考研数学-概率上
- 格式:ppt
- 大小:495.50 KB
- 文档页数:26
考研数学概率与统计备考掌握常见概率分布和统计方法概率与统计是考研数学中的一个重要内容,备考期间,掌握常见的概率分布和统计方法是非常关键的。
本文将介绍几种常见的概率分布和统计方法,以助于考生备考时的复习。
一、离散型随机变量及其概率分布离散型随机变量是指在一次试验中,可能取一些特定值的变量。
在概率论中,常见的离散型随机变量有二项分布、泊松分布和几何分布。
1. 二项分布二项分布是指在n次试验中,成功次数为X的概率分布。
它的概率质量函数为:P(X=k) = C(n, k) * p^k * (1-p)^(n-k)其中,n为试验次数,k为成功次数,p为一次试验成功的概率,C(n, k)为组合数。
2. 泊松分布泊松分布是一种在独立时间段内总体事件发生次数的离散概率分布。
它的概率质量函数为:P(X=k) = (λ^k * e^(-λ)) / k!其中,X为事件发生的次数,λ为单位时间或空间内事件的平均发生率。
3. 几何分布几何分布是指在一系列独立重复的伯努利试验中,首次成功所需的试验次数的概率分布。
它的概率质量函数为:P(X=k) = p * (1-p)^(k-1)其中,X为首次成功所需的试验次数,p为一次试验成功的概率。
二、连续型随机变量及其概率分布连续型随机变量是指在某一区间内可能取任意值的变量。
在概率论中,常见的连续型随机变量有均匀分布、正态分布和指数分布。
1. 均匀分布均匀分布是指在一个区间内,随机变量取任意值的概率相等的分布。
它的概率密度函数为:f(x) = 1 / (b-a) (a <= x <= b)其中,a为区间下界,b为区间上界。
2. 正态分布正态分布也称为高斯分布,是自然界和社会现象中最常见的分布。
它的概率密度函数为:f(x) = 1 / (σ* √(2π)) * e^(-(x-μ)^2 / (2σ^2))其中,μ为均值,σ为标准差。
3. 指数分布指数分布是一种用于描述事件发生时间间隔的分布。
考研数学一大纲重点梳理概率论与数理统计部分概率论和数理统计是考研数学一科目中的重要部分,本文将针对概率论与数理统计这一大纲进行重点梳理。
首先,我们将介绍概率论的基本概念和理论,然后详细讨论数理统计的相关内容。
一、概率论的基本概念和理论1. 概率的基本概念概率是研究随机现象的定量描述,用来描述事件发生的可能性大小。
概率可以用数值表示,范围在0到1之间,其中0代表不可能事件,1代表必然事件。
2. 概率的运算规则概率的运算规则包括加法规则和乘法规则。
加法规则适用于互斥事件,乘法规则适用于独立事件。
3. 随机变量和概率分布随机变量是用来描述随机现象的变量,可以分为离散随机变量和连续随机变量。
概率分布描述了随机变量的取值与概率之间的关系,常见的概率分布包括二项分布、泊松分布和正态分布等。
4. 期望和方差期望是随机变量的平均值,用来描述随机变量的集中趋势;方差是随机变量与期望之间的差异程度,用来描述随机变量的离散程度。
二、数理统计的相关内容1. 抽样与抽样分布抽样是指从总体中选取一部分个体进行观察和研究的过程,抽样分布是指样本统计量的概率分布。
常见的抽样分布包括正态分布、t分布和F分布等。
2. 参数估计参数估计是利用样本数据来估计总体参数的值,常见的参数估计方法包括点估计和区间估计。
点估计是用单个数值来估计参数的值,区间估计是用一个区间来估计参数的值。
3. 假设检验假设检验是根据样本提供的信息,对总体的某个参数是否满足某种假设进行判断。
假设检验可以分为单侧检验和双侧检验,常见的假设检验方法包括z检验和t检验等。
4. 方差分析方差分析是用来比较两个或多个总体间均值差异是否显著的统计方法。
方差分析可以分为单因素方差分析和多因素方差分析,常用的方法包括单因素方差分析和双因素方差分析等。
5. 回归分析回归分析是用来研究自变量与因变量之间的关系的方法。
简单线性回归是一种自变量和因变量之间存在线性关系的回归分析方法,多元线性回归是多个自变量和一个因变量之间的回归分析方法。
考研数学备考:概率论各章节知识点梳理1500字概率论作为考研数学中的一部分,是考生备考的重点之一。
下面将对概率论的各章节知识点进行梳理,帮助考生进行复习备考。
1. 随机事件与概率概率论的基本概念是随机事件和概率。
随机事件是随机现象的结果,概率是事件发生的可能性大小。
在这一章节中,主要涉及到随机事件的定义、事件的性质、事件间的关系等内容。
2. 随机变量及其分布随机变量是随机现象的数值描述,它分为离散随机变量和连续随机变量。
这一章节主要涉及随机变量的定义、分布函数、概率密度函数等内容。
同时还包括常见的离散随机变量和连续随机变量的概率分布,如二项分布、泊松分布、正态分布等。
3. 随机事件的数学描述随机事件可以用随机变量的取值区间来表示,也可以用事件的概率来描述。
这一章节主要包括随机事件的和、差、积等概念,以及离散随机变量和连续随机变量的概率函数之间的关系。
4. 多维随机变量及其分布多维随机变量是指由多个随机变量组成的向量。
这一章节主要包括多维随机变量的定义、联合分布、边缘分布等内容。
同时还包括多维随机变量的独立性、相关性等概念。
5. 随机变量的数字特征随机变量的数字特征包括数学期望、方差、协方差等。
这一章节主要涉及到随机变量的数学期望、方差和协方差的定义、性质以及计算方法。
6. 大数定律和中心极限定理大数定律是指随着试验次数的增加,随机事件的频率趋向于事件的概率。
中心极限定理是指当随机事件的样本量足够大时,其均值的分布接近于正态分布。
这一章节主要涉及到大数定律和中心极限定理的数学表达和推导。
7. 参数估计与假设检验参数估计是根据样本数据对总体参数进行估计,假设检验是根据样本数据对总体参数是否符合某个假设进行检验。
这一章节主要包括点估计、区间估计和假设检验的概念、方法和步骤。
8. 有序与无序排列的计数问题有序排列是指考虑元素的排列顺序,无序排列是指不考虑元素的排列顺序。
这一章节主要涉及到有序与无序排列的计数问题,如排列、组合、多重集合等。
考研数学概率论重要考点总结概率论是考研数学中的重要考点之一。
下面是概率论中的一些重要考点总结。
一、概率基本概念1. 随机试验与样本空间2. 事件与事件的关系3. 概率的定义、性质和运算法则4. 条件概率及其性质二、随机变量与概率分布1. 随机变量的概念及其分类2. 离散型随机变量与连续型随机变量3. 随机变量的分布函数和密度函数4. 两个随机变量的独立性5. 随机变量的函数及其分布三、数学期望与方差1. 数学期望的概念及其性质2. 数学期望的计算3. 方差的概念及其性质4. 方差的计算5. 协方差和相关系数四、大数定律与中心极限定理1. 大数定律的概念及其性质2. 切比雪夫不等式3. 中心极限定理的概念及其性质4. 泊松定理5. 极限定理的应用五、随机变量的常见分布1. 二项分布、泊松分布2. 均匀分布、指数分布3. 正态分布4. 伽马分布、贝塔分布5. t分布、F分布、卡方分布六、矩母函数与特征函数1. 矩母函数的概念及性质2. 矩母函数的计算3. 特征函数的概念及性质4. 特征函数的计算5. 中心极限定理的特征函数证明七、样本与抽样分布1. 随机样本的概念及其性质2. 样本统计量的概念及其性质3. 样本均值和样本方差4. 正态总体抽样分布5. t分布,x^2分布,F分布的定义及其应用八、参数估计与假设检验1. 点估计的概念及性质2. 极大似然估计3. 置信区间的概念及计算4. 参数假设检验的概念及流程5. 正态总体均值的假设检验九、回归与方差分析1. 回归分析的概念及方法2. 多元回归模型、回归模型的检验3. 方差分析的概念及方法4. 单因素方差分析、双因素方差分析以上是概率论中的一些重要考点总结。
在备考过程中,需要对这些知识点有一定的掌握,并进行大量的练习和习题训练,只有充分理解和掌握这些知识,并能运用到实际问题中,才能在考试中取得好成绩。
第一章 概率论的基本概念定义: 随机试验E 的每个结果样本点组成样本空间S ,S 的子集为E 的随机事件,单个样本点为基本事件.事件关系:1.A ⊂B ,A 发生必导致B 发生.2.A B 和事件,A ,B 至少一个发生,A B 发生. 3.A B 记AB 积事件,A ,B 同时发生,AB 发生. 4.A -B 差事件,A 发生,B 不发生,A -B 发生. 5.A B=?,A 与B 互不相容(互斥),A 与B 不能同时发生,基本事件两两互不相容.6.A B=S 且A B=?,A 与B 互为逆事件或对立事件,A 与B 中必有且仅有一个发生,记B=A S A -=.事件运算: 交换律、结合律、分配率略.德摩根律:B A B A =,B A B A =.概率: 概率就是n 趋向无穷时的频率,记P(A). 概率性质: 1.P (?)=0.2.(有限可加性)P (A 1 A 2 … A n )=P (A 1)+P (A 2)+…+P (A n ),A i 互不相容.3.若A ⊂B ,则P (B -A)=P (B)-P (A). 4.对任意事件A ,有)A (1)A (P P -=.5.P (A B)=P (A)+P (B)-P (AB).古典概型: 即等可能概型,满足:1.S 包含有限个元素.2.每个基本事件发生的可能性相同. 等概公式:中样本点总数中样本点数S A )A (==n k P . 超几何分布:⎪⎪⎭⎫ ⎝⎛⎪⎪⎭⎫ ⎝⎛--⎪⎪⎭⎫ ⎝⎛=n N k n D N k D p ,其中ra C r a =⎪⎪⎭⎫ ⎝⎛. 条件概率: )A ()AB ()A B (P P P =. 乘法定理:)A ()A B ()AB C ()ABC ()A ()AB ()AB (P P P P P P P ==.全概率公式:)B ()B A ()B ()B A ()B ()B A ()A (2211n n P P P P P P P +++= ,其中i B 为S 的划分.