聚酰亚胺材料
- 格式:ppt
- 大小:4.85 MB
- 文档页数:99
聚酰亚胺( PI)聚酰亚胺是综合性能最佳的有机高分子材料之一,耐高温达 400℃以上,长期使用温度范围-200~300℃,无明显熔点,高绝缘性能,103 赫下介电常数4.0,介电损耗仅0.004~0.007,属F至H 级绝缘材料。
聚酰亚胺是指主链上含有酰亚胺环(-CO-NH-CO-)的一类聚合物,其中以含有酞酰亚胺结构的聚合物最为重要。
性能:1.外观淡黄色粉末2.弯曲强度(20℃) ≥170MPa3.密度 1.38~1.43g/cm34.冲击强度(无缺口) ≥28kJ/m25.拉伸强度≥100 MPa6.维卡软化点 >270℃7.吸水性(25℃,24h)8.伸长率 >120%钛酸钡分子式:BaTiO3 分子量:233.1922性状白色粉末熔点1625℃相对密度 6.017溶解性:溶于浓硫酸、盐酸及氢氟酸,不溶于热的稀硝酸、水和碱。
熔点:1625℃钛酸钡是一致性熔融化合物,其熔点为1618℃。
在此温度以下,1460℃以上结晶出来的钛酸钡属于非铁电的六方晶系6/mmm点群。
此时,六方晶系是稳定的。
在1460~130℃之间钛酸钡转变为立方钙钛矿型结构。
在此结构中Ti4+(钛离子)居于O2-(氧离子)构成的氧八面体中央,Ba2+(钡离子)则处于八个氧八面体围成的空隙中(见右图)。
此时的钛酸钡晶体结构对称性极高,因此无偶极矩产生,晶体无铁电性,也无压电性。
随着温度下降,晶体的对称性下降。
当温度下降到130℃时,钛酸钡发生顺电-铁电相变。
在130~5℃的温区内,钛酸钡为四方晶系4mm点群,具有显著地铁电性,其自发极化强度沿c轴方向,即[001]方向。
钛酸钡从立方晶系转变为四方晶系时,结构变化较小。
从晶胞来看,只是晶胞沿原立方晶系的一轴(c轴)拉长,而沿另两轴缩短。
当温度下降到5℃以下,在5~-90℃温区内,钛酸钡晶体转变成正交晶系mm2点群,此时晶体仍具有铁电性,其自发极化强度沿原立方晶胞的面对角线[011]方向。
一、聚酰亚胺材料及其应用(一)、聚酰亚胺材料概述聚酰亚胺是指分子主链中含有酰亚胺环的一类聚合物,刚性酰亚胺结构赋予了聚酰亚胺独特的性能,使他具有了很好的耐热性及优异的力学、电学等性能,且耐辐照、耐溶剂。
在高温下具备的卓越性能够与某些金属相媲美。
此外,它还具有优良的化学稳定性、坚韧性、耐磨性、阻燃性、电绝缘性以及其他机械性能。
(二、)聚酰亚胺材料的重要性聚酰亚胺(简称PI)是综合性能最佳的有机高分子材料之一,已被广泛应用在航空、航天、微电子、纳米、液晶、分离膜、激光等领域。
今年来,各国都将聚酰亚胺列为21世纪最有希望的工程塑料之一。
聚酰亚胺,因其在合成和性能方面的突出特点,不论是作为结构材料或是作为功能性材料,其巨大的应用前景已经得到了充分的认可,并认为没有聚酰亚胺就不会有今天的微电子技术。
(三)、聚酰亚胺材料的性能简介(1)、对于全芳聚酰亚胺,其分解温度一般都在500℃左右。
由联苯二酐和对笨二胺合成的聚酰亚胺,其热分解度达到600℃,是迄今聚合物中热稳定性最高的品种之一。
(2)、聚酰亚胺可耐极低温,如在—269℃液态氮中仍不会脆裂。
