电磁场与电磁兼容习题答案(1)
- 格式:pdf
- 大小:86.34 KB
- 文档页数:15
电磁场与电磁兼容_北京交通大学中国大学mooc课后章节答案期末考试题库2023年1.电磁兼容研究的频率范围非常窄。
参考答案:错误2.麦克斯韦方程组的微分形式描述了空间电磁场与场源之间的关系。
参考答案:正确3.滤波器的金属外壳不一定要大面积地贴在金属机箱的导电表面上。
参考答案:错误4.传播系数是一复数,其实部为相位系数,虚部为衰减系数。
参考答案:错误5.对低频磁场的屏蔽采取()参考答案:高导磁率材料6.电磁波在导体中传播时,不会产生欧姆损耗。
参考答案:错误7.高频电路中使用镀银导线,目的不是降低损耗。
参考答案:错误8.同一根导线,传输的信号频率越高其阻抗()参考答案:越大9.选用合适的特性阻抗的传输线,用()的传输线可以实现两个阻抗之间的阻抗匹配。
参考答案:λ/410.正弦均匀平面波电场与传播方向()。
参考答案:垂直11.对于无损耗传输线衰减系数为()参考答案:12.屏蔽效能表征了屏蔽体对电磁波的衰减程度。
参考答案:正确13.下列哪些措施不能够减小地线阻抗()参考答案:导线加长14.偶极子天线的终端始终是电流的波腹。
参考答案:错误15.天线用作发射和接收的方向性函数相等。
参考答案:正确16.对静电场的屏蔽采取()参考答案:良好接地的良导体17.电磁兼容三要素包括电磁骚扰源、传输途径(耦合途径)和敏感设备。
参考答案:正确18.电磁干扰不能够造成设备损坏。
参考答案:错误19.强电磁辐射不会影响人体健康。
参考答案:错误20.国家对强制性产品认证使用统一的标志()参考答案:CCC21.1W=( )dBm参考答案:3022.1V=( )dBmV参考答案:6023.改善敏感设备抗干扰性能是一项系统工程。
参考答案:正确24.电偶极子辐射的波在远区为()。
参考答案:横电磁波25.在自由空间,电偶极子的辐射功率与频率的平方成()关系。
参考答案:正比26.偶极子天线辐射功率最大值在与天线夹角()度处。
参考答案:9027.磁场强度沿任意闭合路径的环流量等于回路所包围的()的代数和。
EMC工程师电磁兼容考题附答案1.下列哪一个是欧盟强制认证标志(D)A、CCCB、FCCC、KCCD、CE2.下列哪一项不属于EMI(C)A、CEB、CTEC、CSD、RE3.EMC控制技术主要有滤波、屏蔽和(A)A、接地B、隔离C、降噪D、铺地4.如果要降低电容谐振点的阻抗,可以采取(A)A、两个相同容值的电容并联B、两个不同容值的电容并联C、两个相同容值的电容串联D、两个不同容值的电容并联5.下面哪个是CE标准(A)A、EN55032B、EN61000-6-3C、EN61000-4-3D、EN61000-3-36.关于峰值检波、准峰值检波、平均值检波,测量时间最短的是(A)A、峰值检波B、准峰值检波C、平均值检波D、峰值检波与准峰值检波两种7.SURGE LV3等级,线对地测试电压是多少kV?(C)A、2B、1C、4D、0.58.ESD测试中,对金属部件进行静电放电,采用哪种枪头?(B)A、圆形B、尖形C、椭圆形D、正方形9.一般企业EMC标准中,对EMI的余量要求是多少dB?(A)A、6B、3C、0D、210.EMC包含哪两个部分?(C)A、CE&REB、CS&RSC、EMI&EMSD、ESD&EFT/B11. 电磁干扰的三要素是(C)A、传导干扰辐射干扰空间干扰B、EMIEMSEMCC、干扰源耦合路径敏感设备D、干扰源、耦合路径、被干扰设备12. GB4343.2标准中对于浪涌试验相位角要求的变化是(D)A、正负脉冲分别0︒90︒ 180︒ 270︒B、正负脉冲分别90︒ 270︒C、正负脉冲分别0︒180︒D、正脉冲90︒负脉冲270︒13.信息技术设备的EMC发射试验依据标准为(C)A、GB17443B、GB4824C、GB9254D、GB4343.114.照明器具和灯具的EMC发射试验依据标准为(A )A、GB17443B、GB4824C、GB9254D、GB4343.115.家用电器和电动工具的EMC发射试验依据标准为(D)A、GB17443B、GB4824C、GB9254D、GB4343.116.工科医(ISM)射频设备的EMC发射试验依据标准为(B)A、GB17443B、GB4824C、GB9254D、GB4343.117.导致地线骚扰问题的根本原因是(A)A、地线阻抗B、负载阻抗C、辐射骚扰D、传导骚扰18.电源线滤波器的作用是抑制(C)沿着电源线传播。
电磁兼容原理及应用试题及答案一、填空题(每空0.5分,共20分)1.构成电磁干扰的三要素是【干扰源】、【传输通道】和【接收器】;如果按照传输途径划分,电磁干扰可分为【传导干扰】和【辐射干扰】。
2.电磁兼容裕量是指【抗扰度限值】和【发射限值】之间的差值。
3.抑制电磁干扰的三大技术措施是【滤波】、【屏蔽】和【接地】。
4.常见的机电类产品的电磁兼容标志有中国的【CCC】标志、欧洲的【CE】标志和美国的【FCC】标志。
5.IEC/TC77主要负责指定频率低于【9kHz】和【开关操作】等引起的高频瞬间发射的抗扰性标准。
6.电容性干扰的干扰量是【变化的电场】;电感性干扰在干扰源和接受体之间存在【交连的磁通】;电路性干扰是经【公共阻抗】耦合产生的。
7.辐射干扰源可归纳为【电偶极子】辐射和【磁偶极子】辐射。
如果根据场区远近划分,【近区场】主要是干扰源的感应场,而【远区场】呈现出辐射场特性。
8.随着频率的【增加】,孔隙的泄漏越来越严重。
因此,金属网对【微波或超高频】频段不具备屏蔽效能。
9.电磁干扰耦合通道非线性作用模式有互调制、【交叉调制】和【直接混频】10.静电屏蔽必须具备完整的【屏蔽导体】和良好的【接地】。