贝叶斯公式: )A ()B ()B A ()A B (P P P P i i i =,∑==nj j j B P B A P A P 1)()()(或)()()()()()()(B P B A P B P B A P B P B A P A B P +=.独立性: 满足P (AB)=P (A)P (B),则A ,B 相互独立,简称A ,B 独立. 定理一: A ,B 独立,则.P (B |A)=P (B).定理二: A ,B 独立,则A 与B ,A 与B ,A 与B 也相互独立. 第二章 随机变量及其分布(0—1)分布:k k p p k X P --==1)1(}{,k =0,1 (0<p <1).伯努利实验:实验只有两个可能的结果:A 及A .二项式分布: 记X~b (n ,p ),kn kkn p p C k X P --==)1(}{. n 重伯努利实验:独立且每次试验概率保持不变.其中A 发生k 次,即二项式分布.泊松分布: 记X~π(λ),!}{k e k X P k λλ-==, ,2,1,0=k .泊松定理: !)1(lim k e p p C k kn k knn λλ--∞→=-,其中λ=np .当20≥n ,05.0≤p 应用泊松定理近似效果颇佳.随机变量分布函数: }{)(x X P x F ≤=,+∞<<∞-x .)()(}{1221x F x F x X x P -=≤<.连续型随机变量: ⎰∞-=xt t f x F d )()(,X 为连续型随机变量,)(x f 为X 的概率密度函数,简称概率密度.概率密度性质:1.0)(≥x f ;2.1d )(=⎰+∞∞-x x f ;3.⎰=-=≤<21d )()()(}{1221x x x x f x F x F x X x P ;4.)()(x f x F =',f (x )在x 点连续;5.P {X=a }=0.均匀分布: 记X~U(a ,b );⎪⎩⎪⎨⎧<<-=其它,,01)(bx a ab x f ;⎪⎩⎪⎨⎧≥<≤--<=b x b x a a b a x a x x F ,,,10)(. 性质:对a ≤c <c +l ≤b ,有 指数分布:⎪⎩⎪⎨⎧>=-其它,,001)(x e x f x θθ;⎩⎨⎧>-=-其它,,001)(x e x F x θ. 无记忆性: }{}{t X P s X t s X P >=>+>. 正态分布: 记),(~2σμN X ;]2)(ex p[21)(22σμσπ--=x x f ;t t x F xd ]2)(ex p[21)(22⎰∞---=σμσπ.性质: 1.f (x )关于x =μ对称,且P {μ-h <X ≤μ}=P {μ<X ≤μ+h };2.有最大值f (μ)=(σπ2)-1.标准正态分布: ]2exp[21)(2x x -=πϕ;⎰∞--=Φxt t x d ]2ex p[21)(2π.即μ=0,σ=1时的正态分布X ~N(0,1)性质:)(1)(x x Φ-=-Φ.正态分布的线性转化: 对),(~2σμN X有)1,0(~N X Z σμ-=;且有)(}{}{)(σμσμσμ-Φ=-≤-=≤=x x X P x X P x F .正态分布概率转化:)()(}{1221σμσμ-Φ--Φ=≤<x x x X x P ;1)(2)()(}{-Φ=-Φ-Φ=+<<-t t t t X t P σμσμ.3σ法则: P =Φ(1)-Φ(-1)=68.26%;P =Φ(2)-Φ(-2)=95.44%;P =Φ(3)-Φ(-3)=99.74%,P 多落在(μ-3σ,μ+3σ)内. 上ɑ分位点: 对X~N(0,1),若z α满足条件P {X>z α}=α,0<α<1,则称点z α为标准正态分布的上α分位点.常用 上ɑ分位点: 0.001 0.005 0.01 0.025 0.05 0.10 3.0902.5762.3261.9601.6451.282Y 服从自由度为1的χ2分布:设X 密度函数f X (x ),+∞<<∞-x ,若Y=X 2,则⎪⎩⎪⎨⎧≤>-+=000)]()([21)(y y y f y f y y f X XY ,,若设X ~N(0,1),则有⎪⎩⎪⎨⎧≤>=--00021)(221y y e y y f y Y ,,π定理:设X 密度函数f X (x ),设g (x )处处可导且恒有g ′(x )>0(或g ′(x )<0),则Y=g (X)是连续型随机变量,且有h (y )是g (x )的反函数;①若+∞<<∞-x ,则α=min{g (?∞),g (+∞)},β=max{g (?∞),g (+∞)};②若f X (x )在[a ,b ]外等于零,g (x )在[a ,b ]上单调,则α=min{g (a ),g (b )},β=max{g (a ),g (b )}.应用: Y=aX +b ~N(a μ+b ,(|a |σ)2).第三章 多维随机变量及其分布二维随机变量的分布函数:分布函数(联合分布函数):)}(){(),(y Y x X P y x F ≤≤= ,记作:},{y Y x X P ≤≤.),(),(),(),(},{112112222121y x F y x F y x F y x F y Y y x X x P +--=≤<≤<.F (x ,y )性质: 1.F (x ,y )是x 和y 的不减函数,即x 2>x 1时,F (x 2,y )≥F (x 1,y );y 2>y 1时,F (x ,y 2)≥F (x ,y 1). 2.0≤F (x ,y )≤1且F (?∞,y )=0,F (x ,?∞)=0,F (?∞,?∞)=0,F (+∞,+∞)=1. 3.F (x +0,y )=F (x ,y ),F (x ,y +0)=F (x ,y ),即F (x ,y )关于x 右连续,关于y 也右连续. 4.对于任意的(x 1,y 1),(x 2,y 2),x 2>x 1,y 2>y 1,有P {x 1<X ≤x 2,y 1<Y ≤y 2}≥0.离散型(X ,Y ):0≥ij p ,111=∑∑∞=∞=ij j i p ,ij yy x x p y x F i i ∑∑=≤≤),(.连续型(X ,Y ):v u v u f y x F yxd d ),(),(⎰⎰∞-∞-=.f (x ,y )性质: 1.f (x ,y )≥0.2.1),(d d ),(=∞∞=⎰⎰∞∞-∞∞-F y x y x f .3.y x y x f G Y X P G⎰⎰=∈d d ),(}),{(. 4.若f (x ,y )在点(x ,y )连续,则有),(),(2y x f yx y x F =∂∂∂.n 维: n 维随机变量及其分布函数是在二维基础上的拓展,性质与二维类似.边缘分布: F x (x ),F y (y )依次称为二维随机变量(X ,Y )关于X 和Y 的边缘分布函数,F X (x )=F (x ,∞),F Y (y )=F (∞,y ). 离散型: *i p 和j p *分别为(X ,Y )关于X 和Y 的边缘分布律,记}{1i ij j i x X P p p ==∑=∞=*,}{1j ij i j y Y P p p ==∑=∞=*. 连续型:)(x f X ,)(y f Y 为(X ,Y )关于X 和Y 的边缘密度函数,记⎰∞∞-=y y x f x f X d ),()(,⎰∞∞-=x y x f y f Y d ),()(. 二维正态分布:]})())((2)([)1(21exp{121),(2222212121212221σμσσμμρσμρρσπσ-+-------=y y x x y x f . 记(X ,Y )~N (μ1,μ2,σ12,σ22,ρ)]2)(exp[21)(21211σμσπ--=x x f X ,∞<<∞-x .]2)(exp[21)(22222σμσπ--=y y f Y ,∞<<∞-y . 离散型条件分布律:jij j j i j i p p y Y P y Y x X P y Y x X P *=======}{},{}{.*=======i ij i j i i j p p x X P y Y x X P x X y Y P }{},{}{.连续型条件分布:条件概率密度:条件分布函数:含义:当0→ε时,)|(d )|(}|{||y x F x y x f y Y y x X P Y X xY X =≈+≤<≤⎰∞-ε.均匀分布: 若⎪⎩⎪⎨⎧∈=其他,0),(,1),(Gy x Ay x f ,则称(X ,Y)在G 上服从均匀分布. 独立定义:若P {X ≤x ,Y ≤y }=P {X ≤x }P {Y ≤y },即F (x ,y )=F x (x )F y (y ),则称随机变量X 和Y 是相互独立的. 独立条件或可等价为:连续型:f (x ,y )=f x (x )f y (y );离散型:P {X =x i ,Y =y j }=P {X =x i }P {Y =y j }.正态独立: 对于二维正态随机变量(X ,Y ),X 和Y 相互对立的充要条件是:参数ρ=0.n 维延伸: 上述概念可推广至n 维随机变量,要注意的是边缘函数或边缘密度也是多元(1~n -1元)的.定理:设(X 1,X 2,…,X m )和(Y 1,Y 2,…,Y n )相互独立,则X i 和Y j 相互独立.又若h ,g 是连续函数,则h (X 1,X 2,…,X m )和g (Y 1,Y 2,…,Y n )相互独立.Z=X+Y 分布: 若连续型(X ,Y )概率密度为f (x ,y ),则Z=X+Y 为连续型且其概率密度为 ⎰∞∞-+-=y y y z f z f Y X d ),()(或⎰∞∞-+-=x x z x f z f Y X d ),()(.f X 和f Y 的卷积公式: 记⎰∞∞-+-==y y f y z f z f f f Y X Y X Y X d )()()(*⎰∞∞--=x x z f x f Y X d )()(,其中除继上述条件,且X 和Y 相互独立,边缘密度分别为f X (x )和f Y (y ).