律师公司收购业务尽职调查工作底稿规范模板
- 格式:doc
- 大小:32.00 KB
- 文档页数:13
律师公司收购业务尽职调查工作底稿规范 Document number【AA80KGB-AA98YT-AAT8CB-2A6UT-A18GG】律师公司收购业务尽职调查工作底稿规范一、工作底稿的目的?1.1随着公司经营发展的需要,收购方式已成为公司实现扩张的重要手段。
而收购过程中触及收购方及被收购方在诸多方面的权利义务。
收购过程中所签合同的法律效力,收购对象的主体资格、经营资质的合法有效性,收购价格的定价依据及其合理性,收购过程中或有的法律风险,收购完成后依约合理接管被收购公司,收购款项的支付及其方式等等均是收购双方所关注的核心问题。
1.2收购过程中对双方资产法律状况的调查、交易模式的架构及收购协议的起草是收购双方委托律师参与并提供咨询意见的主要工作内容。
1.3在收购过程中,律师为客户提供的服务旨在协助客户了解收购对方、收购对象在法律主体资格、经营状况、资产状况等方面的客观情况,发现可能存在的法律风险,便于客户在此基础上了解收购对方的资信状况、判断收购对象的商业价值。
因此律师的服务是建立在了解客户所要求的服务的客观情况的基础上,而这种客观情况是需要通过严谨的调查所获得的证据材料来确认的。
因此,律师的尽职调查是为客户的收购行为提供服务的基本方法与基础工作。
1.4律师在尽职调查中形成的工作底稿,将是支持律师尽职调查基本结论的重要依据。
尽职调查工作底稿能够反映律师的工作过程,支持结论所必须的证据,律师工作的推理逻辑过程。
1.5律师尽职调查工作底稿将为律师尽职调查的准确性提供质量保证,也反映律师在工作中的勤勉尽责。
1.6律师协会将依据律师的工作底稿,从行业监督角度检查律师及其所在律师事务所的工作质量;在律师及所在律所因律师工作出现纠纷时,律师协会将依据律师的工作底稿确认律师是否确实尽到勤勉尽职义务;并进而确认该律师是否应负相应责任;为律师提供保险服务的保险机构也可以参照本规范,来判断律师是否应当承担职业责任并给予理赔。
律师尽职调查报告模板导言尽职调查范围与宗旨有关××公司的律师尽职调查,是由本所根据aa股份有限公司( 'aa' )的委托,基于aa和××的股东于××年××月×× 日签订的《股权转让意向书》第××条和第××条的安排,在本所尽职调查律师提交给××公司的尽职调查清单中所列问题的基础上进行的。
简称与定义在本报告中,除非根据上下文应另做解释,否则下列简称和术语具有以下含义(为方便阅读,下列简称和术语按其第一个字拼音字母的先后顺序排列):“本报告” 指由××律师事务所于××年××月××日出具的关于××公司之律师尽职调查报告。
“本所” 指××律师事务所。
“本所律师”或“我们”指××律师事务所法律尽职调查律师。
'××公司” 指××公司,一家在××省××市工商行政管理局登记成立的公司,注册号为bbbbbbbbbb。
本报告所使用的简称、定义、目录以及各部分的标题仅供查阅方便之用;除非根据上下文应另做解释,所有关于参见某部分的提示均指本报告中的某一部分。
方法与限制本次尽职调查所采用的基本方法如下:审阅文件、资料与信息;与××公司有关公司人员会面和交谈;向××公司询证;参阅其他中介机构尽职调查小组的信息;考虑相关法律、政策、程序及实际操作;本报告基于下述假设:所有××公司提交给我们的文件均是真实的,所有提交文件的复印件与其原件均是一致的;所有××公司提交给我们的文件均由相关当事方合法授权、签署和递交;所有××公司提交给我们的文件上的签字、印章均是真实的;所有××公司对我们做出的有关事实的阐述、声明、保证(无论是书面的还是口头做出的)均为真实、准确和可靠的;所有××公司提交给我们的文件当中若明确表示其受中国法律以外其他法律管辖的,则其在该管辖法律下有效并被约束;描述或引用法律问题时涉及的事实、信息和数据是截至××年××月××日××公司提供给我们的受限于前述规定的有效的事实和数据;及我们会在尽职调查之后,根据本所与贵公司签署之委托合同的约定,按照贵公司的指示,根据具体情况对某些事项进行跟踪核实和确认,但不保证在尽职调查之后某些情况是否会发生变化。