(3)、聚酰亚胺还具有很好的机械性能,抗张度均在100MPa以上,均苯型聚酰亚胺薄膜的抗张力强度为170MPa,而联苯型聚酰亚胺薄膜的抗张力度达到400MPa。
作为工程塑料,其弹性模量通常为3~4GMPa,而纤维的可达200GMPa。
(4)、一些聚酰亚胺品种不溶于有机溶剂,对烯酸稳定,一般的品种也不大耐水解,但可以利用碱性水解回收原料二酐和二胺。
(5)、聚酰亚胺的热膨胀系数非常高。
(6)、聚酰亚胺具有很高的耐辐照性能。
(7)、聚酰亚胺具有很好的介电性能。
(8)、聚酰亚胺为自熄性聚合物,发烟率低。
(9)、聚酰亚胺无毒。
一些聚酰亚胺还具有很好的生物相容性。
二、聚酰亚胺纤维芳香族聚酰亚胺(PI)纤维主要指由聚酰胺酸(PAA)或PI溶液纺制而成的高性能纤维。
PI纤维与PPTA纤维相比有更高的热稳定性、更高的弹性模量、低的吸水性、耐低温性能和辐射性能等。
聚酰亚胺是什么材料
聚酰亚胺是一种高性能工程塑料,具有优异的物理和化学性能,被广泛应用于
航空航天、汽车、电子、化工等领域。
聚酰亚胺具有高温稳定性、耐腐蚀性、机械强度高等特点,因此备受工程师和设计师的青睐。
首先,聚酰亚胺的化学结构决定了其优异的性能。
聚酰亚胺分子中含有酰亚胺
基团,这种特殊的结构使得聚酰亚胺具有优异的热稳定性和耐化学腐蚀性。
在高温下,聚酰亚胺仍然能够保持其原有的性能,不会发生软化或变形,因此被广泛应用于高温环境下的零部件制造。
此外,聚酰亚胺还具有优异的电性能,因此在电子领域也有着重要的应用价值。
其次,聚酰亚胺的机械性能也非常优异。
聚酰亚胺具有高强度和刚性,同时又
具有较高的韧性和抗疲劳性,因此在航空航天和汽车领域被广泛应用于制造结构件和功能件。
与此同时,聚酰亚胺还具有较低的摩擦系数和良好的自润滑性能,使得其在摩擦磨损领域也有着重要的应用。
此外,聚酰亚胺还具有良好的耐化学腐蚀性和耐老化性。
在化工领域,聚酰亚
胺被广泛应用于制造耐腐蚀设备和管道,能够有效地抵抗酸碱等腐蚀介质的侵蚀,保证设备的长期稳定运行。
同时,聚酰亚胺还具有良好的耐紫外线性能和耐气候老化性能,能够在恶劣的户外环境下长期使用。
总的来说,聚酰亚胺作为一种高性能工程塑料,具有优异的物理和化学性能,
被广泛应用于航空航天、汽车、电子、化工等领域。
其优异的热稳定性、机械性能、耐化学腐蚀性和耐老化性能,使得其在各个领域都有着重要的应用价值。
随着科技的不断进步,相信聚酰亚胺在更多领域将会有着更广泛的应用。
聚酰亚胺原料高分子材料中的多面手--聚酰亚胺,在国内已引起多家研究院校兴趣、部分企业也开始生产--我们自己的聚酰亚胺材料。
一、概述聚酰亚胺作为一种特种工程材料,已广泛应用在航空、航天、微电子、纳米、液晶、分离膜、激光等领域。
近来,各国都在将聚酰亚胺的研究、开发及利用列入21世纪最有希望的工程塑料之一。
聚酰亚胺,因其在性能和合成方面的突出特点,不论是作为结构材料或是作为功能性材料,其巨大的应用前景已经得到充分的认识,被称为是"解决问题的能手"(protion solver),并认为"没有聚酰亚胺就不会有今天的微电子技术"。
二、聚酰亚胺的性能1、全芳香聚酰亚胺按热重分析,其开始分解温度一般都在500℃左右。
由联苯二酐和对苯二胺合成的聚酰亚胺,热分解温度达到600℃,是迄今聚合物中热稳定性最高的品种之一。
2、聚酰亚胺可耐极低温,如在-269℃的液态氦中不会脆裂。