正态卷积:若X 和Y 相互独立且X ~N (μ1,σ12),记Y ~N (μ2,σ22),则对Z=X+Y 有Z ~N (μ1+μ2,σ12+σ22).1.上述结论可推广至n 个独立正态随机变量.2.有限个独立正态随机变量的线性组合仍服从正态分布. 伽马分布:记),(~θαΓX ,0>α,0>θ.⎪⎩⎪⎨⎧>Γ=--其他,,00)(1)(1x e x x f x θαααθ,其中⎰+∞--=Γ01d )(t e t tαα.若X 和Y 独立且X ~Γ(α,θ),记Y ~Γ(β,θ),则有X+Y~Γ(α+β,θ).可推广到n 个独立Γ分布变量之和.XYZ =: ⎰∞∞-=x xz x f x z f X Y d ),()(,若X 和Y 相互独立,则有⎰∞∞-=x xz f x f x z f Y X X Y d )()()(.XYZ =分布: ⎰∞∞-=xxzx f x z f XY d ),(1)(,若X 和Y 相互独立,则有⎰∞∞-=x x z f x f x z f Y X XY d )()(1)(. 大小分布:若X 和Y 相互独立,且有M =max{X ,Y }及N =min{X ,Y },则M 的分布函数:F max (z )=F X (z )F Y (z ),N 的分布函数:F min (z )=1-[1-F X (z )][1-F Y (z )],以上结果可推广到n 个独立随机变量的情况.第四章 随机变量的数字特征数学期望: 简称期望或均值,记为E (X );离散型:k k k p x X E ∑=∞=1)(.连续型:⎰∞∞-=x x xf X E d )()(.定理: 设Y 是随机变量X 的函数:Y =g (X )(g 是连续函数).1.若X 是离散型,且分布律为P {X =x k }=p k ,则:k k k p x g Y E )()(1∑=∞=.2.若X 是连续型,概率密度为f (x ),则:⎰∞∞-=x x f x g Y E d )()()(.定理推广: 设Z 是随机变量X ,Y 的函数:Z =g (X ,Y )(g 是连续函数).1.离散型:分布律为P {X =x i ,Y =y j }=p ij ,则:ij j i i j p y x g Z E ),()(11∑∑=∞=∞=. 2.连续型:⎰⎰∞∞-∞∞-=y x y x f y x g Z E d d ),(),()(期望性质:设C 是常数,X 和Y 是随机变量,则:1.E (C )=C .2.E (CX )=CE (X ).3.E (X +Y )=E (X )+E (Y ). 4.又若X 和Y 相互独立的,则E (XY )=E (X )E (Y ).方差: 记D (X )或Var(X ),D (X )=Var(X )=E {[X -E (X )]2}.标准差(均方差): 记为σ(X ),σ(X )= .通式:22)]([)()(X E X E X D -=. k k k p X E x X D 21)]([)(-∑=∞=,⎰∞∞--=x x f x E x X D d )()]([)(2.标准化变量:记σμ-=x X *,其中μ=)(X E ,2)(σ=X D ,*X 称为X 的标准化变量. 0)(*=X E ,1)(*=X D .方差性质: 设C 是常数,X 和Y 是随机变量,则:1.D (C )=0. 2.D (CX )=C 2D (X ),D (X +C )=D (X ).3.D (X +Y )=D (X )+D (Y )+2E {(X -E (X ))(Y -E (Y ))},若X ,Y 相互独立D (X +Y )=D (X )+D (Y ). 4.D (X )=0的充要条件是P {X =E (X )}=1.正态线性变换: 若),(~2ii iN X σμ,i C 是不全为0的常数,则),(~22112211i i ni i i ni n n C C N X C X C X C σμ∑∑+++== .切比雪夫不等式:22}{εσεμ≤≥-X P 或221}{εσεμ-≥<-X P ,其中)(X E =μ,)(2X D =σ,ε为任意正数.协方差:记)]}()][({[),Cov(Y E Y X E X E Y X --=.X 与Y 的相关系数:)()(),Cov(Y D X D Y X XY =ρ.D (X +Y )=D (X )+D (Y )+2Cov(X ,Y ),Cov(X ,Y )=E (XY )-E (X )E (Y ).性质: 1.Cov(aX ,bY )=ab Cov(X ,Y ),a ,b 是常数.2.Cov(X 1+X 2,Y )=Cov(X 1,Y )+Cov(X 2,Y ). 系数性质:令e =E [(Y -(a +bX ))2],则e 取最小值时有)()1(]))([(2200min Y D X b a Y E e XY ρ-=+-=,其中)()(00X E b Y E a -=,)(),Cov(0X D Y X b =.1.|ρXY |≤1.2.|ρXY |=1的充要条件是:存在常数a ,b 使P {Y =a +bX }=1.|ρXY |越大e 越小X 和Y 线性关系越明显,当|ρXY |=1时,Y =a +bX ;反之亦然,当ρXY =0时,X 和Y 不相关. X 和Y 相互对立,则X 和Y 不相关;但X 和Y 不相关,X 和Y 不一定相互独立. 定义: k 阶矩(k 阶原点矩):E (X k ). n 维随机变量X i 的协方差矩阵:⎪⎪⎪⎪⎪⎭⎫ ⎝⎛=nn n n n n c c c c c c c c c 212222111211C , =E {[X i -E (X i )][X j -E (X j )]}. k +l 阶混合矩:E (X k Y l).k 阶中心矩:E {[X -E (X )] k }.k +l 阶混合中心矩: E {[X -E (X )]k [Y -E (Y )]l }.n 维正态分布:)}()(21ex p{det )2(1),,,(1T 221μX C μX C ---=-n n x x x f π ,T21T 21),,,(),,,(n n x x x μμμ ==μX .性质:1.n 维正态随机变量(X 1,X 2,…,X n )的每一个分量X i (i =1,2,…,n )都是正态随机变量,反之,亦成立. 2.n 维随机变量(X 1,X 2,…,X n )服从n 维正态分布的充要条件是X 1,X 2,…,X n 的任意线性组合l 1X 1+l 2X 2+…+l n X n 服从一维正态分布(其中l 1,l 2,…,l n 不全为零).3.若(X 1,X 2,…,X n )服从n 维正态分布,且Y 1,Y 2,…,Y k 是X j (j =1,2,…,n )的线性函数,则(Y 1,Y 2,…,Y k )也服从多维正态分布.4.若(X 1,X 2,…,X n )服从n 维正态分布,则“X i 相互独立”与“X i 两两不相关”等价.第五章 大数定律及中心极限定理弱大数定理:若X1,X2,…是相互独立并服从同一分布的随机变量序列,且E(X k)=μ,则对任意ε>0有11lim1=⎭⎬⎫⎩⎨⎧<-∑=∞→εμknknXnP或→μPX,knkXnX11=∑=.定义:Y1,Y2,…,Y n ,…是一个随机变量序列,a是一个常数.若对任意ε>0,有则称序列Y1,Y2,…,Yn,…依概率收敛于a.记伯努利大数定理:对任意ε>0有1lim=⎭⎬⎫⎩⎨⎧<-∞→εpnfP An或0lim=⎭⎬⎫⎩⎨⎧≥-∞→εpnfP An.其中f A是n次独立重复实验中事件A发生的次数,p是事件A在每次试验中发生的概率.中心极限定理定理一:设X1,X2,…,X n ,…相互独立并服从同一分布,且E(X k)=μ,D(X k)=σ2 >0,则n→∞时有σμnnXknk)(1-∑=N(0,1)或nXσμ-~N(0,1)或X~N(μ,n2σ).定理二:设X1,X2,…,X n ,…相互独立且E(X k)=μ k,D(X k)=σ k2 >0,若存在δ>0使n→∞时,}|{|1212→-∑+=+δδμkknknXEB,则nknkknkBX)(11μ==∑-∑~N(0,1),记212knknBσ=∑=.定理三:设),(~pnbnη,则n→∞时,Npnpnpn~)1()(--η(0,1),knknX1=∑=η.第六章样本及抽样分布定义:总体:全部值;个体:一个值;容量:个体数;有限总体:容量有限;无限总体:容量无限.定义:样本:X1,X2,…,X n 相互独立并服从同一分布F的随机变量,称从F得到的容量为n的简单随机样本.频率直方图:图形:以横坐标小区间为宽,纵坐标为高的跨越横轴的几个小矩形.横坐标:数据区间(大区间下限比最小数据值稍小,上限比最大数据值稍大;小区间:均分大区间,组距Δ=大区间/小区间个数;小区间界限:精度比数据高一位).图形特点:外轮廓接近于总体的概率密度曲线.纵坐标:频率/组距(总长度:<1/Δ;小区间长度:频率/组距).定义:样本p分位数:记x p,有1.样本x i中有np个值≤x p.2.样本中有n(1-p)个值≥x p.箱线图:x p选择:记⎪⎩⎪⎨⎧∈+∉=++NnpxxNnpxxnpnpnpp当,当,][211)()()1]([.分位数x0.5,记为Q2或M,称为样本中位数.分位数x0.25,记为Q1,称为第一四分位数.分位数x0.75,记为Q3,称为第三四分位数.图形:图形特点:M为数据中心,区间[min,Q1],[Q1,M],[M,Q3],[Q3,max]数据个数各占1/4,区间越短数据密集.四分位数间距:记IQR=Q3-Q1;若数据X<Q1-1.5IQR或X>Q3+1.5IQR,就认为X是疑似异常值.