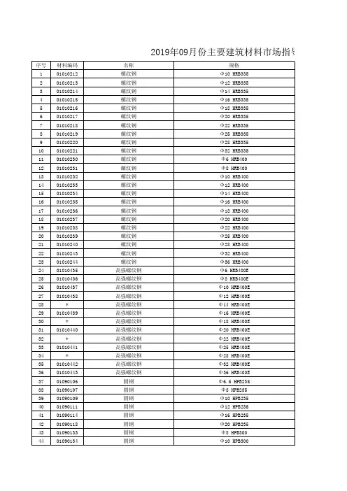
保定市2010年9月份建筑材料市场指导价
- 格式:docx
- 大小:44.47 KB
- 文档页数:6
衡水市建设局关于印发2009年1―2月份建设工程材料市场指导价格的通知正文:---------------------------------------------------------------------------------------------------------------------------------------------------- 衡水市建设局关于印发2009年1-2月份建设工程材料市场指导价格的通知(衡建[2009]9号)各县、市建设局,各建设、施工单位:为适应投标报价的需要,规范建筑市场行为,提高工程预结算的准确性。
现发布2009年1-2月份建设工程材料的市场指导价格及调差方法,规定如下:一、凡执行2008年河北省建筑工程、装饰装修工程、安装工程和市政工程预算综合基价,编制新建、改建、扩建工程的预算、招标工程标底时,材料机械租赁价格按《衡水市工程造价信息》发布的建设工程材料市场指导价格进行调整,调整时价差只计取规费、税金,不参与取费,《信息》中缺项的材料品种,发包方可依据实际并结合市场定价。
施工企业投标报价时,可自主报价,也可参照《衡水市工程造价信息》发布的建设工程材料市场指导价格进行调整,调整时价差只计取规费、税金,不参与取费。
二、执行工程量清单计价的建筑工程、装饰装修工程、安装工程和市政工程,材料价格参照《衡水市工程造价信息》发布的建设工程材料市场指导价格进行调整,也可据实调整。
三、竣工结算时,按合同约定进行材料价格调整。
《衡水市工程造价信息》中缺项的材料品种,必须经发包和承包双方确认盖章,方可调整。
本通知精神由衡水市建设工程造价管理监督站负责解释。
二00八年十月十三日——结束——。
2010年建筑工程清包工市场价(供参考)2010年建筑工程清包工市场价(供参考)模板:19-23元/平米(粘灰面)砼:38-41元/立,钢筋:310-420元/吨,或者10-13元/m2砌筑:55-70元/立。
抹灰:7-15元/平米(不扣除门窗洞口,不包括脚手架搭拆)面砖粘贴18/m2.室内陆面砖(600*600)15元/平米,踢脚线:3元/米,室内墙砖:25元/平米(包括倒角)楼梯间石材:28元/平米,踏步板磨边:10元/米。
石膏板吊顶:20元(平棚)铝扣板吊项:25元/平米,蹲台隔断:120-300元/蹭位。
大白乳胶漆:6元/平米。
外墙砖:43元/平米,外墙干挂蘑菇石:50元/平米。
屋面挂瓦:13元/平米。
水暖:9元/平米(建筑面积)电气照明部分:6元/平米。
木工:18-24元/平米(粘灰面),木工35-50元/m2,架子工5.5元/m2 ,房地产建筑成本(按建筑平方米算)1、桩基工程(如有):70~100元/平方米;2、钢筋:40~75KG/平方米(多层含量较低、高层含量较高),合160~300元/平方米;3、砼:0.3~0.5立方/平方米(多层含量较低、高层含量较高),合100~165元/平方米;4、砌体工程:60~120元/平方米(多层含量较高、高层含量较低);5、抹灰工程:25~40元/平方米;6、外墙工程(包括保温):50~100元/平方米(以一般涂料为标准,如为石材或幕墙,则可能高达300~1000元/平方米;7、室内水电安装工程(含消防):60~120元/平方米(按小区档次,多层略低一些);8、屋面工程:15~30元/平方米(多层含量较高、高层含量较低);9、门窗工程(不含进户门):每平方米建筑面积门窗面积约为0.25~0.5平方米(与设计及是否高档很大关系,高档的比例较大),造价90~300元/平方米,一般为90~150元/平方米,如采用高档铝合金门窗,则可能达到300元/平方米;10、土方、进户门、烟道及公共部位装饰工程:30~150元/平方米(与小区档次高低关系很大,档次越高,造价越高);11、地下室(如有):增加造价40~100元/平方米