常用积分表
- 格式:pdf
- 大小:1.29 MB
- 文档页数:12
积分公式表1、基本积分公式: (1)(2)(3)(4)(5)(6)(7) (8)(8) (10) (11)2、积分定理:(1)()()x f dt t f x a ='⎥⎦⎤⎢⎣⎡⎰ (2)()()()()[]()()[]()x a x a f x b x b f dt t f x b x a '-'='⎥⎦⎤⎢⎣⎡⎰ (3)若F (x )是f (x )的一个原函数,则)()()()(a F b F x F dx x f ba b a -==⎰3、积分方法()()b ax x f +=1;设:t b ax =+()()222x a x f -=;设:t a x sin =()22a x x f -=;设:t a x sec =()22x a x f +=;设:t a x tan =()3分部积分法:⎰⎰-=vdu uv udv附:理解与记忆对这些公式应正确熟记.可根据它们的特点分类来记.公式(1)为常量函数0的积分,等于积分常数.公式(2)、(3)为幂函数 的积分,应分为与 . 当 时, ,积分后的函数仍是幂函数,而且幂次升高一次.特别当 时,有 .当 时,公式(4)、(5)为指数函数的积分,积分后仍是指数函数,因为,故( , )式右边的 是在分母,不在分子,应记清. 当 时,有 .是一个较特殊的函数,其导数与积分均不变.应注意区分幂函数与指数函数的形式,幂函数是底为变量,幂为常数;指数函数是底为常数,幂为变量.要加以区别,不要混淆.它们的不定积分所采用的公式不同.公式(6)、(7)、(8)、(9)为关于三角函数的积分,通过后面的学习还会增加其他三角函数公式.公式(10)是一个关于无理函数的积分公式(11)是一个关于有理函数的积分下面结合恒等变化及不定积分线性运算性质,举例说明如何利用基本积分公式求不定积分.例1 求不定积分.分析:该不定积分应利用幂函数的积分公式.解:(为任意常数)例2 求不定积分.分析:先利用恒等变换“加一减一”,将被积函数化为可利用基本积分公式求积分的形式.解:由于,所以(为任意常数)例3 求不定积分.分析:将按三次方公式展开,再利用幂函数求积公式.解:(为任意常数 )例4 求不定积分.分析:用三角函数半角公式将二次三角函数降为一次.解:(为任意常数)例5 求不定积分.分析:基本积分公式表中只有但我们知道有三角恒等式:解:(为任意常数)同理我们有:(为任意常数)例6(为任意常数)。
常用积分表(Common integral table)Common integral formula(a) containing the integral (axb+0a =) Formula 1.dxaxb+ = 1lnaxbCa++2. = (axbx) + 11 (formula)(1)AxbCa + + + Mu+(U = 1.)3.dxxaxb+ = formula21 (LN) axbbaxbCa+.++The 4.2dxxaxb+ formula (2) = 22311(ln2axbbaxbbaxbCa..+.++++.)...Five(d)Formula xxaxb+ = 1lnaxbCbx+16.2d ()Xxaxb+ = formula21lnaaxbCbxbx+Type7.2d ()Xxaxb+ = formula21 (LN) baxbCaax++++8.22d ()Xxaxb+ = formula231 (2ln) baxbbaxbCaa+.+.+ 9.2d ()Xxaxb+ = formula211ln ()AxbCbaxbbx++(two) an integral containing axb+10.daxbx+ formula (= 32)3axbCa++Formula 11.dxaxbx+ = 322 (32) ()15axbaxbCa.++Formula 12.2dxaxbx+ = 222332 (15128) () 105axabxbaxbCa.+++13.dxxaxb+ = formula22 (2)3axbaxbCa.+Formula 14.2dxxaxb+ = 22232 (348)15axabxbaxbCa.++FifteenDxxaxb+ = formula1ln (0)2arctan (0) AxbbCbbaxbbaxbCbbb.+. +>.++..1+<....16.2dxxaxb+ = formula D2axbaxbxbxaxb+.+ formula17.daxbxx+ = formula D2xaxbbxaxb+++ formula18.2daxbxx+ = formulaD2axbaxxxaxb+1+ formula(three) an integral containing 2xa +19.22dxxa+ formula =1arctanxCaa+20.22d (nxxa+) formula =2221222123d2 (1) (2) (1) (nnxnnaxanaxa..).+.+.+ formula21.22dxxa. formula =1ln2xaCaxa.++(four) contains integral 2 (0axba+>22.2dxaxb+ = formula1arctan (0)1ln (0)2axCbbabaxbCbabaxb.+>...+<..+.....Formula 23.2dxxaxb+ = 21ln2axbCa++ 24.22dxxaxb+ = formula2dxbxaaaxb.+ formula25.2d ()Xxaxb+ = formula221ln2xCbaxb++26.22d ()Xxaxb+ = formula21daxbxbaxb..