11.电磁屏蔽的材料特性主要由它的【电导率】和【磁导率】所决定。
12.滤波器按工作原理分为【反射式滤波器】和【吸收式滤波器】,其中一种是由有耗元件如【铁氧体】材料所组成的。
13.设U1和U2分别是接入滤波器前后信号源在同一负载阻抗上建立的电压,则插入损耗可定义为【20lg(U2/U1)】分贝。
14.多级电路的接地点应选择在【低电平级】电路的输入端。
15.电子设备的信号接地方式有【单点接地】、【多点接地】、【混合接地】和【悬浮接地】。
其中,若设备工作频率高于10MHz,应采用【多点接地】方式。
二、简答题(每题5分,共20分)1.电磁兼容的基本概念?答:电磁兼容一般指电气及电子设备在共同的电磁环境中能够执行各自功能的共存状态,即要求在同一电磁环境中的上述各种设备都能正常工作,且不对该环境中任何其它设备构成不能承担的电磁骚扰的能力。
选择题1、媒体常提及以下令人头疼的环境污染公害有水质、空气、噪音和电磁污染等,属于电磁兼容涉及内容的是_ _2、1881年英国科学家希维赛德发表了《__论干扰_》一文,从此拉开了电磁干扰问题的序幕。
P113、电磁兼容的英文名称或简称是_EMC___p74、我国2000年正式启动中国电磁兼容认证制度,被包含在其后发布推行的3C认证内容中(3C标志)电子产品需要通过3C认证,3C认证是指___中国强制认证___5、理想的电磁屏蔽材料应该有良好的导电性和导磁性,因此,下述材料(铜、钢、铝、硅钢等)作为屏蔽材料时,其电磁屏蔽效能最好的是___硅钢___6、EMI(Electromagnetic interface 电磁干扰)滤波器在安装时,正确的是___可靠地接机壳____P168【可靠地接机壳】7、常用EMI滤波原件是电容(C)电感(L)具有独特的材料和结构,其主要目的_______ 【减少寄生】p1558、共模扼流圈常常被附加做电源输入线,其主要作用是________【抑制共模干扰】P1559、通常EMI滤波器可以分为低通、高通、带通和带阻滤波器四类。
但由于干扰信号频谱通常远高于有用信号频谱,所以,_低通__滤波器最为常用。
P13310、为保持电磁屏蔽的完整性,需在屏蔽体开显示窗口的地方,必须进行特殊处理,下面处理“不当”的是_普通处理(加玻璃)、特殊处理(加金属网,隔离舱,截止波导管)__P198 11、有人说:接地对电子系统的重要性无论如何强调都不过分。
下述关于“接地”的说法正确的是_P203___12、当双面PCB板布线时,为减少线间的信号寄生耦合,两面的导线应尽量避免_相互平行P220_【相互垂直、平行、斜交、弯曲走线】13、在PCB布线中,尽量_减少_信号线与地线(最短)围成的面积,是增强电路抑制噪声能力的“武林秘笈”之一。
接地或电源的图形尽可能要与数据流动的方向平行,就是这个秘笈具体的体现。
电磁场与电磁兼容习题答案第4章 天线基础4.1精确的一般表达式:2221()21()41(4jkr r jkr jkr Idl e E j jk r r Idl e jk E j k r r r Idle H jk r rθφπωεπωεπ−−−=−⋅+=−⋅−++=+远场近似表达式:22r jkrjkrE Idl k E je r Idl H j er θφλωελ−−≈=⋅= 带入以下参数可得计算结果0.12,0.05,1,100223,3I A dl m r m f MHzm k ππλλ=======4.3均匀平面波的功率密度222502av E I S rηη== 则天线的总辐射功率222004av av I P S dS S r ππη==⋅=∫可得辐射电阻220053P R I τπη===Ω 4.4(1)利用公式22280dl P I πλ=其中,100.1dl cm m ==,8631065010c m f λ×===× 由此得到 ()222360.1805105.48106P W π−− =×××=× (2)由题意,功率为1W, 则2220.18016I π=,即 2.14I A == 4.5将此天线看做线天线,其中 22222222222()sin sin 120sin 3024av Idl I dl dl S I r r r θηθπθππλλ ==××= 取最大 222130av dl S I rπλ = 而且2(,)av U r S θφ=,22280rad dl P I πλ=,4rad av P U π= 由此得到: (1)2222222130(,) 1.580/4av dl r I U r D U dl I πθφλππλ × === (2)222280(/)0.77880(/)1rad rad in rad P P R dl e P P P R R dl ττπλπλΩ=====+++ 则0.778 1.5 1.167G eD ==×= (3)2221.1670.092944e A G λλλππ==×= (5)2222218080 3.50615r dl R ππλ ==×=4.6(1)根据课本式4-75和4-77可知:60()j rm I e E j F rE H βθθφθη−==对于半波偶极子天线由式4-78可知:(90)1F =o 则天线两端的功率密度:721Re[]21600.5600.5Re[]2300030001201112100120001.3310/av j r j r S E H e e w m ββππ∗−−=×××=××=××=× (2)利用方向性来计算利用课本123页得结论可知:无耗半波偶极子的方向性 1.64D G == 总辐射功率2732m radI P =根据式4-54可知272220.57321.64 1.3210/443000rad av P S D w m r ππ−==×=××4.7入射波功率密度ηθ22E S av =,接收功率rad rad R R dl E R U P 8)(8220θ== 半波偶极子天线的最大有效孔径为radav R em R dl S P A 4)(2η== 其中Ω====73,5.02,120rad R m dl λπη,带入上式得323.0=em A 4.8由题意知1T rad P dB P −= 那么47146T P dBmW =−+=−,而10lg 46T P dBuW =−,得到52.510TP mW −=× 由此可得 0.0245/5E mV m == 4.9天线所在位置的电场强度(/)()(/)602080E dB V m V dB V AF dB m µµ=+=+=4.11FRISS 方程2()4R T R T P G G P d λπ=即: 10lg()()()20lg 20lg 147.56RT R TP G dB G dB f d P =+−−+ 代入9110,0.1,100,384403078.808,12R T T P w P w f MHz d m G dB −=×====可得:92.13R G dB =4.12利用公式10lg ()()20lg 20lg 147.56RT R TP G dB G dB f d P=+−−+ 即3911010lg 454520lg31020lg48280.32147.5645.655T P − ×=+−×−+=− 得到36.77T P W = 4.132.11012==dB G T ,kW P T 5=,m d 688.3218= 接收处m V dG P E TT /677.060==4.14对于半波偶极子天线(7342.5)in Z j =+Ω 01000.076518.9750730.6342.5m I A j ∠==∠−+++ 由此可得 210.2142T m rad P I R W == 则利用Friss传输方程可得: 434.5910/1010E V m −===×× 在远场区 4460600.0765 4.5910/10m m I E V m r −×===× 4.15证明:由题意可知0121,0,0,4m d d λϕ==== 对于子午面 1cos(cos cos )cos(cos )cos(cos cos )222()sin sin sin kl kl f πππθθθθθθθ−−===2sin sin sin 0sin 421()12cos(sin )4n jk j jkd jk c n f eeeeππθθθθθπθ===+=+==∑g g g g 由此得到 12cos(sin )cos(cos )42()()()sin c f f f ππθθθθθθ=×= 所以 2cos(sin )cos(cos )6042sin I E j r ππθθθ= 作图略 4.16赤道面上00=ϕ, 12cos1cos 1)(1=−=−=πφφk f )cos 4cos(2)(21cos φπφφ==∑=n k jkd c n e f )cos 4cos(2)()()(1φπφφφ=×=c f f f 作图略 第5章 传输线5.1对于同轴电缆,分布电容012ln(C r r πε=,特性阻抗01ln()rZ r = 由题意知,分布电容为1101260061010ln(pFC F r m r πε−===× 即01112ln()610r r πε−=× 其中0r εεε=,20.1t us =, 得8610/210/0.110/2s v m s m s t −===×× 而88210v ====×,得到 1.5= 由此可得 0011121261083.3rr Z r πεεπ−==××==Ω 5.2L L L jX R Z Z +=Ω=,750 (1)由311=Γ−Γ+=VSWR 得21=Γ, 由21757500=++−+=+−=ΓL L L L L L jX R jX R Z Z Z Z 得0562525022=+−+L L L R X R (2)Ω=150L R ,代入第一问得出的式子中,得Ω==8.961525L X (3)1525150,750j Z Z L +=Ω= 终端反射系数15915300j j Z Z Z Z L L ++=+−=Γ, 幅角πφ16.096.28)915arctan(315arctan(=°=−= )2cos(25.15.0)(φββφββφβ−′+=+=Γ+=+′−′+′−+′+′z U e e U e e U e U U z j z j z j j z j z 当……=±=−′210,22、、k k z ππφβ时,z U ′最小, 此时……=+=′210k ,k)5.029.0(、、λz离负载最近的电压最小点距负载的距离为λ29.0=′z5.3(1)传输线的反射系数 00000.26100507555.963.4100507518215.90.347.50.30.210.23L L j Z Z j Z Z j e j π−−−−∠−Γ===+−+∠−=∠−==− (2)传输线的电压表达式: ()(1)(1.210.23)U z U U j ++=+Γ=− 传输线的电流表达式: ()(1)(0.790.23)I z U U j ++=−Γ=+ (3)根据定义式 '''''()0.3j z j z j z j z z U U e U e U e e Uβββφβ++−+−=+Γ=+= 其中,20.26,πφπβλ== 当'22z