(多层含量较高、高层含量较低);12、电梯工程(如有):40~200元/平方米,与电梯的档次、电梯设置的多少及楼层的多少有很大关系,一般工程约为100元/平方米;13、人工费:130~200元/平方米;14、室外配套工程:30~300元/平方米,一般约为70~100元/平方米;15、模板、支撑、脚手架工程(成本):70~150元/平方米;16、塔吊、人货电梯、升降机等各型施工机械等(约为总造价的5~8%:约60~90元/平方米;17、临时设施(生活区、办公区、仓库、道路、现场其它临时设施(水、电、排污、形象、生产厂棚与其它生产用房):30~50元/平方米;18、检测、试验、手续、交通、交际等费用:10~30元/平方米;19、承包商管理费、资料、劳保、利润等各种费用(约为10%):以上各项之和*10%=90~180元/平方米;20、上交国家各种税费(总造价3.3~3.5%):33~70元/平方米,高档的可能高达100元/平方米。
常用建筑材料参考价格(doc 10页)第一节常用材料参考价格序号名称规格单位价格(元)1 中密度板 1220×2440×9 张 402 中密度板 1220×2440×12 张 573 中密度板 1220×2440×15 张 614 中密度板 1220×2440×18 张 875 刨花板 1220×2440×9 张306 刨花板 1220×2440×12 张377 刨花板 1220×2440×15 张478 刨花板 1220×2440×18 张589 水曲贴面刨花板 1220×2440×3 张 4510 进口水曲板 1220×2440 张 31 11 进口印尼三合板 1220×2440 张12 胶合板夹板 1220×2440×8 张 4513 胶合板夹板 1220×2440×9 张 7314 胶合板夹板 1220×2440×12 张 10015 胶合板夹板 1220×2440×15 张 14416 胶合板夹板 1220×2440×18 张 20917 金丝柚木贴面板 1220×2440×3 张 5518 非洲柚木贴面板 1220×2440×3 张 3019 直纹水曲贴面板 1220×2440×3.6 张 4820 球纹桃木贴面板 1220×2440×3.6 张 70021 瑞士啤梨木贴面板 1220×2440×3.6 张22 花眼枫木贴面板 1220×2440×3.6 张 6723 枫木贴面板 1220×2440×3.6 张 6724 樱桃木贴面板 1220×2440×3.6 张25 白桦木贴面板 1220×2440×3.6 张 2026 麦哥利贴面板 1220×2440×3.6 张27 花梨木贴面板 1220×2440×3 张 5728 榆木树瘤贴面板 1220×2440×3.6 张29 碎粒板 1220×2440×9 张6030 碎粒板 1220×2440×12 张 6931 碎粒板 1220×2440×15 张 7832 进口微粒板 1220×2440×3 张 2433 双面细木工板 1220×2440×12 张 84 34 双面细木工板 1220×2440×15 张 12035 双面细木工板 1220×2440×18 张 9936 单面细木工板 1220×2440×18 张 8937 水曲细木工板 1220×2440×18 张 7038 红木细木工板 1220×2440×18 张 6939 紫檀木细木工板 1220×2440×18 张40 云杉细木工板 1000×2000 张 15941 桦木细木工板 1900×900 张 6642 桦木细木工板 2000×1000 张 9043 多层板(徐州) 1220×2440×9 张 7044 多层板(徐州) 1220×2440×12 张 9945 华丽板 1220×2440×3 张12946 保丽板 1220×2440×3 张7047 纯色保丽板 1220×2440×3 张 70 48 单面装饰板 1220×2440×4 张 2049 双面装饰板 1220×2440×4 张 3450 彩色压型板 2000×830×0.7 m 4351 