普通物理学习题及答案(上册)
- 格式:doc
- 大小:188.50 KB
- 文档页数:7
普通物理学第一册修订版第五版课后练习题含答案普通物理学第一册修订版第五版是经典物理学入门教材之一,涵盖了力学、热学等基础知识。
本文将提供该教材课后练习题以及答案,供读者学习和参考。
第一章长度、时间和质量的测量选择题1.以下哪个物理量不是基本物理量?(A)A. 能量B. 质量C. 长度D. 时间2.物理量的国际制单位是(D)A. 英制单位B. 公制单位C. 自然单位D. 国际单位制3.以下哪个不属于国际制基本单位?(B)A. 米B. 千克米C. 秒D. 安培简答题1.什么是“国际单位制”(SI)?它的标准由哪些单位组成?答:国际单位制是现代公制单位制的基础,它是以米、千克、秒、安培、开尔文、摩尔和坎德拉这七个基本物理量的单位为标准而制定的。
这些单位和单位名称的标准由国际计量局发布,被称为“国际单位制”。
2.如何用千克、米和秒的单位定义力的单位牛顿?答:牛顿是力的国际单位。
它可以用千克、米和秒的单位来定义,1 N等于1千克物体在重力加速度为9.8 m/s²的情况下所受的力。
也可以用牛顿定律来定义,力是使1千克物体产生1m/s²加速度的力。
第二章运动学选择题1.下列说法正确的是?(D)A. 速度是一个矢量,速率是一个标量。
B. 物体的加速度一定和物体的速度方向一致。
C. 向右运动的物体,加速度要么向右,要么向左。
D. 两个物体相对静止,说明两个物体的相对速度为零。
简答题1.如何用向量方法解决平面运动问题?答:在平面运动中,一个物体在做匀速直线运动或匀加速直线运动时,我们可以用向量方法来解决很多问题。
首先,我们需要定义一个运动坐标系,并建立一个与坐标系相联系的矢量,通常是位置矢量。
然后通过求导或求导数,求出速度和加速度的矢量,并用它们来解决问题。
2.什么是匀速圆周运动?答:匀速圆周运动是一种做圆周运动并保持匀速的运动方式。
在匀速圆周运动中,物体可以有一个半径、一定的圆心和一个确定的速度。
习题11-1 质点作曲线运动,在时刻t质点的位矢为r ,速度为v ,t 至()t t +∆时间内的位移为r ∆,路程为s ∆,位矢大小的变化量为r ∆(或称r ∆),平均速度为v ,平均速率为v。
(1)根据上述情况,则必有( B ) (A )r s r ∆=∆=∆(B )r s r ∆≠∆≠∆,当0t ∆→时有dr ds dr =≠ (C )r r s ∆≠∆≠∆,当0t ∆→时有dr dr ds =≠ (D )r s r ∆=∆≠∆,当0t ∆→时有dr dr ds ==(2)根据上述情况,则必有( C ) (A ),v v v v == (B ),v v v v ≠≠ (C ),v v v v =≠ (D ),v v v v ≠=1-2 一运动质点在某瞬间位于位矢(,)r x y 的端点处,对其速度的大小有四种意见,即(1)drdt;(2)drdt;(3)dsdt;(4下列判断正确的是:( D )(A )只有(1)(2)正确 (B )只有(2)正确 (C )只有(2)(3)正确 (D )只有(3)(4)正确1-3 质点作曲线运动,r 表示位置矢量,v 表示速度,a 表示加速度,s 表示路程,t a 表示切向加速度。
对下列表达式,即(1)dvdt a =;(2)dr dt v =;(3)ds dt v =;(4)t dv dt a =。
下述判断正确的是( D )(A )只有(1)、(4)是对的 (B )只有(2)、(4)是对的 (C )只有(2)是对的 (D )只有(3)是对的 1-4 一个质点在做圆周运动时,则有( B ) (A )切向加速度一定改变,法向加速度也改变 (B )切向加速度可能不变,法向加速度一定改变 (C )切向加速度可能不变,法向加速度不变 (D )切向加速度一定改变,法向加速度不变*1-5 如图所示,湖中有一小船,有人用绳绕过岸上一定高度处的定滑轮拉湖中的船向岸边运动。
设该人以匀速率0v 收绳,绳不伸长且湖水静止,小船的速率为v ,则小船作( C )(A )匀加速运动,0cos v vθ= (B )匀减速运动,0cos v v θ=(C )变加速运动,0cos v v θ=(D )变减速运动,0cos vv θ=(E )匀速直线运动,0vv =习题22-1 如图所示,质量为m 的物体用平行于斜面的细线连结并置于光滑的斜面上,若斜面向左方作加速运动,当物体刚脱离斜面时,它的加速度的大小为( D )(A )sin g θ (B )cos g θ (C )tan g θ (D )cot g θ2-2 用水平力N F 把一个物体压着靠在粗糙的竖直墙面上保持静止。
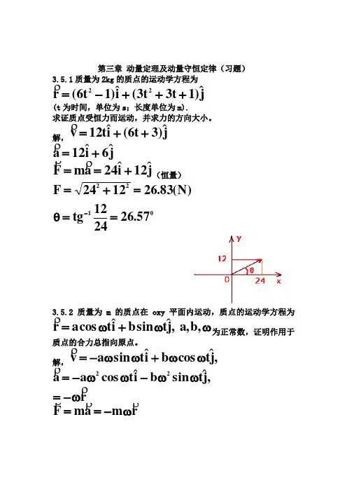
第三章 动量定理及动量守恒定律(习题)3.5.1质量为2kg 的质点的运动学方程为 j ˆ)1t 3t 3(i ˆ)1t 6(r 22+++-=(t 为时间,单位为s ;长度单位为m).求证质点受恒力而运动,并求力的方向大小。
解,j ˆ)3t 6(i ˆt 12v ++= j ˆ6i ˆ12a +=jˆ12i ˆ24a m F +==(恒量)012257.262412tg )N (83.261224F ==θ=+=-3.5.2质量为m 的质点在oxy 平面内运动,质点的运动学方程为ωω+ω=b,a, ,j ˆt sin b i ˆt cos a r为正常数,证明作用于质点的合力总指向原点。
解, ,j ˆt cos b i ˆt sin a v ωω+ωω-= r,j ˆt sin b i ˆt cos a a 22 ω-=ωω-ωω-= r m a m F ω-==3.5.3在脱粒机中往往装有振动鱼鳞筛,一方面由筛孔漏出谷粒,一方面逐出秸杆,筛面微微倾斜,是为了从较底的一边将秸杆逐出,因角度很小,可近似看作水平,筛面与谷粒发生相对运动才可能将谷粒筛出,若谷粒与筛面静摩擦系数为0.4,问筛沿水平方向的加速度至少多大才能使谷物和筛面发生相对运动。
解答,以谷筛为参照系,发生相对运动的条件是,g a ,mg f a m 000μ≥'μ=≥'a ' 最小值为)s /m (92.38.94.0g a 20=⨯=μ='以地面为参照系:解答,静摩擦力使谷粒产生最大加速度为,mg ma 0max μ= ,g a 0max μ=发生相对运动的条件是筛的加速度g a a0max μ=≥',a '最小值为)s /m (92.38.94.0g a20=⨯=μ='3.5.4桌面上叠放着两块木板,质量各为,m ,m 21如图所示。
2m 和桌面间的摩擦系数为2μ,1m 和2m 间的静摩擦系数为1μ。
大学物理习题集(上册,含解答)第一章 质点运动学1.1 一质点沿直线运动,运动方程为x (t ) = 6t 2 - 2t 3.试求: (1)第2s 内的位移和平均速度;(2)1s 末及2s 末的瞬时速度,第2s 内的路程; (3)1s 末的瞬时加速度和第2s 内的平均加速度.[解答](1)质点在第1s 末的位置为:x (1) = 6×12 - 2×13 = 4(m).在第2s 末的位置为:x (2) = 6×22 - 2×23 = 8(m). 在第2s 内的位移大小为:Δx = x (2) – x (1) = 4(m),经过的时间为Δt = 1s ,所以平均速度大小为:v =Δx /Δt = 4(m·s -1). (2)质点的瞬时速度大小为:v (t ) = d x /d t = 12t - 6t 2,因此v (1) = 12×1 - 6×12 = 6(m·s -1),v (2) = 12×2 - 6×22 = 0质点在第2s 内的路程等于其位移的大小,即Δs = Δx = 4m . (3)质点的瞬时加速度大小为:a (t ) = d v /d t = 12 - 12t ,因此1s 末的瞬时加速度为:a (1) = 12 - 12×1 = 0,第2s 内的平均加速度为:a = [v (2) - v (1)]/Δt = [0 – 6]/1 = -6(m·s -2).[注意] 第几秒内的平均速度和平均加速度的时间间隔都是1秒.1.2 一质点作匀加速直线运动,在t = 10s 内走过路程s = 30m ,而其速度增为n = 5倍.试证加速度为22(1)(1)n sa n t-=+,并由上述数据求出量值. [证明]依题意得v t = nv o ,根据速度公式v t = v o + at ,得a = (n – 1)v o /t , (1)根据速度与位移的关系式v t 2 = v o 2 + 2as ,得 a = (n 2 – 1)v o 2/2s ,(2) (1)平方之后除以(2)式证得:22(1)(1)n sa n t-=+. 计算得加速度为:22(51)30(51)10a -=+= 0.4(m·s -2).1.3 一人乘摩托车跳越一个大矿坑,他以与水平成22.5°的夹角的初速度65m·s -1从西边起跳,准确地落在坑的东边.