北邮_现代信号处理_第5章作业_答案
- 格式:docx
- 大小:98.13 KB
- 文档页数:2
5-8对基带信号()m t 进行DSB 调制,11()cos 2cos2m t t t ωω=+,112f ωπ=,1500f Hz = ,载波幅度为1。
试:①写出该DSB 信号的表达式,画出其波形; ②计算并画出该DSB 信号的频谱; ③确定已调信号的平均功率。
解:①DSB 信号的表达式为110()()()(cos 2cos2)cos DSB S t m t c t t t t ωωω=⋅=+⋅()m t 及DSB 信号波形如图5.29实线所示。
图5.29②该DSB 信号的频谱为111100*********()()()21[()()2(2)2(2)]2*[()()][()()2(2)2(2)2(DSB S M C ωωωππδωωπδωωπδωωπδωωππδωωπδωωπδωωωδωωωδωωωδωωωδωω=∗ =−+++−++ −++ =−−+−++−−+−+ ++01010101)()2(2)2(2)]ωδωωωδωωωδωωω−+++++−+++频谱图如图5.30所示图5.30③已调信号的平均功率为221122111111111()21(cos 2cos 2)2cos 4cos cos 24cos 2(1cos 2)2(cos3cos )2(1cos 4)12.5 1.252DSB fBP P m t t t t t t tt t t t Wωωωωωωωωωω===+ ++ +++++ ==××1=211= 22 5-9 设SSB 发射机被一正弦信号()m t 调制,1()5cos m t t ω=,112f ωπ=,1500f Hz = ,载波幅度为1。
试:①计算()m t 的希尔伯特变换ˆ()mt ; ②确定下边带SSB 信号的表达式; ③确定SSB 信号的均方根(rms )值; ④确定SSB 信号的峰值; ⑤确定SSB 信号的平均功率。
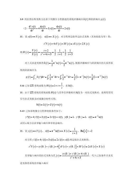
解:①1()5cos m t t ω=,其傅里叶变换为11()5[()()]M ωπδωωδωω=−++其希尔伯特变换的频谱为ˆ()sg n ()()Mj M j ωωωπδωωδωω11=−⋅ =5[(+)−(−)]因此,m(t)的希尔伯特变换为1ˆ()[()]5sin m t m t t ω==H②下边带SSB 信号的表达式为00101001ˆ()()co s ()sin 5cos cos 5sin sin 5cos[()]SSB S t m t t m t t t t t t t ωωωωωωωω=+ =⋅+⋅ =− ③以下边带SSB 信号为例,有SSB rms = ==④由下边带SSB 信号表达式可知,信号峰值为 max ()|5SSB S t =⑤SSB 信号平均功率为 225()12.52SSBSSB P S t W === 5-17已知幅度调制信号()AM S t 的总功率为200kW ,调制信号()f t 的最高频率 5 m f kHz =,载波频率810 o f kHz =,边带功率为40kW ,信道中噪声的双边功率谱密度,系统采用包络检波解调。
FIR 数字滤波器设计本章知识点:对于一个离散时间系统∑∑=-=--=M 1n nn 1-N 0n nnz a 1z bz H )(,若分母多项式中系数0a a a M 21====Λ,则此系统就变成一个FIR 系统∑-=-=1N 0n nn z b z H )(,其中系数1-N 10b ,.b ,b Λ即为该系统的单位取样响应h ( 0 ) , h ( 1 ) ,… h ( N-1 ),且当n > N-1时,h ( n ) = 0。
FIR 系统函数H(z) 在Z 平面上有N-1个零点,在原点z=0处有N-1个重极点。
这类系统不容易取得较好的通带和阻带特性,要想得到与IIR 系统类似的衰减特性,则要求较高的H(z)阶次。
相比于IIR 系统来说,FIR 系统主要有三大突出优点:1)系统永远稳定;2)易于实现线性相位系统;3)易于实现多通带(或多组带)系统。