XX律师事务所关于有限公司在全国中小企业股份转让系统挂牌项目之尽职调查工作底稿开始制作时间:年月日结束制作时间:年月日致公司:敬启者本资料清单所涉及材料应由贵公司向我所提供。
贵公司提供下述的资料应真实、准确、完整、及时,尤其要确保所披露的财务会计资料有充分的依据。
有的资料若无现成的可提供,请尽快收集、整理和撰写,力求详尽完整。
所有重要的文件请注明来源并加盖公司章或部门章。
为提高工作效率,在提供文字材料的同时,请尽可能提交电子版本。
贵公司应保证所提供的资料及其摘要内容的真实性、准确性、完整性,承诺其中不存在虚假记载、误导性陈述或重大遗漏,并就其保证承担个别和连带的法律责任。
XX律师事务所年月日承诺保证书XX律师事务所:XX有限公司(以下简称“我公司”)委托贵所为我公司的股票进入全国中小企业股份转让系统挂牌工作进行法律审查并出具法律意见书。
为使贵所律师工作顺利进行,我公司对贵所作出如下承诺保证:一、我公司为依法成立的有限/股份有限公司,自设立以来依法从事经营活动。
我公司实际经营的业务与营业执照上所列的经营范围相一致。
二、我公司向贵所提供的文件材料是真实的、准确的和完整的。
我公司向贵所提供的材料中的复印件与原件是完全一致的。
上述文件材料上的签名和盖章均是真实的。
三、我公司不存在尚未了结的或可预见的重大诉讼、仲裁或行政处罚案件。
四、除了已提交的文件材料外,我公司没有应向贵所提供而未提供的任何有关重要文件材料,也没有应向贵所披露而未披露的任何重要事实。
五、我公司的企业行为严格按照《公司法》和国家有关部门的规定执行。
六、我公司向贵所提供的文件材料与其上报的文件材料是完全一致的。
七、我公司金额较大的应收、应付款是因正常的生产经营活动发生,合法有效。
八、我公司与其关联方的关联交易属正常的生产经营活动需要,我公司的关联交易不存在损害小股东利益的情形。
九、我公司股东之间及股东与我公司之间不存在股权纠纷的情形。
十、我公司股东持有的我公司股份目前不存在质押的情形。
公司收购(股权转让)法律尽职调查报告(律师专业版)目录第一部分前言第二部分正文第三部分尽职调查结论及风险提示第四部分声明第五部分附件xxxxx:xxx律师事务所接受贵公司委托,根据与贵公司签订的《股权收购尽职调查专项法律服务合同》,就贵公司拟实施的xxxxx股权收购项目(以下简称“收购项目”)进行法律尽职调查。
第一部分前言一、目的本报告的目的,主要在于通过对目标公司尽量全面地做出法律方面的分析和建议,以帮助贵公司针对收购项目作出决策。
二、名称与释义在本报告中,除非根据上下文应另做解释,否则下列名称具有以下含义:“本报告”:指由xxx律师事务所出具的《xxx律师事务所关于xxxxx股权收购项目法律尽职调查报告》。
“本所”:指xxx律师事务所。
“本所律师”或“我们”:指xxx律师事务所本次尽职调查的经办律师。
“目标公司”或“公司”:指xxxxx。
“转让方”或“xxx公司”:指成都xxx健康管理有限公司。
“目标公司子公司”或“xxxxxx公司”或“xxx公司”:指成都武侯xxxxxx有限公司“租赁房屋”或“房屋”:指xxx出租给目标公司的、位于“xxxxx”的房屋。
三、报告前提及假设出具本报告,本所基于以下前提、条件、假设及理解:1、目标公司(含其股东、子公司、法定代表人、员工、授权代表)向我们提供的文件资料是真实和准确的,其复印件与原件一致,没有重大误导或隐瞒;且自提供该等文件之日起- 4 -直至本报告书基准日为止,该等文件均保持完全的效力,并未被替代、修改、补充或撤销;2、所有目标公司提交给我们的文件上的签字、印章均是真实的;3、所有目标公司对我们做出的有关事实的阐述、声明、保证(无论是书面还是口头做出的)均为真实、准确和可靠的,没有重大遗漏、误导或隐瞒,且自获得之日起直至本报告调查日该等信息均保持完全的效力。