已知东边比西边低70m ,忽略空气阻力,且取g = 10m·s -2.问:(1)矿坑有多宽?他飞越的时间多长?(2)他在东边落地时的速度?速度与水平面的夹角? [解答]方法一:分步法.(1)夹角用θ表示,人和车(人)在竖直方向首先做竖直上抛运动,初速度的大小为v y 0 = v 0sin θ = 24.87(m·s -1).取向上的方向为正,根据匀变速直线运动的速度公式v t - v 0 = at ,这里的v 0就是v y 0,a = -g ;当人达到最高点时,v t = 0,所以上升到最高点的时间为t 1 = v y 0/g = 2.49(s).再根据匀变速直线运动的速度和位移的关系式:v t 2 - v 02 = 2a s , 可得上升的最大高度为:h 1 = v y 02/2g = 30.94(m).人从最高点开始再做自由落体运动,下落的高度为;h 2 = h 1 + h = 100.94(m).根据自由落体运动公式s = gt 2/2,得下落的时间为:2t =.图1.3因此人飞越的时间为:t = t 1 + t 2 = 6.98(s). 人飞越的水平速度为;v x 0 = v 0cos θ = 60.05(m·s -1), 所以矿坑的宽度为:x = v x 0t = 419.19(m).(2)根据自由落体速度公式可得人落地的竖直速度大小为:v y = gt = 69.8(m·s -1), 落地速度为:v = (v x 2 + v y 2)1/2 = 92.08(m·s -1), 与水平方向的夹角为:φ = arctan(v y /v x ) = 49.30º,方向斜向下.方法二:一步法.取向上为正,人在竖直方向的位移为y = v y 0t - gt 2/2,移项得时间的一元二次方程201sin 02gt v t y θ-+=,解得:0(sin t v g θ=.这里y = -70m ,根号项就是人落地时在竖直方向的速度大小,由于时间应该取正值,所以公式取正根,计算时间为:t = 6.98(s).由此可以求解其他问题.1.4 一个正在沿直线行驶的汽船,关闭发动机后,由于阻力得到一个与速度反向、大小与船速平方成正比例的加速度,即d v /d t = -kv 2,k 为常数.(1)试证在关闭发动机后,船在t 时刻的速度大小为011kt v v =+; (2)试证在时间t 内,船行驶的距离为01ln(1)x v kt k =+. [证明](1)分离变量得2d d vk t v =-, 故 020d d v t v v k t v =-⎰⎰,可得:011kt v v =+. (2)公式可化为001v v v kt=+,由于v = d x/d t ,所以:00001d d d(1)1(1)v x t v kt v kt k v kt ==+++ 积分00001d d(1)(1)x tx v kt k v kt =++⎰⎰.因此 01ln(1)x v kt k=+. 证毕.[讨论]当力是速度的函数时,即f = f (v ),根据牛顿第二定律得f = ma . 由于a = d 2x /d t 2, 而 d x /d t = v , a = d v /d t , 分离变量得方程:d d ()m vt f v =, 解方程即可求解.在本题中,k 已经包括了质点的质量.如果阻力与速度反向、大小与船速的n 次方成正比,则 d v /d t = -kv n . (1)如果n = 1,则得d d vk t v=-, 积分得ln v = -kt + C .当t = 0时,v = v 0,所以C = ln v 0, 因此ln v/v 0 = -kt ,得速度为 :v = v 0e -kt .而d v = v 0e -kt d t ,积分得:0e `ktv x C k-=+-. 当t = 0时,x = 0,所以C` = v 0/k ,因此0(1-e )kt vx k -=.(2)如果n ≠1,则得d d n vk t v=-,积分得11n v kt C n -=-+-. 当t = 0时,v = v 0,所以101n v C n-=-,因此11011(1)n n n kt v v --=+-. 如果n = 2,就是本题的结果.如果n ≠2,可得1(2)/(1)020{[1(1)]1}(2)n n n n n v kt x n v k----+--=-,读者不妨自证.1.5 一质点沿半径为0.10m 的圆周运动,其角位置(以弧度表示)可用公式表示:θ = 2 + 4t 3.求: (1)t = 2s 时,它的法向加速度和切向加速度;(2)当切向加速度恰为总加速度大小的一半时,θ为何值? (3)在哪一时刻,切向加速度和法向加速度恰有相等的值? [解答](1)角速度为ω = d θ/d t = 12t 2 = 48(rad·s -1),法向加速度为 a n = rω2 = 230.4(m·s -2); 角加速度为 β = d ω/d t = 24t = 48(rad·s -2), 切向加速度为 a t = rβ = 4.8(m·s -2). (2)总加速度为a = (a t 2 + a n 2)1/2,当a t = a /2时,有4a t 2 = a t 2 + a n 2,即n a a =由此得2r r ω=22(12)24t =解得36t =.所以3242(13)t θ=+=+=3.154(rad).(3)当a t = a n 时,可得rβ = rω2, 即: 24t = (12t 2)2,解得 : t = (1/6)1/3 = 0.55(s).1.6 一飞机在铅直面内飞行,某时刻飞机的速度为v = 300m·s -1,方向与水平线夹角为30°而斜向下,此后飞机的加速度为am·s -2,方向与水平前进方向夹角为30°而斜向上,问多长时间后,飞机又回到原来的高度?在此期间飞机在水平方向飞行的距离为多少?[解答]建立水平和垂直坐标系,飞机的初速度的大小为v 0x = v 0cos θ, v 0y = v 0sin θ. 加速度的大小为a x = a cos α, a y = a sin α. 运动方程为2012x x x v t a t =+, 2012y y y v t a t =-+.即 201cos cos 2x v t a t θα=⋅+⋅, 201sin sin 2y v t a t θα=-⋅+⋅.令y = 0,解得飞机回到原来高度时的时间为:t = 0(舍去);02sin sin v t a θα==.将t 代入x 的方程求得x = 9000m .[注意]选择不同的坐标系,如x 方向沿着a 的方向或者沿着v 0的方向,也能求出相同的结果.1.7 一个半径为R = 1.0m 的轻圆盘,可以绕一水平轴自由转动.一根轻绳绕在盘子的边缘,其自v 图1.7由端拴一物体A .在重力作用下,物体A 从静止开始匀加速地下降,在Δt = 2.0s 内下降的距离h = 0.4m .求物体开始下降后3s 末,圆盘边缘上任一点的切向加速度与法向加速度.[解答]圆盘边缘的切向加速度大小等于物体A 下落加速度.由于212t h a t =∆, 所以a t = 2h /Δt 2 = 0.2(m·s -2).物体下降3s 末的速度为v = a t t = 0.6(m·s -1),这也是边缘的线速度,因此法向加速度为2n v a R== 0.36(m·s -2).1.8 一升降机以加速度1.22m·s -2上升,当上升速度为2.44m·s -1时,有一螺帽自升降机的天花板上松落,天花板与升降机的底面相距2.74m .计算:(1)螺帽从天花板落到底面所需的时间;(2)螺帽相对于升降机外固定柱子的下降距离.[解答]在螺帽从天花板落到底面时,升降机上升的高度为21012h v t at =+;螺帽做竖直上抛运动,位移为22012h v t gt =-. 由题意得h = h 1 - h 2,所以21()2h a g t =+,解得时间为t .算得h 2 = -0.716m ,即螺帽相对于升降机外固定柱子的下降距离为0.716m .[注意]以升降机为参考系,钉子下落时相对加速度为a + g ,而初速度为零,可列方程h = (a + g )t 2/2,由此可计算钉子落下的时间,进而计算下降距离.1.9 有一架飞机从A 处向东飞到B 处,然后又向西飞回到A 处.已知气流相对于地面的速度为u ,AB 之间的距离为l ,飞机相对于空气的速率v 保持不变.(1)如果u = 0(空气静止),试证来回飞行的时间为02l t v =; (2)如果气流的速度向东,证明来回飞行的总时间为01221/t t u v =-;(3)如果气流的速度向北,证明来回飞行的总时间为2t =.[证明](1)飞机飞行来回的速率为v ,路程为2l ,所以飞行时间为t 0 = 2l /v . (2)飞机向东飞行顺风的速率为v + u ,向西飞行逆风的速率为v - u , 所以飞行时间为1222l l vl t v u v u v u =+=+-- 022222/1/1/t l v u v u v==--. (3)飞机相对地的速度等于相对风的速度加风相对地的速度.