抽样分布:样本平均值:样本方差:样本标准差:样本k阶(原点)矩:kinikXnA11=∑=,k≥1 样本k阶中心矩:kinikXXnB)(11-∑==,k≥2经验分布函数:)(1)(xSnxFn=,∞<<∞-x.)(xS表示F的一个样本X1,X2,…,X n 中不大于x的随机变量的个数.自由度为n 的χ2分布:记χ2~χ2(n),222212nXXX+++=χ,其中X1,X2,…,X n是来自总体N(0,1)的样本.E(χ2 )=n,D(χ2 )=2n.χ12+χ22~χ2(n1+n2).⎪⎩⎪⎨⎧>Γ=--其他,,)2(21)(2122yexnyfynn.χ2分布的分位点:对于0<α<1,满足αχχαχα==>⎰∞yyfnPn)(222d)()}({,则称)(2nαχ为)(2nχ的上α分位点.当n充分大时(n>40),22)12(21)(-+≈nznααχ,其中αz是标准正态分布的上α分位点.自由度为n 的t分布:记t~t(n),nYXt/=,其中X~N(0,1),Y~χ2(n),X,Y相互独立.h(t)图形关于t=0对称;当n充分大时,t分布近似于N(0,1)分布.t分布的分位点:对于0<α<1,满足ααα==>⎰∞t t hnttPnt)(d)()}({,则称)(ntα为)(nt的上α分位点.~ 近似的min Q1 M Q3 max由h (t )对称性可知t 1-α(n )=-t α(n ).当n >45时,t α(n )≈z α,z α是标准正态分布的上α分位点.自由度为(n 1,n 2)的F分布: 记F ~F (n 1,n 2),21n V n U F=,其中U~χ2(n 1),V~χ2(n 2),X ,Y 相互独立.1/F ~F (n 2,n 1) F 分布的分位点:对于0<α<1,满足αψαα==>⎰∞y y n n F FP n n F ),(2121d )()},({,则称),(21n n F α为),(21n n F 的上α分位点.重要性质:F 1-α(n 1,n 2)=1/F α(n 1,n 2).定理一: 设X 1,X 2,…,X n 是来自N (μ,σ2)的样本,则有),(~2n N X σμ,其中X 是样本均值.定理二:设X 1,X 2,…,X n 是来自N (μ,σ2)的样本,样本均值和样本方差分别记为 X ,2S ,则有1.)1(~)1(222--n S n χσ;2.X 与2S 相互独立.定理三:设X 1,X 2,…,X n 是来自N (μ,σ2)的样本,样本均值和样本方差分别记为X ,2S ,则有)1(~--n t nS X μ.定理四:设X 1,X 2,…,X n 1 与Y 1,Y 2,…,Y n 2分别是来自N (μ1,σ12)和N (μ2,σ22)的样本,且相互独立.设这两个样本的样本均值和样本方差分别记为 X ,Y ,21S,22S,则有1.)1,1(~2122212221--n n F S S σσ.2.当σ12=σ22=σ2时,)2(~)()(21121121-++-----n n t n n S Y X w μμ,其中2)1()1(212222112-+-+-=n n S n S n S w,2w w S S =. 第七章 参数估计定义: 估计量:),,,(ˆ21n X X X θ,估计值:),,,(ˆ21nx x x θ,统称为估计. 矩估计法:令)(ll X E =μ=li n i l X n A 11=∑=(k l ,,2,1 =)(k 为未知数个数)联立方程组,求出估计θˆ. 设总体X 均值μ及方差σ2都存在,则有 X A ==1ˆμ,212212122)(11ˆX X n X X n A A i n i i n i -∑=-∑=-===σ. 最大似然估计法:似然函数:离散:);()(1θθi ni x p L =∏=或连续:);()(1θθi ni x f L =∏=,)(θL 化简可去掉与θ无关的因式项.θˆ即为)(θL 最大值,可由方程0)(d d=θθL 或0)(ln d d=θθL 求得. 当多个未知参数θ1,θ1,…,θk 时:可由方程组0d d =L i θ或0ln d d =L iθ(k i ,,2,1 =)求得. 最大似然估计的不变性:若u =u (θ)有单值反函数θ=θ(u ),则有)ˆ(ˆθu u=,其中θˆ为最大似然估计. 截尾样本取样: 定时截尾样本:抽样n 件产品,固定时间段t 0内记录产品个体失效时间(0≤t 1≤t 2≤…≤t m ≤t 0)和失效产品数量. 定数截尾样本:抽样n 件产品,固定失效产品数量数量m 记录产品个体失效时间(0≤t 1≤t 2≤…≤t m ).结尾样本最大似然估计: 定数截尾样本:设产品寿命服从指数分布X~e (θ),θ即产品平均寿命.产品t i 时失效概率P {t =t i }≈f (t i )d t i ,寿命超过t m 的概率θm t m et tF -=>}{,则)(}){()(1i mi mn m m nt P t t F CL =-∏>=θ,化简得)(1)(m t s m e L ---=θθθ,由0)(ln d d =θθL 得:mt s m )(ˆ=θ,其中s (t m )=t 1+t 2+…+t m +(n -m )t m ,称为实验总时间. 定时截尾样本:与定数结尾样本讨论类似有s (t 0)=t 1+t 2+…+t m +(n -m )t 0,)(01)(t s m e L ---=θθθ,mt s )(ˆ0=θ,. 无偏性: 估计量),,,(ˆ21nX X X θ的)ˆ(θE 存在且θθ=)ˆ(E ,则称θˆ是θ的无偏估计量. 有效性:),,,(ˆ211n X X X θ与),,,(ˆ212n X X X θ都是θ的无偏估计量,若)ˆ()ˆ(21θθD D ≤,则1ˆθ较2ˆθ有效.相合性: 设),,,(ˆ21nX X X θθ的估计量,若对于任意0>ε有1}|ˆ{|lim =<-∞→εθθP n ,则称θˆ是θ的相合估计量. 置信区间:αθθθ-≥<<1)},,,(),,,({2121n n X X X X X X P ,θ和θ分别为置信下限和置信上限,则),(θθ是θ的一个置信水平为α-1置信区间,α-1称为置信水平,10<<α.正态样本置信区间: 设X 1,X 2,…,X n 是来自总体X ~N (μ,σ2)的样本,则有μ的置信区间:枢轴量W W 分布 a ,b 不等式 置信水平 置信区间其中z α/2为上α分位点 θ置信区间的求解: 1.先求枢轴量:即函数W =W (X 1,X 2,…,X n ;θ),且函数W 的分布不依赖未知参数.如上讨论标注2.对于给定置信水平α-1,定出两常数a ,b 使P {a <W <b }=α-1,从而得到置信区间.(0-1)分布p 的区间估计:样本容量n >50时,⇒--∞→)1,0(~)1()(lim N p np np X n n {}⇒-≈<--αα1)1()(2z p np np X n P0)2()(222222<++-+X n p z X n p z n αα⇒若令22αz n a +=,)2(22αz X n b +-=,2X n c =,则有置信区间(a ac b b 2)4(2---,a ac b b 2)4(2-+-).单侧置信区间: 若αθθ-≥>1}{P 或αθθ-≥<1}{P ,称(θ,∞)或(∞-,θ)是θ的置信水平为α-1的单侧置信区间.正态总体均值、方差的置信区间与单侧置信限(置信水平为α-1)待估 其他 枢轴量W 的分布置信区间单侧置信限一个正态总体μσ2已知ασμz nX +=,ασμz nX -=μ σ2未知αμt n S X +=,αμt nSX -= σ2μ未知2122)1(αχσ--=S n ,222)1(αχσS n -=两个正态总体 μ1-μ2 σ12,σ22 已知μ1-μ2 σ12=σ22=σ2 未知σ12/σ22μ1,μ2 未知ασσ-=1222122211F S S ,ασσF S S 122212221=单个总体X ~N (μ,σ2),两个总体X ~N (μ1,σ12),Y ~N (μ2,σ22).第八章 假设实验定义: H 0:原假设或零假设,为理想结果假设;H 1:备择假设,原假设被拒绝后可供选择的假设. 第Ⅰ类错误:H 0实际为真时,却拒绝H 0.第Ⅱ类错误:H 0实际为假时,却接受H 0.显着性检验:只对犯第第Ⅰ类错误的概率加以控制,而不考虑第Ⅱ类错误的概率的检验.P {当H 0为真拒绝H 0}≤α,α称为显着水平.拒绝域:取值拒绝H 0.临界点:拒绝域边界.双边假设检验:H 0:θ=θ0,H 1:θ≠θ0.右边检验:H 0:θ≤θ0,H 1:θ>θ0.左边检验:H 0:θ≥θ0,H 1:θ<θ0.正态总体均值、方差的检验法(显着性水平为α)原假设H 0备择假设H 1检验统计量拒绝域 1 σ2已知μ≤μ0μ>μ0z ≥z α μ≥μ0 μ<μ0 z ≤-z α μ=μ0μ≠μ0|z |≥z α/22 σ2未知μ≤μ0μ>μ0t≥tα(n-1) μ≥μ0μ<μ0t≤-tα(n-1) μ=μ0μ≠μ0|t|≥tα/2(n-1)3 σ1,σ2已知μ1-μ2≤δμ1-μ2>δz≥zαμ1-μ2≥δμ1-μ2<δz≤-zαμ1-μ2=δμ1-μ2≠δ|z|≥zα/24 σ12=σ22=σ2未知μ1-μ2≤δμ1-μ2>δt≥tα(n1+n2-2)μ1-μ2≥δμ1-μ2<δt≤-tα(n1+n2-2)μ1-μ2=δμ1-μ2≠δ|t|≥tα/2(n1+n2-2)5 μ未知σ2≤σ02σ2>σ02χ2≥χα2(n-1)σ2≥σ02σ2<σ02χ2≤χ21-α(n-1)σ2=σ02σ2≠σ02χ2≥χ2α/2(n-1)或χ2≤χ21-α/2(n-1)6 μ1,μ2未知σ12≤σ22σ12>σ22F≥Fα(n1-1,n2-1)σ12≥σ22σ12<σ22F≤F1-α(n1-1,n2-1)σ12=σ22σ12≠σ22F≥Fα/2(n1-1,n2-1)或F≤F1-α/2(n1-1,n2-1)7成对数据μD≤0 μD>0 t≥tα(n-1)μD≥0 μD<0 t≤-tα(n-1)μD=0 μD≠0 |t|≥tα-2(n-1)检验方法选择:主要是逐对比较法(成对数据)跟两个正态总体均值差的检验的区别,如上表即7跟3、4的区别,成对数据指两样本X和Y之间存在一一对应关系,而3和4一般指X和Y相互对立,但针对同一实体.关系:置信区间与假设检验之间的关系:未知参数的置信水平为1-α的置信区间与显着水平为α的接受域相同.定义:施行特征函数(OC函数):β(θ)=Pθ(接受H0).功效函数:1-β(θ).功效:当θ*∈H1时,1-β(θ*)的值.。