πβφ−=时,得到第一个电压波节点的距离min10.19Z λ= 当'22z βφπ−=时,得到第一个电压波腹点的距离max10.435Z λ= 5.5同轴线的特性阻抗为)b Z a=(1)当填充介质为空气时: 123ln()ln()49.97210bZaπ===Ω (2)当填充介质为无损耗介质时: 123)ln()33.32210bZaπ===Ω 5.6(1)对于双线传输线 ln()3000.6s sZr rs====Ω得到25.51s mm= (2)对于同轴线 0011ln(ln()1ln(7520.6r rZr rrπ====Ω得到3.91r mm= 5.8(1)电场场强2qErπε= 则ln()22b ba aq q bU E dr drr aπεπε===∫∫g g 得到2ln()qCbUaπε== (2)磁场强度2IHrπ=,则02IBrµπ= 则00ln()22bms aI I bB ds drr aµµψππ===∫∫g 得到0ln()2m b L a I ψµπ== 5.9(1)3040j Z L −=,无耗传输线0Z 为实数 Γ−Γ+=11VSWR ,若使VSWR越小,则Γ越小02202200000250080160130)40(30)40(30)40(30)40(Z Z Z Z j Z j Z Z Z Z Z L L ++−=+++−=++−−=+−=Γ 当500=Z 时,Γ最小,此时31=Γ(2)2311311=−+=VSWR ,393100j j Z Z Z Z L L −−−=+−=Γ 5.10(1)此时无反射,处于行波状态,那么070L Z Z ==Ω (2)反射系数1315S S −Γ==+ 在负载端出现电压最大值,此时是波腹点,则反射系数为35Γ= 即0035L L Z Z Z Z −=+,得到280L Z =Ω (3)此时的反射系数35Γ=− 即0035L L Z Z Z Z −=−+,得到17.5L Z =Ω 第6章 电磁兼容概述6.3dBmW mWWW 3010lg 1011lg1013=== V dB VVV µµ12010lg 2011lg2016=== mV dB mV mV m dBmV m mV mV m dBV m V mV m V /12010lg 20/1/1lg 20/6010lg 20/1/1lg 20/0/1/1lg20/163µµ======== 6.6证明:天线因子k,电场E,同轴电缆损耗L,负载两端电压V,负载R=50欧姆。
电磁场与电磁兼容习题答案与详解第二章麦克斯韦方程组:.在均匀的非导电媒质(0=σ,1=r μ)中,已知时变电磁场为()V /m 34cos 300⎪⎭⎫ ⎝⎛-=y t z ωπa E ,()A/m 34cos 10⎪⎭⎫ ⎝⎛-=y t x ωa H ,利用麦克斯韦方程组求出ω和r ε。
解:将E 和H 用复数表示:由复数形式的麦克斯韦方程,有:比较(1)与(3),(2)与(4),得 :…由此得:16/108==r srad εϖ.已知无源空间中的电场为()()()V/m 106cos 100.1sin 9z t x y βππ-⨯=a E , 利用麦克斯韦方程求H 及常数β。
解:E 复数形式:由复数形式麦克斯韦方程&将上式与题给的电场E 相比较,即可得:而磁场的瞬时表达式为:高斯定理:.两个相同的均匀线电荷沿x 轴和y 轴放置,电荷密度μc/m l 20=ρ,求点(3,3,3)处的电位移矢量D 。
【解:设x 轴上线电荷在P (3,3,3)点上产生的电位移矢量为D 1,x 轴上线电荷在P (3,3,3)点上产生的电位移矢量为D 2。
D 122y z + D 222x z 因为以x 轴为轴心,32l ds D ρ=⋅⎰1l D ρπ=⋅⋅2321 即πμπμ2310232201=⋅=D同理πμ23102=Dz y x z y x a a a a a a D D D πμπμπμπμ3103535)22121(231021++=++=+=.μc/m l 30=ρ的均匀线电荷沿z 轴放置,以z 轴为轴心另有一半径为2m 的无限长圆柱面,其上分布有密度为2μc/m 41.5πρ-=s 的电荷,利用高斯定理求各区域内的电位移矢量D 。
解:建立圆柱坐标系,以z 轴为轴心,设一单位长度的圆柱面 (1) 》(2) 当r<2m 时 因为⎰=⋅l ds D ρ,所以l r D ρπ=⋅2故r D l πρ2=,D =l l l a rua r ππρ152=(2)当r>2m 时1221⋅⋅⋅+⋅=⋅⎰πρρs l ds D故c u c u c u r D ⋅⋅=⋅⋅-⋅⋅=⋅5.285.1302π 所以l a rcu D π25.28⋅⋅=安培定律:.半径为a 的实心圆柱导体,电流I 在其截面上均匀分布,求磁场强度H 。
电磁兼容原理与应用考题一、简答题(每题8分)1、写出电磁干扰三要素,并简要说明其含义。
2、写出电振子和磁振子的远区场电磁分布(注意矢量方向)。
3、叙述瞬态干扰的特征,并举出三种瞬态干扰。
4、写出电磁兼容性预测算法的四级筛选。
5、写出四种常见的抑制电磁干扰技术,简要说明其含义。
6、写出电磁干扰滤波器安装时需要注意的的事项。
二、某无线发射机频率为450MHz ,基波辐射功率为10dBW ,预测其其二次谐波和三次谐波辐射功率。
已知发射机谐波模型统计如表。
(12分)三、电磁兼容中常用纵向扼流圈抑制地线干扰,其等效电路图如图所示。
已知信号频率为f ,12,12,22RC RC RL L L M fM RC π=<<==>>,分析证明纵向扼流圈的差模低阻抗,共模高阻抗。