为了使飞机沿着AB 之间的直线飞行,就要使其相对地的速度偏向北方,可作矢量三角形,其中沿AB方向的速度大小为V =,所以飞行时间为22l t V ==== 证毕.1.10 如图所示,一汽车在雨中沿直线行驶,其速度为v 1,下落雨的速度方向与铅直方向的夹角为θ,偏向于汽车前进方向,速度为v 2.今在车后放一长方形物体,问车速v 1为多大时此物体刚好不会被雨水淋湿?AB AB vv + uv - uABvuuvv[解答]雨对地的速度2v 等于雨对车的速度3v 加车对地的速度1v ,由此可作矢量三角形.根据题意得tan α = l/h .方法一:利用直角三角形.根据直角三角形得v 1 = v 2sin θ + v 3sin α,其中v 3 = v ⊥/cos α,而v ⊥ = v 2cos θ, 因此v 1 = v 2sin θ + v 2cos θsin α/cos α, 即 12(sin cos )lv v hθθ=+. 证毕. 方法二:利用正弦定理.根据正弦定理可得12sin()sin(90)v v θαα=+︒-,所以:12sin()cos v v θαα+=2sin cos cos sin cos v θαθαα+=2(sin cos tan )v θθα=+,即 12(sin cos )lv v hθθ=+. 方法三:利用位移关系.将雨滴的速度分解为竖直和水平两个分量,在t 时间内,雨滴的位移为 l = (v 1 – v 2sin θ)t , h = v 2cos θ∙t .两式消去时间t 即得所求. 证毕.第二章 运动定律与力学中的守恒定律(一) 牛顿运动定律2.1 一个重量为P 的质点,在光滑的固定斜面(倾角为α)上以初速度0v 运动,0v 的方向与斜面底边的水平约AB 平行,如图所示,求这质点的运动轨道.[解答]质点在斜上运动的加速度为a = g sin α,方向与初速度方向垂直.其运动方程为 x = v 0t ,2211sin 22y at g t α==⋅.将t = x/v 0,代入后一方程得质点的轨道方程为22sin g y x v α=,这是抛物线方程.2.2 桌上有一质量M = 1kg 的平板,板上放一质量m = 2kg 的另一物体,设物体与板、板与桌面之间的滑动摩擦因素均为μk = 0.25,静摩擦因素为μs = 0.30.求:(1)今以水平力F 拉板,使两者一起以a = 1m·s -2的加速度运动,试计算物体与板、与桌面间的相互作用力;(2)要将板从物体下面抽出,至少需要多大的力?[解答](1)物体与板之间有正压力和摩擦力的作用.板对物体的支持大小等于物体的重力:N m = mg = 19.6(N), 这也是板受物体的压力的大小,但压力方向相反.物体受板摩擦力做加速运动,摩擦力的大小为:f m = ma = 2(N),这也是板受到的摩擦力的大小,摩擦力方向也相反.板受桌子的支持力大小等于其重力:N M = (m + M )g = 29.4(N),图1.101h lα图2.1这也是桌子受板的压力的大小,但方向相反.板在桌子上滑动,所受摩擦力的大小为:f M = μk N M = 7.35(N). 这也是桌子受到的摩擦力的大小,方向也相反.(2)设物体在最大静摩擦力作用下和板一起做加速度为a`的运动,物体的运动方程为 f =μs mg = ma`,可得 a` =μs g .板的运动方程为F – f – μk (m + M )g = Ma`, 即 F = f + Ma` + μk (m + M )g= (μs + μk )(m + M )g ,算得 F = 16.17(N).因此要将板从物体下面抽出,至少需要16.17N 的力.2.3 如图所示:已知F = 4N ,m 1 = 0.3kg ,m 2 = 0.2kg ,两物体与水平面的的摩擦因素匀为0.2.求质量为m 2的物体的加速度及绳子对它的拉力.(绳子和滑轮质量均不计)[解答]利用几何关系得两物体的加速度之间的关系为a 2 = 2a 1,而力的关系为T 1 = 2T 2. 对两物体列运动方程得T 2 - μm 2g = m 2a 2, F – T 1 – μm 1g = m 1a 1. 可以解得m 2的加速度为 12212(2)/22F m m g a m m μ-+=+= 4.78(m·s -2),绳对它的拉力为2112(/2)/22m T F m g m m μ=-+= 1.35(N).2.4 两根弹簧的倔强系数分别为k 1和k 2.求证:(1)它们串联起来时,总倔强系数k 与k 1和k 2.满足关系关系式12111k k k =+; (2)它们并联起来时,总倔强系数k = k 1 + k 2.[解答]当力F 将弹簧共拉长x 时,有F = kx ,其中k 为总倔强系数.两个弹簧分别拉长x 1和x 2,产生的弹力分别为 F 1 = k 1x 1,F 2 = k 2x 2. (1)由于弹簧串联,所以F = F 1 = F 2,x = x 1 + x 2, 因此 1212F F F kk k =+,即:12111k k k =+. (2)由于弹簧并联,所以F = F 1 + F 2,x = x 1 = x 2,因此 kx = k 1x 1 + k 2x 2, 即:k = k 1 + k 2.2.5 如图所示,质量为m 的摆悬于架上,架固定于小车上,在下述各种情况中,求摆线的方向(即摆线与竖直线的夹角θ)及线中的张力T .(1)小车沿水平线作匀速运动;(2)小车以加速度1a 沿水平方向运动;(3)小车自由地从倾斜平面上滑下,斜面与水平面成φ角; (4)用与斜面平行的加速度1b 把小车沿斜面往上推(设b 1 = b ); (5)以同样大小的加速度2b (b 2 = b ),将小车从斜面上推下来.[解答](1)小车沿水平方向做匀速直线运动时,摆在水平方向没有受到力12图2.32 图2.4的作用,摆线偏角为零,线中张力为T = mg .(2)小车在水平方向做加速运动时,重力和拉力的合力就是合外力.由于tan θ = ma/mg , 所以 θ = arctan(a/g );绳子张力等于摆所受的拉力:T ==(3)小车沿斜面自由滑下时,摆仍然受到重力和拉力, 合力沿斜面向下,所以θ = φ; T = mg cos φ.(4)根据题意作力的矢量图,将竖直虚线延长, 与水平辅助线相交,可得一直角三角形,θ角的对边 是mb cos φ,邻边是mg + mb sin φ,由此可得:cos tan sin mb mg mb ϕθϕ=+,因此角度为cos arctansin b g b ϕθϕ=+;而张力为T=.(5)与上一问相比,加速度的方向反向,只要将上一结果中的b 改为-b 就行了.2.6 如图所示:质量为m =0.10kg 的小球,拴在长度l =0.5m 的轻绳子的一端,构成一个摆.摆动时,与竖直线的最大夹角为60°.求: (1)小球通过竖直位置时的速度为多少?此时绳的张力多大? (2)在θ < 60°的任一位置时,求小球速度v 与θ的关系式.这时小球的加速度为多大?绳中的张力多大?(3)在θ = 60°时,小球的加速度多大?绳的张力有多大?[解答](1)小球在运动中受到重力和绳子的拉力,由于小球沿圆弧运动,所以合力方向沿着圆弧的切线方向,即F = -mg sin θ,负号表示角度θ增加的方向为正方向.小球的运动方程为 22d d s F ma m t ==,其中s 表示弧长.由于s = Rθ = lθ,所以速度为d d d d s v l t t θ==,因此d d d d d d d d v v m v F mm v t t l θθθ===,即 v d v = -gl sin θd θ, (1) 取积分60d sin d Bv v v gl θθ︒=-⎰⎰,(2)图2.6得2601cos 2B v gl θ︒=,解得:B v =s -1).由于:22B BB v v T mg m m mgR l -===,所以T B = 2mg = 1.96(N).(2)由(1)式积分得21cos 2C v gl C θ=+,当 θ = 60º时,v C = 0,所以C = -lg /2,因此速度为C v =切向加速度为a t = g sin θ;法向加速度为2(2cos 1)Cn v a g R θ==-.由于T C – mg cos θ = ma n ,所以张力为T C = mg cos θ + ma n = mg (3cos θ – 1). (3)当 θ = 60º时,切向加速度为2t a g== 8.49(m·s -2),法向加速度为 a n = 0,绳子的拉力T = mg /2 = 0.49(N).[注意]在学过机械能守恒定律之后,求解速率更方便.2.7 小石块沿一弯曲光滑轨道上由静止滑下h 高度时,它的速率多大?