第一章 光电信息物理基础
- 格式:ppt
- 大小:1.12 MB
- 文档页数:62
第一章信息光学的物理基础1.1光是一种电磁波◆特定波段的电磁波光的波动性由大量的光的干涉、衍射和偏振现象和实验所证实,这是19世纪上半叶的 事.到了19世纪下半叶,麦克斯韦电磁场理论建立以后,光的电磁理论便随之诞生.光是一种特定波段的电磁波.可见光的波长A 在380~760 nm ,相应的光频按λ/c f =计算约为 1414104~108⨯⨯Hz 。
虽然齐整个电磁波增中光波仅占有一很窄的波段,它却对人类的生 命和生存、人类生活的进程和发展,有着巨大的作用和影响,还由于光在发射、传播和接收方面具有独特的性质,以致很久以来光学作为物理学的一个工要分支—直持续地皮勃发展着.◆主要的电磁性质光的电磁理论全面地揭示了光波的主要性质.现扼要分列如下,在以后的章节中不免时 有引用这其中的某些性质.(1)光扰动是—种电磁扰动.光扰动随时间变化和随空间分布的规律,遵从麦克斯韦电磁场方程组,这是普遍的麦充斯卡韦方程组在介质分区均匀空间中的表现形式.这里没有自由电荷,也没有传导电流,人们称其为自内空间.其中,ε是介质的相对介电常数、μ是介质的相对磁导率;),(t r E 表水电场强度矢量, ),(t r H 表示磁场强度矢量。
(2)光波是一种电磁波.由方程组(1.1)按矢量场论运算规则,推演出以下方程这里,2∇称为拉普拉斯算符,其运算功能在直角坐标系中表现为由此可见,(1.2)式正是波动方程的标准形式,这表明白由空间中交变电磁场的运动和变化具有波动形式,而形成电磁波.不论它是多么复杂的电磁波,具传播速度v 已被方程制约为由此获得真空中的电磁波速度公式为这里,00,με是两个可以由实验确定的常数,故真空电磁波速是一个恒定常数.按数据22120/1085.8m N C ⋅⨯=-ε,270/104A N -⨯=πμ,得真空电磁波速s m C /1038⨯=,如此巨大约波速惟有光速可以相比且惊人地相近.莫非光就是一种电磁波。
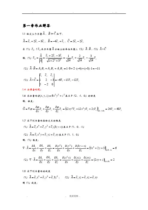
第一章作业解答1.1 给定三个矢量A ,B和C 如下:z y x e e e A 32-+=,z y e e B+-=4,y x e e C 25-=求(1)A e (A e表示矢量A 方向上的单位矢量);(2)B A ⋅;(3)C A ⨯解:(1)z y x z y x A e e e e e e A A e1431421413213222-+=++-+== (2)111)3()4(201-=⋅-+-⋅+⋅=++=⋅z z y y x x B A B A B A B A(3)z y x zy x e e e e e e C A 1215602 53 2 1 ---=--=⨯1.4 为课堂例题。
1.6 求标量场2226),,(z y x z y x +=ϕ在点P (2,-1,0)的梯度 解:梯度:()y x xy x z y x e e e z e y x e xy e ze y e x G482421212)0,1,2(22-=++=∂∂+∂∂+∂∂=∇=-ϕϕϕϕ1.7 求下列矢量场在给定点的散度(1))3(23x z e y e x e A z y x -++=在点P (1,0,-1)(2)xy e yz e y x e A z y x++=2在点P (1,1,0) 解:(1)散度:()6323)3()()()1,0,1(223=++=∂-∂+∂∂+∂∂=∂∂+∂∂+∂∂=⋅∇-y x zx z y y x x z A y A x A A z y x(2)()22)()()()0,1,1(2=+=∂∂+∂∂+∂∂=∂∂+∂∂+∂∂=⋅∇z xy zxy y yz x y x z A y A x A A z y x1.8 求下列矢量场的旋度(1)2223z e y e x e A z y x ++=; (2)xy e xz e yz e A z y x ++=解(1)旋度:)()()3()()()3(z 3222222222=⎥⎦⎤⎢⎣⎡∂∂-∂∂+⎥⎦⎤⎢⎣⎡∂∂-∂∂+⎥⎦⎤⎢⎣⎡∂∂-∂∂=∂∂∂∂∂∂=∂∂∂∂∂∂=⨯∇y x x y e x z z x e z y y z e y x z y x e e e A A A z y x e e e A z y x zy x z y x z y x(2)0)()()()()()(yz=⎥⎦⎤⎢⎣⎡∂∂-∂∂+⎥⎦⎤⎢⎣⎡∂∂-∂∂+⎥⎦⎤⎢⎣⎡∂∂-∂∂=∂∂∂∂∂∂=⨯∇y yz x xz e x xy z yz e z xz y xy e x xz y zy x e e e A z y x zy x第二章 习题答案高斯定理求解带电球面,带电球体,带电圆柱体及无限大均匀带电平面电荷分布,详见大学物理课本(教育上册P130-133)。
一、案例简介《光电信息的物理基础》是光电工程方向的基础性课程,和现代光学联系紧密,涵盖导波光学理论、量子物理、固体物理以及半导体物理等多门课程中基础性内容,偏重基础知识架构的建立,理论和实践的关联是学生学习积极性以及创新思维培养的关键。
本课程的“课程思政”教学以课程为基础,着眼于现代光学技术和现代科技进步的关联,发掘学科的人文元素,尊重历史,结合现实,强调世界科技面临的竞争,既不妄自菲薄,也不狂妄自大,以科学严谨的思维,帮助学生将自身专业发展和国家科技进步需求自觉融合。
作为课程开篇的重要内容,《光的认知和科技挑战》这个案例,从光学认知的感性认知和科学认知的历史进程,探讨我国从感性认知阶段的领先到科学认知阶段的相对滞后演化的进程,突出科学认知中导波光学理论、量子物理、固体物理以及半导体物理的内容,建立课程的整体框架。
进而以现代光学的进展和其在多个领域的广泛应用,并以光刻技术中突破衍射极限的spp技术为例,介绍现阶段我国应对科技挑战与课程内容的关联,试图建立学生的民族自信并激发学生积极投身我国科技进步的热情。
二、教学设计(一)教学内容《光电信息的物理基础》课程框架及现代光学的应用前景简介。
(二)教学设计教学对象:光电信息科学工程三年级本科生,完成了普通物理、电磁场与电磁波等课程的学习。
(1)引入:以手机中的光学技术引入课程与现代科技及产品的关联,指出光学是21 世纪科学与工程交叉的关键学科,强调以光为基础的工业应用改变了社会,以光为基础的技术越来越多的为全球挑战提供解决方案,包括太阳能利用,特别是能源、教育、农业和公共卫生等领域。
引入过程要有意识将光学技术进行分割切块,将隐含几何光学、物理光学、信息和现代光学理论的光学技术分块集中,为后续光学认知的内容埋下伏笔。
(2)勾连和巩固前修知识:在引入内容的基础上,提出光的认知问题。
以17世纪为分野,光的认知分为感性认知与科学认知的两大阶段。
以中国古籍记载,如《墨经》(光的直线传播)、《潜夫论》(光源)、《梦溪笔谈》(成像焦点)和苏轼关于海市蜃楼(光的折射)的诗句等,归纳出中国古人在直观体验的感性认知上是很有创造力的,突出中华古人具备科学探索的强大基因。