(14分)四、已知反射损耗()20lg 20lg4w w Z R t Z ηη+=-=,其中Z w 为空间波阻抗,金属特性阻抗7(1)(1 3.6910j j η-=+≈+⨯gLR1)计算厚度为0.5mm的铜板在远区场对频率100MHz的入射平面波的屏蔽效能。
(8分)2)把该铜板换成两块厚度分别为0.5mm的铜板,中间间隔空气隙,隙厚度为d,计算当d分别为多少时,多层屏蔽体取得最大和最小的屏蔽效能,并计算屏蔽效能的值。
(6分)五:如图所示的部分屏蔽的电容耦合模型,U1为骚扰源电压。
1)、将电路化简单为平面电路图,写出U N的表达式;(5分)2)、当R分别为低阻抗的时,化简U N;(3分)3)、说明相应的抑制措施。
(4分)答案简答题(每题8分)一、 简答题:1、写出电磁干扰三要素,并简要说明其含义。
电磁干扰源,耦合路径,敏感设备称作电磁干扰的三要素。
电磁干扰源指产生电磁干扰的元件。
器件,设备等;偶和途径又称耦合通道,指能量从干扰源到敏感设备的媒介和通道;敏感设备,是指对电磁干扰产生响应的设备。
2、写出电振子和磁振子的远区场电磁分布(注意矢量方向)。
电磁兼容原理及应用试题及答案一、填空题(每空0.5分,共20分)1. 构成电磁干扰的三要素是【干扰源】、【传输通道】和【接收器】;如果按照传输途径划分,电磁干扰可分为【传导干扰】和【辐射干扰】。
2. 电磁兼容裕量是指【抗扰度限值】和【发射限值】之间的差值。
3. 抑制电磁干扰的三大技术措施是【滤波】、【屏蔽】和【接地】。
4. 常见的机电类产品的电磁兼容标志有中国的【CCC标志、欧洲的【CE标志和美国的【FCC 标志。
5. IEC/TC77主要负责指定频率低于【9kHz】和【开关操作】等引起的高频瞬间发射的抗扰性标准。
6. 电容性干扰的干扰量是【变化的电场】;电感性干扰在干扰源和接受体之间存在【交连的磁通】;电路性干扰是经【公共阻抗】耦合产生的。
7. 辐射干扰源可归纳为【电偶极子】辐射和【磁偶极子】辐射。
如果根据场区远近划分,【近区场】主要是干扰源的感应场,而【远区场】呈现出辐射场特性。
& 随着频率的【增加】,孔隙的泄漏越来越严重。
因此,金属网对【微波或超高频】频段不具备屏蔽效能。
9. 电磁干扰耦合通道非线性作用模式有互调制、【交叉调制】和【直接混频】10. 静电屏蔽必须具备完整的【屏蔽导体】和良好的【接地】。
11. 电磁屏蔽的材料特性主要由它的【电导率】和【磁导率】所决定。
12. 滤波器按工作原理分为【反射式滤波器】和【吸收式滤波器】,其中一种是由有耗元件如【铁氧体】材料所组成的。
13. 设U1和U2分别是接入滤波器前后信号源在同一负载阻抗上建立的电压,则插入损耗可定义为【20lg(U2/U1)】分贝。
14. 多级电路的接地点应选择在【低电平级】电路的输入端。
15. 电子设备的信号接地方式有【单点接地】、【多点接地】、【混合接地】和【悬浮接地】。
其中,若设备工作频率高于10MHz应采用【多点接地】方式。
二、简答题(每题5分,共20分)1 .电磁兼容的基本概念?答:电磁兼容一般指电气及电子设备在共同的电磁环境中能够执行各自功能的共存状态,即要求在同一电磁环境中的上述各种设备都能正常工作,且不对该环境中任何其它设备构成不能承担的电磁骚扰的能力。
电磁兼容原理与技术课后答案什么是信号完整性(signal integrity)?信号完整性是指信号在信号线上的质量。
信号具有良好的信号完整性是指当在需要的时候,具有所必需达到的电压电平数值。
差的信号完整性不是由某一单一因素导致的,而是板级设计中多种因素共同引起的。
主要的信号完整性问题包括反射、振荡、地弹、串扰等。
常见信号完整性问题及解决方法什么是反射(reflection)?反射就是在传输线上的回波。
信号功率(电压和电流)的一部分传输到线上并达到负载处,但是有一部分被反射了。
如果源端与负载端具有相同的阻抗,反射就不会发生了。
源端与负载端阻抗不匹配会引起线上反射,负载将一部分电压反射回源端。
如果负载阻抗小于源阻抗,反射电压为负,反之,如果负载阻抗大于源阻抗,反射电压为正。
布线的几何形状、不正确的线端接、经过连接器的传输及电源平面的不连续等因素的变化均会导致此类反射。
什么是串扰(crosstalk)?串扰是两条信号线之间的耦合,信号线之间的互感和互容引起线上的噪声。
容性耦合引发耦合电流,而感性耦合引发耦合电压。
PCB板层的参数、信号线间距、驱动端和接收端的电气特性及线端接方式对串扰都有一定的影响。
什么是过冲(overshoot)和下冲(undershoot)?过冲就是第一个峰值或谷值超过设定电压——对于上升沿是指最高电压而对于下降沿是指最低电压。
下冲是指下一个谷值或峰值。
过分的过冲能够引起保护二极管工作,导致过早地失效。
过分的下冲能够引起假的时钟或数据错误(误操作)。
什么是振荡(ringing)和环绕振荡(rounding)?振荡的现象是反复出现过冲和下冲。
信号的振荡和环绕振荡由线上过度的电感和电容引起,振荡属于欠阻尼状态而环绕振荡属于过阻尼状态。
信号完整性问题通常发生在周期信号中,如时钟等,振荡和环绕振荡同反射一样也是由多种因素引起的,振荡可以通过适当的端接予以减小,但是不可能完全消除。
什么是地电平面反弹噪声和回流噪声?在电路中有大的电流涌动时会引起地平面反弹噪声(简称为地弹),如大量芯片的输出同时开启时,将有一个较大的瞬态电流在芯片与板的电源平面流过,芯片封装与电源平面的电感和电阻会引发电源噪声,这样会在真正的地平面(0V)上产生电压的波动和变化,这个噪声会影响其它元器件的动作。
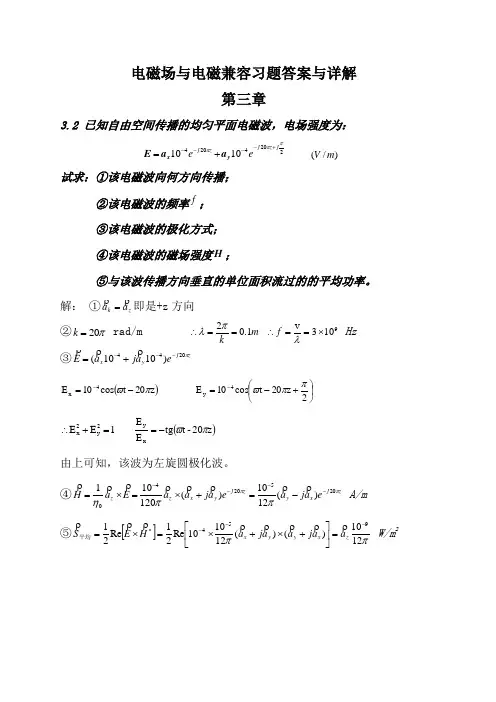