考研数学⼀-概率论与数理统计(⼀)考研数学⼀-概率论与数理统计(⼀)(总分:100.00,做题时间:90分钟)⼀、选择题(总题数:10,分数:40.00)1.设随机变量X服从正态分布N(1,σ2 ),其分布函数为F(x),则对任意实数x,有______(分数:4.00)A.F(x)+F(-x)=1.B.F(1+x)+F(1-x)=1.√C.F(x+1)+F(x-1)=1.D.F(1-x)+F(x-1)=1.解析:[解析] 由于X~N(1,σ2 ),所以X的密度函数f(x)的图形是关于x=1对称的,⽽可知正确答案是B.2.设X~P(λ),P 1,P 2分别为随机变量X取偶数和奇数的概率,则______(分数:4.00)A.P1=P2.B.P1<P2.C.P1>P2.√D.P1,P2⼤⼩关系不定.解析:[解析] 若X~P(λ),则,其中X取偶数的概率为X取奇数的概率为于是应选C.3.设随机变量X的密度函数为f(x),且f(-x)=f(x),F(x)是X的分布函数,则对于任意实数a,有______ A.B.C.F(-a)=F(a).D.F(-a)=2F(a)-1.(分数:4.00)A.B. √C.D.解析:[解析] 概率密度f(x)为偶函数,于是对于任意实数a,有F(-a)=1-F(a)成⽴;利⽤区间可加性得结合上⾯的等式,于是得应选B.4.设⼆维随机变量(X,Y)在区域D:x 2 +y 2≤9a 2 (a>0)上服从均匀分布,p=P{X 2 +9Y 2≤9a 2 },则A.p的值与a⽆关,且B.p的值与a⽆关,且C.p的值随a值的增⼤⽽增⼤.D.p的值随a值的增⼤⽽减⼩.(分数:4.00)A.B. √C.D.解析:[解析] 因为(X,Y)在区域D:x 2 +y 2≤9a 2上服从均匀分布,所以(X,Y)的联合密度函数为故选B.5.设随机变量X与Y服从正态分布N(-1,2)与N(1,2),并且X与Y不相关,aX+Y与X+by亦不相关,则______(分数:4.00)A.a-b=1.B.a-b=0.C.a+b=1.D.a+b=0.√解析:[解析] X~N(-1,2),Y~N(1,2),于是D(X)=2,D(Y)=2.⼜Cov(X,Y)=0,Cov(aX+Y,X+bY)=0,由协⽅差的性质有故选D.6.已知总体X的期望E(X)=0,⽅差D(X)=σ2.X 1,…,X n是来⾃总体X的简单随机样本,其均值为,则下⾯可以作为σ2⽆偏估计量的是______A.B.C.D.(分数:4.00)A.B.C. √D.解析:[解析] 由于E(X)=0,D(X)=E(X 2 )=σ2,则所以选择C.对于A,B选项,由E(S 2 )=σ2,知均不是σ2的⽆偏估计量.7.设随机变量序列X 1,…,X n,…相互独⽴,则根据⾟钦⼤数定律,当n→∞时,于其数学期望,只要{X n,n≥1}满⾜______(分数:4.00)A.有相同的数学期望.B.服从同⼀离散型分布.C.服从同⼀泊松分布.√D.服从同⼀连续型分布.解析:[解析] ⾟钦⼤数定律的应⽤条件为:“独⽴同分布且数学期望存在”,选项A缺少同分布条件,选项B、D虽然服从同⼀分布但不能保证期望存在,只有C符合该条件.故选C.8.设X 1,X 2,…,X n是来⾃总体X的简单随机样本,是样本均值,C为任意常数,则______A.B.C.D.(分数:4.00)A.B.C. √D.解析:[解析故选C.9.设总体X服从正态分布N(0,σ2 ),X 1,X 2,…,X 10是来⾃X的简单随机样本,统计量从F分布,则i等于______(分数:4.00)A.4.B.2.√C.3.D.5.解析:[解析] 因为X 1,X 2,…,X 10是来⾃X的简单随机样本,故独⽴同分布于N(0,σ2 )因此,则有⼜与相互独⽴,故故选B.10.在假设检验中,如果待检验的原假设为H 0,那么犯第⼆类错误是指______(分数:4.00)A.H0成⽴,接受H0.B.H0不成⽴,接受H0.√C.H0成⽴,拒绝H0.D.H0不成⽴,拒绝H0.解析:[解析] 直接应⽤“犯第⼆类错误”=“取伪”=“H 0不成⽴,接受H 0”的定义,选择B.⼆、解答题(总题数:10,分数:60.00)11.每次从1,2,3,4,5中任取⼀个数,且取后放回,⽤b i表⽰第i次取出的数(i=1,2,3),三维列向量b=(b 1 ,b 2 ,b 3 ) T,三阶⽅阵,求线性⽅程组Ax=b有解的概率.(分数:6.00)__________________________________________________________________________________________ 正确答案:()解析:对增⼴矩阵作初等⾏变换有于是Ax=b有解的充要条件是,即b 3 -2b 2 +b 1 =0,其中b 1,b 2,b 3相互独⽴,且分布律相同:,k=1,2,3,4,5,i=1,2,3.所以Ax=b有解的概率为甲、⼄两个⼈投球,甲先投,当有任⼀⼈投进之后便获胜,⽐赛结束.设甲、⼄命中率分别为p 1,p 2,0<p 1,p 2<1.求:(分数:6.00)(1).甲、⼄投球次数X 1与X 2的分布;(分数:3.00)__________________________________________________________________________________________ 正确答案:()解析:每次投篮是相互独⽴的与其他⼏次⽆关.事件X 1 =n表⽰“甲投了n次”,即“甲、⼄各⾃在前n-1次没有投进,在第n次时甲投进或⼄投进”,所以P{X 1 -n}=(q 1 q 2 ) n-1 (p 1 +q 1 p 2 ),n=1,2,…其中:q i =1-p i,i=1,2.事件“X 2=m”表⽰“⼄投了m次”,即“甲、⼄前m-1次均没有投进,甲在第m次也没有投进,⼄在第m 次投进”,或“甲、⼄前m次均没有投进,甲在第m+1次投进”.特殊地,当m=0时,表⽰甲第⼀次就投中,所以P{X 2 =m}=(q 1 q 2 ) m-1 (q 1 p 2 +q 1 q 2 p 1 )=q 1 (p 2 +q 2 p 1 )(q 1 q 2 ) m-1,m=1,2,…(2).若使甲、⼄两⼈赢得⽐赛的概率相同,则p 1,p 2满⾜什么条件?(分数:3.00)__________________________________________________________________________________________ 正确答案:()解析:设事件A表⽰“甲获胜”,则总投篮次数为奇数.当X 1 +X 2 =2n-1时,意味着甲、⼄前n-1次都未投进,甲在第n次投进,于是有P{X 1 +X 2 =2n-1}=p 1 (q 1 q 2 ) n-1,则若甲、⼄两⼈赢得⽐赛的概率相同,则12.设随机变量X在区间(0,1)上服从均匀分布,⼜求Y的概率密度f Y (y)与分布函数F Y (y).(分数:6.00)__________________________________________________________________________________________ 正确答案:()解析:解法⼀:应⽤单调函数公式法先求Y的概率密度f Y (y).由于X在(0,1)内取值所以的值域为(0,+∞),且y=g(x)在(0,1)单调.因此其反函数在(0,+∞)内单调可导,其导数h"(y)=2e -2y,在其定义域(0,+∞)内恒不为零.⼜因为X的概率密度所以Y的概率密度因此可见Y服从参数为2的指数分布,其分布函数为解法⼆:⽤分布函数法先求出Y的分布函数F Y (y).当y≤0时,F Y (y)=0;当y>0时,0<x=1-e -2y<1,最后⼀步是由于X服从(0,1)上的均匀分布.故所求Y的分布函数为将F Y (y)对y求导,得设随机变量(X,Y)的概率密度为试求:(分数:6.00)(1).(X,Y)的分布函数;(分数:2.00)__________________________________________________________________________________________ 正确答案:()解析:①当x≤0或y≤0时,f(x,y)=0,故F(x,y)=0.②当0<x≤1,0<y≤2时,③当0<x≤1,y>2时,④当x>1,0<Y≤2时,⑤当x>1,y>2时,综上所述,分布函数为(2).(X,Y)的边缘分布密度;(分数:2.00)__________________________________________________________________________________________ 正确答案:()解析:当0≤x≤1时,当0≤y≤2时,(3).概率P{X+Y>1},P{Y>X} 2.00)__________________________________________________________________________________________ 正确答案:()解析:如下图所⽰,如下图所⽰,所以设(X,Y)服从D={(x,y)|y≥0,x 2 +y 2≤1}上的均匀分布,定义(分数:6.00)(1).