Feeling that our lives matter is finally what gives us purpose and meaning —and this can make a significant difference for our mental health and well-being.(1)What do we know about people suffering smiling depression?A. They are wearing masks all day.B. They are difficult to get along with.C. They lead an abnormal life actually.D. Most of them commit suicide.(2)What does the underlined word "atypical" in paragraph 2 mean?A. representativeB. commonC. hiddenD. formal(3)Compared with smiling depression, people suffering other depressions .A.may feel sleeplessB.feel more depressed in the eveningC.are tired of heaviness in the armsD.may eat more food(4)What can we do to overcome smiling depression?A.Never talk about smiling depression and ignore its existence.B.Admit the condition and pay attention to ourselves.C.Value the importance of our life and enjoy it.D.Find out the problem and place it onto somebody else.【答案】(1)C(2)C(3)A(4)C【解析】【分析】本文是一篇说明文,介绍了“微笑抑郁”这个名字的来历,相关的症状,以及克服这种抑郁症的方法。
一、高中英语阅读理解1.阅读理解Camper Lunch ProgramWe are pleased to offer the Camper Lunch Program for full-day campers or campers participating in both morning and afternoon half-day camps.Lunch at the Overlake SchoolAt the Overlake School in Redmond, you can sign up for lunch at the time of registration. Lunch is provided by the school cafeteria including a hot main dish and a salad bar option. Limited diet restrictions can be accommodated in advance. All orders or cancellations must be made by 4:00 pm on Wednesday.$ 40 for 5-day camp week$ 32 for 4-day camp weekLunch at View SeattleTwo weeks before your camp start date, you will receive a link in your confirmation email to choose your preference between the regular and vegetarian(素的)lunch menus. Besides, camper with allergies or sensitivities are encouraged to bring their own lunch.$ 40 for 5-day camp week$ 38 for 4-day camp weekLunch at St. Thomas SchoolAt St. Thomas School, lunch and snacks are provided by SAGE Dining. Lunch includes a hot main dish, a salad bar and sandwich options. Campers also receive two snacks per day.$ 50 for 5-day camp week$45 for 4-day camp weekLunch at Pacific Science CenterAt Pacific Science Center, you can sign up at the time of registration. Lunch is provided by our very own Pacific Science Center Cafe. Every day, standard and vegetarian lunch menus are available and come with a water bottle and two snacks. All orders or cancellations must be made by 4:00 pm on Wednesday.$ 45 for 5-day camp week$ 36 for 4-day camp week(1)Which program can a camper with a budget of $ 35 choose?A.Lunch at the Overlake School.B.Lunch at View Seattle.C.Lunch at St. Thomas School.D.Lunch at Pacific Science Center.(2)What are campers for Lunch at View Seattle required to do?A.Stay far away from anything with allergies.B.Choose their lunch preferences in advance.C.Avoid bringing their own lunch for any reason.D.Send emails to offer advice on improving lunch.(3)What do the last two programs have in common?A.They receive registrations only on Wednesday.B.They encourage campers to bring some snacks.C.They are mainly intended for vegetarian campers.D.They provide campers with two snacks each day.【答案】(1)A(2)B(3)D【解析】【分析】本文是一篇应用文,向露营者介绍了一些午餐项目的相关信息。
德州市高考英语专题复习阅读理解(附答案)一、高中英语阅读理解1.(2019•浙江)阅读理解California has lost half its big trees since the 1930s, according to a study to be published Tuesday and climate change seems to be a major factor(因素).The number of trees larger than two feet across has declined by 50 percent on more than 46, 000 square miles of California forests, the new study finds. No area was spared or unaffected, from the foggy northern coast to the Sierra Nevada Mountains to the San Gabriels above Los Angeles. In the Sierra high country, the number of big trees has fallen by more than 55 percent; in parts of southern California the decline was nearly 75 percent.Many factors contributed to the decline, said Patrick Mclntyre, an ecologist who was the lead author of the study. Woodcutters targeted big trees. Housing development pushed into the woods. Aggressive wildfire control has left California forests crowded with small trees that compete with big trees for resources(资源).But in comparing a study of California forests done in the 1920s and 1930s with another one between 2001 and 2010, Mclntyre and his colleagues documented a widespread death of big trees that was evident even in wildlands protected from woodcutting or development.The loss of big trees was greatest in areas where trees had suffered the greatest water shortage. The researchers figured out water stress with a computer model that calculated how much water trees were getting in comparison with how much they needed, taking into account such things as rainfall, air temperature, dampness of soil, and the timing of snowmelt(融雪).Since the 1930s, Mclntyre said, the biggest factors driving up water stress in the state have been rising temperatures, which cause trees to lose more water to the air, and earlier snowmelt, which reduces the water supply available to trees during the dry season.(1)What is the second paragraph mainly about?A. The seriousness of big-tree loss in California.B. The increasing variety of California big trees.C. The distribution of big trees in California forests.D. The influence of farming on big trees in California.(2)Which of the following is well-intentioned but may be bad for big trees?A. Ecological studies of forests.B. Banning woodcutting.C. Limiting housing development.D. Fire control measures.(3)What is a major cause of the water shortage according to Mclntyre?A. Inadequate snowmelt.B. A longer dry season.C. A warmer climate.D. Dampness of the air.(4)What can be a suitable title for the text?A. California's Forests: Where Have All the Big Trees Gone?B. Cutting of Big Trees to Be Prohibited in California Soon.C. Why Are the Big Trees Important to California Forests?D. Patrick Mclntyre: Grow More Big Trees in California【答案】(1)A(2)D(3)C(4)A【解析】【分析】本文属于议论文,围绕加利福尼亚的大树从20世纪30年代以来大量减少为主题,探讨出现这一现象的原因。
一、高中英语阅读理解1.阅读理解Young Adult Groups●Around the World in 80 Books — 9,186 membersIf you love exploring the world through books, you have come to the right place! It all started as a challenge on TNBBC in 2009, and now we have our own group! Challenge participation is not a requirement of joining. Anyone who loves reading books is welcome.Website: http: //Rules: Respect each other's opinions and have fun!●Readers That Love Giveaways — 734 membersThis group is for readers that enjoy entering give-aways and finding freebies(免费物)! Follow us for the newestbargain, discounted, and free e-books, as well as new releases and book recommendations. Website: Rules: Please share your items in the appropriate folders!●Book Loving Kiwis — 706 membersA group for New Zealand book lovers(and authors)and lovers of New Zealand books(and books in general). Aplace to share what we're reading, introduce books we have written, and discuss and recommend books. Please recommend us to your friends.Website: Rules: Enjoy reading! Respect all group members and their opinions.●A Book and a Cappucino — 77 membersThis group is for anyone who likes to read and likes to read at their own pace. It does not matter how much or how little you read. It's just a friendly place to discuss what you're reading and to get ideas for your next read. You can participate as much or as little as you like.Website: Rules: Be respectful to all. Everyone has a right to share opinions.(1)Which of the four groups is the most popular?A. Book Loving Kiwis.B. A Book and a Cappucino.C. Around the World in 80 Books.D. Readers That Love Giveaways.(2)Which website should you visit if you want free reading materials?A. .B. .C. .D. .(3)Who is the text mainly intended for?A. New authors.B. Young adults.C. Book dealers.D. Book lovers.【答案】(1)C(2)A(3)D【解析】【分析】本文是一篇应用文,介绍了四个小组,它们都是为喜欢读书的人开设的兴趣小组。
一、高中英语阅读理解1.阅读理解Garbage sorting has become a hot issue around China, especially after Shanghai began carrying out a regulation on July 1.Beijing, as a forerunner in environmental protection, has thus been expected to follow suit. The capital of the country has long been campaigning for sorting and recycling household waste, as part of its environmental drive for sustainable growth, local media reported.The current regulation gives garbage sorting responsibilities to government departments, property management groups and other organizations. It also gives rules for companies, outlining how they're responsible for waste collection, transportation and treatment. Only individuals are not subject to responsibilities.The long-awaited revision will soon change the situation, "Taking out the trash without sorting it properly will be illegal," said Sun Xinjun, director of the Beijing Commission of Urban Management. In Shanghai, violators are now fined up to 200 yuan ($30)for trash-sorting violations. The maximum fine in Beijing will not be less than that, he said.The Beijing city government first set out to promote garbage sorting in 2009. Authorities have since called on citizens to sort their household waste into four types-recyclable waste, kitchen trash, dangerous waste and others-and leave it in a corresponding dustbin or trash can. Blue-colored dustbins signify items within are recyclable, green represents kitchen trash, red corresponds to dangerous materials and grey to other waste.To promote the awareness of garbage sorting and expand the base of participants, authorities have employed workers to help residents on the spot. With intelligent devices, those who throw in recyclable waste at given sites will be rewarded with bonus points, which can be used to buy daily goods. At some communities, there are no color-coded dustbins. Instead, a scheduled garbage collection service is offered to help improve the environment. In other communities, workers offer a door-to-door service to collect recyclables or kitchen waste.Beijing Environmental Sanitation Engineering Group has been promoting new garbage sorting facilities such as recycling cabinets and smart kitchen waste trash cans since 2016, Xinhua News Agency reported. Nearly 26,000 metric tons of household waste is generated across Beijing on a daily basis and 29 terminal garbage disposal facilities are working at full capacity. Nearly 9.3 million tons of household waste was processed in the city last year.(1)According to the passage, which dustbins should some used coke cans be thrown into?A. Grey-colored dustbins.B. Red-colored dustbins.C. Green-colored dustbins.D. Blue-colored dustbins.(2)We can learn from the passage that ________.A. new technology has been applied to help deal with garbageB. Beijing carried out a more severe rule on garbage sorting than ShanghaiC. the change of the current regulation has aroused objection among citizensD. the amount of household waste in Beijing is far from something disturbing(3)What is the best title for the text?A.How to Sort Garbage in ChinaB.The Current Regulation in BeijingC.Garbage Collection in BeijingD.Waste Recycling Project Counts(4)The passage can be sorted as ________.A.a book reviewB.a travel brochureC.an environment reportD.a geography essay【答案】(1)D(2)A(3)C(4)C【解析】【分析】本文是一篇说明文,介绍了垃圾分类在北京的实施情况。
一、高中英语阅读理解1.阅读理解The founder of electric supercar maker Rimac has said it won't make sense for people to own or drive their own cars in the coming decades.According to Rimac, most people will no longer own or operate their own cars in the future. Instead, vehicles will be shared, self—driving and electric. These changes are already starting. "There will be people who still want to own their cars and drive their cars and I am happy for that because that is our business," Rimac said. "Long term, I think 20 years down the road, it will be totally changed and people will not own or drive their cars anymore." Rimac's most recent car, the C—Two, comes off the production line next year.Rimac is well aware the industry is changing quickly due to the rise of self-driving vehicles and electric batteries, and says in the next 20 years driving as we know it may exist mainly as a hobby. "I really believe that humanity goes for things that make sense." he told Newsweek. "If you look at 1.3 million people dying every year on the roads, if you look at the impact it has on economies based on traffic jams and time lost, it's so much of a negative impact to society that I think such a huge benefit can be gained if people stop driving.""Let's look into the future. You are standing in front of the choice of either investing a huge amount of your money in buying a hunk of metal and plastic for 30, 40, 50 thousand dollars, or you have the convenient option of paying as you go, the car picks you up in a few minutes, it's a nice environment and you spend a few dollars per day on your transport.""When you take the driver out of the car, transport can be much cheaper and you can use the time to do other things, instead of sitting behind a steering(转向)wheel and not doing anything else. So I think the choice for the vast majority of people will be the obvious one."(1)What can we learn from paragraph 2?A.The majority of people will purchase cars.B.Huge changes will take place in car industry.C.Driving cars will enjoy more popularity.D.The car business is gradually disappearing.(2)What is a major cause of the fast change in the car industry?A.The rapid growth of self-driving cars.B.The rise of shared vehicles.C.The increasing demand of customers.D.The advanced production line.(3)How does Rima feel about the future of self-driving cars?A.Uncertain.B.Confused.C.Optimistic.D.Frightened.(4)What can be a suitable title for the text?A.Self-driving cars meet new challenges.B.Self-driving cars avoid human errors.C.Possessing or driving cars won't be a must.D.Conventional cars will be completely replaced.【答案】(1)B(2)A(3)C(4)C【解析】【分析】本文是一篇议论文,讲述了由于自动驾驶车辆和电池的兴起,在不远的将来人们不用再买车和驾车,此外自动驾驶车辆将给社会和环境带来巨大好。