3、聚酰亚胺具有优良的机械性能,未填充的塑料的抗张强度都在100Mpa以上,均苯型聚酰亚胺的薄膜(Kapton)为170Mpa以上,而联苯型聚酰亚胺(UpilexS)达到400Mpa。
作为工程塑料,弹性膜量通常为3-4Gpa,纤维可达到200Gpa,据理论计算,均苯二酐和对苯二胺合成的纤维可达500Gpa,仅次于碳纤维。
4、一些聚酰亚胺品种不溶于有机溶剂,对稀酸稳定,一般的品种不大耐水解,这个看似缺点的性能却使聚酰亚胺有别于其他高性能聚合物的一个很大的特点,即可以利用碱性水解回收原料二酐和二胺,例如对于Kapton薄膜,其回收率可达80%-90%。
改变结构也可以得到相当耐水解的品种,如经得起120℃,500小时水煮。
5、聚酰亚胺的热膨胀系数在2×10-5-3×10-5℃,广成热塑性聚酰亚胺3×10-5℃,联苯型可达10-6℃,个别品种可达10-7℃。
6、聚酰亚胺具有很高的耐辐照性能,其薄膜在5×109rad快电子辐照后强度保持率为90%。
聚亚酰胺聚酰亚胺聚酰亚胺是综合性能最佳的有机高分子材料之一,耐高温达400℃以上,长期使用温度范围-200~300℃,无明显熔点,高绝缘性能,103 赫下介电常数4.0,介电损耗仅0.004~0.007,属F至H级绝缘材料概述聚酰亚胺:英文名Polyimide (简称PI)聚酰亚胺作为一种特种工程材料,已广泛应用在航空、航天、微电子、纳米、液晶、分离膜、激光等领域。
近来,各国都在将聚酰亚胺的研究、开发及利用列入21世纪最有希望的工程塑料之一。
聚酰亚胺,因其在性能和合成方面的突出特点,不论是作为结构材料或是作为功能性材料,其巨大的应用前景已经得到充分的认识,被称为是"解决问题的能手"(protion solver),并认为"没有聚酰亚胺就不会有今天的微电子技术"。
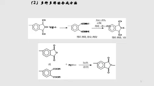
分类聚酰亚胺可分成缩聚型和加聚型两种。
(1)缩聚型聚酰亚胺缩聚型芳香族聚酰亚胺是由芳香族二元胺和芳香族二酐、芳香族四羧酸或芳香族四羧酸二烷酯反应而制得的。
由于缩聚型聚酰亚胺的合成反应是在诸如二甲基甲酰胺、N-甲基吡咯烷酮等高沸点质子惰性的溶剂中进行的,而聚酰亚胺复合材料通常是采用预浸料成型工艺,这些高沸点质子惰性的溶剂在预浸料制备过程中很难挥发干净,同时在聚酰胺酸环化(亚胺化)期间亦有挥发物放出,这就容易在复合材料制品中产生孔隙,难以得到高质量、没有孔隙的复合材料。
因此缩聚型聚酰亚胺已较少用作复合材料的基体树脂,主要用来制造聚酰亚胺薄膜和涂料。
(2)加聚型聚酰亚胺由于缩聚型聚酰亚胺具有如上所述的缺点,为克服这些缺点,相继开发出了加聚型聚酰亚胺。
目前获得广泛应用的主要有聚双马来酰亚胺和降冰片烯基封端聚酰亚胺。
通常这些树脂都是端部带有不饱和基团的低相对分子质量聚酰亚胺,应用时再通过不饱和端基进行聚合。
①聚双马来酰亚胺聚双马来酰亚胺是由顺丁烯二酸酐和芳香族二胺缩聚而成的。
它与聚酰亚胺相比,性能不差上下,但合成工艺简单,后加工容易,成本低,可以方便地制成各种复合材料制品。
聚酰亚胺的概念聚酰亚胺(Polyimide,简称PI)是一种具有优良综合性能和广泛应用前景的高性能聚合物材料。