4、所有目标公司提交给我们的文件当中若明确表示其受中国法律以外其他法律管辖的,则其在该管辖法律下有效并被约束。
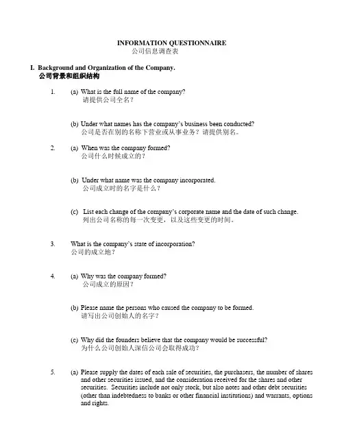
INFORMATION QUESTIONNAIRE公司信息调查表I. Background and Organization of the Company.公司背景和组织结构1. (a) What is the full name of the company?请提供公司全名?(b) Under what names has the company’s business been conducted?公司是否在别的名称下营业或从事业务?请提供别名。
2. (a) When was the company formed?公司什么时候成立的?(b) Under what name was the company incorporated.公司成立时的名字是什么?(c) List each change of the company’s corporate name and the date of such c hange.列出公司名称的每一次变更,以及这些变更的时间。
3. What is the company’s state of incorporation?公司的成立地?4. (a) Why was the company formed?公司成立的原因?(b) Please name the persons who caused the company to be formed.请写出公司创始人的名字?(c) Why did the founders believe that the company would be successful?为什么公司创始人深信公司会取得成功?5. (a) Please supply the dates of each sale of securities, the purchasers, the number of sharesand other securities issued, and the consideration received for the shares and othersecurities. Securities include not only stock, but also notes and other debt securities(other than indebtedness to banks or other financial institutions) and warrants, optionsand rights.请提供每一个有价证券销售的日期,购买者,证券数量和发行的其它有价证券,以及收到的股票和其它有价证券的对价。
公司股权收购尽职调查方案模板-知名律所权威版公司股权收购尽职调查方案模板注:本文档为公司股权收购尽职调查方案模板,供参考使用。
具体情况需根据实际情况进行定制化调整。
一、调查对象(1)公司基本情况:公司注册资本情况、公司历史沿革、公司主要业务和收入构成、公司经营状况等;(2)股东情况:包括股权占比、实际控制人情况、股东间关联关系等;(3)高管情况:包括高管层设置、高管层薪酬情况、高管层绩效情况等;(4)业务情况:包括产品和服务形态、市场营销情况、销售渠道情况、较为重要的合同关系、关键客户和供应商关系等。
二、调查方式(1)公司调查:通过查阅公司工商档案、财务报表、税务证明等公司行政形式的文件,并进行多方面调查和了解;(2)经营调查:与公司主要业务相关的,包括市场调查、客户调查、供应商调查等;(3)法律调查:核查公司合法经营的授权情况、相关专利和商标的注册情况、公司法定代表人、高管层人员和员工的劳动合同、离职协议等法律文件的有效性及合规性;(4)财务调查:对公司财务状况进行全面审核,包括查阅财务报表、经营成本、费用支出、应收账款、对付账款,与银行沟通对公司的贷款情况进行核查;(5)税务调查:对公司纳税状况进行核查,包括缴税情况、税务处理结果等。