一、高中英语阅读理解1.阅读理解We have many trips for you to explore the world your way. Our travel ideas are as diverse as the world itself and are designed to let you experience it. Please start with the following four trips.Athens and Crete ExplorerVisit Greek's famous capital, Athens, and its largest island, Crete, on this Greece vacation. In Athens, tour the iconic Acropolis and head to nearby Delphi to see the home of the ancient Oracle, before flying to the island of Crete where you can explore its capital, Heraklion, and enjoy its world-famous diet of seafood and cheese.Duration: 8 Days Prices From: US$ 892Trip Type: Romance & Honeymoon, Tailor-made Travel IdeasDesigned to thrill people of all ages, this family London vacation explores the sights, history and magic of this great city. Visit the world of Harry Potter, the original Madame Tussaud's Wax Museum, and take the Original London Sightseeing Tour.Duration: 9 Days Prices From: US$ 634Trip Type: Family Vacations, Stopovers/City Breaks, Tailor-made Travel IdeasExplore the two most popular cities of Australia and New Zealand on this air-land tour. Start in Sydney, where you'll tour the Sydney Opera House, sail across the famous harbour, and see koalas and kangaroos at Taronga Zoo. Then head on to Auckland where you'll explore the twin harbours, learn about Maori traditions, and enjoy unbeatable views of the landscape. Duration: 11 Days Prices From: US$ 1,999Trip Type: Vacation Packages with AirfareThis tour is a true classic designed to give the traveler with limited time a superb introduction to the civilization of Ancient Egypt, focusing on the Nile and its importance to the people. The ancient land of Egypt inspires the imagination like no other. Unlock the land of the Pharaohs on this 9 day journey along the Nile.Duration: 9 Days Prices From: US$ 1,495Trip Type: Classics (Bestsellers), Tailor-made Travel IdeasA. London for Families.B. Australia & New Zealand.C. Classic Egypt.D. Athens and Crete Explorer.(2)If you are on the trip to London for Families, you will see ________.A.the ancient OracleB.the world of Harry PotterC.koalas and kangaroosD.the ancient land of Egypt(3)From the text, it can be learnt that all the four trips ________.A.have the same trip typeB.take more than one weekC.take more than US$ 1000D.enjoy their famous diet(4)Where is the text probably taken from?A.A travel brochure.B.A science fiction.C.A storybook.D.A textbook.【答案】(1)D(2)B(3)B(4)A【解析】【分析】本文是一篇应用文,介绍了四个旅游行程。
一、高中英语阅读理解1.阅读理解Almost none of us have the time to read everything we'd like to read. Yet we lose countless hours to daily activities that bring us little joy like taking buses and waiting in line. What if we could turn these little blocks of unoccupied time into precious and rewarding moments for learning and reflection?Founded in 2012, iReader, a micro-learning app on mobile phones, brings the biggest ideas from best-selling books through 15-minute audio (音频) and text. So far, more than 3,000 books have been included, ranging from psychology and parenting to management and economics, with new titles added every day.Reader is pioneering a new method of reading, with over 9 million users enjoying the benefits already. According to the Pew Research Center (PRC), the British read just 4 paper books a year and over 25% haven't read a single paper book this year, but reading isn't dying. There are now more ways for the British to read than ever before, due to the widespread use of e-books and audio books.The books in iReader are rewritten to ensure it is easy to remember the main content. The way the content is edited has been specifically designed to ensure it is useful in practice. Besides, the content is rewritten with relevant examples in real life, which means users are more likely to remember and apply what is helpful to them.Holger Seim, German co-founder of this app, declares, "iReader gives you the biggest ideas in the shortest possible time. It transforms great ideas into little packs you can listen to or read in just 15 minutes."