(要求用牛顿第二定律积分求解)[解答]小石块在运动中受到重力和轨道的支持力,合力方向沿着曲线方向.设切线与竖直方向的夹角为θ,则F = mg cos θ.小球的运动方程为22d d sF ma m t ==,s 表示弧长.由于d d s v t =,所以 22d d d d d d d ()d d d d d d d s s v v s v v t t t t s t s ====,因此 v d v = g cos θd s = g d h ,h 表示石下落的高度.积分得 212v gh C =+,当h = 0时,v = 0,所以C = 0,因此速率为v =2.8 质量为m 的物体,最初静止于x 0,在力2kf x =-(k 为常数)作用下沿直线运动.证明物体在x处的速度大小v = [2k (1/x – 1/x 0)/m ]1/2.[证明]当物体在直线上运动时,根据牛顿第二定律得方程图2.7222d d k x f ma m x t =-==利用v = d x/d t ,可得22d d d d d d d d d d x v x v v v t t t x x ===,因此方程变为2d d k xmv v x =-,积分得212k mv C x =+.利用初始条件,当x = x 0时,v = 0,所以C = -k /x 0,因此2012k k mv x x =-,即v =证毕.[讨论]此题中,力是位置的函数:f = f (x ),利用变换可得方程:mv d v = f (x )d x ,积分即可求解.如果f (x ) = -k/x n ,则得21d 2nx mv k x =-⎰. (1)当n = 1时,可得21ln 2mv k x C =-+利用初始条件x = x 0时,v = 0,所以C = ln x 0,因此 21ln 2x mv k x =, 即v =(2)如果n ≠1,可得21121n k mv x C n -=-+-.利用初始条件x = x 0时,v = 0,所以101n k C x n -=--,因此 2110111()21n n k mv n x x --=--, 即v =当n = 2时,即证明了本题的结果.2.9 一质量为m 的小球以速率v 0从地面开始竖直向上运动.在运动过程中,小球所受空气阻力大小与速率成正比,比例系数为k .求:(1)小球速率随时间的变化关系v (t ); (2)小球上升到最大高度所花的时间T .[解答](1)小球竖直上升时受到重力和空气阻力,两者方向向下,取向上的方向为下,根据牛顿第二定律得方程d d vf mg kv mt =--=,分离变量得d d()d v m mg kv t m mg kv k mg kv +=-=-++,积分得ln ()mt mg kv C k =-++.当t = 0时,v = v 0,所以0ln ()mC mg kv k =+,因此00/ln ln/m mg kv m mg k v t k mg kv k mg k v ++=-=-++, 小球速率随时间的变化关系为0()exp()mg kt mgv v k m k =+--.(2)当小球运动到最高点时v = 0,所需要的时间为00/ln ln(1)/mg k v kv m m T k mg k k mg +==+.[讨论](1)如果还要求位置与时间的关系,可用如下步骤: 由于v = d x/d t ,所以0d [()exp()]d mg kt mg x v t k m k =+--,即0(/)d d exp()d m v mg k kt mgx tk m k +=---,积分得0(/)exp()`m v mg k kt mgx t C k m k +=---+, 当t = 0时,x = 0,所以0(/)`m v mg k C k +=,因此0(/)[1exp()]m v mg k kt mg x tk m k +=---.(2)如果小球以v 0的初速度向下做直线运动,取向下的方向为正,则微分方程变为d d vf mg kv mt =-=,用同样的步骤可以解得小球速率随时间的变化关系为0()exp()mg mg ktv v k k m =---.这个公式可将上面公式中的g 改为-g 得出.由此可见:不论小球初速度如何,其最终速率趋于常数v m =mg/k .2.10 如图所示:光滑的水平桌面上放置一固定的圆环带,半径为R .一物体帖着环带内侧运动,物体与环带间的滑动摩擦因数为μk .设物体在某时刻经A 点时速率为v 0,求此后时刻t 物体的速率以及从A 点开始所经过的路程.[解答]物体做圆周运动的向心力是由圆环带对物体的压力,即 N = mv 2/R .物体所受的摩擦力为f = -μk N ,负号表示力的方向与速度的方向相反.根据牛顿第二定律得2d d k v v f m m R t μ=-=, 即 : 2d d k vt R v μ=-.积分得:1k t C R v μ=+.当t = 0时,v = v 0,所以01C v =-, 因此 011kt Rv v μ=-.解得 001/k v v v t R μ=+.由于0000d d(1/)d 1/1/k k k k v t v t R R x v t R v t R μμμμ+==++, 积分得0ln (1)`k kv tR x C Rμμ=++,当t = 0时,x = x 0,所以C = 0,因此0ln (1)k kv tRx Rμμ=+.2.11 如图所示,一半径为R 的金属光滑圆环可绕其竖直直径转动.在环上套有一珠子.今逐渐增大圆环的转动角速度ω,试求在不同转动速度下珠子能静止在环上的位置.以珠子所停处的半径与竖直直径的夹角θ表示.[解答]珠子受到重力和环的压力,其合力指向竖直直径,作为珠子做圆周运动的向心力,其大小为:F = mg tg θ.珠子做圆周运动的半径为r = R sin θ. 根据向心力公式得F = mg tg θ = mω2R sin θ,可得2cos mgR ωθ=,解得2arccosg R θω=±.(二)力学中的守恒定律2.12 如图所示,一小球在弹簧的弹力作用下振动.弹力F = -kx ,而位移x = A cos ωt ,其中k ,A 和ω都是常数.求在t = 0到t = π/2ω的时间间隔内弹力予小球的冲量.[解答]方法一:利用冲量公式.根据冲量的定义得d I = F d t = -kA cos ωt d t , 积分得冲量为 /20(cos )d I kA t tωω=-⎰π,/20sin kAkAtωωωω=-=-π方法二:利用动量定理.小球的速度为v = d x/d t = -ωA sin ωt ,设小球的质量为m ,其初动量为p 1 = mv 1 = 0, 末动量为p 2 = mv 2 = -mωA ,mg图2.11小球获得的冲量为I = p 2 – p 1 = -mωA , 可以证明k =mω2,因此I = -kA /ω.2.13一个质量m = 50g ,以速率的v = 20m·s -1作匀速圆周运动的小球,在1/4周期内向心力给予小球的冲量等于多少?[解答]小球动量的大小为p = mv ,但是末动量与初动量互相垂直,根据动量的增量的定义21p p p ∆=- 得:21p p p =+∆,由此可作矢量三角形,可得:p ∆==. 因此向心力给予小球的的冲量大小为I p =∆= 1.41(N·s).[注意]质点向心力大小为F = mv 2/R ,方向是指向圆心的,其方向在 不断地发生改变,所以不能直接用下式计算冲量24v TI Ft mR ==2/42R T T mv mvR ππ==.假设小球被轻绳拉着以角速度ω = v/R 运动,拉力的大小就是向心力F = mv 2/R = mωv , 其分量大小分别为 F x = F cos θ = F cos ωt ,F y = F sin θ = F sin ωt ,给小球的冲量大小为 d I x = F x d t = F cos ωt d t ,d I y = F y d t = F sin ωt d t , 积分得 /4/4cos d sin T T x FI F t t tωωω==⎰Fmvω==,/4/4sin d cos T T y FI F t t tωωω==-⎰Fmvω==,合冲量为I ==,与前面计算结果相同,但过程要复杂一些.2.14 用棒打击质量0.3kg ,速率等于20m·s -1的水平飞来的球,球飞到竖直上方10m 的高度.求棒给予球的冲量多大?设球与棒的接触时间为0.02s ,求球受到的平均冲力?[解答]球上升初速度为y v =s -1),其速度的增量为v ∆== 24.4(m·s -1). 棒给球冲量为I = m Δv = 7.3(N·s), 对球的作用力为(不计重力):F = I/t = 366.2(N).v xΔvv y2.15 如图所示,三个物体A 、B 、C ,每个质量都为M ,B 和C 靠在一起,放在光滑水平桌面上,两者连有一段长度为0.4m 的细绳,首先放松.B 的另一侧则连有另一细绳跨过桌边的定滑轮而与A 相连.