三、调查范围(1)财务范围:包括公司会计师出具的财务报表、财务情况等;(2)管理范围:重点是近几年的公司经营业绩情况、管理体系的能力、信息披露等情况;(3)法律范围:包括公司经营相关的法律文件、合同和协议、知识产权相关的知识产权文件、保险文件和其他重要的法律文件;(4)商业范围:包括公司的客户和供应商情况、公司的合约情况、关联方的交易情况等。
四、调查结果(1)财务方面:调查公司的财务状况是否良好,是否存在关联交易,是否有虚构或者隐瞒帐务、财务造假行为;(2)管理方面:调查公司管理层的素质水平、管理理念、管理能力、管理历史记录等情况;(3)法律方面:调查公司的经营许可证、股东协议等法律文件的合法性,核实公司的知识产权相关文件等;(4)商业方面:调查公司客户和供应商的情况是否稳定,调查大客户、大供应商的情况,排除存在的合同纠纷隐患。
【实习报告】在律师在进行尽职调查时,需要根据调查内容写好相关的调查报告,那么调查报告应该怎么写呢?下面就和一起来看看吧。
律师尽职调查报告模板【一】________律师事务所关于________公司法律尽职调查报告目录序言一、主体资格二、历史沿革三、股东及实际控制人四、独立性五、业务六、关联交易及同业竞争七、主要资产八、科研九、重大债权债务十、公司章程十一、股东会、董事会、监事会十二、董事、监事及高级管理人员十三、税务十四、劳动人事、劳动安全等十五、诉讼、仲裁或行政处罚十六、其他序言致________公司根据《关于____公司改制及首次公开发行股票并上市的法律顾问聘请协议》,______律师事务所(以下简称“本所”)作为______有限公司(以下简称“______公司”)改制上市的专项法律顾问。
本所指派____律师、____律师作为本次公开发行的具体经办律师。
本所根据《中华人民共和国公司法》(以下简称“《公司法》”)、《中华人民共和国证券法》(以下简称“《证券法》”)、《中华人民共和国合同法》(以下简称“《合同法》”)等法律、法规的有关规定,按照律师行业公认的业务标准、道德规范和勤勉尽责精神,出具本《法律尽职调查报告》。
______年____月____日,本所律师向________公司发送了《________律师事务所关于________公司改制上市尽职调查清单》,收集并审查了本所律师认为出具本《法律尽职调查报告》所必需的资料和文件;为了进一步核实情况,本所律师前往公司的生产车间、仓库进行了实地考察、查验;就相关问题与贵公司有关部门负责人、员工进行交流;并前往工商、税务、劳动、环保等政府部门了解和查询情况;参阅其他中介机构尽职调查小组的信息;遵守相关法律、政策、程序及实际操作。
______年____月____日,贵公司签订了《________公司保证书》,就公司及相关各方提供的文件、资料和所做的陈述,本所律师已得到公司的如下保证本公司所提供的所有文件及口头或书面声明、阐述、保证、说明均是真实、准确和完整的,不存在任何虚假记载、误导性陈述或重大遗漏,有关文件上的签字、印章均是真实、有效的,所提交的副本或复印件均与原件或正本一致。
律所关于公司的尽职调查报告模板XXX律师事务所关于XXX有限公司之尽职调查报告目录:前言 3第一部分调查报告目的 3第二部分释义 3第三部分主要工作 3第五部分对于本调查报告的使用 4正文 4第一部分尽职调查问题汇总以及分析建议 4 (一)公司资产与负债 4(二)现金流 4(三)或有债务 4(四)供应商债务(应付款) 5(五)职工工资 5第二部分公司概述 5第三部分公司历史沿革 6一、公司基本情况 6二、公司登记及变更情况 6第四部分公司的主要资产情况 6 (一)总资产 6(二)固定资产 7第五部分公司的主要负债情况 7负债情况 7第六部分公司生产所需的证、照情况 7 第七部分公司的经营情况 7(一)公司运营情况简表 8 (二)、简要分析 8结尾 8第一部分律所声明 8第二部分出具日期 9第三部分正本分数 9附件:本司收到的材料清单汇总 9关于XXX有限公司之尽职调查报告敬启者:XXX律师事务所接受贵公司委托,就贵公司XX事宜,对XXX有限公司进行尽职调查,并出具本尽职调查报告,供贵司决策、参考。