线性相位FIR 滤波器实现的充要条件是:对于任意给定的数值N (奇数或偶数),冲激响应h[n] 相对其中心轴21-N 必须成偶对称或奇对称,此时滤波器的相位特性是线性的,且群延时均为常数 21-=N τ。
由于h(n) 有奇对称和偶对称两种情况,h(n)的点数N 有奇数、偶数之分。
因此,h (n )可以有4种不同的类型,分别对应于4种线性相位FIR 数字滤波器:h[n] 偶对称N 为奇数、h[n] 偶对称N 为偶数、h[n] 奇对称N 为奇数、h[n] 奇对称N 为偶数。
四种线性相位FIR 滤波器的特性归纳对比于表5.1中。
一.FIR DF 设计方法FIR DF 的设计实现不能像IIR DF 设计那样借助于模拟滤波器的设计方法来实现,其设计方法主要是建立在对理想滤波器频率特性进行不同程度逼近的基础上,主要的逼近方法有三种:窗函数法;频率抽样法;最佳一致逼近法。
1. 窗函数法窗函数法是设计FIR 滤波器的最直接方法,它通过采用不同时宽的窗函数,对理想滤波器的无限长冲激响应h d (n)进行截短,从而得到系统的有限长冲激响应 h (n),这一过程可用式5-1来描述:,021-N ||,(n)h )()()(d ⎪⎩⎪⎨⎧≤=其它= n n w n h n h R d (5.1)其中W R (n)是时宽为N 的窗函数。
FIR 数字滤波器设计本章知识点:对于一个离散时间系统∑∑=-=--=M 1n nn 1-N 0n nnz a 1z bz H )(,若分母多项式中系数0a a a M 21==== ,则此系统就变成一个FIR 系统∑-=-=1N 0n n nz bz H )(,其中系数1-N 10b ,.b ,b 即为该系统的单位取样响应h ( 0 ) , h ( 1 ) ,… h ( N-1 ),且当n > N-1时,h ( n ) = 0。
FIR 系统函数H(z) 在Z 平面上有N-1个零点,在原点z=0处有N-1个重极点。
这类系统不容易取得较好的通带和阻带特性,要想得到与IIR 系统类似的衰减特性,则要求较高的H(z)阶次。
相比于IIR 系统来说,FIR 系统主要有三大突出优点:1)系统永远稳定;2)易于实现线性相位系统;3)易于实现多通带(或多组带)系统。
线性相位FIR 滤波器实现的充要条件是:对于任意给定的数值N (奇数或偶数),冲激响应h[n] 相对其中心轴21-N 必须成偶对称或奇对称,此时滤波器的相位特性是线性的,且群延时均为常数 21-=N τ。
由于h(n) 有奇对称和偶对称两种情况,h(n)的点数N 有奇数、偶数之分。
因此,h (n )可以有4种不同的类型,分别对应于4种线性相位FIR 数字滤波器:h[n] 偶对称N 为奇数、h[n] 偶对称N 为偶数、h[n] 奇对称N 为奇数、h[n] 奇对称N 为偶数。
四种线性相位FIR 滤波器的特性归纳对比于表5.1中。
一.FIR DF 设计方法FIR DF 的设计实现不能像IIR DF 设计那样借助于模拟滤波器的设计方法来实现,其设计方法主要是建立在对理想滤波器频率特性进行不同程度逼近的基础上,主要的逼近方法有三种:窗函数法;频率抽样法;最佳一致逼近法。
1. 窗函数法窗函数法是设计FIR 滤波器的最直接方法,它通过采用不同时宽的窗函数,对理想滤波器的无限长冲激响应h d (n)进行截短,从而得到系统的有限长冲激响应 h (n),这一过程可用式5-1来描述:,021-N ||,(n)h )()()(d ⎪⎩⎪⎨⎧≤=其它= nn w n h n h R d (5.1)其中W R (n)是时宽为N 的窗函数。
第一章 绪论1、 试举例说明信号与信息这两个概念的区别与联系。
信息反映了一个物理系统的状态或特性,是自然界、人类社会和人类思维活动中普遍存在的物质和事物的属性。
信号是传载信息的物理量是信息的表现形式,如文字、语言、图像等。
如人们常用qq 聊天,即是用文字形式的信号将所要表达的信息传递给别人。
2、 什么是信号的正交分解?如何理解正交分解在机械故障诊断中的重要价值?P9正交函数的定义信号的正交分解如傅里叶变换、小波分解等,即将信号分解成多个独立的相互正交的信号的叠加。