已知滑轮轴上的摩擦也可忽略,绳子长度一定.问A 和B 起动后,经多长时间C 也开始运动?C 开始运动时的速度是多少?(取g = 10m·s -2)[解答]物体A 受到重力和细绳的拉力,可列方程Mg – T = Ma ,物体B 在没有拉物体C 之前在拉力T 作用下做加速运动, 加速度大小为a ,可列方程:T = Ma ,联立方程可得:a = g/2 = 5(m·s -2).根据运动学公式:s = v 0t + at 2/2, 可得B 拉C之前的运动时间;t =. 此时B 的速度大小为:v = at = 2(m·s -1).物体A 跨过动滑轮向下运动,如同以相同的加速度和速度向右运动.A 和B 拉动C 运动是一个碰撞过程,它们的动量守恒,可得:2Mv = 3Mv`, 因此C 开始运动的速度为:v` = 2v /3 = 1.33(m·s -1).2.16 一炮弹以速率v 0沿仰角θ的方向发射出去后,在轨道的最高点爆炸为质量相等的两块,一块沿此45°仰角上飞,一块沿45°俯角下冲,求刚爆炸的这两块碎片的速率各为多少?[解答] 炮弹在最高点的速度大小为v = v 0cos θ,方向沿水平方向. 根据动量守恒定律,可知碎片的总动量等于炮弹爆炸前的 总动量,可作矢量三角形,列方程得 /2`cos 452mmv v =︒,所以 v` = v /cos45°= 0cos θ.2.17 如图所示,一匹马拉着雪撬沿着冰雪覆盖的弧形路面极缓慢地匀速移动,这圆弧路面的半径为R .设马对雪橇的拉力总是平行于路面.雪橇的质量为m ,它与路面的滑动摩擦因数为μk .当把雪橇由底端拉上45°圆弧时,马对雪橇做了多少功?重力和摩擦力各做了多少功?[解答]取弧长增加的方向为正方向,弧位移d s 的大小为d s = R d θ. 重力G 的大小为:G = mg ,方向竖直向下,与位移元的夹角为π + θ,所做的功元为1d d cos(/2)d W G s G s θ=⋅=+π sin d mgR θθ=-,积分得重力所做的功为454510(sin )d cos W mgR mgR θθθ︒︒=-=⎰(1mgR =-.摩擦力f 的大小为:f = μk N = μk mg cos θ,方向与弧位移的方向相反,所做的功元为2d d cos d W f s f s =⋅=πcos d k u mg R θθ=-,积分得摩擦力所做的功为图2.174520(cos )d k W mgR μθθ︒=-⎰450sin k k mgR mgR μθ︒=-=.要使雪橇缓慢地匀速移动,雪橇受的重力G 、摩擦力f 和马的拉力F 就是平衡力,即0F G f ++=,或者 ()F G f =-+.拉力的功元为:d d (d d )W F s G s f s =⋅=-⋅+⋅12(d d )W W =-+,拉力所做的功为12()W W W =-+(1)k mgR μ=.由此可见,重力和摩擦力都做负功,拉力做正功.2.18 一质量为m 的质点拴在细绳的一端,绳的另一端固定,此质点在粗糙水平面上作半径为r 的圆周运动.设质点最初的速率是v 0,当它运动1周时,其速率变为v 0/2,求:(1)摩擦力所做的功; (2)滑动摩擦因数;(3)在静止以前质点运动了多少圈?[解答] (1)质点的初动能为:E 1 = mv 02/2, 末动能为:E 2 = mv 2/2 = mv 02/8,动能的增量为:ΔE k = E 2 – E 1 = -3mv 02/8, 这就是摩擦力所做的功W .(2)由于d W = -f d s = -μk N d s = -μk mgr d θ,积分得:20()d 2k k W mgr mgrπμθπμ=-=-⎰.由于W = ΔE ,可得滑动摩擦因数为20316k v gr μ=π.(3)在自然坐标中,质点的切向加速度为:a t = f/m = -μk g , 根据公式v t 2 – v o 2 = 2a t s ,可得质点运动的弧长为22008223k v v r s a g πμ===,圈数为 n = s/2πr = 4/3.[注意]根据用动能定理,摩擦力所做的功等于质点动能的增量:-fs = ΔE k , 可得 s = -ΔE k /f ,由此也能计算弧长和圈数。
普通物理学习题及答案(上)1、 质点是一个只有( 质量 )而没有( 形状 )和( 大小 )的几何点。
2、 为了描写物体的运动而被选作为参考的物体叫( 参考系 )。
3、 当你乘坐电梯上楼时,以电梯为参考系描述你的运动是( 静止 )的,而以地面为参考系描述你的运动则是( 上升 )的4、 量化后的参考系称为( 坐标系 )。
5、 决定质点位置的两个因素是( 距离 )和( 方向 )。
这两个因素确定的矢量称为( 位置矢量 )。
6、 质点在一个时间段内位置的变化我们可以用质点初时刻位置指向末时刻位置的矢量来描写,这个矢量叫( 位移矢量 )。
7、 质点的速度描述质点的运动状态,速度的大小表示质点运动的( 快慢 ),速度的方向即为质点运动的( 方向 )。
质点的速度大小或是方向发生变化,都意味着质点有( 加速度 )。
8、 在xOy 平面内的抛物运动,质点的x 分量运动方程为t v x 0=,y 分量的运动方程为23gt y =,用位矢来描述质点的运动方程为( j gt i t v r 203+= ).9、 一辆汽车沿着笔直的公路行驶,速度和时间的关系如图中折线OABCDEF 所示,则其中的BC 段汽车在做( 匀减速直线 )运动,汽车在整个过程中所走过的路程为( 200 )m ,位移为( 0 )m ,平均速度为( 0 )m/s10、 自然界的电荷分为两种类型,物体失去电子会带( 正 )电,获得额外的电子将带( 负 )电。
t/s11、 对于一个系统,如果没有净电荷出入其边界,则该系统的正、负电荷的电量的代数和将( 保持不变 )。
12、 真空中有一点电荷,带电量q=1.00×109C ,A 、B 、C 三点到点电荷的距离分别为10cm 、20cm 、30cm ,如图所示。
若选B 点的电势为零,则A 点的电势为( 45V ),C 点的电势为( -15V )。
13、 将一负电荷从无穷远处缓慢地移到一个不带电的导体附近,则导体内的电场强度( 不 变 ),导体的电势值( 减小 )(填增大、不变或减小)。
普通物理学习题及答案(上)1、质点是一个只有( 质量 )而没有( 形状 )和( 大小 )的几何点。
2、为了描写物体的运动而被选作为参考的物体叫( 参考系 )。
3、当你乘坐电梯上楼时,以电梯为参考系描述你的运动是( 静止 )的,而以地面为参考系描述你的运动则是( 上升 )的4、量化后的参考系称为( 坐标系 )。
5、决定质点位置的两个因素是( 距离 )和( 方向 )。
这两个因素确定的矢量称为( 位置矢量 )。
6、质点在一个时间段内位置的变化我们可以用质点初时刻位置指向末时刻位置的矢量来描写,这个矢量叫( 位移矢量 )。
7、质点的速度描述质点的运动状态,速度的大小表示质点运动的( 快慢 ),速度的方向即为质点运动的( 方向 )。
质点的速度大小或是方向发生变化,都意味着质点有( 加速度 )。
8、在xOy 平面内的抛物运动,质点的x 分量运动方程为,y 分量的运动t v x 0=方程为,用位矢来描述质点的运动方程为( ).23gt y =j gt i t v r203+=9、一辆汽车沿着笔直的公路行驶,速度和时间的关系如图中折线OABCDEF 所示,则其中的BC 段汽车在做( 匀减速直线 )运动,汽车在整个过程中所走过的路程为( 200 )m ,位移为( 0 )m ,平均速度为( 0 )m/sqt/s105O-5-1010、自然界的电荷分为两种类型,物体失去电子会带( 正 )电,获得额外的电子将带( 负 )电。
11、对于一个系统,如果没有净电荷出入其边界,则该系统的正、负电荷的电量的代数和将( 保持不变 )。
12、真空中有一点电荷,带电量q=1.00×109C ,A 、B 、C 三点到点电荷的距离分别为10cm 、20cm 、30cm ,如图所示。
若选B 点的电势为零,则A 点的电势为( 45V ),C 点的电势为( -15V )。
13、将一负电荷从无穷远处缓慢地移到一个不带电的导体附近,则导体内的电场强度( 不 变 ),导体的电势值( 减小 )(填增大、不变或减小)。