彩色瓦楞板 2000×830×0.7 m 3552 防火板 1220×2440×1 张65.00~120.0083 化纤割绒地毯 3000×25mm m2 3084 无衬化纤地毯 2000×25mm m2 20 85 轻垫地毯郎类10×1220 m2 20086 铝塑百叶窗 1500—1800 套 9087 垂直可调百叶窗斯玛特m2 2988 横式铝合金百叶窗 4页套89 化纤无纺墙布 2000 m2 1090 豪华装饰布幅1800 m 2591 仿麻绒窗帘呢幅1700 m92 仿丝窗帘呢幅1500 m93 涤丝窗帘绸幅1600 m94 窗帘遮光布幅1200 m95 燕锦缎幅1480 m96 舒美绒幅1480 m97 涤棉装饰布幅1550 m 1698 织棉缎软色墙布 1350 m 2099 仿砖壁纸 900×10m 卷 24 100 PVC壁纸 530×10m 卷 60 101 PVC发绝壁纸 530×10m卷 30102 仿亚麻壁纸 14# 530×10m 卷 60103 仿丝高档壁纸南非 530×10m 卷 70104 化纤贴墙布 102# m 20 105 木纹壁纸 900×50m 卷200 106 金属壁纸进口 530×10m 卷 129107 虹牌板丝壁纸 800×15m 卷 297108 植绒即时贴 450×10m m 1.9109 室内即时贴 450×10m m 1.9110 萤光红即时贴 450×10m m 1111 窗花即时贴 450×10m m 2.7112 室外即时贴 500 m 3.3 113 闪光即时贴 640 m 3.6 114 贴面纸 150 m115 宝石蓝确玲珑 1000×1000 张116 光金光银片 450 m 44 117 灯箱布 1500 m 37118 装饰影印画 3800×1350 幅119 装饰影印画 1950×1300 幅120 有机玻璃美术字 <0.5m2个 400121 铜制美术字 1 m2 个 200 122 木质角线 30×30 m 0.9 123 木质压线 15×50 m 0.2 124 木质半圆线 20mm m 0.3 125 木质挂镜线Ⅰ型(杨木) m 0.87126 木质雕花木线 1.224 支127 木花格 1.2—4.8×60白杉张 13128 木花格 1.2—4.8×60桐木张 10129 木方 2×3 m 0.4130 木方 3×4 m 1.2131 木方 4×6 m 1.25132 塑料楼梯扶手Ⅰ型 m 29 133 塑料楼梯扶手Ⅱ型 m 21 134 塑料楼梯扶手Ⅲ型 m 135 塑料格子板 6×114×600 kg 13136 塑料隔断板 40×105×4000 m2 49137 塑料墙裙板 20×1900 m2 12.5138 塑料踢脚板 40×400×1200 kg139 钙塑板 500×500 m2140 浮雕石膏板 500×500×9.5 m2 2.45141 纸面石膏吸音板 600×600×9.5 m2 20142 防火纸面石膏板 2400×1200×9.5 m2 12143 防火纸面石膏板 3000×1200×12 m2 13144 矿棉吸音天花板 13×300×600滚花 m2 29145 矿棉吸音天花板 12×303×600浮雕 m2 36.5146 矿棉吸音天花板 15×300×600立体 m2 69147 铝合金天花板金色500×500×30 m2 69148 铝合金天花板银色500×500×30 m2 94149 铝合金天花板烤漆500×500×30 m2 100150 铝合金方块冲孔天花板600×600×0.7 m2 91151 铝合金烤漆冲孔天花板m2 156152 不锈钢圆管(抛光)φ16×0.5×6000 支 29153 不锈钢圆管(抛光)φ19×0.5×6000 支 35154 不锈钢圆管(抛光)φ25×0.5×6000 支 47155 不锈钢圆管(抛光)φ38×0.5×6000 支 106156 不锈钢圆管(抛光)φ50×1×6000 支 160157 不锈钢圆管(抛光)φ63×1×6000 