求(U,V)的联合分布律;(分数:2.00)__________________________________________________________________________________________ 正确答案:()解析:由题设可知,故(U,V)的可能值为(0,0),(0,-1),(0,1),(1,-1),(1,0),(1,1).则(U.V)的联合分布律为(2).求关于V的边缘分布律;(分数:2.00)__________________________________________________________________________________________ 正确答案:()解析:由(U,V)的联合分布律得V的边缘分布律为(3).求在U=1的条件下V的分布律.(分数:2.00)__________________________________________________________________________________________ 正确答案:()解析:,所以所以所求V的分布律为13.设随机变量X的概率密度为,求随机变量 F Y (y).(分数:6.00)__________________________________________________________________________________________ 正确答案:()解析:记如下图所⽰,φ(x)在[0,+∞)内最⼩值为-1,⽆最⼤值,在[0,+∞)左端点处的值为0.y=-1,0将y轴分成(-∞,-1),[-1,0),[0,+∞)三个区间.当y∈(-∞,-1)时,F Y (y)=0.当y∈[-1,0)时,纵坐标为y的⽔平直线关于曲线y=φ(x)内的集合在x轴上的投影与[0,+∞)的交集为F Y (y)=f X (x)在上的积分为当y∈[0,+∞)时,纵坐标为y的⽔平直线关于曲线y=φ(x)内的集合在x轴的投影与[0,+∞)的交集为,此时F Y (y)=f X (x)在上的积分为综上所述,y的分布函数为设随机变量X在区间(0,2)上随机取值,在X=x(1<x<2)条件下,随机变量Y在区间(1,x)上服从均匀分布.(分数:6.00)(1).求(X,Y)的联合概率密度,并问X与Y是否独⽴;(分数:2.00)__________________________________________________________________________________________ 正确答案:()解析:根据题设X在(0,2)上服从均匀分布,其密度函数为⽽变量Y,在X=x(1<-x<2)的条件下,在区间(1,x)上服从均匀分布,所以其条件概率密度为再根据条件概率密度的定义,可得联合概率密度⼜所以由于f X (x)f Y(y)≠f(x,y),所以X与Y不独⽴.(2).求P{3Y≤2X};(分数:2.00)__________________________________________________________________________________________ 正确答案:()解析:如下图所⽰,(3).记Z=X-Y,求Z的概率密度f Z (z).(分数:2.00)__________________________________________________________________________________________ 正确答案:()解析:已知(x,y)~f(x,y),则Z=X-Y的取值范围为0<Z<1.当0<z<1时,Z=X-Y的分布函数为则故设随机变量X与Y相互独⽴,X的概率分布为,Y的概率密度函数为Z=X+Y.求:(分数:6.00)3.00)__________________________________________________________________________________________ 正确答案:()(2).Z的概率密度函数.(分数:3.00)__________________________________________________________________________________________ 正确答案:()解析:F Z(z)=P{Z≤z}=P{X+Y≤z}=P{X=-1,Y≤z+1}+P{X=0,Y≤z}+P{X=1,Y≤z-1}.因为X与Y相互独⽴,故①当z+1<0(z-1<-2),即z<-1时,f Y (y)=0,从⽽F Z (z)=0;②当0≤z+1<1(-2≤z-1<-1),即-1≤z<0时,③当-1≤z-1<0(1≤z+1<2),即0≤z<1时,④当0≤z-1<1(2≤z+1<3),即1≤z<2时,⑤当1≤z-1(3≤z+1),即z≥2时,综上故设⼆维连续型随机变量(X,Y)的联合概率密度为U=X+Y,V=X-Y.求:(分数:6.00)(1).U的分布函数F 1 (u);(分数:2.00)__________________________________________________________________________________________ 正确答案:()解析:当u<0时,F 1 (u)=0;当u≥0时,故U的分布函数F 1 (u)为(2).V的分布函数F 2 (v);(分数:2.00)__________________________________________________________________________________________ 正确答案:()解析:当v<0时,F 2 (v)=0;当v≥0时,故V的分布函数F 2 (v)为(3).P{U≤u,V≥v}(u>v>0),并判断U与V是否独⽴.(分数:2.00)__________________________________________________________________________________________ 正确答案:()当u>0,v>0时,P{U≤u}P{V≥v}=F 1(u)·[1-F 2 (v)]=e -2v (1-e -u ) 2≠P{U≤u,V≥v},从⽽可知,U与V不独⽴.设⼆维随机变量(X,Y)在矩形区域D={(x,y)|0≤x≤2,0≤y≤2}上服从⼆维均匀分布,随机变量求:(分数:6.00)(1).U和V的联合概率分布;(分数:3.00)__________________________________________________________________________________________ 正确答案:()解析:(U,V)的可能取值为(-1,-1),(-1,1),(1,-1,),(1,1),如下图.依题意知,X与Y的联合概率密度为则有同理类似地可以计算出其他P ij的值:(2).讨论U和V的相关性和独⽴性.(分数:3.00)__________________________________________________________________________________________ 正确答案:()解析:从(U,V)的联合分布与边缘分布可以计算出所以E(UV)=E(U)·E(V),U与V不相关;⼜因为P{U=u,V=v}=P{U=u}·P{V=v},所以U与V相互独⽴.。
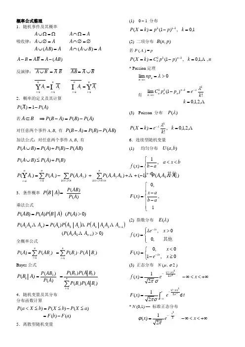
概率公式整理1.随机事件及其概率吸收律:AAB A AA A =⋃=∅⋃Ω=Ω⋃)( AB A A A AA =⋃⋂∅=∅⋂=Ω⋂)( )(AB A B A B A -==- 反演律:B A B A =⋃ B A AB ⋃=ni i ni i A A 11===ni i ni i A A 11===2.概率的定义及其计算)(1)(A P A P -=若B A ⊂ )()()(A P B P A B P -=-⇒对任意两个事件A , B , 有 )()()(AB P B P A B P -=- 加法公式:对任意两个事件A , B , 有)()()()(AB P B P A P B A P -+=⋃ )()()(B P A P B A P +≤⋃)()1()()()()(2111111n n nnk j i k j i nj i j ini ini i A A A P A A A P A AP AP A P -≤<<≤≤<≤==-+++-=∑∑∑3.条件概率 ()=A B P )()(A P AB P乘法公式())0)(()()(>=A P A BP A P AB P()())0)(()()(12112112121>=--n n n n A A A P A A A A P A A P A P A A A P 全概率公式∑==ni i AB P A P 1)()( )()(1i ni i B A P B P ⋅=∑=Bayes 公式)(A B P k )()(A P AB P k =∑==ni i ik k B AP B P B A P B P 1)()()()(4.随机变量及其分布 分布函数计算)()()()()(a F b F a X P b X P b X a P -=≤-≤=≤<5.离散型随机变量(1) 0 – 1 分布1,0,)1()(1=-==-k p p k X P kk(2) 二项分布 ),(p n B 若P ( A ) = pn k p p C k X P kn kkn ,,1,0,)1()( =-==-*Possion 定理0lim >=∞→λn n np有,2,1,0!)1(lim ==---∞→k k ep p C kkn n k nk n n λλ(3) Poisson 分布 )(λP,2,1,0,!)(===-k k ek X P kλλ6.