第1章力和运动1.1复习笔记一、质点运动的描述机械运动是指一个物体相对于另一个物体的位置,或者一个物体的某些部分相对于其他部分的位置,随着时间而变化的过程.1.质点(1)质点是指具有一定质量且大小和形状可以忽略的理想物体;(2)质点的简化具有相对性.2.参考系和坐标系(1)参考系①参考系是指在描述物体运动时,被选作参考的物体或物体系;②参考系的选择具有任意性.(2)坐标系①选取在参考系上选定一点作为坐标系的原点O,取通过原点并标有长度的线作为坐标轴.②常用坐标系笛卡尔坐标系、平面极坐标系和球坐标系等.(3)参考系和坐标系的关系坐标系用来定量地描述一个物体在各时刻相对于参考系的位置.3.空间和时间(1)空间反映物质的广延性,与物体的体积和物体位置的变化相联系;(2)时间反映物理事件的顺序性和持续性.4.运动学方程在选定的参考系中,运动质点的位置P(x,y,z)是t 的函数,即x=x(t),y=y(t),z=z(t)5.位矢(1)位矢是用来确定某时刻质点位置的矢量,用r 表示.(2)特点①矢量性;②瞬时性;③相对性.6.位移位移表示质点在一段时间内位置改变的矢量,用r表示.7.速度(1)平均速度:(2)瞬时速度(速度):8.加速度(1)质点的平均加速度(2)瞬时加速度加速度是矢量:①a与v成锐角,速率增加;②a与v成钝角,速率减小;③a与v成直角,速率不变.二、圆周运动和一般曲线运动1.切向加速度和法向加速度自然坐标系下的加速度式中,切向加速度a t和法向加速度a n分别为:2.圆周运动的角量描述(1)圆周运动的瞬时角速度(角速度)式中,△θ为角位移,单位为rad;ω的单位为1/s或rad/s.(2)圆周运动的瞬时角加速度(角加速度)式中,α的单位为1/s2或rad/s2.(3)角量和线量的关系22 d d t n R a R t a R R υωυαυω⎧⎫⎪=⎪⎪⎪⎪⎪==⎨⎬⎪⎪⎪⎪==⎪⎪⎭⎩线量角量3.抛体运动的矢量描述(1)速度分量:(2)速度矢量:(3)加速度:(4)位矢:(5)轨迹方程:三、相对运动常见力和基本力1.相对运动(1)伽利略坐标变换(2)速度变换与加速度变换质点P 在K’系的速度/加速度与它在K 系的速度/加速度的关系质点在两个相对作匀速直线运动的参考系中的加速度是相同的.2.常见力(1)重力重力是指地球表面附近的物体受到地球的吸引作用而使物体受到的力.(2)弹力弹力是指形变物体恢复原状时与它接触的物体产生的力.弹力的三种表现形式:①两物体间的相互挤压两物体间相互挤压所产生的弹力又称正压力或支承力.该力大小取决于相互挤压的程度,方向总是垂直于接触面并指向对方.②绳线对物体的拉力该力大小取决于绳线收紧的程度,方向总是沿着绳线并指向绳线收紧的方向.③弹簧的弹力弹簧的弹力总是力图使弹簧恢复原状,又称恢复力.F=-kx(胡克定律)式中:k为弹簧的劲度系数或劲度,负号表示弹力和位移方向相反.(3)摩擦力摩擦力是指两个相互接触的物体在沿接触面相对运动或有相对运动的趋势时,在接触面间产生的一对阻止相对运动的力.(4)万有引力万有引力是存在于任何两个物体之间的吸引力.式中:G为引力常量,.3.基本力(1)电磁力电磁力是指存在于静止电荷之间的电性力以及存在于运动电荷之间的电性力和磁性力.(2)强力强力是指存在于核子、介子和超子之间的强相互作用.(3)弱力弱力是指在亚原子领域中存在的短程相互作用.四、牛顿运动定律1.牛顿第一定律任何物体都保持静止或匀速直线运动状态,直到作用在它上面的力迫使它改变这种状态为止,又称惯性定律.相关说明:(1)惯性是物体所具有的保持其原有运动状态不变的特性.(2)力是引起运动状态改变的原因.(3)牛顿定律只适用于惯性系.2.牛顿第二定律物体受到外力作用时,它所获得的加速度的大小与外力的大小成正比,并与物体的质量成反比,加速度方向与外力方向相同.dtv d m a m F ==力是物体产生加速度的原因,并非物体有速度的原因.3.牛顿第三定律两个物体之间的作用力和反作用力,在同一直线上,大小相等方向相反.BAAB F F -=。
普通物理(一)上06卷含答案-CAL-FENGHAI-(2020YEAR-YICAI)_JINGBIAN苏州大学 普通物理(一)上 课程试卷(06)卷 共6页考试形式 闭 卷 年 月院系 年级 专业 学号 姓名 成绩一、填空题:(每空2分,共40分。
在每题空白处写出必要的算式) 1、一物块悬挂在弹簧下方作简谐振动,当这物块的位移等于振幅的一半时,其动能是总能量的 (设平衡位置处势能为零)当这物块在平衡位置时,弹簧的长度比原长伸长△l ,这一振动系统的周期为 。
2、一平面简谐波的波动方程为y=0.25cos (125t-0.37x )(SI ),其圆频率 ω= ,波速V= ,波长λ= 。
3、一飞轮以角速度ω0绕轴旋转,飞轮对轴的转动惯量为I ,另一个转动惯量为5I 的静止飞轮突然被啮合到同一个轴上,啮合后整个系统的角速度ω= 。
4、图示水平管子,粗的一段截面积S 1=1m 2,水的 流速为V 1=5m/s ,细的一段截面积S 2=0.5m 2,压强 P 2=2×105Pa ,则粗段中水的压强P 1= 。
5、电偶极矩p 的单位为 。
闭合球面中心放置一电偶极矩为p 的电偶极子则通过闭合球面的电场E 的通量φ= 。
S 1S26、点电荷q 位于导体球壳(内外半径分别为R 1和R 2)的中心,导体球壳内表面电势U 1= 。
球壳外表面U 2= ,球壳外离开球心距离r 处的电势U= 。
7、固定于y 轴上两点y=a 和y=-a 的两个正点电荷,电量均为q ,现将另一个负点电荷-q 0(质量m )放在x 轴上相当远处,当把-q 0向坐标原点稍微移动一下,当-q 0经过坐标原点时速度V= ,-q 0在坐标原点的电势能W= 。
8、如图所示带负电的粒子束垂直地射入两磁铁之间 的水平磁场,则:粒子将向 运动。
9、长直电缆由一个圆柱导体和一共轴圆筒状导体组成,两导体中有等值反向均匀电流I 通过,其间充满磁导率为μ的均匀磁介质。
普通物理学习题及答案(上)1、 质点是一个只有( 质量 )而没有( 形状 )和( 大小 )的几何点。
2、 为了描写物体的运动而被选作为参考的物体叫( 参考系 )。
3、 当你乘坐电梯上楼时,以电梯为参考系描述你的运动是( 静止 )的,而以地面为参考系描述你的运动则是( 上升 )的4、 量化后的参考系称为( 坐标系 )。
5、 决定质点位置的两个因素是( 距离 )和( 方向 )。
这两个因素确定的矢量称为( 位置矢量 )。
6、 质点在一个时间段内位置的变化我们可以用质点初时刻位置指向末时刻位置的矢量来描写,这个矢量叫( 位移矢量 )。
7、 质点的速度描述质点的运动状态,速度的大小表示质点运动的( 快慢 ),速度的方向即为质点运动的( 方向 )。
质点的速度大小或是方向发生变化,都意味着质点有( 加速度 )。
8、 在xOy 平面内的抛物运动,质点的x 分量运动方程为t v x 0=,y 分量的运动方程为23gt y =,用位矢来描述质点的运动方程为( j gt i t v r203+= ).9、 一辆汽车沿着笔直的公路行驶,速度和时间的关系如图中折线OABCDEF 所示,则其中的BC 段汽车在做( 匀减速直线 )运动,汽车在整个过程中所走过的路程为( 200 )m ,位移为( 0 )m ,平均速度为( 0 )m/s10、 自然界的电荷分为两种类型,物体失去电子会带( 正 )电,获得额外的电子将带( 负 )电。
t/s11、 对于一个系统,如果没有净电荷出入其边界,则该系统的正、负电荷的电量的代数和将( 保持不变 )。
12、 真空中有一点电荷,带电量q=1.00×109C ,A 、B 、C 三点到点电荷的距离分别为10cm 、20cm 、30cm ,如图所示。
若选B 点的电势为零,则A 点的电势为( 45V ),C 点的电势为( -15V )。
13、 将一负电荷从无穷远处缓慢地移到一个不带电的导体附近,则导体内的电场强度( 不 变 ),导体的电势值( 减小 )(填增大、不变或减小)。
1.2 课后习题详解一、复习思考题§1-1 质点运动的描述1-1-1 回答下列问题:(1)一物体具有加速度而其速度为零,是否可能?(2)一物体具有恒定的速率但仍有变化的速度,是否可能?(3)一物体具有恒定的速度但仍有变化的速率,是否可能?(4)一物体具有沿Ox轴正方向的加速度而又有沿Ox轴负方向的速度,是否可能?(5)一物体的加速度大小恒定而其速度的方向改变,是否可能?答:速度是表示物体运动的方向和快慢的物理量,为矢量,是位矢r的时间变化率;速率是表示速度的大小,为标量,是路程s对时间的的变化率;加速度是表示速度变化的快慢和方向的物理量,为矢量,是速度v的时间变化率.(1)可能.如:①竖直上抛物体运动到最高点的时刻,具有加速度(等于重力加速度),物体的速度为零;②弹簧振子在水平面上振动时,在位移达到最大值时,加速度不为零,而速度为零.(2)可能.速度是矢量,有大小和方向;速率是速度的大小.如,物体作匀速率圆周运动时,速度的大小(即速率)不变,但其方向不断变化着,因而其速度一直变化.(3)不可能.因为速度是矢量,有大小(即速率)和方向,当速率变化时,速度必将改变,不可能恒定.(4)可能.如:物体匀减速直线运动时的加速度方向和速度方向相反.(5)可能.如:①物体作抛体运动时,其加速度为重力加速度,大小和方向恒定保持不变,而其速度(大小和方向)却时刻变化着;②物体作匀速率圆周运动,其向心加速度的大小保持不变,但其速度的方向时刻沿圆周的切线方向,即速度的方向在改变着.1-1-2 回答下列问题:(1)位移和路程有何区别?