(1)What does the author suggest people do in the unoccupied time?A. Read and think.B. Write and share.C. Avoid taking buses.D. Bring joy to daily routines.(2)What can we infer from the PRC findings?A.The British benefit a lot from reading.B.Reading methods are more important than before.C.Digital technology are taking the place of paper books.D.New forms of books are changing the way the British read.(3)How does iReader make the content easy to remember?A.By bringing fun to it.B.By making it useful.C.By using artistic designs.D.By taking users as examples.(4)What is the best title for the text?A.iReader Prevents Reading from DyingB.iReader Unites Worldwide Book-loversC.iReader: The Best New App CreationD.iReader: Big Ideas in Small Packages【答案】(1)A(2)D(3)B(4)D【解析】【分析】本文是一篇说明文,介绍了一种阅读方式:iReader。
一、高中英语阅读理解1.(2019•全国Ⅱ)阅读理解“You can use me as a last resort(选择), and if nobody else volunteers, then I will do it.” This was an actual reply from a parent after I put out a request for volunteers for my kids lacrosse(长曲棍球)club.I guess that there's probably some demanding work schedule, or social anxiety around stepping up to help for an unknown sport. She may just need a little persuading. So I try again and tug at the heartstrings. I mention the single parent with four kids running the show and I talk about the dad coaching a team that his kids aren't even on … At this point the unwilling parent speaks up,“Alright. Yes, I'll do it.”I'm secretly relieved because I know there's real power in sharing volunteer responsibilities among many. The unwilling parent organizes the meal schedule, sends out emails, and collects money for end-of-season gifts. Somewhere along the way, the same parent ends up becoming an invaluable member of the team. The coach is able to focus on the kids while the other parents are relieved to be off the hook for another season. Handing out sliced oranges to bloodthirsty kids can be as exciting as watching your own kid score a goal.Still, most of us volunteers breathe a sigh of relief when the season comes to a close. That relief is coupled with a deep understanding of why the same people keep coming back for more: Connecting to the community(社区)as you freely give your time, money, skills, or services provides a real joy. Volunteering just feels so good.In that sense, I'm pretty sure volunteering is more of a selfish act than I'd freely like to admit. However, if others benefit in the process, and I get some reward too, does it really matter where my motivation lies?(1)What can we infer about the parent from her reply in paragraph 1?A. She knows little about the club.B. She isn't good at sports.C. She just doesn't want to volunteer.D. She's unable to meet her schedule.(2)What does the underlined phrase“tug at the heartstrings”in paragraph 2 mean?A. Encourage team work .B. Appeal to feeling.C. Promote good deeds.D. Provide advice.(3)What can we learn about the parent from paragraph 3?A. She gets interested in lacrosse.B. She is proud of her kids.C. She'll work for another season.D. She becomes a good helper.(4)Why does the author like doing volunteer work?A. It gives her a sense of duty.B. It makes her very happy.C. It enables her to work hard.D. It brings her material rewards.【答案】(1)C(2)B(3)D(4)B【解析】【分析】本文是一篇夹叙夹议的文章,讲述作者邀请并说服一位不愿意当志愿者的家长帮忙,在孩子们的长曲棍球俱乐部为孩子们提供志愿服务,从而从志愿活动中得到快乐。
一、高中英语阅读理解1.阅读理解Most adults find it hard to recall events from their first few years of life and now scientists have found exactly when these childhood memories fade(消失).A new study has found that most three-year-olds can recall a lot of what happened to them over a year earlier, and these memories persist while they are five and six, but by the time they are over seven, these memories decline(衰退) rapidly.Most children by the age of eight or nine can only recall 35% of their experiences from under the age of three, according to the new findings.The scientists behind the research say this is because at around this age the way we form memories begins to change. They say that before the age of seven children do not have a sense of time and place in their memories. In older children, however, the