它具有良好的高温稳定性、耐化学腐蚀性、良好的机械性能,是一种重要的高分子工程材料。
聚酰亚胺材料在化学结构上是以嵌段共聚物的形式存在,它由两种或多种不同的单体通过缩聚反应合成。
聚酰亚胺的主要链是由酰亚胺结构(Imide)组成的,这种结构具有高度的稳定性和热性能。
同时,聚酰亚胺的结构中还存在其他的官能团,如酰氨基(Amide)、酮基(Ketone)等,这些官能团赋予了聚酰亚胺良好的溶解性和加工性能。
由于聚酰亚胺材料具有出色的性能和广泛的应用前景,它已经被广泛应用于航空航天、电子、光学、生物医学、汽车等领域。
例如,在航空航天领域中,聚酰亚胺材料具有低比重、高机械强度、耐高温、耐腐蚀等特点,被广泛应用于飞机零件、导弹外壳、卫星结构等;在电子领域中,聚酰亚胺材料因具有优异的电气性能和低介电常数而被广泛应用于电子器件、印刷电路板等;在光学领域中,聚酰亚胺材料因具有低透射损失、低折射率等特点而被广泛应用于光学镜片、相机镜头等。
此外,聚酰亚胺材料还具有良好的耐化学腐蚀性和耐热性能,因此在化工设备、石油勘探等领域也有广泛应用。
聚酰亚胺材料的制备方法可以分为两种:一种是通过两种或多种不同的单体通过缩聚反应合成,这种方法适用于制备嵌段共聚物的聚酰亚胺材料;另一种是通过聚酰亚胺前驱体经热处理或化学改性等方法制备聚酰亚胺材料,这种方法适用于制备交联型聚酰亚胺材料。
两种方法各有优缺点,具体应根据需要选择合适的方法。
聚酰亚胺材料的性能受到多种因素的影响,如原料单体的选择、反应条件、聚合度等。
为了提高聚酰亚胺材料的性能,可以通过以下方法进行改性:一是通过引入不同的官能团对聚酰亚胺进行共聚或接枝改性;二是通过引入纳米颗粒等纳米填料对聚酰亚胺进行填充改性;三是通过交联等方法对聚酰亚胺进行固化改性。
这些方法可以改善聚酰亚胺材料的机械性能、热性能、耐化学腐蚀性等。
聚酰亚胺PEI详细介绍:聚酰亚胺情况介绍一、概述聚酰亚胺作为一种特种工程材料,已广泛应用在航空、航天、微电子、纳米、液晶、分离膜、激光等领域。
近来,各国都在将聚酰亚胺的研究、开发及利用列入21世纪最有希望的工程塑料之一。
聚酰亚胺,因其在性能和合成方面的突出特点,不论是作为结构材料或是作为功能性材料,其巨大的应用前景已经得到充分的认识,被称为是"解决问题的能手"(protion solver),并认为"没有聚酰亚胺就不会有今天的微电子技术"。
二、聚酰亚胺的性能1、全芳香聚酰亚胺按热重分析,其开始分解温度一般都在500℃左右。
由联苯二酐和对苯二胺合成的聚酰亚胺,热分解温度达到600℃,是迄今聚合物中热稳定性最高的品种之一。
2、聚酰亚胺可耐极低温,如在-269℃的液态氦中不会脆裂。
3、聚酰亚胺具有优良的机械性能,未填充的塑料的抗张强度都在100Mpa以上,均苯型聚酰亚胺的薄膜(Kapton)为170Mpa以上,而联苯型聚酰亚胺(Upilex S)达到400Mpa。
作为工程塑料,弹性膜量通常为3-4Gpa,纤维可达到200Gpa,据理论计算,均苯二酐和对苯二胺合成的纤维可达500Gpa,仅次于碳纤维。
4、一些聚酰亚胺品种不溶于有机溶剂,对稀酸稳定,一般的品种不大耐水解,这个看似缺点的性能却使聚酰亚胺有别于其他高性能聚合物的一个很大的特点,即可以利用碱性水解回收原料二酐和二胺,例如对于Kapton薄膜,其回收率可达80%-90%。