支 190158 不锈钢扁管(抛光) 15×30×1×6000 支 36159 不锈钢扁管(抛光) 25×38×1×6000 支 69160 不锈钢扁管(抛光) 45×76×1.2×6000 支161 不锈钢方管(抛光) 19×19×1×6000 支 50.00~69.00162 不锈钢方管(抛光) 25×25×1×6000 支 70.00~89.00163 不锈钢方管(抛光) 38×38×1×6000 支 124164 不锈钢弯头φ51×2 个 7 165 不锈钢弯头φ63×2 个 8 166 不锈钢弯头φ76×2 个10167 不锈钢角钢 12.7×12.7×0.6×6000 支 33168 不锈钢角钢 25×25×0.7×6000 支 70169 不锈钢方槽 12.7×12.7×0.6×6000 m2 40170 不锈钢方槽 19.5×19.5×0.7×6000 m2 60171 抛光不锈钢板 0.5×1000×2000 张 300 200.00~300.00172 不锈钢栏杆φ20 m 36 173 不锈钢立柱φ25 m 44 174 不锈钢扶手φ60 m 200 175 不锈钢扶手φ75 m 220 176 不锈钢法兰立柱配套个99177 铜栏杆φ20 m 470178 铜立柱φ25 m 341179 铜扶手φ60 m 560180 铜扶手φ75 m 700181 铜法兰个 30182 黄铜管φ100 m 89183 抛光黄铜圆柱面 1.2厚m2 270184 电化角铝 2.54×2 m 4.5 185 大铝条 86 m 3186 小铝条 17 m 1.7187 铝合金压条 m 1.2188 铝合金板条 100宽 m 3.9 189 铝合金扁条 12.7×3×6000 支 5.5190 铝合金挂镜线 m 2191 铝合金镜框料 15×25×6000 支 2.6192 铝合金镜框料 15×15×6000 支 2193 铝栅 m 19.00~27.00 194 铝板网 1mm厚 m2195 铝合金条φ4 m 7196 电化铝装饰板宽100 m2 197 电化铝装饰板 m 100198 电化铝装饰板 m 890199 电化铝装饰板 m 939200 电化铝装饰板 m 369201 电化铝装饰板 m 200202 墙体轻钢龙骨203 轻钢大龙骨 h=45 m 3 204 轻钢中龙骨 h=19 m 2 205 轻钢小龙骨 h=19 m 1 206 轻钢中龙骨横撑 h=19 m 1.6207 轻钢小龙骨横撑 h=19 m 0.56208 轻钢龙骨主接件个 0.19 209 轻钢龙骨次接件 0.5 个0.45210 轻钢龙骨小接件 0.38 个0.37 211 焊接铁件同文件个 0.2 212 轻钢大龙骨垂直吊挂件μ60 个 0.67213 轻钢中龙骨垂直吊挂件μ60 个 0.4214 轻钢小龙骨垂直吊挂件μ50 个 0.37215 轻钢大龙骨垂直吊挂件h=60主龙骨 m 5.7216 轻钢中龙内坪面连接件个 0.2217 轻钢小龙骨平面连接件μ38 个 0.26218 铝合金 28×22×0.8 m 2.5219 T型铝合金大龙骨 h=45 m 2.14220 T型铝合金中龙骨 h=35 m 3221 T型铝合金小龙骨 h=22 m 2.7222 铝合金边龙骨横撑 h=35 m 3223 铝合金小龙骨横撑 h=22 m 2.4224 铝合金龙骨主接件个0.2225 铝合金龙骨次接件个0.2226 铝合金大龙骨垂直吊件个 0.4227 铝合金风口个 10228 铝合金中龙骨垂直吊件个 0.3229 铝合金边龙骨垂直吊件个230 铝合金大龙骨 h=60 m 231 U型铝合金大龙骨 h=45 m 3232 U型铝合金中龙骨 h=35 m 2.4233 铝合金中龙骨平连接件个 0.3234 铝合金小龙骨平连接件个 0.13235 U型铝合金大龙骨 h=60 m 4.1236 铝合金方板 0.8mm m2 75 237 铝合金靠墙条板 0.8mm m 110238 铝合金靠方板 300×300×0.8 m2 