early events they can recall tend to be more adult-like in the way they are formed. Children also have a far faster rate of forgetting than adults. The findings also help to explain why children can often have clear memories of events but then forget them just a couple of years later.The youngsters first visited the laboratory at the age of three and discussed six unique events from their past, such as family outings, trips to the zoo, and the first day of school. The children then returned for a second session between the ages of five and nine to discuss the same events. The researchers found that between the ages of five and seven, the amount of memories the children could recall remained between 63 -72 percent. However, the amount of information eight-to nine-year-old children could recall dropped to 35 and 36 percent.(1)What does the new study tell us?A.Childhood memories decline with years.B.Three-year-old kids are the cleverest.C.Childhood memories can fade easily.D.Some adults cannot recall past events.(2)What does the underlined word "persist" in Paragraph 2 mean?A.Change.B.Remain.C.Appear.D.Return.(3)What can we learn from Paragraph 4?A.Adults cannot have clear memories of past events.B.Children can think like adults when they get older.C.Children under 7 years old have different ways of forming memories.D.Children often forget things because they have no idea of time or place.(4)In the second session, nine-year-old children _________.A.refused to discuss the same eventsB.remembered all their family outingsC.could recall 72 percent of their past eventsD.only remembered a small part of their past events【答案】(1)A(2)B(3)D(4)D【解析】【分析】本文是一篇说明文,介绍了记忆消失的一些知识。
一、高中英语阅读理解1.阅读理解Empathy (同理心)is one of those strange qualities—something almost everyone wants, but few know how to truly give or receive it. In a world where self-satisfaction is emphasized, it is in short supply but high demand. This is all the more reason to teach the next generation what it means to have empathy for those around them.What Is Empathy?— Many people confuse sympathy and empathy, but they are two distinct values. Empathy is not just the ability to understand someone's feelings; criminals often take advantage of people by appearing to understand their feelings and subsequently gaining their trust. Empathy is more than that. Not only is it the ability to recognize how someone feels, but it also values and respects the feelings of another person. It means treating others with kindness, dignity, and understanding.Kids Need To See Adults Show Empathy—While some children are gifted with naturally kind hearts, in most cases kids need to see empathy modeled by the adults around them. It begins with the way parents relate to their children. Parents who show an interest in the things that matter to their kids and respond to emotions in a positive and caring way are teaching the skill of empathy.Meet Emotional Needs—When children have their emotional needs met, two things happen. They learn how to meet the emotional needs of others and they are anchored in what they are receiving, meaning that they are secure enough to give to others when the need arises but first they need to receive. An empty jug cannot fill a cup.It's a good idea to talk to kids about emotions and how other people experience them. Give their emotions names (for example, jealousy, anger, and love) and teach them that these are normal. Talk to them about how to handle emotions in a positive way and point out situations where other people are experiencing emotions. Teach them about respecting the emotions of others and show them how to act in a situation where a response is required.(1)Why is it that the next generation are taught to have empathy?A. Because people tend to center themselves.B. Because everyone lacks empathy.C. Because empathy is a strange quality.D. Because it's better to give than to receive.(2)Which situation can empathy be used in?A.When a mathematician is calculating the area of a farmland.B.When a teacher is comforting a student about his failure in exams.C.When a criminal is cheating a victim.D.When a dancer is dancing to music.(3)What does the underlined sentence "An empty jug cannot fill a cup" mean?A.An empty jug is too small to hold a cup.B.It's a must to talk to kids about emotions.C.Adults should set an example to kids.D.Kids give empathy with their emotional needs met first.(4)What is the main topic of the passage?A.How to train kids to have empathy.B.How to distinguish sympathy and empathy.C.How to help kids finish empathy-related tasks.D.Whether kids can be trained to be more empathetic.【答案】(1)A(2)B(3)D(4)A【解析】【分析】本文是一篇说明文,在一个强调自我满足的世界里,我们更有理由教导下一代,对周围的人抱有同理心意味着什么。