本调查报告共计【】页前言第一部分调查报告目的本尽职调查报告专项用于企业XX之用。
未经本公司书面同意,委托人不得将本尽职调查报告或者本报告内容告知其他任何单位、个人。
第二部分释义1、本单位:XXXXX律师事务所2、目标公司:XXX有限公司3、章程:为“《XXX有限公司章程》及修正案”的统称4、元:人民币元第三部分主要工作本次尽职调查过程中,本公司完成了如下工作:审查目标公司提供的材料;找出目标公司现在存在的问题;提出对目标公司有针对性的建议;4、列举本公司获得的文件清单。
第四部分调查报告结构本尽职调查报告分为前言、正文及结论三个部分。
前言部分主要介绍调查目的、调查范围;在正文部分,本公司就XX公司的发展历程、基本情况、登记变更情况、资产情况(对外债权、房屋、土地及建设工程情况、知识产权、生产所需的证照完整性等)、负债情况(应收账款)、或有负债、经营情况的等方面逐项进行事实的整理与法律分析,预测公司潜在的风险。
律师尽职调查报告范本尊敬的先生/女士:根据您的委托,本律师事务所已对涉及本案的相关事实进行了详尽的调查。
现将调查报告提供给您,以供参考。
调查目的:本次调查的主要目的是为了收集、整理和分析与案件有关的相关证据和信息,以便为您提供全面的法律建议和保护利益的意见。
1. 背景介绍对于本案,我们首先对背景进行了全面的了解。
根据我们所获得的信息,涉及双方是某公司(以下简称“甲方”)与另一公司(以下简称“乙方”)的合作关系纠纷。
2. 调查范围我们的调查主要集中在以下几个方面:- 合同和协议的分析:我们详细研究了甲方与乙方之间签订的合同和协议,包括合同的有效性、内容及约定条款。
- 相关证据的收集:我们尽力收集了与本案有关的各类证据,其中包括书面文件、电子邮件、通信记录、合同副本等。
- 相关人员的调查:我们采访了与本案有关的各方相关人员,以了解他们的观点、立场和所知之事。
- 法律法规的分析:我们对本案所涉及的法律法规进行了仔细研究和分析,以便为您提供具体的法律意见。
3. 调查结果与分析基于上述调查范围,我们得出以下结果和分析:(在这里,您可以根据实际情况提供详细的调查结果和分析。
比如,您可以讨论合同的有效性、各方当事人的责任和义务、证据的可信度等等。
请注意,这部分的分析应基于客观事实和适用法律进行)4. 法律建议根据上述调查结果和分析,我们向您提供建议如下:(在这里,您可以根据实际情况提供具体的法律建议,例如继续采取法律行动的建议、与对方协商解决争议的建议等等)5. 结论基于我们的调查和分析,我们的结论如下:(在这里,您可以对本案的信息进行总结,并明确得出您的结论,以及对可能的结果和后续步骤的预测。
请确保结论明确、有条理,并与案件的实际情况相一致)免责声明:请注意,本调查报告仅基于我们所获得的证据和信息,且仅限于您所提供的范围。
本报告不能被视为法律意见的替代品。
在考虑下一步行动之前,请您咨询您的律师以获取适用于您个人情况的法律建议。
律师尽职调查报告范本6篇(经典版)编制人:__________________审核人:__________________审批人:__________________编制单位:__________________编制时间:____年____月____日序言下载提示:该文档是本店铺精心编制而成的,希望大家下载后,能够帮助大家解决实际问题。