从而将信号独立的分解到不同空间中去,通常指滤波器频域内正交以便于故障分析和故障特征的提取。
傅里叶变换将信号分解成各个正交的傅里叶级数,将信号从时域转换到频域从而得到信号中的各个信号的频率。
正交小波变换能够将任意信号(平稳或非平稳)分解到各自独立的频带中;正交性保证了这些独立频带中状态信息无冗余、无疏漏,排除了干扰,浓缩了了动态分析与监测诊断的信息。
3、 为什么要从内积变换的角度来认识常见的几种信号处理方法?如何选择合适的信号处理方法?在信号处理各种运算中内积变换发挥了重要作用。
内积变换可视为信号与基函数关系紧密程度或相似性的一种度量。
对于平稳信号,是利用傅里叶变换将信号从时域变为频域函数实现的方式是信号函数x (t )与基函数i t e ω 通过内积运算。
匹配出信号x (t )中圆频率为w 的正弦波.而非平稳信号一般会用快速傅里叶变换、离散小波变换、连续小波变换等这些小波变换的内积变换内积运算旨在探求信号x (t )中包含与小波基函数最相关或最相似的分量。
“特征波形基函数信号分解”旨在灵活运用小波基函数 去更好地处理信号、提取故障特征。
用特定的基函数分解信号是为了获得具有不同物理意义的分类信息。
不同类型的机械故障会在动态信号中反应出不同的特征波形,如旋转机械失衡振动的波形与正弦波形有关,内燃机爆燃振动波形是具有钟形包络的高频波;齿轮轴承等机械零部件出现剥落。
2012111203班ﻩﻩAa ron Hwa ng ﻩﻩ学号:20121406191.2 设()5cos(0.25),0,1,,15,x n n n π==为有限长序列。
(1)计算16点DFT ,并画出幅度谱序列。
解:程序代码如下n =0:15;x =5*cos (0.25*p i*n); figur e(1); stem(n,x);x label ('n');ylabe l('x(n)'); X=fft (x); X=ab s(X ); f igure (2); ste m(n,X);xlabel ('k');y la be l('X(K)');所得图像如下 ﻩﻩﻩﻩﻩﻩﻩﻩ ﻩﻩ(2)在给序列后面补16个零后,计算32点DFT,并画出DF T幅度谱序列。
解:程序代码如下n=0:31; n1=0:15;x1=5*c os(0.25*pi*n1); x =[x1 ze ros(1,16)]; f igu re(1);st em(n ,x);xlabel('n');y la be l('x(n )'); X =ff t(x); X=abs(X);fi gure (2);st em(n,X);s tem(n,Xk);xlabel('k');ylabe l('X(k)');所得图像如下:ﻩﻩﻩ ﻩﻩﻩﻩﻩﻩﻩ(3)把DFT 的点数扩大为64,然后重复(2) 解:程序代码如下n =0:63; n1=0:15;x1=5*cos (0.25*pi*n1); x=[x 1 zer os(1,48)]; fi gur e(1);ste m(n ,x );xl abel ('n ');yl abe l('x(n)'); X =ff t(x); X=abs(X);fi gu re (2);st em (n,X );s tem (n,X);xla be l('k');y lab el('X (k)'); 所得图像如下:ﻩﻩﻩﻩﻩ ﻩﻩﻩﻩﻩ(4)依据D TFT 与DFT 之间的关系,解释补零操作对DFT 的影响。
北邮现代信号处理第五章答案设有一个随机信号x(n)服从AR(4)过程,它是一个宽带过程,参数如下:2a11.352,a2+1.338,a30.662,a40.240,w1我们通过观察方程y(n)x(n)v(n)来测量该信号,v(n)是方差为1的高斯白噪声,要求利用Weiner滤波器从测量信号y(n)中估计x(n),用MATLAB对此进行仿真。
解一个随机信号x(n)服从AR(4)过程,且滤波器系数为:a=[1-1.3521.338-0.6620.240];则可以由白噪声通过一个AR4阶的滤波器生成信号序列x(n),然后x(n)再加上方差为1的高斯白噪声v(n)得到y(n)=x(n)+v(n),然后分别通过LMS算法对y(n)滤波得出x(n)的估计值。