改变结构也可以得到相当耐水解的品种,如经得起120℃,500小时水煮。
5、聚酰亚胺的热膨胀系数在2×10-5-3×10-5℃,广成热塑性聚酰亚胺3×10-5℃,联苯型可达10-6℃,个别品种可达10-7℃。
6、聚酰亚胺具有很高的耐辐照性能,其薄膜在5×109rad快电子辐照后强度保持率为90%。
7、聚酰亚胺具有良好的介电性能,介电常数为3.4左右,引入氟,或将空气纳米尺寸分散在聚酰亚胺中,介电常数可以降到2.5左右。
聚酰亚胺材料在高温环境下性能研究随着现代科技的发展,高温环境下的材料性能研究成为当前材料领域研究的热点之一。
聚酰亚胺材料作为高性能材料之一,因其具有优异的高温稳定性和力学性能,而备受研究者的青睐。
本文将从聚酰亚胺材料的特点、高温环境下的性能以及未来发展等方面进行探讨。
一、聚酰亚胺材料的特点聚酰亚胺材料是一种高分子聚合物,因其分子内含有酰亚胺基团,故而得名。
作为高性能材料,它具有以下独特的特点:1. 高温稳定性强。
聚酰亚胺材料在高温环境下表现出良好的稳定性,尤其是耐氧化性和耐热性优异。
在高温环境下,聚酰亚胺材料热分解的温度较高,可达到400℃以上。
2. 强度高,刚度大。
聚酰亚胺材料具有优异的力学性能,高强度和高刚度使其在高温和高压的工作环境下具有较好的稳定性。
3. 耐腐蚀性好。
聚酰亚胺材料是一种化学惰性材料,具有优异的耐化学腐蚀性和电气绝缘性。
4. 易成型。
聚酰亚胺材料可以通过热压成型、注塑成型、挤出成型等方式制备成各种复杂的形状,具有广泛的应用前景。
二、高温环境下聚酰亚胺材料的性能1. 高温下聚酰亚胺材料的力学性能在高温环境下,材料的力学性能往往会受到不同程度的影响。
针对聚酰亚胺材料在高温下的力学性能,研究者们进行了大量深入的研究。
研究发现,在高温环境下,聚酰亚胺材料的弹性模量和屈服强度均表现为下降趋势,且弹性模量的降幅更大。
这是因为高温环境下,聚酰亚胺材料中的聚合物链会出现部分断裂和软化,导致其力学性能下降。
2. 高温下聚酰亚胺材料的热稳定性高温下,聚酰亚胺材料的热稳定性是其最为重要的性能之一。
研究表明,在高温环境下,聚酰亚胺材料往往会发生氧化反应和分解反应,导致其分子链的断裂和材料性能的退化。
因此,提高聚酰亚胺材料的热稳定性,成为当前研究的重点之一。
3. 高温下聚酰亚胺材料的导电性由于聚酰亚胺材料是一种绝缘材料,因此其导电性很差。
研究人员通过材料表面进行改性或添加导电剂等手段,提高了聚酰亚胺材料的导电性能。
聚酰亚胺的不足
聚酰亚胺是一种高性能的聚合物材料,具有许多优良的性能,如高绝缘性、高耐热性、低热膨胀系数等。
然而,它也存在一些不足之处:
1.成本高昂:聚酰亚胺的生产成本较高,因此价格较为昂贵,这限
制了它在一些领域的应用。
2.加工困难:聚酰亚胺的熔点较高,加工温度高,需要特殊的设备
和加工技术,这增加了它的加工难度和成本。
3.机械性能不足:聚酰亚胺的机械性能如拉伸强度、冲击强度和弯
曲模量等指标相对较低,限制了它在一些需要承受较大载荷的场合的应用。
4.稳定性差:聚酰亚胺在某些化学环境或高温环境中容易发生化学
反应或降解,导致性能下降。
5.生产过程中存在环境问题:聚酰亚胺在生产过程中可能会产生有
害的废料和废水,对环境造成一定的污染。