文档下载后可定制修改,请根据实际需要进行调整和使用,谢谢!并且,本店铺为大家提供各种类型的经典范文,如工作总结、工作计划、报告大全、心得体会、条据书信、合同协议、演讲稿、自我鉴定、其他范文等等,想了解不同范文格式和写法,敬请关注!Download tips: This document is carefully compiled by this editor.I hope that after you download it, it can help you solve practical problems. The document can be customized and modified after downloading, please adjust and use it according to actual needs, thank you!In addition, this shop provides you with various types of classic sample essays, such as work summary, work plan, report book, experience and experience, letter of agreement, contract agreement, speech draft, self-assessment, other sample essays, etc. I would like to know the different format And how to write, stay tuned!律师尽职调查报告范本6篇下面是本店铺收集的律师尽职调查报告范本6篇尽职调查报告几个律师,供大家参阅。
律所企业尽职调查报告范文一、调查目标本次调查的目标为一家律所企业,旨在对其进行全面的尽职调查,以了解其经营状况、管理制度、法律风险以及潜在的合规问题等。
通过对律所企业的调查,可以为投资者、合作伙伴和相关利益相关者提供有关该企业的全面了解,为决策提供参考依据。
二、调查方法1.文件调查:通过收集和分析律所企业的各种文件,如公司章程、合同文件、法律顾问报告等,了解企业的组织结构、经营范围、法律风险等情况。
2.实地访谈:与律所企业的相关人员进行面对面的访谈,包括高级管理人员、律师、合作伙伴等,以深入了解企业的运营情况、管理制度、法律合规性等方面的问题。
3.数据分析:通过对律所企业的财务数据、业绩数据等进行统计和分析,了解企业的财务状况、经营状况等情况。
三、调查结果1.律所企业的组织结构合理,管理层稳定,具备一定的运营能力和专业水平。
2.律所企业的法律服务范围广泛,涉及民事、商事、刑事等多个领域,为客户提供全面的法律服务。
3.律所企业与多家机构和企业有合作关系,拥有一定的客户资源和合作伙伴。
4.律所企业的财务状况良好,具备良好的盈利能力和偿债能力。
5.律所企业在管理制度、内部控制方面存在一些问题,需要加强管理和监督。
6.律所企业在法律合规方面存在一定的风险,需要加强对法律法规的学习和遵守。
四、风险评估和建议1.风险评估:根据调查结果,律所企业存在一定的管理和合规风险,需要引起重视。
2.建议:(1)加强内部管理:律所企业应建立健全的内部管理制度,明确各项职责和权限,加强对律师和员工的培训和管理。
(2)加强法律合规:律所企业应加强对法律法规的学习和遵守,建立合规风险防控机制,确保企业的合法经营。
(3)加强信息安全:律所企业应加强对客户信息的保护,建立信息安全管理制度,防止信息泄露和滥用。
(4)增加合作伙伴:律所企业可以考虑与其他相关机构或企业建立更紧密的合作关系,扩大客户资源和市场份额。
五、总结通过对律所企业的尽职调查,我们对其经营状况、管理制度、法律风险等方面有了较为全面的了解。
一、并购中的尽职调查律师操作指引 (1)二、收购有限责任公司业务操作指引 (8)三、资产重组与并购法律业务执业风险提示 (27)一、并购中的尽职调查律师操作指引(一)引言(1)为充分发挥律师在企业并购中从法律上发现风险、判断风险、评估风险的独特作用,引导律师高效、高质地完成企业并购的尽职调查,依据《中华人民共和国律师法》、《律师职业道德和执业纪律规范》和相关法律、法规、规范性文件的规定及律师行业公认的律师执业准则、惯例制定本指引。
(2)本指引是为了规范律师事务所和律师从事企业并购之尽职调查法律业务的执业行为,保证尽职调查的质量、效率,并明确执业责任。