+ formula27.32d ()Xxaxb+ = formula22221ln22axbaCbxbx+128.22d ()Xaxb+ = 221d2 (2xxbaxbbaxb+) formula+ + formula(five) contains integral 2axbxc++ (0a>)29.2dxaxbxc++ = formula222222222arctan (4)44124ln (4)424axbCbacbacbaxbbacCbacbacaxbbac+.+<...+> +.....++..Formula 30.2dxxaxbxc++ = 221dln22bxaxbxcaaaxbxc++.+ + formula(six) contains an integral of 22xa+ (0a>) Formula 31.22dxxa+ = 1arshxCa+ = 22ln (xxaC+++) 32.223d ()Xxa+ = formula222xCaxa++Formula 33.22dxxxa+ = 22xaC++34.223d ()Xxxa+ = formula221Cxa.++35.222dxxxa+ = formula22222ln ()22xaxaxxa+.+++36.2223d ()Xxxa+ = 2222ln (xxxaCxa.++++) formula+37.22dxxxa+ = formula221lnxaaCax+.+38.222dxxxa+ = formula222xaCax+139.22dxax+ = formula22222ln ()22xaxaxxa+++++(40.223) xax+ (25) ln formula = 22224223 () 88xxaxaaxxaC++++++41.22dxxa+ formula (= 2231)3xaC++42.222dxxa+ = formula4222222 (2) ln ()88xaxaxaxxaC++.+++43.22dxaxx+ = formula2222lnxaaxaaCx+.+ + +44.222dxaxx+ = formula2222ln () xaxxaCx+.++++(seven) contains an integral of 22xa. (0a>) Formula 45.22dxxa. = 1archxxCxa+=22lnxxaC+.+ 46.22d ()Xxa. = formula222xCaxa.+.Formula 47.22dxxxa. = 22xaC.+48.223d ()xxxa.∫=221cxa. +.49.222dxxxa.∫=ln22xaxaxxa 22222. + + +50.2223d ()xxxa.∫=2222lnxxxacxa. + +. + .51.22dxxxa.∫=1arccosacax +52.222dxxxa.∫=222xacax.+53.22dxax.∫=ln22xaxaxxa 22222 +... +.54.223 () xax.∫=22224223 (25) ln88xxaxaaxxac. + + +55.22dxxax.∫=2231 ()3xac. +56.222dxxax.∫=4222222 (2) ln88xaxaxaxxac +... +.57.22dxaxx.∫=22arccosaxaacx. +58.222dxaxx.∫=2222lnxaxxacx.. + + +(八) 含有22ax. (0a > 的积分59.22dxax.∫=arcsinxca +60.22d ()xax.∫=222xcaax +.61.22dxxax.∫=22axc. +62.223d ()xxax.∫=221cax +.63.222dxxax.∫=222arcsin22xaxaxca. + + 64.2223d ()xxax.∫=22arcsinxxcaax. +.65.22dxxax.∫=221lnaaxcax...+66.222dxxax.∫=222axcax.. +67.22dax.∫=222arcsin22xaaxca. + +68.223 () ax.∫=222243 (52) arcsin88xxaxaxaa. + +69.22dxax.∫=2231 ()3axc. +70.222dxax.∫=4-2222. no, 2222 (2) arcsin88xaxaaxca. + +71.22daxxx.∫=2222lnaaxaxacx.... + +72.222daxxx.∫=22arcsinaxxcxa.. +(九) 含有2axbxc± + + (0a > 的积分73.2dxaxbxc ∫=21ln22axbaaxbxcca + + + + + + +74.2daxbxcx + + ∫=224axbaxbxca ++ + + + + +2234ln228acbaxbaaxbxcca.+ + + + + +75.2dxxaxbxc + + + + ∫=21axbxca23ln222baxbaaxbxcca. + + + + +76.2dxcbxax +.∫=212arcsin4axbcabac.. ++77.2dcbxaxx +.∫=223224arcsin484axbbacaxbcbxaxcaabac. ++ + +.+78.2dxxcbxax +.∫=23212arcsin24baxbcbxaxcaabac. . + + +.+(十) 含有xaxb.+.或 () (xabx..的积分79.dxaxxb..∫= () () ln () xaxbbaxaxbxb.. +... +. +.80.dxaxbx..