连续型随机变量 (1) 均匀分布 ),(b a U⎪⎩⎪⎨⎧<<-=其他,0,1)(b x a a b x f ⎪⎪⎩⎪⎪⎨⎧--=1,,0)(a b ax x F(2) 指数分布 )(λE⎪⎩⎪⎨⎧>=-其他,00,)(x e x f xλλ⎩⎨⎧≥-<=-0,10,0)(x e x x F xλ(3) 正态分布 N (μ , σ 2 )+∞<<∞-=--x e x f x 222)(21)(σμσπ⎰∞---=x t t e x F d 21)(222)(σμσπ*N (0,1) — 标准正态分布+∞<<∞-=-x ex x2221)(πϕ+∞<<∞-=Φ⎰∞--x t ex xtd 21)(22π7.多维随机变量及其分布二维随机变量( X ,Y )的分布函数⎰⎰∞-∞-=x ydvdu v u f y x F ),(),(边缘分布函数与边缘密度函数⎰⎰∞-+∞∞-=xX dvdu v u f x F ),()(⎰+∞∞-=dv v x f x f X ),()(⎰⎰∞-+∞∞-=yY dudv v u f y F ),()(⎰+∞∞-=du y u f y f Y ),()(8. 连续型二维随机变量(1) 区域G 上的均匀分布,U ( G )⎪⎩⎪⎨⎧∈=其他,0),(,1),(G y x Ay x f(2)二维正态分布+∞<<-∞+∞<<∞-⨯-=⎥⎥⎥⎥⎥⎦⎤⎢⎢⎢⎢⎢⎣⎡-+------y x ey x f y y x x ,121),(2222212121212)())((2)()1(21221σμσσμμρσμρρσπσ9. 二维随机变量的 条件分布0)()()(),(>=x f x y f x f y x f X XYX0)()()(>=y f y x f y f Y Y X Y⎰⎰+∞∞-+∞∞-==dy y f y x f dy y x f x f Y Y X X )()(),()( ⎰⎰+∞∞-+∞∞-==dx x f x y f dx y x f y f X XYY )()(),()()(y x f Y X )(),(y f y x f Y =)()()(y f x f x y f Y X XY =)(x y f XY)(),(x f y x f X = )()()(x f y f y x f X Y Y X =10.随机变量的数字特征 数学期望∑+∞==1)(k k k p x X E⎰+∞∞-=dx x xf X E )()(随机变量函数的数学期望X 的 k 阶原点矩)(k X E X 的 k 阶绝对原点矩)|(|k X E X 的 k 阶中心矩)))(((k X E X E - X 的 方差)()))(((2X D X E X E =- X ,Y 的 k + l 阶混合原点矩)(l k Y X E X ,Y 的 k + l 阶混合中心矩()lkY E Y X E X E ))(())((--X ,Y 的 二阶混合原点矩)(XY E X ,Y 的二阶混合中心矩 X ,Y 的协方差()))())(((Y E Y X E X E --X ,Y 的相关系数XY Y D X D Y E Y X E X E ρ=⎪⎪⎭⎫⎝⎛--)()())())((( X 的方差D (X ) =E ((X - E (X ))2))()()(22X E X E X D -=协方差()))())(((),cov(Y E Y X E X E Y X --=)()()(Y E X E XY E -=())()()(21Y D X D Y X D --±±=相关系数)()(),cov(Y D X D Y X XY =ρ简单整理了一下,中心极限定理及数理统计部分多概念少公式故未详细列出,有问题可以给我来信,希望能与大家多交流。
考研数学概率论重点公式速记概率论是数学中的一个重要分支,广泛应用于各个领域。
对于考研数学概率论的学习来说,熟悉并掌握相关的重点公式是非常必要的。
本文将为大家提供一些概率论中的重点公式,帮助大家更好地进行复习和备考。
一、基本概念1. 概率的加法定理:对于任意两个事件A和B,有P(A∪B) = P(A) + P(B) - P(A∩B)2. 概率的乘法定理:对于任意两个事件A和B,有P(A∩B) = P(A)P(B|A) = P(B)P(A|B),其中P(B|A)表示在事件A已经发生的条件下,事件B发生的概率。
3. 全概率公式:若{B1, B2, ..., Bn}为样本空间的一个划分,即满足Bi与Bj互不相容且它们的并集为样本空间,同时假设P(Bi) > 0,那么对于任意一个事件A,有:P(A) = P(A∩B1) + P(A∩B2) + ... + P(A∩Bn) = P(B1)P(A|B1) +P(B2)P(A|B2) + ... + P(Bn)P(A|Bn)二、常用概率分布1. 二项分布:设试验成功的概率为p,则n次试验中成功次数的概率为:P(X=k) = C(n,k) * p^k * (1-p)^(n-k)其中C(n,k)为组合数,表示从n个元素中取出k个元素的组合数。
2. 泊松分布:设单位时间(或单位面积)内某事件发生的次数的平均值为λ,则单位时间(或单位面积)内某事件发生k次的概率为:P(X=k) = (e^(-λ) * λ^k) / k!其中e为自然对数的底数(约等于2.71828)。
3. 正态分布:对于服从正态分布N(μ,σ^2)的随机变量X,其概率密度函数为:f(x) = (1 / (σ * √(2π))) * e^(-((x-μ)^2 / (2σ^2)))三、常用性质1. 期望:对于离散随机变量X,其期望值E(X)为:E(X) = Σ(x * P(X=x))对于连续随机变量X,其期望值E(X)为:E(X) = ∫(x * f(x)) dx,其中f(x)为概率密度函数。
一.随机事件和概率1、概率的定义和性质考研数学知识点-概率统计(4)全概公式设事件B1, B2,Λ , B n满足(1)概率的公理化定义1 °B1, B2,Λ , B n两两互不相容,设Ω 为样本空间,A为事件,对每一个事件A都有一个实数P(A),若满足下列三个条件:1° 0≤P(A)≤1,2° P(Ω) =13°对于两两互不相容的事件A1 ,A2 ,…有P(B i) > 0(i= 1,2,Λ ,n) ,A⊂Υn B i2°i=1 ,则有P(A) = P(B1)P(A | B1) + P(B2)P(A | B2)+Λ +P(B n)P(A| B n)⎛∞⎞∑∞。
P⎜⎜Υ A i⎟⎟= P A ( i)⎝= i 1 ⎠=i 1此公式即为全概率公式。
常称为可列(完全)可加性。
则称P(A)为事件A的概率。
(2)古典概型(等可能概型)1°Ω = {ω1,ω2Λ ωn},(5)贝叶斯公式设事件B1 ,B2 ,…,B n及A满足1°B1 ,B2 ,…,B n两两互不相容,P(Bi) >0,i = 1,2,…,n,A⊂Υn B i2°ω= P(ω) = ΛP(ω) =P( )1 。
2°i=1 ,P( A) > 0 ,1 2 n n则设任一事件A,它是由ω1,ω2Λ ωm组成的,则有/ ) =n/ ) P(B )P( A BP(B A i i,i=1,2,…n。
P(A)= {(ω1) Υ (ω2) Υ ΛΥ (ωm)}ω+ Λ + ωi∑/ )P(B)P( A B= P(ω1) + P(2) ( )P mj=1 j j=m=A所包含的基本事件数n基本事件总数2、五大公式(加法、减法、乘法、全概、贝叶斯)(1)加法公式P(A+B)=P(A)+P(B)-P(AB)当P(AB)=0 时,P(A+B)=P(A)+P(B)此公式即为贝叶斯公式。
考研数学概率论重点整理概率论是数学中的一个重要分支,它研究随机事件的规律性。
考研数学中的概率论是一个重要的考点,在准备考试时需要重点整理和复习。
本文将从概率的基本概念、常见的概率分布以及概率计算方法等方面进行重点整理,帮助考生更好地复习概率论知识。
一、概率的基本概念1.随机试验和样本空间随机试验是指在相同的条件下可以重复进行的实验,其结果不确定。
样本空间是随机试验的所有可能结果构成的集合。
2.随机事件和事件的概率随机事件是样本空间的一个子集,表示随机试验的某种结果。
事件的概率是指事件发生的可能性大小,用P(A)表示。
3.频率与概率的关系频率是指随机事件在大量重复试验中出现的次数与总试验次数的比值。
当试验次数趋于无穷时,频率趋近于概率。
二、常见的概率分布1.离散型随机变量离散型随机变量是只取有限或可列无限个数值的随机变量,其概率分布可以用概率函数或概率分布列表示。
常见的离散型随机变量包括二项分布、泊松分布等。
2.连续型随机变量连续型随机变量是取值范围为一段连续区间的随机变量,其概率分布可以用概率密度函数表示。
常见的连续型随机变量包括正态分布、指数分布等。
三、概率计算方法1.加法定理与乘法定理加法定理适用于求两个事件的并、或概率。
乘法定理适用于求两个事件的交概率。
2.条件概率与贝叶斯定理条件概率是指在已知某一事件发生的条件下,另一事件发生的概率。
贝叶斯定理是由条件概率推导出来的计算公式,用于计算两个事件之间的概率关系。
3.独立性和互斥性独立事件是指两个事件之间相互不影响的事件,其概率计算有简化的特点。
互斥事件是指两个事件不能同时发生的事件。
四、重点题型解析1.题型一:概率计算题概率计算题是考试中的常见题型,主要涉及到加法定理、乘法定理、条件概率等知识点的应用。
解答此类题目时,需要准确理解题目要求,运用相应的概率计算方法进行计算。
2.题型二:随机变量的分布函数与密度函数求解此类题目主要考察对于离散型随机变量和连续型随机变量的概率密度函数和分布函数的求解能力。
考研数学复习有些概率计算的公式在考研数学三中,参数估计占数理统计的一多半内容,所以参数估计是重点。
为大家精心准备了考研数学复习概率计算的公式指导,欢送大家前来阅读。
五大公式包括减法公式、加法公式、乘法公式、全概率公式、贝叶斯公式。
1、减法公式,P(A-B)=P(A)-P(AB)。
此公式事件关系中的差事件,再结合概率的可列可加性总结出的公式。
2、加法公式,P(A+B)=P(A)+P(B)-P(AB)。