(二)基本规范(1)律师应当严格遵守法律、法规及规范性文件的规定,遵守律师执业道德和执业规范,诚实守信、勤免尽职、审慎严谨。
(2)律师应严守所知悉的委托人、目标企业及执业中所知悉的其他相关方的商业秘密,并不得利用所知悉的商业秘密为律师本人、律师事务所及其他人谋取利益。
(3)律师从事企业并购的尽职调查法律业务应当具备相应服务的专业能力,包括必备的法律专业素质及企业并购运作、财务会计、企业管理、劳动人事等方面的基础知识。
(4)律师从事企业并购的尽职调查法律业务应当在委托人授权范围内依照本指引的要求,不受其他单位或个人的影响和干预,独立工作,维护委托人的合法权益。
(5)律师事务所接受委托后应指派具备要求的律师承办,实习律师(含助理律师或律师助理或其他辅助人员)不得独立承办,但可协助律师完成相关的工作。
(6)律师从事尽职调查法律业务,不得有下列行为:①严禁建议或协助委托人或目标企业从事违法活动或实施虚构事实的行为,只能对委托人要求解决的法律问题进行法律分析和评估,并提出合法的解决方案。
②严禁亲自及协助或诱导委托人弄虚作假,伪造、变造文件、资料、证明等。
③严禁向委托人及监管、审批机构等提供律师经合理谨慎判断怀疑是伪造或虚假的文件、资料、证明等。
(7)对于委托人要求提供违反法律、法规、规范性文件及律师职业道德和执业纪律的服务,律师事务所及律师应当拒绝并向委托人说明情况。
律师尽职调查报告范例尽职调查报告是由中介机构在企业的配合下,对企业的历史数据和文档、管理人员的背景、市场风险、管理风险、技术风险和资金风险做全面深入的审核,多发生在企业公开发行股票上市和企业收购。
下面是律师尽职调查报告范例,欢迎参考阅读!篇一:北京XX律师事务所尽职调查报告北京中关村发展集团股份有限公司:北京XX律师事务所接受集团委托,为集团拟对XX有限公司进行投资之目的,对XX进行法律尽职调查工作。
现本所按照律师行业公认的业务标准、道德规范和勤勉尽责精神,向集团出具本尽职调查报告。
在本报告中,除非根据上下文应另作解释,否则下列简称和术语具有以下含义:“集团”指XX有限公司“本所及本所律师”指北京XX律师事务所及本次法律尽职调查律师“本报告”指本所于XX年XX月XX日出具的《关于对XX有限公司的法律尽职调查报告》“深圳市国资委”深圳市人民政府国有资产监督管理委员会“国家知识产权局”指中华人民共和国国家知识产权局“国家商标局”指中华人民共和国国家工商行政管理局商标局“国家版权局”指中华人民共和国国家版权局“北京市工商局”指深圳市工商行政管理局“工商登记材料”指登记于深圳市工商局的有关XX的资料“元”指本报告中,如无特别说明,均为人民币元本报告所使用的简称、定义、目录以及各部分的标题仅供查阅方便之用。
本次尽职调查所采用的基本方法如下:·审阅文件、资料与信息;·与公司相关管理人员及工作人员进行交谈;·向工商、知识产权等部门或其官方网进行查询、核实;·查阅了国家有关法律、行政法规、北京市以及其他省市的地方法规规章·参阅其他中介机构尽职调查小组的信息。
本所对XX的基本情况、主要历史沿革、股东、下属公司、业务和主要产品、主要资产、重大合同、关联交易、治理结构、员工和社会保险等法律问题进行了审查、研究和验证。
为出具本报告之目的,本所就XX向本所出示及提供的全部文件、资料和信息以及本所从相关政府职能部门和第三方获取的资料、文件和信息等作如下假定:1、全部文件、资料和信息是全面的、完整的和真实的,不存在隐瞒、虚假、篡改或误导的情况。
律师公司收购业务尽职调查工作底稿
规范
律师公司收购业务尽职调查工作底稿规范
一、工作底稿的目的
1.1 随着公司经营发展的需要, 收购方式已成为公司实现扩张的重要手段。
而收购过程中触及收购方及被收购方在诸多方面的权利义务。
收购过程中所签合同的法律效力, 收购对象的主体资格、经营资质的合法有效性, 收购价格的定价依据及其合理性, 收购过程中或有的法律风险, 收购完成后依约合理接管被收购公司, 收购款项的支付及其方式等等均是收购双方所关注的核心问题。