∫= () () arcsinxaxaxbbabxbx.... +. +...81.d () (xxabx..∫=2arcsinxacbx.+.() ab <82. () () dxabxx..∫=22 () () () arcsin44xabbaxaxabxcbx.... . + +.() ab <(十一) 含有三角函数的积分83.sindxx∫=cosxc. +84.cosdxx∫=sinxc +85.tandxx∫=lncosxc. +86.cotdxx∫=lnsinxc +87.secdxx∫=lntan ()42xcπ + + + + =lnsectanxxc88.cscdxx∫=lntan2xc + =lncsccotxxc. +89.2secdxx∫=tanxc +90.2cscdxx∫=cotxc. +91.sectandxxx∫=secxc +92.csccotdxxx∫=cscxc. +93.2sindxx∫=1sin224xxc. +94.2cosdxx∫=1sin224xxc + +95.sindnxx∫=1211sincossindnnnxxxnn... . + ∫96.cosdnxx∫=1211cossincosdnnnxxxnn... + ∫97.dsinnxx∫=121cos2d1sin1sinnnxnxnxn..... +..∫98.dcosnxx∫=121sin2d1cos1cosnnxnxnxn..... +..∫99.cossindmnxxx∫=11211cossincossindmnmnmxxxmnmn. +. ++ + ∫=11211cossincossindmnmnnxxxmnmn +.".+ + ∫100.=sincosdaxbxx∫11cos cos () ()(2) (2)abxabxcabab. + ++.the 101.=sinsindaxbxx∫11sin () () (2) (2)abxabxcabab. + + +.+.the 102.=coscosdaxbxx∫11sin () () (2) (2)abxabxcabab + + +.+.103.dsinxabx + ∫=2222tan22arctanxabcabab ++...(ab)104.dsinxabx + ∫=222222 tan12lntan2xabbacxbaabba +. ++ +.("),105.dcosxabx + ∫=2arctan (tan)2ababxcababab +.++ +.(ab)106.dcosxabx + ∫=tan12lntan2xababbacabbaxabba ++ + +.+ +..("),107.2222dcossinxaxbx=108.2222dcossinxaxbx=109.sindxaxx∫=211sincosaxxaxcaa.110.2sindxaxx∫=223122cossincosxaxxaxaxcaaa. + + 111.cosdxaxx∫=211cossinaxxaxcaa + +112.2cosdxaxx∫=223122sincossinxaxxaxaxcaaa + +. (十二) 含有反三角函数的积分 (其中) 0a.113.arcsindxxa∫=22arcsinxxaxca + +.114.arcsindxxxa∫=() other arcsin244xaxxaxca. +.115.2arcsindxxxa∫=322221arcsin (2)39xxxaaxca + + +.116.arccosdxxa∫=22arccosxxaxca.. +117.arccosdxxxa∫=() other arccos244xaxxaxca... "118.2arccosd xxxa∫=322221arccos (2)39xxxaaxca. + +.119.arctandxxa∫=22arctanln ()2xaxaxca. + +120.arctandxxxa∫=221 () arctan22xaaxxca +. 121.2arctandxxxa∫=33222arctanln ()366xxaaxaxca. + + +含有指数函数的积分 (十三)122.=dxax∫1lnxaca +123.edaxx∫=1eaxca +124.edaxxx∫=21 (1) eaxaxca.125.ednaxxx∫=11eenaxnaxnxxxaa..∫126.dxxax∫=21ln (ln)xxxaaaa.127.dnxxax∫=11dlnlnnxnxnxaxaaa..∫128.=esindaxbxx∫221e (sincos) axabxbbxcab.+129.=ecosdaxbxx∫221e (sincos) axbbxabxcab + ++130.=esindaxnbxx∫12221esin (sincos) axnbxabxnbbxabn. +(1) esindaxnnnbbxxabn 22222.+"∫131.=ecosdaxnbxx∫12221ecos (cossin) axnbxabxnbbxabn. +(1) ecosdaxnnnbbxxabn 22222.+"∫含有对数函数的积分 (十四)132.lndxx∫=lnxxxc. +133.dlnxxx∫=lnlnxc +134.lndnxxx∫=111 (ln)11nxxcnn + +.+ + + + +(nl) dnxx∫= 135.1 (in) (the) dnnxxnx..