同时说明了同理心的含义,以及如何培养孩子的同理心。
(1)考查细节理解。
根据第一段中的”In a world where self-satisfaction is emphasized, it is in short supply but high demand. This is all the more reason to teach the next generation what it means to have empathy for those around them.“在一个强调自我满足的世界里,它供不应求。
因此,我们更有理由教导下一代,对周围的人抱有同理心意味着什么。
可知,下一代人被教导要有同理心,因为人们往往以自己为中心。
故选A。
(2)考查推理判断。
根据第三段中的”While some children are gifted with naturally kind hearts, in most cases kids need to see em pathy modeled by the adults around them.“虽然有些孩子天生就有一颗善良的心,但在大多数情况下,孩子们需要看到他们周围成年人的同情心。
故选B。
(3)考查句义猜测。
根据第四段中的”Meet Emotional Needs—When children have their emotional needs met, two things happen. They learn how to meet the emotional needs of others and they are anchored in what they are receiving, meaning that they are secure enough to give to others when the need arises but first they need to receive.“满足情感需求——当孩子们的情感需求得到满足时,会发生两件事。
他们学习如何满足他人的情感需求,他们被锚定在他们所接受的东西上,这意味着当需求出现时,他们有足够的安全感去给予他人,但首先他们需要接受。
可知,要想孩子们有同理心,必须首先满足他们自己的情感需求。
故选D。
(4)考查主旨大意。
根据第一段中的”This is all the more reason to teach the next generation what it means to have empathy for those around them.“因此,我们更有理由教导下一代,对周围的人抱有同理心意味着什么。
以及文章主要内容为如何教导孩子拥有同理心客栈,故选A。
【点评】本题考点涉及细节理解,推理判断,句义猜测和主旨大意四个题型的考查,是一篇教育类阅读,要求考生在捕捉细节信息的基础上,进一步根据上下文的逻辑关系,进行分析,推理,概括和归纳,从而选出正确答案。
2.阅读理解I spend half of my life with my mother and the other half with my father. My father lives with a twenty-pound cat named Tofu. He calls me his favorite daughter. I am an only child.My father's apartment is quite different from any other person's living space. Except for my room, there is no furniture. He doesn't like sofas or any comfortable chairs, so he has only adrawing table, a desk and his bed. He spends a lot of time lying on the studio floor. That's how he thinks, he says. Then he does yogaHe has a big kitchen, and on top of the refrigerator is an old clock he winds every week for good luck. The last time the clock stopped, my father's car was towed(被警察拖走) and some other terrible things happened, so he has become very superstitious (迷信的) . When he goes out of town, he hires someone to feed Tofu and wind the clock so it won't stop.The one thing he has plenty of is house rules. You have to take off your shoes when you come in. He won't allow anyone who wears a baseball cap into his house. He says only baseball players should wear baseball caps and only the catchers should wear them backward. Every time I go to stay in his house, he makes up a new rule. "House rule number 579, no television programs with laugh tracks!" he will say. But then be can never remember the numbers, so they change constantly.The rule that he always enforces is the one that requires me to write a two-page essay anytime I want something. He didn't speak English until he was sixteen, and he had a hard time learning to write it, so he wants me to become a good writer at an early age. This ritual(仪式)started when I asked him if I could have my ears pierced when I was nine. He said it was very cruel and told me I couldn't do it until I was thirty-five. But l kept asking him, and he finally said that if I wrote an essay and I could persuade him in writing why I wanted holes in my ears, maybe he would say okay. I wrote my first essay for my father, and after one month of writing and rewriting, he finally gave me his permission.(1)What is unusual about the father's apartment?A.It has a large kitchen.B.The father does yoga at home.C.It is scarcely furnished.D.The father spends a lot of time on the floor.(2)Which of the following is an example of the house rules?A.Someone is hired to feed Tofu.B.You can't wear shoes in the house.C.Baseball players are not allowed into the apartment.D.The writer can't watch television programs in the apartment.(3)Which of these statements about the clock is TRUE?A.It is not an automatic one.B.Her father doesn't like the clock.C.It can bring good luck to them.D.Someone is hired to wind it every week.(4)We can infer that the writer's father____.A.was a famous writerB.was born in the United StatesC.was a caring and strict fatherD.speaks more than one language【答案】(1)C(2)B(3)A(4)D【解析】【分析】本文是一篇记叙文,介绍了自己父亲的生活以及处事原则。