电磁场与电磁兼容习题答案与详解第三章3.2 已知自由空间传播的均匀平面电磁波,电场强度为: 22042041010πππj z j zj e e +----+=y x a a E )/(m V试求:①该电磁波向何方向传播;②该电磁波的频率f ;③该电磁波的极化方式;④该电磁波的磁场强度H ;⑤与该波传播方向垂直的单位面积流过的的平均功率。
解: ①z k a a=即是+z 方向②π20=k rad/m m k 1.02==∴πλ 9103v ⨯==∴λf Hz③zj y x e a j a E π2044)1010(---+=()z 20t cos 10E 4x πϖ-=- ⎪⎭⎫⎝⎛+-=-2z 20t cos 10E 4y ππϖ1E E 2y 2x =+∴ ()z 20-t tg E E xyπϖ-=由上可知,该波为左旋圆极化波。
④zj x y z j y x z z e a j a e a j a a E a H ππππη2052040)(1210)(120101-----=+⨯=⨯= A/m ⑤[]ππ1210)()(121010Re 21Re 21954---*=⎥⎦⎤⎢⎣⎡+⨯+⨯=⨯=z x y y x a a j a a j a H E S 平均 W/m23.5 已知真空中传播的平面电磁波的电场强度为: )]23(30.05-t 10)cos[635(),(7z y x t +-⨯+=ππy x a a r E V/m 试求:①电场强度的振幅、波矢量及波长;②磁场强度矢量),(t r H ;③平均坡印亭矢量平均S 。
解:①m v E m /10315=+=m rad a a a k z y x /)233(05.0 +-=πππ2.043905.0=++=km k102==πλ ②)233(41z y x k a a a k k a +-== ⋅+⨯+-=⨯=)3(5)233(4801),(1),(0y x z y x k a a a a a t r E a t H πηγ [])233(05.0106cos 7z y x t +--⨯ππ =[])233(05.0106cos )323(4817z y x t a a a z y x +--⨯++-πππ③m V e a a E z y x j y x /)3(5)233(05.0+--+=π m A e a a a H z y x j z y x /)323(481)233(05.0+--++-=ππ[]ππηπ48524010021/)233(485Re 21202*===+-=⨯=E m W a a a H E S z y x 平均3.6 在1=r μ,4=r ε,0=σ的媒质中有一均匀平面波,其电场强度为: )3sin(),z (0πω+-=kz t t E E 。
选择题1、媒体常提及以下令人头疼的环境污染公害有水质、空气、噪音和电磁污染等,属于电磁兼容涉及内容的是_ _2、1881年英国科学家希维赛德发表了《__论干扰_》一文,从此拉开了电磁干扰问题的序幕。
P113、电磁兼容的英文名称或简称是_EMC___p74、我国2000年正式启动中国电磁兼容认证制度,被包含在其后发布推行的3C认证内容中(3C标志)电子产品需要通过3C认证,3C认证是指___中国强制认证___5、理想的电磁屏蔽材料应该有良好的导电性和导磁性,因此,下述材料(铜、钢、铝、硅钢等)作为屏蔽材料时,其电磁屏蔽效能最好的是___硅钢___6、EMI(Electromagnetic interface 电磁干扰)滤波器在安装时,正确的是___可靠地接机壳____P168【可靠地接机壳】7、常用EMI滤波原件是电容(C)电感(L)具有独特的材料和结构,其主要目的_______ 【减少寄生】p1558、共模扼流圈常常被附加做电源输入线,其主要作用是________【抑制共模干扰】P1559、通常EMI滤波器可以分为低通、高通、带通和带阻滤波器四类。
但由于干扰信号频谱通常远高于有用信号频谱,所以,_低通__滤波器最为常用。
P13310、为保持电磁屏蔽的完整性,需在屏蔽体开显示窗口的地方,必须进行特殊处理,下面处理“不当”的是_普通处理(加玻璃)、特殊处理(加金属网,隔离舱,截止波导管)__P19811、有人说:接地对电子系统的重要性无论如何强调都不过分。
下述关于“接地”的说法正确的是_P203___12、当双面PCB板布线时,为减少线间的信号寄生耦合,两面的导线应尽量避免_相互平行P220_【相互垂直、平行、斜交、弯曲走线】13、在PCB布线中,尽量_减少_信号线与地线(最短)围成的面积,是增强电路抑制噪声能力的“武林秘笈”之一。
接地或电源的图形尽可能要与数据流动的方向平行,就是这个秘笈具体的体现。
第一章P dBW=10lg P、 U dBV=20lg U、I dBA=20lg I第二章2、电磁干扰的三要素是什么?答:骚扰源、耦合通道、敏感单元3、常见的电磁骚扰源有哪些?如何分类?答:(1)从来源分:自然骚扰和人为骚扰(2)从骚扰属性分:功能性骚扰和非功能性骚扰(3)从耦合方式分:传导骚扰和辐射骚扰(4)从频谱宽度分:宽频骚扰和窄频骚扰(5)从频率范围分:甚低频骚扰、工频与音频骚扰、载频骚扰、射频及视频骚扰、微波骚扰6、电磁骚扰的传播主要有哪些途径?答:传导耦合、磁场耦合、电场耦合、辐射耦合7、为什么要对电流返回路径格外重视?答:(1)任何电流都要返回其源,对于高频电流,如果我们能给他提供一个通路,他就可能(主要)沿着这条通路走,如果不提供这种通路,他就会自己找到通路(不在控制之中)。