∫136. ('") (in) (the) dmnxxx∫=111 d11mnmnnxxxxmm +. + + ∫含有双曲函数的积分 (十五)137.shdxx∫=chxc +138.chdxx∫=shxc +139.thdxx∫=lnchxc +140.2shdxx∫=1sh224xxc. + +141.2chdxx∫=1sh224xxc + +定积分 (十六)142.==0 cosdnxxπ.π∫sindnxxπ.π∫143.=0 cossindmxnxxπ.π∫144.= coscosdmxnxxπ.π∫0..mnmn≠.d =.145.= sinsindmxnxxπ.π∫0..mnmn≠.d =.146.==0sinsindmxnxxπ∫0coscosdmxnxxπ∫0,, 2mnmn≠...d =.ni=20sindnxxπ∫=20cosdnxxπ∫ 147. ni=21nnin..134225nnninn..=...... (为大于1的正奇数), n1i=113312422 (为正偶数), 0i=2π。
基本积分表1、⎰+=c kx kdx2、⎰++=+c a x dx x a a 113、⎰+=c x dx xln 1 4、⎰+=+c x dx xarctan 112 5、⎰+=-c x dx xarcsin 112 6、⎰+=c x xdx sin cos 7、⎰+-=c x xdx cos sin8、⎰⎰+==c x xdx dx x tan sec cos 1229、⎰⎰+-==c x xdx dx xcot csc sin 122 10、⎰+=c x xdx x sec tan sec11、⎰+-=c x xdx x csc cot csc 12、⎰+=c e dx e x x13、⎰+=c aa dx a x x ln 14、⎰+=c chx shxdx 其中2xx e e shx --=为双曲正弦函数 15、⎰+=c shx chxdx 其中2xx e e chx -+=为双曲余弦函数基本积分表的扩充16、⎰+-=c x xdx cos ln tan17、⎰+=c x xdx sin ln cot18、⎰++=c x x xdx tan sec ln sec 19、c x c x x xdx +=+-=⎰2tan ln cot csc ln csc 20、⎰+=+c a x a dx xa arctan 1122 21、⎰++-=-c a x a x a dx ax ln 21122 22、⎰+-+=-c xa x a a dx x a ln 21122 23、⎰+=-c a x dx x a arcsin 122 24、⎰+++=+c a x x dx a x 2222ln 1 25、⎰+-+=-c a x x dx a x 2222ln 1sinαsinβ=-[cos(α+β)-cos(α-β)]/2【注意右式前的负号】 cosαcosβ=[cos(α+β)+cos(α-β)]/2sinαcosβ=[sin(α+β)+sin(α-β)]/2cosαsinβ=[sin(α+β)-sin(α-β)]/2sin α+sin β=2sin[(α+β)/2]·cos[(α-β)/2]sin α-sin β=2cos[(α+β)/2]·sin[(α-β)/2]cos α+cos β=2cos[(α+β)/2]·cos[(α-β)/2]cos α-cos β=-2sin[(α+β)/2]·sin[(α-β)/2] 【注意右式前的负号】三角函数公式大全同角三角函数的基本关系倒数关系: tanα ·cotα=1 sinα ·cscα=1 cosα ·secα=1 商的关系:sinα/cosα=tanα=secα/cscα cosα/sinα=cotα=cscα/secα 平方关系:sin^2(α)+cos^2(α)=1 1+tan^2(α)=sec^2(α) 1+cot^2(α)=c sc^2(α)平常针对不同条件的常用的两个公式sin² α+cos² α=1 tan α *cot α=1一个特殊公式(sina+sinθ)*(sina+sinθ)=sin(a+θ)*sin(a-θ)证明:(sina+sinθ)*(sina+sinθ)=2 sin[(θ+a)/2] cos[(a-θ)/2] *2 cos[(θ+a)/2] sin[(a-θ)/2] =sin (a+θ)*sin(a-θ)锐角三角函数公式正弦:sin α=∠α的对边/∠α 的斜边余弦:cos α=∠α的邻边/∠α的斜边正切:tan α=∠α的对边/∠α的邻边余切:cot α=∠α的邻边/∠α的对边二倍角公式正弦sin2A=2sinA·cosA 余弦 1.Cos2a=Cos^2(a)-Sin^2(a)=2Cos^2(a)-1 =1-2Sin^2(a) 2.Cos2a=1-2Sin^2(a) 3.Cos2a=2Cos^2(a)-1 正切tan2A=(2tanA)/(1-tan^2(A))三倍角公式sin3α=4sinα·sin(π/3+α)sin(π/3-α) cos3α=4cosα·cos(π/3+α)cos(π/3-α)tan3a = tan a · tan(π/3+a)· tan(π/3-a) 半角公式tan(A/2)=(1-cosA)/sinA=sinA/(1+cosA);cot(A/2)=sinA/(1-cosA)=(1+cosA)/sinA. sin^2(a/2)=(1-cos(a))/2cos^2(a/2)=(1+cos(a))/2 tan(a/2)=(1-cos(a))/sin(a)=sin(a)/(1+cos(a))和差化积sinθ+sinφ = 2 sin[(θ+φ)/2] cos[(θ-φ)/2]sinθ-sinφ = 2 cos[(θ+φ)/2] sin[(θ-φ)/2] cosθ+cosφ = 2 cos[(θ+φ)/2]cos[(θ-φ)/2] cosθ-cosφ = -2 sin[(θ+φ)/2] sin[(θ-φ)/2]tanA+tanB=sin(A+B)/cosAcosB=tan(A+B)(1-tanAtanB)tanA-tanB=sin(A-B)/cosAcosB=tan(A-B)(1+tanAtanB)两角和公式cos(α+β)=cosαcosβ-sinαsinβcos(α-β)=cosαcosβ+sinαsinβsin(α+β)=sinαcosβ+ cosαsinβsin(α-β)=sinαcosβ -cosαsinβ积化和差sinαsinβ = [cos(α-β)-cos(α+β)] /2 cosαcosβ = [cos(α+β)+cos(α-β)]/2sinαcosβ = [sin(α+β)+sin(α-β)]/2 cosαsinβ = [sin(α+β)-sin(α-β)]/2双曲函数sinh(a) = [e^a-e^(-a)]/2 cosh(a) = [e^a+e^(-a)]/2 tanh(a) = sin h(a)/cos h(a) 公式一:设α为任意角,终边相同的角的同一三角函数的值相等:sin(2kπ+α)= sinα cos(2kπ+α)= cosα tan(2kπ+α)= tanα cot (2kπ+α)= cotα 公式二:设α为任意角,π+α的三角函数值与α的三角函数值之间的关系:sin(π+α)= -sinα cos(π+α)= -cosα tan(π+α)= tanα cot(π+α)= cotα 公式三:任意角α与-α的三角函数值之间的关系:sin(-α)= -sinα cos(-α)= cosα tan(-α)= -tanα cot (-α)= -cotα 公式四:利用公式二和公式三可以得到π-α与α的三角函数值之间的关系:sin(π-α)= sinα cos(π-α)= -cosα tan(π-α)= -tanα cot(π-α)= -cotα 公式五:利用公式-和公式三可以得到2π-α与α的三角函数值之间的关系:sin(2π-α)= -sinα cos(2π-α)= cosα tan(2π-α)= -tanα cot(2π-α)= -cotα 公式六:π/2±α及3π/2±α与α的三角函数值之间的关系:sin(π/2+α)= cosα cos(π/2+α)= -sinα tan(π/2+α)= -cotα cot(π/2+α)= -tanα sin(π/2-α)= cosα cos(π/2-α)= sinα tan (π/2-α)= cotα cot(π/2-α)= tanα sin(3π/2+α)= -cosα cos(3π/2+α)= sinα tan(3π/2+α)= -cotα cot(3π/2+α)= -tanα sin(3π/2-α)= -cosα cos(3π/2-α)= -sinα tan(3π/2-α)= cotα cot(3π/2-α)= tanα (以上k∈Z) A·sin(ωt+θ)+ B·sin(ωt+φ) = √{(A² +B² +2ABcos(θ-φ)} · sin{ ωt + arcsin[ (A·sinθ+B·sinφ) / √{A^2 +B^2; +2ABcos(θ-φ)} } √表示根号,包括{……}中的内容诱导公式sin(-α) = -sinα cos(-α) = cosαtan (-α)=-tanα sin(π/2-α) = cosα cos(π/2-α) = sinα sin(π/2+α) = cosα cos(π/2+α) = -sinα sin(π-α) = sinα cos(π-α) = -cosα sin(π+α) = -sinα cos(π+α) = -cosα tanA= sinA/cosA tan(π/2+α)=-cotα tan(π/2-α)=cotα tan(π-α)=-tanα tan(π+α)=tanα 诱导公式记背诀窍:奇变偶不变,符号看象限万能公式sinα=2tan(α/2)/[1+(tan(α/2))²] cosα=[1-(tan(α/2))²]/[1+(tan(α/2))²]tanα=2tan(α/2)/[1-(tan(α/2))²]其它公式(1) (sinα)²+(cosα)²=1 (2)1+(tanα)²=(secα)² (3)1+(cotα)²=(cscα)² 证明下面两式,只需将一式,左右同除(sinα)²,第二个除(cosα)²即可(4)对于任意非直角三角形,总有tanA+tanB+tanC=tanAtanBtanC 证: A+B=π-Ctan(A+B)=tan(π-C) (tanA+tanB)/(1-tanAtanB)=(tanπ-tanC)/(1+tanπtanC)整理可得tanA+tanB+tanC=tanAtanBtanC 得证同样可以得证,当x+y+z=nπ(n∈Z)时,该关系式也成立由tanA+tanB+tanC=tanAtanBtanC可得出以下结论(5)cotAcotB+cotAcotC+cotBcotC=1(6)cot(A/2)+cot(B/2)+cot(C/2)=cot(A/2)cot(B/2)cot(C/2) (7)(cosA)²+(cosB)²+(cosC)²=1-2cosAcosBcosC (8)(sinA)²+(sinB)²+(sinC)²=2+2cosAcosBcosC 其他非重点三角函数csc(a) = 1/sin(a) sec(a) =1/cos(a)编辑本段内容规律三角函数看似很多,很复杂,但只要掌握了三角函数的本质及内部规律就会发现三角函数各个公式之间有强大的联系。