115239 T型铝合金边龙骨 h=22 m 1.2240 铝合金插缝板 200×3000×0.8m2 m2 126 241 铝龙骨Ω m 3.1242 铝框管架 kg243 铝合金槽线 30×60×1.2m m2.5244 小密度贴面板 1220×2440×16 张 71245 中密度贴面板 1220×2440×12 张 70246 全铝板 500×500×30 m2 591247 彩色铝扣板 9×6000 张20248 PVC压条 3m 张 1.40~1.80249 防静电地板 600×600 m2 220250 豪华PQL线条 4m 张7.00~16.00第二节板材知识夹板也称胶合板,有人叫细心板.由三层或多层1mm厚的单板薄板胶贴热压制成.夹板一般分为3mm,5mm,9mm,12mm,15mm,18mm.假若是做门用的话,最好是使用进口的夹板,因为进口的板材质量比较好,不容易变形,同时,价格也比较高!九夹板就是9mm的胶合板因为9再加上18再加上外面的胶贴(1mm)可以组合成很多种厚度的胶合板比较方便。
二○一○年十月主要建筑材料行情十月沪上建筑钢材价格继续创年内新高,然而,本月钢价进退维谷、全月只是在小幅空间内波动。
本月普通硅酸盐水泥同上月相比继续大幅上涨,与时同时,商品混凝土价格随普通硅酸盐水泥价格而上涨;黄砂价格同上月相比则小幅下跌。
本月线材(Φ8mm )、HRB335螺纹钢(Φ28~32mm )、HRB400螺纹钢(Φ18mm)、HRB400螺纹钢(Φ25mm)价格分别比上月上涨了50元/吨、30元/吨、40元/吨和30元/吨,上涨幅度分别为1.14% 、0.65%、0.85%和0.64%,上涨幅度较上月的涨幅有所减少。
同时本月线材(Φ8mm )、HRB335螺纹钢(Φ28~32mm )、HRB400螺纹钢(Φ18mm)、HRB400螺纹钢(Φ25mm)价格同去年同期相比上涨了950元/吨、925元/吨、1020元/吨、900元/吨,上涨幅度为27.28%、24.95%、27.56%和23.68%。
尽管市场此前对10月行情存在极大争议,但无论看涨还是看跌一方都没有如愿。
跟9月跌宕起伏的行情相比,10月钢价走势可谓无比纠结。
想上涨,但是供需矛盾、政策风险制约明显;欲下跌,又看到货币超发、热钱汹涌,大宗商品牛气冲天。
正是在资金和政策、供给和需求、贸易商和钢厂之间的多方博弈之下,10月钢价进退维谷、全月只有不足50元/吨的涨跌空间。
本月普通硅酸盐水泥因熟料涨价、拉电限产等因素影响,其价格同上月相比继续大幅度的上涨,其中普通硅酸盐水泥(强度等级42.5)上涨9.05%、普通硅酸盐水泥(强度等级32.5)上涨7.53%。
本月的普通硅酸盐水泥价格同今年最低价格的2月份相比,上涨幅度在30%左右。
商品混凝土价格同上月相比上涨幅度接近5%,本月黄砂价格则继续回落,与今年最高的四月相比,回落幅度接近12%(仅供参考)情感语录1.爱情合适就好,不要委屈将就,只要随意,彼此之间不要太大压力2.时间会把最正确的人带到你身边,在此之前,你要做的,是好好的照顾自己3.女人的眼泪是最无用的液体,但你让女人流泪说明你很无用4.总有一天,你会遇上那个人,陪你看日出,直到你的人生落幕5.最美的感动是我以为人去楼空的时候你依然在6.我莫名其妙的地笑了,原来只因为想到了你7.会离开的都是废品,能抢走的都是垃圾8.其实你不知道,如果可以,我愿意把整颗心都刻满你的名字9.女人谁不愿意青春永驻,但我愿意用来换一个疼我的你10.我们和好吧,我想和你拌嘴吵架,想闹小脾气,想为了你哭鼻子,我想你了11.如此情深,却难以启齿。
河北省人民政府办公厅关于转发河北省2010年市场建设工作指导意见的通知文章属性•【制定机关】河北省人民政府•【公布日期】2010.05.07•【字号】冀政办字[2010]44号•【施行日期】2010.05.07•【效力等级】地方规范性文件•【时效性】现行有效•【主题分类】城乡建设综合规定正文河北省人民政府办公厅关于转发河北省2010年市场建设工作指导意见的通知(冀政办字〔2010〕44号2010年5月7日)各设区市人民政府,省政府有关部门:《河北省2010年市场建设工作指导意见》已经省政府同意,现转发给你们,请结合本地本部门实际,认真贯彻执行。