(2)电流总是沿着最小阻抗路线走12、影响磁场耦合的通路有哪些?如何减小其影响?答:(1)-jwBscosθ、被干扰电路中的源阻抗和负载阻抗、正弦磁通密度、角频率、闭合回路面积、磁通密度与回路面的夹角(2)降低骚扰电流的频率、减小回路之间的互感、减小被干扰回路的负载阻抗13、影响电场耦合的因素有哪些?如何减小其影响?答:(1)骚扰源的频率、骚扰电压、骚扰电路、耦合电容、被干扰回路的源阻抗和负载阻抗。
(2)减小骚扰电压、降低骚扰电压频率、减小被干扰回路中源阻抗和负载阻抗的并联、减小电路之间的耦合电容,可适当增大电路间距离、采取屏蔽措施。
第三章屏蔽按其机理可分为电场屏蔽、磁场屏蔽、电磁场屏蔽、编织带屏蔽。
1、静电屏蔽的原理是什么?答:导体置于静电场中并到达静电平衡后,该导体是一个等位体,内部电场为零,导体内部没有静电荷,电荷只能分布在导体表面。
若该导体内部有空腔,空腔中也没有电场,空腔导体起到了隔绝外部静电场的作用。
如将带电体置于空腔导体内部,会在空腔导体表面感应出等量电荷。
如果把空腔导体接地,不会在导体外部产生电场。
电磁场与电磁兼容_北京交通大学2中国大学mooc课后章节答案期末考试题库2023年1.如果一个矢量场F沿着任意闭合路径积分都为0,则该矢量场称为()答案:无旋场2.标量场的梯度的旋度为答案:3.在电场E=a xy+a yx 中把一个-2μC的电荷从点(2,1,-1)移到(8,2,-1)电场力所做的功为答案:-28μJ4.任意标量函数A,▽×▽A为()答案:5.磁场通过任意闭合曲面(称高斯面)S 的磁通量等于( )答案:6.磁场强度沿任意闭合路径的环流量等于回路所包围的()的代数和。
答案:电流7.单位正电荷在静电场中沿闭合电路运动一周时,电场力所做的功为()答案:8.外界经闭合曲面S流入V内的全部电磁功率等于V内导体的焦耳热与V内的电磁场能量的时间变化率之( )答案:和9.沿闭合回路产生的感应电动势等于穿过这个回路所包围的总的()的时间变化率。
答案:磁通量10.波阵面(波前、等相位面)是在任一时刻空间电磁场中具有()相位的点构成的面。
答案:相同11.无耗媒质中的相移常数为()答案:2π/λ12.正弦均匀平面波电场与传播方向()答案:垂直13.真空中的波阻抗为()答案:120πΩ14.时变电磁场的电场矢量E在空间随时间的变化轨迹为一直线的成为()极化。
答案:线极化15.强导电媒质中正弦均匀平面波E 的相位比 H 超前()答案:45°16.当平面电磁波垂直入射到理想导体表面时,导体内部透射电磁波()答案:无17.电偶极子辐射的波在远区为()答案:横电磁波18.偶极子天线辐射功率最大值在与天线夹角()度处答案:9019.天线系数表示的是天线输出端接匹配负载测量天线表面的入射电场与接收到的电压之()答案:比20.对于偶极子天线离终端()处为电流的波腹答案:λ/421.振子天线的终端始终是电流的()答案:波节22.垂直架设在理想导电平面上的振子最大辐射方向上的场强是自由空间中的()倍答案:223.水平架设在理想导电平面上的水平振子在水平方向()答案:无辐射24.对于无损耗传输线衰减系数为()答案:25.当传输线终端负载阻抗等于传输线的特性阻抗时反射系数为()答案:26.两个矢量的点乘(标量积,点积)结果是标量。
电磁兼容原理与应用考题一、简答题(每题8分)1、写出电磁干扰三要素,并简要说明其含义。
2、写出电振子和磁振子的远区场电磁分布(注意矢量方向)。
3、叙述瞬态干扰的特征,并举出三种瞬态干扰。
4、写出电磁兼容性预测算法的四级筛选。
5、写出四种常见的抑制电磁干扰技术,简要说明其含义。
6、写出电磁干扰滤波器安装时需要注意的的事项。
二、某无线发射机频率为450MHz ,基波辐射功率为10dBW ,预测其其二次谐波和三次谐波辐射功率。
已知发射机谐波模型统计如表。
(12分)三、电磁兼容中常用纵向扼流圈抑制地线干扰,其等效电路图如图所示。
已知信号频率为f ,12,12,22RC RC RL L L M fM RC π=<<==>>,分析证明纵向扼流圈的差模低阻抗,共模高阻抗。
(14分)四、已知反射损耗()20lg 20lg4w w Z R t Z ηη+=-=,其中Z w 为空间波阻抗,金属特性阻抗7(1)(1) 3.69102r rf fj j μπμησσ-=+≈+⨯⨯ MsU gU 1L 2L 1C R 2C R LR1)计算厚度为0.5mm的铜板在远区场对频率100MHz的入射平面波的屏蔽效能。
(8分)2)把该铜板换成两块厚度分别为0.5mm的铜板,中间间隔空气隙,隙厚度为d,计算当d分别为多少时,多层屏蔽体取得最大和最小的屏蔽效能,并计算屏蔽效能的值。
(6分)五:如图所示的部分屏蔽的电容耦合模型,U1为骚扰源电压。
1)、将电路化简单为平面电路图,写出U N的表达式;(5分)2)、当R分别为低阻抗的时,化简U N;(3分)3)、说明相应的抑制措施。
(4分)答案简答题(每题8分)一、 简答题:1、写出电磁干扰三要素,并简要说明其含义。
电磁干扰源,耦合路径,敏感设备称作电磁干扰的三要素。
电磁干扰源指产生电磁干扰的元件。
器件,设备等;偶和途径又称耦合通道,指能量从干扰源到敏感设备的媒介和通道;敏感设备,是指对电磁干扰产生响应的设备。
电磁兼容课程作业(问答58题)1. 为什么要对产品做电磁兼容设计?答:满足产品功能要求、减少调试时间,使产品满足电磁兼容标准的要求,使产品不会对系统中的其它设备产生电磁干扰。
2. 对产品做电磁兼容设计可以从哪几个方面进行?答:电路设计(包括器件选择)、软件设计、线路板设计、屏蔽结构、信号线/电源线滤波、电路的接地方式设计。
3. 在电磁兼容领域,为什么总是用分贝(dB)的单位描述?10V是多少dBV?答:因为要描述的幅度和频率范围都很宽,在图形上用对数坐标更容易表示,而dB就是用对数表示时的单位,10V是20dBV。