导数公式:基本积分表:三角函数的有理式积分:ax x aa a ctgx x x tgx x x xctgx x tgx a x x ln 1)(log ln )(csc )(csc sec )(sec csc )(sec )(22='='⋅-='⋅='-='='222211)(11)(11)(arccos 11)(arcsin x arcctgx x arctgx x x x x +-='+='--='-='⎰⎰⎰⎰⎰⎰⎰⎰⎰⎰+±+=±+=+=+=+-=⋅+=⋅+-==+==Ca x x a x dx C shx chxdx C chx shxdx Ca a dx a Cx ctgxdx x C x dx tgx x Cctgx xdx x dx C tgx xdx x dx xx)ln(ln csc csc sec sec csc sin sec cos 22222222C axx a dx C x a xa a x a dx C a x ax a a x dx C a xarctg a x a dx Cctgx x xdx C tgx x xdx Cx ctgxdx C x tgxdx +=-+-+=-++-=-+=++-=++=+=+-=⎰⎰⎰⎰⎰⎰⎰⎰arcsin ln 21ln 211csc ln csc sec ln sec sin ln cos ln 22222222⎰⎰⎰⎰⎰++-=-+-+--=-+++++=+-===-Cax a x a x dx x a Ca x x a a x x dx a x Ca x x a a x x dx a x I nn xdx xdx I n n nn arcsin 22ln 22)ln(221cos sin 2222222222222222222222ππ222212211cos 12sin u dudx x tg u u u x u u x +==+-=+=, , , (一)含有ax b +的积分(0a ≠)1.d x ax b +⎰=1ln ax b C a ++2.()d ax b x μ+⎰=11()(1)ax b C a μμ++++(1μ≠-)3.d x x ax b +⎰=21(ln )ax b b ax b C a +-++4.2d x x ax b +⎰=22311()2()ln 2ax b b ax b b ax b C a ⎡⎤+-++++⎢⎥⎣⎦5.d ()x x ax b +⎰=1ln ax b C b x+-+ 6.2d ()x x ax b +⎰=21ln a ax b C bx b x+-++ 7.2d ()xx ax b +⎰=21(ln )b ax b C a ax b++++ 8.22d ()x x ax b +⎰=231(2ln )b ax b b ax b C a ax b +-+-++9.2d ()x x ax b +⎰=211ln ()ax bC b ax b b x+-++的积分10.x C11.x ⎰=22(3215ax b C a -12.x x ⎰=22232(15128105a x abx b C a-+13.x=22(23ax b C a -14.2x=22232(34815a x abx b C a -+ 15.=(0)(0)C b C b ⎧+>+<16.2a bx b --17.x=b 18.x=2a +(三)含有22x a ±的积分19.22d x x a +⎰=1arctan xC a a+ 20.22d ()n xx a +⎰=2221222123d 2(1)()2(1)()n n x n x n a x a n a x a ---+-+-+⎰21.22d x x a -⎰=1ln 2x a C a x a-++(四)含有2(0)ax b a +>的积分22.2d x ax b +⎰=(0)(0)C b C b ⎧+>+<23.2d x x ax b +⎰=21ln 2ax b C a++24.22d x x ax b +⎰=2d x b xa a axb -+⎰25.2d ()xx ax b +⎰=221ln 2x C b ax b++ 26.22d ()xx ax b +⎰=21d a x bx b ax b --+⎰27.32d ()xx ax b +⎰=22221ln 22ax b a C b x bx +-+ 28.22d ()xax b +⎰=221d 2()2x xb ax b b ax b+++⎰ (五)含有2ax bx c ++(0)a >的积分29.2d x ax bx c ++⎰=22(4)(4)C b ac C b ac +<+>30.2d x x ax bx c ++⎰=221d ln 22b x ax bx c a a ax bx c++-++⎰(0)a >的积分31.=1arshxC a+=ln(x C ++ 32.=C +33.x=C +34.x=C +35.2x =2ln(2a x C -++36.2x =ln(x C ++37.1C a +38.C +39.x 2ln(2a x C ++40.x =2243(25ln(88x x a a x C +++41.x ⎰C +42.xx ⎰=422(2ln(88x a x a x C +++43.x a C +44.x =ln(x C +++(0)a >的积分45.=1arch x xC x a+=ln x C + 46.C +47.x =C48.x =C +49.2x 2ln 2a x C +++50.2x =ln x C +++51.1arccos aC a x +52.C +53.x =2ln 2a x C ++54.x =2243(25ln 88x x a a x C -+++55.x ⎰C +56.xx ⎰=422(2ln 88x a x a x C -++57.x x⎰=arccos a a C x +58.x =ln x C +++(0)a >的积分59.