河北省2010年市场建设工作指导意见一、2009年市场建设情况(一)市场繁荣,交易规模扩大。
2009年全省商品市场总数4014个,成交总额实现5209亿元,同比增长12.2%。
超亿元市场总数达到279个,较上年增加20个,超亿元市场成交总额实现3507亿元,同比增长10.7%。
年成交额超10亿元市场65个,新华集贸、南三条、白沟、香河家俱、永年标准件、安国东方药城等6个市场年成交额超百亿元,大型市场发展迅速。
(二)档次提升,服务功能完善。
2009年全省市场建设完成投资73.49亿元,同比增长43.8%,各类农副产品市场、工业消费品市场、生产资料市场的基础设施和硬件水平得到较大改善。
安平丝网、清河羊绒、冀东果菜等大型市场进一步完善物流配送、电子结算、信息服务、质量检测、研发设计、中介服务等配套服务体系,功能多元化趋势更加显现。
(三)市场拓展,开放程度提高。
适应经济全球化发展趋势,大型市场在全球范围内配置资源的能力进一步增强。
白沟市场有150多家企业在130多个国家和地区设立了办事处,箱包产品的出口量已占全部销量的50%;安平丝网大世界年出口总额4.3亿美元,占全部销售收入的31%;中国正定国际小商品博览会、中国尚村皮草交易会等依托大型交易市场举办的国际展会影响力日趋增强。
河北省建设工程材料价格(采保费的规定)关于印发《河北省建设工程材料价格编制及动态管理办法》的通知各市建委:现将《河北省建设工程材料价格编制及动态管理办法》印发给你们,请结合当地实际情况认真贯彻执行。
执行中有何问题,请及时反馈省工程造价管理总站。
一九九七年三月三日河北省建设工程材料价格编制及动态管理办法第一章总则第一条为了合理确定、有效控制建设工程造价,加强材料价格管理,及时反映市场价格变化对工程造价的影响,根据《河北省建筑市场管理条例》等有关规定,结合我省实际,制定本办法。
第二条本办法适用于我省建筑、装饰、安装、市政、房屋修缮、抗震加固、仿古园林等工程材料价格的编制及管理.第三条建设工程材料价格分为定额预算价格、市场指导价格。
定额预逄价格是指编制概、预算定额(单位估价表)中的材料价格时所采用材料价格.市场指导价格是由工程造价管理部门根据市场情况定期发布的指导工程概、预、结算中材料价差调整的材料价格.第二章建设工程材料价格的组成第四条建设工程材料价格指材料由提货地点到达施工工地仓库(工地材料堆放点)后的出库价格.第五条材料价格的进口设备购置费分别由下列费用组成:(一)材料价格费用组成:1、材料原价;2、材料供销部门综合费;3、材料包装费(已含在原价中的不重计);4、材料运输费(包括材料运输损耗);5、材料采购及保管费。
(二)进口设备购置费用组成:建设项目进口设备购置费由岸价及关税、消费税、增值税、银行财务费、外贸手续费、海关监管手续费、车辆购置附加费等费用组成。
第六条材料价格中各项费用的确定:(一)材料原价系指材料直接向生产厂采购的出厂价。
(二)材料供销部门综合费系指材料不能直接向生产厂采购,必须经过当地物资部门或供销部门采购时所附加的手续费、管理费等.(三)材料包装费系指为了便于材料运输或为保护材料而进行包装所需要的费用,包括水运、陆运、陆运中的支撑、蓬布等.包装费按下列原则计算:1、凡由生产厂负责包装,其包装费已计入材料原价者,不再另行计算。
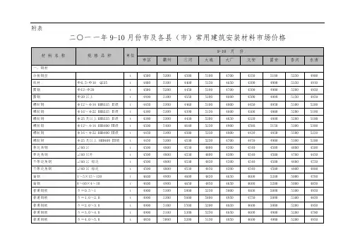
二〇一〇年建设工程主要材料综合价格
说明:综合价格是材料从其来源地到达施工工地仓库后出库的综合平均价格,由材料原价(或供应价格)、材料运杂费、运输损耗、采购及保管费组成。
一、木材
二、水泥
三、砂、石、灰
四、墙体材料
五、其它材料
六、市政材料
七、钢材
八、商品混凝土
注:泵在37米以上(含37米)加价20元/立方米。
抗渗、早强品种在此价格基础上各加25元/立方米。