4. 为什么频谱分析仪不能观测静电放电等瞬态干扰?答:因为频谱分析仪是一种窄带扫频接收机,它在某一时刻仅接收某个频率范围内的能量。
静电放电等瞬态干扰是一种脉冲干扰,其频谱范围很宽,但时间很短,这样频谱分析仪在瞬态干扰发生时观察到的仅是其总能量的一小部分,不能反映实际干扰情况。
5. 在现场进行电磁干扰问题诊断时,往往需要使用近场探头和频谱分析仪,怎样用同轴电缆制作一个简易的近场探头?答:将同轴电缆的外层(屏蔽层)剥开,使芯线暴露出来,将芯线绕成一个直径1~2厘米小环(1~3匝),焊接在外层上。
6. 一台设备,原来的电磁辐射发射强度是300V/m,加上屏蔽箱后,辐射发射降为3V/m,这个机箱的屏蔽效能是多少dB?答:这个机箱的屏蔽效能应为40dB。
7. 设计屏蔽机箱时,根据哪些因素选择屏蔽材料?答:从电磁屏蔽的角度考虑,主要要考虑所屏蔽的电场波的种类。
对于电场波、平面波或频率较高的磁场波,一般金属都可以满足要求,对于低频磁场波,要使用导磁率较高的材料。
8. 机箱的屏蔽效能除了受屏蔽材料的影响以外,还受什么因素的影响?答:受两个因素的影响,一是机箱上的导电不连续点,例如孔洞、缝隙等;另一个是穿过屏蔽箱的导线,如信号电缆、电源线等。
9. 屏蔽磁场辐射源时要注意什么问题?答:由于磁场波的波阻抗很低,因此反射损耗很小,而主要靠吸收损耗达到屏蔽的目的。
第5章 传输线5.1 对于同轴电缆,分布电容012ln()C r r πε=,特性阻抗01ln()r Z r = 由题意知,分布电容为1101260061010ln()pF C F r m r πε-===⨯ 即01112ln()610r r πε-=⨯ 其中0r εεε=,20.1t us =, 得8610/210/0.110/2s v m s m s t -===⨯⨯而88210v ====⨯1.5=由此可得0011121)261083.3r r Z r πεεπ-==⨯==Ω 5.2L L L jX R Z Z +=Ω=,750(1)由311=Γ-Γ+=VSWR 得21=Γ, 由21757500=++-+=+-=ΓL L L L L L jX R jX R Z Z Z Z 得0562525022=+-+L L L R X R (2)Ω=150L R ,代入第一问得出的式子中,得Ω==8.961525L X(3)1525150,750j Z Z L +=Ω=终端反射系数15915300j j Z Z Z Z L L ++=+-=Γ, 幅角πφ16.096.28)915arctan()315arctan(=︒=-= )2cos(25.15.0)(φββφββφβ-'+=+=Γ+=+'-'+'-+'+'z U e e U e e U e U U z j z j z j j z j z 当⋯⋯=±=-'210,22、、k k z ππφβ时,z U '最小,此时⋯⋯=+='210k ,k)5.029.0(、、λz 离负载最近的电压最小点距负载的距离为λ29.0='z5.3(1)传输线的反射系数00000.26100507555.963.4100507518215.90.347.50.30.210.23L L j Z Z j Z Z j e j π----∠-Γ===+-+∠-=∠-==-(2)传输线的电压表达式:()(1)(1.210.23)U z U U j ++=+Γ=-传输线的电流表达式:()(1)(0.790.23)I z U U j ++=-Γ=+(3)根据定义式'''''()0.3j z j z j z j z z U U e U e U e e U βββφβ++-+-=+Γ=+= 其中,20.26,πφπβλ==当'22z πβφ-=时,得到第一个电压波节点的距离min10.19Z λ=当'22z βφπ-=时,得到第一个电压波腹点的距离max10.435Z λ=5.5同轴线的特性阻抗为)b Z a= (1)当填充介质为空气时:123)ln()49.97210bZaπ===Ω(2)当填充介质为无损耗介质时:123ln()ln()33.32210bZaπ===Ω5.6(1)对于双线传输线ln()3000.6s sZr rs⎛⎫⎛⎫==⎪ ⎪⎝⎭⎝⎭==Ω得到25.51s mm=(2)对于同轴线0011))1ln()7520.6r rZr rrπ====Ω得到3.91r mm=5.8(1)电场场强2qErπε=则ln()22b ba aq q bU E dr drr aπεπε===⎰⎰得到2ln()qCbUaπε==(2)磁场强度2IHrπ=,则02IBrμπ=则00ln()22bm s aI I bB ds drr aμμψππ===⎰⎰得到0ln()2m bL aIψμπ==5.9(1)3040j Z L -=,无耗传输线0Z 为实数Γ-Γ+=11VSWR ,若使VSWR 越小,则Γ越小002202200000250080160130)40(30)40(30)40(30)40(Z Z Z Z j Z j Z Z Z Z Z L L ++-=+++-=++--=+-=Γ 当500=Z 时,Γ最小,此时31=Γ (2)2311311=-+=VSWR ,393100j j Z Z Z Z L L ---=+-=Γ 5.10(1)此时无反射,处于行波状态,那么070L Z Z ==Ω(2)反射系数1315S S -Γ==+ 在负载端出现电压最大值,此时是波腹点,则反射系数为35Γ= 即0035L L Z Z Z Z -=+,得到280L Z =Ω (3)此时的反射系数35Γ=- 即0035L L Z Z Z Z -=-+,得到17.5L Z =Ω。