=arcsinxC a+ 60.C +61.x =C62.x C +63.2x =2arcsin 2a x C a ++ 64.2x arcsinxC a-+65.1C a +66.C +67.x =2arcsin 2a x C a+68.x =2243(52arcsin 88x x a x a C a -+69.x ⎰=C70.xx ⎰=422(2arcsin 88x a x x a C a-+71.d x x⎰a C +72.2d x x ⎰=arcsin xC x a--+(0)a >的积分73.2ax b C +++08070141常用导数和积分公式74.x =2n 2a x b c C+++75.xn 2a x b c C+++ 76.C +77.x =2C +78.x =C +79.x =((x b b a C --+80.x =((x b b a C -+-81.C ()a b <82.x 2()4b a C -+ ()a b <(十一)含有三角函数的积分 83.sin d x x ⎰=cos x C -+84.cos d x x ⎰=sin x C + 85.tan d x x ⎰=ln cos x C -+ 86.cot d x x ⎰=ln sin x C +87.sec d x x ⎰=ln tan()42xC π++=ln sec tan x x C ++ 88.csc d x x ⎰=ln tan 2xC +=ln csc cot x x C -+ 89.2secd x x ⎰=tan x C +90.2csc d x x ⎰=cot x C -+91.sec tan d x x x ⎰=sec x C + 92.csc cot d x x x ⎰=csc x C -+93.2sin d x x ⎰=1sin 224x x C -+ 94.2cos d x x ⎰=1sin 224x x C ++95.sin d nx x ⎰=1211sin cos sin d n n n x x x x n n----+⎰ 96.cos d n x x ⎰=1211cos sin cos d n n n x x x x n n---+⎰ 97.d sin n x x ⎰=121cos 2d 1sin 1sin n n x n xn x n x ----⋅+--⎰ 98.d cos n x x ⎰=121sin 2d 1cos 1cos n n x n xn x n x---⋅+--⎰99.cos sin d m nx x x ⎰=11211cos sin cos sin d m n m n m x x x x x m n m n -+--+++⎰ =11211cos sin cos sin d m n m n n x x x x x m n m n+----+++⎰ 100.sin cos d ax bx x ⎰=11cos()cos()2()2()a b x a b x C a b a b -+--++-101.sin sin d ax bx x ⎰=11sin()sin()2()2()a b x a b x C a b a b -++-++-102.cos cos d ax bx x ⎰=11sin()sin()2()2()a b x a b x C a b a b ++-++-103.d sin x a b x +⎰tan xa b C ++22()a b >104.d sin x a b x+⎰C+22()a b <105.d cos xa b x +⎰)2x C +22()a b >106.d cos x a b x +⎰C +22()a b <107.2222d cos sin x a x b x +⎰=1arctan(tan )bx C ab a + 108.2222d cos sin x a x b x -⎰=1tan ln 2tan b x a C ab b x a ++-109.sin d x ax x ⎰=211sin cos ax x ax C a a -+ 110.2sin d x ax x ⎰=223122cos sin cos x ax x ax ax C a a a -+++111.cos d x ax x ⎰=211cos sin ax x ax C a a ++112.2cos d x ax x ⎰=223122sin cos sin x ax x ax ax C a a a+-+(十二)含有反三角函数的积分(其中0a >)113.arcsin d x x a ⎰=arcsin x x C a+114.arcsin d x x x a ⎰=22()arcsin 24x a x C a -+115.2arcsin d x x x a ⎰=3221arcsin (239x x x a C a +++116.arccos d x x a ⎰=arccos x x C a-117.arccos d x x x a ⎰=22()arccos 24x a x C a --118.2arccos d x x x a ⎰=3221arccos (239x x x a C a -+ 119.arctan d x x a ⎰=22arctan ln()2x a x a x C a -++ 120.arctan d x x x a ⎰=221()arctan 22x a a x x C a +-+ 121.2arctan d x