如下方框图:clearall;closeall;wv=randn(150,1);%AR系统系数a=[1-1.3521.338-0.6620.240];%由白噪声通过一个AR4阶的滤波器生成信号序列x(n)x=filter(1,a,wv);k1=length(x)y=x+randn(1,k1)';%-------学习步长固定为C=0.015----------mu=0.015%学习步长%systemorder=10k=10;w=zeros(1,k)%权系数设抽头数为10N=150;%节点训练序列error=zeros(1,N);fori=k:Nu=y(i:-1:i-k+1);z(i)=w*u;e=y(i)-w*u;w=w+(mu*e)*u';error(i)=error(i)+e.^2;%误差累积end;t=1:150;figure(3)plot(t,x(t));holdonplot(t,z(t),'r-');xlabel('n');ylabel('期望和通过LMS算法所得的估计');figure(4) plot(error);legend('LMS算法1次实验误差平方的均值曲线');holdon;。
2012111203班AaronHwang 学号:20121406191.2 设 x(n) =5cos(0.25二n), n =0,1^|,15,为有限长序列。
(1) 计算16点DFT并画出幅度谱序列解:程序代码如下n=0:15;x=5*cos(0.25*pi* n);figure(1);stem( n, x);xlabel(' n');ylabel('x( n)');X=fft(x);X=abs(X);figure(2);stem( n,X); xlabel('k');ylabel('X(K)');所得图像如下(2) 在给序列后面补16个零后,计算32点DFT并画出DFT畐度谱序列解:程序代码如下n=0:31;n1=0:15;x1=5*cos(0.25*pi* n1);x=[x1 zeros(1,16)];figure(1);stem( n,x);xlabel(' n');ylabel('x (n)');X=fft(x);X=abs(X);figure (2) ;stem( n,X);stem( n,Xk);xlabel('k');ylabel('X(k)');所得图像如下:(4)依据DTFT 与 DFT 之间的关系,解释补零操作对 DFT 的影响。
解:通过补零操作和DFT 点数的增加可以更加准确的得出原信号的 DFS 图像。
1.5 ( 1)设H 1(z) = 1 - r o e -1扯z ,为单零点系统的传递函数,求其幅度响应HMe^)的解析式。
令r 。
=0.95「0 =0.25二,画出幅度响应的草图。
解:由已知H i (z) = 1 - r °e,可知响应为|H i (e j)|=、1 r 。
22r °cos( s •)(3)把DFT 的点数扩大为64,然后重复(2) 解:程序代码如下 n=0:63; n1=0:15; x1=5*cos(0.25*pi* n1) x=[x1 zeros(1,48)]; figure(1);stem( n,x);xlabel(' n');ylabel('x (n)'); X=fft(x); X=abs(X);figure (2) ;stem( n,X);stem( n, X);xlabel('k');ylabel('X(k)');所得图像如下:程序代码如下r0=0.95;w0=0.25*pi;w=li nspace(0,2*pi,100);H=1-rO*exp(-j*wO)*exp(-j*w);plot(w,abs(H));title('H (jw)');所得图像如下:(2)设H2(Z)= --------- [竹为单极点系统的传递函数,求其幅度响应H2(e尬)的解析1 -r0e式。