尽管存在这些不足之处,但聚酰亚胺在许多领域仍具有广泛的应用价值。
随着技术的不断进步和成本的降低,相信聚酰亚胺的应用前景将更加广阔。
聚酰亚胺概述聚酰亚胺(Polyimide,PI),是分子结构中含有酰亚胺环的一类高分子化合物,是目前工程塑料中耐热性最好的品种之一。
聚酰亚胺作为一种特种工程材料,已广泛应用在航空、航天、微电子、纳米、液晶、分离膜、激光等领域。
近年来各国都将聚酰亚胺作为最有希望的工程塑料之一进行研究、开发及利用。
聚酰亚胺最早出现是在1908年,Bogert和Renshaw以4-氨基邻苯二甲酸酐或4-氨基邻苯二甲酸二甲酯进行分子内缩聚反应制得了芳香族聚酰亚胺,但那时聚合物的本质还未被充分认识,所以没有受到重视,直到20世纪40年代中期才有了一些关于聚酰亚胺的专利出现。
20世纪50年代末期制得高分子量的芳族聚酰亚胺。
1955年,美国DuPont公司Edwards与Robison申请了世界上第一项有关聚酰亚胺在材料应用方面的专利。
1961年,DuPont公司采用芳香族二胺和芳香族二酐的缩合反应,用二步法工艺合成了聚均苯四甲酰亚胺薄膜(Kapton),并于1961年正式实现了聚酰亚胺的工业化。
1964年,开发生产聚均苯四甲酰亚胺模塑料(Vespel)。
1965年,公开报道该聚合物的薄膜和塑料。
继而,它的黏合剂、涂料、泡沫和纤维相继出现。
1969年,法国罗纳-普朗克公司(Rhone-Poulene)首先开发成功双马来酰亚胺预聚体(Kerimid 601),它是先进复合材料的理想基体树脂,该聚合物在固化时不产生副产物挥发性气体,容易成型加工,制品内部致密无气孔,但聚酰亚胺真正作为一种材料而实现商品化则是在20世纪60年代。
1.聚酰亚胺的分子结构与性能(1)聚酰亚胺的分子结构聚酰亚胺由含二胺和二酐的化合物经逐步聚合制备,二胺和二酐的结构不同,可制备一系列不同结构和性能的聚酰亚胺。
结构简式如下:聚酰亚胺的主链重复结构单元中含酰亚胺基团,芳环中的碳和氧以双键相连,芳杂环产生共轭效应,这些都增强了主键键能和分子间作用力。
聚酰亚胺分子由于具有十分稳定的芳杂环结构,分子规整、对称性强,有利于结晶,且分子堆积密度高,分子间距离小,分子链刚性大,因此体现出其他高分子材料所无法比拟的优异性能。
聚酰亚胺材料
聚酰亚胺(PI)是一种高性能工程塑料,具有优异的耐热性、耐化学腐蚀性和
机械性能,因此在航空航天、电子、汽车等领域得到广泛应用。
聚酰亚胺材料以其优越的性能成为各行业研究的热点之一。
首先,聚酰亚胺材料具有出色的耐热性能。
它的热变形温度高达300℃以上,
甚至可达400℃,在高温环境下依然能保持较好的力学性能,因此被广泛应用于航
空航天领域,如制造发动机零部件、航天器结构件等。
其次,聚酰亚胺材料具有优异的耐化学腐蚀性能。
它能够抵抗酸碱、有机溶剂
等化学腐蚀,因此被广泛应用于化工领域,如制造化工管道、阀门等设备。
此外,聚酰亚胺材料还具有良好的机械性能。
它的拉伸强度和弹性模量均较高,具有优秀的抗拉伸、抗压缩性能,因此被广泛应用于汽车领域,如制造汽车发动机零部件、传动系统零部件等。
总的来说,聚酰亚胺材料以其出色的耐热性、耐化学腐蚀性和机械性能,成为
各行业研究的热点之一,未来在新能源、新材料等领域有着广阔的应用前景。