在什么情况下两者的量值相等?在什么情况下并不相等?(2)平均速度和平均速率有何区别?在什么情况下两者的量值相等?瞬时速度和平均速度的关系和区别是怎样的?瞬时速率和平均速率的关系和区别又是怎样的?答:(1)①位移和路程的区别a .位移是矢量,是以质点在△t 时间内从起点到终点的有向线段来表示;b .路程是标量,是在△t 时间内质点实际路径的长度.在图1-1中,是位移,是路程.图1-1-1②两者量值相等和不相等时的情况a .两者相等的情况:在直线运动中,如运动方向不变,则质点的位移的大小与路程相等.曲线运动中,在△t 趋近于0的极限情况下,位移与轨迹重合,位移的大小才等于路程.b.两者不相等的情况:一般的曲线运动中,位移的大小|△r|与路程并不相等,只有在△t很短的情况下,质点的位移和运动轨迹近似地看作重合.(2)①平均速度和平均速率a.平均速度定义为,它是矢量.b.平均速率定义为,它是标量.②两者量值相等时的情况在一般情况下,在相同的时间内|△r|≠△s,所以平均速度和平均速率并不相等.只有在运动方向不变的直线运动中,平均速度在量值上才和平均速率相等.③瞬时速度和平均速度的关系与区别a.二者的关系瞬时速度是时间△t趋于零时平均速度的极限,即.b.二者的区别第一,瞬时速度和平均速度都是矢量.一般情况下,二者大小和方向都不相同.平均速度的方向是△t时间内位移△r的方向,而瞬时速度的方向是△t→0时沿运动轨迹的切线方向.第二,只有在匀速直线运动中,瞬时速度和平均速度的大小和方向才相等.④瞬时速率和平均速率的关系和区别a.二者的关系瞬时速率是指瞬时速度的大小,平均速率的大小等于单位时间内所经过的路程.它们都是标量.b.二者的区别一般情况下,它们不相等,只有在匀速直线运动中,瞬时速率才等于平均速率.1-1-3 回答下列问题:(1)有人说:“运动物体的加速度越大,物体的速度也越大”,你认为对不对?(2)有人说:“物体在直线上运动前进时,如果物体向前的加速度减小,物体前进的速度也就减小”,你认为对不对?(3)有人说:“物体加速度的值很大,而物体速度的值可以不变,是不可能的”,你认为如何?答:(1)这种说法是错误的.运动物体的加速度很大,只说明物体运动速度在变,且变化地很大,并不是运动的速度很大.如,弹簧振子在位移最大处,其加速度的值最大,而速度却等于零.(2)这种说法是错误的.物体作直线运动时,若向前运动的加速度减小,表明向前运动的速度的变化率在减小,但速度还是因有加速度继续增大,只是增大得平缓些.即使加速度减到零,物体仍向前作匀速直线运动,而不会减小.(3)这种说法是错误的.物体速度的大小不变,但速度的方向可改变.如,物体作匀速率圆周运动时,其向心加速度,如v的值很大,那么可得到很大的加速度,但是速度大小却保持不变.1-1-4 设质点的运动学方程x=x(t),y=y=(t),,在计算质点的速度和加速度时,有人先求出然后根据及而求得结果;又有人先计算速度和加速度的分量,再合成求得结果,即及你认为哪一种正确?两者差别何在?答:(1)在计算速度和加速度的大小时,前一种方法有错误,后面一个方法是正确的.(2)二者的差别:①前面一个计算方法错误在于忽视了位移、速度和加速度的矢量性,求出的只是速度v和加速度a的径向分量.②质点的速度按定义是,而不是.|d r|是位矢增量d r的大小,而dr是位矢r2和r1大小的差值,即r2-r1的极值,按速度定义应为速度的大小为同样,加速度的大小应为用平面极坐标表示时,设位置矢量r的大小为极径r,方向用极角θ表示.质点运动的速度v和加速度a也都可表示为沿径向的和垂直于径向的两个分量的叠加,即和其中所以,前者求出的只是速度v和加速度a的径向分量.§1-2 圆周运动和一般曲线运动1-2-1 试回答下列问题:(1)匀加速运动是否一定是直线运动?为什么?(2)在圆周运动中,加速度方向是否一定指向圆心?为什么?答:(1)不一定.如抛体运动,它的加速度为重力加速度g,大小和方向都不变,然而速度v的方向总是沿着轨迹的切线方向,时刻变化,不是直线运动.(2)不一定.如在变速率圆周运动中,质点既有向心(法向)加速度,又有切向加速度,合加速度就不指向圆心.1-2-2 对于物体的曲线运动有下面两种说法:(1)物体作曲线运动时,必有加速度,加速度的法向分量一定不等于零.(2)物体作曲线运动时速度方向一定在运动轨迹的切线方向,法向分速度恒等于零,因此其法向加速度也一定等于零.试判断上述两种说法是否正确,并讨论物体作曲线运动时速度、加速度的大小、方向及其关系.答:(1)第一种说法是正确的,第二种说法是错误的.①对于说法(1),因为物体作曲线运动时,它的速度方向一直在变化,因而一定存在法向加速度.②对于说法(2),法向加速度反映物体运动速度的方向变化.(2)物体作曲线运动时速度、加速度的大小、方向及其关系。
普通物理学习题及答案(上)1、 质点是一个只有(质量)而没有(形状)和(大小)的几何点。
2、 为了描写物体的运动而被选作为参考的物体叫(参考系)。
3、 当你乘坐电梯上楼时,以电梯为参考系描述你的运动是( 静止)的,而以 地面为参考系描述你的运动则是(上升)的4、 量化后的参考系称为(坐标系)。
5、 决定质点位置的两个因素是( 距离)和(方向)。
这两个因素确定的矢量 称为(位置矢量)。
6、 质点在一个时间段内位置的变化我们可以用质点初时刻位置指向末时刻位置的矢量来描写,这个矢量叫( 位移矢量)。
7、 质点的速度描述质点的运动状态, 速度的大小表示质点运动的(快慢),速 度的方向即为质点运动的(方向)。
质点的速度大小或是方向发生变化,都 意味着质点有(加速度)。
&在xOy 平面内的抛物运动,质点的x 分量运动方程为x=v 0t ,y 分量的运动 方程为y =3gt 2,用位矢来描述质点的运动方程为(r =v °ti ,3gt 2j ).9、一辆汽车沿着笔直的公路行驶,速度和时间的关系如图中折线 OABCDE 所示, 则其中的BC 段汽车在做(匀减速直线)运动,汽车在整个过程中所走过的 路程为(200 ) m 位移为(o ) m 平均速度为(0 ) m/s10、自然界的电荷分为两种类型,物体失去电子会带( 正)电,获得额外 的电子将带(负)电。
qA B C (J -------- * --------- • --------- ♦— t/s11、对于一个系统,如果没有净电荷出入其边界,则该系统的正、负电荷的电量的代数和将(保持不变)。
12、真空中有一点电荷,带电量q=1.00 X1O9C, A、B C三点到点电荷的距离分别为10cm 20cm 30cm,如图所示。
若选B点的电势为零,贝U A点的电势为(45V ),C点的电势为(-15V )。
13、将一负电荷从无穷远处缓慢地移到一个不带电的导体附近,则导体内的电场强度(不变),导体的电势值(减小)(填增大、不变或减小)。
大学物理学(上)练习题第一编 力 学 第一章 质点的运动1.一质点在平面上作一般曲线运动,其瞬时速度为,v瞬时速率为v ,平均速率为,v 平均速度为v,它们之间如下的关系中必定正确的是(A) v v ≠,v v ≠; (B) v v =,v v ≠;(C) v v =,v v =; (C) v v ≠,v v = [ ] 2.一质点的运动方程为26x t t =-(SI),则在t 由0到4s 的时间间隔内,质点位移的大小为 ,质点走过的路程为 。
3.一质点沿x 轴作直线运动,在t 时刻的坐标为234.52x t t =-(SI )。
试求:质点在 (1)第2秒内的平均速度; (2)第2秒末的瞬时速度; (3)第2秒内运动的路程。
4.灯距地面的高度为1h ,若身高为2h 的人在灯下以匀速率v 沿水平直线行走,如图所示,则他的头顶在地上的影子M 点沿地 面移动的速率M v = 。
5.质点作曲线运动,r表示位置矢量,s 表示路程,t a 表示切向加速度,下列表达式 (1)dv a dt =, (2)dr v dt =, (3)ds v dt =, (4)||t dv a dt=. (A )只有(1)、(4)是对的; (B )只有(2)、(4)是对的;(C )只有(2)是对的; (D )只有(3)是对的. [ ]6.对于沿曲线运动的物体,以下几种说法中哪一种是正确的。
(A )切向加速度必不为零; (B )法向加速度必不为零(拐点处除外);(C )由于速度沿切线方向;法向分速度必为零,因此法向加速度必为零; (D )若物体作匀速率运动,其总加速度必为零;(E )若物体的加速度a为恒矢量,它一定作匀变速率运动. [ ]7.在半径为R 的圆周上运动的质点,其速率与时间的关系为2v ct =(c 为常数),则从0t =到t 时刻质点走过的路程()s t = ;t 时刻质点的切向加速度t a = ;t 时刻质点的法向加速度n a =。