防冻早强品种在此价格基础上,当使用温度在-5度时加价30元/立方米;-10度时加价50元/立方米;-15度时加价80元/立方米;-15度以下时加价100元/立方米。
九、县(市)、双阳区地材综合价格
二〇一〇年建设工程零星项目机械租赁市场价格。
w ww .m y st ee l.c om山西太钢不锈钢股份有限公司营销部二○一〇年八月二十三日根据目前钢材市场行情,结合我公司的生产经营情况,经研究决定,制定2010年9月份关于制定2010年9月份碳钢热轧中厚板销售出厂价格的通 知钢销价字[2010]第47号碳钢热轧中厚板销售出厂价格如下: 一、牌价(见附表1-3)。
二、有关事项规定(见附件二)。
三、本通知对交货期为2010年9月合同执行,其它未尽事宜仍按现行规定办理,同时原钢销价字(2010)第41号文件有关该品种的规定废止。
w ww .m y st ee l.c om规格(mm)价格增值税价税合计碳结板Q195-255A/B≥64610783.705393.70≥84180710.604890.60≥104080693.604773.60≥123880659.604539.60≥143820649.404469.40>203840652.804492.80优碳板08-20≥64710800.705510.70≥84280727.605007.60≥104180710.604890.60≥123980676.604656.60≥143920666.404586.40>203940669.804609.8008Al≥64770810.905580.90≥84340737.805077.80≥104240720.804960.80≥124040686.804726.80≥143980676.604656.60>204000680.004680.0035≥64960843.205803.20≥84530770.105300.10≥104430753.105183.10≥124230719.104949.10≥144170708.904878.90>204190712.304902.30GB/T3274-1988GB/T711-1988GB/T711-1988GB/T711-1988品种钢号销售出厂价格一、牌价2010年9月份碳钢热轧中厚板(1)技术标准w ww .m y st ee l .c om规格(mm)价格增值税价税合计优碳板40-45≥65010851.705861.70≥84580778.605358.60≥104480761.605241.60≥124280727.605007.60≥144220717.404937.40>204240720.804960.8065Mn 50Mn≥663601081.207441.20≥859301008.106938.10≥105830991.106821.10≥125630957.106587.10≥145570946.906516.90>205590950.306540.30低合金板Q345A/B Q295A/B≥64780812.605592.60≥84350739.505089.50≥104250722.504972.50≥124050688.504738.50≥143990678.304668.30>204010681.704691.70锅炉压力容器板Q245R≥64800816.005616.00≥84370742.905112.90≥104270725.904995.90≥124070691.904761.90≥144010681.704691.70Q345R≥64900833.005733.00≥84470759.905229.90≥104370742.905112.90≥124170708.904878.90≥144110698.704808.70品种钢号销售出厂价格GB/T711-1988GB713-2008技术标准GB713-2008Q/TX3050-2003GB/T3274-1988w ww .m y st ee l.c