1.2 收购过程中对双方资产法律状况的调查、交易模式的架构及收购协议的起草是收购双方委托律师参与并提供咨询意见的主要工作内容。
1.3 在收购过程中, 律师为客户提供的服务旨在协助客户了解收购对方、收购对象在法律主体资格、经营状况、资产状况等方面的客观情况, 发现可能存在的法律风险, 便于客户在此基础上了解收购对方的资信状况、判断收购对象的商业价值。
因此律师的服务是建立在了解客户所要求的服务的客观情况的基础上, 而这种客观情况是需要经过严谨的调查所获得的证据材料来确认的。
因此, 律师的尽职调查是为客户的收购行为提供服务的基本方法与基础工作。
1.4 律师在尽职调查中形成的工作底稿, 将是支持律师尽职调查基本结论的重要依据。
尽职调查工作底稿能够反映律师的工
作过程, 支持结论所必须的证据, 律师工作的推理逻辑过程。
1.5 律师尽职调查工作底稿将为律师尽职调查的准确性提供质量保证, 也反映律师在工作中的勤勉尽责。
1.6 律师协会将依据律师的工作底稿, 从行业监督角度检查律师及其所在律师事务所的工作质量; 在律师及所在律所因律师工作出现纠纷时, 律师协会将依据律师的工作底稿确认律师是否确实尽到勤勉尽职义务; 并进而确认该律师是否应负相应责任; 为律师提供保险服务的保险机构也能够参照本规范, 来判断律师是否应当承担职业责任并给予理赔。
法院、仲裁机构在审理律师及其所在律师事务所因提供公司收购方面业务服务而产生的纠纷时, 能够参考本规范来判断律师及其所在律师事务所是否应当承担相应的责任。
1.7 本规范只是一个建议性的规范文件, 用以指导律师及其所在律师事务所在公司收购业务中尽职调查工作底稿的制作。
律师及其律师事务所若未按本规范制作工作底稿, 并不导致律师及其律师事务所必然受到处罚或承担相应责任。
二、工作底稿的基本要求
2.1 律师工作底稿反映了律师尽职调查的工作内容与工作过程, 并为律师得出的尽职调查结论提供支持性材料。
2.2 律师工作底稿能反映律师在尽职调查过程中是否遵守律师的职业操守是否按照中国的法律、法规、行业的标准以及客户的
要求勤勉尽责任地完成尽职调查工作。
2.3 工作底稿的管理工作由与客户订立委托合同的律师事务所负责。
工作底稿的所有权属于该律师事务所。
律师事务所应当在律师协会、司法行政部门、相关的政府机构要求时提供工作底稿供上述机构检查。
律师事务所在接受检查时, 有权要求上述机构的人员出具保密承诺, 以防止客户的资料泄露。
若律师事务所与上述机构及其它机构就是否提供工作底稿发生争议, 律师事务所及相应机构均能够请求律师事务所所属的律师协会调停, 并由所属律师协会作出判断。
涉及与当地律师协会本身的争议, 则应提交上一级律师协会处理。
2.4 律师工作底稿应当至少保存十年。
律师事务所分立与合并的则应当在律师事务所的分立与合并协议中规定以前年度的律师工作底稿的保管存放义务。
律师事务所解散及无法确定律师工作底稿的存放的, 由所属律师协会或律师协会指定的机构存放律师的工作底稿。
2.5 律师尽职调查应当对被调查对象的行业特征、与行业有关的特别政策与规定有相应的了解, 并在尽职调查的范围、内容、与工作方法上有所反映。
律师对被调查对象的行业特征缺乏足够的了解而导致的律师尽职调查出现差错或遗漏不能免除律师及律师事务所的责任。
2.6 律师应当及时记录与管理层、治理层和其它人员对重大事项的讨论, 包括讨论的内容、时间、地点和参加人员。
三、工作底稿的目录
审计工作底稿一般包括总体审计策略、具体审计计划、分析表、问题备
忘录、重大事项概要、询证函回函、管理层声明书、核对表、有关重大事项的往来信件( 包括电子邮件) , 以及对被审计单位文件记录的摘要或复印件等。
律师收购业务工作底稿的建议目录如下:
目录
导言
尽职调查范围与宗旨
简称与定义
方法与限制
基本假设
与本次交易相关的重点问题
正文
一、被收购对象的设立与存续
1.1 被收购对象的设立与股权结构
1.2 被收购对象的股权的历史演变
1.3 被收购对象的存续。