x x a ⎰=33222arctan ln()366x x a a x a x C a -+++ (十三)含有指数函数的积分122.d x a x ⎰=1ln x a C a+ 123.e d ax x ⎰=1e ax C a+ 124.e d ax x x ⎰=21(1)e ax ax C a-+ 125.e d n ax x x ⎰=11e e d n ax n ax n x x x a a --⎰ 126.d x xa x ⎰=21ln (ln )x x x a a C a a -+ 127.d n x x a x ⎰=11d ln ln n x n x n x a x a x a a--⎰ 128.e sin d ax bx x ⎰=221e (sin cos )ax a bx b bx C a b-++ 129.e cos d ax bx x ⎰=221e (sin cos )ax b bx a bx C a b +++130.e sin d ax n bx x ⎰=12221e sin (sin cos )ax n bx a bx nb bx a b n--+ 22222(1)e s i n d a x n n n b b x x a b n--++⎰ 131.e cos d ax n bx x ⎰=12221e cos (cos sin )ax n bx a bx nb bx a b n-++ 22222(1)e c o s d a x n n n b b x x a b n--++⎰ (十四)含有对数函数的积分132.ln d x x ⎰=ln x x x C -+ 133.d ln x x x ⎰=ln ln x C + 134.ln d n x x x ⎰=111(ln )11n x x C n n +-+++ 135.(ln )d n x x ⎰=1(ln )(ln )d n n x x n x x --⎰ 136.(ln )d m n x x x ⎰=111(ln )(ln )d 11m n m n n x x x x x m m +--++⎰ (十五)含有双曲函数的积分137.sh d x x ⎰=ch x C + 138.ch d x x ⎰=sh x C + 139.th d x x ⎰=ln ch x C + 140.2sh d x x ⎰=1sh224x x C -++ 141.2ch d x x ⎰=1sh224x x C ++ (十六)定积分142.cos d nx x π-π⎰=sin d nx x π-π⎰=0 143.cos sin d mx nx x π-π⎰=0 144.cos cos d mx nx x π-π⎰=0,,m n m n ≠⎧⎨π=⎩145.sin sin d mx nx x π-π⎰=0,,m n m n ≠⎧⎨π=⎩ 146.0sin sin d mx nx x π⎰=0cos cos d mx nx x π⎰=0,,2m n m n ≠⎧⎪⎨π=⎪⎩ 147.n I =20sin d n x x π⎰=20cos d n x x π⎰n I =21n n I n -- 1342253n n n I n n --=⋅⋅⋅⋅- (n 为大于1的正奇数),1I =1 13312422n n n I n n --π=⋅⋅⋅⋅⋅- (n 为正偶数),0I =2π。
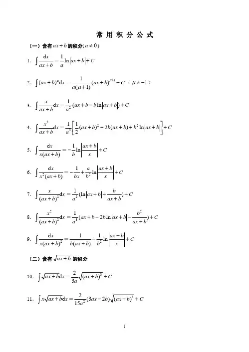
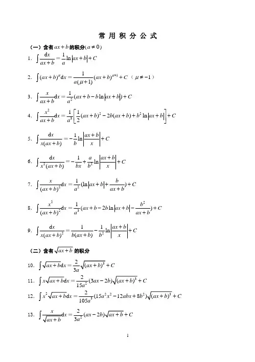
常用积分公式(一)含有的积分()1.=2.=()3.=4.=5.=6.=7.=8.=9.=(二)含有的积分10.=11.=12.=13.=14.=15.=16.=17.=18.=(三)含有的积分19.=20.=21.=(四)含有的积分22.=23.=24.=25.=26.=27.=28.=(五)含有的积分29.=30.=(六)含有的积分31.==32.=33.=34.=35.=36.=37.=41.=42.=43.=44.=(七)含有的积分45.==46.=47.=48.=49.=50.=51.=52.=53.=54.=55.=56.=57.=58.=(八)含有的积分59.=60.=61.=62.=63.=64.=65.=66.=67.=68.=69.=70.=71.=72.=(九)含有的积分73.=74.=75.=76.=77.=78.=(十)含有或的积分79.=(十一)含有三角函数的积分83.=84.=85.=86.=87.==88.==89.=90.=91.=92.=93.=94.=95.=96.=97.=98.=99.==100.=101.=102.=103.=104.=105.=106.=107.=108.=109.=110.=111.=112.=(十二)含有反三角函数的积分(其中) 113.=114.=115.=116.=117.=118.=119.=120.=121.=(十三)含有指数函数的积分125.=126.=127.=128.=129.=130.=131.=(十四)含有对数函数的积分132.=133.=134.=135.=136.=(十五)含有双曲函数的积分137.=138.=139.=140.=141.=(十六)定积分142.==0143.=0144.=145.=146.==147.===(为大于1的正奇数),=1(为正偶数),=换元积分法一、第一换元积分法(凑微分法).二、常用凑微分公式注: 以上使用的多为三角代换, 三角代换的目的是化掉根式, 其一般规律如下: 当被积函数中含有a)可令b) 可令c) 可令当有理分式函数中分母的阶较高时,常采用倒代换。