om规格(mm)价格增值税价税合计锅炉压力容器板16MnDR≥65110868.705978.70≥84680795.605475.60≥104580778.605358.60≥124380744.605124.60≥144320734.405054.40(S)A516MGr70≥65350909.506259.50≥84920836.405756.40≥104820819.405639.40≥124620785.405405.40≥144560775.205335.20造船板CCSA/B≥64930838.105768.10≥84500765.005265.00≥104400748.005148.00≥124200714.004914.00≥144140703.804843.80合结板15-50Cr≥670301195.108225.10≥866001122.007722.00≥1465801118.607698.6030Si2B≥675501283.508833.50≥871201210.408330.40≥1470301195.108225.1030Mn2不分Q/TX3197-20065800986.006786.0016Mo3不分Q 太新016-200578001326.009126.00技术标准品种钢号销售出厂价格GB3531-1996ASME SA-516/SA-516M -2004Q/TB3047-2007GB712-2000GB/T11251-89w ww .m y st ee l.c om正火退火淬火回火调质不含税200200200200400含 税234.00234.00234.00234.00468.007、自提优惠不含税20元/吨(含军工钢、新产品)。
郴州市建设工程造价管理站文件郴建价(2010)第10号________________________________________________________________________关于印发2010年第六期建设工程材料预算价格的通知各市(县、区)有关建设、施工单位、造价咨询企业、招投标代理公司:根据省住房和城乡建设厅湘建价(2009)406号文“关于颁发《湖南省建设工程工程量清单计价办法》的通知”、湘建价(2007)39号“关于印发《湖南省建设工程材料预算价格编制办法》的通知”的有关精神。
为加强我市工程造价动态管理,合理确定不同时期建设工程产品价格,规范计价行为。
我站组织调查、测算编制了2010第六期建设工程材料预算价格(以下简称“本期材料预算价格”),经报省造价管理总站审批,现予发布,并就有关事项明确如下:一、执行时间:本期材料预算价格从2010年11月1日起执行。
二、适用范围:适用于土建、装饰、市政、园林仿古、修缮、安装工程的预(结)算。
三、按工程量清单计价法编制招标标底时,其材料价格应按发布的材料预算价格确定综合单价。
当土建及市政工程市场材料(包括商品砼及商品沥青砼)预算价超过“本期材料预算价格”的±3%、装饰及安装工程市场材料预算价超过“本期材料预算价格”±5%时,可按实际市场材料预算价格进入综合单价;施工企业投标报价应根据施工工期、市场实际材料价格自主确定材料价格。
竣工结算时材料价格(含商品砼价格及商品沥青砼)调整: 对土建及市政工程市场材料(包括商品砼及商品沥青砼)预算价超过“本期材料预算价格”的±3%、装饰及安装工程市场材料预算价超过“本期材料预算价格”±5%的单项材料价格,甲乙双方应在施工过程中及时做好市场材料实际采购价格的适时签证工作,并按经甲方签证的材料实际采购价格结合施工承包合同约定条款办理竣工结算。
四、普通商品砼、泵送商品砼、抗渗商品砼(含抗裂剂、防渗剂)预算价包含材料费、减水剂、予拌费、砼运输车运到施工现场(15km内)费用,但不包含施工现场泵送费,当商品砼工地现场泵送租赁泵送机械时, 扣除消标子目A4-165、A4-166中砼输送泵(车) 机械台班,其泵送费用按下表计算,租赁泵送费用只计算企业管理费5%及相应规费、税金:砼泵送机械类型泵送费(元/m3)砼拖泵(地泵)14.00砼车载泵18.00砼输送泵车(天泵)30.00五、商品砼预算价己综合考虑使用各厂家水泥。