此公式于事件关系中的和事件,同样结合概率的可列可加性总结出来。
学生还应掌握三个事件相加的加法公式。
以上两个公式,在应用当中,有时要结合文氏图来解释会更清楚明白,同时这两个公式在考试中,更多的会出现在填空题当中。
所以记住公式的形式是根本要求。
3、乘法公式,是由条件概率公式变形得到,考试中较多的出现在计算题中。
在复习过程中,局部分不清楚时候用条件概率来求,什么时候用积事件概率来求。
比方“第一次抽到红球,第二次抽到黑球”时,因为第一次抽到红球也是事件,所以要考虑它的概率,这时候用积事件概率来求;如果“在第一次抽到红球的情况下,第二次抽到黑球的概率”,这时候因为抽到了红球,它已经是一个确定的事实,所以这时候不用考虑抽红球的概率,直接用条件概率,求第二次取到黑球的概率即可。
4、全概率公式5、贝叶斯公式以上两个公式是五大公式极为重要的两个公式。
结合起来比拟容易理解。
首先,这两个公式首先背景是相同的,即,完成一件事情在逻辑或时间上是需要两个步骤的,通常把第一个步骤称为原因。
其次,如果是“由因求果”的问题用全概率公式;是“由果求因”的问题用贝叶斯公式。
例如;买零件,一个零件是由A、B、C三个厂家生产的,分别次品率是a%,b%,c%,现在求买到次品的概率时,就要用全概率公式;假设买到次品了,问是A厂生产的概率,这就要用贝叶斯公式了。
这样我们首先分清楚了什么时候用这两个公式。
那么,在应用过程中,我们要注意的问题就是,如何划分完备事件组。
第一章 事件与概率(一次半)基础班(8次 学时8×3=24小时)概率论:它是研究随机现象统计规律性的一门数学科学。
简史:起源于赌博。
17世纪法国Pascal 和Fermat 解决Mere (公平赌博)问题等并提出了排列与组合的新知识。
18世纪早期J.Bernoulli 提出了概率论历史上第一个极限定理(贝努里大数定理),19世纪初Laplace 提出了古典概率定义。
20世纪30年代Kolmogorov 建立了概率的公理化定义(19世纪末Cantor 集合论和20世纪30年代Lebesgue 测试论)。
历史上Gauss 、De Moirve 、、Chebeshev 、Liapunov 、Borel 、Khinchine 、Markov 、K.Pearson 、Fisher 、Cramer 、Wiener 、Doob 、Ito 、许宝禄、Rao 等人亦对概率统计发展作出了重要贡献。
1.1随机事件、样本空间①、②、③、④例子,称满足○a 、○b 、○c 条件的试验为随机试验,记为E ,基本事件(样本点):用e 表示;随机事件:用“A,B,…”表示;样本空间(必然事件):用S 表示。
Remark :(1)A 发生A e e i i ∈∃⇔,,e i 出现了;(2)S 引入意义。
1.2事件的关系与运算(两种语言刻划)一、六种关系:{}{}{}{}1.0,1,2,....,1000,...,0,1,2,3,4,5,0,1,2,3,4,5,....,100,7,8,9,10,11,12,,.S A B C A B C ====例观查某电话呼叫台接到的呼叫次数的随机试验,,求之间的关系二、四个运算性质:Remark :(1)两个事件互斥(互不相容) 两个事件互为对立事件;(2)A -B=B A =A -AB ;(3)事件的假设与事件的相互表示是学好概率论与数理统计的基本功。
例1 某人向一目标射击三次,A i 表示第i 次命中(i=1,2,3),B j 表示命中j 次(j=0,1,2,3),用A i 表示B j 。
考研数学概率部分公式复习概率是数学中一个重要的分支,常以随机试验为基础进行研究,主要研究事件的概率和随机变量的分布。
而概率论的数学基础则包括概率公式、条件概率、独立性、随机变量的分布等等。
在考研中,数学概率部分是必考内容之一,理解和熟练掌握这些公式是非常重要的。
下面就对考研数学概率部分的公式进行复习。
一、基本公式:1.概率公式:对于一个随机试验E,事件A的概率P(A)定义为A发生的次数在试验总次数n中所占的比例。
P(A)=m/n2.互斥事件的概率公式:如果事件A和B互斥(即不能同时发生),则它们的概率满足如下关系:P(A∪B)=P(A)+P(B)3.和事件的概率公式:对于两个事件A和B,它们的概率满足如下关系:P(A∪B)=P(A)+P(B)-P(A∩B)4.减事件的概率公式:对于两个事件A和B,它们的概率满足如下关系:P(A-B)=P(A)-P(A∩B)5.互斥事件的概率和与减公式:对于两个互斥事件A和B,它们的概率满足如下关系:P(A∪B)=P(A)+P(B)P(A-B)=P(A)-P(A∩B)二、条件概率和乘法原理:1.条件概率公式:对于两个事件A和B,且P(A)>0,条件概率P(B,A)定义为在事件A发生的条件下事件B发生的概率。
P(B,A)=P(A∩B)/P(A)2.乘法原理:对于两个事件A和B,它们同时发生的概率等于事件A 发生的概率乘以在事件A发生的条件下事件B发生的概率。
P(A∩B)=P(A)*P(B,A)=P(B)*P(A,B)三、全概率公式和贝叶斯公式:1.全概率公式:如果事件B1,B2,...,Bn构成一个样本空间的一个划分(即互不相交且并起来就是全集),则对于任意事件A,它的概率满足如下关系:P(A)=P(B1)P(A,B1)+P(B2)P(A,B2)+...+P(Bn)P(A,Bn)2.贝叶斯公式:如果事件B1,B2,...,Bn构成一个样本空间的一个划分,则对于任意事件A,它的概率满足如下关系:P(Bi,A)=P(Bi)P(A,Bi)/[P(B1)P(A,B1)+P(B2)P(A,B2)+...+P(Bn)P(A,Bn)]四、随机变量和分布:1.随机变量:随机变量是定义在样本空间上的一个实值函数,它的取值是由随机试验的结果决定的。
数学一概率论考研大纲摘要:一、随机事件和概率1.随机事件与样本空间2.事件的关系与运算3.完备事件组4.概率的概念5.概率的基本性质6.古典型概率7.几何型概率8.条件概率9.概率的基本公式10.事件的独立性11.独立重复试验二、概率论在实际应用中的案例分析1.离散型随机变量2.连续型随机变量3.随机变量的期望值4.方差与标准差5.协方差与相关系数6.常见分布及其性质7.最大似然估计8.矩估计9.假设检验三、数理统计的基本概念和方法1.抽样分布2.参数估计3.假设检验4.置信区间5.回归分析6.方差分析7.实验设计正文:考研数学一的概率论部分是许多学生感到挑战性的一个科目。
为了更好地备考,我们需要对考研数学一概率论的大纲有一个清晰的认识。
根据大纲,我们可以将概率论部分分为三个主要部分:随机事件和概率、概率论在实际应用中的案例分析以及数理统计的基本概念和方法。
第一部分,随机事件和概率,是概率论的基础内容。
这一部分主要包括随机事件与样本空间、事件的关系与运算、完备事件组、概率的概念、概率的基本性质、古典型概率、几何型概率、条件概率、概率的基本公式、事件的独立性以及独立重复试验等内容。
在学习这一部分时,重点要理解概率的基本概念和性质,掌握常见事件的概率计算方法,了解条件概率和独立性事件的应用。
第二部分,概率论在实际应用中的案例分析,主要涉及离散型随机变量、连续型随机变量、随机变量的期望值、方差与标准差、协方差与相关系数、常见分布及其性质、最大似然估计、矩估计、假设检验等内容。
这一部分需要学生具备一定的数学基础和实际应用能力,学会如何运用概率论方法解决实际问题。
第三部分,数理统计的基本概念和方法,包括抽样分布、参数估计、假设检验、置信区间、回归分析、方差分析、实验设计等内容。
这一部分要求学生掌握统计推断的方法,了解抽样分布的性质,熟练运用假设检验和参数估计等方法进行数据分析。
总之,考研数学一概率论部分的大纲涵盖了广泛的知识点,要求学生在复习过程中注重基础知识的掌握,提高解题能力。
考研数学概率知识点总结概率是数学中一个非常重要的概念,在考研数学中也是一个必考的知识点。
概率论是数学的一个分支,研究随机现象的规律性和统计规律性。
考研数学中的概率知识点主要包括基本概率公式、条件概率、随机变量和概率分布、大数定律和中心极限定理等内容。
本文将对这些知识点进行总结和梳理,帮助考生更好地理解和掌握这些知识。
一、基本概率公式1.1 基本概率公式的含义基本概率公式是描述事件发生概率的基本规律,通过公式可以计算事件发生的概率,是概率论中最常用的基本概念之一。
1.2 基本概率公式的公式设A为一个随机事件,P(A)表示事件A发生的概率,则基本概率公式为:P(A) = n(A) / n(S)其中,n(A)表示事件A发生的样本点个数,n(S)表示样本空间Ω的样本点个数。
1.3 基本概率公式的应用基本概率公式可以应用于各种随机事件的概率计算,如掷骰子、抽扑克牌等。
通过基本概率公式,可以准确地计算出事件发生的概率,为后续的概率计算提供基础。
二、条件概率2.1 条件概率的定义条件概率是指在已知事件B发生的条件下,事件A发生的概率。
条件概率可以表示为P(A|B)。
2.2 条件概率的公式条件概率的公式为:P(A|B) = P(AB) / P(B)其中,P(AB)表示事件A和事件B同时发生的概率,P(B)表示事件B发生的概率。
2.3 条件概率的性质条件概率具有以下性质:(1)非负性:条件概率始终为非负数。
(2)规范性:如果事件A包含在事件B中,那么P(A|B) = 1。
(3)对称性:P(A|B) ≠ P(B|A)。
(4)加法规则:P(A ∪ B) = P(A) + P(B) - P(AB)。
三、随机变量和概率分布随机变量是指在一次试验中所观察到的随机现象的数值结果,它的取值依赖于试验的结果。
概率分布是描述随机变量取值概率的规律性。
在考研数学中,常见的随机变量包括离散型随机变量和连续型随机变量。
3.1 离散型随机变量离散型随机变量是指在一次试验中所观察到的结果有限且可数,其概率分布可以通过概率质量函数(PMF)来描述。