数字信号处理第五章习题解答————第五章————数字滤波网络5.1 学习要点本章主要介绍数字滤波器的系统函数()z H 与其网络结构流图之间的相互转换方法,二者之间的转换关系用Masson 公式描述。
由于信号流图的基本概念及Masson 公式已在信号与系统分析课程中讲过,所以下面归纳IIR 系统和FIR 系统的各种网络结构及其特点。
5.1.1 IIR 系统的基本网络结构1. 直接型结构如果将系统函数()z H 化为标准形式(5.1)式:()∑∑=-=--=Nk kkMk kkz az bz H 11 (5.1) 则可根据Masson 公式直接画出()z H 的直接II 型网络结构流图如图5.1所示(取N=4,M=3)。
二阶直接II 型网络结构最有用,它是级联型和并联型网络结构的基本网络单元。
优点:可直接由标准形式(5.1)或差分方程()()()∑∑==-+-=Mk kN k kk n x b k n y a n y 01画出网络结构流图,简单直观。
缺点:对于高阶系统:(1)调整零、极点困难;(2)对系数量化效应敏感度高;(3)乘法运算量化误差在系统输出端的噪声功率最大。
2. 级联型结构将(5.1)式描述的系统函数()z H 分解成多个二阶子系统函数的乘积形式()()()()z H z H z H z H m 21?= (5.2) (),1221122110------++=zzzzz H i i i i i i ααβββ m i ,,2,1 = (5.3)画出的级联型方框图如图5.2所示。
图中每一个子系统均为二阶直接型结构,根据()z H 的具体表达式确定()z H i 的系数i i i i 1210,,,αβββ和i 2α后,可画出()z H i 的网络结构流图如图5.3所示。
优点:(1)系统结构组成灵活;(2)调整零、极点容易,因为每一级二阶子系统()z H i 独立地确定一对共轭零点和一对共轭极点;(3)对系数量化效应敏感度低。
现代信号处理第五章作业
学院: 学号: 序号: 姓名:
5.6 设有一个随机信号x (n )服从AR(4)过程,它是一个宽带过程,参数如下:
212341.352,+1.338,0.662,0.240,1w a a a a σ=-==-==
我们通过观察方程)()()(n v n x n y +=来测量该信号,v (n )是方差为1的高斯白噪声,要求利用Weiner 滤波器从测量信号y (n )中估计x (n ),用MATLAB 对此进行仿真。
解 一个随机信号x (n )服从AR(4)过程,且滤波器系数为:a=[1 -1.352 1.338 -0.662 0.240]; 则可以由白噪声通过一个AR4阶的滤波器生成信号序列x(n),然后x(n)再加上方差为1的高斯白噪声v (n )得到y(n)=x(n)+v(n),然后分别通过LMS 算法对y(n)滤波得出x(n)的估计值。
如下方框图:
clear all;
close all;
wv=randn(150,1);
%AR 系统系数
a=[1 -1.352 1.338 -0.662 0.240];
%由白噪声通过一个AR4阶的滤波器生成信号序列x(n)
x=filter(1,a,wv);
k1=length(x)
y=x+randn(1,k1)';
%-------学习步长固定为C=0.015----------
mu=0.015%学习步长
%system order=10
k=10;
w=zeros(1,k)%权系数设抽头数为10
N=150;%节点训练序列
error=zeros(1,N);
for i=k:N
u=y(i:-1:i -k+1);
z(i)=w*u;
e=y(i)-w*u;
w=w+(mu*e)*u';
error(i)=error(i)+e.^2;%误差累积
end;
t=1:150;
figure(3)
plot(t,x(t));
hold on
plot(t,z(t),'r-');
xlabel('n');
ylabel('期望和通过LMS算法所得的估计');
figure(4)
plot(error);
legend('LMS算法1次实验误差平方的均值曲线'); hold on;。