普通物理学习题及答案(上)1、 质点是一个只有( 质量 )而没有( 形状 )和( 大小 )的几何点。
2、 为了描写物体的运动而被选作为参考的物体叫( 参考系 )。
3、 当你乘坐电梯上楼时,以电梯为参考系描述你的运动是( 静止 )的,而以地面为参考系描述你的运动则是( 上升 )的4、 量化后的参考系称为( 坐标系 )。
5、 决定质点位置的两个因素是( 距离 )和( 方向 )。
这两个因素确定的矢量称为( 位置矢量 )。
6、 质点在一个时间段内位置的变化我们可以用质点初时刻位置指向末时刻位置的矢量来描写,这个矢量叫( 位移矢量 )。
7、 质点的速度描述质点的运动状态,速度的大小表示质点运动的( 快慢 ),速度的方向即为质点运动的( 方向 )。
质点的速度大小或是方向发生变化,都意味着质点有( 加速度 )。
8、 在xOy 平面内的抛物运动,质点的x 分量运动方程为t v x 0=,y 分量的运动方程为23gt y =,用位矢来描述质点的运动方程为( j gt i t v r203+= ).9、 一辆汽车沿着笔直的公路行驶,速度和时间的关系如图中折线OABCDEF 所示,则其中的BC 段汽车在做( 匀减速直线 )运动,汽车在整个过程中所走过的路程为( 200 )m ,位移为( 0 )m ,平均速度为( 0 )m/s10、 自然界的电荷分为两种类型,物体失去电子会带( 正 )电,获得额外的电子将带( 负 )电。
t/s11、 对于一个系统,如果没有净电荷出入其边界,则该系统的正、负电荷的电量的代数和将( 保持不变 )。
12、 真空中有一点电荷,带电量q=1.00×109C ,A 、B 、C 三点到点电荷的距离分别为10cm 、20cm 、30cm ,如图所示。
若选B 点的电势为零,则A 点的电势为( 45V ),C 点的电势为( -15V )。
13、 将一负电荷从无穷远处缓慢地移到一个不带电的导体附近,则导体内的电场强度( 不 变 ),导体的电势值( 减小 )(填增大、不变或减小)。
14、下列不可能存在的情况是( B )。
A.一物体具有加速度而速度为零B.一物体具有恒定的速度但仍有变化的速率C.一物体具有沿Ox 轴方向的加速度而有沿Ox 轴负方向的速度D.一物体的加速度大小恒定而其速度的方向改变15、一质点在平面上运动,已知质点位置矢量的表达式为22r at i bt j =+(其中a 、b 为常量),则该质点做( B )运动 A 、匀速直线B 、变速直线C 、抛物线D 、一般曲线16、一质点作直线运动,某时刻的瞬时速度为v =2m/s, 瞬时加速度为a = -2m/s 2,则一秒钟后质点的速度( D ) A 、等于零 B 、 等于-2m/sC 、等于2m/sD 、不能确定.17、在地面的上空停着一气球,气球下面吊着软梯,梯上站着一个人,当这个人沿着软梯上爬时,气球将( B )。
A.上升B.下降C.保持静止D.无法判断18、在光滑的水平地面上有一辆小车,甲乙两人站在车的中间,甲开始向车头走,同时乙向车尾走。
站在地面上的人发现小车向前运动了,这是因为( C )。
A 、甲的速度比乙的速度小 B 、甲的质量比乙的质量小 C 、甲的动量比乙的动量小 D 、甲的动量比乙的动量大19、A 、B 两滑块放在光滑的水平面上,A 受向右的水平力F A ,B 受向左的水平力F B 作用而相向运动。
已知m A =2m B ,F A =2F B 。
经过相同的时间t 撤去外力F A 、F B ,以后A 、B 相碰合为一体,这时他们将( C ) A 、停止运动 B 、向左运动 C 、向右运动 D 、无法判断 20、如图所示,在点(a ,0)处放置一个点电荷+q ,在点(-a ,0)处放置另一点电荷-q 。
p 点在y 轴上,其坐标为(0,y ),当y>>a 时,该点场强的大小为( C ) A 、 204q y πε; B 、 202q y πε; C 、 302qa yπε;D 、304qa yπε.21、关于电场强度与电势之间的关系,下列说法中正确的是( C )A 、 在电场中,场强为零的点,电势必为零;B 、 在电场中,电势为零的点,场强必为零;C 、 在电势不变的空间,场强处处为零;D 、 在场强不变的空间,电势处处相等.22、某电场的电场线分布情况如图所示,一个负电荷从M 点移到N 点。
有人根据这个电场线分布图做出下列几点结论,正确的是( C ) A 、场强大小M N E E < B 、电势M N U U < C 、电势能M N W W <D 、电场力做的功A>0.23、一质量为M 的斜面原来静止于光滑水平面上,将一质量为m 的木块轻轻放于斜面上(斜面光滑),如果让木块能静止于光滑的斜面上,则斜面应( ) A 、保持静止. B 、向右加速运动. C 、向右匀速运动. D 、向左加速运动. 判断题1、( 对 )在一个具体问题中,一个物体是否能当成质点,并不在于物体的大小,xyoa•••a-(0,)P y qq-而在于问题是否确实与物体的大小形状无关。
2、( 错 )在不同的参考系中考察同一物体的运动时,所反映的运动关系都是一样的。
3、( 错 )在直线运动中,质点的位移和路程相等的。
4、( 错 )当物体的加速度大于0时,表示运动方向与参考方向相同,当加速度小于0时,表示运动方向与参考方向相反。
5、( 对 )物体的运动可以看成是几个各自独立的运动的叠加。
6、( 对 )当我们推着一个物体沿着屋子的墙壁走一圈回到远处,整个过程重力对物体没有做功。
7、( 错 )做匀速圆周运动时,物体的加速度并没有发生变化。
8、( 错 )电场线是在电场中真实存在的表示电场变化的矢量线。
9、( 对 )静电场中,某点电势的正负取决于电势零点的选取。
10、( 错 )一个负电荷向正电荷靠近时,它的电势能逐渐增加。
解答题1、一质点作匀加速直线运动,在t=10s 内走过路程s=30m ,而其速度增为n=5倍。
试证加速度为2)1()1(2t n sn a +-=,并由上述数据求出加速度大小。
(10分)[证明]依题意得0nv v t =,根据速度公式at v v t +=0,得t v n a /)1(0-=, (1)根据速度与位移的关系式as v v t 2202+=,得as v n a 2/)1(202-=, (2)(1)平方之后除以(2)式证得:2)1()1(2tn sn a +-=计算得加速度为:210)15(30)15(2+-=a =0.4(m/s 2)2、一个重量为P 的质点,在光滑的固定斜面(倾角为α)上以初速度0v 运动,0v的方向与斜面底边的水平线AB 平行,如图所示,求这质点的运动轨道。
(12分)[解答]质点在斜上运动的加速度为 sin a g α=,方向与初速度方向垂直.其运动方程为22sin 2121t g at y ⋅==α 将0xt v =代入后一方程得质点的轨道方程为 22sin x v g y ⋅=α 这是抛物线方程.3、电荷为+q 和-2q 的两个点电荷分别置于x=1m 和x=-1m 处,一实验电荷置于x 轴上何处,它受到的合力才为0?【解答】设实验点和q o 置于x 处所受合力为0,根据电场力叠加原理可得00220022(2)04(1)4(1)20(1)(1)q q q q i i x x q qx x πεπε⋅-⋅+=-+-=>+=-+即2610(32)x x x m ++==>=±因322x =-q 、-2q 两点电荷之间,该处场强不可能为0,故舍去,得(322)x m =+4、如图所示,质量为0.4kg 的木块以2m/s 的速度水平地滑上静止的平板小车,车的质量为 1.6kg ,木块与小车之间的摩擦系数为0.2(g 取10m/s 2)。
设小车足够长,求:(1)木块和小车相对静止时小车的速度。
(2)从木块滑上小车到它们处于相对静止所经历的时间。
(3)从木块滑上小车到它们处于相对静止木块在小车上滑行的距离。
[解答]分析:(1)以木块和小车为研究对象,系统所受合外力为零,系统动量守恒,以木块速度方向为正方向,由动量守恒定律可得:木块m 小车M 初:v 0=2m/s v 0=0末:v v ⇒mv 0=(M+m)v⇒s m v m M m v /4.026.14.04.00=⨯+=+=(2)再以木块为研究对象,其受力情况如图所示,由动量定理可得ΣF=-ft=mv-mv 0⇒s g v v t 8.04102.0)24.0(0=⨯⨯--=-=μ f=μmg(3)木块做匀减速运动,加速度21/2s m g m fa ===μ 车做匀加速运动,加速度22/5.06.1104.02.0s m M mg M f a =⨯⨯===μ,由运动学公式可得: v t 2-v 02=2as在此过程中木块的位移m a v v S t 96.02224.02222021=⨯--=-=车的位移m t a S 16.08.05.021212222=⨯⨯==由此可知,木块在小车上滑行的距离为ΔS=S 1-S 2=0.8m 即为所求。